A 2-Year Randomized Clinical Trial of Three Bonding Techniques in Non-Carious Cervical Lesions
Abstract
1. Introduction
2. Materials and Methods
Statistical Analysis
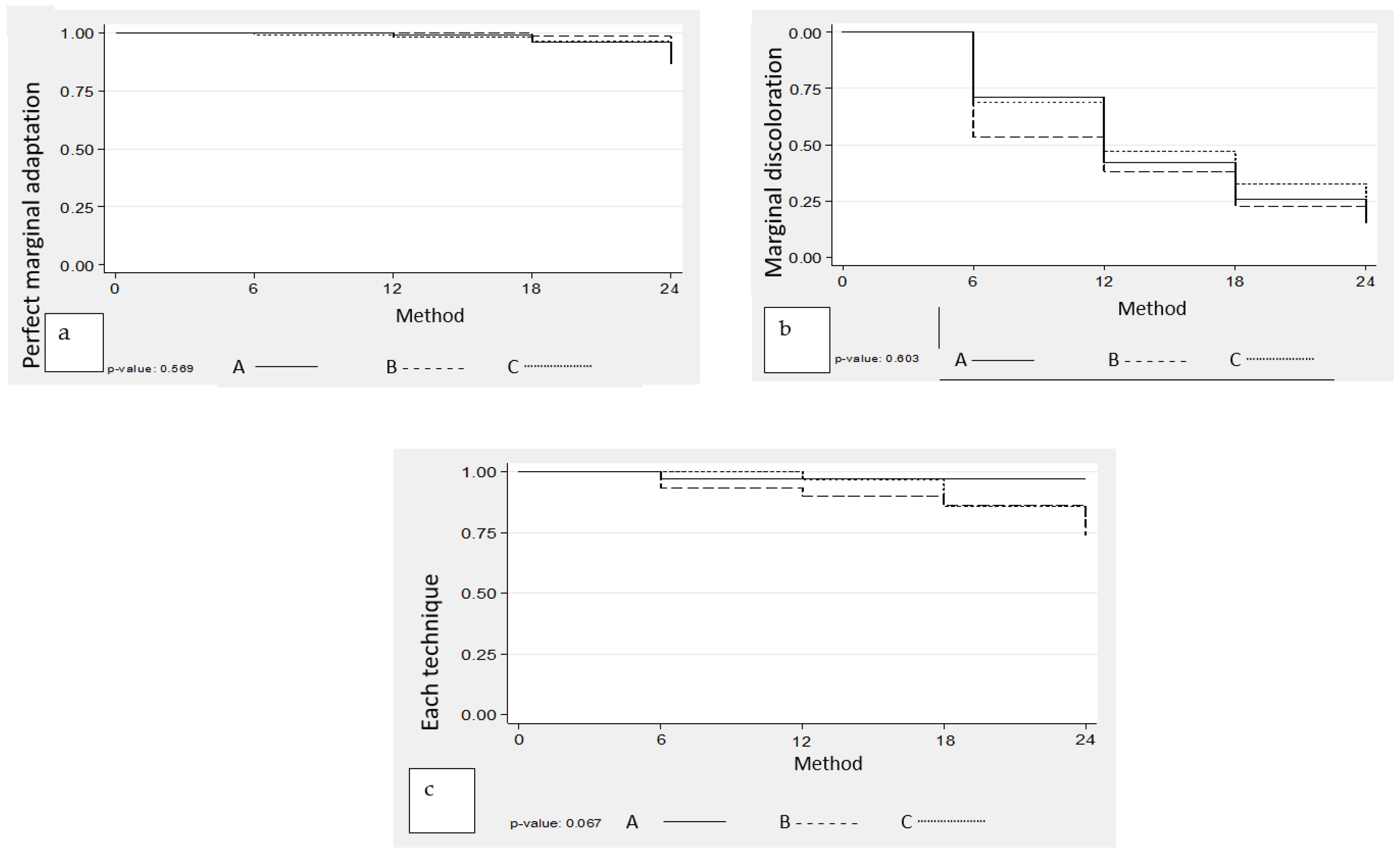
3. Results
4. Discussion
5. Conclusions
Author Contributions
Funding
Institutional Review Board Statement
Informed Consent Statement
Data Availability Statement
Conflicts of Interest
References
- Perdigão, J.; Araujo, E.; Ramos, R.Q.; Gomes, G.; Pizzolotto, L. Adhesive dentistry: Current concepts and clinical considerations. J. Esthet. Restor. Dent. 2021, 33, 51–68. [Google Scholar] [CrossRef]
- Scotti, N.; Bergantin, E.; Giovannini, R.; Delbosco, L.; Breschi, L.; Migliaretti, G.; Pasqualini, D.; Berutti, E. Influence of multi-step etch-and-rinse versus self-etch adhesive systems on the post-operative sensitivity in medium-depth carious lesions: An in vivo study. Am. J. Dent. 2015, 28, 214–218. [Google Scholar]
- Szesz, A.; Parreiras, S.; Reis, A.; Loguercio, A. Selective enamel etching in cervical lesions for self-etch adhesives: A systematic review and meta-analysis. J. Dent. 2016, 53, 1–11. [Google Scholar] [CrossRef]
- Ozel, E.; Say, E.; Yurdaguven, H.; Soyman, M. One-year clinical evaluation of a two-step self-etch adhesive with and without additional enamel etching technique in cervical lesions. Aust. Dent. J. 2010, 55, 156–161. [Google Scholar] [CrossRef]
- Pena, C.; Rodrigues, J.; Ely, C.; Giannini, M.; Reis, A. Two-year Randomized Clinical Trial of Self-etching Adhesives and Selective Enamel Etching. Oper. Dent. 2016, 41, 249–257. [Google Scholar] [CrossRef]
- Peumans, M.; De Munck, J.; Van Landuyt, K.; Poitevin, A.; Lambrechts, P.; Van Meerbeek, B. Eight-year clinical evaluation of a 2-step self-etch adhesive with and without selective enamel etching. Dent. Mater. 2010, 26, 1176–1184. [Google Scholar] [CrossRef]
- Van Meerbeek, B.; Yoshihara, K.; Yoshida, Y.; Mine, A.; De Munck, J.; Van Landuyt, K.L. State of the art of self-etch adhesives. Dent. Mater. 2011, 27, 17–28. [Google Scholar] [CrossRef]
- Dreweck, F.D.S.; Zarpellon, D.; Wambier, L.M.; Loguercio, A.D.; Reis, A.; Gomes, O.M.M. Is There Evidence that Three-step Etch-and-Rinse Adhesives Have Better Retention Rates than One-step Self-etch Adhesives in Noncarious Cervical Lesions? A Systematic Review and Meta-Analysis. J. Adhes. Dent. 2021, 23, 187–200. [Google Scholar]
- Abdalla, A.I.; El Sayed, H.Y. Clinical evaluation of a self-etch adhesive in non-carious cervical lesions. Am. J. Dent. 2008, 21, 327–330. [Google Scholar]
- Ermis, R.B.; Van Landuyt, K.L.; Cardoso, M.V.; De Munck, J.; Van Meerbeek, B.; Peumans, M. Clinical effectiveness of a one-step self-etch adhesive in non-carious cervical lesions at 2 years. Clin. Oral Investig. 2012, 16, 889–897. [Google Scholar] [CrossRef]
