Cognitive Outcomes in Young Adults with Primary Arterial Hypertension: The Role of Cardiovascular Risk Factors and Hypertension-Mediated Organ Damage
Abstract
1. Introduction
2. Materials and Methods
2.1. Study Setting and Participants
2.2. Cognitive Evaluation
- Categorical verbal fluency (count variable of different animals listed in 60 s).
- Phonemic verbal fluency (number of nouns starting with “P” listed in 60 s).
- Verbal-logical story recall (VLS, verbal memory). Participants listened to a short verbal story and were asked to recall it immediately, after 30 min, and after 24 h. The story was scored on a 24-point scale for each item recited.
- Intelligence quotient (IQ) measured by the Wechsler Abbreviated Scale of Intelligence-II.
- Nonverbal CANTAB tests (described in detail in Supplementary Table S1):
- (1)
- Match to Sample Visual Search (MTS): attention and processing speed.
- (2)
- Paired Associates Learning (PAL): visual memory and new learning.
- (3)
- Reaction Time Task (RTI): motor and mental response speed, movement time, reaction time, response accuracy, and impulsivity.
- (4)
- Rapid Visual Information Processing (RVP): sustained attention.
- (5)
- Stockings of Cambridge (SOC): spatial planning, working memory.
- (6)
- Spatial Span (SSP): working memory.
- (7)
- Spatial Working Memory (SWM): working memory and strategy use.
2.3. Cardiovascular Evaluation
2.4. Statistical Analysis
2.5. Ethics
3. Results
3.1. General Results
3.2. Correlation Data
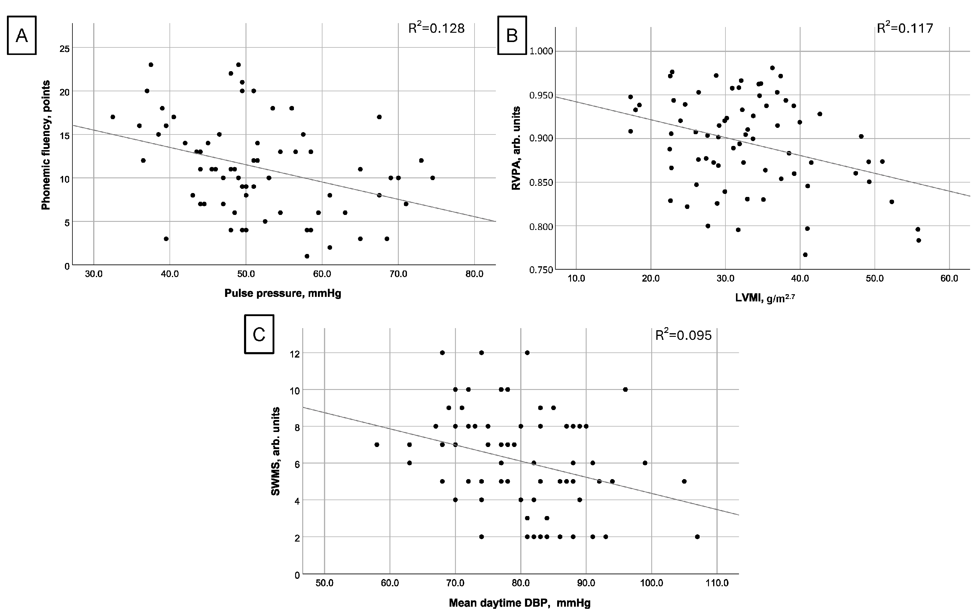
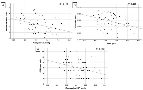
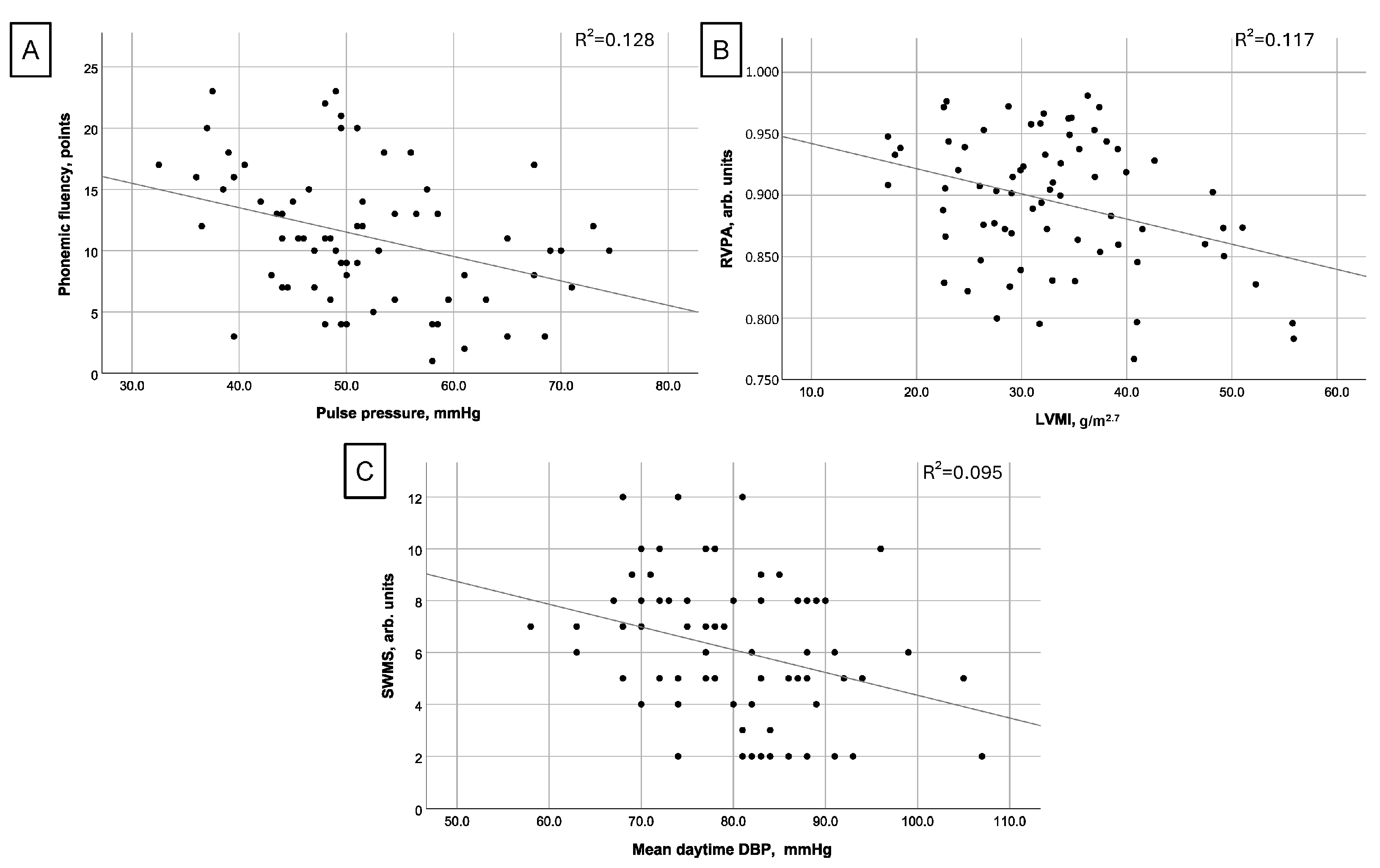
3.3. Regression Analyses Based on Results from Verbal Fluency, Verbal Memory and Intelligence Tests
3.4. Regression Analyses Based on Results from Computerized Cognitive Assessment
4. Discussion
5. Conclusions
Supplementary Materials
Author Contributions
Funding
Institutional Review Board Statement
Informed Consent Statement
Data Availability Statement
Conflicts of Interest
References
- World Health Organisation. Global Report on Hypertension. The Race against a Silent Killer; World Health Organisation: Geneva, Switzerland, 2023. [Google Scholar]
