Sociodemographic and Built Environment Associates of Travel to School by Car among New Zealand Adolescents: Meta-Analysis
Abstract
1. Introduction
2. Materials and Methods
2.1. Study Context
2.2. Identification of Primary Data Sources
2.2.1. Sources and Search Strategy
2.2.2. Eligibility Criteria
2.2.3. Study Identification
2.3. Data Preparation and Synthesis
2.3.1. Participant Characteristics and Mode of Travel to School
2.3.2. School Level Deprivation
2.3.3. Built Environment Variables
2.4. Statistical Analyses
3. Results
4. Discussion
4.1. Sociodemographic and Built Environment Associates of Car Travel to School
4.2. Implications of Study Findings
4.3. Study Strengths and Limitations
5. Conclusions
Supplementary Materials
Author Contributions
Funding
Acknowledgments
Conflicts of Interest
References
- Urry, J. The ‘system’ of automobility. Theory Cult. Soc. 2004, 21, 25–39. [Google Scholar] [CrossRef]
- Schwanen, T. Rethinking resilience as capacity to endure: Automobility and the city. City 2016, 20, 152–160. [Google Scholar] [CrossRef]
- Geels, F.W. A socio-technical analysis of low-carbon transitions: Introducing the multi-level perspective into transport studies. J. Transp. Geogr. 2012, 24, 471–482. [Google Scholar] [CrossRef]
- Hopkins, D.; Brand, C. The Energy Implications of Transport Planning. In The International Encyclopedia of Transportation; Elsevier: London, UK, 2021. [Google Scholar]
- Sims, R.; Schaeffer, R.; Creutzig, F.; Cruz-Núñez, X.; D’Agostom, M.; Dimitriu, D.; Figueroa Meza, M.J.; Fulton, L.; Kobayashi, S.; Lah, O.; et al. Transport. In Climate Change 2014: Mitigation of Climate Change; Contribution of Working Group III to the Fifth Assessment Report of the Intergovernmental Panel on Climate Change; Edenhofer, O., Pichs-Madruga, R., Sokona, Y., Minh, J.C., Farahani, E., Kedner, S., Seyboth, K., Adler, A., Baum, I., Brunner, S., et al., Eds.; Cambridge University Press: Cambridge, UK; New York, NY, USA, 2014; pp. 599–670. [Google Scholar]
- IEA. Tracking Transport 2020. Available online: https://www.iea.org/reports/tracking-transport-2020 (accessed on 1 May 2020).
- Creutzig, F.; Jochem, P.; Edelenbosch, O.Y.; Mattauch, L.; van Vuuren, D.P.; McCollum, D.; Minx, J. Transport: A roadblock to climate change mitigation? Science 2015, 350, 911–912. [Google Scholar] [CrossRef]
- The Organisation for Economic Co-operation and Development (OECD). Transport. Performance Indicators: Passenger Cars per One Thousand Inhabitants 2019. Available online: https://www.oecd-ilibrary.org/transport/data/itf-transport-statistics/transport-performance-indicators_2122fa17-en (accessed on 3 May 2019).
- Ministry of Transport. New Zealand Household Travel Survey 2015–2017; Ministry of Transport: Wellington, New Zeland, 2017. [Google Scholar]
- Neves, A.; Brand, C. Assessing the potential for carbon emissions savings from replacing short car trips with walking and cycling using a mixed gps-travel diary approach. Transp. Res. Part A Policy Pract. 2019, 123, 130–146. [Google Scholar] [CrossRef]
- Ministry of Transport. 25 Years of New Zealand Travel: New Zealand Household Travel 1989–2014; Ministry of Transport: Wellington, New Zealand, 2015. [Google Scholar]
- New Zealand Transport Agency. Learning to Drive: Getting Your Car Licence; New Zealand Transport Agency: Wellington, New Zealand, 2018. [Google Scholar]
- Guthold, R.; Stevens, G.A.; Riley, L.M.; Bull, F.C. Worldwide trends in insufficient physical activity from 2001 to 2016: A pooled analysis of 358 population-based surveys with 19 million participants . Lancet Glob. Health 2018, 6, 1077–1086. [Google Scholar] [CrossRef]
- Organisation for Economic Co-operation and Development. Obesity Update 2017; OECD: Paris, France, 2017. [Google Scholar]
- Smith, M.; Ikeda, E.; Hinckson, E.; Duncan, S.; Maddison, R.; Meredith-Jones, K.; Walker, C.; Mandic, S. New Zealand’s 2018 Report Card on Physical Activity for Children and Youth; The University of Auckland: Auckland, New Zealand, 2018. [Google Scholar]
- Ministry of Health. Annual Update of Key Results 2017/18: New Zealand Health Survey 2019. Available online: https://www.health.govt.nz/publication/annual-update-key-results-2017-18-new-zealand-health-survey (accessed on 26 August 2019).
- The Organisation for Economic Co-operation and Development (OECD). Road Accidents 2019. Available online: https://data.oecd.org/transport/road-accidents.htm (accessed on 3 May 2019).
- Ministry of Transport. Ministry of Transport Four Year Plan 2017; Ministry of Transport: Wellington, New Zealand, 2016; p. 14. [Google Scholar]
- Statistics New Zealand. New Zealand’s Greenhouse Gas Emissions. Available online: https://www.stats.govt.nz/indicators/new-zealands-greenhouse-gas-emissions (accessed on 1 May 2020).
