Prognostic and Predictive Value of Systemic Inflammatory Markers in Epithelial Ovarian Cancer
Abstract
1. Introduction
2. Materials and Methods
2.1. Study Design
2.2. Study Flowchart
2.3. Baseline Characteristics of Patients
2.4. Statistical Analysis
3. Results
Prognostic Factors and Survival Outcomes
4. Discussion
5. Conclusions
Author Contributions
Funding
Institutional Review Board Statement
Informed Consent Statement
Data Availability Statement
Conflicts of Interest
References
- Torre, L.A.; Bray, F.; Siegel, R.L.; Ferlay, J.; Lortet-Tieulent, J.; Jemal, A. Global cancer statistics, 2012. CA A Cancer J. Clin. 2015, 65, 87–108. [Google Scholar] [CrossRef] [PubMed]
- Lheureux, S.; Gourley, C.; Vergote, I.; Oza, A.M. Epithelial ovarian cancer. Lancet 2019, 393, 1240–1253. [Google Scholar] [CrossRef] [PubMed]
- Winter, W.E., III; Maxwell, G.L.; Tian, C.; Carlson, J.W.; Ozols, R.F.; Rose, P.G.; Markman, M.; Armstrong, D.K.; Muggia, F.; McGuire, W.P. Prognostic factors for stage III epithelial ovarian cancer: A Gynecologic Oncology Group Study. J. Clin. Oncol. 2007, 25, 3621–3627. [Google Scholar] [CrossRef]
- Hoskins, W.J.; Bundy, B.N.; Thigpen, J.T.; Omura, G.A. The influence of cytoreductive surgery on recurrence-free interval and survival in small-volume stage III epithelial ovarian cancer: A Gynecologic Oncology Group study. Gynecol. Oncol. 1992, 47, 159–166. [Google Scholar] [CrossRef]
- Crawford, S.C.; Vasey, P.A.; Paul, J.; Hay, A.; Davis, J.A.; Kaye, S.B. Does aggressive surgery only benefit patients with less advanced ovarian cancer? Results from an international comparison within the SCOTROC-1 Trial. J. Clin. Oncol. 2005, 23, 8802–8811. [Google Scholar] [CrossRef] [PubMed]
- Nguyen, P.N.; Nguyen, V.T. Additional value of doppler ultrasound to B-mode ultrasound in assessing for uterine intracavitary pathologies among perimenopausal and postmenopausal bleeding women: A multicentre prospective observational study in Vietnam. J. Ultrasound 2023, 26, 459–469. [Google Scholar] [CrossRef] [PubMed]
- Epstein, E.; Valentin, L. Gray-scale ultrasound morphology in the presence or absence of intrauterine fluid and vascularity as assessed by color Doppler for discrimination between benign and malignant endometrium in women with postmenopausal bleeding. Ultrasound Obstet. Gynecol. Off. J. Int. Soc. Ultrasound Obstet. Gynecol. 2006, 28, 89–95. [Google Scholar] [CrossRef] [PubMed]
- Kurman, R.J.; Shih, I.-M. The origin and pathogenesis of epithelial ovarian cancer: A proposed unifying theory. Am. J. Surg. Pathol. 2010, 34, 433–443. [Google Scholar] [CrossRef]
- Tang, Z.-P.; Ma, Z.; He, Y.; Liu, R.-C.; Jin, B.-B.; Wen, D.-Y.; Wen, R.; Yin, H.-H.; Qiu, C.-C.; Gao, R.-Z. Ultrasound-based radiomics for predicting different pathological subtypes of epithelial ovarian cancer before surgery. BMC Med. Imaging 2022, 22, 147. [Google Scholar] [CrossRef]
