Intravesical BCG: A Double-Edged Sword? The Untold Story of Infection Risks
Abstract
1. Introduction
2. Materials and Methods
2.1. Study Population and Design
2.2. Data Collection
2.3. Dose and Schedule of Intravesical BCG Treatment
- Induction therapy: BCG is typically instilled into the bladder weekly for 6 weeks for patients with intermediate- and high-risk disease, generally starting 2 to 6 weeks after transurethral resection. Each dose consists of a vial of reconstituted Connaught BCG (ImmuCyst®, Sanofi Pasteur, France) (81 mg) or one 2 mL ampule of Tice BCG (OncoTICE®, MSD, Durham, NC, USA) (50 mg), plus 50 mL of sterile saline injected into the bladder through a catheter and retained for 2 h.
- Maintenance therapy: Maintenance BCG is given weekly for three weeks at months 3, 6, 12, 18, 24, 30 and 36 for patients with high-risk disease. For patients with intermediate-risk disease, maintenance therapy is continued for only one year.
2.4. Classification of UTIs
2.5. Statistical Analysis
- Logistic regression analysis: Multivariate logistic regression was performed to identify significant predictors of UTI susceptibility and resistance. Independent variables included BCG cycles, serum CRP and procalcitonin levels, age, gender and comorbidities (e.g., DM2 and renal disease). Coefficients and p-values were reported to evaluate the association between these predictors and the likelihood of UTI types (susceptible or resistant).
- Comparative analysis: Differences in serum CRP and procalcitonin levels, and BCG cycles between UTI groups (susceptible vs. resistant pathogens) were assessed using the Mann–Whitney U test. This non-parametric test was applied as the data did not meet normality assumptions, confirmed by the Shapiro–Wilk test. Exact p-values were reported, with p < 0.05 considered significant.
- Chi-square test: Associations between categorical variables (e.g., DM2, renal disease, postmenopausal status), UTI types (caused by susceptible or resistant pathogens) and pathogen types were evaluated using the chi-square test of independence.
- Correlation analysis: To explore relationships between variables, a correlation heatmap was generated using Spearman’s rank correlation coefficients. This visualized the strengths and directions of associations between predictors (e.g., serum CRP and procalcitonin levels, BCG cycles) and UTI outcomes (susceptible or resistant).
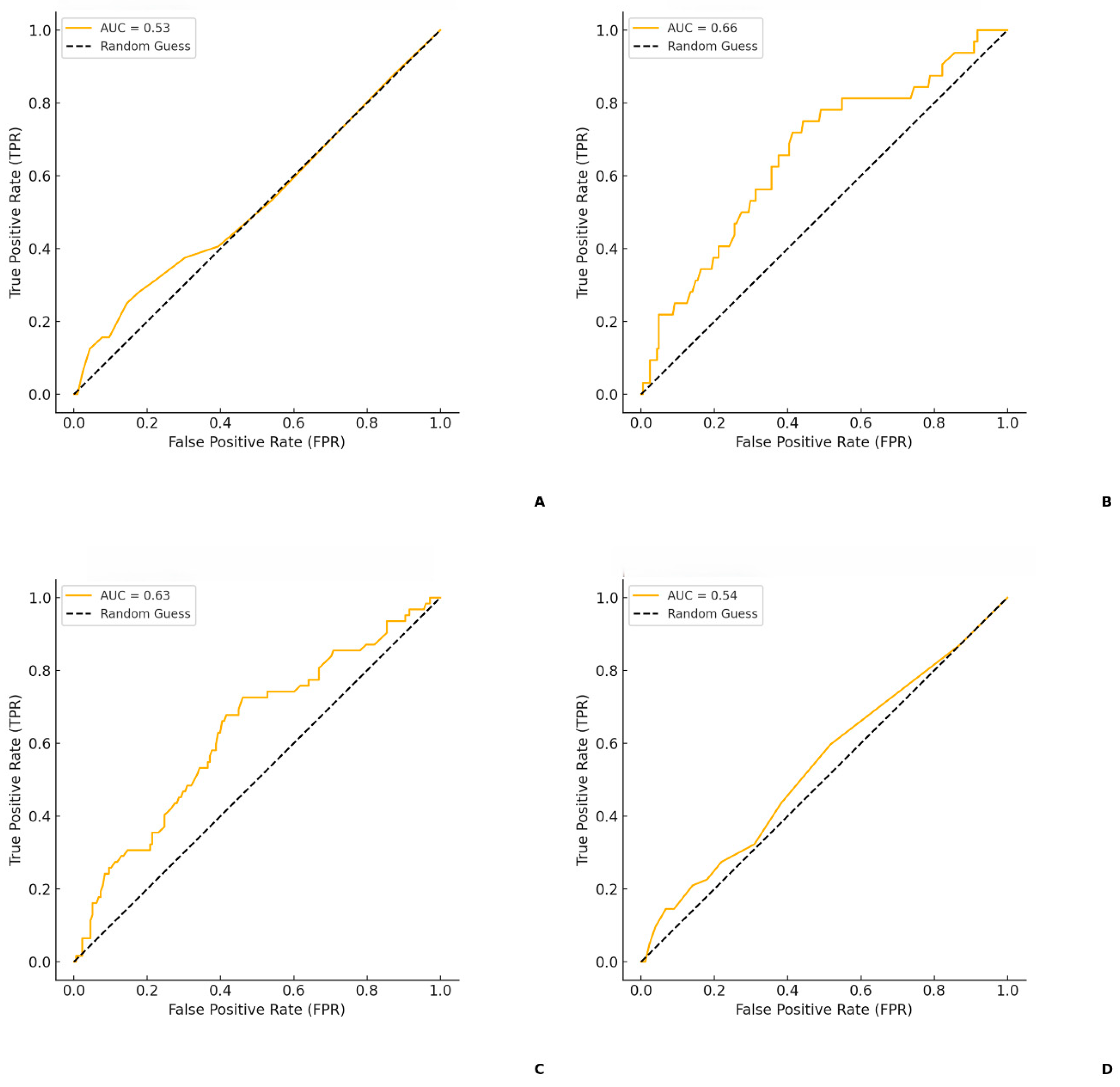
- Receiver operating characteristic (ROC) curve analysis: ROC curve analysis was conducted to assess the predictive accuracy of serum CRP and procalcitonin levels in differentiating between UTI types. The area under the curve (AUC) was calculated to evaluate diagnostic performance, with sensitivity and specificity values reported.
2.6. Ethical Statement
3. Results