- Wallis, I.; Lupton, D. The Cost of Congestion Reappraised; New Zealand Transport Agency: Wellington, New Zealand, 2013. [Google Scholar]
- New Zealand Government. Government Policy Statement on Land Transport: 2018/2019–2027/2028; Ministry of Transport: Wellington, New Zealand, 2018; p. 68. [Google Scholar]
- Mandic, S.; Jackson, A.; Lieswyn, J.; Mindell, J.S.; García Bengoechea, E.; Spence, J.C.; Wooliscroft, B.; Wade-Brown, C.; Coppell, K.; Hinckson, E. Turning the Tide—From Cars to Active Transport; University of Otago: Dunedin, New Zealand, 2019. [Google Scholar]
- Mandic, S.; Jackson, A.; Lieswyn, J.; Mindell, J.S.; García Bengoechea, E.; Spence, J.C.; Coppell, K.; Wade-Brown, C.; Wooliscroft, B.; Hinckson, E. Development of key policy recommendations for active transport in New Zealand: A multi-sector and multidisciplinary endeavour. J. Transp. Health 2020, 18, 100859. [Google Scholar] [CrossRef]
- Kek, C.C.; Bengoechea, E.G.; Spence, J.C.; Mandic, S. The relationship between transport-to-school habits and physical activity in a sample of new zealand adolescents. J. Sport Health Sci. 2019, 8, 463–470. [Google Scholar] [CrossRef]
- Woodcock, J.; Edwards, P.; Tonne, C.; Armstrong, B.G.; Ashiru, O.; Banister, D.; Beevers, S.; Chalabi, Z.; Chowdhury, Z.; Cohen, A.; et al. Public health benefits of strategies to reduce greenhouse-gas emissions: Urban land transport. Lancet 2009, 374, 1930–1943. [Google Scholar] [CrossRef]
- Stewart, T.; Duncan, S.; Schipperijn, J. Adolescents who engage in active school transport are also more active in other contexts: A space-time investigation. Health Place 2017, 43, 25–32. [Google Scholar] [CrossRef]
- Simons, D.; de Bourdeaudhuij, I.; Clarys, P.; de Geus, B.; Vandelanotte, C.; van Cauwenberg, J.; Deforche, B. Choice of transport mode in emerging adulthood: Differences between secondary school students, studying young adults and working young adults and relations with gender, ses and living environment. Transp. Res. Part A Policy Pract. 2017, 103, 172–184. [Google Scholar] [CrossRef]
- Beige, S.; Axhausen, K.W. Interdependencies between turning points in life and long-term mobility decisions. Transportation 2012, 39, 857–872. [Google Scholar] [CrossRef]
- Arnett, J.J. Emerging adulthood: A theory of development from the late teens through the twenties. Am. Psychol. 2000, 55, 469–480. [Google Scholar] [CrossRef] [PubMed]
- Hopkins, D.; Bengoechea, E.G.; Mandic, S. Adolescents and their aspirations for private car-based transport. Transportation 2019. [Google Scholar] [CrossRef]
- McDonald, N.C. Active transportation to school: Trends among u.S. Schoolchildren, 1969–2001. Am. J. Prev. Med. 2007, 32, 509–516. [Google Scholar] [CrossRef] [PubMed]
- Ikeda, E.; Stewart, T.; Garrett, N.; Egli, V.; Mandic, S.; Hosking, J.; Witten, K.; Hawley, G.; Tautolo, E.S.; Rodda, J.; et al. Built environment associates of active school travel in New Zealand children and youth: A systematic meta-analysis using individual participant data. J. Transp. Health 2018, 9, 117–131. [Google Scholar] [CrossRef]
- Ermagun, A.; Samimi, A. Mode choice and travel distance joint models in school trips. Transportation 2018, 45, 1755–1781. [Google Scholar] [CrossRef]
- Pabayo, R.; Gauvin, L.; Barnett, T.A. Longitudinal changes in active transportation to school in canadian youth aged 6 through 16 years. Pediatrics 2011, 128, 404–413. [Google Scholar] [CrossRef]
- Bringolf-Isler, B.; Grize, L.; Mader, U.; Ruch, N.; Sennhauser, F.H.; Braun-Fahrlander, C. Personal and environmental factors associated with active commuting to school in Switzerland. Prev. Med. 2008, 46, 67–73. [Google Scholar] [CrossRef]
- Uddin, R.; Mandic, S.; Khan, A. Active commuting to and from school among 106,605 adolescents in 27 asia-pacific countries. J. Transp. Health 2019, 15, 100637. [Google Scholar] [CrossRef]
- Mandic, S.; Hopkins, D.; Bengoechea, E.G.; Flaherty, C.; Williams, J.; Sloane, L.; Moore, A.; Spence, C.J. Adolescents’ perceptions of cycling versus walking to school: Understanding the new zealand context. J. Transp. Health 2017, 4, 294–304. [Google Scholar] [CrossRef]
- Hopkins, D.; Mandic, S. Perceptions of cycling amongst high school students and their parents. Int. J. Sustain. Transp. 2017, 11, 342–356. [Google Scholar] [CrossRef]
- Huertas-Delgado, F.J.; Herrador-Colmenero, M.; Villa-Gonzalez, E.; Aranda-Balboa, M.J.; Caceres, M.V.; Mandic, S.; Chillón, P. Parental perceptions of barriers to active commuting to school in spanish children and adolescents. Eur. J. Public Health 2017, 27, 416–421. [Google Scholar] [CrossRef] [PubMed]
- Frater, J.; Williams, J.; Hopkins, D.; Flaherty, C.; Moore, A.; Kingham, S.; Kuijer, R.; Mandic, S. A tale of two new zealand cities: Cycling to school among adolescents in christchurch and dunedin. Transp Res. Part F Psychol. Behav. 2017, 49, 205–214. [Google Scholar] [CrossRef]
