Multidimensional Comparison of Microsurgical Clipping and Endovascular Techniques for Anterior Communicating Artery Aneurysms: Balancing Occlusion Rates and Periprocedural Risks
Abstract
1. Introduction
2. Materials and Methods
- Availability of 3D angiographic imaging suitable for semi-automatic reconstruction of the aneurysm’s morphological features;
- Aneurysm located at the Acom;
- Treatment of the AcomA through either surgical or endovascular methods.
2.1. Data Acquisition
- Age: defined as the patient’s age at the time of diagnosis
- Sex: classified as biological sex
- Hypertension: documented diagnosis or regular use of antihypertensive medication
- Nicotine abuse: history of or ongoing nicotine consumption
- Alcohol abuse: consumption exceeding 50 g of alcohol per week
- Aneurysm rupture: determined based on intraoperative findings, imaging data, and CT evidence of hemorrhage patterns indicative of rupture
- Aneurysm multiplicity: defined as the presence of two or more IA
- Hunt and Hess score: a clinical assessment tool for the severity of subarachnoid hemorrhage (SAH) upon admission, ranging from minimal symptoms to deep coma and decerebrate posturing
- Fisher grade: a scale evaluating SAH severity based on CT findings, from no visible blood to substantial intracerebral or intraventricular hemorrhage
- Modified Rankin Scale (mRS) at discharge: a measure of neurological and functional disability at discharge, ranging from no symptoms to death
- Type of treatment:
- ○
- Surgical approach (e.g., pterional craniotomy, anterior interhemispheric craniotomy)
- ○
- Endovascular treatment method (e.g., single coiling, stent-assisted coiling)
- Number of procedures: total number of surgical or endovascular interventions performed
- Revisions: performance and type of revision surgery or intervention, if applicable
- Perioperative/peri-interventional ischemic complications: assessed through CT or MRI scans for evidence of ischemia
- Postoperative hemorrhage: assessed through postoperative CT scans
- Peri-interventional complications: including vessel occlusion or dissection during the procedure
- Hydrocephalus: symptomatic ventricular enlargement confirmed by CT imaging
- Hydrocephalus management: treatment involving placement of external ventricular drainage (EVD) or ventriculoperitoneal (VP) shunt
- Vasospasm: detected via transcranial Doppler ultrasound or angiography
- Vasospasm treatment: managed with endovascular spasmolysis or other endovascular techniques
- Delayed cerebral ischemia (DCI): characterized by new neurological deficits or impaired consciousness lasting over one hour, or the appearance of new ischemic changes or infarcts on imaging