- Urgency: 40.4% of patients (n = 97) reported urgency as a common complaint.
- Frequency: 35.4% of patients (n = 85) reported increased urinary frequency.
- Hesitancy: Hesitancy in urination was observed in 35.4% of patients (n = 85).
- Dysuria: Dysuria was noted in 41.6% of patients (n = 100).
- Hematuria: Hematuria was detected in 33.7% of patients (n = 81).
- Pyuria: Pyuria was observed in 28.7% of patients (n = 69).
4. Discussion
5. Conclusions
Supplementary Materials
Author Contributions
Funding
Institutional Review Board Statement
Informed Consent Statement
Data Availability Statement
Conflicts of Interest
Abbreviations
| BCG | Bacillus Calmette-Guérin |
| UTI | Urinary tract infection |
| DM2 | Diabetes mellitus type 2 |
| BPH | Benign prostate hyperplasia |
| CRP | C-reactive protein |
| ROC | Receiver operating characteristic |
| AUC | Area under the curve |
| CKD | Chronic kidney disease |
| S-UTI | Urinary tract infections caused by susceptible pathogens |
| R-UTI | Urinary tract infections caused by resistant pathogens |
| SD | Standard deviation |
References
- Sung, H.; Ferlay, J.; Siegel, R.L.; Laversanne, M.; Soerjomataram, I.; Jemal, A.; Bray, F. Global Cancer Statistics 2020: GLOBOCAN Estimates of Incidence and Mortality Worldwide for 36 Cancers in 185 Countries. CA Cancer J. Clin. 2021, 71, 209–249. [Google Scholar] [CrossRef] [PubMed]
- Mossanen, M.; Gore, J.L. The Burden of Bladder Cancer Care: Direct and Indirect Costs. Curr. Opin. Urol. 2014, 24, 487–491. [Google Scholar] [CrossRef] [PubMed]
- Antoni, S.; Ferlay, J.; Soerjomataram, I.; Znaor, A.; Jemal, A.; Bray, F. Bladder Cancer Incidence and Mortality: A Global Overview and Recent Trends. Eur. Urol. 2017, 71, 96–108. [Google Scholar] [CrossRef] [PubMed]
- Schulz, G.B.; Grimm, T.; Buchner, A.; Jokisch, F.; Kretschmer, A.; Stief, C.G.; Knüchel, R.; Kraywinkel, K.; Karl, A. Bladder Cancer Stage Development, 2004–2014 in Europe Compared with the United States: Analysis of European Population-Based Cancer Registries, the United States SEER Database, and a Large Tertiary Institutional Cohort. Clin. Genitourin. Cancer 2020, 18, 162–170.e4. [Google Scholar] [CrossRef]
- Van Rhijn, B.W.G.; Burger, M.; Lotan, Y.; Solsona, E.; Stief, C.G.; Sylvester, R.J.; Witjes, J.A.; Zlotta, A.R. Recurrence and Progression of Disease in Non–Muscle-Invasive Bladder Cancer: From Epidemiology to Treatment Strategy. Eur. Urol. 2009, 56, 430–442. [Google Scholar] [CrossRef]
- Kirkali, Z.; Chan, T.; Manoharan, M.; Algaba, F.; Busch, C.; Cheng, L.; Kiemeney, L.; Kriegmair, M.; Montironi, R.; Murphy, W.M.; et al. Bladder cancer: Epidemiology, staging and grading, and diagnosis. Urology 2005, 66 (Suppl. S1), 4–34. [Google Scholar] [CrossRef]