- Paik, E.S.; Lee, J.-W.; Park, J.-Y.; Kim, J.-H.; Kim, M.; Kim, T.-J.; Choi, C.H.; Kim, B.-G.; Bae, D.-S.; Seo, S.W. Prediction of survival outcomes in patients with epithelial ovarian cancer using machine learning methods. J. Gynecol. Oncol. 2019, 30, e65. [Google Scholar] [CrossRef] [PubMed]
- Morgan, R.J.; Armstrong, D.K.; Alvarez, R.D.; Bakkum-Gamez, J.N.; Behbakht, K.; Chen, L.-M.; Copeland, L.; Crispens, M.A.; DeRosa, M.; Dorigo, O. Ovarian cancer, version 1.2016, NCCN clinical practice guidelines in oncology. J. Natl. Compr. Cancer Netw. 2016, 14, 1134–1163. [Google Scholar] [CrossRef] [PubMed]
- Lambin, P.; Rios-Velazquez, E.; Leijenaar, R.; Carvalho, S.; Van Stiphout, R.G.; Granton, P.; Zegers, C.M.; Gillies, R.; Boellard, R.; Dekker, A. Radiomics: Extracting more information from medical images using advanced feature analysis. Eur. J. Cancer 2012, 48, 441–446. [Google Scholar] [CrossRef]
- Bodalal, Z.; Trebeschi, S.; Nguyen-Kim, T.D.L.; Schats, W.; Beets-Tan, R. Radiogenomics: Bridging imaging and genomics. Abdom. Radiol. 2019, 44, 1960–1984. [Google Scholar] [CrossRef]
- Aerts, H.J. Data science in radiology: A path forward. Clin. Cancer Res. 2018, 24, 532–534. [Google Scholar] [CrossRef] [PubMed]
- Akazawa, M.; Hashimoto, K. Artificial intelligence in gynecologic cancers: Current status and future challenges—A systematic review. Artif. Intell. Med. 2021, 120, 102164. [Google Scholar] [CrossRef] [PubMed]
- Mantovani, A.; Allavena, P.; Sica, A.; Balkwill, F. Cancer-related inflammation. Nature 2008, 454, 436–444. [Google Scholar] [CrossRef] [PubMed]
- Tong, Y.-S.; Tan, J.; Zhou, X.-L.; Song, Y.-Q.; Song, Y.-J. Systemic immune-inflammation index predicting chemoradiation resistance and poor outcome in patients with stage III non-small cell lung cancer. J. Transl. Med. 2017, 15, 211. [Google Scholar] [CrossRef] [PubMed]
- Hong, X.; Cui, B.; Wang, M.; Yang, Z.; Wang, L.; Xu, Q. Systemic immune-inflammation index, based on platelet counts and neutrophil-lymphocyte ratio, is useful for predicting prognosis in small cell lung cancer. Tohoku J. Exp. Med. 2015, 236, 297–304. [Google Scholar] [CrossRef] [PubMed]
- Feng, J.-F.; Chen, S.; Yang, X. Systemic immune-inflammation index (SII) is a useful prognostic indicator for patients with squamous cell carcinoma of the esophagus. Medicine 2017, 96, e5886. [Google Scholar] [CrossRef] [PubMed]
- Lolli, C.; Basso, U.; Derosa, L.; Scarpi, E.; Sava, T.; Santoni, M.; Crabb, S.J.; Massari, F.; Aieta, M.; Conteduca, V. Systemic immune-inflammation index predicts the clinical outcome in patients with metastatic renal cell cancer treated with sunitinib. Oncotarget 2016, 7, 54564. [Google Scholar] [CrossRef] [PubMed]
