Seaweeds of the Israeli Mediterranean Sea: Nutritional and Biotechnological Potential Through Seasonal and Species Variation
Abstract
1. Introduction
2. Results
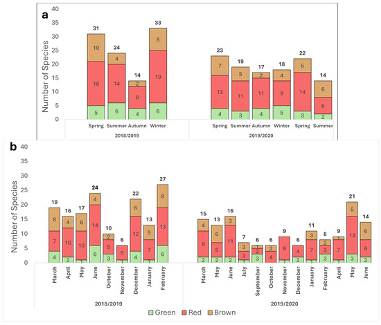
2.1. Seaweed Survey
2.2. Biochemical Composition
2.2.1. Protein Content
2.2.2. Antioxidant Activity
2.2.3. Phenolic Compounds
2.2.4. Mycosporine-like Amino Acids (MAAs)
3. Discussion
3.1. The Seaweed Survey: Ecological and Functional Insights
3.2. Protein Content in the Surveyed Seaweeds
3.3. Antioxidant Activity of Natural Seaweeds
3.4. Phenolic Compounds in the Surveyed Seaweeds
3.5. Mycosporine-like Amino Acids (MAAs) in Israeli Seaweeds: An Untapped Potential
3.6. Practical and Future Perspectives
4. Materials and Methods
4.1. Seaweed Survey and Sample Collections
Taxonomic Descriptions
4.2. Chemical Analysis Sample Preparation
4.3. Protein Content Evaluation
4.4. Determination of Antioxidant Activity
4.5. Determination of Phenolic Content
4.6. Analysis of Mycosporine-like Amino Acids (MAAs)
4.7. Statistical Analysis
5. Conclusions
Supplementary Materials
Author Contributions
Funding
Institutional Review Board Statement
Data Availability Statement
Acknowledgments
Conflicts of Interest
Abbreviations
| DW | Dry Weight |
| MAAs | Mycosporine-like Amino Acids |
| FAO | Food and Agriculture Organization |
| UV | Ultraviolet |
| UVR | Ultraviolet Radiation |
| ROS | Reactive Oxygen Species |
| TE | Trolox Equivalent |
| PE | Phloroglucinol Equivalent |
References
- Polat, S.; Trif, M.; Rusu, A.; Šimat, V.; Čagalj, M.; Alak, G.; Meral, R.; Özogul, Y.; Polat, A.; Özogul, F. Recent Advances in Industrial Applications of Seaweeds. Crit. Rev. Food Sci. Nutr. 2023, 63, 4979–5008. [Google Scholar] [CrossRef]
- Pereira, L.; Neto, J.M. Marine Algae: Biodiversity, Taxonomy, Environmental Assessment, and Biotechnology; CRC Press: Boca Raton, FL, USA, 2014; ISBN 978-1-4665-8167-8. [Google Scholar]
- Krause-Jensen, D.; Duarte, C.M. Substantial Role of Macroalgae in Marine Carbon Sequestration. Nat. Geosci. 2016, 9, 737–742. [Google Scholar] [CrossRef]
- Israel, Á.; Shpigel, M. Photosynthetic CO2 Uptake by Ulva (Chlorophyta) as a Potential Contribution to Global Warming Containment. J. Appl. Phycol. 2023, 35, 1987–1994. [Google Scholar] [CrossRef]
- Cotas, J.; Gomes, L.; Pacheco, D.; Pereira, L. Ecosystem Services Provided by Seaweeds. Hydrobiology 2023, 2, 75–96. [Google Scholar] [CrossRef]
- Fleurence, J. Seaweed Proteins: Biochemical, Nutritional Aspects and Potential Uses. Trends Food Sci. Technol. 1999, 10, 25–28. [Google Scholar] [CrossRef]
- Černá, M. Chapter 24—Seaweed Proteins and Amino Acids as Nutraceuticals. In Advances in Food and Nutrition Research; Kim, S.-K., Ed.; Marine Medicinal Foods; Academic Press: Cambridge, MA, USA, 2011; Volume 64, pp. 297–312. [Google Scholar]
- Bedoux, G.; Hardouin, K.; Burlot, A.S.; Bourgougnon, N. Bioactive Components from Seaweeds. In Advances in Botanical Research; Elsevier: Amsterdam, The Netherlands, 2014; Volume 71, pp. 345–378. ISBN 978-0-12-408062-1. [Google Scholar]
- Patel, A.K.; Singhania, R.R.; Awasthi, M.K.; Varjani, S.; Bhatia, S.K.; Tsai, M.-L.; Hsieh, S.-L.; Chen, C.-W.; Dong, C.-D. Emerging Prospects of Macro- and Microalgae as Prebiotic. Microb. Cell Fact. 2021, 20, 112. [Google Scholar] [CrossRef]
- Circuncisão, A.; Catarino, M.; Cardoso, S.; Silva, A. Minerals from Macroalgae Origin: Health Benefits and Risks for Consumers. Mar. Drugs 2018, 16, 400. [Google Scholar] [CrossRef]
- Hu, Z.-M.; Fraser, C. Seaweed Phylogeography: Adaptation and Evolution of Seaweeds Under Environmental Change; Springer: Berlin, Germany, 2016; ISBN 978-94-017-7534-2. [Google Scholar]
- Cruces, E.; Rautenberger, R.; Rojas-Lillo, Y.; Cubillos, V.M.; Arancibia-Miranda, N.; Ramírez-Kushel, E.; Gómez, I. Physiological Acclimation of Lessonia Spicata to Diurnal Changing PAR and UV Radiation: Differential Regulation among down-Regulation of Photochemistry, ROS Scavenging Activity and Phlorotannins as Major Photoprotective Mechanisms. Photosynth. Res. 2017, 131, 145–157. [Google Scholar] [CrossRef]
- Cornish, M.L.; Garbary, D.J. Antioxidants from Macroalgae: Potential Applications in Human Health and Nutrition. ALGAE 2010, 25, 155–171. [Google Scholar] [CrossRef]
