Antifouling Compounds from Marine Invertebrates
Abstract
1. Introduction
2. Results
2.1. Terpenoids
2.1.1. Terpenoids from Sponges
2.1.2. Terpenoids from Corals
2.1.3. Terpenoids from Other Marine Invertebrates
2.2. Steroids and Saponins
2.2.1. Steroids from Sponges
2.2.2. Steroids from Coals
2.3. Alkaloids
2.4. Other Kinds of Compounds
3. Conclusions
Acknowledgments
Author Contributions
Conflicts of Interest
References
- Yebra, D.M.; Kiil, S.; Dam-Johansen, K. Antifouling technology-past, present and future steps towards efficient and environmentally friendly antifouling coatings. Prog. Org. Coat. 2004, 50, 75–104. [Google Scholar] [CrossRef]
- Qian, P.Y.; Xu, Y.; Fusetani, N. Natural products as antifouling compounds: Recent progress and future perspectives. Biofouling 2010, 26, 223–234. [Google Scholar] [CrossRef] [PubMed]
- Omae, I. Organotin antifouling paints and their alternatives. Appl. Organomet. Chem. 2003, 17, 81–105. [Google Scholar] [CrossRef]
- Rittschof, D. Natural product antifoulants and coatings development. In Marine Chemical Ecology; Clintock, J.B., Baker, B.J., Eds.; Taylor & Francis: Abingdon, UK, 2001; pp. 543–566. [Google Scholar]
- Faӱ, F.; Linossier, I.; Peron, J.J.; Langlois, V.; Vallée-Rehel, K. Antifouling activity of marine paints: Study of erosion. Prog. Org. Coat. 2007, 60, 194–206. [Google Scholar] [CrossRef]
- Fusetani, N.; Clare, A.S. (Eds.) Antifouling Compounds; Springer: Berlin, Germany, 2006. [Google Scholar]
- Hellio, C.; Yebra, D. (Eds.) Advances in Marine Antifouling Coatings and Technologies; Woodhead Publishing: Cambridge, UK, 2010. [Google Scholar]
- Pawilk, J.R. Marine invertebrate chemical defences. Chem. Rev. 1993, 93, 1911–1922. [Google Scholar] [CrossRef]
- Omae, I. General Aspects of Natural Products Antifoulants in the Environment. Handb. Environ. Chem. 2006, 5, 227–262. [Google Scholar]
- Raveendran, T.V.; Mol, V.P.L. Natural product antifoulants. Curr. Sci. 2009, 97, 508–520. [Google Scholar]
- Marechal, J.P.; Hellio, C. Challenges for the development of new non-toxic antifouling solutions. Int. J. Mol. Sci. 2009, 10, 4623–4637. [Google Scholar] [CrossRef] [PubMed]
- Fusetani, N. Biofouling and antifouling. Nat. Prod. Rep. 2004, 21, 94–104. [Google Scholar] [CrossRef] [PubMed]
- Fusetani, N. Antifouling marine natural products. Nat. Prod. Rep. 2011, 28, 400–410. [Google Scholar] [CrossRef] [PubMed]
- Qian, P.Y.; Li, Z.; Xu, Y.; Li, Y.; Fusetani, N. Mini-review: Marine natural products and their synthetic analogs as antifouling compounds: 2009–2014. Biofouling 2015, 31, 101–122. [Google Scholar] [CrossRef] [PubMed]
- Okino, T.; Yoshimura, E.; Hirota, H.; Fusetani, N. Antifouling kalihinenes from the marine sponge Acanthella cavernosa. Tetrahedron Lett. 1996, 36, 8637–8640. [Google Scholar] [CrossRef]
- Okino, T.; Yoshimura, E.; Hirota, H.; Fusetani, N. New antifouling kalihipyrans from the marine sponge Acanthella cavernosa. J. Nat. Prod. 1996, 59, 1081–1083. [Google Scholar] [CrossRef]
