Thermal Behavior Augments Heat Loss Following Low Intensity Exercise
Abstract
1. Introduction
2. Materials and Methods
2.1. Subjects
2.2. Instrumentation and Measurements
2.3. Study Design and Experimental Protocols
2.4. Data and Statistical Analyses
3. Results
3.1. Exercise Stimulus
3.2. Exercise Recovery
3.2.1. Body Temperatures
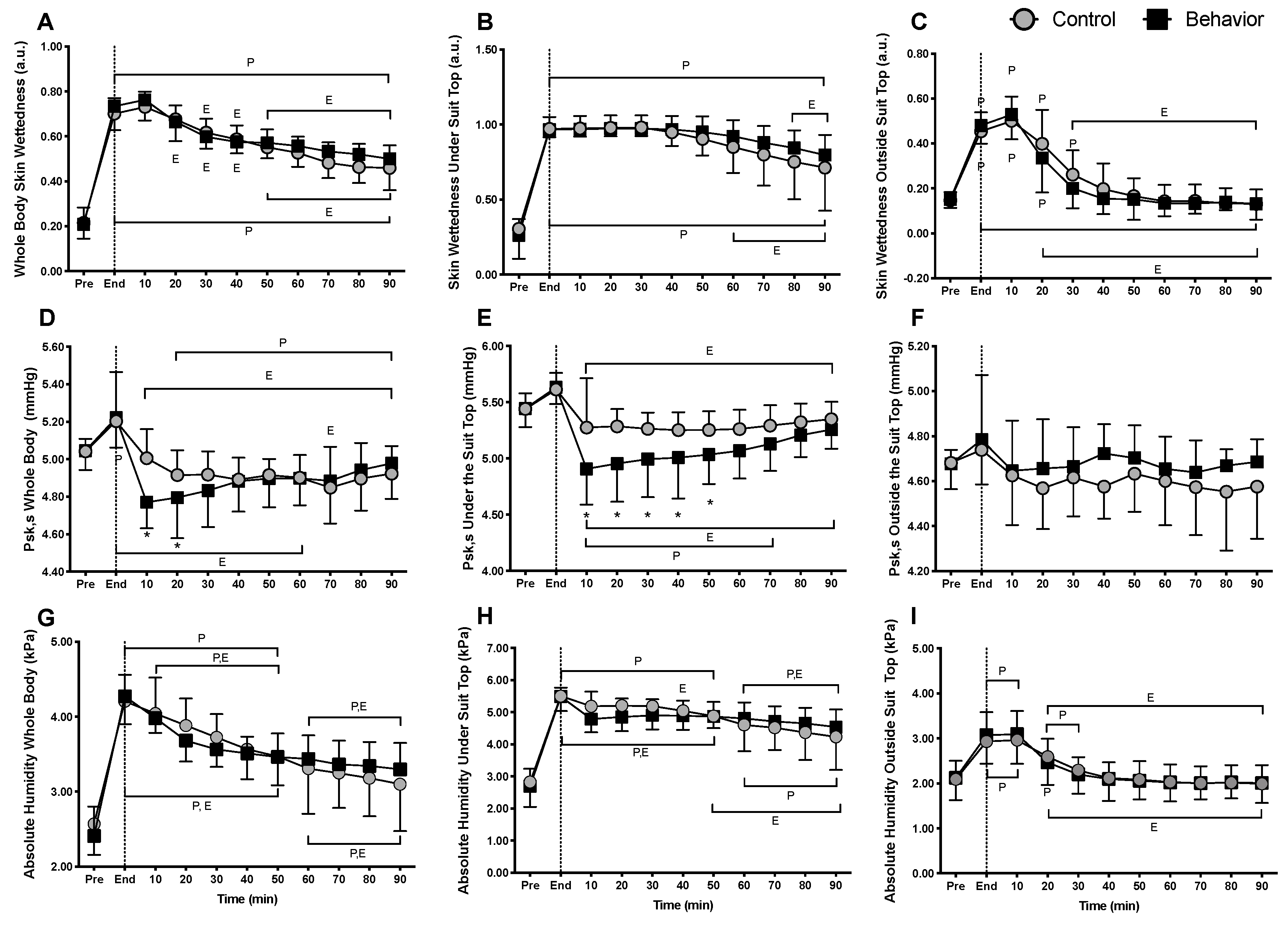
3.2.2. Skin Wettedness and Skin Absolute Humidity
3.2.3. Thermoeffector Responses
3.2.4. Perceptual Responses
3.2.5. Partitional Calorimetry
4. Discussion
4.1. Considerations
4.2. Perspectives
5. Conclusions
Author Contributions
Funding
Acknowledgments
Conflicts of Interest
Appendix A. Metabolic Heat Production Calculations
Appendix B. Skin Wettedness Calculations
Appendix C. Rate of Heat Storage Calculations
References
- Kenny, G.P.; Webb, P.; Ducharme, M.B.; Reardon, F.D.; Jay, O. Calorimetric measurement of postexercise net heat loss and residual body heat storage. Med. Sci. Sports Exerc. 2008, 40, 1629–1636. [Google Scholar] [CrossRef] [PubMed]
- Jay, O.; Gagnon, D.; DuCharme, M.B.; Webb, P.; Reardon, F.D.; Kenny, G.P. Human heat balance during postexercise recovery: Separating metabolic and nonthermal effects. Am. J. Physiol. Regul. Integr. Comp. Physiol. 2008, 294, R1586–R1592. [Google Scholar] [CrossRef] [PubMed]
- Kenny, G.P.; Périard, J.; Journeay, W.S.; Sigal, R.J.; Reardon, F.D. Effect of exercise intensity on the postexercise sweating threshold. J. Appl. Physiol. 2003, 95, 2355–2360. [Google Scholar] [CrossRef] [PubMed]
- Kenny, G.P.; McGinn, R. Restoration of thermoregulation after exercise. J. Appl. Physiol. 2017, 122, 933–944. [Google Scholar] [CrossRef] [PubMed]
- Kenny, G.P.; Reardon, F.D.; Giesbrecht, G.G.; Jetté, M.; Thoden, J.S. The effect of ambient temperature and exercise intensity on post-exercise thermal homeostasis. Eur. J. Appl. Physiol. Occup. Physiol. 1997, 76, 109–115. [Google Scholar] [CrossRef]
- Vargas, N.T.; Chapman, C.L.; Sackett, J.R.; Abdul-Rashed, J.; McBryde, M.; Johnson, B.D.; Gathercole, R.; Schlader, Z.J. Thermal behavior remains engaged following exercise despite autonomic thermoeffector withdrawal. Physiol. Behav. 2018, 188, 94–102. [Google Scholar] [CrossRef]
- Vargas, N.T.; Chapman, C.L.; Sackett, J.R.; Johnson, B.D.; Gathercole, R.; Schlader, Z.J. Thermal behavior differs between males and females during exercise and recovery. Med. Sci. Sports Exerc. 2019, 51, 141–152. [Google Scholar] [CrossRef]
- Mercer, J. Glossary of terms for thermal physiology. 3rd Edition, Revised by the IUPS Thermal Commission. Jpn. J. Physiol. 2001, 51, 245–280. [Google Scholar]
- Cabanac, M.; Massonnet, B.; Belaiche, R. Preferred skin temperature as a function of internal and mean skin temperature. J. Appl. Physiol. 1972, 33, 699–703. [Google Scholar] [CrossRef]
