Predigested Mixture of Arachidonic and Docosahexaenoic Acids for Better Bio-Accessibility
Abstract
1. Introduction
2. Results and Discussion
2.1. Enzymatic Hydrolysis of Microalgae and Arachidonic Acid Oils
2.2. Production of Predigested Mixtures
2.3. In Vitro Digestion
2.3.1. Digestion Product
2.3.2. The Distribution of Each Lipid Compound among the Different Phases
3. Materials and Methods
3.1. Materials
3.2. Methods
3.2.1. Enzymatic Hydrolysis of Microalgae and Arachidonic Acid Oils
3.2.2. Enzymatic Esterification
3.2.3. Lipid Identification and Quantification by Gas Chromatography
3.2.4. In Vitro Gastrointestinal Digestion Model
Gastric Digestion
Intestinal Digestion
Phase Separation after In Vitro Digestion
Lipid Extraction
3.3. Statistical Analysis
4. Conclusions
Author Contributions
Funding
Institutional Review Board Statement
Data Availability Statement
Acknowledgments
Conflicts of Interest
References
- Le, H.D.; Meisel, J.A.; de Meijer, V.E.; Gura, K.M.; Puder, M. The essentiality of arachidonic acid and docosahexaenoic acid. Prostaglandins Leukot. Essent. Fat. Acids 2009, 81, 165–170. [Google Scholar] [CrossRef] [PubMed]
- Chevalier, L.; Plourde, M. Comparison of pharmacokinetics of omega-3 fatty acid supplements in monoacylglycerol or ethyl ester in humans: A randomized controlled trial. Eur. J. Clin. Nutr. 2021, 75, 680–688. [Google Scholar] [CrossRef] [PubMed]
- Chabni, A.; Bañares, C.; Reglero, G.; Torres, C.F. A comparative study of in vitro gastrointestinal digestion of three strategic edible oils. J. Food Sci. 2022, 87, 3268–3278. [Google Scholar] [CrossRef] [PubMed]
- Schuchardt, J.P.; Hahn, A. Bioavailability of long-chain omega-3 fatty acids. Prostaglandins Leukot Essent Fat. Acids 2013, 89, 1–8. [Google Scholar] [CrossRef] [PubMed]
- Cuenoud, B.; Rochat, I.; Gosoniu, M.L.; Dupuis, L.; Berk, E.; Jaudszus, A.; Mainz, J.G.; Hafen, G.; Beaumont, M.; Cruz-Hernandez, C. Monoacylglycerol form of omega-3s improves its bioavailability in humans compared to other forms. Nutrients 2020, 12, 1014. [Google Scholar] [CrossRef] [PubMed]
- Sodhi, C.P.; Salazar, A.J.G.; Kovler, M.L.; Fulton, W.B.; Yamaguchi, Y.; Ishiyama, A.; Wang, S.; Prindle, T.; Vurma, M.; Das, T.; et al. The administration of a pre-digested fat-enriched formula prevents necrotising enterocolitis-induced lung injury in mice. Br. J. Nutr. 2022, 128, 1050–1063. [Google Scholar] [CrossRef] [PubMed]
- Goncharova, K.; Kirko, S.; Grujic, D.; Kardas, M.; Grochowska-Niedworok, E.; Prykhodko, O.; Woliński, J.; Ushakova, G.; Lozinska, L.; Pierzynowski, S.G. Enhanced absorption of long-chain polyunsaturated fatty acids following consumption of functional milk formula, pre-digested with immobilized lipase ex vivo, in an exocrine pancreatic insufficient (EPI) pig model. J. Funct. Foods 2017, 34, 422–430. [Google Scholar] [CrossRef]