- Jimenez-Lopez, C.; Pereira, A.G.; Lourenço-Lopes, C.; Garcia-Oliveira, P.; Cassani, L.; Fraga-Corral, M.; Prieto, M.A.; Simal-Gandara, J. Main Bioactive Phenolic Compounds in Marine Algae and Their Mechanisms of Action Supporting Potential Health Benefits. Food Chem. 2021, 341, 128262. [Google Scholar] [CrossRef]
- Sun, Y.; Zhang, N.; Zhou, J.; Dong, S.; Zhang, X.; Guo, L.; Guo, G. Distribution, Contents, and Types of Mycosporine-Like Amino Acids (MAAs) in Marine Macroalgae and a Database for MAAs Based on These Characteristics. Mar. Drugs 2020, 18, 43. [Google Scholar] [CrossRef] [PubMed]
- Rastogi, R.; Richa; Sinha, R.; Singh, S.P.; Häder, D. Photoprotective Compounds from Marine Organisms. J. Ind. Microbiol. Biotechnol. 2010, 37, 537–558. [Google Scholar] [CrossRef] [PubMed]
- Yang, B.; Lin, X.; Zhou, X.-F.; Yang, X.; Liu, Y. Chemical and Biological Aspects of Marine Cosmeceuticals. In Marine Cosmeceuticals; CRC Press: Boca Raton, FL, USA, 2011; pp. 11–38. [Google Scholar] [CrossRef]
- Vega, J.; Schneider, G.; Moreira, B.R.; Herrera, C.; Bonomi-Barufi, J.; Figueroa, F.L. Mycosporine-Like Amino Acids from Red Macroalgae: UV-Photoprotectors with Potential Cosmeceutical Applications. Appl. Sci. 2021, 11, 5112. [Google Scholar] [CrossRef]
- Čagalj, M.; Skroza, D.; Razola-Díaz, M.D.C.; Verardo, V.; Bassi, D.; Frleta, R.; Generalić Mekinić, I.; Tabanelli, G.; Šimat, V. Variations in the Composition, Antioxidant and Antimicrobial Activities of Cystoseira Compressa during Seasonal Growth. Mar. Drugs 2022, 20, 64. [Google Scholar] [CrossRef]
- Israel, A.; Martinez-Goss, M.; Friedlander, M. Effect of Salinity and pH on Growth and Agar Yield of Gracilaria tenuistipitata Var. Liui in Laboratory and Outdoor Cultivation. J. Appl. Phycol. 1999, 11, 543–549. [Google Scholar] [CrossRef]
- Stengel, D.B.; Connan, S.; Popper, Z.A. Algal Chemodiversity and Bioactivity: Sources of Natural Variability and Implications for Commercial Application. Biotechnol. Adv. 2011, 29, 483–501. [Google Scholar] [CrossRef]
- Ioannou, E.; Roussis, V. Natural Products from Seaweeds. In Plant-Derived Natural Products: Synthesis, Function, and Application; Osbourn, A.E., Lanzotti, V., Eds.; Springer: New York, NY, USA, 2009; pp. 51–81. ISBN 978-0-387-85498-4. [Google Scholar]
- Buschmann, A.H.; Camus, C.; Infante, J.; Neori, A.; Israel, Á.; Hernández-González, M.C.; Pereda, S.V.; Gomez-Pinchetti, J.L.; Golberg, A.; Tadmor-Shalev, N.; et al. Seaweed Production: Overview of the Global State of Exploitation, Farming and Emerging Research Activity. Eur. J. Phycol. 2017, 52, 391–406. [Google Scholar] [CrossRef]
- Chopin, T.; Tacon, A.G.J. Importance of Seaweeds and Extractive Species in Global Aquaculture Production. Rev. Fish. Sci. Aquac. 2021, 29, 139–148. [Google Scholar] [CrossRef]
- Krom, M.D.; Groom, S.; Zohary, T. The Eastern Mediterranean. In Biogeochemistry of Marine Systems; Blackwell: Hoboken, NJ, USA, 2003; ISBN 978-0-367-81242-3. [Google Scholar]
- Coll, M.; Piroddi, C.; Steenbeek, J.; Kaschner, K.; Lasram, F.B.R.; Aguzzi, J.; Ballesteros, E.; Bianchi, C.N.; Corbera, J.; Dailianis, T.; et al. The Biodiversity of the Mediterranean Sea: Estimates, Patterns, and Threats. PLoS ONE 2010, 5, e11842. [Google Scholar] [CrossRef]
- Reich, T.; Ben-Ezra, T.; Belkin, N.; Tsemel, A.; Aharonovich, D.; Roth-Rosenberg, D.; Givati, S.; Bialik, M.; Herut, B.; Berman-Frank, I.; et al. A Year in the Life of the Eastern Mediterranean: Monthly Dynamics of Phytoplankton and Bacterioplankton in an Ultra-Oligotrophic Sea. Deep Sea Res. Part I Oceanogr. Res. Pap. 2022, 182, 103720. [Google Scholar] [CrossRef]
- Finné, M.; Holmgren, K.; Sundqvist, H.S.; Weiberg, E.; Lindblom, M. Climate in the Eastern Mediterranean, and Adjacent Regions, during the Past 6000 Years—A Review. J. Archaeol. Sci. 2011, 38, 3153–3173. [Google Scholar] [CrossRef]
- Israel, A.; Golberg, A.; Neori, A. The Seaweed Resources of Israel in the Eastern Mediterranean Sea. Bot. Mar. 2020, 63, 85–95. [Google Scholar] [CrossRef]
- Lundberg, B. Composition of the Seaweed Vegetation along the Mediterranean Coast of Israel. In Nature Conservation in Israel, Research and Surveys; Nature Reserves Authority: Jerusalem, Israel, 1996; Supplement 3. [Google Scholar]
- Einav, R.; Israel, A. Checklist of Seaweeds from the Israeli Mediterranean: Taxonomical and Ecological Approaches. Isr. J. Plant Sci. 2008, 56, 127–191. [Google Scholar] [CrossRef]