- Babjuk, M.; Burger, M.; Compérat, E.M.; Gontero, P.; Mostafid, A.H.; Palou, J.; van Rhijn, B.W.G.; Rouprêt, M.; Shariat, S.F.; Sylvester, R.; et al. European Association of Urology Guidelines on Non-muscle-invasive Bladder Cancer (TaT1 and Carcinoma In Situ)—2019 Update. Eur. Urol. 2019, 76, 639–657. [Google Scholar] [CrossRef]
- Herr, H.W.; Morales, A. History of bacillus Calmette-Guerin and bladder cancer: An immunotherapy success story. J. Urol. 2008, 179, 53–56. [Google Scholar] [CrossRef]
- Larsen, E.S.; Joensen, U.N.; Poulsen, A.M.; Goletti, D.; Johansen, I.S. Bacillus Calmette-Guérin immunotherapy for bladder cancer: A review of immunological aspects, clinical effects and BCG infections. APMIS 2020, 128, 92–103. [Google Scholar] [CrossRef]
- Böhle, A.; Jocham, D.; Bock, P.R. Intravesical bacillus Calmette-Guerin versus mitomycin C for superficial bladder cancer: A formal meta-analysis of comparative studies on recurrence and toxicity. J. Urol. 2003, 169, 90–95. [Google Scholar] [CrossRef]
- Sylvester, R.J.; van der Meijden, A.P.; Witjes, J.A.; Kurth, K. Bacillus calmette-guerin versus chemotherapy for the intravesical treatment of patients with carcinoma in situ of the bladder: A meta-analysis of the published results of randomized clinical trials. J. Urol. 2005, 174, 86–91, discussion 91–92. [Google Scholar] [CrossRef] [PubMed]
- Martínez-Piñeiro, J.A.; Jiménez León, J.; Martínez-Piñeiro, L., Jr.; Fiter, L.; Mosteiro, J.A.; Navarro, J.; García Matres, M.J.; Cárcamo, P. Bacillus Calmette-Guerin versus doxorubicin versus thiotepa: A randomized prospective study in 202 patients with superficial bladder cancer. J. Urol. 1990, 143, 502–506. [Google Scholar] [CrossRef] [PubMed]
- Böhle, A.; Bock, P.R. Intravesical bacille Calmette-Guérin versus mitomycin C in superficial bladder cancer: Formal meta-analysis of comparative studies on tumor progression. Urology 2004, 63, 682–686, discussion 686–687. [Google Scholar] [CrossRef] [PubMed]
- de Reijke, T.M.; Kurth, K.H.; Sylvester, R.J.; Hall, R.R.; Brausi, M.; van de Beek, K.; Landsoght, K.E.; Carpentier, P. European Organization for the Research and Treatment of Cancer-Genito-Urinary Group. Bacillus Calmette-Guerin versus epirubicin for primary, secondary or concurrent carcinoma in situ of the bladder: Results of a European Organization for the Research and Treatment of Cancer--Genito-Urinary Group Phase III Trial (30906). J. Urol. 2005, 173, 405–409. [Google Scholar] [PubMed]
- Schmidt, S.; Kunath, F.; Coles, B.; Draeger, D.L.; Krabbe, L.M.; Dersch, R.; Kilian, S.; Jensen, K.; Dahm, P.; Meerpohl, J.J. Intravesical Bacillus Calmette-Guérin versus mitomycin C for Ta and T1 bladder cancer. Cochrane Database Syst. Rev. 2020, 8, CD011935. [Google Scholar] [CrossRef]
- Järvinen, R.; Kaasinen, E.; Sankila, A.; Rintala, E. FinnBladder Group Long-Term Efficacy of Maintenance Bacillus Calmette-Guérin versus Maintenance Mitomycin C Instillation Therapy in Frequently Recurrent TaT1 Tumours without Carcinoma in Situ: A Subgroup Analysis of the Prospective, Randomised FinnBladder I Study with a 20-Year Follow-Up. Eur. Urol. 2009, 56, 260–265. [Google Scholar]