- Sodhi, C.P.; Fulton, W.B.; Good, M.; Vurma, M.; Das, T.; Lai, C.-S.; Jia, H.; Yamaguchi, Y.; Lu, P.; Prindle, T.; et al. Fat composition in infant formula contributes to the severity of necrotising enterocolitis. Br. J. Nutr. 2018, 120, 665–680. [Google Scholar] [CrossRef] [PubMed]
- Frega, N.; Mozzon, M.; Lercker, G. Effects of free fatty acids on oxidative stability of vegetable oil. J. Am. Oil Chem. Soc. 1999, 76, 325–329. [Google Scholar] [CrossRef]
- Miyashita, K.; Takagi, T. Study on the oxidative rate and prooxidant activity of free fatty acids. J. Am. Oil Chem. Soc. 1986, 63, 1380–1384. [Google Scholar] [CrossRef]
- Tullberg, C.; Undeland, I. Chapter 21—Oxidative stability during digestion. In Omega-3 Delivery Systems; García-Moreno, P.J., Jacobsen, C., Moltke Sørensen, A.-D., Yesiltas, B., Eds.; Academic Press: Cambridge, MA, USA, 2021; pp. 449–479. [Google Scholar]
- Banares, C.; Chabni, A.; Reglero, G.; Torres, C.F. Oxidative stability of microalgae oil and its acylglycerol mixture obtained by enzymatic glycerolysis and the antioxidant effect of supercritical rosemary extract. LWT 2022, 171, 114150. [Google Scholar] [CrossRef]
- Estrada, G.S.E.; Calderón, A.C. Kinetic study of a commercial lipase for hydrolysis of semi-refined oil of anchovy (Engraulis ringens) [Estudio cinético de una lipasa comercial para la hidrólisis de aceite semirrefinado de anchoa (Engraulis ringens)]. J. Nanotechnol. 2021, 5, 9–22. [Google Scholar] [CrossRef]
- Akanbi, T.O.; Adcock, J.L.; Barrow, C.J. Selective concentration of EPA and DHA using Thermomyces lanuginosus lipase is due to fatty acid selectivity and not regioselectivity. Food Chem. 2013, 138, 615–620. [Google Scholar] [CrossRef] [PubMed]
- Chang, M.Y.; Chan, E.-S.; Song, C.P. Biodiesel production catalysed by low-cost liquid enzyme Eversa® Transform 2.0: Effect of free fatty acid content on lipase methanol tolerance and kinetic model. Fuel 2021, 283, 119266. [Google Scholar] [CrossRef]
- Pinsirodom, P.; Watanabe, Y.; Nagao, T.; Sugihara, A.; Kobayashi, T.; Shimada, Y. Critical temperature for production of MAG by esterification of different FA with glycerol using Penicillium camembertii lipase. J. Am. Oil Chem. Soc. 2004, 81, 543–547. [Google Scholar] [CrossRef]
- Byun, H.-G.; Eom, T.-K.; Jung, W.-K.; Kim, S.-K. Lipase catalyzed production of monoacylglycerols by the esterification of fish oil fatty acids with glycerol. Biotechnol. Bioprocess Eng. 2007, 12, 491–496. [Google Scholar] [CrossRef]
- Yang, K.; Bi, Y.; Sun, S.; Yang, G.; Ma, S.; Liu, W. Optimisation of N ovozym-435-catalysed esterification of fatty acid mixture for the preparation of medium-and long-chain triglycerides (MLCT) in solvent-free medium. Int. J. Food Sci. Technol. 2014, 49, 1001–1011. [Google Scholar] [CrossRef]
