Clinical Features and Survival Outcome in Aggressive-Type Adult T-Cell Leukemia/Lymphoma Patients: Real-Life Experience of a Single Center from an HTLV-1 Endemic Country
Abstract
1. Introduction
2. Materials and Methods
3. Results
3.1. Demographic and Clinical Features
3.2. Laboratory Characteristics
3.3. Disease Outcomes
3.3.1. Complications
3.3.2. Response to Chemotherapy
3.3.3. Survival
4. Discussion
5. Conclusions
Author Contributions
Funding
Institutional Review Board Statement
Informed Consent Statement
Data Availability Statement
Acknowledgments
Conflicts of Interest
References
- Uchiyama, T.; Yodoi, J.; Sagawa, K.; Takatsuki, K.; Uchino, H. Adult T-cell leukemia: Clinical and hematologic features of 16 cases. Blood 1977, 50, 481–492. [Google Scholar] [CrossRef] [PubMed]
- Gessain, A.; Cassar, O. Epidemiological Aspects and World Distribution of HTLV-1 Infection. Front. Microbiol. 2012, 3, 388. [Google Scholar] [CrossRef] [PubMed]
- Paun, L.; Ispas, D.; del Mistro, A.; Chieco-Bianchi, L. HTLV-I in Romania. Eur. J. Haematol. 1994, 52, 117–118. [Google Scholar] [CrossRef] [PubMed]
- Iwanaga, M.; Watanabe, T.; Yamaguchi, K. Adult T-cell leukemia: A review of epidemiological evidence. Front. Microbiol. 2012, 3, 322. [Google Scholar] [CrossRef] [PubMed]
- Iwanaga, M.; Watanabe, T.; Utsunomiya, A.; Okayama, A.; Uchimaru, K.; Koh, K.R.; Ogata, M.; Kikuchi, H.; Sagara, Y.; Uozumi, K.; et al. Human T-cell leukemia virus type I (HTLV-1) proviral load and disease progression in asymptomatic HTLV-1 carriers: A nationwide prospective study in Japan. Blood 2010, 116, 1211–1219. [Google Scholar] [CrossRef] [PubMed]
- Tarokhian, H.; Rahimi, H.; Mosavat, A.; Shirdel, A.; Rafatpanah, H.; Akbarin, M.M.; Bari, A.; Ramezani, S.; Rezaee, S.A. HTLV-1-host interactions on the development of adult T cell leukemia/lymphoma: Virus and host gene expressions. BMC Cancer 2018, 18, 1287. [Google Scholar] [CrossRef] [PubMed]
- Firouzi, S.; Farmanbar, A.; Nakai, K.; Iwanaga, M.; Uchimaru, K.; Utsunomiya, A.; Suzuki, Y.; Watanabe, T. Clonality of HTLV-1–infected T cells as a risk indicator for development and progression of adult T-cell leukemia. Blood Adv. 2017, 1, 1195–1205. [Google Scholar] [CrossRef]
- Brites, C.; Grassi, M.F.; Quaresma, J.A.S.; Ishak, R.; Vallinoto, A.C.R. Pathogenesis of HTLV-1 infection and progression biomarkers: An overview. Braz. J. Infect. Dis. 2021, 25, 101594. [Google Scholar] [CrossRef]
- Futsch, N.; Prates, G.; Mahieux, R.; Casseb, J.; Dutartre, H. Cytokine networks dysregulation during HTLV-1 infection and associated diseases. Viruses 2018, 10, 691. [Google Scholar] [CrossRef]