- Lamm, D.L.; van der Meijden, P.M.; Morales, A.; Brosman, S.A.; Catalona, W.J.; Herr, H.W.; Soloway, M.S.; Steg, A.; Debruyne, F.M. Incidence and treatment of complications of bacillus Calmette-Guerin intravesical therapy in superficial bladder cancer. J. Urol. 1992, 147, 596–600. [Google Scholar] [CrossRef]
- Macleod, L.C.; Ngo, T.C.; Gonzalgo, M.L. Complications of intravesical bacillus calmette-guérin. Can. Urol. Assoc. J. 2014, 8, E540–E544. [Google Scholar] [CrossRef]
- Green, D.B.; Kawashima, A.; Menias, C.O.; Tanaka, T.; Redelman-Sidi, G.; Bhalla, S.; Shah, R.; King, B.F. Complications of Intravesical BCG Immunotherapy for Bladder Cancer. Radiographics 2019, 39, 80–94. [Google Scholar] [CrossRef]
- Pérez-Jacoiste Asín, M.A.; Fernández-Ruiz, M.; López-Medrano, F.; Lumbreras, C.; Tejido, Á.; San Juan, R.; Arrebola-Pajares, A.; Lizasoain, M.; Prieto, S.; Aguado, J.M. Bacillus Calmette-Guérin (BCG) infection following intravesical BCG administration as adjunctive therapy for bladder cancer: Incidence, risk factors, and outcome in a single-institution series and review of the literature. Medicine 2014, 93, 236–254. [Google Scholar] [CrossRef]
- Ratliff, T.L.; Ritchey, J.K.; Yuan, J.J.; Andriole, G.L.; Catalona, W.J. T-cell subsets required for intravesical BCG immunotherapy for bladder cancer. J. Urol. 1993, 150, 1018–1023. [Google Scholar] [CrossRef] [PubMed]
- Sylvester, R.J.; van der Meijden, A.P.; Lamm, D.L. Intravesical bacillus Calmette-Guerin reduces the risk of progression in patients with superficial bladder cancer: A meta-analysis of the published results of randomized clinical trials. J. Urol. 2002, 168, 1964–1970. [Google Scholar] [CrossRef] [PubMed]
- Herr, H.W. Intravesical bacille Calmette-Guérin eradicates bacteriuria in antibiotic-naïve bladder cancer patients. Eur. Urol. 2013, 63, 832–835. [Google Scholar] [CrossRef]
- Kwak, B.; Mulhaupt, F.; Myit, S.; Mach, F. Statins as a newly recognized type of immunomodulator. Nat. Med. 2000, 6, 1399–1402. [Google Scholar] [CrossRef]
- Greenwood, J.; Steinman, L.; Zamvil, S.S. Statin therapy and autoimmune disease: From protein prenylation to immunomodulation. Nat. Rev. Immunol. 2006, 6, 358–370. [Google Scholar] [CrossRef]
- Hoffmann, P.; Roumeguère, T.; Schulman, C.; van Velthoven, R. Use of statins and outcome of BCG treatment for bladder cancer. N. Engl. J. Med. 2006, 355, 2705–2707. [Google Scholar] [CrossRef]
- Lenis, A.T.; Lec, P.M.; Chamie, K. Bladder Cancer: A Review. JAMA 2020, 324, 1980–1991. [Google Scholar] [CrossRef]
- Yang, X.; Toh, Q.; Huang, H.; Sng, L.; Tan, T.; Ng, L. Intravesical Bacillus Calmette-Guerin and its complications: 12 years of learning experience in a single local institution. Singap. Med. J. 2022, 63, 325–329. [Google Scholar] [CrossRef]