- Moretto, S.; Russo, E.; Carvalho, R.; De Munck, J.; Van Landuyt, K.; Peumans, M.; Van Meerbeek, B.; Cardoso, M. 3-year clinical effectiveness of one-step adhesives in non-carious cervical lesions. J. Dent. 2013, 41, 675–682. [Google Scholar] [CrossRef]
- van Dijken, J.W.; Pallesen, U. A 7-year randomized prospective study of a one-step self-etching adhesive in non-carious cervical lesions. The effect of curing modes and restorative material. J. Dent. 2012, 40, 1060–1067. [Google Scholar] [CrossRef]
- Peumans, M.; De Munck, J.; Van Landuyt, K.; Van Meerbeek, B. Thirteen-year randomized controlled clinical trial of a two-step self-etch adhesive in non-carious cervical lesions. Dent. Mater. 2015, 31, 308–314. [Google Scholar] [CrossRef]
- van Dijken, J.W.; Sunnegårdh-Grönberg, K.; Lindberg, A. Clinical long-term retention of etch-and-rinse and self-etch adhesive systems in non-carious cervical lesions: A 13 years evaluation. Dent. Mater. 2007, 23, 1101–1107. [Google Scholar] [CrossRef]
- de Siqueira, F.S.F.; Wendlinger, M.; Araújo, L.C.R.; Moreira, P.H.d.A.; Cardenas, A.F.M.; Carvalho, T.S.; Reis, A.; Loguercio, A.D. Bonding performance of universal adhesives to eroded dentine: A 6-year evaluation. J. Dent. 2023, 136, 104633. [Google Scholar] [CrossRef]
- Hickel, R.; Peschke, A.; Tyas, M.; Mjör, I.; Bayne, S.; Peters, M.; Hiller, K.-A.; Randall, R.; Vanherle, G.; Heintze, S.D. FDI World Dental Federation—Clinical Criteria for the Evaluation of Direct and Indirect Restorations. Update and Clinical Examples. J. Adhes. Dent. 2010, 12, 259–272. [Google Scholar] [CrossRef]
- Caneppele, T.M.F.; Meirelles, L.C.F.; Rocha, R.S.; Gonçalves, L.L.; Ávila, D.M.S.; Gonçalves, S.E.d.P.; Bresciani, E. A 2-year clinical evaluation of direct and semi-direct resin composite restorations in non-carious cervical lesions: A randomized clinical study. Clin. Oral Investig. 2020, 24, 1321–1331. [Google Scholar] [CrossRef]
- Tay, F.R.; Pashley, D.H. Resin bonding to cervical sclerotic dentin: A review. J. Dent. 2004, 32, 173–196. [Google Scholar] [CrossRef]
- Hopewell, S.; Loudon, K.; Clarke, M.J.; Oxman, A.D.; Dickersin, K. Publication bias in clinical trials due to statistical significance or direction of trial results. Cochrane Database Syst. Rev. 2009, 2010, MR000006. [Google Scholar] [CrossRef]
- Cvar, J.F.; Ryge, G. Reprint of Criteria for the clinical evaluation of dental restorative materials. Clin. Oral Investig. 2006, 10, 92. [Google Scholar] [CrossRef]
- Bayne, S.C.; Schmalz, G. Reprinting the classic article on USPHS evaluation methods for measuring the clinical research performance of restorative materials. Clin. Oral Investig. 2005, 9, 209–214. [Google Scholar] [CrossRef]