- Hirota, H.; Tomono, Y.; Fusetani, N. Terpenoids with antifouling activity against barnacle larvae from the marine sponge Acanthella cavernosa. Tetrahedron 1996, 52, 2359–2368. [Google Scholar] [CrossRef]
- Okino, T.; Yoshimura, E.; Hirota, H.; Fusetani, N. New antifouling sesquiterpenes from four nudibranchs of the family Phyllidiidae. Tetrahedron 1996, 52, 9447–9454. [Google Scholar] [CrossRef]
- Xu, Y.; Li, N.; Jiao, W.H.; Qi, S.H.; Lin, H.W. Antifouling and cytotoxic constituents from the South China Sea sponge Acanthella cavernosa. Tetrahedron 2012, 68, 2876–2883. [Google Scholar] [CrossRef]
- Wright, A.M.A.D.; Robertson, M.J.; MacGregor, K.A.; Gordonb, C.P.; Guentherc, J. Anti-malarial, anti-algal, anti-tubercular, anti-bacterial, anti-photosynthetic, and anti-fouling activity of diterpene and diterpene isonitriles from the tropical marine sponge Cymbastela hooperi. Org. Biomol. Chem. 2011, 9, 400–407. [Google Scholar] [CrossRef] [PubMed]
- Hirota, H.; Okino, T.; Yoshimura, E.; Fusetani, N. Five new antifouling sesquiterpenes from two marine sponges of the genus Axinyssa and the nudibranch Phyllidia pustulosa. Tetrahedron 1998, 54, 13971–13980. [Google Scholar] [CrossRef]
- Tsoukatou, M.; Maréchal, J.P.; Hellio, C.; Novaković, I.; Tufegdzic, S.; Sladić, D.; Gašić, M.J.; Clare, A.S.; Vagias, C.; Roussis, V. Evaluation of the activity of the sponge metabolites avarol and avarone and their synthetic derivatives against fouling micro- and macroorganisms. Molecules 2007, 12, 1022–1034. [Google Scholar] [CrossRef] [PubMed]
- Tsukamoto, S.; Kato, H.; Hirota, H.; Fusetani, N. Antifouling terpenes and steroids against barnacle larvae from marine sponges. Biofouling 1997, 11, 283–291. [Google Scholar] [CrossRef]
- Hertiani, T.; Edrada-Ebel, R.; Ortlepp, S.; Van Soest, R.W.; De Voogd, N.J.; Wray, V.; Hentschel, U.; Kozytska, S.; Müller, W.E.; Proksch, P. From anti-fouling to biofilm inhibition: New cytotoxic secondary metabolites from two Indonesian Agelas sponges. Bioorg. Med. Chem. 2010, 18, 1297–1311. [Google Scholar] [CrossRef] [PubMed]
- Stewart, M.; Depree, C.; Thompson, K.J. Antifouling sesterterpenes from the New Zealand marine sponge Semitaspongia bactriana. Nat. Prod. Commun. 2009, 4, 331–336. [Google Scholar] [PubMed]
- Hellio, C.; Tsoukatou, M.; Maréchal, J.P.; Aldred, N.; Beaupoil, C.; Clare, A.S.; Vagias, C.; Roussis, V. Inhibitory effects of mediterranean sponge extracts and metabolites on larval settlement of the barnacle Balanus amphitrite. Mar. Biotechnol. 2005, 7, 297–305. [Google Scholar] [CrossRef] [PubMed]
- Skindersoe, M.E.; Ettinger-Epstein, P.; Rasmussen, T.B.; Bjarnsholt, T.; de Nys, R.; Givskov, M. Quorum sensing antagonism from marine organisms. Mar. Biotechnol. 2008, 10, 56–63. [Google Scholar] [CrossRef] [PubMed]
- Jaspars, M.; Crews, P. A triterpene tetrasaccharide, formoside, from the Caribbean Choristida sponge Erylus formosus. Tetrahedron Lett. 1994, 35, 7501–7504. [Google Scholar] [CrossRef]
