Beyond Adiposity: Lean Mass and Bone Mineral Content as Markers of Muscle Weakness and Physical Performance in Older Adults
Abstract
1. Introduction
2. Materials and Methods
2.1. Study Design and Participants
2.2. Outcomes
2.2.1. Anthropometric and Body Composition Assessment
2.2.2. Muscle Strength
2.2.3. Physical Performance
2.3. Statistical Analysis
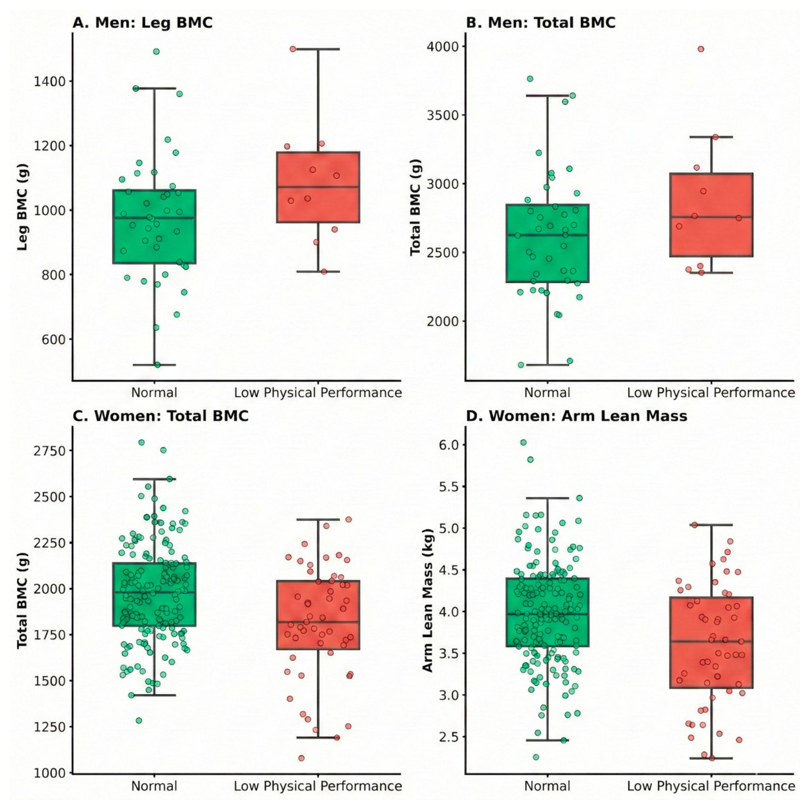
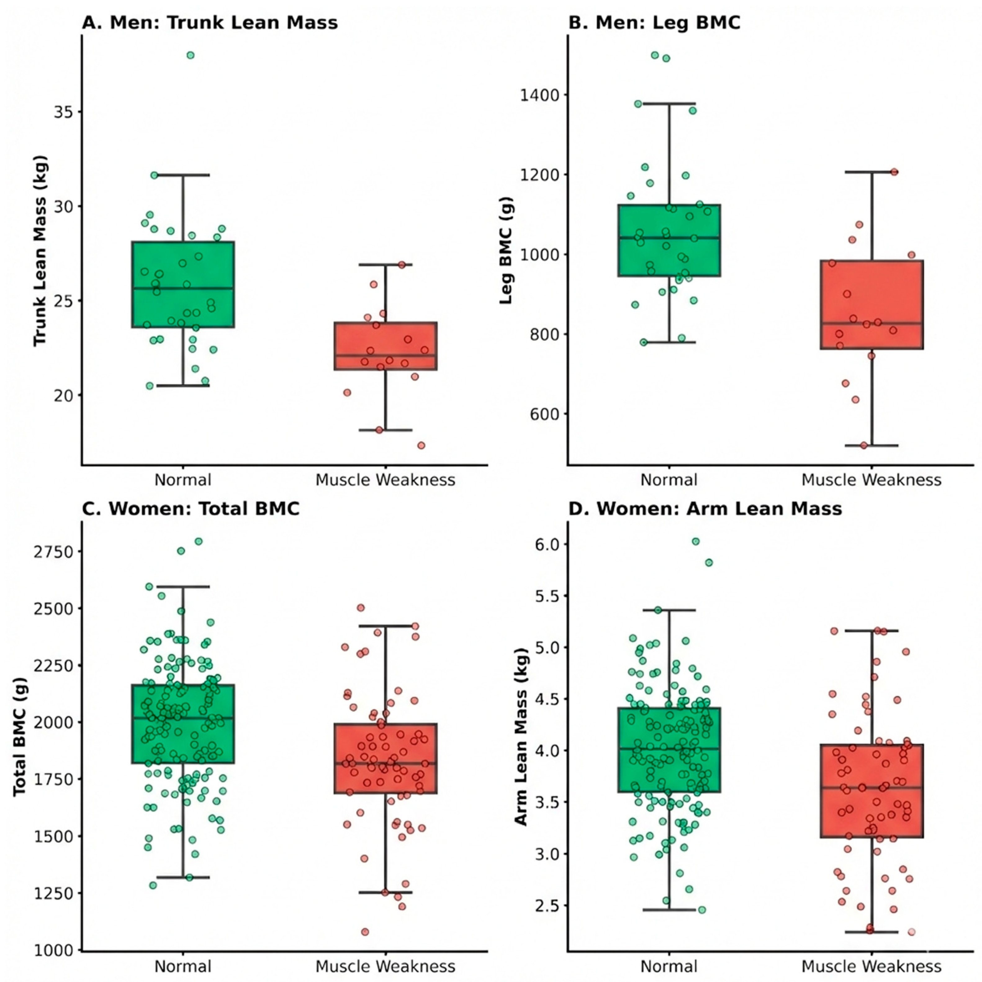
3. Results
4. Discussion
Strengths and Limitations
5. Conclusions
Author Contributions
Funding
Institutional Review Board Statement
Informed Consent Statement
Data Availability Statement
Acknowledgments
Conflicts of Interest
References
- van Asselt, D.; de Groot, L. Aging and Changes in Body Composition. In Food for the Aging Population, 2nd ed.; Toldrá, F., Ed.; Elsevier: Cambridge, MA, USA, 2017; pp. 171–184. [Google Scholar] [CrossRef]
- Xiao, Z.; Tan, Z.; Shang, J.; Cheng, Y.; Tang, Y.; Guo, B.; Gong, J.; Xu, H. Sex-specific and age-specific characteristics of body composition and its effect on bone mineral density in adults in southern China: A cross-sectional study. BMJ Open 2020, 10, e032268. [Google Scholar] [CrossRef] [PubMed]
- Kim, S.; Won, C.W. Sex-different changes of body composition in aging: A systemic review. Arch. Gerontol. Geriatr. 2022, 102, 104711. [Google Scholar] [CrossRef] [PubMed]
- Wang, L.; Valencak, T.G.; Shan, T. Fat infiltration in skeletal muscle: Influential triggers and regulatory mechanism. iScience 2024, 27, 109242. [Google Scholar] [CrossRef] [PubMed]
- Kudo, S.; Fujimoto, M.; Nagano, A. Effects of aging-related muscle degeneration on dynamic stability during walking: A musculoskeletal computer simulation study. Front. Bioeng. Biotechnol. 2025, 12, 1524751. [Google Scholar] [CrossRef]
- Lee, G.K.-Y.; Au, P.C.-M.; Li, G.H.-Y.; Chan, M.; Li, H.-L.; Cheung, B.M.-Y.; Wong, I.C.-K.; Lee, V.H.-F.; Mok, J.; Yip, B.H.-K.; et al. Sarcopenia and mortality in different clinical conditions: A meta-analysis. Osteoporos. Sarcopenia 2021, 7, S19–S27. [Google Scholar] [CrossRef]