- Follow-up duration: time period (in months) from initial patient admission to the latest follow-up
- mRS at follow-up: a reassessment of neurological and functional disability at follow-up, ranging from no symptoms to death
2.2. Morphological Analysis
- Wmax: maximum width of the aneurysm perpendicular to Hmax [28]
- Wortho: maximum width of the aneurysm perpendicular to Hortho [28]
- OA 1: ostium area 1; surface of the aneurysm ostium [28]
- OA 2: ostium area 2; surface of the aneurysm ostium; the neck curve projected onto a plane [28]
- Alpha: angle at point B1 describing the angle from the base line to the dome point [28]
- Beta: angle at point B2 describing the angle from the base line to the dome point [28]
- Gamma: angle at the aneurysm dome [28]
2.3. Matching Criteria and Cohort Matching
2.4. Statistical Analysis
3. Results
3.1. Cohort Overview
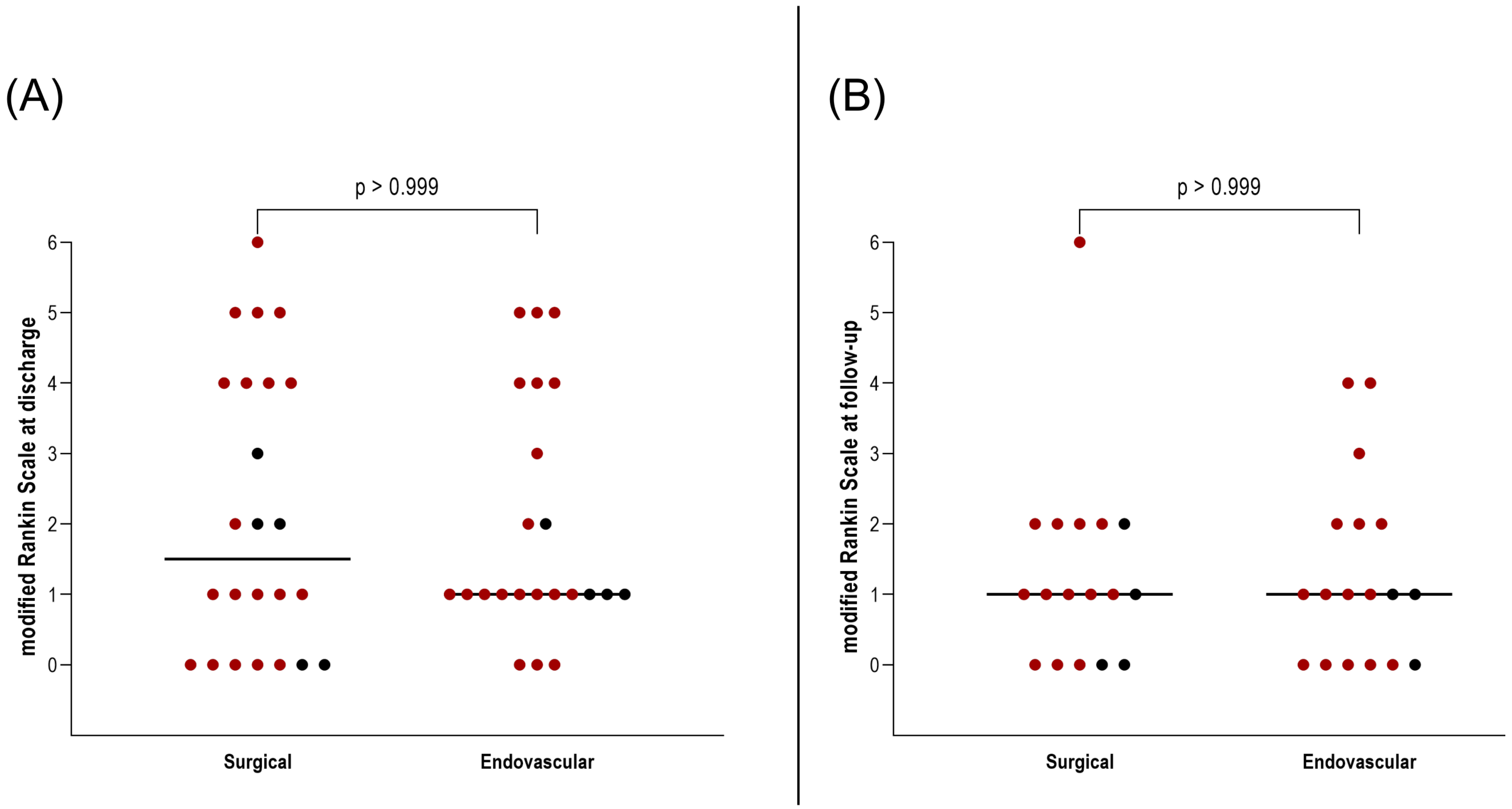
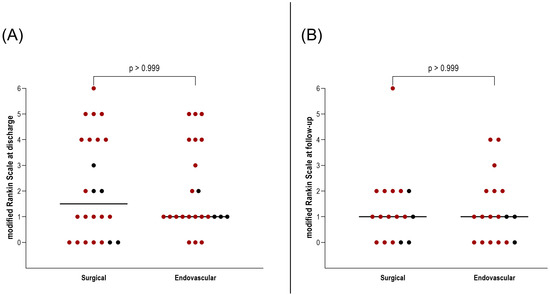
3.2. Analysis of Matched Cohort
4. Discussion
5. Conclusions
Author Contributions
Funding
Institutional Review Board Statement
Informed Consent Statement
Data Availability Statement
Acknowledgments
Conflicts of Interest
Abbreviations
| Acom | Anterior communicating artery |
| AcomA | Anterior communicating artery aneurysm |
| AOI | Aneurysm of interest |
| DCI | Delayed cerebral ischemia |
| EVD | External ventricular drainage |
| IA | Intracranial aneurysms |
| mRS | Modified Rankin scale |
| SAH | Subarachnoid hemorrhage |
| VP | Ventriculoperitoneal |
References
- Kassell, N.F.; Torner, J.C.; Haley, E.C.; Jane, J.A.; Adams, H.P.; Kongable, G.L. The International Cooperative Studyon the Timing of Aneurysm Surgery. Part 1: Overall management results. J. Neurosurg. 1990, 73, 18–36. [Google Scholar] [CrossRef] [PubMed]
- Brisman, J.L.; Song, J.K.; Newell, D.W. Cerebral Aneurysms. N. Engl. J. Med. 2006, 355, 928–939. [Google Scholar] [CrossRef] [PubMed]
- Sattari, S.A.; Shahbandi, A.; Lee, R.P.; Feghali, J.; Rincon-Torroella, J.; Yang, W.; Abdulrahim, M.; Ahmadi, S.; So, R.J.; Hung, A.; et al. Surgery or Endovascular Treatment in Patients with Anterior Communicating Artery Aneurysm: A Systematic Review and Meta-Analysis. World Neurosurg. 2023, 175, 31–44. [Google Scholar] [CrossRef] [PubMed]
- Chen, J.; Li, M.; Zhu, X.; Chen, Y.; Zhang, C.; Shi, W.; Chen, Q.; Wang, Y. Anterior Communicating Artery Aneurysms: Anatomical Considerations and Microsurgical Strategies. Front. Neurol. 2020, 11, 1020. [Google Scholar] [CrossRef]
- Forget, T.R.; Benitez, R.; Veznedaroglu, E.; Sharan, A.; Mitchell, W.; Silva, M.; Rosenwasser, R.H. A Review of Size and Location of Ruptured Intracranial Aneurysms. Neurosurgery 2001, 49, 1322–1325; discussion 1325–1326. [Google Scholar] [CrossRef]