- Spanier, E.; Zviely, D. Key Environmental Impacts along the Mediterranean Coast of Israel in the Last 100 Years. J. Mar. Sci. Eng. 2023, 11, 2. [Google Scholar] [CrossRef]
- Hoffman, R. Alien Benthic Algae and Seagrasses in the Mediterranean Sea and Their Connection to Global Warming. In The Mediterranean Sea: Its History and Present Challenges; Goffredo, S., Dubinsky, Z., Eds.; Springer: Dordrecht, The Netherlands, 2014; pp. 159–181. ISBN 978-94-007-6704-1. [Google Scholar]
- Lüning, K. Seaweeds: Their Environment, Biogeography, and Ecophysiology; John Wiley & Sons: Hoboken, NJ, USA, 1990; ISBN 978-0-471-62434-9. [Google Scholar]
- Einav, R.; Israel, A. Seaweeds on the Abrasion Platforms of the Intertidal Zone of Eastern Mediterranean Shores. In Algae and Cyanobacteria in Extreme Environments; Seckbach, J., Ed.; Cellular Origin, Life in Extreme Habitats and Astrobiology; Springer: Dordrecht, The Netherlands, 2007; pp. 193–207. ISBN 978-1-4020-6112-7. [Google Scholar]
- Einav, R.; Breckle, S.; Beer, S. Ecophysiological Adaptation Strategies of Some Intertidal Marine Macroalgae of the Israeli Mediterranean Coast. Oceanogr. Lit. Rev. 1996, 5, 500. [Google Scholar] [CrossRef]
- Lalegerie, F.; Gager, L.; Stiger-Pouvreau, V.; Connan, S. Chapter Eight—The Stressful Life of Red and Brown Seaweeds on the Temperate Intertidal Zone: Effect of Abiotic and Biotic Parameters on the Physiology of Macroalgae and Content Variability of Particular Metabolites. In Advances in Botanical Research; Bourgougnon, N., Ed.; Seaweeds Around the World: State of Art and Perspectives; Academic Press: Cambridge, MA, USA, 2020; Volume 95, pp. 247–287. [Google Scholar]
- Lipkin, Y.; Beer, S.; Eshel, A. The Ability of Porphyra linearis (Rhodophyta) to Tolerate Prolonged Periods of Desiccation. Bot. Mar. 1993, 36, 517–524. [Google Scholar] [CrossRef]
- Bianco-Stein, N.; Polishchuk, I.; Lang, A.; Atiya, G.; Villanova, J.; Zaslansky, P.; Katsman, A.; Pokroy, B. Structural and Chemical Variations in Mg-Calcite Skeletal Segments of Coralline Red Algae Lead to Improved Crack Resistance. Acta Biomater. 2021, 130, 362–373. [Google Scholar] [CrossRef]
- Bar-Gil, A. Aspects of the Rhodophyte Laurencia papillosa (Macroalgae) and Microalgae Porphyridium cruentum: Photosynthesis, Symbiosis, Physiology and Biochemical Parameters. Ph.D. Thesis, University of Haifa (Israel), Haifa, Israel, 2018. [Google Scholar]
- Behrenfeld, M.J. Abandoning Sverdrup’s Critical Depth Hypothesis on Phytoplankton Blooms. Ecology 2010, 91, 977–989. [Google Scholar] [CrossRef]
- Ben Ezra, T.; Krom, M.D.; Tsemel, A.; Berman-Frank, I.; Herut, B.; Lehahn, Y.; Rahav, E.; Reich, T.; Thingstad, T.F.; Sher, D. Seasonal Nutrient Dynamics in the P Depleted Eastern Mediterranean Sea. Deep Sea Res. Part I Oceanogr. Res. Pap. 2021, 176, 103607. [Google Scholar] [CrossRef]
- Ben-Ezra, T.; Reich, T.; Tsemel, A.; Berman-Frank, I.; Lehahn, Y.; Sher, D.; Suari, Y.; Krom, M.D. Nutrient Dynamics across the Israeli Coastal Shelf: An Unusual Oligotrophic Coastal System. Cont. Shelf Res. 2023, 266, 105103. [Google Scholar] [CrossRef]
- Rahav, E.; Raveh, O.; Yanuka-Golub, K.; Belkin, N.; Astrahan, P.; Maayani, M.; Tsumi, N.; Kiro, Y.; Herut, B.; Silverman, J.; et al. Nitrate-Enrichment Structures Phytoplankton Communities in the Shallow Eastern Mediterranean Coastal Waters. Front. Mar. Sci. 2020, 7, 611497. [Google Scholar] [CrossRef]
- Harnedy, P.A.; FitzGerald, R.J. Bioactive Proteins, Peptides, and Amino Acids from Macroalgae1. J. Phycol. 2011, 47, 218–232. [Google Scholar] [CrossRef]
- Galland-Irmouli, A.-V.; Fleurence, J.; Lamghari, R.; Luçon, M.; Rouxel, C.; Barbaroux, O.; Bronowicki, J.-P.; Villaume, C.; Guéant, J.-L. Nutritional Value of Proteins from Edible Seaweed Palmaria palmata (Dulse). J. Nutr. Biochem. 1999, 10, 353–359. [Google Scholar] [CrossRef] [PubMed]
- Ashkenazi, D.Y.; Israel, A.; Abelson, A. A Novel Two-Stage Seaweed Integrated Multi-Trophic Aquaculture. Rev. Aquac. 2019, 11, 246–262. [Google Scholar] [CrossRef]
- Ashkenazi, D.Y.; Segal, Y.; Ben-Valid, S.; Paz, G.; Tsubery, M.N.; Salomon, E.; Abelson, A.; Israel, Á. Enrichment of Nutritional Compounds in Seaweeds via Abiotic Stressors in Integrated Aquaculture. Innov. Food Sci. Emerg. Technol. 2022, 80, 103067. [Google Scholar] [CrossRef]
