Reduced Motor Individuality in Older Adults Revealed by Network-Based Gait Fingerprinting
Abstract
1. Introduction
2. Methods
2.1. Study Design
2.2. Participants
2.3. Gait Data Acquisition
2.4. Kinectome Construction
2.5. Fingerprinting Analysis
2.6. Statistical Analysis
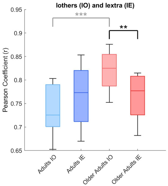
3. Results
4. Discussion
Author Contributions
Funding
Institutional Review Board Statement
Informed Consent Statement
Data Availability Statement
Conflicts of Interest
References
- Hafer, J.F.; Boyer, K.A. Age related differences in segment coordination and its variability during gait. Gait Posture 2018, 62, 92–98. [Google Scholar] [CrossRef] [PubMed]
- Martins, V.F.; Gomeñuka, N.A.; Correale, L.; Martinez, F.G.; Buzzachera, C.F.; Gonçalves, A.K.; Peyré-Tartaruga, L.A. Effects of aging on arm coordination at different walking speeds. Gait Posture 2023, 103, 6–11. [Google Scholar] [CrossRef] [PubMed]
- Osoba, M.Y.; Rao, A.K.; Agrawal, S.K.; Lalwani, A.K. Balance and gait in the elderly: A contemporary review. Laryngoscope Investig. Otolaryngol. 2019, 4, 143–153. [Google Scholar] [CrossRef]
- Lara, K.E.A.; Linares, J.C.C.; Montilla, J.A.P.; Román, P.Á.L. Factors influencing gait performance in older adults in a dual-task paradigm. GeroScience 2024, 46, 3071–3083. [Google Scholar] [CrossRef]
- Hulleck, A.A.; Menoth Mohan, D.; Abdallah, N.; El Rich, M.; Khalaf, K. Present and future of gait assessment in clinical practice: Towards the application of novel trends and technologies. Front. Med. Technol. 2022, 4, 901331. [Google Scholar] [CrossRef]
- Li, X.; Xu, H.; Cheung, J.T. Gait-force model and inertial measurement unit-based measurements: A new approach for gait analysis and balance monitoring. J. Exerc. Sci. Fit. 2016, 14, 60–66. [Google Scholar] [CrossRef][Green Version]
- Manupibul, U.; Tanthuwapathom, R.; Jarumethitanont, W.; Kaimuk, P.; Limroongreungrat, W.; Charoensuk, W. Integration of force and IMU sensors for developing low-cost portable gait measurement system in lower extremities. Sci. Rep. 2023, 13, 10653. [Google Scholar] [CrossRef]
- Renggli, D.; Graf, C.; Tachatos, N.; Singh, N.; Meboldt, M.; Taylor, W.R.; Stieglitz, L.; Schmid Daners, M. Wearable inertial measurement units for assessing gait in real-world environments. Front. Physiol. 2020, 11, 90. [Google Scholar] [CrossRef]
- Azadian, E.; Dadgar, S.A.; Majlesi, M.; Jafarnezhadgero, A.A.; Jalilvand, M.; Bijarchian, M.H. The effects of cognitive intervention on inter-joint coordination during walking in the older adults with balance impairment. Gait Posture 2023, 106, 72–79. [Google Scholar] [CrossRef]
- Ihlen, E.A.F. Age-related changes in inter-joint coordination during walking. J. Appl. Physiol. 2014, 117, 189–198. [Google Scholar] [CrossRef] [PubMed]
- Núñez-Lisboa, M.N.; Dewolf, A.H. The role of physical activity in mitigating age-related changes in the neuromuscular control of gait. Npj Aging 2025, 11, 49. [Google Scholar] [CrossRef]
- Bernstein, N. The Co-Ordination and Regulation of Movements; Pergamon Press: Oxford, UK, 1966. [Google Scholar]
- Saputra, A.A.; Botzheim, J.; Kubota, N. Neuro-cognitive locomotion with dynamic attention on topological structure. Machines 2023, 11, 619. [Google Scholar] [CrossRef]
- Tsai, A. Anatomical landmark localization via convolutional neural networks for limb-length discrepancy measurements. Pediatr. Radiol. 2021, 51, 1431–1447. [Google Scholar] [CrossRef]
- Kenas, F.; Saadia, N.; Ababou, A.; Ababou, N.; Zabat, M.; BenSiSaid, K. Neural network-based estimation of lower limb joint kinematics: A minimally intrusive approach for gait analysis. Med. Nov. Technol. Devices 2024, 23, 100318. [Google Scholar] [CrossRef]