- Shimoyama, M. Diagnostic criteria and classification of clinical subtypes of adult T-cell leukaemia-lymphoma. Br. J. Haematol. 1991, 79, 428–437. [Google Scholar] [CrossRef]
- Kawano, N.; Nagahiro, Y.; Yoshida, S.; Tahara, Y.; Himeji, D.; Kuriyama, T.; Tochigi, T.; Nakaike, T.; Shimokawa, T.; Yamashita, K.; et al. Clinical features and treatment outcomes of opportunistic infections among human T-lymphotrophic virus type 1 (HTLV-1) carriers and patients with adult T-cell leukemia-lymphoma (ATL) at a single institution from 2006 to 2016. J. Clin. Exp. Hematop. 2019, 59, 156–167. [Google Scholar] [CrossRef] [PubMed]
- Chen, P.T.; Onukogu, D.; Gotlieb, G.; Chaudhry, R.; Jaswani, V.; Josan, K.; Akhtar, C.; Wang, J.C. HTLV-1-Associated Lymphoma Presented as Massive Lymphadenopathy. J. Investig. Med. High Impact Case Rep. 2021, 9, 232470962110132. [Google Scholar] [CrossRef]
- Iordan, I.; Onisâi, M.; Vlădăreanu, A.M.; Mambet, C.; Marinescu, E.C.; Nistor, R.; Bumbea, H. Particularities of Neurological Manifestations in Adult T-Cell Leukemia/Lymphoma: Need for a Multidisciplinary Approach—A Narrative Review. Medicina 2022, 58, 1553. [Google Scholar] [CrossRef] [PubMed]
- Hurabielle, C.; Battistella, M.; Ram-Wolff, C.; Fite, C.; Meignin, V.; Rivet, J.; Vignon-Pennamen, M.D.; de Risi-Pugliese, T.; Raffoux, E.; Arnulf, B.; et al. Cutaneous presentation of adult T-cell leukemia/lymphoma (ATLL). Single-center study on 37 patients in metropolitan France between 1996 and 2016. Ann. Dermatol. Venereol. 2018, 145, 405–412. [Google Scholar] [CrossRef]
- Koethe, J.; Kulesza, P. Hypercalcemia and Lymphadenopathy. Am. J. Med. 2006, 119, 920–922. [Google Scholar] [CrossRef]
- Cook, L.B.; Fuji, S.; Hermine, O.; Bazarbachi, A.; Ramos, J.C.; Ratner, L.; Horwitz, S.; Fields, P.; Tanase, A.; Bumbea, H.; et al. Revised Adult T-Cell Leukemia-Lymphoma International Consensus Meeting Report. J. Clin. Oncol. 2019, 37, 677–687. [Google Scholar] [CrossRef]
- El Hajj, H.; Tsukasaki, K.; Cheminant, M.; Bazarbachi, A.; Watanabe, T.; Hermine, O. Novel Treatments of Adult T Cell Leukemia Lymphoma. Front. Microbiol. 2020, 11, 1062. [Google Scholar] [CrossRef]
- Cheson, B.D.; Fisher, R.I.; Barrington, S.F.; Cavalli, F.; Schwartz, L.H.; Zucca, E.; Lister, A.; Alliance, Australasian Leukaemia and Lymphoma Group; Eastern Cooperative Oncology Group; European Mantle Cell Lymphoma Consortium; et al. Recommendations for initial evaluation, staging, and response assessment of Hodgkin and non-Hodgkin lymphoma: The Lugano classification. J. Clin. Oncol. 2014, 32, 3059–3068. [Google Scholar] [CrossRef] [PubMed]