- Martínez, B.; Rico, J.M. Changes in Nutrient Content of Palmaria palmata in Response to Variable Light and Upwelling in Northern Spain1. J. Phycol. 2008, 44, 50–59. [Google Scholar] [CrossRef]
- Patarra, R.F.; Paiva, L.; Neto, A.I.; Lima, E.; Baptista, J. Nutritional Value of Selected Macroalgae. J. Appl. Phycol. 2011, 23, 205–208. [Google Scholar] [CrossRef]
- Thiviya, P.; Gamage, A.; Gama-Arachchige, N.S.; Merah, O.; Madhujith, T. Seaweeds as a Source of Functional Proteins. Phycology 2022, 2, 216–243. [Google Scholar] [CrossRef]
- Imran, M.; Iqbal, A.; Badshah, S.L.; Sher, A.A.; Ullah, H.; Ayaz, M.; Mosa, O.F.; Mostafa, N.M.; Daglia, M. Chemical and Nutritional Profiling of the Seaweed Dictyota Dichotoma and Evaluation of Its Antioxidant, Antimicrobial and Hypoglycemic Potentials. Mar. Drugs 2023, 21, 273. [Google Scholar] [CrossRef]
- Marinho-Soriano, E.; Fonseca, P.C.; Carneiro, M.A.A.; Moreira, W.S.C. Seasonal Variation in the Chemical Composition of Two Tropical Seaweeds. Bioresour. Technol. 2006, 97, 2402–2406. [Google Scholar] [CrossRef]
- Manivannan, K.; Thirumaran, G.; Devi, G.K.; Anantharaman, P.; Balasubramanian, T. Proximate Composition of Different Group of Seaweeds from Vedalai Coastal Waters (Gulf of Mannar): Southeast Coast of India. Middle-East J. Sci. Res. 2009, 4, 72–77. [Google Scholar]
- Balamurugan, M.; Selvam, G.G.; Thinakaran, T.; Sivakumar, K. Biochemical Study and GC-MS Analysis of Hypnea musciformis (Wulf.) Lamouroux. Am.-Eurasian J. Sci. Res. 2013, 8, 117–123. [Google Scholar]
- Elangovan, M.; Anantharaman, P. Nutritional Composition and Phytochemistry Profile of Seaweeds Collected from Rameshwaram Coast. Int. J. Sci. Technol. Res. 2019, 8, 3137–3140. [Google Scholar]
- Kumar, B.S.; Murugesan, S. Proximate and Amino Acid Compositions of Marine Red Alga Laurencia papillosa (C. agardh) Greville from South East Coast of India. J. Glob. Trends Pharm. Sci. 2018, 9, 4987–4995. [Google Scholar]
- Shuuluka, D.; Bolton, J.J.; Anderson, R.J. Protein Content, Amino Acid Composition and Nitrogen-to-Protein Conversion Factors of Ulva rigida and Ulva capensis from Natural Populations and Ulva lactuca from an Aquaculture System, in South Africa. J. Appl. Phycol. 2013, 25, 677–685. [Google Scholar] [CrossRef]
- Satpati, G.; Pal, R. Biochemical Composition and Lipid Characterization of Marine Green Alga Ulva rigida- a Nutritional Approach. J. Algal Biomass Util. 2011, 2, 10–13. [Google Scholar]
- McDermid, K.J.; Stuercke, B. Nutritional Composition of Edible Hawaiian Seaweeds. J. Appl. Phycol. 2003, 15, 513–524. [Google Scholar] [CrossRef]
- Manivannan, K.; Thirumaran, G.; Devi, G.; Hemalatha, A. Biochemical Composition of Seaweeds from Mandapam Coastal Regions along Southest Coast of India. Am.-Eurasian J. Bot. 2008, 1, 32–37. [Google Scholar]
- Angell, A.R.; Mata, L.; de Nys, R.; Paul, N.A. The Protein Content of Seaweeds: A Universal Nitrogen-to-Protein Conversion Factor of Five. J. Appl. Phycol. 2016, 28, 511–524. [Google Scholar] [CrossRef]
- Biancarosa, I.; Espe, M.; Bruckner, C.G.; Heesch, S.; Liland, N.; Waagbø, R.; Torstensen, B.; Lock, E.J. Amino Acid Composition, Protein Content, and Nitrogen-to-Protein Conversion Factors of 21 Seaweed Species from Norwegian Waters. J. Appl. Phycol. 2017, 29, 1001–1009. [Google Scholar] [CrossRef]
- Urbano, M.G.; Goñi, I. Bioavailability of Nutrients in Rats Fed on Edible Seaweeds, Nori (Porphyra tenera) and Wakame (Undaria pinnatifida), as a Source of Dietary Fibre. Food Chem. 2002, 76, 281–286. [Google Scholar] [CrossRef]
- Mišurcová, L.; Kráčmar, S.; Klejdus, B.; Vacek, J. Nitrogen Content, Dietary Fiber, and Digestibility in Algal Food Products. Czech J. Food Sci. 2010, 28, 27–35. [Google Scholar] [CrossRef]
- Bleakley, S.; Hayes, M. Algal Proteins: Extraction, Application, and Challenges Concerning Production. Foods 2017, 6, 33. [Google Scholar] [CrossRef]
- Samarathunga, J.; Wijesekara, I.; Jayasinghe, M. Seaweed Proteins as a Novel Protein Alternative: Types, Extractions, and Functional Food Applications. Food Rev. Int. 2023, 39, 4236–4261. [Google Scholar] [CrossRef]
- El-Sheekh, M.M.; Bases, E.; El Shafay, S.M.; El-shenody, R. Influence of Seasonal Variations on Extract Yield and Antioxidant Activities of Some Seaweed Species. Proc. Natl. Acad. Sci. India Sect. B Biol. Sci. 2023, 93, 915–923. [Google Scholar] [CrossRef]