- Chen, D.; Yu, S.; Van Ofwegen, L.; Proksch, P.; Lin, W. Anthogorgienes A-O, new guaiazulene-derived terpenoids from a Chinese gorgonian Anthogorgia species, and their antifouling and antibiotic activities. J. Agric. Food Chem. 2012, 60, 112–123. [Google Scholar] [CrossRef] [PubMed]
- Raveendran, T.V.; Limna, M.V.P.; Parameswaran, P.S. Natural product antifoulants from the octocorals of Indian waters. Int. Biodeter. Biodegrad. 2011, 65, 265–268. [Google Scholar] [CrossRef]
- Qi, S.H.; Zhang, S.; Yang, L.H.; Qian, P.Y. Antifouling and antibacterial compounds from the gorgonians Subergorgia suberosa and Scripearia gracillis. Nat. Prod. Res. 2008, 22, 154–166. [Google Scholar] [CrossRef] [PubMed]
- Shi, H.; Yu, S.; Liu, D.; van Ofwegen, L.; Proksch, P.; Lin, W. Sinularones A-I, new cyclopentenone and butenolide derivatives from a marine soft coral Sinularia sp. and their antifouling activity. Mar. Drugs 2012, 10, 1331–1344. [Google Scholar] [CrossRef] [PubMed]
- Yang, J.; Zhang, S.; Qi, S.H.; Pan, J.; Qiu, Y.; Tao, S.; Yin, H.; Li, Q. Briarane-type diterpenoids from the China gorgonian coral Subergorgia reticulata. Biochem. Syst. Ecol. 2007, 35, 770–773. [Google Scholar] [CrossRef]
- Sun, J.F.; Han, Z.; Zhou, X.F.; Yang, B.; Lin, X.; Liu, J.; Peng, Y.; Yang, X.W.; Liu, Y.H. Antifouling briarane type diterpenoids from South China Sea gorgonians Dichotella gemmacea. Tetrahedron 2013, 69, 871–880. [Google Scholar] [CrossRef]
- Qi, S.H.; Zhang, S.; Qian, P.Y.; Xiao, Z.H.; Li, M.Y. Ten new antifouling briarane diterpenoids from the South China Sea gorgonian Junceella juncea. Tetrahedron 2006, 62, 9123–9130. [Google Scholar] [CrossRef]
- Qi, S.H.; Zhang, S.; Qian, P.Y.; Xu, H.H. Antifeedant and abtifouling briaranes from the South China Sea gorgonian Junceella juncea. Chem. Nat. Comp. 2009, 45, 49–54. [Google Scholar] [CrossRef]
- Lei, H.; Sun, J.; Han, Z.; Zhou, X.F.; Yang, B.; Liu, Y. Fragilisinins A–L, new briarane-type diterpenoids from gorgonian Junceella fragilis. RSC Adv. 2014, 4, 5261–5271. [Google Scholar] [CrossRef]
- Kong, W.W.; Shao, C.L.; Wang, C.Y. Diterpenoids and steroids from gorgonian Subergorgia mollis. Chem. Nat. Comp. 2012, 48, 512–515. [Google Scholar] [CrossRef]
- Lai, D.; Liu, D.; Deng, Z.; Van Ofwegen, L.; Proksch, P.; Lin, W. Antifouling eunicellin-type diterpenoids from the gorgonian Astrogorgia sp. J. Nat.Prod. 2012, 75, 1595–1602. [Google Scholar] [CrossRef] [PubMed]
- Mol, V.P.L.; Raveendran, T.V.; Parameswaran, P.S.; Kunnath, R.J.; Rajamohanan, P.R. (−)-6 α-Hydroxy polyanthellin A—A novel antifouling diterpenoid from the Indian soft coral Cladiella krempfi (Hickson). Can. J. Chem. 2011, 89, 57–60. [Google Scholar] [CrossRef]
- Gerhart, D.J.; Coll, J.C. Pukalide, a widely distributed octocoral diterpenoid, induces vomiting in fish. J. Chem. Ecol. 1993, 19, 2697–2704. [Google Scholar] [CrossRef] [PubMed]
