Road Traffic Noise at the Residence, Annoyance, and Cognitive Function in Elderly Women
Abstract
:1. Introduction
2. Materials and Methods
2.1. Study Population
2.2. Residential Noise Exposure
2.3. Noise Annoyance
2.4. Assessment of Cognitive Function
2.5. Covariates
2.6. Statistical Analyses
3. Results
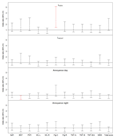
3.1. Residential Noise Levels and Cognitive Function
3.2. Annoyance and Cognitive Function
3.3. Combined Exposure to Noise and Annoyance with the Cognitive Function
3.4. Association of Noise with Annoyance
4. Discussion
5. Conclusions
Supplementary Materials
Author Contributions
Funding
Acknowledgments
Conflicts of Interest
References
- Basner, M.; Babisch, W.; Davis, A.; Brink, M.; Clark, C.; Janssen, S.; Stansfeld, S. Auditory and non-auditory effects of noise on health. Lancet 2014, 383, 1325–1332. [Google Scholar] [CrossRef]
- Clark, C.; Paunovic, K. WHO environmental noise guidelines for the european region: A systematic review on environmental noise and cognition. Int. J. Environ. Res. Public Health 2018, 15, 285. [Google Scholar] [CrossRef]
- Elmenhorst, E.M.; Elmenhorst, D.; Wenzel, J.; Quehl, J.; Mueller, U.; Maass, H.; Vejvoda, M.; Basner, M. Effects of nocturnal aircraft noise on cognitive performance in the following morning: Dose-response relationships in laboratory and field. Int. Arch. Occup. Environ. Health 2010, 83, 743–751. [Google Scholar] [CrossRef] [PubMed]
- Elmenhorst, E.-M.; Quehl, J.; Müller, U.; Basner, M. Nocturnal air, road, and rail traffic noise and daytime cognitive performance and annoyance. J. Acoust. Soc. Am. 2014, 135, 213–222. [Google Scholar] [CrossRef] [PubMed]
- Schapkin, S.A.; Falkenstein, M.; Marks, A.; Griefahn, B. Executive brain functions after exposure to nocturnal traffic noise: Effects of task difficulty and sleep quality. Eur. J. Appl. Physiol. 2006, 96, 693–702. [Google Scholar] [CrossRef] [PubMed]
- Wright, B.; Peters, E.; Ettinger, U.; Kuipers, E.; Kumari, V. Moderators of noise-induced cognitive change in healthy adults. Noise Health 2016, 18, 117. [Google Scholar] [CrossRef] [PubMed]
- European Environmental Agency. Noise in Europe 2014; European Environmental Agency: Copenhagen, Denmark, 2014; ISBN 9789292135058. [Google Scholar]
- Tzivian, L.; Dlugaj, M.; Winkler, A.; Hennig, F.; Fuks, K.; Sugiri, D.; Schikowski, T.; Jakobs, H.; Erbel, R.; Jöckel, K.H.; et al. Long-term air pollution and traffic noise exposures and cognitive function: A cross-sectional analysis of the Heinz Nixdorf Recall study. J. Toxicol. Environ. Health—Part A Curr. Issues 2016, 79, 1057–1069. [Google Scholar] [CrossRef] [PubMed]
- Gauthier, S.; Reisberg, B.; Zaudig, M.; Petersen, R.C.; Ritchie, K.; Broich, K.; Belleville, S.; Brodaty, H.; Bennett, D.; Chertkow, H.; et al. Mild cognitive impairment. Lancet (Lond. Engl.) 2006, 367, 1262–1270. [Google Scholar] [CrossRef]
- Passchier-Vermeer, W.; Passchier, W.F. Noise Exposure and Public Health Noise Exposure and Public Health Characterization of Noise Exposure. Environ. Health 2000, 108, 123–131. [Google Scholar]
- Schikowski, T.; Sugiri, D.; Ranft, U.; Gehring, U.; Heinrich, J.; Wichmann, H.-E.; Krämer, U. Long-term air pollution exposure and living close to busy roads are associated with COPD in women. Respir. Res. 2005, 6, 152. [Google Scholar] [PubMed]
- Schikowski, T.; Vossoughi, M.; Vierkötter, A.; Schulte, T.; Teichert, T.; Sugiri, D.; Fehsel, K.; Tzivian, L.; Bae, I.S.; Ranft, U.; et al. Association of air pollution with cognitive functions and its modification by APOE gene variants in elderly women. Environ. Res. 2015, 142, 10–16. [Google Scholar] [CrossRef] [PubMed]
- Vossoughi, M.; Schikowski, T.; Vierkötter, A.; Sugiri, D.; Hoffmann, B.; Teichert, T.; Herder, C.; Schulte, T.; Luckhaus, C.; Raulf-Heimsoth, M.; et al. Air pollution and subclinical airway inflammation in the SALIA cohort study. Immun. Ageing 2014, 11, 5. [Google Scholar] [CrossRef] [PubMed]
- European Commission. Directive 2002/49/EC of the European Parliament and of the Council of 25 June 2002 relating to the assessment and management of environmental noise. Off. J. Eur. Commun. 2002, L189, 2002. Available online: https://publications.europa.eu/s/lKRR (accessed on 20 May 2019).