- Ikeda, E.; Hinckson, E.; Witten, K.; Smith, M. Assessment of direct and indirect associations between children active school travel and environmental, household and child factors using structural equation modelling. Int. J. Behav. Nutr. Phys. Act. 2019, 16, 32. [Google Scholar] [CrossRef]
- Keall, M.; Hopkins, D.; Coppell, K.; Sandretto, S.; Bengoechea, E.G.; Spence, J.C.; Wilson, G.; Mandic, S. Implications of attending the closest school on adolescents’ physical activity and car travel in dunedin. J. Transp. Health 2020, 18, 100900. [Google Scholar] [CrossRef]
- Ikeda, E.; Mavoa, S.; Cavadino, A.; Carroll, P.; Hinckson, E.; Witten, K.; Smith, M. Keeping kids safe for active travel to school: A mixed method examination of school policies and practices and children’s school travel behaviour. Travel Behav. Soc. 2020, 21, 57–68. [Google Scholar] [CrossRef]
- Wong, B.Y.; Faulkner, G.; Buliung, R. Gis measured environmental correlates of active school transport: A systematic review of 14 studies. Int. J. Behav. Nutr. Phys. Act. 2011, 8, 39. [Google Scholar] [CrossRef]
- Pocock, T.; Moore, A.; Keall, M.; Mandic, S. Physical and spatial assessment of school neighbourhood built environments for active transport to school in adolescents from Dunedin (New Zealand). Health Place 2019, 55, 1–8. [Google Scholar] [CrossRef]
- Mandic, S.; Sandretto, S.; Bengoechea, E.G.; Hopkins, D.; Moore, A.; Rodda, J.; Wilson, G. Enrolling in the closest school or not? Implications of school choice decisions for active transport to school. J. Transp. Health 2017, 6, 347–357. [Google Scholar]
- Mandic, S.; Sandretto, S.; Hopkins, D.; Wilson, G.; Moore, A.; Bengoechea, E.G. “I wanted to go here”: Adolescents’ perspectives on school choice. J. Sch. Choice 2018, 12, 98–122. [Google Scholar] [CrossRef]
- Wilson, E.J.; Marshall, J.; Wilson, R.; Krizek, J.K. By foot, bus or car: Children’s school travel and school choice policy. Environ. Plan. A 2010, 42, 2168–2185. [Google Scholar] [CrossRef]
- Thomson, K.S. Externalities and school enrollment policy: A supply-side analysis of school choice in new zealand. J. Sch. Choice 2010, 4, 418–449. [Google Scholar] [CrossRef]
- Wen, L.M.; Fry, D.; Rissel, C.; Dirkis, H.; Balafas, A.; Merom, D. Factors associated with children being driven to school: Implications for walk to school programs. Health Educ. Res. 2008, 23, 325–334. [Google Scholar] [CrossRef]
- Barnett, A.; Akram, M.; Sit, C.H.; Mellecker, R.; Carver, A.; Cerin, E. Predictors of healthier and more sustainable school travel mode profiles among hong kong adolescents. Int. J. Behav. Nutr. Phys. Act. 2019, 16, 48. [Google Scholar] [CrossRef]
- Faulkner, G.E.; Richichi, V.; Buliung, R.N.; Fusco, C.; Moola, F. What’s “quickest and easiest?”: Parental decision making about school trip mode. Int. J. Behav. Nutr. Phys. Act. 2010, 7, 62. [Google Scholar]
- Mandic, S.; de la Barra, S.L.; Bengoechea, E.G.; Stevens, E.; Flaherty, C.; Moore, A.; Middlemiss, M.; Williams, J.; Skidmore, P. Personal, social and environmental correlates of active transport to school among adolescents in Otago, New Zealand. J. Sci. Med. Sport 2015, 18, 432–437. [Google Scholar] [CrossRef]
- Mindell, J.S.; Ergler, C.; Hopkins, D.; Mandic, S. Taking the bus? Barriers and facilitators for adolescent use of public buses to school. Travel Behav. Soc. 2021, 22, 48–58. [Google Scholar]
- Pesola, A.J.; Hakala, P.; Berg, P.; Ramezani, S.; Villanueva, K.; Tuuva-Hongisto, S.; Ronkainen, J.; Laatikainen, E.T. Does free public transit increase physical activity and independent mobility in children? Study protocol for comparing children’s activity between two finnish towns with and without free public transit. BMC Public Health 2020, 20, 342. [Google Scholar] [CrossRef]
- Voss, C.; Winters, M.; Frazer, A.; McKay, H. School-travel by public transit: Rethinking active transportation. Prev. Med. Rep. 2015, 2, 65–70. [Google Scholar] [CrossRef]
- Durand, C.P.; Gabriel, K.K.P.; Hoelscher, D.M.; Kohl, H.W., 3rd. Transit use by children and adolescents: An overlooked source of and opportunity for physical activity? J. Phys. Act. Health 2016, 13, 861–866. [Google Scholar] [CrossRef] [PubMed]
- Mandic, S.; Hopkins, D.; Bengoechea, E.G.; Flaherty, C.; Coppell, K.; Moore, A.; Williams, J.; Spence, C.J. Differences in parental perceptions of walking and cycling to high school according to distance. Transp. Res. Part F Psychol. Behav. 2020, 71, 238–249. [Google Scholar] [CrossRef]
- Statistics New Zealand. Population. Available online: https://www.stats.govt.nz/topics/population (accessed on 26 August 2019).
- Statistics New Zealand. Census Quickstats About a Place: Auckland 2013. Available online: http://archive.stats.govt.nz/Census/2013-census/profile-and-summary-reports/quickstats-about-a-place.aspx?request_value=13171&parent_id=13170&tabname=#13171 (accessed on 26 August 2019).