- Yuan, S.; Larsson, S.C. Epidemiology of sarcopenia: Prevalence, risk factors, and consequences. Metab. Clin. Exp. 2023, 144, 155533. [Google Scholar] [CrossRef]
- Zhou, Z.; Huang, Y.; Wang, J.; Su, H.; Tang, H.; Wang, Y. A novel digital biomarker of sarcopenia in frail elderly: New combination of gait parameters under dual-task walking. Front. Aging Neurosci. 2023, 15, 1087318. [Google Scholar] [CrossRef]
- Bilski, J.; Pierzchalski, P.; Szczepanik, M.; Bonior, J.; Zoladz, J.A. Multifactorial mechanism of sarcopenia and sarcopenic obesity. Role of physical exercise, microbiota and myokines. Cells 2022, 11, 160. [Google Scholar] [CrossRef]
- Lu, L.; He, X.; Song, Y.; Zhuang, M.; Wu, X.; Chen, N. Prevalence and risk factors of sarcopenia without obesity and sarcopenic obesity among Chinese community older people in suburban area of Shanghai: A cross-sectional study. Front. Aging Neurosci. 2022, 14, 1034542. [Google Scholar] [CrossRef]
- Prado, C.M.; Batsis, J.A.; Donini, L.M.; Gonzalez, M.C.; Siervo, M. Sarcopenic obesity in older adults: A clinical overview. Nat. Rev. Endocrinol. 2024, 20, 261–277. [Google Scholar] [CrossRef]
- Benz, E.; Pinel, A.; Guillet, C.; Capel, F.; Pereira, B.; De Antonio, M.; Pouget, M.; Cruz-Jentoft, A.J.; Eglseer, D.; Topinkova, E.; et al. Sarcopenia and sarcopenic obesity and mortality among older people. JAMA Netw. Open 2024, 7, e243604. [Google Scholar] [CrossRef]
- Silva, C.D.F.R.; do Nascimento Pereira, L.; Ohara, D.G.; Matos, A.P.; Pinto, A.; Pegorari, M.S. Short physical performance battery as a predictor of mortality among older adults: Systematic review with meta-analysis. Braz. J. Phys. Ther. 2024, 28, 100681. [Google Scholar] [CrossRef]
- Concha-Cisternas, Y.; Petermann-Rocha, F.; Castro-Piñero, J.; Parra, S.; Albala, C.; Wyngard, V.V.D.; Vásquez, J.; Cigarroa, I.; Celis-Morales, C. Fuerza de prensión manual. Un sencillo, pero fuerte predictor de salud en población adulta y personas mayores. Rev. Med. Chil. 2022, 150, 1075–1086. [Google Scholar] [CrossRef] [PubMed]