- Tello, E.; Castellanos, L.; Arevalo-Ferro, C.; Rodríguez, J.; Jiménez, C.; Duque, C. Absolute stereochemistry of antifouling cembranoid epimers at C-8 from the Caribbean octocoral Pseudoplexaura flagellosa. Revised structures of plexaurolones. Tetrahedron 2011, 67, 9112–9121. [Google Scholar] [CrossRef]
- Tello, E.; Castellanos, L.; Arevalo-Ferro, C.; Duque, C. Disruption in quorum-sensing systems and bacterial biofilm inhibition by cembranoid diterpenes isolated from the octocoral Eunicea knighti. J. Nat. Prod. 2012, 75, 1637–1642. [Google Scholar] [CrossRef] [PubMed]
- Lai, D.; Li, Y.; Xu, M.; Deng, Z.; Ofwegend, L.; Qian, P.; Proksche, P.; Lin, W. Sinulariols A–S, 19-oxygenated cembranoids from the Chinese soft coral Sinularia rigida. Tetrahedron 2011, 7, 6018–6029. [Google Scholar] [CrossRef]
- Lai, D.; Geng, Z.; Deng, Z.; Van Ofwegen, L.; Proksch, P.; Lin, W. Cembranoids from the soft coral Sinularia rigida with antifouling activities. J. Agric. Food Chem. 2013, 61, 4585–4592. [Google Scholar] [CrossRef] [PubMed]
- Shen, S.; Zhu, H.; Chen, D.; Liu, D.; Ofwegenc, L.; Prokschd, P.; Lin, W. Pavidolides A–E, new cembranoids from the soft coral Sinularia pavida. Tetrahedron Lett. 2012, 53, 5759–5762. [Google Scholar] [CrossRef]
- Wang, C.Y.; Chen, A.N.; Shao, C.L.; Li, L.; Xu, Y.; Qian, P.Y. Chemical constituents of soft coral Sarcophyton infundibuliforme from the South China Sea. Biochem. System. Ecol. 2011, 39, 853–856. [Google Scholar] [CrossRef]
- Keifer, P.A.; Rinehart, J.K.L.; Hooper, I.R. Renillafoulins, antifouling diterpenes from the sea pansy Renilla reniformis (Octocorallia). J. Org. Chem. 1986, 51, 4450–4454. [Google Scholar] [CrossRef]
- Rittschof, D.; Hooper, I.R.; Costlow, J.D. Barnacle settlement inhibitors from sea pansies, Renilla reniformis. Bull. Mar. Sci. 1986, 39, 376–382. [Google Scholar]
- Manker, D.C.; John, F.D. Investigation of the role of diterpenes produced by marine pulmonates Trimusculus reticulatus and T. conica. J. Chem. Ecol. 1996, 22, 23–35. [Google Scholar] [CrossRef] [PubMed]
- Qiu, Y.; Deng, Z.W.; Xu, M.; Li, Q.; Lin, W.H. New A-nor steroids and their antifouling activity from the Chinese marine sponge Acanthella cavernosa. Steroids 2008, 73, 1500–1504. [Google Scholar] [CrossRef] [PubMed]
- Nguyen, X.C.; Longeon, A.; Pham, V.C.; Bourguet-Kondracki, M. Antifouling 26,27-cyclosterols from the Vietnamese marine sponge Xestospongia testudinaria. J. Nat. Prod. 2013, 76, 1313–1318. [Google Scholar] [CrossRef] [PubMed]
- Qi, S.H.; Gao, C.H.; Qian, P.Y.; Zhang, S. Steroids from the South China Sea gorgonian Subergorgia suberosa. Nat. Prod. Commun. 2010, 5, 201–204. [Google Scholar] [PubMed]
- Qi, S.H.; Miao, L.; Gao, C.H.; Xu, Y.; Zhang, S.; Qian, P.Y. New steroids and a new alkaloid from the gorgonian Isis minorbrachyblasta: Structures, cytotoxicity, and antilarval activity. Helv. Chim. Acta 2010, 93, 511–516. [Google Scholar] [CrossRef]
- Zhang, J.; Li, L.C.; Wang, K.L.; Liao, X.J.; Deng, Z.; Xu, S.H. Pentacyclic hemiacetal sterol with antifouling and cytotoxic activities from the soft coral Nephthea sp. Bioorg. Med. Chem. Lett. 2013, 23, 1079–1082. [Google Scholar] [CrossRef] [PubMed]