- United Nations Development Programme. Human Development Indices and Indicators: 2018 Statistical Update; United Nations: Wellington, New Zealand, 2018. [Google Scholar]
- Wilson, N.; Boyd, M.; Teng, A.T. Blakely, A Century of Health Inequalities in NZ—New Data, in Public Health Expert; University of Otago: Dunedin, New Zealand, 2018. [Google Scholar]
- Environmental Health Indicators New Zealand. Number of Motor Vehicles in New Zealand; Massey University: Wellington, New Zealand, 2017. [Google Scholar]
- The Guardian. New Zealand Raises Driving Age to 16. The Guardian Online, 1 August 2011. [Google Scholar]
- Hinckson, E.A.; Duncan, S.; Oliver, M.; Mavoa, S.; Cerin, E.; Badland, H.; Stewart, T.; Ivory, V.; McPhee, J.; Schofield, G. Built environment and physical activity in New Zealand adolescents: A protocol for a cross-sectional study. BMJ Open 2014, 4, 004475. [Google Scholar] [CrossRef] [PubMed]
- Mandic, S.; Williams, J.; Moore, A.; Hopkins, D.; Flaherty, C.; Wilson, G.; Bengoechea, E.G.; Spence, C.J. Built Environment and Active Transport to School (BEATS) study: Protocol for a cross-sectional study. BMJ Open 2016, 6, 011196. [Google Scholar] [CrossRef]
- Oliver, M.; Witten, K.; Kearns, R.A.; Mavoa, S.; Badland, H.M.; Carroll, P.; Drumheller, C.; Tavae, N.; Asiasiga, L.; Jelley, S.; et al. Kids in the City Study: Research design and methodology. BMC Public Health 2011, 11, 587. [Google Scholar] [CrossRef]
- Rush, E.; Oliver, M.; Plank, L.D.; Taylor, S.; Iusitini, L.; Jalili-Moghaddam, S.; Savila, F.; Paterson, J.; Tautolo, E. Cohort profile: Pacific Islands Families (PIF) Growth Study, Auckland, New Zealand. BMJ Open 2016, 6, 013407. [Google Scholar] [CrossRef]
- Oliver, M.; Badland, H.; Mavoa, S.; Witten, K.; Kearns, R.; Ellaway, A.; Hinckson, E.; Mackay, L. Schluter Environmental and socio-demographic associates of children’s active transport to school: A cross-sectional investigation from the URBAN study. Int. J. Behav. Nutr. Phys. Act. 2014, 11, 70. [Google Scholar] [CrossRef]
- Ministry of Education. School Deciles 2019. Available online: https://www.education.govt.nz/school/funding-and-financials/resourcing/operational-funding/school-decile-ratings/ (accessed on 17 August 2019).
- Ministry of Health. A Portrait of Health: Key Results of the 2002/03 New Zealand Health Survey; Ministry of Health: Wellington, New Zealand, 2004. [Google Scholar]
- Atkinson, J.; Salmond, C.; Crampton, P. NZDep2013 Index of Deprivation; University of Otago: Dunedin, New Zealand, 2014. [Google Scholar]
- De Onis, M.; Onyango, A.W.; Borghi, E.; Siyam, A.; Nishida, C.J. Siekmann Development of a WHO growth reference for school-aged children and adolescents. Bull. World Health Organ. 2007, 89, 660–667. [Google Scholar] [CrossRef]
- Education Counts. New Zealand Schools. Available online: https://www.educationcounts.govt.nz/data-services/directories/list-of-nz-schools (accessed on 26 August 2019).
- Statistics New Zealand. 2013 Census Meshblock Dataset 30 September 2014. Available online: http://archive.stats.govt.nz/Census/2013-census/data-tables/meshblock-dataset.aspx?url=/Census/2013-census/data-tables/meshblock-dataset.aspx (accessed on 6 December 2017).