- Fukushima, T.; Nomura, S.; Shimoyama, M.; Shibata, T.; Imaizumi, Y.; Moriuchi, Y.; Tomoyose, T.; Uozumi, K.; Kobayashi, Y.; Fukushima, N.; et al. Japan Clinical Oncology Group (JCOG) prognostic index and characterization of long-term survivors of aggressive adult T-cell leukaemia-lymphoma (JCOG0902A). Br. J. Haematol. 2014, 166, 739–748. [Google Scholar] [CrossRef]
- Tsukasaki, K.; Hermine, O.; Bazarbachi, A.; Ratner, L.; Ramos, J.C.; Harrington, W., Jr.; O’Mahony, D.; Janik, J.E.; Bittencourt, A.L.; Taylor, G.P.; et al. Definition, prognostic factors, treatment, and response criteria of adult T-cell leukemia-lymphoma: A proposal from an international consensus meeting. J. Clin. Oncol. 2009, 27, 453–459. [Google Scholar] [CrossRef]
- Laperche, S.; Worms, B.; Pillonel, J.; European Network of Transfusion Medecine Societies; Steering Committee. Blood safety strategies for human T-cell lymphotropic virus in Europe. Vox Sang. 2009, 96, 104–110. [Google Scholar] [CrossRef]
- Moţoiu, I.R.; Pecek, M.M.; Dumitrescu, A.; Coliţă, A.; Necula, A.; Moldoveanu, E.; Coliţă, D. Introduction to the study of adult T-cell leukemia and HTLV-I sero-positivity in Romania. Rom. J. Intern. Med. 1993, 31, 199–205. [Google Scholar]
- Patrascu, I.V.; Dumitrescu, O. The Epidemic of Human Immunodeficiency Virus Infection in Romanian Children. AIDS Res. Hum. Retroviruses 1993, 9, 99–104. [Google Scholar] [CrossRef]
- Hino, S. Establishment of the milk-borne transmission as a key factor for the peculiar endemicity of human T-lymphotropic virus type 1 (HTLV-1): The ATL prevention program nagasaki. Proc. Jpn. Acad. Ser. B Phys. Biol. Sci. 2011, 87, 152–166. [Google Scholar] [CrossRef] [PubMed]
- Rosadas, C.; Malik, B.; Taylor, G.P.; Puccioni-Sohler, M. Estimation of HTLV-1 vertical transmission cases in Brazil per annum. PLoS Negl. Trop. Dis. 2018, 12, e0006913. [Google Scholar] [CrossRef]
- Vieira, B.A.; Bidinotto, A.B.; Dartora, W.J.; Pedrotti, L.G.; de Oliveira, V.M.; Wendland, E.M. Prevalence of human T-lymphotropic virus type 1 and 2 (HTLV-1/-2) infection in pregnant women in Brazil: A systematic review and meta-analysis. Sci. Rep. 2021, 11, 15367. [Google Scholar] [CrossRef] [PubMed]
- Bohiltea, R.; Turcan, N.; Berceanu, C.; Munteanu, O.; Georgescu, T.A.; Ducu, I.; Neacsu, A.; Furtunescu, F. Implications of human T lymphotropic virus in pregnancy: A case report and a review of the diagnostic criteria and management proposal. Exp. Ther. Med. 2020, 21, 82. [Google Scholar] [CrossRef] [PubMed]