- Celis-Plá, P.S.M.; Bouzon, Z.L.; Hall-Spencer, J.M.; Schmidt, E.C.; Korbee, N.; Figueroa, F.L. Seasonal Biochemical and Photophysiological Responses in the Intertidal Macroalga Cystoseira tamariscifolia (Ochrophyta). Mar. Environ. Res. 2016, 115, 89–97. [Google Scholar] [CrossRef] [PubMed]
- Ashkenazi, D.Y.; Figueroa, F.L.; Korbee, N.; García-Sánchez, M.; Vega, J.; Ben-Valid, S.; Paz, G.; Salomon, E.; Israel, Á.; Abelson, A. Enhancing Bioproducts in Seaweeds via Sustainable Aquaculture: Antioxidant and Sun-Protection Compounds. Mar. Drugs 2022, 20, 767. [Google Scholar] [CrossRef] [PubMed]
- Korbee, N.; Figueroa, F.L.; Aguilera, J. Effect of Light Quality on the Accumulation of Photosynthetic Pigments, Proteins and Mycosporine-like Amino Acids in the Red Alga Porphyra leucosticta (Bangiales, Rhodophyta). J. Photochem. Photobiol. B Biol. 2005, 80, 71–78. [Google Scholar] [CrossRef]
- Pliego-Cortés, H.; Bedoux, G.; Boulho, R.; Taupin, L.; Freile-Pelegrín, Y.; Bourgougnon, N.; Robledo, D. Stress Tolerance and Photoadaptation to Solar Radiation in Rhodymenia pseudopalmata (Rhodophyta) through Mycosporine-like Amino Acids, Phenolic Compounds, and Pigments in an Integrated Multi-Trophic Aquaculture System. Algal Res. 2019, 41, 101542. [Google Scholar] [CrossRef]
- Lesser, M.P. Oxidative Stress in Marine Eniviroments: Biochemistry and Physiological Ecology. Annu. Rev. Physiol. 2006, 68, 253–278. [Google Scholar] [CrossRef]
- Pedro, J.; Cardoso, C.; Afonso, F.; Bandarra, N.M. Season Affects Three Insufficiently Studied Seaweed Species (Bifurcaria bifurcata, Codium Sp., Ericaria selaginoides): Bioactivity Alterations. Appl. Phycol. 2022, 3, 98–108. [Google Scholar] [CrossRef]
- Campos, A.M.; Matos, J.; Afonso, C.; Gomes, R.; Bandarra, N.M.; Cardoso, C. Azorean Macroalgae (Petalonia binghamiae, Halopteris scoparia and Osmundea pinnatifida) Bioprospection: A Study of Fatty Acid Profiles and Bioactivity. Int. J. Food Sci. Technol. 2019, 54, 880–890. [Google Scholar] [CrossRef]
- Rupérez, P.; Ahrazem, O.; Leal, J.A. Potential Antioxidant Capacity of Sulfated Polysaccharides from the Edible Marine Brown Seaweed Fucus Vesiculosus. J. Agric. Food Chem. 2002, 50, 840–845. [Google Scholar] [CrossRef] [PubMed]
- Ye, H.; Wang, K.; Zhou, C.; Liu, J.; Zeng, X. Purification, Antitumor and Antioxidant Activities in Vitro of Polysaccharides from the Brown Seaweed Sargassum Pallidum. Food Chem. 2008, 111, 428–432. [Google Scholar] [CrossRef]
- Airanthi, M.K.W.-A.; Hosokawa, M.; Miyashita, K. Comparative Antioxidant Activity of Edible Japanese Brown Seaweeds. J. Food Sci. 2011, 76, C104–C111. [Google Scholar] [CrossRef]
- Schneider, G.; Lopez Figueroa, F.; Vega, J.; Chaves, P.; Álvarez-Gómez, F.; Korbee, N.; Bonomi Barufi, J. Photoprotection Properties of Marine Photosynthetic Organisms Grown in High Ultraviolet Exposure Areas: Cosmeceutical Applications. Algal Res. 2020, 49, 101956. [Google Scholar] [CrossRef]
- Generalić Mekinić, I.; Skroza, D.; Šimat, V.; Hamed, I.; Čagalj, M.; Popović Perković, Z. Phenolic Content of Brown Algae (Pheophyceae) Species: Extraction, Identification, and Quantification. Biomolecules 2019, 9, 244. [Google Scholar] [CrossRef]
- Marinho, G.S.; Sørensen, A.-D.M.; Safafar, H.; Pedersen, A.H.; Holdt, S.L. Antioxidant Content and Activity of the Seaweed Saccharina latissima: A Seasonal Perspective. J. Appl. Phycol. 2019, 31, 1343–1354. [Google Scholar] [CrossRef]
- Mancuso, F.P.; Messina, C.M.; Santulli, A.; Laudicella, V.A.; Giommi, C.; Sarà, G.; Airoldi, L. Influence of Ambient Temperature on the Photosynthetic Activity and Phenolic Content of the Intertidal Cystoseira compressa along the Italian Coastline. J. Appl. Phycol. 2019, 31, 3069–3076. [Google Scholar] [CrossRef]
- Praiboon, J.; Palakas, S.; Noiraksa, T.; Miyashita, K. Seasonal Variation in Nutritional Composition and Anti-Proliferative Activity of Brown Seaweed, Sargassum oligocystum. J. Appl. Phycol. 2018, 30, 101–111. [Google Scholar] [CrossRef]
- Britton, D.; Schmid, M.; Revill, A.T.; Virtue, P.; Nichols, P.D.; Hurd, C.L.; Mundy, C.N. Seasonal and Site-Specific Variation in the Nutritional Quality of Temperate Seaweed Assemblages: Implications for Grazing Invertebrates and the Commercial Exploitation of Seaweeds. J. Appl. Phycol. 2021, 33, 603–616. [Google Scholar] [CrossRef]