- Chillón, P.; Hales, D.; Vaughn, A.; Gizlice, Z.; Ni, A.; Ward, S.D. A cross-sectional study of demographic, environmental and parental barriers to active school travel among children in the united states. Int. J. Behav. Nutr. Phys. Act. 2014, 11, 1–10. [Google Scholar] [CrossRef]
- Christiansen, L.B.; Toftager, M.; Schipperijn, J.; Ersbøll, A.K.; Giles-Corti, B.J. Troelsen, School site walkability and active school transport—association, mediation and moderation. J. Transp. Geogr. 2014, 34, 7–15. [Google Scholar] [CrossRef]
- Yu, C.-Y.; Zhu, X. From attitude to action: What shapes attitude toward walking to/from school and how does it influence actual behaviors? Prev. Med. 2016, 90, 72–78. [Google Scholar] [CrossRef] [PubMed]
- Chillón, P.; Panter, J.; Corder, K.; Jones, A.P.; van Sluijs, E.M. A longitudinal study of the distance that young people walk to school. Health Place 2015, 31, 133–137. [Google Scholar] [CrossRef] [PubMed]
- Nelson, N.M.; Foley, E.; O’Gorman, D.J.; Moyna, N.M.; Woods, B.C. Active commuting to school: How far is too far? Int. J. Behav. Nutr. Phys. Act. 2008, 5, 1–9. [Google Scholar] [CrossRef] [PubMed]
- Bere, E.; van der Horst, K.; Oenema, A.; Prins, R.; Brug, J. Socio-demographic factors as correlates of active commuting to school in rotterdam, the netherlands. Prev. Med. 2008, 47, 412–416. [Google Scholar] [CrossRef]
- Van Dyck, D.; de Bourdeaudhuij, I.; Cardon, G.; Deforche, B. Criterion distances and correlates of active transportation to school in Belgian older adolescents. Int. J. Behav. Nutr. Phys. Act. 2010, 7, 87. [Google Scholar] [CrossRef]
- D’Haese, S.; de Meester, F.; de Bourdeaudhuij, I.; Deforche, B.; Cardon, G. Criterion distances and environmental correlates of active commuting to school in children. Int. J. Behav. Nutr. Phys. Act. 2011, 8, 88. [Google Scholar] [CrossRef]
- Porskamp, T.; Egler, C.; Pilot, E.; Sushama, P.; Mandic, S. The importance of social capital for young people’s active transport and independent mobility in rural Otago, New Zealand. Health Place 2019, 60, 102216. [Google Scholar] [CrossRef]
- Ikeda, E.; Hinckson, E.; Witten, K.; Smith, M. Associations of children’s active school travel with perceptions of the physical environment and characteristics of the social environment: A systematic review. Health Place 2018, 54, 118–131. [Google Scholar] [CrossRef]
- Aibar, A.; Bois, J.; Generelo, E.; Bengoechea, E.G.; Paillard, T.; Zaragoza, J. Effect of weather, school transport, and perceived neighborhood characteristics on moderate to vigorous physical activity levels of adolescents from two european cities. Environ. Behav. 2015, 47, 395–417. [Google Scholar] [CrossRef]
- Davison, L.; Curl, A. A transport and health geography perspective on walking and cycling. J. Transp. Health 2014, 1, 341–345. [Google Scholar] [CrossRef]
- Hopkins, D. Can environmental awareness explain declining preference for car-based mobility amongst generation y? A qualitative examination of learn to drive behaviours. Transp. Res. Part A Policy Pract. 2016, 94, 149–163. [Google Scholar] [CrossRef]
- Ward, A.; Lewis, S.R.; Weiss, H. Mobility management to prevent, reduce, or delay driving a car in teenagers. Cochrane Database Syst. Rev. 2020, 8. [Google Scholar] [CrossRef]
- Davison, K.K.; Werder, J.L.; Lawson, C.T. Children’s active commuting to school: Current knowledge and future directions. Prev. Chronic Dis. 2008, 5, A100. [Google Scholar] [PubMed]