- Cruz-Jentoft, A.J.; Bahat, G.; Bauer, J.; Boirie, Y.; Bruyère, O.; Cederholm, T.; Cooper, C.; Landi, F.; Rolland, Y.; Sayer, A.A.; et al. Sarcopenia: Revised European consensus on definition and diagnosis. Age Ageing 2019, 48, 16–31. [Google Scholar] [CrossRef] [PubMed]
- Lee, S.Y.; Choo, P.L.; Pang, B.W.J.; Lau, L.K.; Jabbar, K.A.; Seah, W.T.; Chen, K.K.; Ng, T.P.; Wee, S.-L. SPPB reference values and performance in assessing sarcopenia in community-dwelling Singaporeans–Yishun study. BMC Geriatr. 2021, 21, 213. [Google Scholar] [CrossRef]
- Guralnik, J.M.; Simonsick, E.M.; Ferrucci, L.; Glynn, R.J.; Berkman, L.F.; Blazer, D.G.; Scherr, P.A.; Wallace, R.B. A short physical performance battery assessing lower extremity function: Association with self-reported disability and prediction of mortality and nursing home admission. J. Gerontol. 1994, 49, M85–M94. [Google Scholar] [CrossRef]
- Hairi, N.N.; Cumming, R.G.; Naganathan, V.; Handelsman, D.J.; Le Couteur, D.G.; Creasey, H.; Waite, L.M.; Seibel, M.J.; Sambrook, P.N. Loss of muscle strength, mass (sarcopenia), and quality (specific force) and its relationship with functional limitation and physical disability: The Concord Health and Ageing in Men Project. J. Am. Geriatr. Soc. 2010, 58, 2055–2062. [Google Scholar] [CrossRef]
- Amorim, D.N.P.; da Cunha Nascimento, D.; Stone, W.; Alves, V.P.; e Silva, K.H.C.V. Body composition and functional performance of older adults. Osteoporos. Sarcopenia 2022, 8, 86–91. [Google Scholar] [CrossRef]
- Orwoll, E.S.; Blackwell, T.; Cummings, S.R.; Cauley, J.A.; Lane, N.E.; Hoffman, A.R.; Burghardt, A.J.; Evans, W.J.; Cawthon, P.M. CT muscle density, D3Crmuscle mass, and body fat associations with physical performance, mobility outcomes, and mortality risk in older men. J. Gerontol. A Biol. Sci. Med. Sci. 2022, 77, 790–799. [Google Scholar] [CrossRef]