- Mancia, G.; Kreutz, R.; Brunström, M.; Burnier, M.; Grassi, G.; Januszewicz, A.; Muiesan, M.L.; Tsioufis, K.; Agabiti-Rosei, E.; Algharably, E.A.E.; et al. 2023 ESH Guidelines for the management of arterial hypertension the Task Force for the management of arterial hypertension of the European Society of Hypertension. J. Hypertens. 2023, 41, 1874–2071. [Google Scholar] [CrossRef]
- Scuteri, A.; Benetos, A.; Sierra, C.; Coca, A.; Chicherio, C.; Frisoni, G.B.; Gasecki, D.; Hering, D.; Lovic, D.; Manios, E.; et al. Routine assessment of cognitive function in older patients with hypertension seen by primary care physicians: Why and how—A decision-making support from the working group on ‘hypertension and the brain’ of the European Society of Hypertension and from the European Geriatric Medicine Society. J. Hypertens. 2021, 39, 90–100. [Google Scholar] [CrossRef]
- Bassetti, C.L.A.; Endres, M.; Sander, A.; Crean, M.; Subramaniam, S.; Carvalho, V.; Di Liberto, G.; Franco, O.H.; Pijnenburg, Y.; Leonardi, M.; et al. The European Academy of Neurology Brain Health Strategy: One brain, one life, one approach. Eur. J. Neurol. 2022, 29, 2559–2566. [Google Scholar] [CrossRef]
- World Health Organisation. Optimizing Brain Health across the Life Course: WHO Position Paper; World Health Organisation: Geneva, Switzerland, 2022. [Google Scholar]
- Yaffe, K.; Vittinghoff, E.; Pletcher, M.J.; Hoang, T.D.; Launer, L.J.; Whitmer, R.A.; Coker, L.H.; Sidney, S. early adult to midlife cardiovascular risk factors and cognitive function. Circulation 2014, 129, 1560–1567. [Google Scholar] [CrossRef] [PubMed]
- Reis, J.P.; Loria, C.M.; Launer, L.J.; Sidney, S.; Liu, K.; Jacobs, D.R.; Zhu, N.; Lloyd-Jones, D.M.; He, K.; Yaffe, K. Cardiovascular health through young adulthood and cognitive functioning in midlife. Ann. Neurol. 2013, 73, 170–179. [Google Scholar] [CrossRef] [PubMed]
- Hakala, J.O.; Pahkala, K.; Juonala, M.; Salo, P.; Kähönen, M.; Hutri-Kähönen, N.; Lehtimäki, T.; Laitinen, T.P.; Jokinen, E.; Taittonen, L.; et al. Cardiovascular Risk Factor Trajectories since Childhood and Cognitive Performance in Midlife: The Cardiovascular Risk in Young Finns Study. Circulation 2021, 143, 1949–1961. [Google Scholar] [CrossRef]
- Williams, B.; Mancia, G.; Spiering, W.; Agabiti Rosei, E.; Azizi, M.; Burnier, M.; Clement, D.L.; Coca, A.; de Simone, G.; Dominiczak, A.; et al. 2018 ESC/ESH Guidelines for the management of arterial hypertension. Eur. Heart J. 2018, 39, 3021–3104. [Google Scholar] [CrossRef] [PubMed]
