Abstract
Encouraged by the promising antitumoral, antiangiogenic, and antilymphangiogenic properties of toluquinol, a set of analogues of this natural product of marine origin was synthesized to explore and evaluate the effects of structural modifications on their cytotoxic activity. We decided to investigate the effects of the substitution of the methyl group by other groups, the introduction of a second substituent, the relative position of the substituents, and the oxidation state. A set of analogues of 2-substituted, 2,3-disubstituted, and 2,6-disubstituted derived from hydroquinone were synthesized. The results revealed that the cytotoxic activity of this family of compounds could rely on the hydroquinone/benzoquinone part of the molecule, whereas the substituents might modulate the interaction of the molecule with their targets, changing either its activity or its selectivity. The methyl group is relevant for the cytotoxicity of toluquinol, since its replacement by other groups resulted in a significant loss of activity, and in general the introduction of a second substituent, preferentially in the para position with respect to the methyl group, was well tolerated. These findings provide guidance for the design of new toluquinol analogues with potentially better pharmacological properties.
1. Introduction
Hydroquinones and quinones are ubiquitous in nature, playing essential roles in oxidative metabolism, including in electron transport chains and photosynthesis, and are produced as primary or secondary metabolites by many organisms. A myriad of hydroquinones and quinones have been isolated from marine sources, including microbes, algae, and marine invertebrates, such as ascidians, sponges, cnidarians, and mollusks [1,2]. Some of them display a wide range of biological activities, including cytotoxicity to cancer cells, probably related to their involvement in redox cycling and/or Michael-1,4-addition reactions [3]. In many cases, the molecules responsible for the biological activities detected in some marine macroorganisms derive from the complex secondary metabolite relationship between the marine microorganisms and their hosts [4]. Marine fungi are a rich source of structurally diverse compounds with a high pharmaceutical potential [5]. In the course of our ongoing research program aimed at the search and characterization of new drug candidates of a marine origin, toluquinol (2-methylhydroquinone, compound 1) was isolated from the culture broth of the marine fungus Penicillium sp. HL-85-ALS5-R004 [6]. The antitumoral, antiangiogenic, and antilymphangiogenic activities of toluquinol [6,7] make this compound a good example of the potential of marine-derived compounds in the treatment of cancer. Encouraged by these results, we decided to explore the effects of structural modifications of toluquinol on its antitumoral properties in order to establish a structure‒activity relationship as a guide to identify and develop either more potent or more specific analogues based on this natural product. These structural modifications included the substitution of the methyl group of toluquinol by different substituents (derivatives 2–7), the introduction of a second substituent (derivatives 8–11), the effect of the position of this second substituent (derivatives 12–13), and, finally the oxidation state of the hydroquinone, such as the case of toluquinol (1) and toluquinone (14), and thymoquinol (15) and thymoquinone (16) (Figure 1).
Figure 1.
Structures of toluquinol (1) and programmed set of analogues 2–16.
2. Results and Discussion
2.1. Synthesis of Compounds 2–15
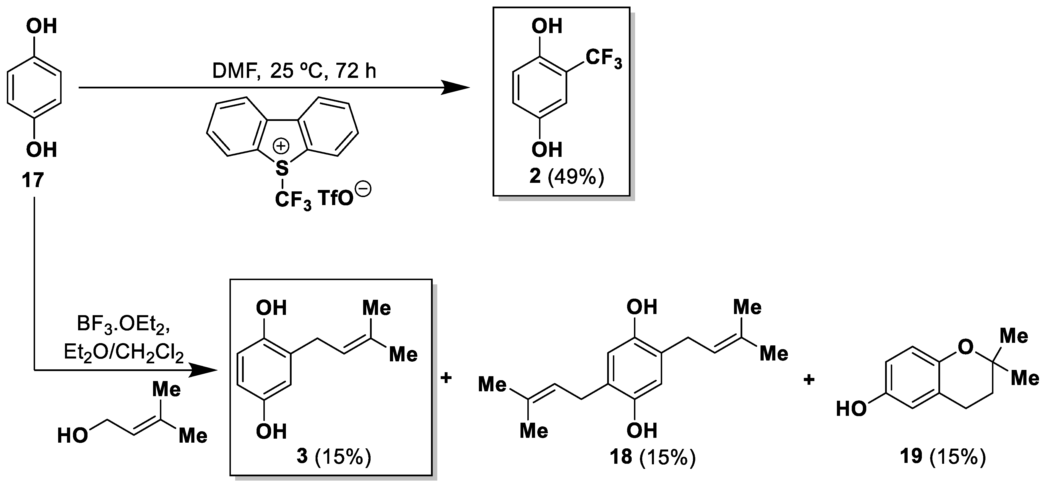
For the synthesis of analogues 2 and 3, we used the procedures described in the literature [8,9], according to which the trifluoromethyl derivative 2 and the prenyl derivative 3 were prepared by direct treatment of 1,4-hydroquinone (17) with 5-(trifluoromethyl)-dibenzothiophenium trifluoromethanesulfonate (Umemoto’s reagent) and prenol, respectively, under acidic conditions (Scheme 1). Whereas the preparation of 2 proceeded without further issues, the synthesis of 3 was more complicated due to the low yield of the coveted prenyl derivative 3, obtained at a poor 15% yield, and the formation of sub-products that could be identified as the disubstituted derivative 18 and the benzopyrane 19, obtained in 3% and 2.7% yields, respectively. The three compounds obtained from this reaction could be separated by flash column chromatography and sub-products 18 and 19 were considered for inclusion in the biological studies (Scheme 1).
Scheme 1.
Synthesis of analogues 2 and 3.
For the synthesis of analogues 4–7, we considered a Suzuki coupling reaction as a straightforward and powerful method [10] to install a vinyl-type substituent via direct coupling of the 2-bromo-1,4-hydroquinone 20, prepared by bromination of 17 [11], with the corresponding pinacol boronic ester. The optimization of this coupling reaction led us to establish Pd[PPh3]4 and K2CO3 as the most suitable catalyst and base, respectively. On the other hand, the solvent, temperature, and reaction time depended on the boronic ester employed. Thus, when the reactions were undertaken using the solvent system 1,4-dioxane/H2O at 80 °C, which are the usual reaction conditions for Suzuki couplings (Conditions A), we observed an important degree of degradation of the reaction mixture, detecting only small amounts of the corresponding coupling products. In light of these discouraging results, we found that reactions undertaken in THF instead of 1,4-dioxane produced better results in terms of the resulting yields of the coupling products. With this new solvent system, products 4 and 5 were obtained in 92 and 32% yields, requiring a reaction time for completion of 48 h (Conditions B), and products 6 and 7 were obtained in 79 and 56% yields, respectively, after 15 h for the completion of the coupling reactions (Conditions C) (Scheme 2).
Scheme 2.
Synthesis of analogues 4–7 via Suzuki couplings (* Conditions A: Pd[PPh3]4, solid K2CO3, dioxane, H2O, 80 °C, 15 h; conditions B: Pd[PPh3]4, 2 M aq. K2CO3, THF, 80 °C, 48 h; conditions C: Pd[PPh3]4, 2 M aq. K2CO3, THF, 80 °C, 15 h).
For the cases of the 2,6-disubstituted 1,4-hydroquinone derivatives 8–11, we devised their syntheses based again on a Suzuki coupling reaction as the most suitable method for rapid access to the targeted molecules. To this end, the bromo derivative of toluquinol 22 was prepared according to the procedures described in the literature [12] from o-cresol (21), and the corresponding Suzuki couplings were achieved following the modified conditions previously established for the synthesis of derivatives 4–7. However, on this occasion we found that, for some cases (compounds 8 and 11), the solvent system 1,4-dioxane/H2O provided better results compared with the use of THF as solvent, whereas for compounds 9 and 10, THF was the solvent of choice for the Suzuki coupling (Scheme 3).
Scheme 3.
Synthesis of disubstituted analogues 8–11 via Suzuki couplings (* Conditions A: Pd[PPh3]4, solid K2CO3, dioxane, H2O, 80 °C, 15 h; conditions B: Pd[PPh3]4, 2 M aq. K2CO3, THF, 80 °C, 48 h).