- Shin, H.; Panton, L.B.; Dutton, G.R.; Ilich, J.Z. Relationship of physical performance with body composition and bone mineral density in individuals over 60 years of age: A systematic review. J. Aging Res. 2011, 2011, 191896. [Google Scholar] [CrossRef]
- Tavares, N.H.C.; Rodrigues, B.C.; Arruda, S.P.; Szlejf, C.; Suemoto, C.K.; Griep, R.H.; Diniz, M.D.F.H.S.; Giatti, L.; Barreto, S.M.; Araújo, L.F. Untangle the relationship of muscle mass and bone mineral content on handgrip strength: Results of ELSA-Brasil. Cien. Saude Colet. 2023, 28, 3191–3204. [Google Scholar] [CrossRef]
- Shen, S.; Li, J.; Guo, Q.; Zhang, W.; Wang, X.; Fu, L.; Li, L.; An, Y.; Liu, W.; Li, H.; et al. Body mass index is associated with physical performance in suburb-dwelling older Chinese: A cross-sectional study. PLoS ONE 2015, 10, e0119914. [Google Scholar] [CrossRef] [PubMed]
- Chan, J.; Lu, Y.-C.; Yao, M.M.-S.; Kosik, R.O. Correlation between hand grip strength and regional muscle mass in older Asian adults: An observational study. BMC Geriatr. 2022, 22, 206. [Google Scholar] [CrossRef] [PubMed]
- Irigoyen-Camacho, M.E.; Velazquez-Alva, M.C.; Zepeda-Zepeda, M.A.; Lazarevich, I.; Castano-Seiquer, A.; Flores-Fraile, J. Physical performance, body composition, and oral health in community-residing older adults: A cross-sectional study. Geriatrics 2024, 9, 89. [Google Scholar] [CrossRef]
- Jiménez, D.; Lavados, M.; Rojas, P.; Henríquez, C.; Silva, F.; Guillón, M. Evaluación del minimental abreviado de la evaluación funcional del adulto mayor (EFAM) como screening para la detección de demencia en la atención primaria. Rev. Med. Chil. 2017, 145, 862–868. [Google Scholar] [CrossRef]
- Ministerio de Salud (MINSAL). Manual de Aplicación del Examen de Medicina Preventiva del Adulto Mayor, Programa de Salud del Adulto Mayor; MINSAL: Santiago, Chile, 2008; Available online: https://www.minsal.cl/portal/url/item/ab1f81f43ef0c2a6e04001011e011907.pdf (accessed on 15 January 2026).