- Lurbe, E.; Agabiti-Rosei, E.; Cruickshank, J.K.; Dominiczak, A.; Erdine, S.; Hirth, A.; Invitti, C.; Litwin, M.; Mancia, G.; Pall, D.; et al. 2016 European Society of Hypertension guidelines for the management of high blood pressure in children and adolescents. J. Hypertens. 2016, 34, 1887–1920. [Google Scholar] [CrossRef]
- Touboul, P.-J.; Hennerici, M.G.; Meairs, S.; Adams, H.; Amarenco, P.; Bornstein, N.; Csiba, L.; Desvarieux, M.; Ebrahim, S.; Hernandez, R.H.; et al. Mannheim carotid intima-media thickness and plaque consensus (2004–2006–2011). Cerebrovasc. Dis. 2012, 34, 290–296. [Google Scholar] [CrossRef]
- Arangalage, D.; Ederhy, S.; Dufour, L.; Joffre, J.; Van der Vynckt, C.; Lang, S.; Tzourio, C.; Cohen, A. Relationship between cognitive impairment and echocardiographic parameters: A review. J. Am. Soc. Echocardiogr. 2015, 28, 264–274. [Google Scholar] [CrossRef]
- Haring, B.; Omidpanah, A.; Suchy-Dicey, A.M.; Best, L.G.; Verney, S.P.; Shibata, D.K.; Cole, S.A.; Ali, T.; Howard, B.V.; Buchwald, D.; et al. Left Ventricular Mass, Brain Magnetic Resonance Imaging, and Cognitive Performance: Results from the Strong Heart Study. Hypertension 2017, 70, 964–971. [Google Scholar] [CrossRef]
- Moore, E.E.; Khan, O.A.; Shashikumar, N.; Pechman, K.R.; Liu, D.; Bell, S.P.; Nair, S.; Terry, J.G.; Gifford, K.A.; Anderson, A.W.; et al. Axonal Injury Partially Mediates Associations between Increased Left Ventricular Mass Index and White Matter Damage. Stroke 2022, 29, 808–816. [Google Scholar] [CrossRef] [PubMed]
- Frenzel, S.; Wittfeld, K.; Bülow, R.; Völzke, H.; Friedrich, N.; Habes, M.; Felix, S.B.; Dörr, M.; Grabe, H.J.; Bahls, M. Cardiac hypertrophy is associated with advanced brain aging in the general population. J. Am. Heart Assoc. 2021, 10, e020994. [Google Scholar] [CrossRef]
- Frenzel, S.; Bülow, R.; Dörr, M.; Felix, S.B.; Friedrich, N.; Völzke, H.; Wittfeld, K.; Grabe, H.J.; Bahls, M. Left ventricular hypertrophy as a risk factor for accelerated brain aging: Results from the Study of Health in Pomerania. Hum. Brain Mapp. 2024, 45, e26567. [Google Scholar] [CrossRef] [PubMed]
- Elias, M.F.; Torres, R.V.; Davey, A. Parameters of Left Ventricular Mass and Dementia Moving the Literature Forward. Hypertension 2018, 71, 411–412. [Google Scholar] [CrossRef] [PubMed]