- Zhu, X.; Ye, A.; Verrier, T.; Singh, H. Free fatty acid profiles of emulsified lipids during in vitro digestion with pancreatic lipase. Food Chem. 2013, 139, 398–404. [Google Scholar] [CrossRef] [PubMed]
- Sassene, P.; Fanø, M.; Mu, H.; Rades, T.; Aquistapace, S.; Schmitt, B.; Cruz-Hernandez, C.; Wooster, T.; Müllertz, A. Comparison of lipases for in vitro models of gastric digestion: Lipolysis using two infant formulas as model substrates. Food Funct. 2016, 7, 3989–3998. [Google Scholar] [CrossRef]
- Lin, X.; Wang, Q.; Li, W.; Wright, A.J. Emulsification of algal oil with soy lecithin improved DHA bioaccessibility but did not change overall in vitro digestibility. Food Funct. 2014, 5, 2913–2921. [Google Scholar] [CrossRef]
- McClements, D.J.; Decker, E.A.; Park, Y. Controlling lipid bioavailability through physicochemical and structural approaches. Crit. Rev. Food Sci. Nutr. 2008, 49, 48–67. [Google Scholar] [CrossRef] [PubMed]
- Hu, Z.; Wu, P.; Wang, L.; Wu, Z.; Chen, X.D. Exploring in vitro release and digestion of commercial DHA microcapsules from algae oil and tuna oil with whey protein and casein as wall materials. Food Funct. 2022, 13, 978–989. [Google Scholar] [CrossRef] [PubMed]
- Guo, Q.; Bellissimo, N.; Rousseau, D. Effect of emulsifier concentration and physical state on the in vitro digestion behavior of oil-in-water emulsions. J. Agric. Food Chem. 2018, 66, 7496–7503. [Google Scholar] [CrossRef] [PubMed]
- Corzo-Martínez, M.; Bañares, C.; Díaz, A.; Vázquez, L.; Reglero, G.; Torres, C.F. In vitro digestibility and bioaccessibility of lipid-based delivery systems obtained via enzymatic glycerolysis: A case study of rosemary extract bioaccessibility. Food Funct. 2020, 11, 813–823. [Google Scholar] [CrossRef]
- De Boer, A.A.; Ismail, A.; Marshall, K.; Bannenberg, G.; Yan, K.L.; Rowe, W.J. Examination of marine and vegetable oil oxidation data from a multi-year, third-party database. Food Chem. 2018, 254, 249–255. [Google Scholar] [CrossRef] [PubMed]
- Ingalls, S.T.; Kriaris, M.S.; Xu, Y.; DeWulf, D.W.; Tserng, K.-Y.; Hoppel, C.L. Method for isolation of non-esterified fatty acids and several other classes of plasma lipids by column chromatography on silica gel. J. Chromatogr. B Biomed. Sci. Appl. 1993, 619, 9–19. [Google Scholar] [CrossRef] [PubMed]
- Torres, C.; Tenllado, D.; Señorans, F.; Reglero, G. A Versatile GC Method for the Analysis of Alkylglycerols and Other Neutral Lipid Classes. Chromatographia 2009, 69, 729–734. [Google Scholar] [CrossRef]
- Martin, D.; Nieto-Fuentes, J.A.; Señoráns, F.J.; Reglero, G.; Soler-Rivas, C. Intestinal digestion of fish oils and ω-3 concentrates under in vitro conditions. Eur. J. Lipid Sci. Technol. 2010, 112, 1315–1322. [Google Scholar] [CrossRef]
and DHA oil
(A), and time course of hydrolysis reaction of ARA oil
and DHA oil
(B).
and DHA oil
(A), and time course of hydrolysis reaction of ARA oil
and DHA oil
(B).