- Lolli, C.; Caffo, O.; Scarpi, E.; Aieta, M.; Conteduca, V.; Maines, F.; Bianchi, E.; Massari, F.; Veccia, A.; Chiuri, V.E. Systemic immune-inflammation index predicts the clinical outcome in patients with mCRPC treated with abiraterone. Front. Pharmacol. 2016, 7, 376. [Google Scholar] [CrossRef]
- Zhao, Z.; Zhao, X.; Lu, J.; Xue, J.; Liu, P.; Mao, H. Prognostic roles of neutrophil to lymphocyte ratio and platelet to lymphocyte ratio in ovarian cancer: A meta-analysis of retrospective studies. Arch. Gynecol. Obstet. 2018, 297, 849–857. [Google Scholar] [CrossRef]
- Prodromidou, A.; Andreakos, P.; Kazakos, C.; Vlachos, D.E.; Perrea, D.; Pergialiotis, V. The diagnostic efficacy of platelet-to-lymphocyte ratio and neutrophil-to-lymphocyte ratio in ovarian cancer. Inflamm. Res. 2017, 66, 467–475. [Google Scholar] [CrossRef] [PubMed]
- Yin, X.; Wu, L.; Yang, H.; Yang, H. Prognostic significance of neutrophil–lymphocyte ratio (NLR) in patients with ovarian cancer: A systematic review and meta-analysis. Medicine 2019, 98, e17475. [Google Scholar] [CrossRef]
- Winarno, G.N.A.; Pasaribu, M.; Susanto, H.; Nisa, A.S.; Harsono, A.B.; Yuseran, H.; Suardi, D.; Trianasari, N. The platelet to lymphocyte and neutrophil to lymphocyte ratios in predicting response to platinum-based chemotherapy for epithelial ovarian cancer. Asian Pac. J. Cancer Prev. 2021, 22, 1561. [Google Scholar] [CrossRef] [PubMed] [PubMed Central]
- Liontos, M.; Andrikopoulou, A.; Koutsoukos, K.; Markellos, C.; Skafida, E.; Fiste, O.; Kaparelou, M.; Thomakos, N.; Haidopoulos, D.; Rodolakis, A. Neutrophil-to-lymphocyte ratio and chemotherapy response score as prognostic markers in ovarian cancer patients treated with neoadjuvant chemotherapy. J. Ovarian Res. 2021, 14, 148. [Google Scholar] [CrossRef]
- Sanna, E.; Tanca, L.; Cherchi, C.; Gramignano, G.; Oppi, S.; Chiai, M.G.; Macciò, A.; Madeddu, C. Decrease in neutrophil-to-lymphocyte ratio during neoadjuvant chemotherapy as a predictive and prognostic marker in advanced ovarian cancer. Diagnostics 2021, 11, 1298. [Google Scholar] [CrossRef] [PubMed]
- Ji, Y.; Wang, H. Prognostic prediction of systemic immune-inflammation index for patients with gynecological and breast cancers: A meta-analysis. World J. Surg. Oncol. 2020, 18, 197. [Google Scholar] [CrossRef] [PubMed]
- Nie, D.; Gong, H.; Mao, X.; Li, Z. Systemic immune-inflammation index predicts prognosis in patients with epithelial ovarian cancer: A retrospective study. Gynecol. Oncol. 2019, 152, 259–264. [Google Scholar] [CrossRef]
