Corrugator Muscle Activity Associated with Pressure Pain in Adults with Neck/Shoulder Pain
Abstract
1. Introduction
2. Methods
2.1. Participants
2.2. Pressure Stimulation
2.2.1. Point to Apply Pressure Pain Stimulation
2.2.2. Pressure Pain Threshold
2.2.3. Pressure Pain Stimulation
2.3. Measurement of Surface Electromyography (sEMG) of the Corrugator Muscles
2.4. Subjective Sensory and Affective Component of Pain
2.5. Experimental Procedures
2.6. Data Analysis
3. Results
3.1. Neck/shoulder Pain Intensity, Pressure Pain Threshold, and Baseline Corrugator Muscle Activity
3.2. Corrugator Muscle Activity without and with Pressure Pain Stimulation
3.3. Sensory and Affective Component of Pain Intensities with Pressure Pain Stimulation
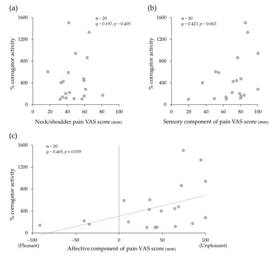
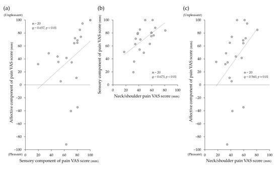
3.4. Relationship between Corrugator Muscle Activity and Pain Intensities
3.5. Adverse Events
4. Discussion
5. Conclusions
Author Contributions
Funding
Institutional Review Board Statement
Informed Consent Statement
Data Availability Statement
Acknowledgments
Conflicts of Interest
References
- Pace, A.K.; Bruceta, M.; Donovan, J.; Vaida, S.J.; Eckert, J.M. An objective pain score for chronic pain clinic patients. Pain Res. Manag. 2021, 8, 6695741. [Google Scholar] [CrossRef]
- Raja, S.N.; Carr, D.B.; Cohen, M.; Finnerup, N.B.; Flor, H.; Gibson, S.; Keefe, F.J.; Mogil, J.S.; Ringkamp, M.; Sluka, K.A.; et al. The revised International Association for the Study of Pain definition of pain: Concepts, challenges, and compromises. Pain 2020, 161, 1976–1982. [Google Scholar] [CrossRef]
- Benhamou, D. Evaluation of postoperative pain. Ann. Fr. Anesth. Reanim. 1998, 17, 555–572. [Google Scholar] [CrossRef]
- Heller, G.Z.; Manuguerra, M.; Chow, R. How to analyze the visual analogue scale: Myths, truths and clinical relevance. Scand. J. Pain 2016, 13, 67–75. [Google Scholar] [CrossRef]
- Kremer, E.; Atkinson, H.J.; Ignelzi, R.J. Measurement of pain: Patient preference does not confound pain measurement. Pain 1981, 10, 241–248. [Google Scholar] [CrossRef]
- Wood, S. Factors influencing the selection of appropriate pain assessment tools. Nurs. Times 2004, 100, 42–47. [Google Scholar]
- McGuire, D.B. The measurement of clinical pain. Nurs. Res. 1984, 33, 152–156. [Google Scholar] [CrossRef] [PubMed]
- Kappesser, J.; Williams, A.C.; Prkachin, K.M. Testing two accounts of pain underestimation. Pain 2006, 124, 109–116. [Google Scholar] [CrossRef] [PubMed]
- Dawes, T.R.; Eden-Green, B.; Rosten, C.; Giles, J.; Governo, R.; Marcelline, F.; Nduka, C. Objectively measuring pain using facial expression: Is the technology finally ready? Pain Manag. 2018, 8, 105–113. [Google Scholar] [CrossRef] [PubMed]
- Prkachin, K.M.; Mercer, S.R. Pain expression in patients with shoulder pathology: Validity, properties and relationship to sickness impact. Pain 1989, 39, 257–265. [Google Scholar] [CrossRef] [PubMed]
- Sayette, M.A.; Cohn, J.F.; Wertz, J.M.; Perrott, M.A.; Parrott, D.J. A psychometric evaluation of the facial action coding system for assessing spontaneous expression. J. Nonverbal. Behav. 2001, 25, 167–185. [Google Scholar] [CrossRef]