FFA: free fatty acid,
MAG: monoacylglyceride,
Cholesterol,
DAG: diacylglyceride,
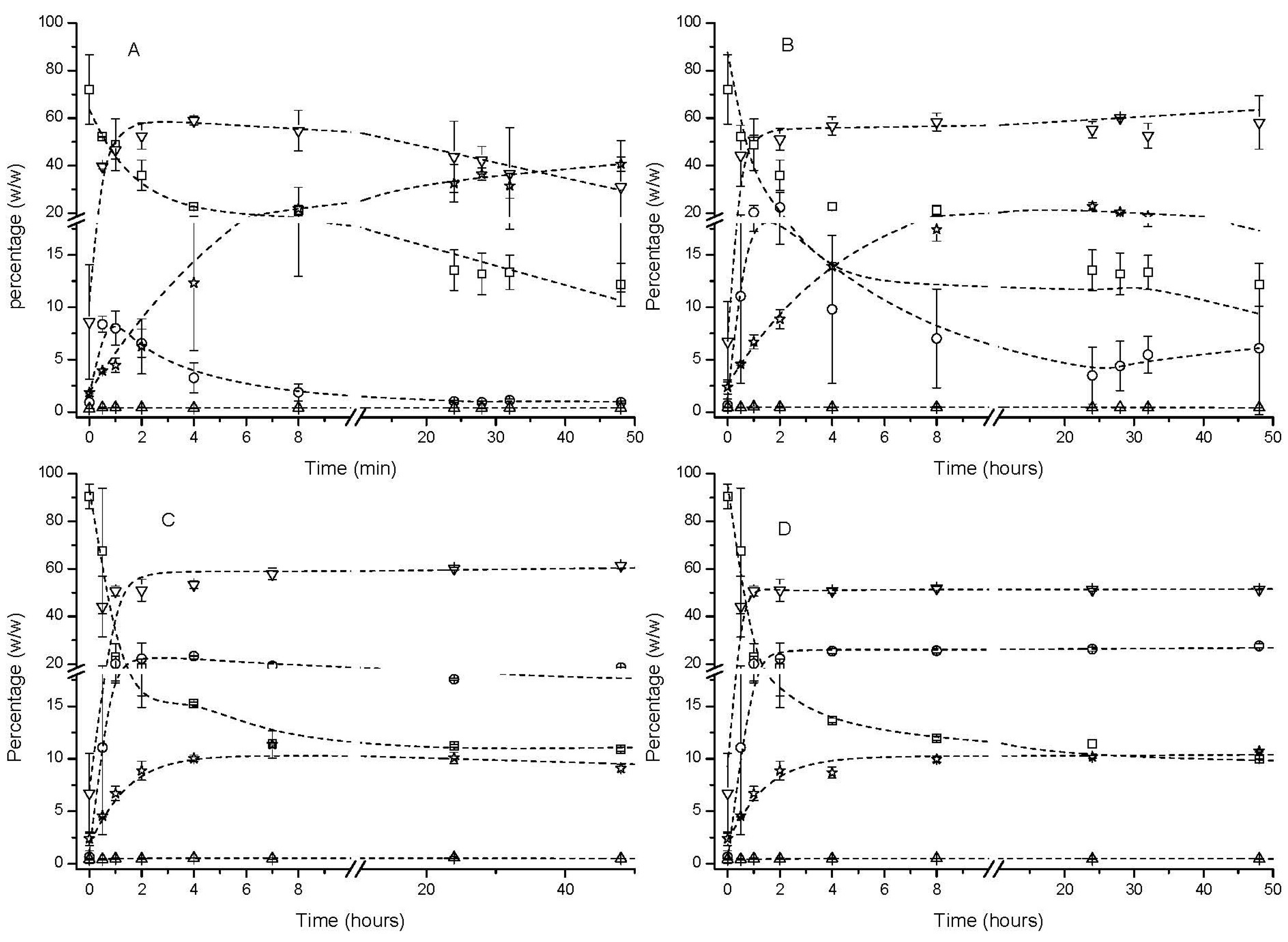
TAG: triacylglyceride. Esterification at 55 °C and at FFA/glycerol ratio 1:1 (A) and 1:3 (B). Esterification at 20 °C and at FFA/glycerol 1:3 (C). Esterification at 10 °C and at FFA/glycerol 1:3 (D).
FFA: free fatty acid,
MAG: monoacylglyceride,
Cholesterol,
DAG: diacylglyceride,
TAG: triacylglyceride. Esterification at 55 °C and at FFA/glycerol ratio 1:1 (A) and 1:3 (B). Esterification at 20 °C and at FFA/glycerol 1:3 (C). Esterification at 10 °C and at FFA/glycerol 1:3 (D).
FFA: free fatty acid,
MAG: monoacylglyceride,
Cholesterol,
DAG: diacylglyceride,
TAG: triacylglyceride.