- Hickel, R.; Roulet, J.F.; Bayne, S.; Heintze, S.D.; Mjor, I.A.; Peters, M.; Rousson, V.; Randall, R.; Schmalz, G.; Tyas, M.; et al. Recommendations for conducting controlled clinical studies of dental restorative materials. Science Committee Project 2/98--FDI World Dental Federation study design (Part I) and criteria for evaluation (Part II) of direct and indirect restorations including onlays and partial crowns. J. Adhes. Dent. 2007, 9 (Suppl. 1), 121–147. [Google Scholar]
- American Dental Association—Council on Scientific Affairs. Dentin and Enamel Adhesive Materials; Acceptance program; Guidelines; ADA: Chicago, IL, USA, 2001. [Google Scholar]
- Heintze, S.D.; Ruffieux, C.; Rousson, V. Clinical performance of cervical restorations—A meta-analysis. Dent. Mater. 2010, 26, 993–1000. [Google Scholar] [CrossRef]
- Mathias-Santamaria, I.F.; Santamaria, M.P.; Silveira, C.A.; Martinho, F.C.; de Melo, M.A.S.; De Marco, A.C.; Augusto, M.G.; de Andrade, G.S.; Roulet, J.-F.; Bresciani, E. Evaluation of a novel restorative protocol to treat non-carious cervical lesion associated with gingival recession: A 2-year follow-up randomized clinical trial. Clin. Oral Investig. 2023, 27, 1781–1792. [Google Scholar] [CrossRef]
- Ñaupari-Villasante, R.; Matos, T.P.; de Albuquerque, E.G.; Warol, F.; Tardem, C.; Calazans, F.S.; Poubel, L.A.; Reis, A.; Barceleiro, M.O.; Loguercio, A.D. Five-year clinical evaluation of universal adhesive applied following different bonding techniques: A randomized multicenter clinical trial. Dent. Mater. 2023, 39, 586–594. [Google Scholar] [CrossRef]
- Matos, T.; Hanzen, T.; Almeida, R.; Tardem, C.; Bandeca, M.; Barceleiro, M.; Loguercio, A.; Reis, A. Five-year Randomized Clinical Trial on the Performance of Two Etch-and-rinse Adhesives in Noncarious Cervical Lesions. Oper. Dent. 2022, 47, 31–42. [Google Scholar] [CrossRef]
- Follak, A.C.; Ilha, B.D.; Oling, J.; Savian, T.; Rocha, R.d.O.; Soares, F.Z.M. Clinical behavior of universal adhesives in non-carious cervical lesions: A randomized clinical trial. J. Dent. 2021, 113, 103747. [Google Scholar] [CrossRef]
- Schroeder, M.; Correa, I.C.; Bauer, J.; Loguercio, A.D.; Reis, A. Influence of adhesive strategy on clinical parameters in cervical restorations: A systematic review and meta-analysis. J. Dent. 2017, 62, 36–53. [Google Scholar] [CrossRef]
- Krithikadatta, J. Clinical effectiveness of contemporary dentin bonding agents. J. Conserv. Dent. 2010, 13, 173–183. [Google Scholar] [CrossRef]
- Santos, M.J.M.C.; Ari, N.; Steele, S.; Costella, J.; Banting, D. Retention of tooth-colored restorations in non-carious cervical lesions—A systematic review. Clin. Oral Investig. 2014, 18, 1369–1381. [Google Scholar] [CrossRef]