- Kumar, S.; Sahoo, D.; Levine, I. Assessment of Nutritional Value in a Brown Seaweed Sargassum wightii and Their Seasonal Variations. Algal Res. 2015, 9, 117–125. [Google Scholar] [CrossRef]
- Karkhaneh Yousefi, M.; Seyed Hashtroudi, M.; Mashinchian Moradi, A.; Ghasempour, A. Seasonal Variation of Fucoxanthin Content in Four Species of Brown Seaweeds from Qeshm Island, Persian Gulf and Evaluation of Their Antibacterial and Antioxidant Activities. Iran. J. Fish. Sci. 2020, 19, 2394–2408. [Google Scholar] [CrossRef]
- Celis-Plá, P.S.M.; Martínez, B.; Korbee, N.; Hall-Spencer, J.M.; Figueroa, F.L. Ecophysiological Responses to Elevated CO2 and Temperature in Cystoseira tamariscifolia (Phaeophyceae). Clim. Change 2017, 142, 67–81. [Google Scholar] [CrossRef]
- Karsten, U.; Franklin, L.A.; Lüning, K.; Wiencke, C. Natural Ultraviolet Radiation and Photosynthetically Active Radiation Induce Formation of Mycosporine-like Amino Acids in the Marine Macroalga Chondrus crispus (Rhodophyta). Planta 1998, 205, 257–262. [Google Scholar] [CrossRef]
- Barufi, J.B.; Korbee, N.; Oliveira, M.C.; Figueroa, F.L. Effects of N Supply on the Accumulation of Photosynthetic Pigments and Photoprotectors in Gracilaria tenuistipitata (Rhodophyta) Cultured under UV Radiation. J. Appl. Phycol. 2011, 23, 457–466. [Google Scholar] [CrossRef]
- Hoyer, K.; Karsten, U.; Wiencke, C. Induction of Sunscreen Compounds in Antarctic Macroalgae by Different Radiation Conditions. Mar. Biol. 2002, 141, 619–627. [Google Scholar] [CrossRef]
- Orfanoudaki, M.; Hartmann, A.; Kamiya, M.; West, J.; Ganzera, M. Chemotaxonomic Study of Bostrychia Spp. (Ceramiales, Rhodophyta) Based on Their Mycosporine-Like Amino Acid Content. Molecules 2020, 25, 3273. [Google Scholar] [CrossRef]
- Karsten, U.; Wiencke, C. Factors Controlling the Formation of UV-Absorbing Mycosporine-like Amino Acids in the Marine Red Alga Palmaria palmata from Spitsbergen (Norway). J. Plant Physiol. 1999, 155, 407–415. [Google Scholar] [CrossRef]
- Diehl, N.; Michalik, D.; Zuccarello, G.C.; Karsten, U. Stress Metabolite Pattern in the Eulittoral Red Alga Pyropia Plicata (Bangiales) in New Zealand—Mycosporine-like Amino Acids and Heterosides. J. Exp. Mar. Biol. Ecol. 2019, 510, 23–30. [Google Scholar] [CrossRef]
- Véliz, K.; Chandía, N.; Karsten, U.; Lara, C.; Thiel, M. Geographic Variation in Biochemical and Physiological Traits of the Red Seaweeds Chondracanthus Chamissoi and Gelidium Lingulatum from the South East Pacific Coast. J. Appl. Phycol. 2019, 31, 665–682. [Google Scholar] [CrossRef]
- Guihéneuf, F.; Gietl, A.; Stengel, D.B. Temporal and Spatial Variability of Mycosporine-like Amino Acids and Pigments in Three Edible Red Seaweeds from Western Ireland. J. Appl. Phycol. 2018, 30, 2573–2586. [Google Scholar] [CrossRef]
- Yamamoto, R.; Mune Mune, M.A.; Miyabe, Y.; Kishimura, H.; Kumagai, Y. Monthly Variation in Mycosporine-like Amino Acids from Red Alga Dulse (Devaleraea Inkyuleei, Formerly Palmaria palmata in Japan). Phycology 2023, 3, 127–137. [Google Scholar] [CrossRef]
- Briani, B.; Sissini, M.N.; Lucena, L.A.; Batista, M.B.; Costa, I.O.; Nunes, J.M.C.; Schmitz, C.; Ramlov, F.; Maraschin, M.; Korbee, N.; et al. The Influence of Environmental Features in the Content of Mycosporine-like Amino Acids in Red Marine Algae along the Brazilian Coast. J. Phycol. 2018, 54, 380–390. [Google Scholar] [CrossRef] [PubMed]
- De la Coba, F.; Aguilera, J.; Figueroa, F.L.; de Gálvez, M.V.; Herrera, E. Antioxidant Activity of Mycosporine-like Amino Acids Isolated from Three Red Macroalgae and One Marine Lichen. J. Appl. Phycol. 2009, 21, 161–169. [Google Scholar] [CrossRef]
- Lawrence, K.P.; Gacesa, R.; Long, P.F.; Young, A.R. Molecular Photoprotection of Human Keratinocytes in Vitro by the Naturally Occurring Mycosporine-like Amino Acid Palythine. Br. J. Dermatol. 2018, 178, 1353–1363. [Google Scholar] [CrossRef]
- Jones, D.B. Factors for Converting Percentages of Nitrogen in Foods and Feeds Inot Percentages of Protein; US Department of Agriculture: Washington, DC, USA, 1931; pp. 1–21. [Google Scholar]
- Re, R.; Pellegrini, N.; Proteggente, A.; Pannala, A.; Yang, M.; Rice-Evans, C. Antioxidant Activity Applying an Improved ABTS Radical Cation Decolorization Assay. Free Radic. Biol. Med. 1999, 26, 1231–1237. [Google Scholar] [CrossRef]