- Zhang, J.; Liang, Y.; Wang, K.L.; Liao, X.J.; Deng, Z.; Xu, S.H. Antifouling steroids from the South China Sea gorgonian coral Subergorgia suberosa. Steroids 2014, 79, 1–6. [Google Scholar] [CrossRef] [PubMed]
- Zhou, Y.M.; Chen, M.; Fu, X.M.; Fang, Y.C.; Wang, C.Y. Two new eunicellin-based diterpenoids from the South China Sea gorgonian Muricella sibogae Nutting. Nat. Prod. Res. 2014, 28, 1176–1181. [Google Scholar] [CrossRef] [PubMed]
- Tsukamoto, S.; Kato, H.; Hirota, H.; Fusetani, N. Ceratinamides A and B: New antifouling dibromotyrosine derivatives from the marine sponge Pseudoceratina purpurea. Terrahedron 1996, 52, 8181–8186. [Google Scholar] [CrossRef]
- Tsukamoto, S.; Kato, H.; Hirota, H.; Fusetani, N. Ceratinamine: An unprecedented antifouling cyanoformamide from the marine sponge Pseudoceratina purpurea. J. Org. Chem. 1996, 61, 2936–2937. [Google Scholar] [CrossRef] [PubMed]
- Ortlepp, S.; Sjogren, M.; Dahlstrom, M.; Weber, H.; Ebel, R.; Edrada, R.; Thoms, C.; Schupp, P.; Bohlin, L.; Proksch, P. Antifouling activity of bromotyrosine-derived sponge metabolites and synthetic analogues. Mar. Biotechnol. 2007, 9, 776–785. [Google Scholar] [CrossRef] [PubMed]
- Tsukamoto, H.K.S.; Hirota, H.; Fusetani, N. Mauritiamine, a new antifouling oroidin dimer from the marine sponge Agelas mauritiana. J. Nat. Prod. 1996, 59, 501–503. [Google Scholar] [CrossRef]
- Tsukamoto, S.; Kato, H.; Hirota, H.; Fusetani, N. Pseudoceratidine: A new antifouling spermidine derivative from the marine sponge Pseudoceratina purpurea. Terrahedron Lett. 1996, 37, 1439–1440. [Google Scholar] [CrossRef]
- Feng, D.; Qiu, Y.; Wang, W.; Wang, X.; Ouyang, P.; Ke, C. Antifouling activities of hymenialdisine and debromohymenialdisine from the sponge Axinella sp. Int. Biodeter. Biodegrad. 2013, 85, 359–364. [Google Scholar] [CrossRef]
- Richards, J.J.; Melander, C. Controlling bacterial biofilms. Chembiochem 2009, 10, 2287–2294. [Google Scholar] [CrossRef] [PubMed]
- Blihoghe, D.; Manzo, E.; Villela, A.; Cutignano, A.; Picariello, G.; Faimali, M.; Fontana, A. Evaluation of the antifouling properties of 3-alyklpyridine compounds. Biofouling 2011, 27, 99–109. [Google Scholar] [CrossRef] [PubMed]
- Penez, N.; Culioli, G.; Perez, T.; Briand, J.F.; Thomas, O.P.; Blache, Y. Antifouling properties of simple indole and purine alkaloids from the Mediterranean gorgonian Paramuricea clavata. J. Nat. Prod. 2011, 74, 2304–2308. [Google Scholar] [CrossRef] [PubMed]
- Sjögren, M.; Göransson, U.; Johnson, A.; Dahlström, M.; Andersson, R.; Bergman, J.; Jonsson, P.R.; Bohlin, L. Antifouling activity of brominated cyclopeptides from the marine sponge Geodia barretti. J. Nat. Prod. 2004, 67, 368–372. [Google Scholar] [CrossRef] [PubMed]
- Sjogren, M.; Johnson, A.L.; Hedner, E.; Dahlström, M.; Göransson, U.; Shirani, H.; Bergman, J.; Jonsson, P.R.; Bohlin, L. Antifouling activity of synthesized peptide analogs of the sponge metabolite barettin. Peptides 2006, 27, 2058–2064. [Google Scholar] [CrossRef] [PubMed]