- Ramon-Rodriguez, J.; De-Armas-Conde, N.; Jaen-Torrejimeno, I.; Prada-Villaverde, A.; Rojas-Holguin, A.; Lopez-Guerra, D.; Blanco-Fernandez, G. Prognostic value of pre-operative systemic immune-inflammation index and platelet to lymphocyte ratio in peritoneal carcinomatosis of ovarian origin. Surg. Oncol. 2022, 42, 101750. [Google Scholar] [CrossRef] [PubMed]
- Farolfi, A.; Scarpi, E.; Greco, F.; Bergamini, A.; Longo, L.; Pignata, S.; Casanova, C.; Cormio, G.; Bologna, A.; Orditura, M. Inflammatory indexes as predictive factors for platinum sensitivity and as prognostic factors in recurrent epithelial ovarian cancer patients: A MITO24 retrospective study. Sci. Rep. 2020, 10, 18190. [Google Scholar] [CrossRef]
- Tian, C.; Song, W.; Tian, X.; Sun, Y. Prognostic significance of platelet-to-lymphocyte ratio in patients with ovarian cancer: A meta-analysis. Eur. J. Clin. Investig. 2018, 48, e12917. [Google Scholar] [CrossRef]
- Jiang, S.; Liu, J.; Chen, X.; Zheng, X.; Ruan, J.; Ye, A.; Zhang, S.; Zhang, L.; Kuang, Z.; Liu, R. Platelet–lymphocyte ratio as a potential prognostic factor in gynecologic cancers: A meta-analysis. Arch. Gynecol. Obstet. 2019, 300, 829–839. [Google Scholar] [CrossRef]
- Chon, S.; Lee, S.; Jeong, D.; Lim, S.; Lee, K.; Shin, J. Elevated platelet lymphocyte ratio is a poor prognostic factor in advanced epithelial ovarian cancer. J. Gynecol. Obstet. Hum. Reprod. 2021, 50, 101849. [Google Scholar] [CrossRef]





| Characteristic | n (%) |
|---|---|
| Age, year | |
| Interval | 21–88 |
| Median | 57 |
| Stage | |
| Stage I | 21(13.6) |
| Stage II | 6 (3.9) |
| Stage III | 111 (72.1) |
| Stage IV | 16 (10.4) |
| Eastern Cooperative Oncology Group Performance Status | |
| 0 | 94 (61.0) |
| I | 41 (26.6) |
| II | 13 (8.4) |
| III | 6 (3.9) |
| Primary Localization | |
| Ovary | 127 (82.5) |
| Fallopian tube | 18 (11.7) |
| Primary peritoneal | 9 (5.8) |
| Histopatological type | |
| Serous papillary | 136 (88.3) |
| Clear cell | 10 (6.5) |
| Mucinous | 6 (3.9) |
| Borderline | 2 (1.3) |
| Grade | |
| Low | 8 (5.2) |
| High | 138 (89.6) |
| Unknown | 8 (5.2) |
| NAC | |
| Yes | 45 (29.2) |
| No | 109 (70.8) |
| Surgical Type | |
| Maximal debulking | 121 (78.6) |
| Optimal debulking | 20 (13.0) |
| Suboptimal debulking | 4 (2.6) |
| Inoperable | 3 (1.9) |
| Adjuvant Chemotherapy | |
| Yes | 143 (92.9) |
| No | 11 (7.1) |
| Relapse Status | |
| Yes | 105 (68.1) |
| No | 49 (31.9) |
| Platinum Resistance | |
| Partially sensitive | 11 (7.2) |
| Sensitive | 110 (71.4) |
| Resistant | 33 (21.4) |
| Characteristics | n (%) | Median PFS (Month) | Univariate p-Value | HR CI 95% | Multivariate p-Value |
|---|---|---|---|---|---|
| Age, year | 0.64 | ||||
| <60 | 86 (55.8) | 19.5 | |||
| ≥60 | 68 (44.2) | 19.7 | |||
| Stage | 0.015 | 1.89 1.33–2.67 | <0.001 | ||
| Stage I | 21(13.6) | 51.7 | |||
| Stage II | 6 (3.9) | 17.5 | |||
| Stage III | 111 (72.1) | 19.2 | |||