- Vargas, N.T.; Chapman, C.L.; Johnson, B.D.; Gathercole, R.; Schlader, Z.J. Exercise intensity independently modulates thermal behavior during exercise recovery, but not during exercise. J. Appl. Physiol. 2019, 46, 513–1159. [Google Scholar]
- Vargas, N.T.; Chapman, C.L.; Johnson, B.D.; Gathercole, R.; Schlader, Z.J. Skin wettedness is an important contributor to thermal behavior during exercise and recovery. Am. J. Physiol. Regul. Integr. Comp. Physiol. 2018, 25, R925–R933. [Google Scholar] [CrossRef] [PubMed]
- Vargas, N.T.; Chapman, C.L.; Johnson, B.D.; Gathercole, R.; Cramer, M.N.; Schlader, Z.J. Thermal behavior alleviates thermal discomfort during steady-state exercise without affecting whole-body heat loss. J. Appl. Physiol. 2019, 43, 599. [Google Scholar] [CrossRef] [PubMed]
- Bois Du, D.; Bois Du, E.F. A formula to estimate the approximate surface area if height and weight be known. Arch. Intern. Med. 1916, 73, 863–871. [Google Scholar] [CrossRef]
- Jackson, A.S.; Pollock, M.L. Generalized equations for predicting body density of men. Br. J. Nutr. 1978, 40, 497–504. [Google Scholar] [CrossRef] [PubMed]
- Jackson, A.S.; Pollock, M.L. Generalized equations for predicting body density of women. Med. Sci. Sports Exerc. 1980, 12, 175–181. [Google Scholar] [CrossRef] [PubMed]
- Siri, W.E. Body composition from fluid spaces and density: Analysis of methods. In Techniques for Measuring Body Composition; Brozek, J., Henschel, A., Eds.; National Academy of Sciences: Washington, DC, USA, 1961; Volume 9, pp. 223–244. [Google Scholar]
- Nassreddine, Z.S.; Phillips, N.A.; Bedirian, V.; Charbonneau, S.; Whitehead, V.; Collin, I.; Cummings, J.L.; Chertkow, H. The Montreal Cognitive Assessment, MoCA: A breif screening tool for mild cognitive impairment. J. Am. Geriatr. Soc. 2005, 53, 659–699. [Google Scholar] [CrossRef]
- Craig, C.L.; Marshall, A.L.; Sjostrom, M.; Bauman, A.E.; Booth, M.L.; Ainsworth, B.E.; Pratt, M.; Ekelund, U.; Yngve, A.; Sallis, J.F.; et al. International physical activity questionnaire: 12-country reliability and validity. Med. Sci. Sports Exerc. 2003, 35, 1381–1395. [Google Scholar] [CrossRef]
- Stolwijk, J.A.; Hardy, J.D. Partitional calorimetric studies of responses of man to thermal transients. J. Appl. Physiol. 1966, 21, 967–977. [Google Scholar] [CrossRef]
- Liu, W.; Lian, Z.; Deng, Q.; Liu, Y. Evaluation of calculation methods of mean skin temperature for use in thermal comfort study. Build. Environ. 2011, 46, 478–488. [Google Scholar] [CrossRef]
- Filingeri, D.; Fournet, D.; Hodder, S.; Havenith, G. Tactile cues significantly modulate the perception of sweat-induced skin wetness independently of the level of physical skin wetness. J. Neurophysiol. 2015, 113, 3462–3473. [Google Scholar] [CrossRef]
- Gagge, A.P. A new physiological variable associated with sensible and insensible perspiration. Am. J. Physiol. 1937, 120, 277–287. [Google Scholar] [CrossRef]
- Cabanac, M.; Cunningham, D.; Stolwijk, J. Thermoregulatory set point during exercise: A behavioral approach. J. Comp. Physiol. Psychol. 1971, 76, 94–102. [Google Scholar] [CrossRef] [PubMed]