- Hedner, E.; Sjögren, M.; Hodzic, S.; Andersson, R.; Göransson, U.; Jonsson, P.R.; Bohlin, L. Antifouling activity of a dibrominated cyclopeptide from the marine sponge Geodia barretti. J. Nat. Prod. 2008, 71, 330–333. [Google Scholar] [CrossRef] [PubMed]
- Diers, J.A.; Bowling, J.J.; Duke, S.O.; Wahyuono, S.; Kelly, M.; Hamann, M.T. Zebra mussel antifouling activity of the marine natural product aaptamine and analogs. Mar. Biotechnol. 2006, 8, 366–372. [Google Scholar] [CrossRef] [PubMed]
- Limna, M.V.P.; Raveendran, T.V.; Parameswaran, P.S. Antifouling activity exhibited by secondary metabolites of the marine sponge, Haliclona exigua (Kirkpatrick). Int. Biodeter. Biodegrad. 2009, 63, 67–72. [Google Scholar] [CrossRef]
- Tsukamoto, S.; Kato, H.; Hirota, H.; Fusetani, N. Seven new polyacetylene derivatives, showing both potent metamorphosis-inducing activity in ascidian larvae and antifouling activity against barnacle larvae, from the marine sponge Callyspongia truncata. J. Nat. Prod. 1997, 60, 128–130. [Google Scholar] [CrossRef]
- Zhang, J.; Liang, Y.; Liao, X.J.; Deng, Z.; Xu, S.H. Isolation of a new butenolide from the South China Sea gorgonian coral Subergorgia suberosa. Nat. Prod. Res. 2014, 28, 150–155. [Google Scholar] [CrossRef] [PubMed]
- Ortlepp, S.; Pedpradap, S.; Dobretsov, S.; Proksch, P. Antifouling activity of sponge-derived polybrominated diphenyl ethers and synthetic analogues. Biofouling 2008, 24, 201–208. [Google Scholar] [CrossRef] [PubMed]
- Gao, C.; Wang, Y.; Chen, Y.; He, B.; Zhang, R.; Xu, M.; Huang, R. Two new avermectin derivatives from the Beibu Gulf gorgonian Anthogorgia caerulea. Chem. Biodiver. 2014, 11, 812–818. [Google Scholar] [CrossRef] [PubMed]
- Alan, J.; Butler, I.; Dunne, S.J. Antifouling activity of lyso-platelet-activating factor extracted from Australian sponge Crella incrustans. J. Chem. Ecol. 1996, 22, 2041–2060. [Google Scholar]
- Carstens, B.B.; Rosengren, K.J.; Gunasekera, S.; Schempp, S.; Bohlin, L.; Dahlström, M.; Clark, R.J.; Göransson, U. Isolation, characterization, and synthesis of the barrettides: disulfide-containing peptides from the marine sponge Geodia barretti. J. Nat. Prod. 2015, 78, 1886–1893. [Google Scholar] [CrossRef] [PubMed]




















| Compounds | AF Activity |
|---|---|
| 1–5 | against B. amphitrite larvae, EC50 = 0.49, 0.45, 1.1, 1.3, 0.85 μg/mL |
| 6–9 | against B. amphitrite larvae, EC50 < 0.5 μg/mL |
| 10–21 | against B. amphitrite larvae, EC50 = 1.43, 0.72, 1.48, 1.16, 0.53, 0.74, 1.85, 0.92, 0.69, 0.27, 1.37, 0.41 μM |
| 22–23 | effective in deterring the settlement of the diatom N. closterium |
| 24–26 | against B. amphitrite larvae, EC50 = 1.2, <0.5, <0.5 μg/mL |
| 27–30 | against B. amphitrite larvae, EC50 = 0.65, 3.41, 0.65, 0.45 μg/mL |
| 31–32 | against B. amphitrite larvae, EC50 = 2.5, 2.8 μg/mL |