- Concha-Cisternas, Y.; Lobos, J.; Retamal, C.; Bastías, D.; Lanuza, F.; Nuñez-Espinosa, C.; Pizarro-Mena, R.; Guede-Rojas, F. Adiposidad y adherencia a dieta mediterránea: Una comparación entre mujeres mayores con y sin sarcopenia. Retos 2024, 68, 1784–1795. [Google Scholar] [CrossRef]
- Krueger, D.; Tanner, S.B.; Szalat, A.; Malabanan, A.; Prout, T.; Lau, A.; Rosen, H.N.; Shuhart, C. DXA reporting updates: 2023 official positions of the International Society for Clinical Densitometry. J. Clin. Densitom. 2024, 27, 101437. [Google Scholar] [CrossRef]
- Adriazola-Jofré, M.; Oses, J.; Troncoso-Pantoja, C.; Parra-Soto, S.; Concha-Cisternas, Y. Asociación entre debilidad muscular, condiciones de salud y estilos de vida en personas mayores. Rev. Cuba. Med. Mil. 2022, 51, e02202343. [Google Scholar]
- Liu, C.-j.; Marie, D.; Fredrick, A.; Bertram, J.; Utley, K.; Fess, E.E. Predicting hand function in older adults: Evaluations of grip strength, arm curl strength, and manual dexterity. Aging Clin. Exp. Res. 2017, 29, 753–760. [Google Scholar] [CrossRef]
- Hauger, A.V.; Holvik, K.; Bergland, A.; Ståhle, A.; Emaus, N.; Morseth, B.; Strand, B. Physical capability, physical activity, and their association with femoral bone mineral density in adults aged 40 years and older: The Tromsø study 2015–2016. Osteoporos. Int. 2021, 32, 2083–2094. [Google Scholar] [CrossRef]
- Ge, S.; Du, Q.; Feng, X.; Liu, Y.; Wang, H.; Hai, S.; Shi, X.; Sun, W.; Ma, A.; Lv, T.; et al. Optimal cutoffs for the diagnosis of sarcopenia in older Chinese adults. Front. Nutr. 2022, 9, 853323. [Google Scholar] [CrossRef]
- Manjegowda, S.; Chandregowda, V.; devi Kumar, A.; Manjegowda, S.; Ramesh, K.S. DXA-Derived Sarcopenia Indices vs CT Muscle Measurements at L3 in Older Adults: A Cross-Sectional Agreement Study. Eur. J. Cardiovasc. Med. 2024, 14, 892–897. [Google Scholar] [CrossRef]
- Ortiz-Navarro, B.; Losa-Reyna, J.; Mihaiescu-Ion, V.; Garcia-Romero, J.; de Albornoz-Gil, M.C.; Galán-Mercant, A. Identification of target body composition parameters by dual-energy x-ray absorptiometry, bioelectrical impedance, and ultrasonography to detect older adults with frailty and prefrailty status using a mobile app in primary care services: Descriptive cross-sectional study. JMIR Aging 2025, 8, e67982. [Google Scholar] [CrossRef]
- Chen, L.; Nelson, D.R.; Zhao, Y.; Cui, Z.; Johnston, J.A. Relationship between muscle mass and muscle strength, and the impact of comorbidities: A population-based, cross-sectional study of older adults in the United States. BMC Geriatr. 2013, 13, 74. [Google Scholar] [CrossRef]
- da Rosa Orssatto, L.B.; de Souza Bezerra, E.; de Moura, B.M.; de Castro, J.A.C.; Silva, D.A.S.; Moro, A.R.P.; Diefenthaeler, F. Estimating bone mineral content based on different types of muscle strength tests. J. Bodyw. Mov. Ther. 2018, 22, 586–591. [Google Scholar] [CrossRef] [PubMed]
- Shahtahmassebi, B.; Hebert, J.J.; Hecimovich, M.D.; Fairchild, T.J. Associations between trunk muscle morphology, strength and function in older adults. Sci. Rep. 2017, 7, 10907. [Google Scholar] [CrossRef] [PubMed]