- Kwak, K.; Kostic, E.; Kim, D. Differences in gait cycle and biomechanical lower-limb joint function between elderly people with and without cognitive decline. Appl. Sci. 2021, 11, 8016. [Google Scholar] [CrossRef]
- Amico, E.; Goñi, J. The quest for identifiability in human functional connectomes. Sci. Rep. 2018, 8, 1–14. [Google Scholar] [CrossRef] [PubMed]
- Peinado-Contreras, A.; Munoz-Organero, M. Gait-based identification using deep recurrent neural networks and acceleration patterns. Sensors 2020, 20, 6900. [Google Scholar] [CrossRef] [PubMed]
- Finn, E.S.; Shen, X.; Scheinost, D.; Rosenberg, M.D.; Huang, J.; Chun, M.M.; Papademetris, X.; Constable, R.T. Functional connectome fingerprinting: Identifying individuals using patterns of brain connectivity. Nat. Neurosci. 2015, 18, 11. [Google Scholar] [CrossRef]
- Pierrynowski, M.R.; Galea, V. Enhancing the ability of gait analyses to differentiate between groups: Scaling gait data to body size. Gait Posture 2001, 13, 193–201. [Google Scholar] [CrossRef] [PubMed]
- Park, J.S.; Kim, C.H. Ground-reaction-force-based gait analysis and its application to gait disorder assessment: New indices for quantifying walking behavior. Sensors 2022, 22, 7558. [Google Scholar] [CrossRef]
- Sorrentino, P.; Rucco, R.; Lardone, A.; Liparoti, M.; Troisi Lopez, E.; Cavaliere, C.; Soricelli, A.; Jirsa, V.; Sorrentino, G.; Amico, E. Clinical connectome fingerprints of cognitive decline. NeuroImage 2021, 238, 118253. [Google Scholar] [CrossRef] [PubMed]
- Newell, K.M. Variability and Motor Control; Corcos, M.D., Daniel, M., Eds.; Human Kinetics: Champaign, IL, USA, 1993. [Google Scholar]
- Stergiou, N.; Decker, L.M. Human Movement Variability, Nonlinear Dynamics, and Pathology: Is There a Connection? Hum. Mov. Sci. 2011, 30, 869–888. [Google Scholar] [CrossRef]
- Clark, D.J. Automaticity of walking: Functional significance, mechanisms, measurement and rehabilitation strategies. Front. Hum. Neurosci. 2015, 9, 246. [Google Scholar] [CrossRef]
- Davis, R.B.; Ounpuu, S.; Tyburski, D.; Gage, J.R. A gait analysis data collection and reduction technique. Hum. Mov. Sci. 1991, 10, 575–587. [Google Scholar] [CrossRef]
- Davis, R.B.; Davids, J.R.; Gorton, G.E.; Aiona, M.; Scarborough, N.; Oeffinger, D.; Tylkowski, C.; Bagley, A. A minimum standardized gait analysis protocol: Development and implementation by the Shriners Motion Analysis Laboratory network (SMALnet). In Pediatric Gait: A New Millennium in Clinical Care and Motion Analysis Technology; IEEE: Piscataway, NJ, USA, 2000; pp. 1–7. [Google Scholar]
- Troisi Lopez, E.; Liparoti, M.; Minino, R.; Romano, A.; Polverino, A.; Carotenuto, A.; Tafuri, D.; Sorrentino, G.; Sorrentino, P. Kinematic network of joint motion provides insight on gait coordination: An observational study on Parkinson’s disease. Heliyon 2024, 10, e35751. [Google Scholar] [CrossRef]
- Freedman, D.; Pisani, R.; Purves, R. Statistics, 4th ed.; W. W. Norton & Company: New York, NY, USA, 2007. [Google Scholar]
- Zhang, R.; Vogler, C.; Metaxas, D. Human gait recognition at sagittal plane. Image Vis. Comput. 2007, 25, 321–330. [Google Scholar] [CrossRef]
- Judd, C.M.; McClelland, G.H.; Ryan, C.S. Data Analysis: A Model Comparison Approach to Regression, ANOVA, and Beyond; Routledge: London, UK, 2017; Available online: https://www.taylorfrancis.com/books/mono/10.4324/9781315744131/data-analysis-charles-judd-gary-mcclelland-carey-ryan (accessed on 10 March 2025).