| 33–34 | significant antilarval activity and toxicity towards B. amphitrite larvae |
| 35–37 | toxicity against the diatom N. closterium with EC50 = 5.24, 6.72, 3.52 μM, and against B. neritina larvae with EC50 = 1.59, 7.41, 1.22 μM |
| 38–39 | against B. amphitrite larvae, EC50 = 2.5, 1.0 μg/mL |
| 40–43 | against B. amphitrite larvae, EC50 = 0.24, 0.80, 0.53, 2.7 μg/mL |
| 44 | strongly deter fouling by invertebrates and algae |
| 45–48 | against B. amphitrite larvae, EC50 < 7.0 μg/mL |
| 49 | against B. amphitrite larvae, EC50 = 0.0335 μg/mL |
| 50 | against B. amphitrite larvae, EC50 = 1.2 μg/mL; against B. neritina larvae, EC50 = 3.2 μg/mL |
| 51–52 | against B. amphitrite larvae, EC50 = 13.86, 23.50 μg/mL |
| 53–54 | against B. amphitrite larvae, EC50 =14.5, 16.7 µM |
| 55–64 | against B. amphitrite larvae, EC50 = 4.1, 1.82, 6.3, 7.6, 4.6, 1.2, 5.6, 0.79, 2.0, 0.2 μg/mL |
| 65–78 | against B. amphitrite larvae, EC50 = 0.004, 0.34, 2.65, 1.61, 3.77, 21.06, 0.004, 0.14, 1.47, 0.51, 0.004, 0.005, 2.82, 0.447 μg/mL |
| 79–82 | against B. amphitrite larvae, EC50 = 5.6, 14.0, 12.6, 11.9 µM, LC50/EC50 > 33.3, > 13, > 14.5, > 11.5, respectively |
| 83 | against B. amphitrite larvae, EC50 = 0.35 μg/mL |
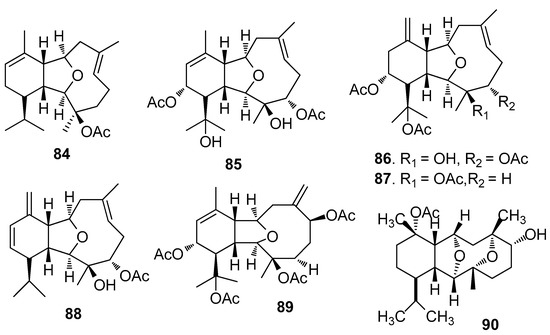
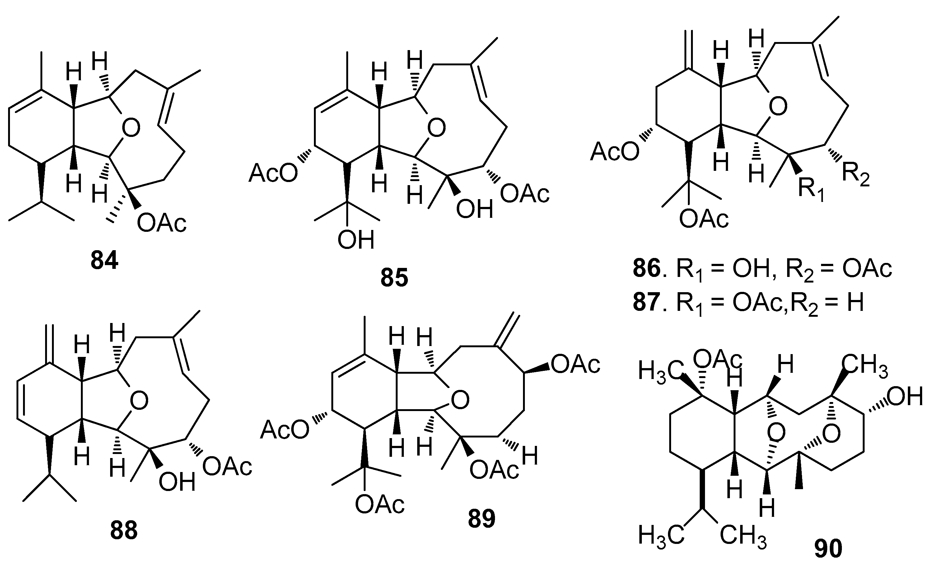
| 84–89 | against B. amphitrite larvae, EC50 = 0.59, 5.77, 5.14, 8.23, 10.7, 17.8 μg/mL |
| 90 | against B. amphitrite larvae, EC50 = 9.02 μg/mL, LC50 = 36 μg/mL |
| 91 | against B. amphitrite larvae, EC50 = 19 ng/mL |
| 92–95 | exhibited inhibition of biofilm maturation of P. aeruginosa, V. harveyi, and S. aureus |
| 96–98 | showed bacterial biofilm inhibition at lower concentrations |
| 99–100 | against B. amphitrite larvae, EC50 = 5.65, 14.03 μg/mL |
| 101–102 | against B. amphitrite larvae, EC50 = 4.86, 4.57 μg/mL; against B. neritina larvae, EC50 = 12.34, 13.48 μg/mL |
| 103–104 | against B. amphitrite larvae, ED50 = 4.32, 2.12 μg/mL, LD50 > 50 μg/mL |
| 105–108 | against B. amphitrite larvae, EC50 = 2.25, 1.75, 8.13, 7.50 μg/mL |
| 109 | against B. amphitrite larvae, EC50 values ranging 0.02–0.2 μg/mL for 109 and renillafoulins B–C |
| 110 | inhibited the settlement of the tube worm P. californica at 10 μg/mL |
| 111–112 | against B. amphitrite larvae, EC50 = 4.0, 2.9 μg/mL |
| 113–115 | against B. albicostatus larvae, EC50 = 8.2, 23.5, 31.6 μg/mL |
| 116–117 | inhibited the growth of Pseudoalteromonas and Polaribacter bacterial species |
| 118–120 | against B. neritina with EC50 = 6.25, 7.8 μg/mL, LD50 > 250 μg/mL |
| 121 | against B. neritina larvae, EC50 = 4.8 μg/mL, LC50 > 100 μg/mL |
| 122–125 | against B. amphitrite larvae, EC50 = 2.5, 7.91, 7.31, 0.81 μg/mL |
| 126 | against B. amphitrite larvae, EC50 = 16.7 μg/mL; against B. neritina larvae, EC50 = 13.0 μg/mL |
| 127 | against B. amphitrite larvae, EC50 = 2.5 μg/mL, LC50 > 25.0 μg/mL |
| 128–129 | against B. amphitrite larvae, EC50 = 5.3, 14.5 μg/mL |
| 130–131 | against B. amphitrite larvae, EC50 = 2.2 μg/mL |
