Peripheral Vision Tests in Sports: Training Effects and Reliability of Peripheral Perception Test
Abstract
1. Introduction
1.1. Peripheral Vision Tests in Sports
1.1.1. Eye–Hand Coordination Test (EHCT) of Nike Sensory Station (NSS)
1.1.2. Wayne Computerized Saccadic Fixator (WCSF)
1.1.3. Humphrey Field Analyzer 630 (HFA)
1.1.4. Second Sub-Test of Useful Field of View Test (UFOV)
1.1.5. Peripheral Vision Test (PVT) of Athlevision
1.2. Peripheral Perception Test (PP) of the Vienna Test System (VTS)
- to investigate the test–retest reliability and
- to examine the training effects between test and retest measured with peripheral perception test (PP) of the Vienna test system (VTS) [45].
2. Materials and Methods
2.1. Study Design
2.2. Participants
2.3. Outcome Measures
2.4. Data Analysis
3. Results
3.1. Reliability
3.2. Training Effects
4. Discussion
5. Conclusions
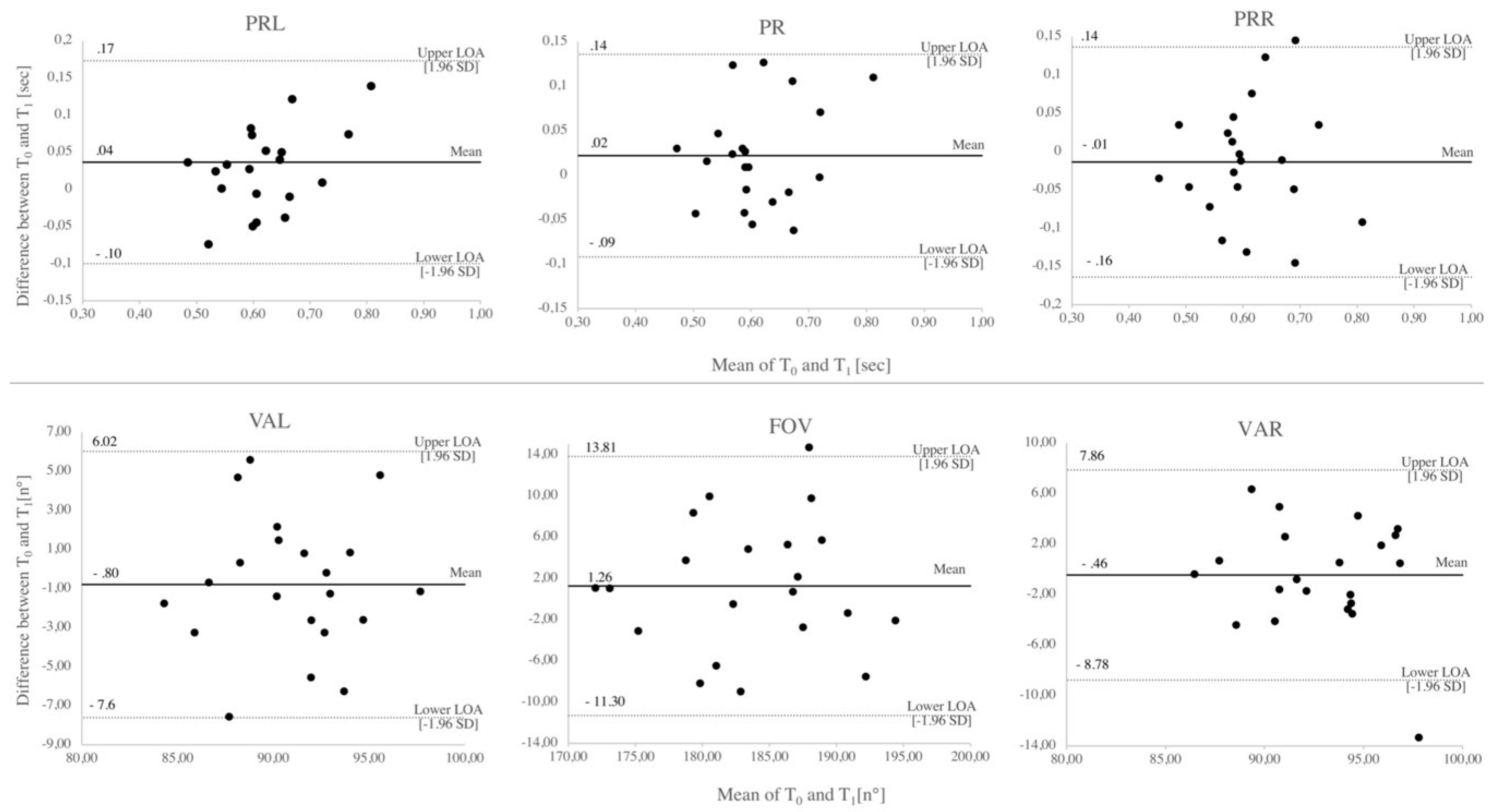
- (1) We found good reliability in reaction variables (PR, PRL, PRR) and in control variables (TD, NOHL, NOHR). Moderate reliability was demonstrated in field of vision variables (FOV, VAL, VAR).