- Böhle, A.; Gerdes, J.; Ulmer, A.; Hofstetter, A.; Flad, H.-D. Effects of local Bacillus Calmette-Guerin therapy in patients with bladder carcinoma on immunocompetent cells of the bladder wall. J. Urol. 1990, 144, 53–58. [Google Scholar] [CrossRef]
- Smith, J.A., Jr.; Labasky, R.F.; Cockett, A.T.; Fracchia, J.A.; Montie, J.E.; Rowland, R.G. Bladder cancer clinical guidelines panel summary report on the management of nonmuscle invasive bladder cancer (stages Ta, T1 and TIS). The American Urological Association. J. Urol. 1999, 162, 1697–1701. [Google Scholar] [CrossRef]
- Sharma, V.; Thakur, A.P.S.; Ramasamy, V.; Shukla, P.K.; Solanki, F.S.; Choudhary, A.; Patel, P. Complications of intravesical BCG therapy in non-muscle invasive bladder cancer: Our tertiary care centre experience. Afr. J. Urol. 2020, 26, 90. [Google Scholar] [CrossRef]
- Kamei, J.; Yamamoto, S. Complicated urinary tract infections with diabetes mellitus. J. Infect. Chemother. 2021, 27, 1131–1136. [Google Scholar] [CrossRef] [PubMed]
- Lanfranco, O.A.; Alangaden, G.J. Genitourinary Tract Infections. Microbiol. Spectr. 2016, 4. [Google Scholar] [CrossRef] [PubMed]
- Boyko, E.J.; Fihn, S.D.; Scholes, D.; Chen, C.-L.; Normand, E.H.; Yarbro, P. Diabetes and the risk of acute urinary tract infection among postmenopausal women. Diabetes Care. 2002, 25, 1778–1783. [Google Scholar] [CrossRef] [PubMed]
- Shah, B.R.; Hux, J.E. Quantifying the risk of infectious diseases for people with diabetes. Diabetes Care. 2003, 26, 510–513. [Google Scholar] [CrossRef]
- Geerlings, S.E. Clinical Presentations and Epidemiology of Urinary Tract Infections. Microbiol. Spectr. 2016, 4. [Google Scholar] [CrossRef]
- Syed-Ahmed, M.; Narayanan, M. Immune Dysfunction and Risk of Infection in Chronic Kidney Disease. Adv. Chronic Kidney Dis. 2019, 26, 8–15. [Google Scholar] [CrossRef]
- Prabharasuth, D.; Moses, K.A.; Bernstein, M.; Dalbagni, G.; Herr, H.W. Management of bladder cancer after renal transplantation. Urology. 2013, 81, 813–819. [Google Scholar] [CrossRef]
- Shang, P.F.; Kwong, J.; Wang, Z.P.; Tian, J.; Jiang, L.; Yang, K.; Yue, Z.J.; Tian, J.Q.; Lu, W.; Chen, X.; et al. Randomized intergroup comparison of bacillus Calmette-Guerin immunotherapy and mitomycin C chemotherapy prophylaxis in superficial transitional cell carcinoma of the bladder a southwest oncology group study. In Urologic Oncology: Seminars and Original Investigations; Elsevier: Amsterdam, The Netherlands, 1995. [Google Scholar] [CrossRef]
- Shang, P.F.; Kwong, J.; Wang, Z.P.; Tian, J.; Jiang, L.; Yang, K.; Yue, Z.J.; Tian, J.Q. Intravesical bacillus Calmette- Guerin versus epirubicin for Ta and T1 bladder cancer. Cochrane Database Syst. Rev. 2011, CD006885. [Google Scholar] [CrossRef]