- Razavi, A.C.; Fernandez, C.; He, J.; Kelly, T.N.; Krousel-Wood, M.; Whelton, S.P.; Carmichael, O.T.; Bazzano, L. Left Ventricular Mass Index Is Associated with Cognitive Function in Middle-Age: Bogalusa Heart Study. Circ. Cardiovasc. Imaging 2020, 13, e010335. [Google Scholar] [CrossRef]
- Uiterwijk, R.; Staals, J.; Huijts, M.; van Kuijk, S.M.J.; de Leeuw, P.W.; Kroon, A.A.; van Oostenbrugge, R.J. Hypertensive organ damage predicts future cognitive performance: A 9-year follow-up study in patients with hypertension. J. Clin. Hypertens. 2018, 20, 1458–1463. [Google Scholar] [CrossRef]
- Rouch, L.; Hoang, T.; Xia, F.; Sidney, S.; Lima, J.A.; Yaffe, K. Twenty-five-year change in cardiac structure and function and midlife cognition. Neurology 2022, 98, E1040–E1049. [Google Scholar] [CrossRef]
- Waldstein, S.R.; Rice, S.C.; Thayer, J.F.; Najjar, S.S.; Scuteri, A.; Zonderman, A.B. Pulse pressure and pulse wave velocity are related to cognitive decline in the baltimore longitudinal study of aging. Hypertension 2008, 51, 99–104. [Google Scholar] [CrossRef]
- Riba-Llena, I.; Nafría, C.; Filomena, J.; Tovar, J.L.; Vinyoles, E.; Mundet, X.; Jarca, C.I.; Vilar-Bergua, A.; Montaner, J.; Delgado, P. High daytime and nighttime ambulatory pulse pressure predict poor cognitive function and mild cognitive impairment in hypertensive individuals. J. Cereb. Blood Flow Metab. 2016, 36, 253–263. [Google Scholar] [CrossRef]
- Nation, D.A.; Edland, S.D.; Bondi, M.W.; Salmon, D.P.; Delano-Wood, L.; Peskind, E.R.; Quinn, J.F.; Galasko, D.R. Pulse pressure is associated with Alzheimer biomarkers in cognitively normal older adults. Neurology 2013, 81, 2024–2027. [Google Scholar] [CrossRef]
- Zang, J.; Shi, J.; Liang, J.; Zhang, X.; Wei, W.; Yao, C.; Zhuang, X.; Wu, G. Pulse Pressure, Cognition, and White Matter Lesions: A Mediation Analysis. Front. Cardiovasc. Med. 2021, 8, 654522. [Google Scholar] [CrossRef] [PubMed]
- Tarumi, T.; Thomas, B.P.; Wang, C.; Zhang, L.; Liu, J.; Turner, M.; Riley, J.; Tangella, N.; Womack, K.B.; Kerwin, D.R.; et al. Ambulatory pulse pressure, brain neuronal fiber integrity, and cerebral blood flow in older adults. J. Cereb. Blood Flow Metab. 2019, 39, 926–936. [Google Scholar] [CrossRef]