- Imaizumi, Y.; Iwanaga, M.; Nosaka, K.; Ishitsuka, K.; Ishizawa, K.; Ito, S.; Amano, M.; Ishida, T.; Uike, N.; Utsunomiya, A.; et al. Prognosis of patients with adult T-cell leukemia/lymphoma in Japan: A nationwide hospital-based study. Cancer Sci. 2020, 111, 4567–4580. [Google Scholar] [CrossRef]
- Shah, U.A.; Shah, N.; Qiao, B.; Acuna-Villaorduna, A.; Pradhan, K.; Adrianzen Herrera, D.; Sica, R.A.; Shastri, A.; Mantzaris, I.; Derman, O.; et al. Epidemiology and survival trend of adult T-cell leukemia/lymphoma in the United States. Cancer 2020, 126, 567–574. [Google Scholar] [CrossRef]
- Malpica, L.; Enriquez, D.J.; Castro, D.A.; Peña, C.; Idrobo, H.; Fiad, L.; Prates, M.; Otero, V.; Biglione, M.; Altamirano, M.; et al. Real-World Data on Adult T-Cell Leukemia/Lymphoma in Latin America: A Study From the Grupo de Estudio Latinoamericano de Linfoproliferativos. JCO Glob. Oncol. 2021, 7, 1151–1166. [Google Scholar] [CrossRef]
- Rosadas, C.; Puccioni-Sohler, M.; Oliveira, A.C.P.; Casseb, J.; Sousa, M.; Taylor, G.P. Adult T-cell leukaemia/lymphoma in Brazil: A rare disease or rarely diagnosed? Br. J. Haematol. 2020, 188, e46–e49. [Google Scholar] [CrossRef] [PubMed]
- de Mendoza, C.; Rando, A.; Miró, E.; Pena, M.J.; Rodríguez-Avial, I.; Ortega, D.; González-Praetorius, A.; Reina, G.; Pintos, I.; Pozuelo, M.J.; et al. Adult T-cell leukemia/lymphoma in HTLV-1 non-endemic regions. J. Clin. Virol. 2023, 167, 105578. [Google Scholar] [CrossRef] [PubMed]
- Nosaka, K.; Iwanaga, M.; Imaizumi, Y.; Ishitsuka, K.; Ishizawa, K.; Ishida, Y.; Amano, M.; Ishida, T.; Uike, N.; Utsunomiya, A.; et al. Epidemiological and clinical features of adult T-cell leukemia–lymphoma in Japan, 2010–2011: A nationwide survey. Cancer Sci. 2017, 108, 2478–2486. [Google Scholar] [CrossRef] [PubMed]
- Ito, S.; Iwanaga, M.; Nosaka, K.; Imaizumi, Y.; Ishitsuka, K.; Amano, M.; Utsunomiya, A.; Tokura, Y.; Watanabe, T.; Uchimaru, K.; et al. Epidemiology of adult T-cell leukemia-lymphoma in Japan: An updated analysis, 2012–2013. Cancer Sci. 2021, 112, 4346–4354. [Google Scholar] [CrossRef] [PubMed]
- Ahmad, S.; Kuraganti, G.; Steenkamp, D. Hypercalcemic crisis: A clinical review. Am. J. Med. 2015, 128, 239–245. [Google Scholar] [CrossRef] [PubMed]
- Beltran, B.; Quiñones, P.; Morales, D.; Cotrina, E.; Castillo, J.J. Different prognostic factors for survival in acute and lymphomatous adult T-cell leukemia/lymphoma. Leuk. Res. 2011, 35, 334–339. [Google Scholar] [CrossRef] [PubMed]
- Tsukasaki, K.; Utsunomiya, A.; Fukuda, H.; Shibata, T.; Fukushima, T.; Takatsuka, Y.; Ikeda, S.; Masuda, M.; Nagoshi, H.; Ueda, R.; et al. VCAP-AMP-VECP compared with biweekly CHOP for adult T-cell leukemia-lymphoma: Japan Clinical Oncology Group study JCOG9801. J. Clin. Oncol. 2007, 25, 5458–5464. [Google Scholar] [CrossRef] [PubMed]