- Hernesniemi, J.; Dashti, R.; Lehecka, M.; Niemelä, M.; Rinne, J.; Lehto, H.; Ronkainen, A.; Koivisto, T.; Jääskeläinen, J.E. Microneurosurgical management of anterior communicating artery aneurysms. Surg. Neurol. 2008, 70, 8–28. [Google Scholar] [CrossRef]
- UCAS Japan Investigators; Morita, A.; Kirino, T.; Hashi, K.; Aoki, N.; Fukuhara, S.; Hashimoto, N.; Nakayama, T.; Sakai, M.; Teramoto, A.; et al. The Natural Course of Unruptured Cerebral Aneurysms in a Japanese Cohort. N. Engl. J. Med. 2012, 366, 2474–2482. [Google Scholar] [CrossRef]
- Rinaldo, L.; Nesvick, C.L.; Rabinstein, A.A.; Lanzino, G. Differences in Size Between Unruptured and Ruptured Saccular Intracranial Aneurysms by Location. World Neurosurg. 2020, 133, e828–e834. [Google Scholar] [CrossRef]
- Sekhar, L.N.; Natarajan, S.K.; Britz, G.W.; Ghodke, B. Microsurgical Management of Anterior Communicating Artery Aneurysms. Neurosurg. 2007, 61, 273–290; discussion 290–292. [Google Scholar] [CrossRef]
- Zhang, X.-J.; Gao, B.-L.; Hao, W.-L.; Wu, S.-S.; Zhang, D.-H. Presence of Anterior Communicating Artery Aneurysm Is Associated With Age, Bifurcation Angle, and Vessel Diameter. Stroke 2018, 49, 341–347. [Google Scholar] [CrossRef]
- Perlmutter, D.; Rhoton, A.L. Microsurgical anatomy of the anterior cerebral-anterior communicating-recurrent artery complex. J. Neurosurg. 1976, 45, 259–272. [Google Scholar] [CrossRef] [PubMed]
- Guglielmi, G.; Viñuela, F.; Dion, J.; Duckwiler, G. Electrothrombosis of saccular aneurysms via endovascular approach. Part 2: Preliminary clinical experience. J. Neurosurg. 1991, 75, 8–14. [Google Scholar] [CrossRef] [PubMed]
- Brilstra, E.H.; Rinkel, G.J.E.; van der Graaf, Y.; van Rooij, W.J.J.; Algra, A. Treatment of Intracranial Aneurysms by Embolization with Coils: A systematic review. Stroke 1999, 30, 470–476. [Google Scholar] [CrossRef] [PubMed]
- Byrne, J.V.; Molyneux, A.J.; Brennan, R.P.; Renowden, S.A. Embolisation of recently ruptured intracranial aneurysms. J. Neurol. Neurosurg. Psychiatry 1995, 59, 616–620. [Google Scholar] [CrossRef]
- Nichols, D.A. Endovascular treatment of the acutely ruptured intracranial aneurysm. J. Neurosurg. 1993, 79, 1–2. [Google Scholar] [CrossRef]
- Molyneux, A.; Kerr, R.; Stratton, I.; Sandercock, P.; Clarke, M.; Shrimpton, J.; Holman, R. International Subarachnoid Aneurysm Trial (ISAT) of neurosurgical clipping versus endovascular coiling in 2143 patients with ruptured intracranial aneurysms: A randomised trial. Lancet 2002, 360, 1267–1274. [Google Scholar] [CrossRef]
- Molyneux, A.J.; Kerr, R.S.; Yu, L.-M.; Clarke, M.; Sneade, M.; Yarnold, J.A.; Sandercock, P. International subarachnoid aneurysm trial (ISAT) of neurosurgical clipping versus endovascular coiling in 2143 patients with ruptured intracranial aneurysms: A randomised comparison of effects on survival, dependency, seizures, rebleeding, subgroups, and aneurysm occlusion. Lancet 2005, 366, 809–817. [Google Scholar] [CrossRef]