- Thorin-Trescases, N.; de Montgolfier, O.; Pinçon, A.; Raignault, A.; Caland, L.; Labbé, P.; Thorin, E. Impact of pulse pressure on cerebrovascular events leading to age-related cognitive decline. Am. J. Physiol. Heart Circ. Physiol. 2018, 314, H1214–H1224. [Google Scholar] [CrossRef] [PubMed]
- Levin, R.A.; Carnegie, M.H.; Celermajer, D.S. Pulse Pressure: An Emerging Therapeutic Target for Dementia. Front. Neurosci. 2020, 14, 669. [Google Scholar] [CrossRef] [PubMed]
- de Montgolfier, O.; Thorin-Trescases, N.; Thorin, E. Pathological Continuum From the Rise in Pulse Pressure to Impaired Neurovascular Coupling and Cognitive Decline. Am. J. Hypertens. 2020, 33, 375–390. [Google Scholar] [CrossRef]
- Hestad, K.; Engedal, K.; Schirmer, H.; Strand, B.H. The Effect of Blood Pressure on Cognitive Performance. An 8-Year Follow-Up of the Tromso Study, Comprising People Aged 45–74 Years. Front. Psychol. 2020, 11, 607. [Google Scholar] [CrossRef]
- Mahinrad, S.; Kurian, S.; Garner, C.R.; Sedaghat, S.; Nemeth, A.J.; Moscufo, N.; Higgins, J.P.; Jacobs, D.R.; Hausdorff, J.M.; Lloyd-Jones, D.M.; et al. Cumulative Blood Pressure Exposure during Young Adulthood and Mobility and Cognitive Function in Midlife. Circulation 2020, 141, 712–724. [Google Scholar] [CrossRef]
- Li, C.; Zhu, Y.; Ma, Y.; Hua, R.; Zhong, B.; Xie, W. Association of Cumulative Blood Pressure with Cognitive Decline, Dementia, and Mortality. J. Am. Coll. Ircardiol. 2022, 79, 1321–1335. [Google Scholar] [CrossRef] [PubMed]
- Mathew, A.; Mesa, R.; Nahodyl, L.; Tremblay, J.; Rundek, T.; Al Hazzouri, A.Z.; Elfassy, T. Diastolic Blood Pressure and Cognitive Functioning: Differences by Systolic Blood Pressure among US Adults. Am. J. Alzheimer’s Dis. Other Dementias® 2023, 38, 15333175231172283. [Google Scholar] [CrossRef]
- Ostchega, Y.; Fryar, C.D.; Nwankwo, T.; Nguyen, D.T. Hypertension Prevalence among Adults Aged 18 and over: United States, 2017–2018; Key Findings Data from the National Health and Nutrition Examination Survey; National Center for Health Statistics: Hyattsville, MD, USA, 2020. [Google Scholar]
- Ramoshaba, N.E.; Huisman, H.W.; Lammertyn, L.; Kotliar, K.E.; Schutte, A.E.; Smith, W. Retinal microvasculature and masked hypertension in young adults: The African-PREDICT study. Hypertens. Res. 2020, 43, 1231–1238. [Google Scholar] [CrossRef] [PubMed]

| Cognitive Test | N | Mean (SD) or Median (IQR) |
|---|---|---|
| Paper-pencil assessment | ||