As a continuation of the synthetic strategy based on a Suzuki reaction for the installation of new substituents, the synthesis of the corresponding 2,5-disubstituted analogues requires the bromo derivative 24 as the key starting material. The synthesis of this bromo derivative was achieved according to the procedure described in the literature [13], starting from toluquinol (1) and proceeding through bromo toluquinone 23, prepared in three steps from 1. The reduction of this bromo quinone by the action of sodium thiosulfate provided the bromo precursor 24 at a 44% yield. The Suzuki coupling reaction of 24 with the corresponding pinacol boronic ester afforded the desired 2,5-disubstituted 12 at a reasonable 50% yield (Scheme 4).
Scheme 4.
Synthesis of the p-disubstituted analogue 12 via a Suzuki reaction.
Finally, compounds 2,3-dimethyl-1,4-hydroquinone (13) and toluquinone (14) were commercially available and, in the case of thymoquinol (15), its preparation was achieved from commercial thymoquinone (16) by reduction with sodium thiosulfate [14].
2.2. Antitumoral Properties of the Compounds
The synthesized 1,4-hydroquinone derivatives 2–12 and 15 and the commercially available compounds 13, 14, and 16 were subjected to biological evaluation with regard to their effect on cell growth against a panel of various human cancer cell lines. They included MDA-MB-231 (human breast adenocarcinoma), HL-60 (human promyelocytic leukemia), U87-MG (human glioblastoma), HT-1080 (human fibrosarcoma), and HT-29 (human colorectal adenocarcinoma). In these studies, toluquinol (1) was used as a control, for comparison purposes.
To elucidate the effect of the toluquinol analogs on the growth of tumors, logarithmically proliferating cells were treated with serial dilutions of the compounds for 72 h. Then, the number of viable cells was evaluated by the addition of MTT, and results were expressed as a percentage of viable cells versus the untreated controls. Representative dose‒response curves are presented in the Supplementary Materials. In those figures each point represents the mean of quadruplicates, and SD values were typically lower than 10% of the mean values and were omitted for clarity. The half-maximal inhibitory concentration (IC50) value was calculated from each dose‒response curve as the concentration of compound yielding 50% of the control cells’ survival. Table 1, containing the IC50 values (means ± SD of three independent experiments with quadruplicate samples each one), summarizes the results of these biological evaluations.
Table 1.
In vitro antitumor activities of toluquinol and analogues (IC50, μM) [a].
2.2.1. Antitumor Properties with Structure‒Activity Relationship (SAR) of 2-Substituted Hydroquinones 2–7
Relevant conclusions can be derived from the results presented in Table 1. At first sight, they clearly indicate a relevant role of the methyl group of toluquinol in the cytotoxic activity of this compound, since compounds lacking this methyl group (2–7) exhibited significantly increased IC50 values for all the tested cell lines. In this regard, substitution of the methyl group of toluquinol by a trifluoromethyl group (compound 2) caused a 6- to 30-fold increase in the IC50 values for all the cell types, approaching the recently reported IC50 values for 1,4-hydroquinone in tumor cell lines [15]. These results are also in agreement with our previous results showing that substitution of the methyl group of toluquinol with either a carboxylic acid (as in gentisic acid) or a sulfonic acid (as in calcium dobesilate) provoked a notable decrease in the growth inhibitory activity of the compounds, as deduced from the higher IC50 values obtained for them in endothelial and tumor cells [6].
Many bioactive quinones and hydroquinones derived from marine organisms have one or more prenyl groups in their molecules [1,2,3]. Our results show that the substitution of a prenyl group (compound 3) for a toluquinol methyl group practically abrogated the generic antitumor activity of the compound that only exerted a moderate cytotoxic effect against the HL60 human leukemia cell line. This activity is consistent with that already described in P388 murine leukemia cells for this natural marine compound, first isolated from the tunicate Aplidium californicum [16,17]. Disubstituted prenyl hydroquinones are also frequently found in marine organisms. Although a correlation between their substitution pattern and the producing organism has been proposed, there is some evidence that the pharmacophore responsible for the cytotoxicity of these naturally occurring secondary metabolites could be the quinone, hydroquinone, or naphthoquinone nucleus [1,18]. As shown in Table 1, the inclusion of a second isoprenyl group in the molecule (compound 18, obtained as a sub-product in the synthesis of compound 3, as shown in Scheme 1) caused a 7-fold increase in the antileukemic activity of the new compound, which remained noncytotoxic for the other tumor cell lines. This suggests that the structural modification of the natural isoprenyl hydroquinone can effectively increase its activity, maintaining the interesting putative specificity of this compound to leukemia cells.
It is worth noting that, when substituted vinyl groups were introduced instead of the methyl group, their corresponding derivatives (compounds 4–7) retained some antitumor activities, with compound 7 being the most active in this series and compound 6 the least active, as an indication of the detrimental effect of the steric hindrance when either a bulky substituent is present, such as the tert-butyl group (compound 6), or an increased number of methyl groups are included in the aliphatic chain (compound 5). In any case, all of them showed significantly lower cytotoxicity than toluquinol, indicating that these structural changes are not well tolerated with regard to their antiproliferative properties and again suggesting the important role of the methyl group for the cytotoxicity of this compound.
2.2.2. Antitumor Properties with SAR of 2,6-Disubstituted Hydroquinones 8–11
Our results show that good tolerance was displayed after the inclusion of a second substituent in the biological properties of the resulting disubstituted 1,4-hydroquinones (compounds 8–13). All those toluquinol derivatives presented antitumoral activities in the same low μM range as the original molecule. The biological evaluation of the subset comprised by the 2,6-disubstituted-1,4-hydroquinones (compounds 8–11) revealed a number of intriguing findings. Although the resulting cytotoxicity values showed that the introduction of a second substituent in the toluquinol molecule was well tolerated, a significant decrease in the cytotoxic activity was only observed as the steric volume of the substituent increased (compounds 9 and 10). This is in agreement with the abovementioned results obtained with the monosubstituted vinyl derivatives. We analyzed the effect of the position of the second substituent in the 1,4-hydroquinone.
2.2.3. Antitumor Properties with SAR of 2,3-Disubstituted Hydroquinone 13 and 2,5-Disubstituted Hydroquinones 12 and 15
A comparison of the IC50 values obtained for 2,3-dimethyl-1,4-hydroquinone (13), the 2,5-disubstituted derivatives (compounds 12 and 15), and the 2, 6-disubstituted derivatives (compounds 8 and 11) indicates that, although no major differences were observed when non-bulky groups were included in any of those positions, in general, 2,5-disubstituted compounds seemed to exhibit higher cytotoxic activity. In this regard, compound 12 proved to be one of the most potent analogues, exhibiting cytotoxic activity higher than that of the 2,6-disubstituted counterpart (compound 11).
Special mention should be made of thymoquinol (compound 15), which in our assays demonstrated very similar activity to that of toluquinol. Several thymoquinol glycosides have been isolated from plants used in folk medicine to treat infections [19,20]. The main reason that we included thymoquinol in this study is that it is the reduced form of thymoquinone (compound 16), the major active ingredient of Nigella sativa, known as black seed or black cumin, which has been used as a traditional remedy to treat a variety of diseases for more than 2000 years [21]. Known as “the miracle herb of the century,” its impressive biological activities include antibacterial, antifungal, antiviral, antihelminthic, anti-inflammatory, immunomodulatory, and anticancer, as well as curative properties against cardiovascular diseases, diabetes, asthma, and oral or kidney diseases [22]. Thymoquinone, also found in many other medicinal plants, presents a wide range of biological activities of pharmacological value, including an interesting antitumor activity derived from its antiproliferative, anti-oxidant, cytotoxic, apoptogenic, and antimetastatic effects [21,23]. Thymoquinone has been recently identified as a potent anticancer compound capable of inducing apoptotic cell death by upregulating the expression of apoptotic genes p53 and caspase 9 and downregulating the expression of anti-apoptotic genes such as Bcl2 [24]. The antiangiogenic activity of thymoquinone may also contribute to enhancing the pharmacological potential of this compound in oncology [25,26].