- McDougall, C.G.; Spetzler, R.F.; Zabramski, J.M.; Partovi, S.; Hills, N.K.; Nakaji, P.; Albuquerque, F.C. The Barrow Ruptured Aneurysm Trial. J. Neurosurg. 2012, 116, 135–144. [Google Scholar] [CrossRef]
- Spetzler, R.F.; McDougall, C.G.; Albuquerque, F.C.; Zabramski, J.M.; Hills, N.K.; Partovi, S.; Nakaji, P.; Wallace, R.C. The Barrow Ruptured Aneurysm Trial: 3-year results. J. Neurosurg. 2013, 119, 146–157. [Google Scholar] [CrossRef]
- Spetzler, R.F.; McDougall, C.G.; Zabramski, J.M.; Albuquerque, F.C.; Hills, N.K.; Russin, J.J.; Partovi, S.; Nakaji, P.; Wallace, R.C. The Barrow Ruptured Aneurysm Trial: 6-year results. J. Neurosurg. 2015, 123, 609–617. [Google Scholar] [CrossRef]
- Spetzler, R.F.; McDougall, C.G.; Zabramski, J.M.; Albuquerque, F.C.; Hills, N.K.; Nakaji, P.; Karis, J.P.; Wallace, R.C. Ten-year analysis of saccular aneurysms in the Barrow Ruptured Aneurysm Trial. J. Neurosurg. 2020, 132, 771–776. [Google Scholar] [CrossRef] [PubMed]
- Li, H.; Pan, R.; Wang, H.; Rong, X.; Yin, Z.; Milgrom, D.P.; Shi, X.; Tang, Y.; Peng, Y. Clipping Versus Coiling for Ruptured Intracranial Aneurysms: A Systematic Review and Meta-Analysis. Stroke 2013, 44, 29–37. [Google Scholar] [CrossRef] [PubMed]
- Fotakopoulos, G.; Tsianaka, E.; Fountas, K.; Makris, D.; Spyrou, M.; Hernesniemi, J. Clipping Versus Coiling in Anterior Circulation Ruptured Intracranial Aneurysms: A Meta-Analysis. World Neurosurg. 2017, 104, 482–488. [Google Scholar] [CrossRef]
- Eide, P.K.; Sorteberg, A.; Nome, T.; Rønning, P.A.; Sorteberg, W. Early surgical versus endovascular repair of ruptured blood-blister aneurysm of the internal carotid artery: A single-center 20-year experience. J. Neurosurg. 2022, 137, 1766–1775. [Google Scholar] [CrossRef]
- Raymond, J.; Kotowski, M.; Darsaut, T.; Molyneux, A.; Kerr, R. Ruptured aneurysms and the International Subarachnoid Aneurysm Trial (ISAT): What is known and what remains to be questioned. Neurochirurgie 2012, 58, 103–108. [Google Scholar] [CrossRef]
- Moon, K.; Park, M.S.; Albuquerque, F.C.; Levitt, M.R.; Mulholland, C.B.; McDougall, C.G. Changing Paradigms in the Endovascular Management of Ruptured Anterior Communicating Artery Aneurysms. Neurosurgery 2017, 81, 581–584. [Google Scholar] [CrossRef]
- Yang, M.; Li, Y.; Li, J.; An, X.; Li, H.; Wang, B.; Zhao, Y.; Zhu, X.; Hou, C.; Huan, L.; et al. The safety and clinical outcomes of endovascular treatment versus microsurgical clipping of ruptured anterior communicating artery aneurysms: A 2-year follow-up, multicenter, observational study. Front. Neurol. 2024, 15, 1389950. [Google Scholar] [CrossRef]