| Stage IV | 16 (10.4) | 13.0 | |||
| ECOG PS | 0.029 | 1.15 0.89–1.48 | 0.27 | ||
| 0-I | 135 (87.6) | 21.2 | |||
| II-III | 19 (22.4) | 18.0 | |||
| Primary Localization | 0.024 | 1.44 0.90–2.31 | 0.11 | ||
| Ovary | 127 (82.5) | 19.7 | |||
| Fallopian tube | 18 (11.7) | 13.5 | |||
| Primary peritoneal | 9 (5.8) | NR | |||
| Histopatological Type | 0.09 | 1.69 1.16–2.46 | 0.006 | ||
| Serous papillary | 136 (88.3) | 20.3 | |||
| Clear cell | 10 (6.5) | 6.9 | |||
| Mucinous | 6 (3.9) | 6.2 | |||
| Borderline | 2 (1.3) | 12.6 | |||
| Grade | 0.42 | ||||
| Low | 8 (5.2) | NR | |||
| High | 138 (89.6) | 19.7 | |||
| Unknown | 8 (5.2) | NR | |||
| NAC | 0.54 | ||||
| Yes | 45 (29.2) | 19.0 | |||
| No | 109 (70.8) | 20.3 | |||
| Surgical Type | 0.003 | 1.34 0.96–1.88 | 0.04 | ||
| Maximal debulking | 121 (78.6) | 21.2 | |||
| Optimal debulking | 20 (13.0) | 19.5 | |||
| Suboptimal debulking | 4 (2.6) | 13.3 | |||
| Inoperable | 3 (1.9) | 7.4 | |||
| Platinum Resistance | <0.001 | 4.70 2.42–9.12 | <0.001 | ||
| Sensitive | 121 (78.6) | 21.3 | |||
| Resistant | 33 (21.4) | 9.3 | |||
| NLR | 0.003 | 1.53 0.81–2.91 | 0.18 | ||
| ≤3 | 73 (47.4) | 23.5 | |||
| >3 | 81 (52.6) | 14.2 | |||
| PLR | 0.005 | 0.87 0.46–1.64 | 0.67 | ||
| ≤194 | 72 (46.8) | 23.5 | |||
| >194 | 82 (53.2) | 13.0 | |||
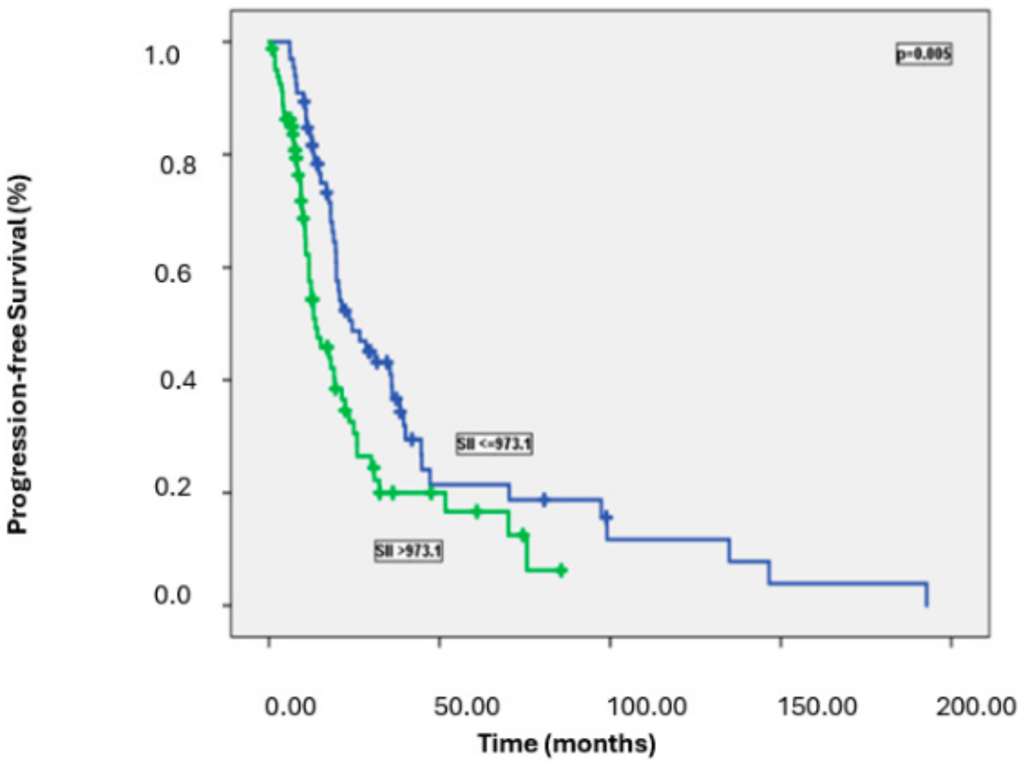
| SII | 0.005 | 1.67 0.79–3.53 | 0.17 | ||
| ≥973.1 | 69 (44.9) | 24.3 | |||
| >973.1 | 85 (55.1) | 13.6 |
| Characteristics | n (%) | Median OS (Month) | Univariate p-Value | HR CI 95% | Multivariate p-Value |
|---|---|---|---|---|---|
| Age, Year | 0.50 | ||||
| <60 | 86 (55.8) | 57.1 | |||
| ≥60 | 68 (44.2) | 55.8 | |||
| Stage | 0.04 | 1.33 0.82–2.15 | 0.23 | ||
| Stage I | 21(13.6) | NR | |||
| Stage II | 6 (3.9) | NR | |||
| Stage III | 111 (72.1) | 51.7 | |||
| Stage IV | 16 (10.4) | 29.1 | |||
| ECOG PS | <0.001 | 1.50 1.11–2.02 | 0.008 | ||
| 0-I | 135 (87.6) | 62.0 | |||
| II-III | 19 (22.4) | 29.1 | |||
| Primary Localization | 0.90 | ||||
| Ovary | 127 (82.5) | NR | |||
| Fallopian tube | 18 (11.7) | NR | |||
| Primary peritoneal | 9 (5.8) | NR | |||
| Histopatological Type | 0.48 | ||||
| Serous papillary | 136 (88.3) | 51.7 | |||
| Clear cell | 10 (6.5) | NR | |||
| Mucinous | 6 (3.9) | NR | |||
| Borderline | 2 (1.3) | NA | |||
| Grade | 0.30 | ||||
| Low | 8 (5.2) | NR | |||
| High | 138 (89.6) | 57.1 | |||
| Unknown | 8 (5.2) | NR | |||
| NAC | 0.30 | ||||
| Yes | 45 (29.2) | 38.5 | |||
| No | 109 (70.8) | 56.9 | |||
| Surgical Type | 0.001 | 1.62 1.01–2.62 | 0.045 | ||
| Maximal debulking | 121 (78.6) | 62.0 | |||
| Optimal debulking | 20 (13.0) | 56.9 | |||
| Suboptimal debulking | 4 (2.6) | 45.5 | |||
| Inoperable | 3 (1.9) | 10.4 | |||