- Oddens, J.; Brausi, M.; Sylvester, R.; Bono, A.; Van De Beek, C.; Van Andel, G.; Gontero, P.; Hoeltl, W.; Turkeri, L.; Marreaud, S.; et al. Final results of an EORTCGU cancers group randomized study of maintenance bacillus calmette-guerin in intermediate- and high-risk Ta, T1 papillary carcinoma of the urinary bladder: One-third dose versus full dose and 1 year versus 3 years of maintenance. Eur. Urol. 2013, 63, 462–472. [Google Scholar] [CrossRef]
- Azuma, T.; Nagase, Y.; Oshi, M. Pyuria predicts poor prognosis in patients with non-muscle-invasive bladder cancer treated with bacillus Calmette-Guérin. Mol. Clin. Oncol. 2015, 3, 1113–1116. [Google Scholar] [CrossRef] [PubMed]
- Suh, J.; Yuk, H.D.; Jeong, C.W.; Kwak, C.; Kim, H.H.; Ku, J.H. Pyuria as a Predictive Marker of Bacillus Calmette–Guérin Unresponsiveness in Non-Muscle Invasive Bladder Cancer. J. Clin. Med. 2021, 10, 3764. [Google Scholar] [CrossRef] [PubMed]
- Di Lorenzo, G.; Perdonà, S.; Damiano, R.; Faiella, A.; Cantiello, F.; Pignata, S.; Ascierto, P.; Simeone, E.; De Sio, M.; Autorino, R. Gemcitabine versus bacille Calmette-Guerin after initial bacille Calmette-Guerin failure in non-muscle-invasive bladder cancer: A multicenter prospective randomized trial. Cancer 2010, 116, 1893–1900. [Google Scholar] [CrossRef] [PubMed]
- Brausi, M.; Oddens, J.; Sylvester, R.; Bono, A.; van de Beek, C.; van Andel, G.; Gontero, P.; Turkeri, L.; Marreaud, S.; Collette, S.; et al. Side effects of bacillus Calmette-Guerin (BCG) in the treatment of intermediate- and high-risk Ta, T1 papillary carcinoma of the bladder: Results of the EORTC Genito-urinary cancers group randomised phase 3 study comparing one-third dose with full dose an. Eur. Urol. 2014, 65, 69–76. [Google Scholar] [CrossRef]
- Kamat, A.M.; Li, R.; O’Donnell, M.A.; Black, P.C.; Roupret, M.; Catto, J.W.; Comperat, E.; Ingersoll, M.A.; Witjes, W.P.; McConkey, D.J.; et al. Predicting Response to Intravesical Bacillus Calmette-Guérin Immunotherapy: Are We There Yet? A Systematic Review. Eur. Urol. 2018, 73, 738–748. [Google Scholar] [CrossRef]
- Lamm, D.L.; Blumenstein, B.A.; Crissman, J.D.; Montie, J.E.; Gottesman, J.E.; Lowe, B.A.; Sarosdy, M.F.; Bohl, R.D.; Grossman, H.B.; Beck, T.M.; et al. Maintenance bacillus Calmette-Guerin immunotherapy for recurrent TA, T1 and carcinoma in situ transitional cell carcinoma of the bladder: A randomized Southwest Oncology Group Study. J. Urol. 2000, 163, 1124–1129. [Google Scholar] [CrossRef]
- Flores-Mireles, A.L.; Walker, J.N.; Caparon, M.; Hultgren, S.J. Urinary tract infections: Epidemiology, mechanisms of infection and treatment options. Nat Rev Microbiol. 2015, 13, 269–284. [Google Scholar] [CrossRef]