- Saalfeld, S.; Berg, P.; Niemann, A.; Luz, M.; Preim, B.; Beuing, O. Semiautomatic neck curve reconstruction for intracranial aneurysm rupture risk assessment based on morphological parameters. Int. J. Comput. Assist. Radiol. Surg. 2018, 13, 1781–1793. [Google Scholar] [CrossRef]
- Saalfeld, S.; Berg, P.; Neugebauer, M.; Preim, B. Reconstruction of 3D Surface Meshes for Blood Flow Simulations of Intracranial Aneurysms. In Proceedings of the 14th Annual Conference of the German Society for Computer- and Robot-Assisted Surgery (CURAC), Bremen, Germany, 17–19 September 2015. [Google Scholar]
- Dhar, S.; Tremmel, M.; Mocco, J.; Kim, M.; Yamamoto, J.; Siddiqui, A.H.; Hopkins, L.N.; Meng, H. Morphology Parameters for Intracranial Aneurysm Rupture Risk Assessment. Neurosurgery 2008, 63, 185–196; discussion 196–197. [Google Scholar] [CrossRef]
- Raghavan, M.L.; Ma, B.; Harbaugh, R.E. Quantified aneurysm shape and rupture risk. J. Neurosurg. 2005, 102, 355–362. [Google Scholar] [CrossRef]
- Ujiie, H.; Tamano, Y.; Sasaki, K.; Hori, T. Is the Aspect Ratio a Reliable Index for Predicting the Rupture of a Saccular Aneurysm? Neurosurgery 2001, 48, 495–502; discussion 502–503. [Google Scholar] [CrossRef] [PubMed]
- Ujiie, H.; Tachibana, H.; Hiramatsu, O.; Hazel, A.L.; Matsumoto, T.; Ogasawara, Y.; Nakajima, H.; Hori, T.; Takakura, K.; Kajiya, F. Effects of Size and Shape (Aspect Ratio) on the Hemodynamics of Saccular Aneurysms: A Possible Index for Surgical Treatment of Intracranial Aneurysms. Neurosurgery 1999, 45, 119–1129; discussion 129–130. [Google Scholar] [CrossRef] [PubMed]
- Spitz, L.; Niemann, U.; Beuing, O.; Neyazi, B.; Sandalcioglu, I.E.; Preim, B.; Saalfeld, S. Combining visual analytics and case-based reasoning for rupture risk assessment of intracranial aneurysms. Int. J. Comput. Assist. Radiol. Surg. 2020, 15, 1525–1535. [Google Scholar] [CrossRef]
- Spitz, L.; Swiatek, V.M.; Neyazi, B.; Sandalcioglu, I.E.; Preim, B.; Saalfeld, S. An interactive tool for identifying patient subgroups based on arbitrary characteristics for medical research. Curr. Dir. Biomed. Eng. 2021, 7, 43–46. [Google Scholar] [CrossRef]
- Swiatek, V.M.; Amini, A.; Sandalcioglu Ortuño, C.E.; Spitz, L.; Hartmann, K.; Rashidi, A.; Stein, K.-P.; Saalfeld, S.; Sandalcioglu, I.E.; Neyazi, B. Unveiling rupture risk and clinical outcomes in midline aneurysms: A matched cohort analysis investigating the impact of localization within the anterior or posterior circulation. Neurosurg. Rev. 2024, 47, 76. [Google Scholar] [CrossRef]