- Fields, J.M.; De Jong, R.G.; Gjestland, T.; Flindell, I.H.; Job, R.S.F.; Kurra, S.; Lercher, P.; Vallet, M.; Yano, T.; Guski, R.; et al. Standardized general-purpose noise reaction questions for community noise surveys: Research and a recommendation. J. Sound Vib. 2001, 242, 641–679. [Google Scholar] [CrossRef]
- Ranft, U.; Schikowski, T.; Sugiri, D.; Krutmann, J.; Krämer, U. Long-term exposure to traffic-related particulate matter impairs cognitive function in the elderly. Environ. Res. 2009, 109, 1004–1011. [Google Scholar] [CrossRef]
- Mirza, S.S.; Ikram, M.A.; Bos, D.; Mihaescu, R.; Hofman, A.; Tiemeier, H. Mild cognitive impairment and risk of depression and anxiety: A population-based study. Alzheimer Dement. 2017, 13, 130–139. [Google Scholar] [CrossRef]
- ESCAPE Project. Exposure assessment manual. 2010. Available online: http://escapeproject.eu/manuals/ESCAPE_Exposure-manualv9.pdf (accessed on 20 May 2019).
- R Core Team. R: A Language and Environment for Statistical Computing; R Foundation for Statistical Computing: Vienna, Austria, 2018; Available online: http://www.R-project.org/ (accessed on 6 June 2018).
- Dridan, B.A.; Ong, B.; Lloyd, S.; Evans, L.; Crowe, S.F. The Simple Copy Task: Detecting Higher Order Visual Processing Deficits in Schizophrenia, Dementia, and Movement Disorder Groups. Aust. Psychol. 2013, 48, 98–109. [Google Scholar] [CrossRef]
- Fillenbaum, G.G.; Burchett, B.M.; Unverzagt, F.W.; Rexroth, D.F.; Welsh-Bohmer, K. Norms for CERAD Constructional Praxis Recall. Clin. Neuropsychol. 2011, 25, 1345–1358. [Google Scholar] [CrossRef]
- Van Kempen, E.; van Kamp, I.; Nilsson, M.; Lammers, J.; Emmen, H.; Clark, C.; Stansfeld, S. The role of annoyance in the relation between transportation noise and children’s health and cognition. J. Acoust. Soc. Am. 2010, 128, 2817–2828. [Google Scholar] [CrossRef]
- Roberts, K.L.; Allen, H.A. Perception and cognition in the ageing brain: A brief review of the short- and long-term links between perceptual and cognitive decline. Front. Aging Neurosci. 2016, 8, 1–7. [Google Scholar] [CrossRef]
- Sandrock, S.; Schütte, M.; Griefahn, B. Mental strain and annoyance during cognitive performance in different traffic noise conditions. Ergonomics 2010, 53, 962–971. [Google Scholar] [CrossRef]
- Babisch, W.; Swart, W.; Houthuijs, D.; Selander, J.; Bluhm, G.; Pershagen, G.; Dimakopoulou, K.; Haralabidis, A.S.; Katsouyanni, K.; Davou, E.; et al. Exposure modifiers of the relationships of transportation noise with high blood pressure and noise annoyance. J. Acoust. Soc. Am. 2012, 132, 3788–3808. [Google Scholar] [CrossRef] [PubMed]
- Chiovenda, P.; Pasqualetti, P.; Zappasodi, F.; Ercolani, M.; Milazzo, D.; Tomei, G.; Capozzella, A.; Tomei, F.; Rossini, P.M.; Tecchio, F. Environmental noise-exposed workers: Event-related potentials, neuropsychological and mood assessment. Int. J. Psychophysiol. 2007, 65, 228–237. [Google Scholar] [CrossRef]