2.2.4. Antitumor Properties with SAR of Benzoquinones 14, 16, and Benzopyrane 19
To shed light on the effect of the oxidation state of the toluquinol derivatives on their biological properties, we compared the activities of toluquinol (1) and thymoquinol (15) with those of their respective quinones, toluquinone (14) and thymoquinone (16). Our results show that the reduced compounds have better activities than those of their corresponding quinones, although these differences were not very significant. Although this contradicts the previous statement that the keto form of thymoquinone could be responsible for the pharmacological properties of the compound [27], it is in agreement with recent reported data showing that the reduction of thymoquinone, toluquinone, and other quinones to their respective hydroquinones increased their cytotoxic potency and selectivity on four cell lines of ovarian cancer [28]. In any case, it cannot be ruled out that both species might play a role in the toxicity of the compounds, which could generate a redox cycle in the tumor cell, responsible for the ROS production leading to cell death, in a similar mechanism to that proposed to explain the cytotoxic activities of marine terpenoquinones [3]. Supporting this hypothesis, the cytotoxic activity of thymoquinone has been related to the induction of oxidative damage in cancer cells, resulting in apoptosis [29]. Thymoquinone has a dual effect, with antioxidant properties at low concentration, but pro-oxidant ones at higher concentrations, derived from ROS generation [30]. Acting as a redox-cycler, the quinone can be metabolized by enzymatic or non-enzymatic reactions to hydroquinone or semiquinone, generating superoxide anion radicals [31]. The relevance of the cyclic interconversion of quinones and hydroquinones in the activity of these compounds might also explain the negligible cytotoxic activity of compound 19 (obtained as a subproduct in the synthesis of compound 3, as shown in Scheme 1), in which this interconversion between the two forms is prevented.
3. Experimental Section
3.1. General Techniques
All reactions were carried out under an argon atmosphere with dry, freshly distilled solvents under anhydrous conditions, unless using aqueous reagents or otherwise noted. All solvents used in reactions were dried and distilled using standard procedures. Tetrahydrofuran (THF) was distilled from sodium benzophenone, and methylene chloride (CH2Cl2) from calcium hydride. Yields refer to chromatographically and spectroscopically (1H NMR) homogeneous materials, unless otherwise stated. All solutions used in workup procedures were saturated unless otherwise noted. All reagents were purchased at highest commercial quality and used without further purification unless otherwise stated. All reactions were monitored by thin-layer chromatography (TLC) using 0.25-mm silica gel plates (60F-254), using UV light (254 nm) as the visualizing agent and acidic ceric ammonium molybdate/phosphomolybdic acid or potassium permanganate solutions and heat as the developing agents. Flash column chromatography (FCC) was performed using silica gel (60 Å, particle size 230–400 mesh) under air pressure. All solvents used for chromatographic purifications were distilled prior to use. 1H and 13C NMR spectra were recorded on a Bruker DPX-400 MHz instrument (Fällanden, Switzerland) and calibrated using residual undeuterated solvent as an internal reference. Chemical shifts are reported in ppm, with the resonance resulting from incomplete deuteration of the solvent as the internal standard (13CDCl3: 7.26 ppm, s and 77.0 ppm, t; 13CD3OD: 4.87 ppm, s, 3.31 ppm, quin and 49.1 ppm, sep; 13C2D6OS: 2.49 ppm, quin and 39.52 ppm, sep). Data are reported as follows: chemical shift δ/ppm (multiplicity, coupling constants J (Hz) and integration (1H only)). The following abbreviations were used to explain the multiplicities: s = singlet; d = doublet; t = triplet; q = quartet; quin = quintet; b = broad; m = multiplet or combination thereof. 13C signals are singles, unless otherwise stated. High-resolution mass spectrometry (HRMS) was performed on a Thermo Fisher Scientific H-ESI and APCI mass spectrometer (Waltham (MA), USA) in positive mode and using an ion trap (Orbitrap) as the mass analyzer type. HRMS signals are reported to four decimal places and are within ± 5 ppm of theoretical values. Melting points were collected using a Gallenkamp melting point apparatus (London, UK), using a gradient of 0.5 °C per min.
3.2. Biological Material and Methods
All the cancer cell lines used in this study were obtained from the American Type Culture Collection (ATCC, Manassas, Virginia, USA). Human fibrosarcoma HT-1080 and human glioblastoma U87-MG cells were maintained in Eagle’s Minimum Essential Medium (EMEM), supplemented with 10% FBS. Human colon adenocarcinoma HT-29 cells were maintained in DMEM containing glucose (4.5 g/L) supplemented with 10% FBS. Human breast cancer carcinoma MDA-MB-231 cells were maintained in a RPMI1640 medium supplemented with 10% FBS. Acute promyelocytic leukemia HL-60 cells were maintained in a RPMI1640 medium supplemented with 20% FBS. All culture media contained glutamine (2 mM), penicillin (50 IU/mL), streptomycin (50 μg/mL), and amphotericin (1.25 μg/mL), and all cell lines were grown at 37 °C in a humidified 5% CO2 atmosphere.
3.3. Synthesis
3.3.1. 2-(Trifluoromethyl)benzene-1,4-diol (2)
Hydroquinone 17 (50 mg, 0.45 mmol, 1.0 equiv.), 5-(Trifluoromethyl) dibenzothiophenium trifluoromethanesulfonate (362 mg, 0.9 mmol, 2.0 equiv.) and pyridine (0.04 mL, 0.45 mmol, 1.0 equiv.) were dissolved in DMF (2 mL) and the reaction mixture was stirred for 72 h at 25 °C. After this time, the reaction mixture was diluted with water and the aqueous phase was extracted with Et2O twice. The combined organic phases were washed sequentially with a saturated aqueous CuSO4 solution and brine, dried over MgSO4, filtered, and the solvent removed under reduced pressure. The crude mixture was purified by flash column chromatography (silica gel, 5% EtOAc in hexanes → 20% EtOAc in hexanes) to obtain 2 (39 mg, 49%) as a yellow oil [8]: Rf = 0.23 (silica gel, 30% EtOAc in hexanes); 1H NMR (400 MHz, CD3OD) δ 6.88 (d, J = 2.9 Hz, 1 H), 6.81 (ddd, J = 8.8, 2.9, 0.6 Hz, 1 H), 6.76 (dd, J = 4.9, 4.4 Hz, 1 H); 19F NMR (400 MHz, CD3OD) δ −63.78; HRMS (H-ESI) m/z: [M + H]+ calculated for C7H6F3O2 179.0320; found 179.0318.
3.3.2. 2-(3-Methylbut-2-en-1-yl)benzene-1,4-diol (3), 2,5-bis-(3-Methylbut-2-en-1-yl)benzene-1,4-diol (18) and 2,2-dimethyl-6-chromanol (19): Reaction of 17 with Prenol
Hydroquinone 17 (300 mg, 2.72 mmol, 1.0 equiv.) and 3-methyl-2-buten-1-ol (0.55 mL, 5.45 mmol, 2.0 equiv.) were dissolved in a 1:1 mixture of Et2O:CH2Cl2 (10 mL). Then, BF3•OEt2 (0.1 mL, 0.54 mmol, 0.2 equiv.) was added at 0 °C and the reaction mixture was stirred for 48 h at 25 °C. After this time, cold water was added and the aqueous phase was extracted with EtOAc. The organic phase was washed with brine, dried over MgSO4, filtered, and the solvent removed under reduced pressure. The residue was purified by flash column chromatography (silica gel, 15% EtOAc in hexanes → 25% EtOAc in hexanes) to obtain 3 (72 mg, 15%), together with side products 18 (21 mg, 3%) and 19 (13 mg, 2.7%) [9]. [3]: white solid, Rf = 0.30 (silica gel, 50% EtOAc in hexanes); m.p. = 101–103 °C; 1H NMR (400 MHz, CDCl3) δ 6.68 (d, J = 8.3 Hz, 1 H), 6.63–6.54 (m, 2 H), 5.29 (t, J = 7.3 Hz, 1 H), 3.29 (d, J = 7.0 Hz, 2 H), 1.77 (s, 3 H), 1.76 (s, 3 H); 13C NMR (100 MHz, CDCl3) δ 149.7, 147.5, 131.6, 128.8, 122.6, 115.7, 115.1, 112.4, 27.8, 24.5, 16.4; HRMS (H-ESI) m/z: [M + H]+ calculated for C11H15O2 179.1072; found 179.1064. [18]: white solid; 1H NMR (400 MHz, CDCl3) δ 6.70–6.45 (m, 4 H), 5.29 (t, J = 7.9 Hz, 1 H), 3.31–3.24 (m, 1 H), 2.71 (dd, J = 13.0, 6.4 Hz, 1 H), 1.82–1.69 (m, 12 H); 13C NMR (100 MHz, CDCl3) δ 147.2, 131.4, 125.8, 122.9, 115.6, 27.5, 24.6, 16.5; HRMS (H-ESI) m/z: [M + H]+ calculated for C16H23O2 247.1698; found 247.1708. [19]: red oil; 1H NMR (400 MHz, CDCl3) δ 6.65 (d, J = 8.6 Hz, 1 H), 6.62–6.53 (m, 2 H), 2.72 (t, J = 6.8 Hz, 2 H), 1.77 (t, J = 6.8 Hz, 2 H), 1.31 (s, 6 H); 13C NMR (100 MHz, CDCl3) δ 149.8, 146.9, 121.3, 117.1, 114.8, 113.9, 73.2, 32.5, 25.6, 22.2; HRMS (H-ESI) m/z: [M + H]+ calculated for C11H15O2 179.1072; found 179.1071.