- Folin, O.; Ciocalteu, V. On Tyrosine and Trytophane Determinations in Proteins. J. Biol. Chem. 1927, 73, 627–650. [Google Scholar] [CrossRef]
- Peinado, N.K.; Díaz, R.T.A.; Figueroa, F.L.; Helbling, E.W. Ammonium and Uv Radiation Stimulate the Accumulation of Mycosporine-Like Amino Acids in Porphyra columbina (Rhodophyta) from Patagonia, Argentina1. J. Phycol. 2004, 40, 248–259. [Google Scholar] [CrossRef]
- Vega, J.; Bárcenas-Pérez, D.; Fuentes-Ríos, D.; López-Romero, J.M.; Hrouzek, P.; Figueroa, F.L.; Cheel, J. Isolation of Mycosporine-like Amino Acids from Red Macroalgae and a Marine Lichen by High-Performance Countercurrent Chromatography: A Strategy to Obtain Biological UV-Filters. Mar. Drugs 2023, 21, 357. [Google Scholar] [CrossRef]
- Amsler, C.D. (Ed.) Algal Chemical Ecology; Springer: Berlin/Heidelberg, Germany, 2008; ISBN 978-3-540-74180-0. [Google Scholar]
- Mouritsen, O.G.; Rhatigan, P.; Cornish, M.L.; Critchley, A.T.; Pérez-Lloréns, J.L. Saved by Seaweeds: Phyconomic Contributions in Times of Crises. J. Appl. Phycol. 2020, 33, 443–458. [Google Scholar] [CrossRef] [PubMed]
- Israel, A.; Einav, R.; Seckbach, J. Seaweeds and Their Role in Globally Changing Environments; Springer Science & Business Media: Berlin, Germany, 2010; ISBN 978-90-481-8569-6. [Google Scholar]
- Neiva, J.; Assis, J.; Coelho, N.C.; Fernandes, F.; Pearson, G.A.; Serrão, E.A. Genes Left Behind: Climate Change Threatens Cryptic Genetic Diversity in the Canopy-Forming Seaweed Bifurcaria bifurcata. PLoS ONE 2015, 10, e0131530. [Google Scholar] [CrossRef]
- Bothwell, J. Seaweeds of the World: A Guide to Every Order; Princeton University Press: Oxford, UK, 2023; ISBN 978-0-691-22854-9. [Google Scholar]
- Wesselmann, M.; Hendriks, I.E.; Johnson, M.; Jordà, G.; Mineur, F.; Marbà, N. Increasing Spread Rates of Tropical Non-Native Macrophytes in the Mediterranean Sea. Glob. Change Biol. 2024, 30, e17249. [Google Scholar] [CrossRef]
- Nakhate, P.; van der Meer, Y. A Systematic Review on Seaweed Functionality: A Sustainable Bio-Based Material. Sustainability 2021, 13, 6174. [Google Scholar] [CrossRef]
- Mishra, H.; Kumar, K.S.; Pratibha, K.; Periyasamy, C.; Rao, P.V.S. Seaweeds Aid in Carbon Sequestration to Combat Global Warming: A Glimpse. In Algae Mediated Bioremediation; John Wiley & Sons, Ltd.: Hoboken, NJ, USA, 2024; pp. 505–520. ISBN 978-3-527-84336-7. [Google Scholar]




| Seaweed Species | ||
|---|---|---|
| Chlorophyta (12) | Rhodophyta (29) | Heterokontophyta (Phaeophyceae) (14) |
| Bryopsis mucosa | Gracilaria conferta | Stypopodium schimperi |
| Bryopsis plumosa | Alsidium corallinum | Colpomenia sinuosa |
| Caulerpa mexicana | Asparagopsis taxiformis | Cystoseira compressa |
| Cladophora pellucida | Acanthophora najadiformis | Gongolaria rayssiae |
| Cladophora pseudopellucida | Chondracanthus acicularis | Dictyota sp. |
| Cladophoropsis membranacea | Chondria dasyphylla | Dictyota dichotoma |
| Codium adhaerens | Corallina elongata | Ectocarpus siliculosus |
| Codium parvulum | Dasya sp. | Halopteris scoparia |
| Ulva californica | Digenea simplex | Lobophora variegata |
| Ulva compressa | Galaxaura rugosa | Padina pavonica |
| Ulva fasciata | Gelidium pusillum | Sargassum vulgare |
| Ulva rigida | Gelidium crinale | Scytosiphon lomentaria |
| Gracilaria bursa-pastoris | Spatoglossum solieri | |
| Gracilaria cornea | Taonia atomaria | |
| Gracilaria sp. | ||
| Grateloupia sp. | ||
| Halymenia dichotoma | ||
| Hypnea musciformis | ||
| Hypnea sp. | ||
| Jania rubens | ||
| Laurencia papillosa | ||
| Laurenciella marilzae | ||
| Liagora sp. | ||
| Nemalion helminthoides | ||
| Neopyropia elongata (formerly Porphyra leucosticta) | ||
| Pterocladiella capillacea | ||
| Rytiphlaea tinctoria | ||
| Solieria filiformis | ||
| Spyridia filamentosa | ||
| Protein (% DW) | ||||
| Species/Season | Spring | Summer | Autumn | Winter |
| Laurencia papillosa | 7.84 ± 1.27 | 7.07 ± 1.56 | 9.27 ± 0.05 | 12.29 ± 1.23 |
| Jania rubens | 4.85 ± 0.62 | 4.01 ± 1.36 | 4.81 ± 0.52 | 6.48 ± 0.35 |
| Hypnea musciformis | 12.77 ± 2.71 | 12.68 ± 1.12 | 13.28 ± 0.11 | 14.07 ± 1.17 |
| Padina pavonica | 6.83 ± 1.24 | 7.31 ± 1.23 | 7.55 ± 0.97 | 9.49 ± 2.09 |
| Sargassum vulgare | 6.68 ± 2.94 | 6.17 ± 0.06 | NA | 9.67 ± 0.81 |
| Dictyota dichotoma | 9.14 ± 0.91 | 8.07 ± 0.78 | 10.07 ± 0.15 | 14.4 ± 0.57 |
| Ulva rigida | 4.84 ± 0.97 | 5.97 ± 2.7 | 6.08 ± 0.37 | 9.58 ± 1.23 |