- Fang, K.; Chen, K.; Shi, M.; Wang, L. Effect of different adhesive systems on dental defects and sensitivity to teeth in composite resin restoration: A systematic review and meta-analysis. Clin. Oral Investig. 2023, 27, 2495–2511. [Google Scholar] [CrossRef]
- Peumans, M.; De Munck, J.; Mine, A.; Van Meerbeek, B. Clinical effectiveness of contemporary adhesives for the restoration of non-carious cervical lesions. A systematic review. Dent. Mater. 2014, 30, 1089–1103. [Google Scholar] [CrossRef]
- Mahn, E.; Rousson, V.; Heintze, S. Meta-Analysis of the Influence of Bonding Parameters on the Clinical Outcome of Tooth-colored Cervical Restorations. J. Adhes Dent 2015, 17, 391–403. [Google Scholar] [CrossRef]
- Josic, U.; Maravic, T.; Mazzitelli, C.; Radovic, I.; Jacimovic, J.; del Bianco, F.; Florenzano, F.; Breschi, L.; Mazzoni, A. Is clinical behavior of composite restorations placed in non-carious cervical lesions influenced by the application mode of universal adhesives? A systematic review and meta-analysis. Dent. Mater. 2021, 37, e503–e521. [Google Scholar] [CrossRef]
- Peumans, M.J.; Munck, K.; Van Landuyt, P.; Lambrechts, B.; Van Meerbeek, B. Three-year clinical effectiveness of a two-step self-etch adhesive in cervical lesions. Eur. J. Oral Sci. 2005, 113, 512–518. [Google Scholar] [CrossRef]
- Van Landuyt, K.L.; Peumans, M.; De Munck, J.; Cardoso, M.V.; Ermis, B.; Van Meerbeek, B. Three-year clinical performance of a HEMA-free one-step self-etch adhesive in non-carious cervical lesions. Eur. J. Oral Sci. 2011, 119, 511–516. [Google Scholar] [CrossRef]
- Cuevas-Suarez, C.E.; Rosa, W.L.d.O.d.; Lund, R.G.; da Silva, A.F.; Piva, E. Bonding Performance of Universal Adhesives: An Updated Systematic Review and Meta-Analysis. J. Adhes. Dent. 2019, 21, 7–26. [Google Scholar] [CrossRef]
- Frankenberger, R.; Tay, F.R. Self-etch vs etch-and-rinse adhesives: Effect of thermo-mechanical fatigue loading on marginal quality of bonded resin composite restorations. Dent. Mater. 2005, 21, 397–412. [Google Scholar] [CrossRef]
- Moura, S.K.; Reis, A.; Pelizzaro, A.; Dal-Bianco, K.; Loguercio, A.D.; Arana-Chavez, V.E. Bond strength and morphology of enamel using self-etching adhesive systems with different acidities. J. Appl. Oral Sci. 2009, 17, 315–325. [Google Scholar] [CrossRef]
- Van Landuyt, K.; Peumans, M.; Fieuws, S.; De Munck, J.; Cardoso, M.; Ermis, R.; Lambrechts, P.; Van Meerbeek, B. A randomized controlled clinical trial of a HEMA-free all-in-one adhesive in non-carious cervical lesions at 1 year. J. Dent. 2008, 36, 847–855. [Google Scholar] [CrossRef]
- Turkun, S.L. Clinical evaluation of a self-etching and a one-bottle adhesive system at two years. J. Dent. 2003, 31, 527–534. [Google Scholar] [CrossRef]