3.3.3. Synthesis of Compounds 20 and 22
2-Bromobenzene-1,4-diol (20). Bromine (0.56 mL, 10.90 mmol, 1.2 equiv.) was added dropwise to a solution of 1,4-hydroquinone (17) (1.0 g, 9.08 mmol, 1.0 equiv.) in tBuOMe (20 mL) at ‒15 °C and the reaction mixture was stirred for 2 h. After this time, the reaction mixture was quenched by the addition of 10% aqueous sodium thiosulfate solution and extracted with Et2O twice. The combined organic phases were washed with brine, dried over MgSO4, filtered, and the solvent removed under reduced pressure. The residue was purified by flash column chromatography (silica gel, 10% EtOAc in hexanes) to obtain 20 (1.3 g, 78%) as a colorless solid [11]: Rf = 0.35 (silica gel, 30% EtOAc in hexanes); 1H NMR (400 MHz, CD3OD) δ 6.89 (d, J = 2.8 Hz, 1 H), 6.72 (d, J = 8.7 Hz, 1 H), 6.60 (dd, J = 8.7, 2.9 Hz, 1 H); 13C NMR (100 MHz, CD3OD) δ 152.0, 148.2, 120.3, 117.7, 116.4, 110.7.
2-Bromo-6-methylbenzene-1,4-diol (22). Bromine (2.8 mL, 55.48 mmol, 2.0 equiv.) was added dropwise over 15 min to a solution of o-cresol (21) (2.9 mL, 27.74 mmol, 1.0 equiv.) in AcOH (30 mL) at 0 °C and the reaction mixture was stirred at 25 °C for 1 h. After this time, cold water was added and the resulting white precipitate was filtered and washed with cold water to obtain 2,4-dibromo-6-methyl phenol (S1) (5.8 g, 80%) as a colorless solid that did not require further purification [12]: Rf = 0.60 (20% EtOAc in hexanes); m.p. = 56–57 °C; 1H NMR (400 MHz, CDCl3) δ 7.43 (dd, J = 2.3, 0.6 Hz, 1 H), 7.21–7.19 (m, 1 H), 2.27 (t, J = 0.7 Hz, 3 H); 13C NMR (100 MHz, CDCl3) δ 149.8, 133.1, 131.3, 127.7, 112.0, 110.4, 16.5. A solution of CrO3 (1.5 g, 15.31 mmol, 1.1 equiv.) in H2O (4 mL) was added to a solution of 2,4-dibromo-6-methyl phenol (3.7 g, 13.91 mmol, 1.0 equiv.) in Ac2O (7 mL)/CH3CN (3.5 mL) and the resulting mixture was heated at 60 °C for 1.5 h. After this time, the reaction mixture was cooled to 25 °C and diluted with water. Then, the aqueous phase was extracted with CH2Cl2 three times, and the combined organic phases were washed with brine, dried over MgSO4, filtered, and the solvent removed under reduced pressure to obtain 2-bromo-6-methyl-p-benzoquinone (S2) (2.3 g, 85%) as an orange solid that did not require further purification: Rf = 0.45 (silica gel, 20% EtOAc in hexanes); m.p. = 92–93 °C; 1H NMR (400 MHz, CDCl3) δ 7.23 (d, J = 2.4 Hz, 1 H), 6.65 (dq, J = 2.4, 1.6 Hz, 1 H), 2.14 (d, J = 1.6 Hz, 3 H); 13C NMR (100 MHz, CDCl3) δ 184.8, 179.9, 145.7, 138.1, 137.3, 133.4, 16.8. The resulting p-benzoquinone derivative (1.0 g, 4.97 mmol, 1.0 equiv.) was dissolved in a mixture of EtOH (10 mL)/H2O (2 mL) and the mixture was heated at 50 °C. Then, Na2S2O4 (1 g, 5.97 mmol, 1.2 equiv.) was added and the reaction mixture was heated at 50 °C for 1.5 h. After this time, EtOH was removed under reduced pressure, the crude mixture was diluted with water, and the aqueous phase was extracted with EtOAc. The organic phase was washed with brine, dried over MgSO4, filtered, and the solvent removed under reduced pressure to obtain a solid that was washed with cold CH2Cl2 to obtain 22 (585 mg, 57%) as a pale yellow solid that did not require further purification: Rf = 0.25 (silica gel, 20% EtOAc in hexanes); 1H NMR (400 MHz, CDCl3) δ 6.82 (dd, J = 2.9, 0.5 Hz, 1 H), 6.60 (dd, J = 2.9, 0.7 Hz, 1 H), 2.25 (t, J = 0.5 Hz, 3 H); 13C NMR (100 MHz, CDCl3) δ 148.8, 144.8, 126.5, 117.7, 115.7, 109.6, 16.9; HRMS (H-ESI) m/z: [M + H]+ calculated for C7H8BrO2 202.9708; found 202.9726.
3.3.4. General Procedures for Suzuki Couplings: Synthesis of the 2-Substituted and 2,6-Disubstituted Hydroquinones 4–11
Condition A: To a solution of boronic acid pinacol ester derivative (2.0 equiv.), bromo derivative (1.0 equiv.), Pd[PPh3]4 (0.2 equiv.), and K2CO3 (3.6 equiv.) in 1,4-dioxane was added a drop of water and the reaction mixture was heated at 80 °C for 15 h. After this time, a saturated aqueous NH4Cl solution was added and the aqueous phase was extracted with EtOAc three times. The combined organic phases were washed with brine, dried over MgSO4, filtered, and the solvent removed under reduced pressure. The residue was purified by flash column chromatography (silica gel) to obtain the corresponding product. Condition B: Boronic acid pinacol ester derivative (1.1 equiv.), bromo derivative (1.0 equiv.), Pd[PPh3]4 (0.05 equiv.), and K2CO3 (2.0 M aqueous solution, 6.6 equiv.) were dissolved in THF and the reaction mixture was heated at 80 °C for 48 h. After this time, a saturated aqueous NH4Cl solution was added and the aqueous phase was extracted with EtOAc three times. The combined organic phases were washed with brine, dried over MgSO4, filtered, and the solvent removed under reduced pressure. The residue was purified by flash column chromatography (silica gel) to obtain the corresponding product. Conditions C: Boronic acid pinacol ester derivative (1.1 equiv.), bromo derivative (1.0 equiv.), Pd[PPh3]4 (0.05 equiv.), and K2CO3 (2.0 M aqueous solution, 6.6 equiv.) were dissolved in THF and the reaction mixture was heated at 80 °C for 15 h. After this time, a saturated aqueous NH4Cl solution was added and the aqueous phase was extracted with EtOAc three times. The combined organic phases were washed with brine, dried over MgSO4, filtered, and the solvent removed under reduced pressure. The residue was purified by flash column chromatography (silica gel) to obtain the corresponding product.