- Schlader, Z.J.; Sackett, J.R.; Sarker, S.; Johnson, B.D. Orderly recruitment of thermoeffectors in resting humans. Am. J. Physiol. Regul. Integr. Comp. Physiol. 2017, 314, R171–R180. [Google Scholar] [CrossRef] [PubMed]
- Gagge, A.P.; Stolwijk, J.A.J.; Hardy, J.D. Comfort and thermal sensations and associated physiological responses at various ambient temperatures. Environ. Res. 1967, 1, 1–20. [Google Scholar] [CrossRef]
- Schlader, Z.J.; Sarker, S.; Mündel, T.; Coleman, G.L.; Chapman, C.L.; Sackett, J.R.; Johnson, B.D. Hemodynamic responses upon the initiation of thermoregulatory behavior in young healthy adults. Temp. 2016, 3, 271–285. [Google Scholar] [CrossRef]
- Filingeri, D.; Havenith, G. Human skin wetness perception: Psychophysical and neurophysiological bases. Temperature 2015, 2, 86–104. [Google Scholar] [CrossRef]
- Bongers, C.; Daanen, H.A.M.; Bogerd, C.P.; Hopman, M.T.E.; Eusvogels, T.M.H. Validity, reliability and inertia of four different temperature capsule systems. Med. Sci. Sports Exerc. 2018, 50, 169–175. [Google Scholar] [CrossRef]
- Chatonnet, J.; Cabanac, M. The perception of thermal comfort. Int. J. Biometeorol. 1965, 9, 183–193. [Google Scholar] [CrossRef]
- Bleichert, A.; Behling, K.; Scarperi, M.; Scarperi, S. Thermoregulatory behavior of man during rest and exercise. Pflugers Arch. 1973, 338, 303–312. [Google Scholar] [CrossRef]
- Kenny, G.P.; Jay, O.; Journeay, W.S. Disturbance of thermal homeostasis following dynamic exercise. Appl. Physiol. Nutr. Metab. 2007, 32, 818–831. [Google Scholar] [CrossRef]
- Schlader, Z.J.; Vargas, N.T. Regulation of body temperature by autonomic and behavioral thermoeffectors. Exerc. Sport Sci. Rev. 2019, 47, 116–126. [Google Scholar] [CrossRef] [PubMed]
- Lei, T.-H.; Stannard, S.R.; Perry, B.G.; Schlader, Z.J.; Cotter, J.D.; Mündel, T. Influence of menstrual phase and arid vs. humid heat stress on autonomic and behavioural thermoregulation during exercise in trained but unacclimated women. J. Physiol. 2017, 595, 2823–2837. [Google Scholar] [CrossRef] [PubMed]
- Pivarnik, J.M.; Marichal, C.J.; Spillman, T.; Morrow, J.R. Menstrual cycle phase affects temperature regulation during endurance exercise. J. Appl. Physiol. 1992, 72, 543–548. [Google Scholar] [CrossRef] [PubMed]
- Scarperi, M.; Bleichert, A. Non-thermal influences on thermoregulatory behaviour. J. Therm. Biol. 1983, 8, 179–181. [Google Scholar] [CrossRef]
- Brade, C.; Dawson, B.; Wallman, K.; Polglaze, T. Postexercise cooling rates in 2 cooling jackets. J. Athl. Train. 2010, 45, 164–169. [Google Scholar] [CrossRef]
- Zhao, M.; Gao, C.; Li, J.; Wang, F. Effects of two cooling garments on post-exercise thermal comfort of female subjects in the heat. Fibers Polym. 2015, 16, 1403–1409. [Google Scholar] [CrossRef]