- Goracci, C.; Rengo, C.; Eusepi, L.; Juloski, J.; Vichi, A.; Ferrari, M. Influence of selective enamel etching on the bonding effectiveness of a new “all-in-one” adhesive. Am. J. Dent. 2013, 26, 99–104. [Google Scholar]
- Mine, A.; De Munck, J.; Cardoso, M.V.; Van Landuyt, K.L.; Poitevin, A.; Kuboki, T.; Yoshida, Y.; Suzuki, K.; Lambrechts, P.; Van Meerbeek, B. Bonding effectiveness of two contemporary self-etch adhesives to enamel and dentin. J. Dent. 2009, 37, 872–883. [Google Scholar] [CrossRef]
- Heintze, S.D.; Thunpithayakul, C.; Armstrong, S.R.; Rousson, V. Correlation between microtensile bond strength data and clinical outcome of Class V restorations. Dent. Mater. 2011, 27, 114–125. [Google Scholar] [CrossRef]
- Peumans, M.; Vandormael, S.; De Coster, I.; De Munck, J.; Van Meerbeek, B. Three-year Clinical Performance of a Universal Adhesive in Non-Carious Cervical Lesions. J Adhes Dent. 2023, 25, 133–146. [Google Scholar] [CrossRef]
- de Oliveira, R.P.; de Paula, B.L.F.; de Melo Alencar, C.; Alves, E.B.; Silva, C.M. A randomized clinical study of the performance of self-etching adhesives containing HEMA and 10-MDP on non-carious cervical lesions: A 2-year follow-up study. J. Dent. 2023, 130, 104407. [Google Scholar] [CrossRef]


| Material | Company | Type | Composition | Instructions |
|---|---|---|---|---|
| AdheSE One F | IvoclarVivadent, Schaan, Liechtenstein | One step, self-etch | Dimethacrylate, phosphonic acid acrylate, initiators and stabilizers in an aqueous solution HEMA, dimethacrylate, silicon dioxide, initiators, and stabilizers. | Brush onto the surface for >30 s; disperse excess with a strong stream of air; light cure for 10 s. |
| ExciTE F | IvoclarVivadent, Schaan, Liechtenstein | One step, total-etch | HEMA, dimethacrylates, phosphonic acid acrylate, highly dispersed silicon dioxide, initiators, and stabilizers in an alcohol solution. | Saturate enamel and dentine with a generous amount of the agent using the applicator; agitate the adhesive onto dentin surface for at least 10 s with a gentle stream; light cure for 10 s. |
| Tetric EvoCeram | IvoclarVivadent, Schaan, Liechtenstein | 75–76% w, Barium glass, ytterbium trifluoride, mixed oxide, prepolymer (82–83%) 17–18% w organic matrix. | ||
| N-etch | IvoclarVivadent, Schaan, Liechtenstein | 37% phosphoric acid. |
| Teeth Group | Method A | Method B | Method C |
|---|---|---|---|
| Upper premolars | 10 | 9 | 10 |
| Lower premolars | 9 | 10 | 9 |
| Upper canines | 7 | 7 | 6 |
| Lower canines | 4 | 4 | 5 |
| Upper Incisors | 2 | 2 | 2 |
| Male n (%) | Female n (%) | Total n (%) | p-Value | |
|---|---|---|---|---|
| Brushing frequency | 0.386 * | |||
| >twice a day | 9 (69.2) | 16 (84.2) | 25 (78.1) | |
| Once a day | 3 (23.1) | 3 (15.8) | 6 (18.8) | |
| 2–3 times per week | 1 (7.7) | 0 (0.0) | 1 (3.1) | |