- Swiatek, V.M.; Amini, A.; Spitz, L.; Rashidi, A.; Dumitru, C.A.; Stein, K.-P.; Saalfeld, S.; Sandalcioglu, I.E.; Neyazi, B. Anterior interhemispheric vs. pterional approach in the microsurgical management of anterior communicating artery aneurysms: A comparative analysis employing a novel multidimensional matching-tool. Neurosurg. Rev. 2024, 47, 366. [Google Scholar] [CrossRef]
- Diana, F.; Pesce, A.; Toccaceli, G.; Muralidharan, V.; Raz, E.; Miscusi, M.; Raco, A.; Missori, P.; Peschillo, S. Microsurgical clipping versus newer endovascular techniques in treatment of unruptured anterior communicating artery-complex aneurysms: A meta-analysis and systematic review. Neurosurg. Rev. 2022, 45, 1089–1100. [Google Scholar] [CrossRef]
- Li, B.; Zhang, K.; Yu, J. Current state of endovascular treatment of anterior cerebral artery aneurysms. Front. Neurol. 2024, 15, 1396701. [Google Scholar] [CrossRef]






| Whole Cohort | Matched Cohort | |||||||||||||||||
|---|---|---|---|---|---|---|---|---|---|---|---|---|---|---|---|---|---|---|
| Surgical (n = 24) | Endovascular (n = 116) | Endovascular (n = 24) | ||||||||||||||||
| Age (mean) | 54.25 years | 52.6 years | 51.8 years | |||||||||||||||
| Sex | 9 male; 15 female | 53 male; 63 female | 9 male; 15 female | |||||||||||||||
| yes | no | n.i. | yes | no | n.i. | yes | no | n.i. | ||||||||||
| Hypertension | 14 | 10 | 0/0% | 85 | 31 | 0/0% | 15 | 9 | 0/0% | |||||||||
| Nicotine abuse | 13 | 9 | 2/8.3% | 60 | 30 | 26 | 12 | 9 | 3/12.5% | |||||||||
| Alcohol abuse | 3 | 14 | 7/29.2% | 17 | 69 | 30 | 3 | 16 | 5/20.8% | |||||||||
| Rupture status | 19 | 5 | 0/0% | 92 | 24 | 0/0% | 19 | 5 | 0/0% | |||||||||
| Multiplicity | 6 | 18 | 0/0% | 28 | 86 | 2 | 3 | 21 | 0/0% | |||||||||
| Follow-up duration | 22.5 months | 0/0% | 37.9 months | 0/0% | 39.6 months | 0/0% | ||||||||||||
| 1 | 2 | 3 | 4 | 5 | n.i. | 1 | 2 | 3 | 4 | 5 | n.i. | 1 | 2 | 3 | 4 | 5 | n.i. | |
| Hunt and Hess score | 6 | 6 | 6 | 0 | 1 | 0 | 7 | 38 | 25 | 14 | 7 | 1 | 2 | 9 | 7 | 1 | 0 | 0 |
| 1 | 2 | 3 | 4 | n.i. | 1 | 2 | 3 | 4 | n.i. | 1 | 2 | 3 | 4 | n.i. | ||||
| Fisher grade | 1 | 2 | 7 | 9 | 0 | 2 | 2 | 28 | 59 | 1 | 0 | 0 | 5 | 14 | 0 | |||
| Surgical (n = 24) | Endovascular (n = 24) | Statistical Analysis | |
|---|---|---|---|
| Age (mean) | 54.25 years | 51.8 years | p > 0.999 * |
| Sex | 9 male; 15 female | 9 male; 15 female | p > 0.999 *** |
| Hunt and Hess score (median) | 2 | 2 | p > 0.999 ** |
| Fisher grade (median) | 3 | 4 | p > 0.999 ** |
| Hmax (mean) | 6.2 | 5.8 | p > 0.999 * |
| Wmax (mean) | 6.3 | 6.0 | p > 0.999 * |
| Dmax (mean) | 8.1 | 7.4 | p > 0.999 * |
| Hortho (mean) | 5.4 | 5.4 | p > 0.999 * |
| Wortho (mean) | 7.3 | 6.4 | p > 0.999 * |
| Nmax (mean) | 5.0 | 4.8 | p > 0.999 * |
| Navg (mean) | 4.2 | 4.2 | p > 0.999 * |
| AR 1 (mean) | 1.1 | 1.2 | p > 0.999 * |
| AR 2 (mean) | 1.3 | 1.3 | p > 0.999 * |
| EI (mean) | 0.3 | 0.3 | p > 0.999 * |