- Nichols, T.E.; Holmes, A.P. Nonparametric permutation tests for functional neuroimaging: A primer with examples. Hum. Brain Mapp. 2002, 15, 1–25. [Google Scholar] [CrossRef]
- Sleimen-Malkoun, R.; Temprado, J.-J.; Hong, S.L. Aging induced loss of complexity and dedifferentiation: Consequences for coordination dynamics within and between brain, muscular and behavioral levels. Front. Aging Neurosci. 2014, 6, 140. [Google Scholar] [CrossRef]
- Boyer, K.A.; Hayes, K.L.; Umberger, B.R.; Adamczyk, P.G.; Bean, J.F.; Brach, J.S.; Clark, B.C.; Clark, D.J.; Ferrucci, L.; Finley, J.; et al. Age-related changes in gait biomechanics and their impact on the metabolic cost of walking: Report from a National Institute on Aging workshop. Exp. Gerontol. 2023, 173, 112102. [Google Scholar] [CrossRef]
- Hortobágyi, T.; Westerkamp, L.; Beam, S.; Moody, J.; Garry, J.; Holbert, D.; DeVita, P. Altered hamstring-quadriceps muscle balance in patients with knee osteoarthritis. Clin. Biomech. 2005, 20, 97–104. [Google Scholar] [CrossRef]
- Lipsitz, L.A.; Goldberger, A.L. Loss of «Complexity» and Aging: Potential Applications of Fractals and Chaos Theory to Senescence. JAMA 1992, 267, 1806–1809. [Google Scholar] [CrossRef]
- Jeon, W.; Ramadan, A.; Whitall, J.; Alissa, N.; Westlake, K. Age-related differences in lower limb muscle activation patterns and balance control strategies while walking over a compliant surface. Sci. Rep. 2023, 13, 16555. [Google Scholar] [CrossRef] [PubMed]
- Sagnier, S.; Renou, P.; Olindo, S.; Debruxelles, S.; Poli, M.; Rouanet, F.; Munsch, F.; Tourdias, T.; Sibon, I. Gait change is associated with cognitive outcome after an acute ischemic stroke. Front. Aging Neurosci. 2017, 9, 153. [Google Scholar] [CrossRef]
- Steffen, T.M.; Hacker, T.A.; Mollinger, L. Age-and gender-related test performance in community-dwelling elderly people: Six-Minute Walk Test, Berg Balance Scale, Timed Up & Go Test, and gait speeds. Phys. Ther. 2002, 82, 128–137. [Google Scholar]
- Rowe, E.; Beauchamp, M.K.; Wilson, J.A. Age and sex differences in normative gait patterns. Gait Posture 2021, 88, 109–115. [Google Scholar] [CrossRef]
- de Abreu, D.C.C.; Junior, R.C.F.; Porto, J.M.; Magnani, P.E.; Tofani, P.S.; Iosimuta, N.C.R. Functional performance of older adults: A comparison between men and women. Women Health 2021, 61, 372–380. [Google Scholar] [CrossRef]
- Hollman, J.H.; Youdas, J.W.; Lanzino, D.J. Gender differences in dual task gait performance in older adults. Am. J. Men’s Health 2011, 5, 11–17. [Google Scholar] [CrossRef]
- Newell, K.M.; Vaillancourt, D.E.; Sosnoff, J.J. Eight—Aging, Complexity, and Motor Performance. In Handbook of the Psychology of Aging, 6th ed.; Birren, J.E., Schaie, K.W., Abeles, R.P., Gatz, M., Salthouse, T.A., Eds.; Academic Press: Cambridge, MA, USA, 2006; pp. 163–182. [Google Scholar] [CrossRef]
- Schloemer, S.A.; Thompson, J.A.; Silder, A.; Thelen, D.G.; Siston, R.A. Age-related differences in gait kinematics, kinetics, and muscle function: A principal component analysis. Ann. Biomed. Eng. 2017, 45, 695–710. [Google Scholar] [CrossRef] [PubMed]
- Di Domenico, F.; Esposito, G.; D’Isanto, T.; Aliberti, S.; Raiola, G. Physical performance in masters’ degree students in Exercise and Sport Sciences related to the motor learning approach. Motricidade 2023, 19, 495–505. [Google Scholar]
- Esposito, G.; Ceruso, R.; Raiola, G. The impact of gentle physical activity on psychophysical well-being in older adults: A longitudinal study. Retos 2025, 67, 509–521. [Google Scholar] [CrossRef]