- Sinanaj, I.; Montandon, M.L.; Rodriguez, C.; Herrmann, F.; Santini, F.; Haller, S.; Giannakopoulos, P. Neural underpinnings of background acoustic noise in normal aging and mild cognitive impairment. Neuroscience 2015, 310, 410–421. [Google Scholar] [CrossRef]
- Jafari, Z.; Kolb, B.E.; Mohajerani, M.H. Chronic traffic noise stress accelerates brain impairment and cognitive decline in mice. Exp. Neurol. 2018, 308, 1–12. [Google Scholar] [CrossRef] [PubMed]
- Pouryaghoub, G.; Mehrdad, R.; Valipouri, A. Effect of acute noise exposure on salivary cortisol: A randomized controlled trial. Acta Med. Iran. 2016, 54, 658–662. [Google Scholar]
- Wingenfeld, K.; Wolf, O.T. Stress, Memory, and the Hippocampus. In The Hippocampus in Clinical Neuroscience; Szabo, K., Hennerici, M.G., Eds.; Karger Publishers: Basel, Switzerland, 2014; Volume 34, pp. 109–120. [Google Scholar]
- Arnsten, A.F.T. Stress signalling pathways that impair prefrontal cortex structure and function. Nat. Rev. Neurosci. 2009, 10, 410–422. [Google Scholar] [CrossRef]
- Berglund, B.; Lindvall, T.; Schwela, D.H. New WHO guidelines for community noise. Noise Vib. Worldw. 2000, 31, 24–29. [Google Scholar] [CrossRef]
- Gildner, T.E.; Liebert, M.A.; Kowal, P.; Chatterji, S.; Snodgrass, J.J. Associations between Sleep Duration, Sleep Quality, and Cognitive Test Performance among Older Adults from Six Middle Income Countries: Results from the Study on Global Ageing and Adult Health (SAGE). J. Clin. Sleep Med. 2014, 10, 613–621. [Google Scholar] [CrossRef] [PubMed]


| Cognitive Domain | Subtests/Scores |
|---|---|
| Semantic memory | Semantic fluency test (SeFl), Phonetic fluency test/S words (PhFl), Boston naming test (BNT) |
| Episodic memory | Word list learning test (WL-L; sum of word list learning (1) 1 word list learning, (2) word list learning, (3) word list recall test (WL-R), word list intrusions, word list savings, word list recognition |
| Constructional praxis | Figure copying (Fig-C), figure recall (Fig-R), figure savings |
| Executive function | Trail making test (TMT-A, TMT-B, ratio TMT-B/A) |
| Mini-Mental State Examination (MMSE) | |
| Total score |
| Variable | Statistics | N | |
|---|---|---|---|
| Individual characteristics | |||
| Age (years), mean ± SD | 74.5 ± 2.2 | 288 | |
| Educational status, % 1 | Low | 16.70% | 48 |
| Middle | 46.90% | 135 | |
| High | 36.10% | 104 | |
| Missing | 0.30% | 1 | |
| Smoking, % | Yes | 3.80% | 11 |
| No | 96.20% | 277 | |
| Missing | 0% | 0 | |
| Passive smoking at home, % | Yes | 60.80% | 175 |
| No | 38.50% | 111 | |
| Missing | 0.70% | 2 | |
| Physician-diagnosed depression | Yes | 11.80% | 34 |
| No | 87.80% | 253 | |
| Missing | 0.30% | 1 | |
| Residential characteristics | |||
| Residential noise | |||
| LDEN (dB(A)), mean ± SD | 55.9 ± 7.7 | 288 | |
| LDEN ≥ 50 dB(A), % | 74.70% | 215 | |