| 132–133 | against B. amphitrite larvae, EC50 = from 10.0 to 50.0 μg/mL |
| 134–135 | against B. amphitrite larvae, EC50 = 5.0, 4.3 µg/mL |
| 136–139 | against B. amphitrite larvae, ED50 = from 0.10 to 8.0 μg/ mL |
| 140–145 | inhibited B. amphitrite larval settlement at 1 or 10 μM |
| 146 | promoted larval metamorphosis of the ascidian C. savignyi at a concentration of 2.5 µg/mL |
| 147–148 | inhibited the larval metamorphosis of B. amphitrite larvae, ED50 = 19, 15 µg/mL |
| 149 | against B. amphitrite larvae, EC50 = 8.0 µg/mL |
| 150–151 | against the green mussel P. viridis (EC50 = 31.77, 138.18 μg/mL), the bryozoan B. neritina (EC50 = 3.43, 8.17 μg/mL) and the green alga U. prolifera (EC50 = 8.31, 0.67 μg/mL) |
| 152 | inhibited bacterial attachment towards Pseudomonas with an IC50 = 0.73 μM |
| 153–157 | against B. amphitrite larvae, EC50 = 2.22, 3.6, 0.28, 2.81, 0.53, μg/mL |
| 158–159 | anti-adhesion activity against one marine bacterial strain |
| 160–161 | against B. improvises cyprids, EC50 = 0.9, 7.9 µM |
| 162–166 | against B. improvises cyprids, EC50 = 0.034, 5.8, 1.5, 2.4, 6.7 μM |
| 167 | against B. improvises cyprids, EC50 =15 nM |
| 168–170 | against zebra mussel attachment with EC50 = 24.2, 11.6, 18.6 μM |
| 171 | against cyprids of B. amphitrite (EC50 = 6.6 μg/mL, LC50 = 18 μg/mL) and seven strains of fouling bacteria |
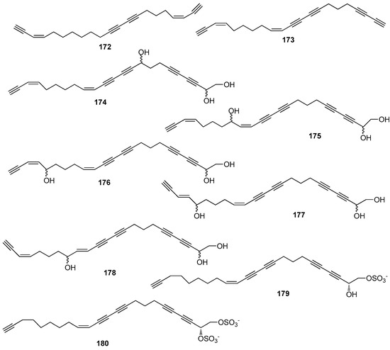
| 172–180 | against B. amphitrite larvae with ED50 = 0.24–4.5 µg/mL for 174–180; and metamorphosis-inducing activity in the ascidian H. roretzi larvae with ED100 = 0.13–1.3 µg/mL for 172–180. |
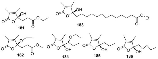
| 181–183 | EC50 = 18.65, 21.39, 12.58 μg/mL |
| 184–186 | against B. amphitrite larvae, EC50 = 13.5, 16.3, 12.8 μg/mL |
| 187–191 | significant antibacterial and antifouling activity towards marine bacteria, A. coffeaeformis, B. amphitrite and M. edulis |
| 192–195 | against B. amphitrite larvae, ED50 = 15.81, 6.25, 4.81, 7.78 μg/mL, LD50 > 200 µg/mL |
| 196 | strong inhibition against the settlement of B. amphitrite larvae |
| 197–198 | 197 inhibited the settlement of B. improvises larvae at both 0.6 and 6 μM, whereas 198 only at 6 μM |
© 2017 by the authors. Licensee MDPI, Basel, Switzerland. This article is an open access article distributed under the terms and conditions of the Creative Commons Attribution (CC BY) license (http://creativecommons.org/licenses/by/4.0/).
Share and Cite
Qi, S.-H.; Ma, X. Antifouling Compounds from Marine Invertebrates. Mar. Drugs 2017, 15, 263. https://doi.org/10.3390/md15090263
Qi S-H, Ma X. Antifouling Compounds from Marine Invertebrates. Marine Drugs. 2017; 15(9):263. https://doi.org/10.3390/md15090263
Chicago/Turabian StyleQi, Shu-Hua, and Xuan Ma. 2017. "Antifouling Compounds from Marine Invertebrates" Marine Drugs 15, no. 9: 263. https://doi.org/10.3390/md15090263
APA StyleQi, S.-H., & Ma, X. (2017). Antifouling Compounds from Marine Invertebrates. Marine Drugs, 15(9), 263. https://doi.org/10.3390/md15090263