FFA: free fatty acid,
MAG: monoacylglyceride,
Cholesterol,
DAG: diacylglyceride,
TAG: triacylglyceride.
FFA: free fatty acid,
MAG: monoacylglyceride,
Cholesterol,
DAG: diacylglyceride,
TAG: triacylglyceride.
OP: oil phase,
MP: micellar phase,
PP: precipitate phase.
FFA: free fatty acid,
MAG: monoacylglyceride,
Cholesterol,
DAG: diacylglyceride,
TAG: triacylglyceride.
OP: oil phase,
MP: micellar phase,
PP: precipitate phase.
FFA: free fatty acid,
MAG: monoacylglyceride,
Cholesterol,
DAG: diacylglyceride,
TAG: triacylglyceride.
OP: oil phase,
MP: micellar phase,
PP: precipitate phase.
FFA: free fatty acid,
MAG: monoacylglyceride,
Cholesterol,
DAG: diacylglyceride,
TAG: triacylglyceride.
OP: oil phase,
MP: micellar phase,
PP: precipitate phase.
| Slope | Standard Error | Adj. R-Square | |
|---|---|---|---|
| DHA oil | −0.04435 | 0.0032 | 0.98458 |
| ARA oil | −0.10494 | 0.01697 | 0.9254 |
| Initial Oxidative Status | ARA Oil | DHA Oil |
|---|---|---|
| Peroxide value | 3.45 ± 0.05 | 5.39 ± 0.74 |
| p-anisidine value | 5.65 ± 0.15 | 1.90 ± 0.42 |
| TOTOX | 12.55 ± 0.05 | 12.67 ± 1.91 |
| Lipid profile (g/100 g) | ||
| Triglycerides (TAGs) | 89.82 ± 0.08 | 95.09 ± 0.03 |
| Diglycerides (DAGs) | 4.30 ± 0.05 | 4.27 ± 0.04 |
| Monoglycerides (MAGs) | 0.33 ± 0.08 | 0.26 ± 1.85 |
| Free fatty acids (FFAs) | 4.68 ± 0.03 | 0.24 ± 0.04 |
| Cholesterol (CHOL) | 0.87 ± 0.04 | - |
Disclaimer/Publisher’s Note: The statements, opinions and data contained in all publications are solely those of the individual author(s) and contributor(s) and not of MDPI and/or the editor(s). MDPI and/or the editor(s) disclaim responsibility for any injury to people or property resulting from any ideas, methods, instructions or products referred to in the content. |
© 2024 by the authors. Licensee MDPI, Basel, Switzerland. This article is an open access article distributed under the terms and conditions of the Creative Commons Attribution (CC BY) license (https://creativecommons.org/licenses/by/4.0/).
Share and Cite
Chabni, A.; Pardo de Donlebún, B.; Romero, M.; Torres, C.F. Predigested Mixture of Arachidonic and Docosahexaenoic Acids for Better Bio-Accessibility. Mar. Drugs 2024, 22, 224. https://doi.org/10.3390/md22050224
Chabni A, Pardo de Donlebún B, Romero M, Torres CF. Predigested Mixture of Arachidonic and Docosahexaenoic Acids for Better Bio-Accessibility. Marine Drugs. 2024; 22(5):224. https://doi.org/10.3390/md22050224
Chicago/Turabian StyleChabni, Assamae, Blanca Pardo de Donlebún, Marina Romero, and Carlos F. Torres. 2024. "Predigested Mixture of Arachidonic and Docosahexaenoic Acids for Better Bio-Accessibility" Marine Drugs 22, no. 5: 224. https://doi.org/10.3390/md22050224
APA StyleChabni, A., Pardo de Donlebún, B., Romero, M., & Torres, C. F. (2024). Predigested Mixture of Arachidonic and Docosahexaenoic Acids for Better Bio-Accessibility. Marine Drugs, 22(5), 224. https://doi.org/10.3390/md22050224