| LNIGHT (dB(A)), mean ± SD | 47.2 ± 7.4 | 288 | |
| LNIGHT ≥ 50 dB(A), % | 35.40% | 102 | |
| Traffic noise annoyance | |||
| Daytime, % | Not at all | 55.90% | 161 |
| Somewhat | 18.80% | 54 | |
| Moderate | 14.60% | 42 | |
| Strong | 7.60% | 22 | |
| Very strong | 3.10% | 9 | |
| Missing | 0% | 0 | |
| Night, % | Not at all | 76.70% | 221 |
| Somewhat | 11.10% | 32 | |
| Moderate | 6.20% | 18 | |
| Strong | 3.10% | 9 | |
| Very strong | 2.80% | 8 | |
| Missing | 0% | 0 | |
| Air pollution | |||
| PM10 (µg/m3), mean ± SD | 28.0 ± 2.3 | 288 | |
| NO2 (µg/m3), mean ± SD | 32.2 ± 7.4 | 288 |
| Parameter | Annoyance Night | LDEN | LNIGHT | NO2 | PM10 |
|---|---|---|---|---|---|
| Annoyance day | 0.63 | 0.35 | 0.34 | 0.32 | 0.16 |
| Annoyance night | 1 | 0.24 | 0.24 | 0.28 | 0.17 |
| LDEN | 1 | 0.99 | 0.34 | 0.41 | |
| LNIGHT | 1 | 0.32 | 0.40 | ||
| NO2 | 1 | 0.49 | |||
| PM10 | 1 |
| Test | Subtest | Mean | Standard Deviation | Score ≥ 0 (%) |
|---|---|---|---|---|
| Semantic memory | SeFl | −0.09 | 0.91 | 46.9% (N = 288) |
| BNT | 0.76 | 1.07 | 76.9% (N = 286) | |
| PhFl | 0.63 | 1.13 | 69.7% (N = 284) | |
| Episodic memory | WL-L | −0.74 | 1.19 | 26.6% (N = 282) |
| WL-R | −0.19 | 1.14 | 37.7% (N = 281) | |
| Constructional praxis | Fig-C | −0.76 | 1.37 | 21.5% (N = 284) |
| Fig-R | −0.53 | 1.11 | 28.1% (N = 281) | |
| Executive function | TMT-A | −0.11 | 1.00 | 42.3% (N = 284) |
| TMT-B | 0.39 | 1.02 | 62.0% (N = 284) | |
| TMT-B/A | 0.55 | 0.95 | 73.5% (N = 283) | |
| MMSE | −0.82 | 1.25 | 27.1% (N = 288) | |
| Total score | −2.19 | 10.10 | 44.9% (N = 276) | |
© 2019 by the authors. Licensee MDPI, Basel, Switzerland. This article is an open access article distributed under the terms and conditions of the Creative Commons Attribution (CC BY) license (http://creativecommons.org/licenses/by/4.0/).
Share and Cite
Fuks, K.B.; Wigmann, C.; Altug, H.; Schikowski, T. Road Traffic Noise at the Residence, Annoyance, and Cognitive Function in Elderly Women. Int. J. Environ. Res. Public Health 2019, 16, 1790. https://doi.org/10.3390/ijerph16101790
Fuks KB, Wigmann C, Altug H, Schikowski T. Road Traffic Noise at the Residence, Annoyance, and Cognitive Function in Elderly Women. International Journal of Environmental Research and Public Health. 2019; 16(10):1790. https://doi.org/10.3390/ijerph16101790
Chicago/Turabian StyleFuks, Kateryna B., Claudia Wigmann, Hicran Altug, and Tamara Schikowski. 2019. "Road Traffic Noise at the Residence, Annoyance, and Cognitive Function in Elderly Women" International Journal of Environmental Research and Public Health 16, no. 10: 1790. https://doi.org/10.3390/ijerph16101790
APA StyleFuks, K. B., Wigmann, C., Altug, H., & Schikowski, T. (2019). Road Traffic Noise at the Residence, Annoyance, and Cognitive Function in Elderly Women. International Journal of Environmental Research and Public Health, 16(10), 1790. https://doi.org/10.3390/ijerph16101790