2-(2-Methylprop-1-en-1-yl)benzene-1,4-diol (4). Compound 4 was prepared from bromohydroquinone 20 (50 mg, 0.29 mmol, 1.0 equiv.) by treatment with 2-methyl-1-propenylboronic acid pinacol ester (0.06 mL, 0.29 mmol, 1.1 equiv.), Pd[PPh3]4 (15 mg, 0.01 mmol, 0.05 equiv.), and K2CO3 (0.9 mL, 2.0 M aqueous solution, 1.72 mmol, 6.6 equiv.) in THF (2 mL), according to the general procedure for Suzuki couplings (conditions B), as described above. Purification by flash column chromatography (silica gel, 20% EtOAc in hexanes) afforded 4 (39 mg, 92%) as a pale yellow oil: Rf = 0.48 (silica gel, 50% EtOAc in hexanes); 1H NMR (400 MHz, MeOD) δ 6.60 (d, J = 8.6 Hz, 1 H), 6.56 (d, J = 3.0 Hz, 1 H), 6.49 (ddd, J = 8.6, 3.0, 0.4 Hz, 1 H), 6.21–6.14 (m, 1 H), 1.88 (d, J = 1.4 Hz, 3 H), 1.76 (d, J = 1.1 Hz, 3 H); 13C NMR (100 MHz, MeOD) δ 150.7, 148.7, 136.3, 127.6, 121.9, 117.7, 116.8, 114.9, 26.5, 19.6; HRMS (H-ESI) m/z: [M + H]+ calculated for C10H13O2 165.0916; found 165.0938.
2-(3-Methylbut-2-en-2-yl)benzene-1,4-diol (5). Compound 5 was prepared from bromohydroquinone 20 (50 mg, 0.26 mmol, 1.0 equiv.) by treatment with 3-Methyl-2-buten-2-ylboronic acid pinacol ester (0.06 mL, 0.29 mmol, 1.1 equiv.), Pd[PPh3]4 (15 mg, 0.01 mmol, 0.05 equiv.), and K2CO3 (0.9 mL, 2.0 M aqueous solution, 1.72 mmol, 6.6 equiv.) in THF (2 mL), according to the general procedure for Suzuki coupling (conditions B). Purification by flash column chromatography (silica gel, 5% EtOAc in hexanes → 15% EtOAc in hexanes) gave 5 (15 mg, 32%) as a pale yellow oil: Rf = 0.40 (silica gel, 50% EtOAc in hexanes); 1H NMR (400 MHz, CD3OD) δ 6.61 (d, J = 8.7 Hz, 1 H), 6.50 (dd, J = 8.6, 3.0 Hz, 1 H), 6.37 (d, J = 2.9 Hz, 1 H), 1.86 (dd, J = 1.4, 1.0 Hz, 3 H), 1.79 (d, J = 0.5 Hz, 3 H), 1.50 (dd, J = 2.7, 1.3 Hz, 3 H); 13C NMR (100 MHz, CD3OD) δ 149.7, 146.1, 132.4, 128.1, 126.2, 115.7, 115.6, 113.4, 20.7, 18.7, 18.6; HRMS (H-ESI) m/z: [M + H]+ calculated for C11H15O2 179.1072; found 179.1065.
(E)-2-(3,3-Dimethylbut-1-en-1-yl)benzene-1,4-diol (6). Compound 6 was prepared from bromohydroquinone 12 (100 mg, 0.53 mmol, 1.0 equiv.) by treatment with 2-t-Butyl-E-vinylboronic acid pinacol ester (0.14 mL, 0.58 mmol, 1.1 equiv.), Pd[PPh3]4 (31 mg, 0.03 mmol, 0.05 equiv.), and K2CO3 (1.75 mL, 2.0 M aqueous solution, 3.49 mmol, 6.6 equiv.) in THF (4 mL), according to the general procedure for Suzuki coupling (conditions C). Purification by flash column chromatography (silica gel, 15% EtOAc in hexanes) afforded 6 (80 mg, 79%) as a pale yellow oil: Rf = 0.33 (silica gel, 50% EtOAc in hexanes); 1H NMR (400 MHz, CD3OD) δ 6.81 (t, J = 3.0 Hz, 1 H), 6.58 (dd, J = 12.4, 3.9 Hz, 2 H), 6.47 (dd, J = 8.6, 2.9 Hz, 1 H), 6.14 (d, J = 16.3 Hz, 1 H), 1.11 (s, 9 H); 13C NMR (100 MHz, CD3OD) δ 151.2, 148.6, 141.9, 127.2, 120.8, 117.3, 115.5, 112.9, 34.3, 30.1; HRMS (H-ESI) m/z: [M + H]+ calculated for C12H17O2 193.1229; found 193.1238.
(E)-2-(3-Methoxyprop-1-en-1-yl)benzene-1,4-diol (7). Compound 7 was prepared from bromohydroquinone 20 (50 mg, 0.26 mmol, 1.0 equiv.) by treatment with trans-3-Methoxy-1-propenylboronic acid pinacol ester (0.06 mL, 0.29 mmol, 1.1 equiv.), Pd[PPh3]4 (15 mg, 0.01 mmol, 0.05 equiv.), and K2CO3 (0.90 mL, 2.0 M aqueous solution, 1.72 mmol, 6.6 equiv.) in THF (2 mL), according to the general procedure for Suzuki coupling (conditions C). Purification by flash column chromatography (silica gel, 25% EtOAc in hexanes) gave 7 (26 mg, 56%) as a pale yellow oil: Rf = 0.30 (silica gel, 50% EtOAc in hexanes); 1H NMR (400 MHz, CD3OD) δ 6.88–6.82 (m, 2 H), 6.62 (d, J = 8.5 Hz, 1 H), 6.54 (dd, J = 8.6, 2.9 Hz, 1 H), 6.22 (dt, J = 16.0, 6.3 Hz, 1 H), 4.07 (dd, J = 6.3, 1.4 Hz, 2 H), 3.36 (s, 3 H); 13C NMR (100 MHz, CD3OD) δ 151.2, 149.2, 129.4, 126.1, 125.6, 117.5, 116.7, 113.6, 74.7, 57.9; HRMS (H-ESI) m/z: [M + H]+ calculated for C10H13O3 181.0865; found 181.0884.
2-Methyl-6-(2-methylprop-1-en-1-yl)benzene-1,4-diol (8). Compound 8 was prepared from bromo derivative 22 (58 mg, 0.29 mmol, 1.0 equiv.) by treatment with 2-methyl-1-propenylboronic acid pinacol ester (0.12 mL, 0.58 mmol, 2.0 equiv.), Pd[PPh3]4 (66 mg, 0.06 mmol, 0.2 equiv.), and K2CO3 (142 mg, 1.03 mmol, 3.6 equiv.) in 1,4-dioxane (1.5 mL), according to the general procedure for Suzuki coupling (conditions A). Purification by flash column chromatography (silica gel, 20% EtOAc in hexanes) afforded 8 (29 mg, 58%) as a yellow oil: Rf = 0.50 (silica gel, 30% EtOAc in hexanes); 1H NMR (400 MHz, CD3OD) δ 6.44 (dd, J = 3.0, 0.5 Hz, 1 H), 6.38–6.36 (m, 1 H), 6.17 (s, 1 H), 2.14 (s, 3 H), 1.89 (d, J = 1.2 Hz, 3 H), 1.73 (d, J = 1.0 Hz, 3 H); 13C NMR (100 MHz, CD3OD) δ 149.1, 145.0, 135.9, 126.4, 125.7, 120.5, 115.3, 113.6, 24.9, 18.2, 15.4; HRMS (H-ESI) m/z: [M + H]+ calculated for C11H15O2 179.1072; found 179.1081.
2-Methyl-6-(3-methylbut-2-en-2-yl)benzene-1,4-diol (9). Compound 9 was prepared from bromo derivative 22 (50 mg, 0.24 mmol, 1.0 equiv.) by treatment with 3-methyl-2-buten-2-ylboronic acid pinacol ester (0.06 mL, 0.26 mmol, 1.1 equiv.), Pd[PPh3]4 (14 mg, 0.01 mmol, 0.05 equiv.) and K2CO3 (0.8 mL, 2.0 M aqueous solution, 1.72 mmol, 6.6 equiv.) in THF (2 mL), according to the general procedure for Suzuki coupling (conditions B). Purification by flash column chromatography (silica gel, 10% EtOAc in hexanes) gave 9 (16 mg, 35%) as a pale yellow oil: Rf = 0.60 (silica gel, 30% EtOAc in hexanes); 1H NMR (400 MHz, CDCl3) δ 6.52 (dd, J = 3.0, 0.7 Hz, 1 H), 6.33 (dd, J = 3.1, 0.5 Hz, 1 H), 2.21 (t, J = 0.6 Hz, 3 H), 1.89 (dd, J = 1.5, 1.0 Hz, 3 H), 1.85 (d, J = 0.7 Hz, 3 H), 1.55 (q, J = 1.4 Hz, 3 H); 13C NMR (100 MHz, CDCl3) δ 148.4, 143.8, 132.1, 130.7, 124.7, 124.6, 116.1, 112.2, 21.7, 20.1, 20.0, 16.3; HRMS (H-ESI) m/z: [M + H]+ calculated for C12H17O2 193.1229; found 193.1234.