| Frequency of dental visits | 0.185 * | |||
| 1–2 times per year | 2 (15.4) | 7 (36.8) | 9 (28.1) | |
| Whenever a problem exists | 11 (84.6) | 12 (63.2) | 23 (71.9) | |
| Median | Median | Median | p-Value | |
| Age | 57 (54–65) | 60 (50–72) | 59.5 (51–65) | 0.577 ** |
| Number of teeth with cervical abraded surfaces | 11 | 11 | 11 | 0.513 ** |
| Method A n (%) | Method B n (%) | Method C n(%) | p Value * | |
|---|---|---|---|---|
| baseline | ||||
| Yes | 32 (100) | 32 (100) | 32 (100) | |
| No | 0 (0.0) | 0 (0.0) | 0 (0.0) | |
| 6 months | 0.37 | |||
| Yes | 32 (100) | 31 (100) | 31 (96.9) | |
| No | 0 (0.0) | 0 (0.0) | 1 (3.1) | |
| 12 months | 0.382 | |||
| Yes | 29 (96.7) | 28 (100) | 29 (100) | |
| No | 1 (3.3) | 0 (0.0) | 0 (0.0) | |
| 18 months | 0.604 | |||
| Yes | 28 (96.6) | 27 (96.4) | 28 (100) | |
| No | 1 (3.4) | 1 (3.6) | 0 (0.0) | |
| 24 months | 0.593 | |||
| Yes | 26 (96.3) | 25 (96.2) | 27 (100) | |
| No | 1 (3.7) | 1 (3.8) | 0 (0.0) |
| Method A n (%) | Method B n (%) | Method C n (%) | p Value * | |
|---|---|---|---|---|
| (grades 1–5) Baseline | 0.77 | |||
| (1) Perfect | 31 (96.9) | 31 (96.9) | 30 (93.8) | |
| (2) Marginal gap < 150 μm | 1 (3.1) | 1 (3.1) | 2 (6.3) | |
| 6 months | 0.448 | |||
| (1) Perfect | 22 (68.8) | 16 (51.6) | 20 (64.5) | |
| (2) Marginal gap < 150 μm | 10 (31.3) | 14 (45.2) | 11 (35.5) | |
| (3) Marginal gap < 250 μm | 0 (0.0) | 1 (3.2) | 0 (0.0) | |
| 12 months | 0.695 | |||
| (1) Perfect | 13 (44.8) | 11 (39.3) | 13 (44.8) | |
| (2) Marginal gap < 150 μm | 16 (55.2) | 16 (57.1) | 16 (55.2) | |
| (3) Marginal gap < 250 μm | 0 (0.0) | 1 (3.6) | 0 (0.0) | |
| 18 months | 0.532 | |||
| (1) Perfect | 9 (32.1) | 6 (22.2) | 10 (35.7) | |
| (2) Marginal gap < 150 μm | 19 (67.9) | 20 (74.1) | 18 (64.3) | |
| (3) Marginal gap < 250 μm | 0 (0.0) | 1 (3.7) | 0 (0.0) | |
| 24 months | 0.528 | |||
| (1) Perfect | 7 (26.9) | 4 (16.0) | 7 (25.9) | |
| (2) Marginal gap < 150 μm | 18 (69.2) | 20 (80.0) | 20 (74.1) | |
| (3) Marginal gap < 250 μm | 0 (3.8) | 1 (4.0) | 0 (0.0) |
| Method A n (%) | Method B n (%) | Method C n (%) | p Value * | |
|---|---|---|---|---|
| (grades 1–5) Baseline | ||||
| (1) No | 32 (100.0) | 32 (100.0) | 32 (100.0) | - |
| 6 months | 0.352 | |||
| (1) No | 31 (96.9) | 29 (93.5) | 31 (100.0) | |
| (2) Minor | 1 (3.1) | 2 (6.5) | 0 (0.0) | |
| 12 months | 0.147 | |||
| (1) No | 29 (100.0) | 25 (89.3) | 28 (96.6) | |
| (2) Minor | 0 (0.0) | 3 (10.7) | 1 (3.4) | |
| 18 months | 0.252 | |||
| (1) No | 28 (100.0) | 24 (88.9) | 24 (85.7) | |
| (2) Minor | 0 (0.0) | 3 (11.1) | 3 (10.7) | |
| (3) Moderate | 0 (0.0) | 0 (0.0) | 1 (3.6) | |
| 24 months | 0.067 | |||
| (1) No | 26 (100.0) | 19 (76.0) | 21 (77.8) | |
| (2) Minor | 0 (0.0) | 6 (24.0) | 5 (18.5) | |