- (2) The analysis of the training effects showed significant improvements between T0 and T1 for PRL with a mean difference of 0.04 s (95% CI [0.00–0.07]) and for PR with mean difference of 0.02 s (95% CI [0.00–0.05]).
- (3) No significant differences between test and retest were observed in the following variables: PRR, FOV, VAL, VAR, TD, NOHL, NOHR.
Author Contributions
Funding
Conflicts of Interest
References
- Mann, D.T.Y.; Williams, A.M.; Ward, P.; Janelle, C.M. Perceptual-Cognitive Expertise in Sport: A Meta-Analysis. J. Sport Exerc. Psychol. 2007, 29, 457–478. [Google Scholar] [CrossRef] [PubMed]
- Starkes, J.L.; Ericsson, K.A. Expert Performance in Sports: Advances in Research on Sport Expertise; Human Kinetics: Champaign, IL, USA, 2003. [Google Scholar]
- Voss, M.W.; Kramer, A.F.; Basak, C.; Robert, B. Are Expert Athletes ‘Expert’ in the Cognitive Laboratory? A Meta-Analytic Review of Cognition and Sport Expertise. Appl. Cogn. Psychol. 2010, 24, 812–826. [Google Scholar] [CrossRef]
- Williams, A.M.; Davids, K.; Williams, J.G.P. Visual Perception and Action in Sport; Taylor & Francis: Abingdon, UK, 1999. [Google Scholar]
- Williams, A.M.; Ford, P.R.; Eccles, D.W.; Ward, P. Perceptual-cognitive expertise in sport and its acquisition: Implications for applied cognitive psychology. Appl. Cogn. Psychol. 2011, 25, 432–442. [Google Scholar] [CrossRef]
- Spinell, M.R. Contact lenses for athletes. Optom. Clin. 1993, 3, 57–76. [Google Scholar]
- Werner, W. Contact lens fitting for sports. Contactologia 2000, 22, 92–94. [Google Scholar]
- Zwierko, T. Differences in Peripheral Perception between Athletes and Nonathletes. J. Hum. Kinet. 2007, 19, 53–62. [Google Scholar] [CrossRef]
- Knudson, D.; Kluka, D.A. The Impact of Vision and Vision Training on Sport Performance. J. Phys. Educ. Recreat. Danc. 1997, 684, 17–24. [Google Scholar] [CrossRef]
- Planer, P.M. Sports Vision Manual; International Academy of Sports Vision: Harrisburg, PA, USA, 1994. [Google Scholar]
- Zwierko, T.; Osiński, W.; Lubiński, W.; Czepita, D.; Florkiewicz, B. Speed of Visual Sensorimotor Processes and Conductivity of Visual Pathway in Volleyball Players. J. Hum. Kinet. 2010, 23, 21–27. [Google Scholar] [CrossRef]
- Pereira, V.B.P.; Pereira, R.A.; Kasahara, N. Comparison of Retinal Sensitivity between Professional Soccer Players and Non-athletes. Int. J. Sports Med. 2016, 37, 282–287. [Google Scholar] [CrossRef]
- Poltavski, D.; Biberdorf, D. The role of visual perception measures used in sports vision programmes in predicting actual game performance in Division I collegiate hockey players. J. Sports Sci. 2015, 33, 597–608. [Google Scholar] [CrossRef]
- Millslagle, D.G. Dynamic visual acuity and coincidence-anticipation timing by experienced and inexperienced women players of fast pitch softball. Percept. Mot. Skills 2000, 90, 498–504. [Google Scholar] [CrossRef] [PubMed]
- Coffey, B.; Reichow, A.W. Athletes vs non-athletes: Static visual acuity, contrast sensitivity, dynamic visual acuity. Investig. Ophthalmol. Vis. Sci. 1989, 30, 517. [Google Scholar]