| Categorical verbal fluency, points h | 76 | 22.3 ± 7.0 |
| Phonemic verbal fluency, points h | 76 | 11.2 ± 5.4 |
| VLS immediate recall, points h | 76 | 15.5 (13.1–17.4) |
| VLS 30 min recall, points h | 76 | 13.2 ± 3.9 |
| VLS 24 h recall, points h | 72 | 12.8 ± 4.1 |
| Verbal IQ, points h | 72 | 112.5 (100.3–120.0) |
| Nonverbal IQ, points h | 74 | 112 (99.8–118.3) |
| IQ, points h | 68 | 115 (105–123) |
| Computerized assessment | ||
| Match to Sample Visual Search | ||
| MTSPS82, ms c | 76 | 2131.6 (1738.5–2583.3) |
| MTSRCAMD, ms l | 76 | 2174.8 (1892.8–2623.4) |
| Paired Associates Learning | ||
| PALFAMS28, points h | 76 | 14.2 ± 3.8 |
| PALTEA28, points l | 76 | 9 (3.0–14.8) |
| Reaction Time Task | ||
| RTIFMDMT, ms l | 76 | 282.8 ± 66.1 |
| RTIFMDRT, ms l | 76 | 357.5 (338.0–386.9) |
| RTISMDMT, ms l | 76 | 242.5 (199.0–290.9) |
| RTISMDRT, ms l | 76 | 321.3 (305.6–344.4) |
| Rapid Visual Information Processing | ||
| RVPA, arb. unit h | 76 | 0.9 ± 0.1 |
| RVPMDL, ms l | 76 | 441.3 (409.0–506.5) |
| RVPPFA, arb.unit l | 76 | 0 (0–0) |
| Stockings of Cambridge | ||
| SOCITMD5, ms l | 76 | 10,283.3 (7170.0–15,765.8) |
| SOCMNM5, points l | 76 | 5.6 (5.0–6.5) |
| SOCPSMMT, points h | 76 | 9.5 (9.0–11) |
| SOCSTMD5, ms l | 76 | 0 (0–410.6) |
| Spatial Span | ||
| SSPFSL, points h | 76 | 7 (6–8) |
| Spatial Working Memory | ||
| SWMBE4, points l | 76 | 0 (0–0) |
| SWMBE468, points l | 76 | 3 (0–11) |
| SWMBE6, points l | 76 | 0 (0–2) |
| SWMBE8, points l | 76 | 1 (0–9) |
| SWMS, arb. unit l | 76 | 6 (4–8) |
| Characteristic | Mean (SD) or Median (IQR) |
|---|---|
| Age, years | 36.5 (18.4–42.0) |
| BMI, kg/m2 | 28.8 ± 5.0 |
| SBP, mmHg | 134 ± 16 |
| DBP, mmHg | 80 (75–89) |
| PP, mmHg | 50 (45–58) |
| Creatinine, µmol/L | 79.3 ± 11.4 |
| Uric acid, µmol/L | 384.2 ± 78.9 |
| uACR, mg/mmol | 0.5 (0.3–0.8) |
| Cholesterol, mmol/l | 5.2 ± 1.2 |
| LDL, mmol/L | 3.3 ± 1.0 |
| HDL, mmol/L | 1.2 ± 0.3 |
| Triglycerides, mmol/L | 1.4 (0.9–2.0) |
| LVM, g | 162.6 ± 43.4 |
| LVMI, g/m2.7 | 33.1 ± 8.9 |
| RWT | 0.38 ± 0.07 |
| EF, % | 67 ± 9 |
| 24-h SBP, mmHg | 128 ± 10 |
| 24-h DBP, mmHg | 78 ± 9 |
| 24-h MAP, mmHg | 99 ± 10 |
| Daytime SBP, mmHg | 131 ± 10 |
| Daytime DBP, mmHg | 80 ± 10 |
| Daytime MAP, mmHg | 102 ± 10 |
| Nighttime SBP, mmHg | 117 ± 10 |
| Nighttime DBP, mmHg | 68 (62.8–72.0) |
| Nighttime MAP, mmHg | 90 ± 9 |