| (3) Moderate | 0 (0.0) | 0 (0.0) | 1 (3.7) |
| Univariate Logistic Analysis | Multivariate Logistic Analysis | |||||
|---|---|---|---|---|---|---|
| Odds Ratio | 95% C.I | p-Value * | Odds Ratio | 95% C.I | p-Value * | |
| Time (months) | 0.821 | (0.798, 0.844) | <0.001 | 0.818 | (0.795, 0.841) | <0.001 |
| Age (years) | 0.993 | (0.972, 1.015) | 0.539 | 1.003 | (0.969, 1.038) | 0.868 |
| Gender | ||||||
| Male | 1 | 1 | ||||
| Female | 1.227 | (0.749, 2.012) | 0.417 | 1.308 | (0.587, 2.915) | 0.512 |
| Method | ||||||
| A | 1 | 1 | ||||
| B | 0.779 | (0.552, 1.097) | 0.153 | 0.661 | (0.429, 1.017) | 0.059 |
| C | 0.900 | (0.641, 1.262) | 0.540 | 0.878 | (0.574, 1.344) | 0.549 |
| Frequency of Brushing (2+ times/day) | ND ** | ND | ND | |||
| No | 1 | |||||
| Yes | 0.726 | (0.406, 1.297) | 0.279 | |||
| Frequency of visit at dentist | ND | ND | ND | |||
| 1–2 times/year | 1 | |||||
| When a problem exists | 0.744 | (0.439, 1.261) | 0.272 | |||
| Number of NCCL | 0.979 | (0.943, 1.017) | 0.268 | ND | ND | ND |
| Shape | ND | ND | ND | |||
| Curve | 1 | |||||
| Wedge | 1.131 | (0.742, 1.726) | 0.567 | |||
Disclaimer/Publisher’s Note: The statements, opinions and data contained in all publications are solely those of the individual author(s) and contributor(s) and not of MDPI and/or the editor(s). MDPI and/or the editor(s) disclaim responsibility for any injury to people or property resulting from any ideas, methods, instructions or products referred to in the content. |
© 2024 by the authors. Licensee MDPI, Basel, Switzerland. This article is an open access article distributed under the terms and conditions of the Creative Commons Attribution (CC BY) license (https://creativecommons.org/licenses/by/4.0/).
Share and Cite
Pappa, E.; Gkavela, G.; Sampri, I.; Masouras, K.; Rahiotis, C.; Kakaboura, A. A 2-Year Randomized Clinical Trial of Three Bonding Techniques in Non-Carious Cervical Lesions. Medicina 2024, 60, 1005. https://doi.org/10.3390/medicina60061005
Pappa E, Gkavela G, Sampri I, Masouras K, Rahiotis C, Kakaboura A. A 2-Year Randomized Clinical Trial of Three Bonding Techniques in Non-Carious Cervical Lesions. Medicina. 2024; 60(6):1005. https://doi.org/10.3390/medicina60061005
Chicago/Turabian StylePappa, Eftychia, Grigoria Gkavela, Ioanna Sampri, Konstantinos Masouras, Christos Rahiotis, and Afrodite Kakaboura. 2024. "A 2-Year Randomized Clinical Trial of Three Bonding Techniques in Non-Carious Cervical Lesions" Medicina 60, no. 6: 1005. https://doi.org/10.3390/medicina60061005
APA StylePappa, E., Gkavela, G., Sampri, I., Masouras, K., Rahiotis, C., & Kakaboura, A. (2024). A 2-Year Randomized Clinical Trial of Three Bonding Techniques in Non-Carious Cervical Lesions. Medicina, 60(6), 1005. https://doi.org/10.3390/medicina60061005