- Bongers, C.C.; Hopman, M.T.; Eijsvogels, T.M. Cooling interventions for athletes: An overview of effectiveness, physiological mechanisms, and practical considerations. Temp. 2017, 4, 60–78. [Google Scholar] [CrossRef]
- Davis, S.L.; Korkmas, M.A.; Crandall, C.G.; Frohman, E.M. Impaired sweating in multiple sclerosis leads to increased reliance on skin blood flow for heat dissipation. FASEB J. 2010, 24, 925. [Google Scholar]
- Ganio, M.S.; Gagnon, D.; Stapleton, J.; Crandall, C.G.; Kenny, G.P. Effect of human skin grafts on whole-body heat loss during exercise heat stress. J. Burn. Care Res. 2013, 34, e263–e270. [Google Scholar] [CrossRef]
- Kenney, W.L.; Craighead, D.H.; Alexander, L.M. Heat Waves, Aging, and human cardiovascular health. Med. Sci. Sports Exerc. 2014, 46, 1891–1899. [Google Scholar] [CrossRef]
- Kakamu, T.; Wada, K.; Smith, D.R.; Endo, S.; Fukushima, T. Preventing heat illness in the anticipated hot climate of the Tokyo 2020 Summer Olympic Games. Environ. Health Prev. Med. 2017, 22, 1–6. [Google Scholar] [CrossRef] [PubMed]
- Antoine, C. Vapor Pressure: A new relationship between pressure and temperature. CR Acad. Sci. 1888, 107, 681–685. [Google Scholar]
- Cramer, M.N.; Jay, O. CORP: Partitional calorimetry. J. Appl. Physiol. 2019, 126, 267–277. [Google Scholar]
- Kenny, G.P.; Jay, O. Thermometry, calorimetry, and mean body temperature during heat stress. Compr. Physiol. 2013, 3, 1689–1719. [Google Scholar]
- Sakson, J.A. Simplified chart for estimating burn areas. Am. J. Surg. 1959, 98, 693–694. [Google Scholar] [CrossRef]






© 2019 by the authors. Licensee MDPI, Basel, Switzerland. This article is an open access article distributed under the terms and conditions of the Creative Commons Attribution (CC BY) license (http://creativecommons.org/licenses/by/4.0/).
Share and Cite
Vargas, N.T.; Chapman, C.L.; Johnson, B.D.; Gathercole, R.; Cramer, M.N.; Schlader, Z.J. Thermal Behavior Augments Heat Loss Following Low Intensity Exercise. Int. J. Environ. Res. Public Health 2020, 17, 20. https://doi.org/10.3390/ijerph17010020
Vargas NT, Chapman CL, Johnson BD, Gathercole R, Cramer MN, Schlader ZJ. Thermal Behavior Augments Heat Loss Following Low Intensity Exercise. International Journal of Environmental Research and Public Health. 2020; 17(1):20. https://doi.org/10.3390/ijerph17010020
Chicago/Turabian StyleVargas, Nicole T., Christopher L. Chapman, Blair D. Johnson, Rob Gathercole, Matthew N. Cramer, and Zachary J. Schlader. 2020. "Thermal Behavior Augments Heat Loss Following Low Intensity Exercise" International Journal of Environmental Research and Public Health 17, no. 1: 20. https://doi.org/10.3390/ijerph17010020
APA StyleVargas, N. T., Chapman, C. L., Johnson, B. D., Gathercole, R., Cramer, M. N., & Schlader, Z. J. (2020). Thermal Behavior Augments Heat Loss Following Low Intensity Exercise. International Journal of Environmental Research and Public Health, 17(1), 20. https://doi.org/10.3390/ijerph17010020