(E)-2-(3,3-Dimethylbut-1-en-1-yl)-6-methylbenzene-1,4-diol (10). Compound 10 was prepared from bromo derivative 22 (100 mg, 0.53 mmol, 1.0 equiv.), by treatment with 2-t-Butyl-E-vinylboronic acid pinacol ester (0.14 mL, 0.58 mmol, 1.1 equiv.), Pd[PPh3]4 (31 mg, 0.03 mmol, 0.05 equiv.), and K2CO3 (1.75 mL, 2.0 M aqueous solution, 3.50 mmol, 6.6 equiv.) in THF (4 mL), according to the general procedure for Suzuki coupling (conditions B). Purification by flash column chromatography (silica gel, 15% EtOAc in hexanes) gave 10 (40 mg, 79%) as a pale yellow oil: Rf = 0.40 (silica gel, 30% EtOAc in hexanes); 1H NMR (400 MHz, CDCl3) δ 6.67–6.65 (m, 1 H), 6.52 (dd, J = 3.0, 0.6 Hz, 1 H), 6.43 (d, J = 16.2 Hz, 1 H), 6.16 (d, J = 16.2 Hz, 1 H), 2.20 (t, J = 0.6 Hz, 3 H), 1.12 (s, 9 H); 13C NMR (100 MHz, CDCl3) δ 148.8, 144.9, 144.9, 125.6, 125.2, 118.8, 116.3, 110.9, 33.7, 29.5, 16.1; HRMS (H-ESI) m/z: [M + H]+ calculated for C13H19O2 207.1385; found 207.1367.
(E)-2-(3-Methoxyprop-1-en-1-yl)-6-methylbenzene-1,4-diol (11). Compound 10 was prepared from bromo derivative 22 (50 mg, 0.25 mmol, 1.0 equiv.) by treatment with trans-3-methoxy-1-propenylboronic acid pinacol ester (0.10 mL, 0.49 mmol, 2.0 equiv.), Pd[PPh3]4 (57 mg, 0.05 mmol, 0.2 equiv.), and K2CO3 (122 mg, 0.89 mmol, 3.6 equiv.) in 1,4-dioxane (1.5 mL), according to the general procedure for Suzuki coupling (conditions A). Purification by flash column chromatography (silica gel, 25% EtOAc in hexanes) afforded 11 (24 mg, 51%) as a pale yellow oil: Rf = 0.30 (silica gel, 50% EtOAc in hexanes); 1H NMR (400 MHz, CD3OD) δ 6.97–6.90 (m, 1 H), 6.71 (d, J = 3.0 Hz, 1 H), 6.50 (dd, J = 3.0, 0.7 Hz, 1 H), 6.16 (dt, J = 15.9, 6.3 Hz, 1 H), 4.08 (dd, J = 6.3, 1.4 Hz, 2 H), 3.37 (s, 3 H), 2.15 (s, 3 H); 13C NMR (100 MHz, CD3OD) δ 150.1, 145.2, 128.2, 127.1, 125.6, 124.9, 116.9, 109.3, 73.2, 56.6, 15.5; HRMS (H-ESI) m/z: [M + H]+ calculated for C11H15O3 195.1021; found 195.1023.
3.3.5. Synthesis of Compounds 23, 24, and 2,5-Disubstituted Hydroquinones 12 and 15
2-Bromo-5-methylcyclohexa-2,5-diene-1,4-dione (23). To a solution of toluquinol (1) (2.5 g, 20.14 mmol, 1.0 equiv.) in acetone (15 mL) was added K2CO3 (14 g, 100.70 mmol, 5.0 equiv.) and Me2SO4 (5.7 mL, 60.41 mmol, 3.0 equiv.) and the reaction mixture was stirred for 3 h. After this time, the reaction mixture was diluted with water and the aqueous phase was extracted with Et2O. The organic phase was washed with brine, dried over MgSO4, filtered, and the solvent removed under reduced pressure to obtain the corresponding dimethoxy derivative (~20 mmol), which was used in the next steps without purification. To a solution of the dimethoxy derivative obtained above (~20 mmol) and NaOAc (3.3 g, 40.28 mmol, 2.0 equiv.) in AcOH (20 mL) was added bromine (1.2 mL, 2.15 mmol, 1.1 equiv.) over 25 min and, after the addition, the reaction mixture was stirred for 1 h. Then, the reaction mixture was quenched by a slow addition of a saturated aqueous NaHCO3 solution at 0 °C. The aqueous phase was then extracted with EtOAc and the organic phase washed with brine, dried over MgSO4, filtered, and the solvent removed under reduced pressure to obtain the corresponding bromo derivative (~20 mmol), which was used in the next step without purification. The bromo derivative obtained above (~20 mmol) was dissolved in CH3CN (35 mL). Then, CAN (28 g, 50.34 mmol, 2.5 equiv.) and H2O (20 mL) were added and the reaction mixture was stirred for 1 h at 25 °C. After this time, the reaction mixture was diluted with water and the aqueous phase was extracted with Et2O twice. The combined organic phases were washed with brine, dried over MgSO4, filtered, and the solvent removed under reduced pressure. The residue was purified by flash column chromatography (silica gel, 1% EtOAc in hexanes) to obtain compound 23 (1.5 g, 37% over 3 steps) as an orange solid [13]: Rf = 0.45 (silica gel, 20% EtOAc in hexanes); 1H NMR (400 MHz, CDCl3) δ 7.29 (s, 1 H), 7.26 (s, 2 H), 2.08 (d, J = 1.6 Hz, 3 H); 13C NMR (100 MHz, CDCl3) δ 185.1, 179.5, 146.5, 138.1, 137.5, 132.6, 15.7.
2-Bromo-5-methylbenzene-1,4-diol (24). Quinone 23 (264 mg, 1.31 mmol, 1.0 equiv.) was dissolved in a mixture of EtOH/H2O (3/0.5 mL) and heated to 50 °C. Then, Na2S2O4 (264 mg, 1.57 mmol, 1.2 equiv.) was added and the reaction mixture was stirred at 50 °C for 1.5 h. After this time, the reaction mixture was cooled to 25 °C and the EtOH was removed under reduced pressure. The resulting residue was diluted with water and extracted with EtOAc twice and the combined organic phases washed with brine, dried over MgSO4, filtered, and the solvent removed under reduced pressure to obtain a yellow solid. This solid was washed with cold CH2Cl2 to afford pure compound 24 (118 mg, 44%) as a pale yellow solid that did not require further purification: Rf = 0.52 (silica gel, 50% EtOAc in hexanes); 1H NMR (400 MHz, CD3OD) δ 6.83 (s, 1 H), 6.64 (d, J = 0.7 Hz, 1 H), 2.08 (s, 3 H); 13C NMR (100 MHz, CD3OD) δ 148.7, 146.4, 124.9, 117.9, 117.8, 105.6, 14.6; HRMS (H-ESI) m/z: [M + H]+ calculated for C7H8BrO2 202.9708; found 202.9715.
(E)-2-(3-Methoxyprop-1-en-1-yl)-5-methylbenzene-1,4-diol (12). Compound 12 was prepared from bromo derivative 24 (113 mg, 0.56 mmol, 1.0 equiv.) by treatment with trans-3-Methoxy-1-propenylboronic acid pinacol ester (0.24 mL, 1.11 mmol, 2.0 equiv.), Pd[PPh3]4 (129 mg, 0.11 mmol, 0.2 equiv.), and K2CO3 (277 mg, 2.00 mmol, 3.6 equiv.) in 1,4-dioxane (3 mL), according to the general procedure for Suzuki coupling (conditions A). Purification by flash column chromatography (silica gel, 5% EtOAc in hexanes → 20% EtOAc in hexanes) gave compound 12 (54 mg, 50%) as a pale yellow oil: Rf = 0.50 (silica gel, 50% EtOAc in hexanes); 1H NMR (400 MHz, CD3OD) δ 6.85–6.78 (m, 2 H), 6.52 (d, J = 0.6 Hz, 1 H), 6.15 (dt, J = 15.9, 6.5 Hz, 1 H), 4.06 (dd, J = 6.4, 1.3 Hz, 2 H), 3.35 (s, 3 H), 2.11 (s, 3 H); 13C NMR (100 MHz, CD3OD) δ 147.9, 147.5, 128.2, 125.4, 123.4, 121.4, 117.6, 111.7, 73.5, 56.5, 14.8; HRMS (H-ESI) m/z: [M + H]+ calculated for C11H15O3 195.1021; found 195.1017.