| Platinum Resistance | <0.001 | 3.02 1.42–6.42 | 0.004 | ||
| Sensitive | 121 (78.6) | 64.6 | |||
| Resistant | 33 (21.4) | 25.8 | |||
| NLR | 0.02 | 1.08 0.42–2.80 | 0.87 | ||
| ≤3 | 73 (47.4) | 61.1 | |||
| <3 | 81 (52.6) | 37.4 | |||
| PLR | 0.008 | 1.46 0.59–3.61 | 0.40 | ||
| ≤194 | 72 (46.8) | 64.6 | |||
| >194 | 82 (53.2) | 37.4 | |||
| SII | 0.082 | 1.08 0.34–3.34 | 0.89 | ||
| ≥973.1 | 69 (44.9) | 60.7 | |||
| >973.1 | 85 (55.1) | 46.1 |
| Factors | β | X2 | p | OR | 95% CI |
|---|---|---|---|---|---|
| FIGO stage | 0.20 | 0.21 | 0.64 | 1.22 | 0.51–2.89 |
| EGOG PS | 0.24 | 0.09 | 0.75 | 1.28 | 0.27–5.99 |
| Histopathology | 1.40 | 8.35 | 0.004 | 4.06 | 1.57–10.54 |
| Surgical type | 0.61 | 2.84 | 0.032 | 1.84 | 0.90–3.76 |
| NLR | −0.27 | 0.08 | 0.77 | 0.75 | 0.11–5.14 |
| PLR | 1.40 | 2.99 | 0.03 | 4.08 | 0.83–20.07 |
| SII | −1.42 | 1.48 | 0.22 | 0.24 | 0.02–2.37 |
Disclaimer/Publisher’s Note: The statements, opinions and data contained in all publications are solely those of the individual author(s) and contributor(s) and not of MDPI and/or the editor(s). MDPI and/or the editor(s) disclaim responsibility for any injury to people or property resulting from any ideas, methods, instructions or products referred to in the content. |
© 2025 by the authors. Published by MDPI on behalf of the Lithuanian University of Health Sciences. Licensee MDPI, Basel, Switzerland. This article is an open access article distributed under the terms and conditions of the Creative Commons Attribution (CC BY) license (https://creativecommons.org/licenses/by/4.0/).
Share and Cite
İdrisoğlu, C.; Muğlu, H.; Hamdard, J.; Açıkgöz, Ö.; Olmusçelik, O.; Müezzinoğlu, B.; Ölmez, Ö.F.; Yıldız, Ö.; Bilici, A. Prognostic and Predictive Value of Systemic Inflammatory Markers in Epithelial Ovarian Cancer. Medicina 2025, 61, 380. https://doi.org/10.3390/medicina61030380
İdrisoğlu C, Muğlu H, Hamdard J, Açıkgöz Ö, Olmusçelik O, Müezzinoğlu B, Ölmez ÖF, Yıldız Ö, Bilici A. Prognostic and Predictive Value of Systemic Inflammatory Markers in Epithelial Ovarian Cancer. Medicina. 2025; 61(3):380. https://doi.org/10.3390/medicina61030380
Chicago/Turabian Styleİdrisoğlu, Cem, Harun Muğlu, Jamshid Hamdard, Özgür Açıkgöz, Oktay Olmusçelik, Bahar Müezzinoğlu, Ömer Fatih Ölmez, Özcan Yıldız, and Ahmet Bilici. 2025. "Prognostic and Predictive Value of Systemic Inflammatory Markers in Epithelial Ovarian Cancer" Medicina 61, no. 3: 380. https://doi.org/10.3390/medicina61030380
APA Styleİdrisoğlu, C., Muğlu, H., Hamdard, J., Açıkgöz, Ö., Olmusçelik, O., Müezzinoğlu, B., Ölmez, Ö. F., Yıldız, Ö., & Bilici, A. (2025). Prognostic and Predictive Value of Systemic Inflammatory Markers in Epithelial Ovarian Cancer. Medicina, 61(3), 380. https://doi.org/10.3390/medicina61030380