| SBP dipping, % | 10.4 ± 5.6 |
| DBP dipping, % | 14.5 ± 6.0 |
| IMT (left), mm | 0.58 (0.48–0.69) |
| IMT (right), mm | 0.59 ± 0.14 |
| IMT (median), mm | 0.60 ± 0.14 |
Disclaimer/Publisher’s Note: The statements, opinions and data contained in all publications are solely those of the individual author(s) and contributor(s) and not of MDPI and/or the editor(s). MDPI and/or the editor(s) disclaim responsibility for any injury to people or property resulting from any ideas, methods, instructions or products referred to in the content. |
© 2024 by the authors. Licensee MDPI, Basel, Switzerland. This article is an open access article distributed under the terms and conditions of the Creative Commons Attribution (CC BY) license (https://creativecommons.org/licenses/by/4.0/).
Share and Cite
Puteikis, K.; Ažukaitis, K.; Dadurkevičienė, D.; Mikučionytė, D.; Simanauskas, K.; Šileikienė, V.; Masiliūnas, R.; Jankauskienė, A.; Mameniškienė, R. Cognitive Outcomes in Young Adults with Primary Arterial Hypertension: The Role of Cardiovascular Risk Factors and Hypertension-Mediated Organ Damage. Medicina 2024, 60, 1353. https://doi.org/10.3390/medicina60081353
Puteikis K, Ažukaitis K, Dadurkevičienė D, Mikučionytė D, Simanauskas K, Šileikienė V, Masiliūnas R, Jankauskienė A, Mameniškienė R. Cognitive Outcomes in Young Adults with Primary Arterial Hypertension: The Role of Cardiovascular Risk Factors and Hypertension-Mediated Organ Damage. Medicina. 2024; 60(8):1353. https://doi.org/10.3390/medicina60081353
Chicago/Turabian StylePuteikis, Kristijonas, Karolis Ažukaitis, Danguolė Dadurkevičienė, Dovilė Mikučionytė, Kazys Simanauskas, Vaida Šileikienė, Rytis Masiliūnas, Augustina Jankauskienė, and Rūta Mameniškienė. 2024. "Cognitive Outcomes in Young Adults with Primary Arterial Hypertension: The Role of Cardiovascular Risk Factors and Hypertension-Mediated Organ Damage" Medicina 60, no. 8: 1353. https://doi.org/10.3390/medicina60081353
APA StylePuteikis, K., Ažukaitis, K., Dadurkevičienė, D., Mikučionytė, D., Simanauskas, K., Šileikienė, V., Masiliūnas, R., Jankauskienė, A., & Mameniškienė, R. (2024). Cognitive Outcomes in Young Adults with Primary Arterial Hypertension: The Role of Cardiovascular Risk Factors and Hypertension-Mediated Organ Damage. Medicina, 60(8), 1353. https://doi.org/10.3390/medicina60081353