- Sandretto, S.; Hopkins, D.; Wilson, G.; Mandic, S. Competing tensions: Active transport to school, school choice and policy making. J. Transp. Health 2020, 18, 100908. [Google Scholar] [CrossRef]
- Schlossberg, M.; Greene, J.; Phillips, P.P.; Johnson, B.; Parker, B. School trips: Effects of urban form and distance on travel mode. J. Am. Plan. Assoc. 2006, 72, 337–346. [Google Scholar] [CrossRef]
- Carlson, J.A.; Sallis, J.F.; Kerr, J.; Conway, T.L.; Cain, K.; Frank, L.D.; Saelens, E.B. Built environment characteristics and parent active transportation are associated with active travel to school in youth age 12–15. Br. J. Sports Med. 2014, 48, 1634–1639. [Google Scholar] [CrossRef] [PubMed]
- Timperio, A.; Ball, K.; Salmon, J.; Roberts, R.; Giles-Corti, B.; Simmons, D.; Baur, L.A.; Crawford, D. Personal, family, social, and environmental correlates of active commuting to school. Am. J. Prev. Med. 2006, 30, 45–51. [Google Scholar] [CrossRef] [PubMed]
- Mitra, R.; Buliung, R.N. Built environment correlates of active school transportation: Neighborhood and the modifiable areal unit problem. J. Transp. Geogr. 2012, 20, 51–61. [Google Scholar] [CrossRef]
- Smith, M.; Cui, J.; Ikeda, E.; Mavoa, S.; Hasanzadeh, K.; Zhao, J.; Laatikainen, T.E.; Donnellan, N.; Kyttä, M. Objective measurement of children’s physical activity geographies: A systematic search and scoping review. Health Place 2021, 67, 102489. [Google Scholar] [CrossRef]
- Ding, D.; Nguyen, B.; Learnihan, V.; Bauman, A.E.; Davey, R.; Jalaludin, B.; Gebel, K. Moving to an active lifestyle? A systematic review of the effects of residential relocation on walking, physical activity and travel behaviour. Br. J. Sports Med. 2018, 52, 789–799. [Google Scholar]
- Gustat, J.; Richards, K.; Rice, J.; Andersen, L.; Parker-Karst, K.; Cole, S. Youth walking and biking rates vary by environments around 5 louisiana schools. J. Sch. Health 2015, 85, 36–42. [Google Scholar] [CrossRef] [PubMed]
- Rahman, M.L.; Moore, A.; Smith, M.; Lieswyn, J.; Mandic, S. A conceptual framework for modelling safe walking and cycling routes to high schools. Int. J. Environ. Res. Public Health 2020, 17, 3318. [Google Scholar] [CrossRef] [PubMed]


| Total Sample | Car Transport n (%) | Active Transport n (%) | OR 1 (95% CI 2) | p-Value | |
|---|---|---|---|---|---|
| Age (years) | |||||
| 13 | 197 | 124 (62.9) | 73 (37.1) | 0.80 (0.55, 1.16) | |
| 14 | 848 | 512 (60.4) | 336 (39.6) | 0.71 (0.53, 0.95) | |
| 15 | 491 | 280 (57.0) | 211 (43.0) | 0.64 (0.47, 0.86) | |
| 16 | 277 | 151 (54.5) | 126 (45.5) | 0.60 (0.43, 0.84) | |
| 17 or older (Reference) | 349 | 232 (66.5) | 117 (33.5) | 0.02 | |
| Sex | |||||
| Male (Reference) | 1056 | 611 (57.9) | 445 (42.1) | ||
| Female | 1107 | 688 (62.1) | 419 (37.9) | 1.12 (0.94, 1.34) | 0.20 |
| Ethnicity | |||||
| New Zealand European (Reference) | 1176 | 719 (61.1) | 457 (38.9) | ||
| Māori | 145 | 76 (52.4) | 69 (47.6) | 0.66 (0.46, 0.94) | |
| Pacific | 567 | 360 (63.5) | 207 (36.5) | 1.31 (0.86, 1.99) | |
| Asian | 105 | 55 (52.4) | 50 (47.6) | 0.98 (0.65, 1.50) | |
| Other | 166 | 87 (52.4) | 79 (47.6) | 0.74 (0.53, 1.04) | 0.03 |
| Weight status category | |||||
| Underweight | 14 | 10 (71.4) | 4 (28.6) | 1.99 (0.58, 6.77) | |