Thymoquinol 15. To a solution of thymoquinone (16) (100 mg, 0.61 mmol, 1.0 equiv.) in MeOH (2 mL) was added a solution of Na2S2O4 (225 mg, 1.29 mmol, 2.1 equiv.) in H2O (2 mL). The reaction mixture was stirred for 2 h at 25 °C and, after this time, the organic solvent was removed under reduced pressure. Then, the crude mixture was diluted with water and the aqueous phase was extracted with EtOAc. The organic phase was washed with brine, dried over MgSO4, filtered, and the solvent removed under reduced pressure. The residue was purified by flash column chromatography (silica gel, 20% EtOAc in hexanes) to obtain 15 (50 mg, 49%) as a pale brown solid [14]: Rf = 0.50 (silica gel, 30% EtOAc in hexanes); 1H NMR (400 MHz, CD3OD) δ 6.56 (s, 1 H), 6.48 (s, 1 H), 3.17 (dt, J = 13.8, 6.9 Hz, 1 H), 1.17 (s, 3 H), 1.15 (s, 3 H); 13C NMR (100 MHz, CD3OD) δ 147.8, 146.6, 132.8, 121.6, 116.9, 112.1, 26.3, 21.8, 14.5; HRMS (H-ESI) m/z: [M + H]+ calculated for C10H15O2 167.1072; found 167.1058.
3.4. Cell Growth Assay
The 3-(4,5-dimethylthiazol-2-yl)-2,5-diphenyltetrazolium bromide or MTT dye reduction assay in 96-well microplates was used [32]. This assay is dependent on the reduction of MTT by mitochondrial dehydrogenases of a viable cell to a blue formazan product, which can be measured spectrophotometrically. 3 × 103 HL-60, and 2 × 103 HT-1080, HT-29, MDA-MB-231, and U87MG cells in a total volume of 100 μL of their respective growth medium were incubated with serial dilutions 1:1 of the tested compounds. After three days of incubation (37 °C and 5% CO2 in a humid atmosphere), 10 μL of MTT (5 mg/mL in phosphate-buffered saline) were added to each well, and the plate was incubated for a further 4 h at 37 °C. The resulting formazan was dissolved in 150 μL of 0.04 N HCl/2-propanol and read at 550 nm. IC50 values were calculated from semi-logarithmic dose‒response plots as those concentrations of the compound yielding 50% cell survival, taking the values obtained for the control to be 100%. IC50 results are expressed as means ± S.D. of at least three independent experiments.
4. Conclusions and Future Perspectives
Bioactive marine compounds can serve as the basis for the synthesis of derivatives with improved pharmacological properties. The synthesis of a set of analogues of the natural product toluquinol has been described and their in vitro cytotoxicity against a panel of cancer cell lines was compared. Our results indicate that the cytotoxic activity of this family of compounds could rely on the hydroquinone part of the molecule, probably due to its capability to undergo redox cycling. Although the hydroquinones seemed to be more cytotoxic than their quinone counterparts, the differences between them were not very significant. Substituents in the ring may modulate the interaction of the molecule with their targets, changing either the activity or the selectivity. Tolerance for biological activity was much more restricted for the methyl group of the molecule, whose replacement by other groups resulted in a significant loss of cytotoxic activity. An increased selectivity was obtained when prenyl groups were used as substituents. The inclusion of a second substituent group in the toluquinol molecule was well tolerated and originated a series of derivatives with cytotoxic activities that were similar to or even higher than that of the natural product. These findings provide guidance for the design of new toluquinol analogues with potentially better pharmacological properties. Two of the compounds studied here (toluquinol and thymoquinone) have been reported to inhibit angiogenesis in vitro and in vivo. Further optimization and development of the new compounds and biochemical studies to determine the mechanism of the biological actions of this family of compounds, with an emphasis on their putative antiangiogenic activity and their undesired toxic effects, are currently in progress.
Supplementary Materials
The following are available online at https://www.mdpi.com/1660-3397/17/9/492/s1.
Author Contributions
Conceptualization, A.R.Q., F.S., M.Á.M., B.M.-P.; Methodology, J.A.T.-V., I.C.-S., G.A.G.-V.; Validation and Analysis, A.R.Q., F.S., J.A.T.-V., I.C.-S., M.Á.M., B.M.-P.; Writing—Original Draft Preparation, A.R.Q., F.S.; Writing—Review and Editing, A.R.Q., F.S., M.Á.M., B.M.-P.; Funding Acquisition, A.R.Q., M.Á.M., F.S., B.M.-P.
Funding
Supported by grants BIO2014-56092-R, CTQ2014-60223-R (MINECO and FEDER), P12-CTS-1507, and UMA18-FEDERJA-220 (Andalusian Government and FEDER) and funds from group BIO-267 (Andalusian Government). The “CIBER de enfermedades raras” is an initiative of the ISCIII (Spain). The funders had no role in the study design, data collection and analysis, decision to publish, or preparation of the manuscript.
Acknowledgments
J.A.T.-V. and I.C.-S. thank the Ministerio de Educación, Cultura y Deporte for their predoctoral fellowships (FPU programme).
Conflicts of Interest
The authors declare no conflict of interest. The funders had no role in the design of the study; in the collection, analyses, or interpretation of data; in the writing of the manuscript, or in the decision to publish the results.