- Ward, P.; Williams, A.M. Perceptual and Cognitive Skill Development in Soccer: The Multidimensional Nature of Expert Performance. J. Sport Exerc. Psychol. 2003, 25, 93–111. [Google Scholar] [CrossRef]
- Bulson, R.C.; Ciuffreda, K.J.; Hung, G.K. The effect of retinal defocus on golf putting. Ophthalmic Physiol. Opt. 2008, 28, 334–344. [Google Scholar] [CrossRef]
- Dicks, M.; Button, C.; Davids, K. Examination of gaze behaviors under in situ and video simulation task constraints reveals differences in information pickup for perception and action. Atten. Percept. Psycho. 2010, 72, 706–720. [Google Scholar] [CrossRef]
- Johnson, C.A.; Wall, M.; Thompson, H.S. A History of Perimetry and Visual Field Testing. Optom. Vis. Sci. 2011, 88, e8–e15. [Google Scholar] [CrossRef]
- Strasburger, H.; Rentschler, I.; Jüttner, M. Peripheral vision and pattern recognition: A review. J. Vis. 2011, 11, 13. [Google Scholar] [CrossRef]
- Ong, N.C.H. The use of the Vienna Test System in sport psychology research: A review. Int. Rev. Sport Exerc. Psychol. 2015, 8, 204–223. [Google Scholar] [CrossRef]
- Koo, T.K.; Li, M.Y. Cracking the Code: Providing Insight Into the Fundamentals of Research and Evidence-Based Practice A Guideline of Selecting and Reporting Intraclass Correlation Coefficients for Reliability Research. J. Chiropr. Med. 2016, 15, 155–163. [Google Scholar] [CrossRef]
- Klemish, D.; Ramger, B.; Vittetoe, K.; Reiter, J.P.; Tokdar, S.T.; Appelbaum, L.G. Visual abilities distinguish pitchers from hitters in professional baseball. J. Sports Sci. 2018, 36, 171–179. [Google Scholar] [CrossRef]
- Schmidt, J.D.; Guskiewicz, K.M.; Mihalik, J.P.; Blackburn, J.T.; Siegmund, G.P.; Marshall, S.W. Does visual performance influence head impact severity among high school football athletes? Clin. J. Sport Med. 2015, 25, 494–501. [Google Scholar] [CrossRef] [PubMed]
- Wang, L.; Krasich, K.; Bel-Bahar, T.; Hughes, L.; Mitroff, S.R.; Appelbaum, L.G. Mapping the structure of perceptual and visual–motor abilities in healthy young adults. Acta Psychol. 2015, 157, 74–84. [Google Scholar] [CrossRef] [PubMed]
- Erickson, G.B.; Citek, K.; Cove, M.; Wilczek, J.; Linster, C.; Bjarnason, B.; Langemo, N. Reliability of a computer-based system for measuring visual performance skills. Optometry 2011, 82, 528–542. [Google Scholar] [CrossRef] [PubMed]
- Krasich, K.; Ramger, B.; Holton, L.; Wang, L.; Mitroff, S.R.; Appelbaum, L.G.; Gregory Appelbaum, L. Journal of Motor Behavior Sensorimotor Learning in a Computerized Athletic Training Battery Sensorimotor Learning in a Computerized Athletic Training Battery. J. Mot. Behav. 2016, 48, 401–412. [Google Scholar] [CrossRef] [PubMed]
- Coffey, B.; Reichow, A.W. Guidelines for screening and testing the athlete’s visual system-Part. Curriculum AOA 1987, 59, 355–368. [Google Scholar]
- Sherman, A. A method of evaluating eye-hand coordination and visual reaction time in athletes. J. Am. Optom. Assoc. 1983, 54, 801–802. [Google Scholar]
- Abernethy, B.; Wood, J.M. Do generalized visual training programmes for sport really work? An experimental investigation. J. Sports Sci. 2001, 19, 203–222. [Google Scholar] [CrossRef]