| Normal weight (Reference) | 1174 | 682 (58.1) | 492 (41.9) | ||
| Overweight | 455 | 283 (62.2) | 172 (37.8) | 1.14 (0.90, 1.43) | |
| Obese | 428 | 264 (61.7) | 164 (38.3) | 1.10 (0.84, 1.44) | 0.50 |
| New Zealand Deprivation score | |||||
| Low deprivation (Reference) | 726 | 488 (67.2) | 238 (32.8) | ||
| Medium deprivation | 677 | 365 (53.9) | 312 (46.1) | 0.55 (0.44, 0.69) | |
| High deprivation | 739 | 430 (58.2) | 309 (41.8) | 0.46 (0.35, 0.61) | <0.0001 |
| Number of individuals living in a household | |||||
| 2 (Reference) | 72 | 37 (51.4) | 35 (48.6) | ||
| 3 | 345 | 185 (53.6) | 160 (46.4) | 1.01 (0.60, 1.70) | |
| 4 | 676 | 422 (62.4) | 254 (37.6) | 1.55 (0.94, 2.55) | |
| 5 | 483 | 294 (60.9) | 189 (39.1) | 1.42 (0.85, 2.36) | |
| 6 or more | 578 | 355 (61.4) | 223 (38.6) | 1.51 (0.90, 2.53) | 0.02 |
| Number of siblings | |||||
| 0 (Reference) | 214 | 108 (50.5) | 106 (49.5) | ||
| 1 | 693 | 428 (61.8) | 265 (38.2) | 1.33 (0.97, 1.84) | |
| 2 | 555 | 332 (59.8) | 223 (40.2) | 1.14 (0.82, 1.58) | |
| 3 or more | 701 | 431 (61.5) | 270 (38.5) | 1.11 (0.80, 1.54) | 0.22 |
| School decile | |||||
| Low deprivation | 950 | 625 (65.8) | 325 (34.2) | 2.00 (1.60, 2.42) | |
| Medium deprivation (Reference) | 716 | 369 (51.5) | 347 (48.5) | ||
| High deprivation | 494 | 302 (61.1) | 192 (38.9) | 1.30 (0.87, 1.94) | <0.0001 |
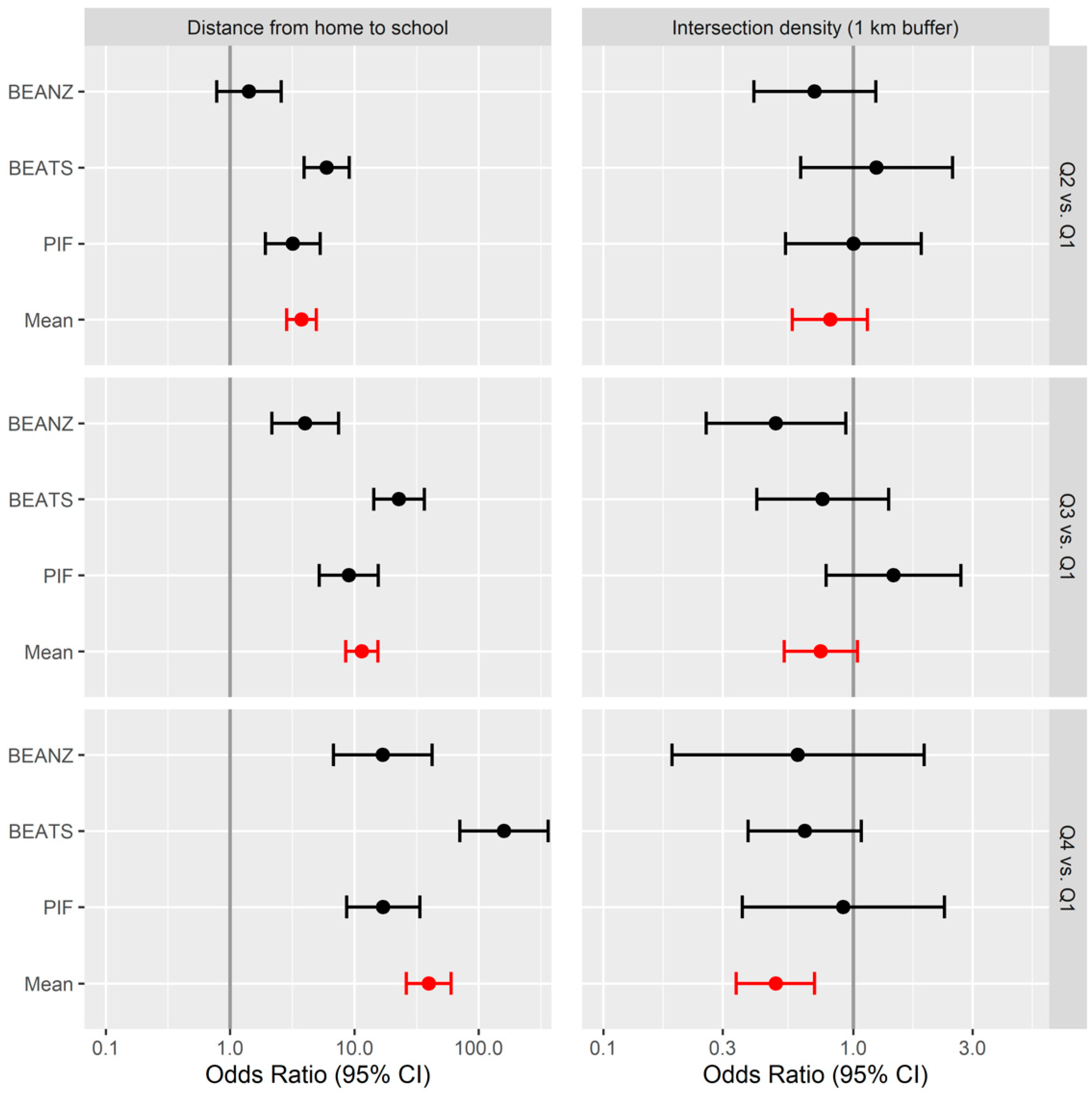
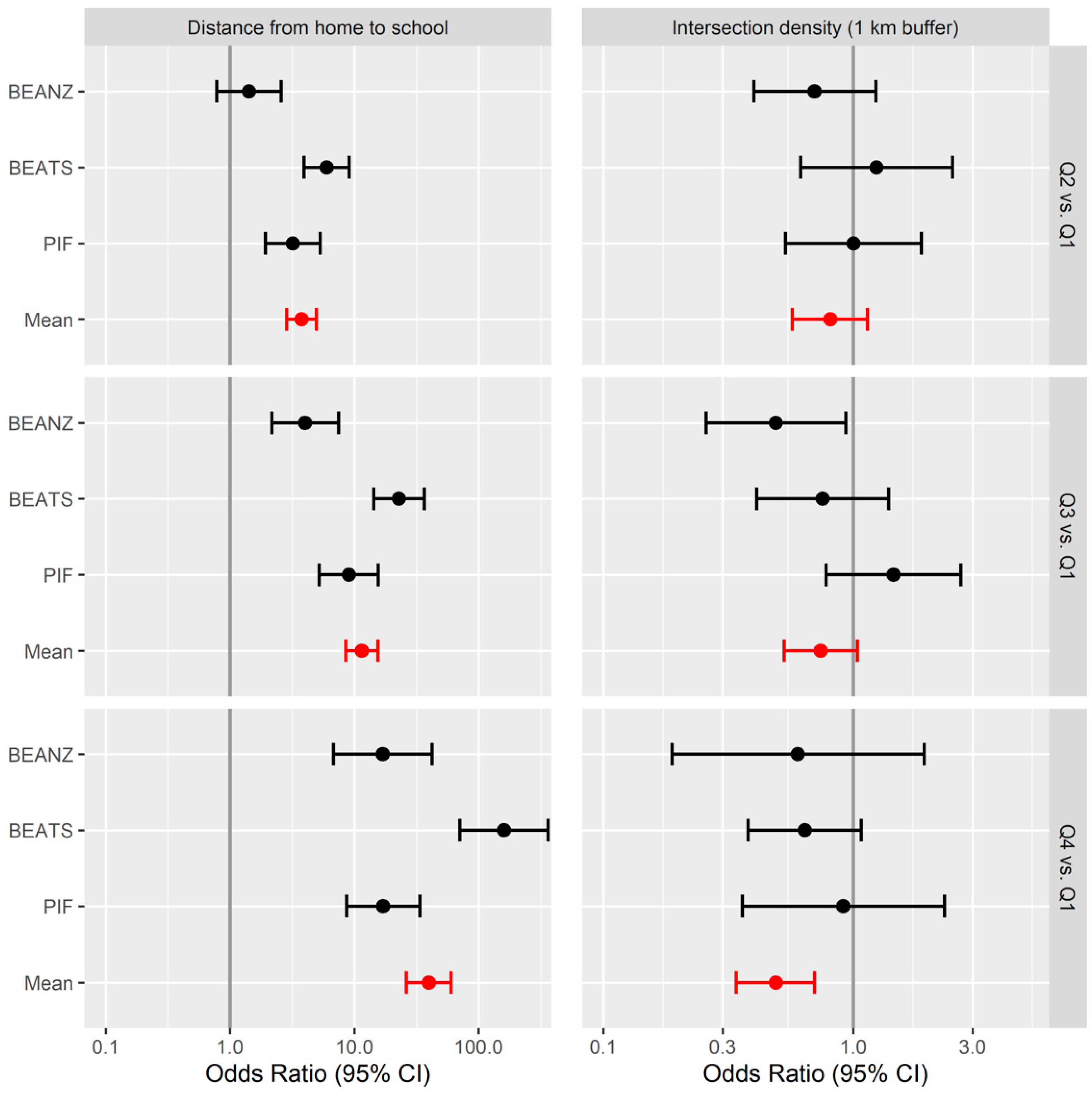
| Distance from home to school | |||||
| Q1 < 1.48 km (Reference) | 539 | 121 (22.4) | 418 (77.6) | ||
| Q2 1.48–2.60 km | 540 | 264 (48.9) | 276 (51.1) | 3.62 (2.76, 4.73) | |
| Q3 2.61–4.99 km | 539 | 412 (76.4) | 127 (23.6) | 11.86 (8.88, 15.83) | |
| Q4 ≥ 5.00 km | 540 | 501 (92.8) | 39 (7.2) | 42.97 (29.23, 63.19) | <0.0001 |
| Home neighbourhood dwellings density (per km2) | |||||
| [400 m buffer] | |||||
| Q1 < 743 (Reference) | 539 | 419 (77.7) | 120 (22.3) | ||
| Q2 743–970 | 540 | 333 (61.7) | 207 (38.3) | 0.47 (0.36, 0.62) | |
| Q3 971–1139 | 540 | 291 (53.9) | 249 (46.1) | 0.35 (0.27, 0.46) | |
| Q4 ≥ 1140 | 540 | 255 (47.2) | 285 (52.8) | 0.28 (0.21, 0.36) | <0.0001 |
| [1 km buffer] | |||||
| Q1 < 643 (Reference) | 539 | 437 (81.1) | 102 (18.9) | ||
| Q2 643–903 | 540 | 326 (60.4) | 214 (39.6) | 0.38 (0.28, 0.50) | |
| Q3 904–1028 | 540 | 291 (53.9) | 249 (46.1) | 0.29 (0.22, 0.39) | |
| Q4 ≥ 1029 | 540 | 244 (45.2) | 296 (54.8) | 0.22 (0.16, 0.29) | <0.0001 |
| Home neighbourhood intersection density (per km2) | |||||
| [400 m buffer] | |||||
| Q1 < 26.7 (Reference) | 540 | 390 (72.2) | 150 (27.8) | ||
| Q2 26.7–39.0 | 539 | 329 (61.0) | 210 (39.0) | 0.64 (0.49, 0.84) | |
| Q3 39.1–52.4 | 543 | 313 (57.6) | 230 (42.4) | 0.52 (0.40, 0.68) | |
| Q4 ≥ 52.5 | 541 | 267 (49.4) | 274 (50.6) | 0.30 (0.23, 0.40) | <0.0001 |
| [1 km buffer] | |||||
| Q1 < 26.2 (Reference) | 539 | 401 (74.4) | 138 (25.6) | ||
| Q2 26.2–35.2 | 540 | 329 (60.9) | 211 (39.1) | 0.65 (0.49, 0.86) | |
| Q3 35.3–45.4 | 543 | 312 (57.5) | 231 (42.5) | 0.48 (0.36, 0.63) | |
| Q4 ≥ 45.5 | 541 | 257 (47.5) | 284 (52.5) | 0.20 (0.15, 0.27) | <0.0001 |
| Home neighbourhood land use mix | |||||
| [400 m buffer] | |||||
| Q1 < 0.01 (Reference) | 545 | 336 (61.7) | 209 (38.3) | ||
| Q2 0.01–0.19 | 502 | 293 (58.4) | 209 (41.6) | 1.25 (0.95, 1.64) | |
| Q3 0.20–0.31 | 519 | 315 (60.7) | 204 (39.3) | 1.63 (1.22, 2.19) | |