- Flora, S.; Cruz, J.; Tavares, A.; Ferreira, J.; Morais, N. Association between endurance of the trunk extensor muscles and balance performance in community-dwelling older adults: A cross-sectional analysis. Int. J. Ther. Rehabil. 2022, 29, 1–10. [Google Scholar] [CrossRef]
- Yu, C.; Du, Y.; Peng, Z.; Ma, C.; Fang, J.; Ma, L.; Chen, F.; Zhang, C.; Geng, R.; Zhang, Y.; et al. Research advances in crosstalk between muscle and bone in osteosarcopenia. Exp. Ther. Med. 2023, 25, 189. [Google Scholar] [CrossRef] [PubMed]
- Willoughby, D.S.; Florez, C.; Davis, J.; Keratsopoulos, N.; Bisher, M.; Parra, M.; Taylor, L. Decreased neuromuscular function and muscle quality along with increased systemic inflammation and muscle proteolysis occurring in the presence of decreased estradiol and protein intake in early to intermediate post-menopausal women. Nutrients 2024, 16, 197. [Google Scholar] [CrossRef]
- Volaklis, K.A.; Halle, M.; Thorand, B.; Peters, A.; Ladwig, K.-H.; Schulz, H.; Koenig, W.; Meisinger, C. Handgrip strength is inversely and independently associated with multimorbidity among older women: Results from the KORA-Age study. Eur. J. Intern. Med. 2016, 31, 35–40. [Google Scholar] [CrossRef]
- de Vasconcelos, A.R.; de Sá Pereira Guimarães, F.J.; da Silva Cruz, P.W.; de Carvalho, M.J.M.C.B.; de Freitas Brito, A.; Costa, K.B.; Figueiredo, L.S.; Schwingel, P.A.; Vancea, D.M.M.; da Cunha Costa, M. Sarcopenia and Functional Decline in Postmenopausal Women: The Roles of Type 2 Diabetes and Physical Activity. Med. Sci. 2025, 13, 268. [Google Scholar] [CrossRef]
- Hassan, E.B.; Phu, S.; Vogrin, S.; Duque, G. Appendicular and mid-thigh lean mass are associated with muscle strength, physical performance, and dynamic balance in older persons at high risk of falls. Gait Posture 2022, 93, 90–95. [Google Scholar] [CrossRef]
- Kim, M.; Oh, J.-H.; Won, C.W. Sex-specific differences in lower body fat distribution and association with physical performance among healthy community-dwelling older adults: A pilot study. Int. J. Environ. Res. Public Health 2022, 19, 4201. [Google Scholar] [CrossRef]
- Merchant, R.A.; Chan, Y.H.; Lim, J.Y.; Morley, J.E. Prevalence of Metabolic Syndrome and Association with Grip Strength in Older Adults: Findings from the HOPE Study. Diabetes Metab. Syndr. Obes. 2020, 13, 2677–2686. [Google Scholar] [CrossRef]
- Cobos-Palacios, L.; Ruiz-Moreno, M.I.; Vilches-Perez, A.; Vargas-Candela, A.; Muñoz-Úbeda, M.; Benítez Porres, J.; Navarro-Sanz, A.; Lopez-Carmona, M.D.; Sanz-Canovas, J.; Perez-Belmonte, L.M.; et al. Metabolically healthy obesity: Inflammatory biomarkers and adipokines in elderly population. PLoS ONE 2022, 17, e0265362. [Google Scholar] [CrossRef] [PubMed]
- Liang, Z.; Zhang, T.; Liu, H.; Li, Z.; Peng, L.; Wang, C.; Wang, T. Inflammaging: The ground for sarcopenia? Exp. Gerontol. 2022, 168, 111931. [Google Scholar] [CrossRef]
- De Carvalho, F.G.; Justice, J.N.; Freitas, E.C.d.; Kershaw, E.E.; Sparks, L.M. Adipose tissue quality in aging: How structural and functional aspects of adipose tissue impact skeletal muscle quality. Nutrients 2019, 11, 2553. [Google Scholar] [CrossRef]