- Mason, R.; Tait, P.; Morris, R.; Stuart, S. Future directions in clinical application of gait, balance and mobility analysis. In Gait, Balance, and Mobility Analysis; Academic Press: Cambridge, MA, USA, 2025; pp. 467–483. [Google Scholar]
- Kerkman, J.N.; Bekius, A.; Boonstra, T.W.; Daffertshofer, A.; Dominici, N. Muscle Synergies and Coherence Networks Reflect Different Modes of Coordination During Walking. Front. Physiol. 2020, 11, 751. [Google Scholar] [CrossRef] [PubMed]
- Roeder, L.; Breakspear, M.; Kerr, G.K.; Boonstra, T.W. Dynamics of brain-muscle networks reveal effects of age and somatosensory function on gait. iScience 2024, 27, 109162. [Google Scholar] [CrossRef] [PubMed]





| Variable | Adults (n = 12) | Older Adults (n = 14) |
|---|---|---|
| Age, mean ± SD (years) | 41.6 ± 6.4 | 73.5 ± 3.5 |
| Sex (M/F) | 10/2 | 10/4 |
| Height, mean ± SD (cm) | 174.2 ± 7.8 | 168.1 ± 6.9 |
| Weight, mean ± SD (kg) | 73.4 ± 9.1 | 70.6 ± 8.3 |
| BMI, mean ± SD | 24.2 ± 2.4 | 24.9 ± 2.6 |
| Foot length, mean ± SD (cm) | 26.7 ± 1.0 | 25.6 ± 1.0 |
| Daily steps, mean ± SD | 8100 ± 1400 | 6200 ± 1200 |
| Regular physical activity (%) * | 58 | 43 |
| Joint flexibility (ankle dorsiflexion, degrees) ** | 17.4 ± 3.1 | 14.0 ± 3.4 |
| Neurological disorders (e.g., Parkinson’s) | 0 | 0 |
| Musculoskeletal impairments (%) | 0 | 0 |
| Chronic cerebrovascular disease (%) | 0 | 0 |
| History of orthopedic surgery (%) | 0 | 0 |
| Vestibular/inner ear pathology (%) | 0 | 0 |
| Current pharmacological therapy (%) | 17 (mild hypertension) | 29 (antihypertensives, statins) |
| Alcohol consumption (% occasional) | 33 | 29 |
| Variable | Adults (M ± SD) | Older Adults (M ± SD) | p-Value | Cohen’s d | Interpretation | η2 |
|---|---|---|---|---|---|---|
| Iself | 0.93 ± 0.05 | 0.92 ± 0.06 | 0.628 | 0.18 | Very small effect | – |
| Iothers | 0.74 ± 0.05 | 0.82 ± 0.04 | <0.001 | −1.78 | Very large effect | – |
| DR | 0.97 ± 0.07 | 0.85 ± 0.19 | 0.040 | 0.81 | Large effect | – |
| ANOVA (Iothers/Iextra) | – | – | 0.006 | – | – | 0.15 (Large) |
Disclaimer/Publisher’s Note: The statements, opinions and data contained in all publications are solely those of the individual author(s) and contributor(s) and not of MDPI and/or the editor(s). MDPI and/or the editor(s) disclaim responsibility for any injury to people or property resulting from any ideas, methods, instructions or products referred to in the content. |
© 2025 by the authors. Published by MDPI on behalf of the Lithuanian University of Health Sciences. Licensee MDPI, Basel, Switzerland. This article is an open access article distributed under the terms and conditions of the Creative Commons Attribution (CC BY) license (https://creativecommons.org/licenses/by/4.0/).
Share and Cite
Troisi Lopez, E.; Minino, R.; Maisuradze, M.; Latino, F.; Tafuri, M.G. Reduced Motor Individuality in Older Adults Revealed by Network-Based Gait Fingerprinting. Medicina 2025, 61, 1454. https://doi.org/10.3390/medicina61081454
Troisi Lopez E, Minino R, Maisuradze M, Latino F, Tafuri MG. Reduced Motor Individuality in Older Adults Revealed by Network-Based Gait Fingerprinting. Medicina. 2025; 61(8):1454. https://doi.org/10.3390/medicina61081454
Chicago/Turabian StyleTroisi Lopez, Emahnuel, Roberta Minino, Mariam Maisuradze, Francesca Latino, and Maria Giovanna Tafuri. 2025. "Reduced Motor Individuality in Older Adults Revealed by Network-Based Gait Fingerprinting" Medicina 61, no. 8: 1454. https://doi.org/10.3390/medicina61081454
APA StyleTroisi Lopez, E., Minino, R., Maisuradze, M., Latino, F., & Tafuri, M. G. (2025). Reduced Motor Individuality in Older Adults Revealed by Network-Based Gait Fingerprinting. Medicina, 61(8), 1454. https://doi.org/10.3390/medicina61081454