- Wood, J.M.; Abernethy, B. An Assessment of the Efficacy of Sports Vision Training Programs. Optom. Vis. Sci. 1997, 74, 646–659. [Google Scholar] [CrossRef]
- Vänttinen, T.; Blomqvist, M.; Luhtanen, P.; Hakkinen, K. Effects of age and soccer expertise on general tests of perceptual and motor performance among adolescent soccer players. Percept. Mot. Skills 2010, 110, 675–692. [Google Scholar] [CrossRef]
- Foreman, K.; Baas, E.A.; Sanghera, N.K.; Bakkum, B.W.; Beckerman, S. Test-retest reliability on the Wayne Saccadic Fixator in professional soccer players. Optom. Vis. Perform. 2016, 4, 132–136. [Google Scholar] [CrossRef]
- Heijl, A.; Lindgren, G.; Olsson, J. The Effect of Perimetric Experience in Normal Subjects. Arch. Ophthalmol. 1989, 107, 81–86. [Google Scholar] [CrossRef] [PubMed]
- Visual Awareness Research Group. UFOV Users Guide; Version 6.1.4; Visual Awareness Research Group: Punta Gorda, FL, USA, 2009. [Google Scholar]
- Appelbaum, G.L.; Schroeder, J.E.; Cain, M.S.; Mitroff, S.R.; Wallis, T.S.A.; Lu, Z.-L. Improved visual cognition through stroboscopic training. Front. Psychol. 2011, 2, 276. [Google Scholar] [CrossRef] [PubMed]
- Edwards, J.D.; Vance, D.E.; Wadley, V.G.; Cissell, G.M.; Roenker, D.L.; Ball, K.K. Reliability and Validity of Useful Field of View Test Scores as Administered by Personal Computer. J. Clin. Exp. Neuropsychol. 2005, 27, 529–543. [Google Scholar] [CrossRef] [PubMed]
- Liu, Y.-H.; Lin, Y.-L.; Ju, Y.-Y. Development and Application of Sports Vision Testing Software—Athlevision. Available online: http://cjsb.org/paper/2009TSBS/in/P45.pdf (accessed on 28 November 2019).
- Chang, S.; Liu, Y.; Lee, J.; See, L. Comparing sports vision among three groups of soft tennis adolescent athletes: Normal vision, refractive errors with and without correction. Indian J. Ophthalmol. 2015, 63, 716–721. [Google Scholar] [CrossRef] [PubMed]
- Schuhfried, G.; Prieler, J.; Bauer, W. Manual Peripheral Perception. Test Label PP; Schuhfried: Mödling, Österreich, 2011. [Google Scholar]
- Jiménez-Pavón, D.; Romeo, J.; Cervantes-Borunda, M.; Ortega, F.B.; Ruiz, J.R.; España-Romero, V.; Castillo, M.J. Effects of a running bout in the heat on cognitive performance. J. Exerc. Sci. Fit. 2011, 9, 58–64. [Google Scholar] [CrossRef]
- Zwierko, T.; Głowacki, T.; Osiński, W. The effect of specific anaerobic exercises on peripheral perception in handball players. Kinesiol. Slov. 2008, 14, 68–76. [Google Scholar]
- Mańkowska, M.; Poliszczuk, T.; Poliszczuk, D.; Johne, M. Visual Perception And Its Effect On Reaction Time And Time-Movement Anticipation In Elite Female Basketball Players. Pol. J. Sport Tour. Sciendo 2015, 22, 3–8. [Google Scholar] [CrossRef]
- Landers, J.; Sharma, A.; Goldberg, I.; Graham, S.L. Comparison of visual field sensitivities between the Medmont automated perimeter and the Humphrey field analyser. Clin. Exp. Ophthalmol. 2010, 38, 273–276. [Google Scholar]
- Schuhfried, G. Vienna Test System: Psychological Assessment; Schuhfried: Moedling, Österreich, 2013. [Google Scholar]
- Schuhfried GmbH. The Vienna Test System Sport. 2019. Available online: https://www.schuhfried.com/vts/sport/references/ (accessed on 28 November 2019).