- Santos, C.A.F.; Amirato, G.R.; Paixão, V.; Almeida, E.B.; Do Amaral, J.B.; Monteiro, F.R.; Roseira, T.; Juliano, Y.; Novo, N.F.; Rossi, M.; et al. Association among inflammaging, body composition, physical activity, and physical function tests in physically active women. Front. Med. 2023, 10, 1206989. [Google Scholar] [CrossRef] [PubMed]
- Kuschel, L.B.; Sonnenburg, D.; Engel, T. Factors of muscle quality and determinants of muscle strength: A systematic literature review. Healthcare 2022, 10, 1937. [Google Scholar] [CrossRef] [PubMed]




| Outcome | Total (n = 268) | Men (n = 50) | Women (n = 218) | p-Value |
|---|---|---|---|---|
| Age (years) | 72.2 ± 8.2 [71.2–73.2] | 73.1 ± 6.9 [71.2–75.0] | 72.0 ± 8.5 [70.9–73.1] | 0.307 |
| Weight (kg) | 71.4 ± 13.8 [69.8–73.1] | 81.5 ± 15.6 [77.1–85.8] | 69.1 ± 12.3 [67.5–70.7] | <0.001 |
| Height (m) | 1.55 ± 0.09 [1.54–1.56] | 1.66 ± 0.09 [1.63–1.68] | 1.52 ± 0.06 [1.51–1.53] | <0.001 |
| BMI (kg/m2) | 29.8 ± 5.0 [29.2–30.4] | 29.7 ± 4.8 [28.4–31.0] | 29.8 ± 5.0 [29.1–30.5] | 0.892 |
| Waist circumference (cm) | 99.2 ± 12.7 [97.7–100.7] | 105.2 ± 11.9 [102.0–109.0] | 97.8 ± 12.4 [96.1–99.5] | <0.001 |
| Handgrip (kg) | 20.6 ± 6.9 [19.7–21.4] | 30.3 ± 6.8 [28.5–32.2] | 18.3 ± 4.6 [17.7–18.9] | <0.001 |
| SPPB (points) | 9.8 ± 2.1 [9.6–10.1] | 10.0 ± 2.5 [9.3–10.7] | 9.8 ± 2.1 [9.5–10.1] | 0.698 |
| Total Fat % | 42.1 ± 7.0 [41.2–42.9] | 35.1 ± 7.5 [33.0–37.2] | 43.7 ± 5.8 [42.9–44.4] | <0.001 |
| Trunk Fat % | 45.5 ± 7.9 [44.6–46.5] | 39.6 ± 8.5 [37.2–41.9] | 46.9 ± 7.1 [45.9–47.8] | <0.001 |
| Leg Fat % | 39.1 ± 7.9 [38.1–40.0] | 29.0 ± 6.8 [27.1–30.8] | 41.4 ± 6.1 [40.6–42.2] | <0.001 |
| Arm Fat % | 41.2 ± 8.1 [40.2–42.2] | 30.1 ± 7.3 [28.1–32.1] | 43.7 ± 5.8 [43.0–44.5] | <0.001 |
| Total Fat Mass (kg) | 29.4 ± 8.9 [28.3–30.5] | 27.7 ± 9.6 [25.0–30.3] | 29.8 ± 8.7 [28.6–30.9] | 0.158 |
| Trunk Fat Mass (kg) | 16.9 ± 5.6 [16.2–17.5] | 17.1 ± 6.3 [15.3–18.8] | 16.8 ± 5.4 [16.1–17.6] | 0.822 |
| Leg Fat Mass (kg) | 8.5 ± 3.1 [8.1–8.9] | 7.0 ± 2.9 [6.2–7.7] | 8.9 ± 3.0 [8.5–9.3] | <0.001 |
| Arm Fat Mass (kg) | 3.0 ± 0.9 [2.9–3.1] | 2.6 ± 1.0 [2.4–2.9] | 3.1 ± 0.9 [3.0–3.2] | 0.004 |
| Total Lean Mass (kg) | 39.7 ± 7.3 [38.8–40.5] | 50.4 ± 6.9 [48.5–52.3] | 37.2 ± 4.6 [36.6–37.8] | <0.001 |
| Trunk Lean Mass (kg) | 19.5 ± 3.7 [19.1–20.0] | 24.7 ± 3.6 [23.7–25.7] | 18.3 ± 2.5 [18.0–18.7] | <0.001 |
| Leg Lean Mass (kg) | 12.9 ± 2.6 [12.6–13.2] | 16.5 ± 2.8 [15.7–17.2] | 12.1 ± 1.8 [11.9–12.4] | <0.001 |
| Arm Lean Mass (kg) | 4.3 ± 1.1 [4.1–4.4] | 6.0 ± 1.1 [5.7–6.3] | 3.9 ± 0.7 [3.8–4.0] | <0.001 |
| Total BMC (g) | 2075 ± 435 [2023–2127] | 2666 ± 483 [2532–2800] | 1940 ± 286 [1902–1978] | <0.001 |
| Trunk BMC (g) | 665 ± 166 [645–685] | 866 ± 194 [812–920] | 619 ± 118 [604–635] | <0.001 |
| Leg BMC (g) | 708 ± 191 [685–731] | 996 ± 199 [940–1051] | 642 ± 112 [627–657] | <0.001 |
| Arm BMC (g) | 255 ± 69 [247–263] | 362 ± 71 [342–382] | 230 ± 38 [225–235] | <0.001 |
| Condition | Sex | Variable | AUC (CI 95%) | Cut-Off | Sensitivity (%) | Specificity (%) |