- Katsuya, H.; Yamanaka, T.; Ishitsuka, K.; Utsunomiya, A.; Sasaki, H.; Hanada, S.; Eto, T.; Moriuchi, Y.; Saburi, Y.; Miyahara, M.; et al. Prognostic index for acute- and lymphoma-type adult T-cell leukemia/lymphoma. J. Clin. Oncol. 2012, 30, 1635–1640. [Google Scholar] [CrossRef] [PubMed]
- Borba, M.M.N.; Farre, L.; Bittencourt, A.L.; Castro-Amarante, M.F.; Galvão-Castro, B.; Santos, L.A.; Araújo, T.H.A.; Alcantara, L.C.J.; Barreto, F.K. Assessment of Genetic Diversity of HTLV-1 ORF-I Sequences Collected from Patients with Different Clinical Profiles. AIDS Res. Hum. Retroviruses 2019, 35, 881–884. [Google Scholar] [CrossRef]
- Afonso, P.V.; Cassar, O.; Gessain, A. Molecular epidemiology, genetic variability and evolution of HTLV-1 with special emphasis on African genotypes. Retrovirology 2019, 16, 39. [Google Scholar] [CrossRef]

| Characteristics at Diagnosis | Total (n = 20) | Acute-Type (n = 8, 40%) | Lymphoma-Type (n = 12, 60%) | p Value |
|---|---|---|---|---|
| Age | ||||
| median | 40.5 y | 47.5 y | 39.5 y | 0.650 |
| (range) | (20–72 y) | (20–72 y) | (35–57 y) | |
| Sex | ||||
| Male | 6 | 3 | 3 | 0.642 |
| Female | 14 | 5 | 9 | |
| Stage | ||||
| I–II | 1 | 0 | 1 | 1.000 |
| III–IV | 19 | 8 | 11 | |
| JCOG-PI | ||||
| Moderate-risk | 12 | 2 | 10 | 0.019 |
| High-risk | 8 | 6 | 2 | |
| B symptoms | ||||
| Yes | 8 | 0 | 8 | 0.055 |
| No | 3 | 2 | 1 | |
| N/A | 9 | 6 | 3 | |
| ECOG | ||||
| 0–1 | 11 | 2 | 9 | 0.065 |
| 2–4 | 9 | 6 | 3 | |
| Lymphadenopathies | ||||
| Yes | 15 | 4 | 11 | 0.109 |
| No | 5 | 4 | 1 | |
| Hepatomegaly | ||||
| Yes | 15 | 8 | 7 | 0.055 |
| No | 5 | 0 | 5 | |
| Splenomegaly | 13 | 6 | 7 | |
| Yes | 13 | 6 | 7 | 0.642 |
| No | 7 | 2 | 5 | |
| Extranodal involvement | ||||
| Bone marrow | 0.580 | |||
| Yes | 10 | 5 | 5 | |
| No | 5 | 1 | 4 | |
| N/A | 5 | 2 | 3 | |
| Skin | 3 | 3 | 0 | 0.049 |
| Lung | 3 | 1 | 2 | 1.000 |
| CNS | 1 | 0 | 1 | 1.000 |
| Digestive tract | 1 | 1 | 0 | 0.400 |
| Kidneys | 1 | 0 | 1 | 1.000 |
| Parotids | 1 | 0 | 1 | 1.000 |
| Sinuses | 2 | 0 | 2 | 0.495 |
| Muscles | 1 | 0 | 1 | 1.000 |
| Infectious comorbidities | ||||
| Hepatitis B virus | 2 | 1 | 1 | 1.000 |
| Hepatitis C Virus | 3 | 1 | 2 | 1.000 |
| Tuberculosis | 4 | 0 | 4 | 0.117 |
| Laboratory Tests | Total (n = 20) | Acute-Type (n = 8) | Lymphoma-Type (n = 12) | p Value |
|---|---|---|---|---|
| Median (Range) | Median (Range) | Median (Range) | ||
| Complete blood cell count | ||||