- Der, G.; Deary, I.J. Age and sex differences in reaction time in adulthood: Results from the United Kingdom Health and Lifestyle Survey. Psychol. Aging 2006, 21, 62. [Google Scholar] [CrossRef]
- Silverman, I.W. Sex Differences in Simple Visual Reaction Time: A Historical Meta-Analysis. Sex Roles 2006, 54, 57–68. [Google Scholar] [CrossRef]
- Atkinson, G.; Nevill, A.M. Statistical Methods For Assessing Measurement Error (Reliability) in Variables Relevant to Sports Medicine. Sports 1998, 26, 217–238. [Google Scholar] [CrossRef] [PubMed]
- Portney, L.G.; Watkins, M.P. Foundations of Clinical Research: Applications to Practice; Prentice Hall: Upper Saddle River, NJ, USA, 2000. [Google Scholar]
- Bland, J.M.; Altman, D.G. Statistical Methods for assessing agreement between two methods of clinical Measurement. Lancet 1986, 327, 307–310. [Google Scholar] [CrossRef]
- Ciuffreda, K.J. Simple Eye–Hand Reaction Time in the Retinal Periphery Can Be Reduced With Training. Eye Contact Lens 2011, 37, 145–146. [Google Scholar] [CrossRef] [PubMed]
- Azemara, G.; Stein, J.-F.; Ripoll, H. Effects of ocular dominance on eye-hand coordination in sporting duels. Sci. SPORTS 2008, 23, 263–277. [Google Scholar] [CrossRef][Green Version]
- Mapp, A.P.; Ono, H.; Barbeito, R. What does the dominant eye dominate? A brief and somewhat contentious review. Percept. Psychophys. 2003, 65, 310–317. [Google Scholar] [CrossRef]
- Sommer, M. Bilaterality in Sports—An Explorative Study of Soccer and Ice-hockey Players; Department of Psychology at Umeå University: Umeå, Sweden, 2006. [Google Scholar]
- Schranz, S.; Osterode, W. Training effects in computer-assisted psychological performance tests. Wien. Klin. Wochenschr. 2009, 121, 405–412. [Google Scholar] [CrossRef]
- Abernethy, B. Enhancing sports performance through clinical and experimental optometry. Clin. Exp. Optom. 1986, 69, 189–196. [Google Scholar] [CrossRef]
- Chraif, M. Gender Influences in Peripheral and Central Visual Perception for the Young. Proced. Soc. Behav. Sci. 2013, 84, 1100–1104. [Google Scholar] [CrossRef]
- Vignais, N.; Kulpa, R.; Brault, S.; Presse, D.; Bideau, B. Which technology to investigate visual perception in sport: Video vs. virtual reality. Hum. Mov. Sci. 2015, 39, 12–26. [Google Scholar] [CrossRef]
- Vater, C.; Williams, A.M.; Hossner, E.-J. What do we see out of the corner of our eye? The role of visual pivots and gaze anchors in sport. Int. Rev. Sport Exerc. Psychol. 2019, 1–23. [Google Scholar] [CrossRef]


| Test/Sub-Test | Procedure/Method | Parameter (unit) | Sports | Reliability | Training Effects |
|---|---|---|---|---|---|
| Nike sensory station (NSS)/ Eye–hand coordination test (EHCT) | Subjects have to react with their hands to a light stimulus on a display. /binocular | Peripheral eye–hand response (sec) | Baseball [23] High School Football [24] Healthy young adults [25] Collegiate ice hockey [13] | ⟹ [26] | ↑ [26]/[27] |
| Wayne computerized saccadic fixator (WCSF) [28,29] | Athletes are required to react to light stimulus with one hand while concentration on a central cylinder stimulus. /binocular | Peripheral response time (correct responses) | General [30] General [31] Soccer [32] | ⇓ [33] | ↑ [33] |
| Humphrey field analyzer 630 (HFA) | Static condition: Participants have to fixate central while stimuli are presented. Kinetic condition: Stimuli are given along 12 meridians and moved centrally. /monocular | Retinal sensitivity within the visual field (dB) | General [30] General [31] | n.a. | ↑ [34] |