- Quattrone, C.; Manfredi, C.; Napolitano, L.; Ferraro, A.; Distefano, C.; Di Girolamo, A.; Sciorio, C.; Imperatore, V.; Bottone, F.; La Rocca, R.; et al. D-Mannose Plus Saccharomyces boulardii to Prevent Urinary Tract Infections and Discomfort after Cystoscopy: A Single-Center Prospective Randomized Pilot Study. Medicina 2023, 59, 1165. [Google Scholar] [CrossRef]
- Schuetz, P.; Christ-Crain, M.; Müller, B. Procalcitonin and other biomarkers to improve assessment and antibiotic stewardship in infections--hope for hype? Swiss Med. Wkly. 2009, 139, 318–326. [Google Scholar] [CrossRef]
- Marques, M.; Vazquez, D.; Sousa, S.; Mesquita, G.; Duarte, M.; Ferreira, R. Disseminated Bacillus Calmette-Guérin (BCG) infection with pulmonary and renal involvement: A rare complication of BCG immunotherapy. A case report and narrative review. Pulmonology 2020, 26, 346–352. [Google Scholar] [CrossRef]
- Takase, R.; Hagiya, H.; Fujimori, T.; Yokoyama, Y.; Iio, K.; Honda, H.; Hasegawa, K.; Otsuka, F. Super acute-onset disseminated BCG infection: A case report. J. Infect. Chemother. 2023, 29, 919–921. [Google Scholar] [CrossRef] [PubMed]
- Shimizu, G.; Amano, R.; Nakamura, I.; Wada, A.; Kitagawa, M.; Toru, S. Disseminated Bacillus Calmette-Guérin (BCG) infection and acute exacerbation of interstitial pneumonitis: An autopsy case report and literature review. BMC Infect. Dis. 2020, 20, 708. [Google Scholar] [CrossRef] [PubMed]
- Ramalingam, S.; Gunasekaran, K.; Arora, H.; Muruganandam, M.; Nagaraju, S.; Padmanabhan, P. Disseminated BCG Infection after intravesical BCG Immunotherapy of Bladder Cancer. QJM 2021, 114, 410–411. [Google Scholar] [CrossRef] [PubMed]
- Catalona, W.J.; Ratliff, T.L. Bacillus Calmette-Guérin and superficial bladder cancer. Clinical experience and mechanism of action. Surg. Annu. 1990, 22, 363–378. [Google Scholar]



| Parameters | S-UTI | R-UTI |
|---|---|---|
| Median age (IQR) | 63 (14.75) | 63 (10.5) |
| Male (%) | 54 (87.09) | 29 (90.6) |
| Female (%) | 8 (12.91) | 3 (9.4) |
| Postmenopausal female (%) | 6 (9.6) | 1 (3.1) |
| DM2(%) | 20 (32.2) | 20 (62.5) |
| CKD (%) | 18 (29.03) | 9 (28.1) |
| BPH (%) | 17 (27.4) | 11 (34.3) |
| Urgency (%) | 33 (53.2) | 20 (62.5) |
| Frequency (%) | 24 (38.7) | 16 (50) |
| Hesitancy (%) | 31 (50) | 15 (46.8) |
| Dysuria (%) | 25 (40.3) | 10 (31.2) |
| Hematuria (%) | 21 (33.8) | 8 (25) |
| Pyuria (%) | 22 (35.4) | 11 (34.3) |
| Median intravesical BCG Cycles (IQR) | 8 (4) | 10 (7) |
| Median serum CRP level (mg/L) (IQR) | 28.8 (23.6) | 31 (18.3) |
| Median serum procalcitonin level (ng/mL) (IQR) | 0.2 (0.4) | 0.2 (0.5) |
| Pathogens | ||
| Escherichia coli (%) | 43 (69.35) | 14 (43.75) |
| Escherichia coli + Pseudomonas aeruginosa (%) | 5 (8.06) | 5 (15.62) |
| Klebsiella pneumonia (%) | 4 (6.45) | 5 (15.62) |
| Proteus mirabilis (%) | 4 (6.45) | - |
| Escherichia coli + Klebsiella pneumonia (%) | 2 (3.23) | 2 (6.25) |
| Pseudomonas aeruginosa (%) | 2 (3.23) | 5 (15.62) |
| Pseudomonas aeruginosa + Klebsiella pneumonia (%) | 1 (1.61) | 1 (3.12) |