| Q4 ≥ 0.32 | 578 | 342 (59.2) | 236 (40.8) | 1.51 (1.13, 2.03) | 0.008 |
| [1 km buffer] | |||||
| Q1 < 0.17 (Reference) | 522 | 319 (61.1) | 203 (38.9) | ||
| Q2 0.17–0.31 | 519 | 300 (57.8) | 219 (42.2) | 1.32 (1.00, 1.73) | |
| Q3 0.32–0.40 | 520 | 321 (61.7) | 199 (38.3) | 1.52 (1.14, 2.03) | |
| Q4 ≥ 0.41 | 588 | 348 (59.2) | 240 (40.8) | 1.49 (1.12, 1.99) | 0.02 |
| OR 1 | 95% CI 2 | p-Value | |
|---|---|---|---|
| Age (years) | |||
| 13 | 0.73 | (0.46, 1.16) | |
| 14 | 0.71 | (0.50, 1.01) | |
| 15 | 0.55 | (0.38, 0.79) | |
| 16 | 0.61 | (0.41, 0.91) | |
| 17 or older (Reference) | 0.02 | ||
| Sex | |||
| Male (Reference) | |||
| Female | 1.24 | (1.00, 1.53) | 0.05 |
| Ethnicity * | |||
| New Zealand European (Reference) | |||
| Māori | 0.73 | (0.47, 1.15) | |
| Pacific | 1.59 | (0.97, 2.59) | |
| Asian | 1.01 | (0.61, 1.68) | |
| Other | 0.85 | (0.57, 1.28) | 0.12 |
| School decile | |||
| Low deprivation | 1.95 | (1.50, 2.53) | |
| Medium deprivation (Ref) | |||
| High deprivation | 2.85 | (1.73, 4.72) | <0.0001 |
| Distance from home to school | |||
| Q1 3 < 1.48 km (Reference) | |||
| Q2 1.48–2.60 km | 3.76 | (2.86, 4.96) | |
| Q3 2.61–4.99 km | 11.51 | (8.53, 15.53) | |
| Q4 ≥ 5.00 km | 39.71 | (26.21, 60.15) | <0.0001 |
| Home neighbourhood intersection density (per km2) [1 km buffer] | |||
| Q1 < 26.2 (Reference) | |||
| Q2 26.2–35.2 | 0.81 | (0.57, 1.14) | |
| Q3 35.3–45.4 | 0.74 | (0.53, 1.04) | |
| Q4 ≥ 45.5 | 0.49 | (0.34, 0.70) | 0.001 |
Publisher’s Note: MDPI stays neutral with regard to jurisdictional claims in published maps and institutional affiliations. |
© 2020 by the authors. Licensee MDPI, Basel, Switzerland. This article is an open access article distributed under the terms and conditions of the Creative Commons Attribution (CC BY) license (http://creativecommons.org/licenses/by/4.0/).
Share and Cite
Mandic, S.; Ikeda, E.; Stewart, T.; Garrett, N.; Hopkins, D.; Mindell, J.S.; Tautolo, E.S.; Smith, M. Sociodemographic and Built Environment Associates of Travel to School by Car among New Zealand Adolescents: Meta-Analysis. Int. J. Environ. Res. Public Health 2020, 17, 9138. https://doi.org/10.3390/ijerph17239138
Mandic S, Ikeda E, Stewart T, Garrett N, Hopkins D, Mindell JS, Tautolo ES, Smith M. Sociodemographic and Built Environment Associates of Travel to School by Car among New Zealand Adolescents: Meta-Analysis. International Journal of Environmental Research and Public Health. 2020; 17(23):9138. https://doi.org/10.3390/ijerph17239138
Chicago/Turabian StyleMandic, Sandra, Erika Ikeda, Tom Stewart, Nicholas Garrett, Debbie Hopkins, Jennifer S. Mindell, El Shadan Tautolo, and Melody Smith. 2020. "Sociodemographic and Built Environment Associates of Travel to School by Car among New Zealand Adolescents: Meta-Analysis" International Journal of Environmental Research and Public Health 17, no. 23: 9138. https://doi.org/10.3390/ijerph17239138
APA StyleMandic, S., Ikeda, E., Stewart, T., Garrett, N., Hopkins, D., Mindell, J. S., Tautolo, E. S., & Smith, M. (2020). Sociodemographic and Built Environment Associates of Travel to School by Car among New Zealand Adolescents: Meta-Analysis. International Journal of Environmental Research and Public Health, 17(23), 9138. https://doi.org/10.3390/ijerph17239138