References
- Sunassee, S.N.; Davies-Coleman, M.T. Cytotoxic and antioxidant marine prenylated quinones and hydroquinones. Nat. Prod. Rep. 2012, 29, 513–535. [Google Scholar] [CrossRef] [PubMed]
- García, P.A.; Hernández, Á.P.; San Feliciano, A.; Castro, M.A. Bioactive Prenyl- and Terpenyl-Quinones/Hydroquinones of Marine Origin. Mar. Drugs 2018, 16, 292. [Google Scholar] [CrossRef] [PubMed]
- Gordaliza, M. Cytotoxic terpene quinones from marine sponges. Mar. Drugs 2010, 8, 2849–2870. [Google Scholar] [CrossRef] [PubMed]
- Waters, A.L.; Hill, R.T.; Place, A.R.; Hamann, M.T. The expanding role of marine microbes in pharmaceutical development. Curr. Opin. Biotechnol. 2010, 21, 780–786. [Google Scholar] [CrossRef] [PubMed]
- Bhatnagar, I.; Kim, S.K. Immense essence of excellence: Marine microbial bioactive compounds. Mar. Drugs 2010, 8, 2673–2701. [Google Scholar] [CrossRef] [PubMed]
- García-Caballero, M.; Marí-Beffa, M.; Cañedo, L.; Medina, M.A.; Quesada, A.R. Toluquinol, a Marine Fungus Metabolite, is a New Angiosuppresor that Interferes the Akt Pathway. Biochem. Pharmacol. 2013, 85, 1727–1740. [Google Scholar] [CrossRef] [PubMed]
- García-Caballero, M.; Blacher, S.; Paupert, J.; Quesada, A.R.; Medina, M.A.; Noël,, A. Novel Application Assigned to Toluquinol: Inhibition of Lymphangiogenesis by Interfering with VEGF-C/VEGFR-3 Signalling Pathway. Br. J. Pharmacol. 2016, 173, 1966–1987. [Google Scholar] [CrossRef] [PubMed]
- Yang, J.-J.; Kirchmeier, R.L.; Shreeve, J.M. New Electrophilic Trifluoromethylating Agents. J. Org. Chem. 1998, 63, 2656–2660. [Google Scholar] [CrossRef]
- Osorio, M.; Aravena, J.; Vergara, A.; Taborga, L.; Baeza, E.; Catalán, K.; González, C.; Carvajal, M.; Carrasco, H.; Espinoza, L. Synthesis and DPPH Radical Scavenging Activity of Prenylated Phenol Derivatives. Molecules 2012, 17, 556–570. [Google Scholar] [CrossRef]
- Nicolaou, K.C.; Bulger, P.G.; Sarlah, D. Palladium-Catalyzed Cross-Coupling Reactions in Total Synthesis. Angew. Chem. Int. Ed. 2005, 44, 4442–4489. [Google Scholar] [CrossRef]
- Viault, G.; Grée, D.; Das, S.; Yadav, J.S.; Grée, R. Synthesis of a Focused Chemical Library Based on Derivatives of Embelin, a Natural Product with Proapoptotic and Anticancer Properties. Eur. J. Org. Chem. 2011, 2011, 1233–1241. [Google Scholar] [CrossRef]
- Löbermann, F.; Mayer, P.; Trauner, D. Biomimetic Synthesis of (−)-Pycnanthuquinone C through the Diels-Alder Reaction of a Vinyl Quinone. Angew. Chem. Int. Ed. 2010, 49, 6199–6202. [Google Scholar] [CrossRef] [PubMed]
- Kutz, S.K.; Schmidt, A.; Knölker, H.-J. Palladium-Catalyzed Synthesis of Pyrayaquinones, Murraya-quinones, and Murrayafoline-B. Synthesis 2017, 49, 275–292. [Google Scholar]
- Johnson-Ajinwo, O.R.; Li, E.-W. Stable Isotope Dilution Gas Chromatography-Mass Spectrometry for Quantification of Thymoquinone in Black Cumin Seed Oil. J. Agric. Food Chem. 2014, 62, 5466–5471. [Google Scholar] [CrossRef] [PubMed]
- Byeon, S.E.; Yi, Y.S.; Lee, J.; Yang, W.S.; Kim, J.H.; Kim, J.; Hong, S.; Kim, J.H.; Cho, J.Y. Hydroquinone Exhibits In Vitro and In Vivo Anti-Cancer Activity in Cancer Cells and Mice. Int. J. Mol. Sci. 2018, 19, 903. [Google Scholar] [CrossRef] [PubMed]
- Howard, B.M.; Clarkson, K.; Bernstein, R.L. Simple prenylated hydroquinone derivatives from the marine Urochordate Aplidium californicum. Natural anticancer and antimutagenic agents. Tetrahedron Lett. 1979, 20, 4449–4452. [Google Scholar] [CrossRef]
- Bertanha, C.S.; Januário, A.H.; Alvarenga, T.A.; Pimenta, L.P.; Silva, M.L.; Cunha, W.R.; Pauletti, P.M. Quinone and hydroquinone metabolites from the ascidians of the genus Aplidium. Mar. Drugs 2014, 12, 3608–3633. [Google Scholar] [CrossRef] [PubMed]
- Fisch, K.M.; Böhm, V.; Wright, A.D.; König, G.M. Antioxidative meroterpenoids from the brown alga Cystoseira crinita. J. Nat. Prod. 2003, 66, 968–975. [Google Scholar] [CrossRef] [PubMed]
- Kamel, M.S.; Assaf, M.H.; Hasanean, H.A.; Ohtani, K.; Kasai, R.; Yamasaki, K. Monoterpene glucosides from Origanum syriacum. Phytochemistry 2001, 58, 1149–1152. [Google Scholar] [CrossRef]
- Sevindik, H.G.; Ozgen, U.; Atila, A.; Er, H.O.; Kazaz, C.; Duman, H. Phtytochemical Studies and Quantitative HPLC Analysis of Rosmarinic Acid and Luteolin 5-O-β-d-Glucopyranoside on Thymus praecox subsp. grossheimii var. grossheimii. Chem. Pharm. Bull. 2015, 63, 720–725. [Google Scholar] [CrossRef]
- Darakhshan, S.; Bidmeshki Pour, A.; Hosseinzadeh Colagar, A.; Sisakhtnezhad, S. Thymoquinone and its therapeutic potentials. Pharmacol. Res. 2015, 95–96, 138–158. [Google Scholar] [CrossRef] [PubMed]
- Ahmad, A.; Husain, A.; Mujeeb, M.; Khan, S.A.; Najmi, A.K.; Siddique, N.A.; Damanhouri, Z.A.; Anwar, F. A Review on Therapeutic Potential of Nigella sativa: A Miracle Herb. Asian Pac. J. Trop. Biomed. 2013, 3, 337–352. [Google Scholar] [CrossRef]
- Majdalawieh, A.F.; Fayyad, M.W.; Nasrallah, G.K. Anti-cancer properties and mechanisms of action of thymoquinone, the major active ingredient of Nigella sativa. Crit. Rev. Food Sci. Nutr. 2017, 57, 3911–3928. [Google Scholar] [CrossRef] [PubMed]
- Alaufi, O.M.; Noorwali, A.; Zahran, F.; Al-Abd, A.M.; Al-Attas, S. Cytotoxicity of Thymoquinone Alone or in Combination with Cisplatin (CDDP) against Oral Squamous Cell Carcinoma in Vitro. Sci. Rep. 2017, 7, 13131. [Google Scholar] [CrossRef] [PubMed]
- Yi, T.; Cho, S.G.; Yi, Z.; Pang, X.; Rodriguez, M.; Wang, Y.; Sethi, G.; Aggarwal, B.B.; Liu, M. Thymoquinone inhibits tumor angiogenesis and tumor growth through suppressing AKT and extracellular signal-regulated kinase signaling pathways. Mol. Cancer. Ther. 2008, 7, 1789–1796. [Google Scholar] [CrossRef] [PubMed]
- Peng, L.; Liu, A.; Shen, Y.; Xu, H.Z.; Yang, S.Z.; Ying, X.Z.; Liao, W.; Liu, H.X.; Lin, Z.Q.; Chen, Q.Y.; et al. Antitumor and anti-angiogenesis effects of thymoquinone on osteosarcoma through the NF-κB pathway. Oncol. Rep. 2013, 29, 571–578. [Google Scholar] [CrossRef]
- Alkharfy, K.M.; Al-Daghri, N.M.; Al-Attas, O.S.; Alokail, M.S. The protective effect of thymoquinone against sepsis syndrome morbidity and mortality in mice. Int. Immunopharmacol. 2011, 11, 250–254. [Google Scholar] [CrossRef]
- Johnson-Ajinwo, O.R.; Ullah, I.; Mbye, H.; Richardson, A.; Horrocks, P.; Li, W.W. The synthesis and evaluation of thymoquinone analogues as anti-ovarian cancer and antimalarial agents. Bioorg. Med. Chem. Lett. 2018, 28, 1219–1222. [Google Scholar] [CrossRef]
- Koka, P.S.; Mondal, D.; Schultz, M.; Abdel-Mageed, A.B.; Agrawal, K.C. Studies on molecular mechanisms of growth inhibitory effects of thymoquinone against prostate cancer cells: Role of reactive oxygen species. Exp. Biol. Med. 2010, 235, 751–760. [Google Scholar] [CrossRef]
- Mahmoud, Y.K.; Abdelrazek, H.M.A. Cancer: Thymoquinone antioxidant/pro-oxidant effect as potential anticancer remedy. Biomed. Pharmacother. 2019, 115, 108783. [Google Scholar] [CrossRef]
- Zubair, H.; Khan, H.Y.; Sohail, A.; Azim, S.; Ullah, M.F.; Ahmad, A.; Sarkar, F.H.; Hadi, S.M. Redox cycling of endogenous copper by thymoquinone leads to ROS mediated DNA breakage and consequent cell death: Putative anticancer mechanism of antioxidants. Cell Death Dis. 2013, 4, e660. [Google Scholar] [CrossRef] [PubMed]
- Cárdenas, C.; Quesada, A.R.; Medina, M.Á. Evaluation of the anti-angiogenic effect of aloe-emodin. Cell. Mol. Life Sci. 2006, 63, 3083–3089. [Google Scholar] [CrossRef] [PubMed]
© 2019 by the authors. Licensee MDPI, Basel, Switzerland. This article is an open access article distributed under the terms and conditions of the Creative Commons Attribution (CC BY) license (http://creativecommons.org/licenses/by/4.0/).






