| WBC (/mm3) | 10,950 (3990–331,620) | 33,400 (5600–331,620) | 9170 (3990–17,600) | 0.020 |
| Neutrophils (/mm3) | 7445 (3290–36,478) | 11,699 (3900–36,478) | 7008 (3290–10,620) | 0.170 |
| Lymphocytes (/mm3) | 2350 (330–291,825) | 19,100 (1200–291,825) | 1291 (330–4256) | 0.020 |
| Hemoglobin (g/dl) | 13.00 (10.30–16.90) | 13.45 (12.10–16.90) | 12.45 (10.30–14.70) | 0.650 |
| Platelets (/mm3) | 272,500 (37,000–750,000) | 178,500 (37,000–541,000) | 291,500 (192,000–750,000) | 0.170 |
| Blood biochemistry | ||||
| Corrected calcium (mg/dL) | 10.32 (8.70–19.64) | 12.56 (10.33–19.64) | 9.61 (8.70–15.54) | 0.001 |
| LDH (U/L) | 476.5 (180–2496) | 747 (299–2496) | 420.5 (180–1791) | 0.170 |
| Uric acid (mg/dL) | 6.8 (2.1–11.6) | 8.1 (3.3–11.6) | 4.5 (2.1–8.4) | 0.070 |
| Albumin (g/dL) | 3.56 (2.20–4.70) | 3.45 (2.30–3.80) | 3.66 (2.20–4.70) | 0.650 |
| Total bilirubin (mg/dL) | 0.62 (0.18–24) | 1.72 (0.61–24) | 0.49 (0.18–1.27) | 0.050 |
| ALT (U/L) | 39 (11–165) | 46.5 (11–100) | 34.5 (20–165) | 0.650 |
| AST (U/L) | 39.5 (17–248) | 89 (23–248) | 33.5 (17–131) | 0.650 |
| Creatinine (mg/dL) | 0.80 (0.50–3.40) | 1.14 (0.71–3.40) | 0.80 (0.50–1.20) | 0.005 |
| BUN score (mg/dL) | 10.32 (7.93–58.29) | 24.50 (12.00–58.29) | 12.84 (7.93–28.00) | 0.170 |
| Type of Complication | At Diagnosis | During Follow-Up |
|---|---|---|
| Infections | ||
| Candida albicans | 3 | 1 |
| Clostridium difficile | 0 | 7 |
| Other bacterial infections | 2 | 10 |
| Herpes zoster | 1 | 0 |
| SARS-CoV-2 | 0 | 1 |
| Infections after allo-HSCT | ||
| CMV reactivation | 0 | 2 |
| BK virus | 0 | 1 |
| Symptomatic hypercalcemia | 5 | 5 |
| Compression syndrome | ||
| Mediastinal | 3 | 1 |
| Upper respiratory airways | 0 | 1 |
| Abdominal vessels and extrinsic biliary duct | 1 | 0 |
| Neurological | ||
| Metabolic encephalopathy | 2 | 4 |
| CNS infiltration | 1 | 4 |
| Convulsive seizures due to hyponatremia | 0 | 1 |
| PRES | 0 | 1 |
| Hepatic | ||
| Cytolysis | 2 | 8 |
| Cholestasis | 2 | 5 |
| Acute kidney injury | 2 | 4 |
| Mucositis | 0 | 4 |
| Extranodal infiltration (besides bone marrow) | 7 | 6 |
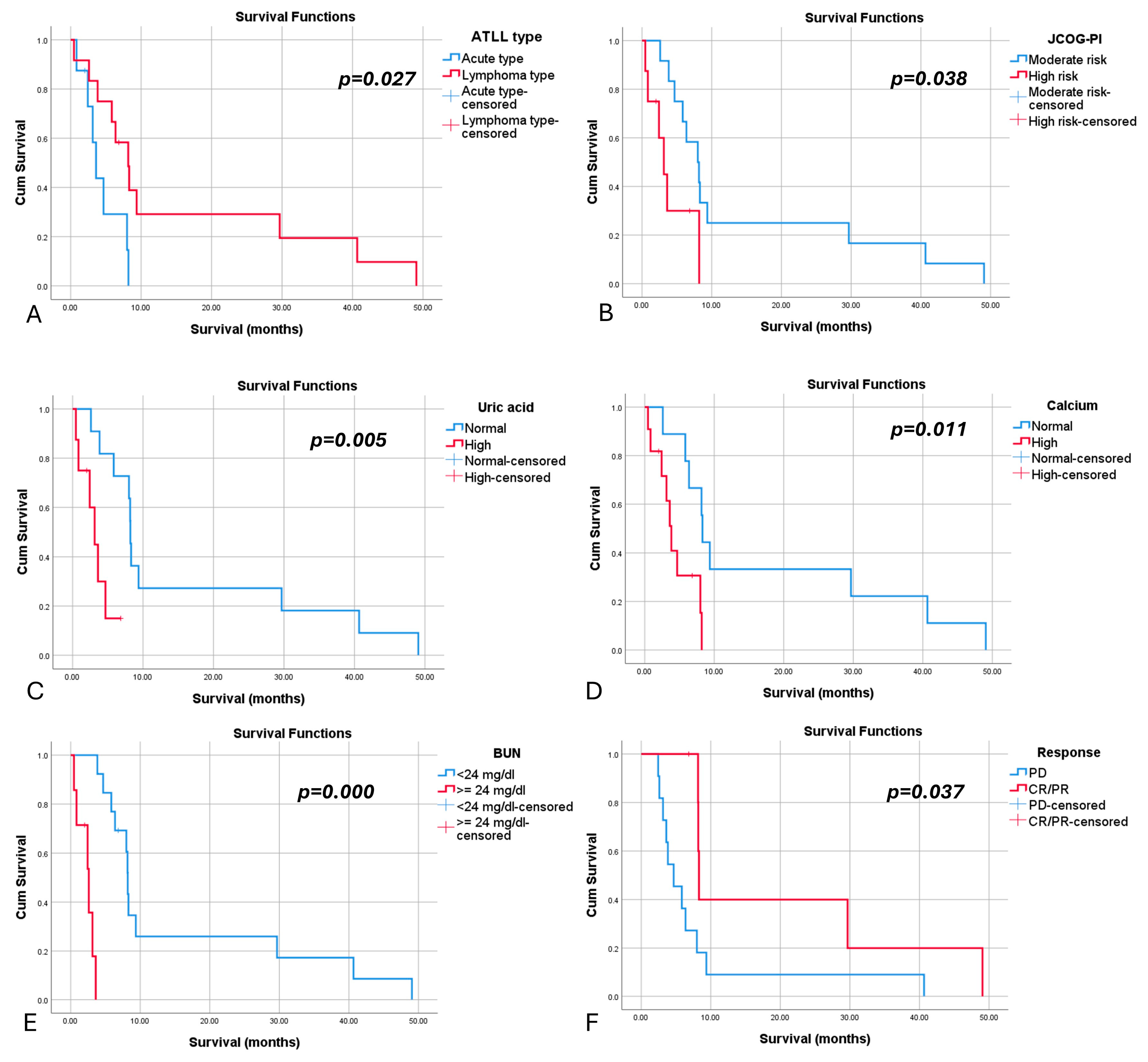
| Variable | Median Survival (95% CI) (Months) | Log Rank p Value |
|---|---|---|
| ATLL type | ||
| Acute | 3.600 (2.413–4.787) | 0.027 |
| Lymphoma | 8.167 (5.280–11.053) | |
| JCOG-PI | ||
| Moderate-risk | 8.000 (4.945–11.055) | 0.038 |
| High-risk | 3.130 (1.416–4.844) | |
| Extranodal involvement | ||
| No | 8.000 (5.107–10.893) | |
| Yes | 4.667 (1.890–7.443) | 0.887 |
| Calcium | ||
| Normal | 8.300 (7.910–8.690) | 0.011 |
| High | 3.830 (2.784–4.876) | |