| Useful field of view (UFOV)/ Second sub-test [35] | Examinees identifies a central target while localizing a stimulus in the periphery. /binocular | Visual processing speed (ms) | Football and General [36] | ⇑ [37] | n.a. |
| Athlevision (Asics Corporation, Japan)/ Peripheral vision test (PVT) [38] | Participants have to detect peripheral O’s while watching a central number. /binocular | Peripheral vision (correct responses) | Soft Tennis [39] | ⇑⇑ [39] | n.a. |
| Vienna test system (VTS)/ Peripheral perception (PP) [40] | Subjects have central tracking task and a peripheral perception task need to be resolved (for detailed description see Materials). /binocular | Peripheral reaction time (sec), visual field (n°) | Physical active man [41] Handball [8] Handball [42] Volleyball [11] Basketball [43] | n.a. | n.a. |
| Variables | ICC | 95% CI |
|---|---|---|
| PR | 0.85 | [0.64–0.94] |
| PRL | 0.77 | [0.41–0.91] |
| PRR | 0.79 | [0.50–0.92] |
| FOV | 0.73 | [0.33–0.89] |
| VAL | 0.74 | [0.36–0.89] |
| VAR | 0.58 | [0.06–0.83] |
| TD | 0.82 | [0.55–0.93] |
| NOHL | 0.79 | [0.47–0.91] |
| NOHR | 0.82 | [0.57–0.93] |
| Variables | T0 M (SD) | T1 M (SD) | Mean dif. M (SD) 95% CI | T-Test |
|---|---|---|---|---|
| PR (sec) | 0.62 (0.09) | 0.60 (0.08) | 0.02 (0.06) [0.00–0.05] | t(20) = 1.73, p = 0.01 |
| PRL (sec) | 0.64 (0.10) | 0.60 (0.07) | 0.04 (0.07) [0.00–0.07] | t(20) = 2.40, p = 0.03 |
| PRR (sec) | 0.62 (0.09) | 0.60 (0.09) | 0.01 (0.08) [−0.02–0.05] | t(20) = 0.82, p = 0.42 |
| FOV (n°) | 184.34 (6.98) | 183.09 (6.80) | 1.26 (6.41) [−1.66–4.17] | t(20) = 0.90, p = 0.38 |
| VAL (n°) | 91.34 (3.80) | 90.54 (3.83) | 0.80 (3.48) [−0.79–2.38] | t(20) = 1.05, p = 0.31 |
| VAR (n°) | 93.00 (4.17) | 92.54 (3.54) | 0.46 (4.25) [−1.47–2.39] | t(20) = 0.49, p = 0.63 |
| TD (pixel) | 8.29 (0.87) | 8.23 (0.95) | −0.03 (0.72) [−0.36–0.30] | t(20) = −0.18, p = 0.86 |
| NOHL (N) | 14.33 (3.34) | 13.95 (3.4) | 0.38 (2.85) [−0.92–1.68] | t(20) = 0.61, p = 0.55 |
| NOHR (N) | 16.43 (3.27) | 15.67 (3.34) | 0.76 (2.51) [−0.38–1.90] | t(20) = 1.39, p = 0.18 |
© 2019 by the authors. Licensee MDPI, Basel, Switzerland. This article is an open access article distributed under the terms and conditions of the Creative Commons Attribution (CC BY) license (http://creativecommons.org/licenses/by/4.0/).
Share and Cite
Schumacher, N.; Schmidt, M.; Reer, R.; Braumann, K.-M. Peripheral Vision Tests in Sports: Training Effects and Reliability of Peripheral Perception Test. Int. J. Environ. Res. Public Health 2019, 16, 5001. https://doi.org/10.3390/ijerph16245001
Schumacher N, Schmidt M, Reer R, Braumann K-M. Peripheral Vision Tests in Sports: Training Effects and Reliability of Peripheral Perception Test. International Journal of Environmental Research and Public Health. 2019; 16(24):5001. https://doi.org/10.3390/ijerph16245001
Chicago/Turabian StyleSchumacher, Nils, Mike Schmidt, Rüdiger Reer, and Klaus-Michael Braumann. 2019. "Peripheral Vision Tests in Sports: Training Effects and Reliability of Peripheral Perception Test" International Journal of Environmental Research and Public Health 16, no. 24: 5001. https://doi.org/10.3390/ijerph16245001
APA StyleSchumacher, N., Schmidt, M., Reer, R., & Braumann, K.-M. (2019). Peripheral Vision Tests in Sports: Training Effects and Reliability of Peripheral Perception Test. International Journal of Environmental Research and Public Health, 16(24), 5001. https://doi.org/10.3390/ijerph16245001