|---|---|---|---|---|---|---|
| Muscle Weakness | Men | Trunk Lean Mass (kg) | 0.81 [0.673–0.953] | <22.4 | 63 | 91 |
| Total Lean Mass (kg) | 0.81 [0.673–0.953] | <45.5 | 62 | 88 | ||
| Leg BMC (g) | 0.81 [0.663–0.947] | <900 | 69 | 88 | ||
| Arm BMC (g) | 0.77 [0.619–0.921] | <314 | 69 | 91 | ||
| Leg Lean Mass (kg) | 0.77 [0.619–0.921] | <15.3 | 69 | 82 | ||
| Women | Total BMC (g) | 0.66 [0.583–0.745] | <1947 | 74 | 59 | |
| Arm Lean Mass (kg) | 0.66 [0.582–0.744] | <3.7 | 59 | 69 | ||
| Arm BMC (g) | 0.66 [0.583–0.745] | <230 | 72 | 61 | ||
| Low Physical Performance | Men | Leg BMC (g) | 0.66 [0.462–0.864] | <1029 | 70 | 63 |
| Total BMC (g) | 0.66 [0.453–0.857] | <2351 | 100 | 33 | ||
| Arm BMC (g) | 0.61 [0.408–0.816] | <364 | 70 | 60 | ||
| Women | Arm Lean Mass (kg) | 0.64 [0.555–0.735] | <3.5 | 49 | 77 | |
| Trunk BMC (g) | 0.64 [0.549–0.731] | <538 | 43 | 81 | ||
| Total BMC (g) | 0.64 [0.550–0.732] | <1804 | 49 | 74 |
Disclaimer/Publisher’s Note: The statements, opinions and data contained in all publications are solely those of the individual author(s) and contributor(s) and not of MDPI and/or the editor(s). MDPI and/or the editor(s) disclaim responsibility for any injury to people or property resulting from any ideas, methods, instructions or products referred to in the content. |
© 2026 by the authors. Published by MDPI on behalf of the Lithuanian University of Health Sciences. Licensee MDPI, Basel, Switzerland. This article is an open access article distributed under the terms and conditions of the Creative Commons Attribution (CC BY) license.
Share and Cite
Concha-Cisternas, Y.; Guzmán-Muñoz, E.; Sepúlveda Loyola, W.; Fernández Huerta, L.; Montalva Valenzuela, F.; Garcia-Carrillo, E.; Molina Márquez, I.; Yañez-Sepúlveda, R. Beyond Adiposity: Lean Mass and Bone Mineral Content as Markers of Muscle Weakness and Physical Performance in Older Adults. Medicina 2026, 62, 684. https://doi.org/10.3390/medicina62040684
Concha-Cisternas Y, Guzmán-Muñoz E, Sepúlveda Loyola W, Fernández Huerta L, Montalva Valenzuela F, Garcia-Carrillo E, Molina Márquez I, Yañez-Sepúlveda R. Beyond Adiposity: Lean Mass and Bone Mineral Content as Markers of Muscle Weakness and Physical Performance in Older Adults. Medicina. 2026; 62(4):684. https://doi.org/10.3390/medicina62040684
Chicago/Turabian StyleConcha-Cisternas, Yeny, Eduardo Guzmán-Muñoz, Walter Sepúlveda Loyola, Lincoyán Fernández Huerta, Felipe Montalva Valenzuela, Exal Garcia-Carrillo, Iván Molina Márquez, and Rodrigo Yañez-Sepúlveda. 2026. "Beyond Adiposity: Lean Mass and Bone Mineral Content as Markers of Muscle Weakness and Physical Performance in Older Adults" Medicina 62, no. 4: 684. https://doi.org/10.3390/medicina62040684
APA StyleConcha-Cisternas, Y., Guzmán-Muñoz, E., Sepúlveda Loyola, W., Fernández Huerta, L., Montalva Valenzuela, F., Garcia-Carrillo, E., Molina Márquez, I., & Yañez-Sepúlveda, R. (2026). Beyond Adiposity: Lean Mass and Bone Mineral Content as Markers of Muscle Weakness and Physical Performance in Older Adults. Medicina, 62(4), 684. https://doi.org/10.3390/medicina62040684