| Codium adhaerens | 8.35 ± 0.62 | 7.97 ± 0.59 | 7.66 ± 0.21 | 8.18 ± 0.56 |
| Antioxidants (mg TE g−1 DW) | ||||
| Species/Season | Spring | Summer | Autumn | Winter |
| Laurencia papillosa | 7.09 ± 0.62 | 8.54 ± 0.85 | 5.89 ± 1.13 | 7.03 ± 0.89 |
| Jania rubens | 1.32 ± 0.33 | 1 ± 0.2 | 1.15 ± 0.28 | 1.69 ± 0.43 |
| Hypnea musciformis | 2.12 ± 0.54 | 2.55 ± 1.02 | 1.71 ± 0.06 | 2.05 ± 0.24 |
| Padina pavonica | 22.12 ± 9.11 | 10.97 ± 5.01 | 13.95 ± 8.07 | 7.71 ± 2.37 |
| Sargassum vulgare | 56.98 ± 12.25 | 46.96 ± 3.75 | NA | 26.87 ± 10.5 |
| Dictyota dichotoma | 11.74 ± 5.63 | 6.65 ± 2.89 | 4.99 ± 0.16 | 6.2 ± 1.62 |
| Ulva rigida | 1.73 ± 0.63 | 1.88 ± 0.17 | 0.47 ± 0.03 | 1.92 ± 0.3 |
| Codium adhaerens | 1.72 ± 0.17 | 1.23 ± 0.17 | 0.99 ± 0.27 | 1.24 ± 0.17 |
| Polyphenols (mg PE g−1 DW) | ||||
| Species/Season | Spring | Summer | Autumn | Winter |
| Padina pavonica | 7.7 ± 5.61 | 6.4 ± 1.88 | 10.73 ± 5.69 | 6.17 ± 2.68 |
| Sargassum vulgare | 36.97 ± 8.43 | NA | NA | 20.56 ± 8.17 |
| Dictyota dichotoma | 8.72 ± 0.34 | 7.53 ± 3.17 | 10.61 ± 0.85 | 6.25 ± 0.84 |
| Ulva rigida | 2.59 ± 0.78 | 2.11 ± 0.34 | 0.84 ± 0.25 | 2.94 ± 0.63 |
| Codium adhaerens | 2.47 ± 0.2 | 2.41 ± 0.2 | 2.37 ± 0.71 | 1.93 ± 0.39 |
| MAAs (mg g−1 DW) | |||||
|---|---|---|---|---|---|
| Species/Season | Spring | Summer | Autumn | Winter | |
| Jania rubens | Palythine | 0.16 ± 0.04 | 0.05 ± 0.03 | 0.1 ± 0.07 | 0.2 ± 0.05 |
| Asterina-330 | 0.05 ± 0.02 | 0.01 ± 0.01 | 0.03 ± 0.01 | 0.09 ± 0.04 | |
| Palythinol | NA | NA | NA | NA | |
| Shinorine | 0.08 ± 0.03 | 0.04 ± 0.04 | 0.09 ± 0.01 | 0.18 ± 0.02 | |
| Porphyra-334 | NA | NA | NA | NA | |
| Total | 0.25 ± 0.06 | 0.1 ± 0.07 | 0.21 ± 0.07 | 0.47 ± 0.06 | |
| Laurencia papillosa | Palythine | 0.06 ± 0.04 | 0.03 ± 0.02 | 0.06 ± 0.01 | 0.07± 0.05 |
| Asterina-330 | 0.29 ± 0.21 | 0.13 ± 0.11 | 0.22± 0.04 | 0.22 ± 0.14 | |
| Palythinol | NA | NA | NA | NA | |
| Shinorine | NA | NA | NA | NA | |
| Porphyra-334 | NA | NA | NA | NA | |
| Total | 0.35 ± 0.24 | 0.15 ± 0.13 | 0.28 ± 0.05 | 0.29 ± 0.18 | |
| Hypnea musciformis | Palythine | 0.31 ± 0.05 | 0.39 ± 0.11 | 0.32 ± 0.07 | 0.38 ± 0.12 |
| Asterina-330 | NA | NA | NA | NA | |
| Palythinol | 0.72 ± 0.28 | 0.77 ± 0.39 | 0.7 ± 0.09 | 0.81 ± 0.49 | |
| Shinorine | 0.28 ± 0.07 | 0.32 ± 0.15 | 0.25 ± 0.05 | 0.25 ± 0.15 | |
| Porphyra-334 | NA | NA | NA | 0.45 ± 0.04 | |
| Total | 1.43 ± 0.41 | 1.47 ± 0.61 | 1.28 ± 0.21 | 1.46 ± 0.55 | |
Disclaimer/Publisher’s Note: The statements, opinions and data contained in all publications are solely those of the individual author(s) and contributor(s) and not of MDPI and/or the editor(s). MDPI and/or the editor(s) disclaim responsibility for any injury to people or property resulting from any ideas, methods, instructions or products referred to in the content. |
© 2025 by the authors. Licensee MDPI, Basel, Switzerland. This article is an open access article distributed under the terms and conditions of the Creative Commons Attribution (CC BY) license (https://creativecommons.org/licenses/by/4.0/).
Share and Cite
Ashkenazi, D.Y.; Figueroa, F.L.; Vega, J.; Ben-Valid, S.; Paz, G.; Salomon, E.; Abelson, A.; Israel, Á. Seaweeds of the Israeli Mediterranean Sea: Nutritional and Biotechnological Potential Through Seasonal and Species Variation. Mar. Drugs 2025, 23, 320. https://doi.org/10.3390/md23080320
Ashkenazi DY, Figueroa FL, Vega J, Ben-Valid S, Paz G, Salomon E, Abelson A, Israel Á. Seaweeds of the Israeli Mediterranean Sea: Nutritional and Biotechnological Potential Through Seasonal and Species Variation. Marine Drugs. 2025; 23(8):320. https://doi.org/10.3390/md23080320
Chicago/Turabian StyleAshkenazi, Doron Yehoshua, Félix L. Figueroa, Julia Vega, Shoshana Ben-Valid, Guy Paz, Eitan Salomon, Avigdor Abelson, and Álvaro Israel. 2025. "Seaweeds of the Israeli Mediterranean Sea: Nutritional and Biotechnological Potential Through Seasonal and Species Variation" Marine Drugs 23, no. 8: 320. https://doi.org/10.3390/md23080320
APA StyleAshkenazi, D. Y., Figueroa, F. L., Vega, J., Ben-Valid, S., Paz, G., Salomon, E., Abelson, A., & Israel, Á. (2025). Seaweeds of the Israeli Mediterranean Sea: Nutritional and Biotechnological Potential Through Seasonal and Species Variation. Marine Drugs, 23(8), 320. https://doi.org/10.3390/md23080320