| NSI (mean) | 0.2 | 0.2 | p > 0.999 * |
| UI (mean) | 0.1 | 0.1 | p > 0.999 * |
| AA (mean) | 113.8 | 101.6 | p > 0.999 ** |
| OA 1 (mean) | 15.7 | 15.8 | p > 0.999 * |
| OA 2 (mean) | 14.0 | 13.9 | p > 0.999 * |
| VA (mean) | 126.7 | 110.8 | p > 0.999 ** |
| V_CH (mean) | 148.2 | 126.8 | p > 0.999 ** |
| A_CH (mean) | 133.1 | 119.5 | p > 0.999 ** |
| Alpha (mean) | 77.7 | 78.4 | p > 0.999 ** |
| Beta (mean) | 63.7 | 61.3 | p > 0.999 ** |
| Gamma (mean) | 38.6 | 40.2 | p > 0.999 * |
Disclaimer/Publisher’s Note: The statements, opinions and data contained in all publications are solely those of the individual author(s) and contributor(s) and not of MDPI and/or the editor(s). MDPI and/or the editor(s) disclaim responsibility for any injury to people or property resulting from any ideas, methods, instructions or products referred to in the content. |
© 2025 by the authors. Published by MDPI on behalf of the Lithuanian University of Health Sciences. Licensee MDPI, Basel, Switzerland. This article is an open access article distributed under the terms and conditions of the Creative Commons Attribution (CC BY) license (https://creativecommons.org/licenses/by/4.0/).
Share and Cite
Swiatek, V.M.; Amini, A.; Dumitru, C.A.; Spitz, L.; Stein, K.-P.; Saalfeld, S.; Rashidi, A.; Sandalcioglu, I.E.; Neyazi, B. Multidimensional Comparison of Microsurgical Clipping and Endovascular Techniques for Anterior Communicating Artery Aneurysms: Balancing Occlusion Rates and Periprocedural Risks. Medicina 2025, 61, 498. https://doi.org/10.3390/medicina61030498
Swiatek VM, Amini A, Dumitru CA, Spitz L, Stein K-P, Saalfeld S, Rashidi A, Sandalcioglu IE, Neyazi B. Multidimensional Comparison of Microsurgical Clipping and Endovascular Techniques for Anterior Communicating Artery Aneurysms: Balancing Occlusion Rates and Periprocedural Risks. Medicina. 2025; 61(3):498. https://doi.org/10.3390/medicina61030498
Chicago/Turabian StyleSwiatek, Vanessa Magdalena, Amir Amini, Claudia Alexandra Dumitru, Lena Spitz, Klaus-Peter Stein, Sylvia Saalfeld, Ali Rashidi, I. Erol Sandalcioglu, and Belal Neyazi. 2025. "Multidimensional Comparison of Microsurgical Clipping and Endovascular Techniques for Anterior Communicating Artery Aneurysms: Balancing Occlusion Rates and Periprocedural Risks" Medicina 61, no. 3: 498. https://doi.org/10.3390/medicina61030498
APA StyleSwiatek, V. M., Amini, A., Dumitru, C. A., Spitz, L., Stein, K.-P., Saalfeld, S., Rashidi, A., Sandalcioglu, I. E., & Neyazi, B. (2025). Multidimensional Comparison of Microsurgical Clipping and Endovascular Techniques for Anterior Communicating Artery Aneurysms: Balancing Occlusion Rates and Periprocedural Risks. Medicina, 61(3), 498. https://doi.org/10.3390/medicina61030498