| Streptococcus agalactiae (%) | 1 (1.61) | - |
| Coefficient (β) | p-Value | |||
|---|---|---|---|---|
| Variables | S-UTI | R-UTI | S-UTI | R-UTI |
| BCG cycles | 0.48 | 0.91 | 0.00002 | 0.000001 |
| CKD | −1.41 | −0.52 | 0.01 | 0.123 |
| Age | 0.03 | 0.07 | 0.65 | 0.44 |
| Serum CRP levels (mg/L) | 0.10 | 0.15 | 0.321 | 0.298 |
| Serum procalcitonin levels (ng/mL) | 0.12 | 0.11 | 0.482 | 0.502 |
| Gender | 0.21 | −0.32 | 0.539 | 0.371 |
| DM2 | 0.43 | −3.35 | 0.205 | 0.000002 |
| Variable | Group | Mean Rank | U-Statistic | p-Value |
|---|---|---|---|---|
| Serum CRP level (mg/L) | S-UTI | 50.2 | 300.1 | 0.001 |
| R-UTI | 47.3 | 290.2 | 0.003 | |
| Serum procalcitonin Level (ng/mL) | S-UTI | 48.5 | 315.4 | 0.059 |
| R-UTI | 49.1 | 310.7 | 0.082 | |
| BCG cycles | S-UTI | 60.3 | 200.4 | 0.00001 |
| R-UTI | 59.8 | 205.7 | 0.00001 |
| Comorbidity | Group | Chi-Square (χ²) | p-Value |
|---|---|---|---|
| DM2 | S-UTI | 15.12 | 0.00009 |
| R-UTI | 12.33 | 0.0004 | |
| CKD | S-UTI | 9.88 | 0.001 |
| R-UTI | 7.54 | 0.006 | |
| BPH | S-UTI | 2.45 | 0.117 |
| R-UTI | 1.88 | 0.17 | |
| Postmenopausal status | S-UTI | 2.12 | 0.145 |
| R-UTI | 1.75 | 0.187 |
| Comorbidity | Chi-Square (X²) | p-Value | Degrees of Freedom (DoF) |
|---|---|---|---|
| DM2 | 42.007 | 0.000001 | 7 |
| CKD | 20.110 | 0.005 | 7 |
| BPH | 16.080 | 0.024 | 7 |
| Postmenopausal situation | 2.924 | 0.891 | 7 |
Disclaimer/Publisher’s Note: The statements, opinions and data contained in all publications are solely those of the individual author(s) and contributor(s) and not of MDPI and/or the editor(s). MDPI and/or the editor(s) disclaim responsibility for any injury to people or property resulting from any ideas, methods, instructions or products referred to in the content. |
© 2025 by the authors. Published by MDPI on behalf of the Lithuanian University of Health Sciences. Licensee MDPI, Basel, Switzerland. This article is an open access article distributed under the terms and conditions of the Creative Commons Attribution (CC BY) license (https://creativecommons.org/licenses/by/4.0/).
Share and Cite
Barkay, O.; Keskin, E. Intravesical BCG: A Double-Edged Sword? The Untold Story of Infection Risks. Medicina 2025, 61, 379. https://doi.org/10.3390/medicina61030379
Barkay O, Keskin E. Intravesical BCG: A Double-Edged Sword? The Untold Story of Infection Risks. Medicina. 2025; 61(3):379. https://doi.org/10.3390/medicina61030379
Chicago/Turabian StyleBarkay, Orçun, and Ercüment Keskin. 2025. "Intravesical BCG: A Double-Edged Sword? The Untold Story of Infection Risks" Medicina 61, no. 3: 379. https://doi.org/10.3390/medicina61030379
APA StyleBarkay, O., & Keskin, E. (2025). Intravesical BCG: A Double-Edged Sword? The Untold Story of Infection Risks. Medicina, 61(3), 379. https://doi.org/10.3390/medicina61030379