| LDH | ||
| <2×ULN | 9.367 (2.119–16.614) | 0.362 |
| ≥2×ULN | 6.367 (1.759–10.974) | |
| Uric acid | ||
| Normal | 8.200 (7.876–8.524) | 0.005 |
| High | 3.130 (1.416–4.844) | |
| BUN | ||
| Normal | 8.200 (7.876–8.524) | 0.000 |
| High | 2.600 (0.681–4.519) | |
| Albumin | ||
| <3.5g/dL | 2.600 (0.825–4.217) | 0.694 |
| ≥3.5g/dL | 8.167 (5.571–10.762) | |
| Total bilirubin | ||
| Normal | 8.000 (4.398–11.602) | 0.327 |
| High | 3.600 (0.000–9.251) | |
| Treatment | ||
| CHOP, CHOP-like | 4.667 (1.571–7.762) | 0.932 |
| LSG15 | 8.200 (2.121–14.279) | |
| Response | ||
| CR/PR | 8.300 (8.085–8.515) | 0.037 |
| PD | 4.667 (2.257–7.076) |
Disclaimer/Publisher’s Note: The statements, opinions and data contained in all publications are solely those of the individual author(s) and contributor(s) and not of MDPI and/or the editor(s). MDPI and/or the editor(s) disclaim responsibility for any injury to people or property resulting from any ideas, methods, instructions or products referred to in the content. |
© 2024 by the authors. Licensee MDPI, Basel, Switzerland. This article is an open access article distributed under the terms and conditions of the Creative Commons Attribution (CC BY) license (https://creativecommons.org/licenses/by/4.0/).
Share and Cite
Iordan, I.; Vlădăreanu, A.-M.; Mambet, C.; Onisâi, M.; Cîșleanu, D.; Bumbea, H. Clinical Features and Survival Outcome in Aggressive-Type Adult T-Cell Leukemia/Lymphoma Patients: Real-Life Experience of a Single Center from an HTLV-1 Endemic Country. Medicina 2024, 60, 872. https://doi.org/10.3390/medicina60060872
Iordan I, Vlădăreanu A-M, Mambet C, Onisâi M, Cîșleanu D, Bumbea H. Clinical Features and Survival Outcome in Aggressive-Type Adult T-Cell Leukemia/Lymphoma Patients: Real-Life Experience of a Single Center from an HTLV-1 Endemic Country. Medicina. 2024; 60(6):872. https://doi.org/10.3390/medicina60060872
Chicago/Turabian StyleIordan, Iuliana, Ana-Maria Vlădăreanu, Cristina Mambet, Minodora Onisâi, Diana Cîșleanu, and Horia Bumbea. 2024. "Clinical Features and Survival Outcome in Aggressive-Type Adult T-Cell Leukemia/Lymphoma Patients: Real-Life Experience of a Single Center from an HTLV-1 Endemic Country" Medicina 60, no. 6: 872. https://doi.org/10.3390/medicina60060872
APA StyleIordan, I., Vlădăreanu, A.-M., Mambet, C., Onisâi, M., Cîșleanu, D., & Bumbea, H. (2024). Clinical Features and Survival Outcome in Aggressive-Type Adult T-Cell Leukemia/Lymphoma Patients: Real-Life Experience of a Single Center from an HTLV-1 Endemic Country. Medicina, 60(6), 872. https://doi.org/10.3390/medicina60060872