- Wolf, K.; Raedler, T.; Henke, K.; Kiefer, F.; Mass, R.; Quante, M.; Wiedemann, K. The face of pain—A pilot study to validate the measurement of facial pain expression with an improved electromyogram method. Pain Res. Manag. 2005, 10, 15–19. [Google Scholar] [CrossRef]
- Limbrecht-Ecklundt, K.; Werner, P.; Traue, H.C.; Al-Hamadi, A.; Walter, S. Mimic activity of differentiated pain intensities: Correlation of characteristics of facial action coding system and electromyography. Schmerz 2016, 30, 248–256. [Google Scholar] [CrossRef]
- Mieronkoski, R.; Syrjälä, E.; Jiang, M.; Rahmani, A.; Pahikkala, T.; Liljeberg, P.; Salanterä, S. Developing a pain intensity prediction model using facial expression: A feasibility study with electromyography. PLoS ONE 2020, 15, e0235545. [Google Scholar] [CrossRef]
- Yamada, T.; Yajima, H.; Takayama, M.; Imanishi, K.; Takakura, N. Activity of corrugator muscle with pressure pain stimulation in healthy people. Clin. Transl. Neurosci. 2023, 7, 34. [Google Scholar] [CrossRef]
- Finocchietti, S.; Nielsen, M.; Mørch, C.D.; Arendt-Nielsen, L.; Graven-Nielsen, T. Pressure-induced muscle pain and tissue biomechanics: A computational and experimental study. Eur. J. Pain 2011, 15, 36–44. [Google Scholar] [CrossRef]
- GBD 2015 DALYs and HALE Collaborators. Global, regional, and national disability-adjusted life-years (DALYs) for 315 diseases and injuries and healthy life expectancy (HALE), 1990–2015: A systematic analysis for the Global burden of disease study 2015. Lancet 2016, 8, 1603–1658. [Google Scholar] [CrossRef]
- Onda, A.; Onozato, K.; Kimura, M. Clinical features of neck and shoulder pain (Katakori) in Japanese hospital workers. Fukushima J. Med. Sci. 2022, 68, 79–87. [Google Scholar] [CrossRef]
- Ministry of Health, Labour and Welfare. Japan: Comprehensive Survey of Living Conditions; No. 13. Available online: https://www.mhlw.go.jp/toukei/saikin/hw/k-tyosa/k-tyosa22/index.html (accessed on 13 November 2023).
- Stewart, W.F.; Ricci, J.A.; Chee, E.; Morganstein, D.; Lipton, R. Lost productive time and cost due to common pain conditions in the US workforce. JAMA 2003, 290, 2443–2454. [Google Scholar] [CrossRef] [PubMed]
- Ohayon, M.M.; Schatzberg, A.F. Chronic pain and major depressive disorder in the general population. J. Psychiatr. Res. 2010, 44, 454–461. [Google Scholar] [CrossRef] [PubMed]
- McPeak, A.E.; Allaire, C.; Williams, C.; Albert, A.; Lisonkova, S.; Yong, P.J. Pain catastrophizing and pain health-related quality-of-life in endometriosis. Clin. J. Pain 2018, 34, 349–356. [Google Scholar] [CrossRef]
- Geelen, C.C.; Kindermans, H.P.; van den Bergh, J.P.; Verbunt, J.A. Perceived physical activity decline as a mediator in the relationship between pain catastrophizing, disability, and quality of life in patients with painful diabetic neuropathy. Pain Pract. 2017, 17, 320–328. [Google Scholar] [CrossRef]
- National Library of Medicine. Available online: https://www.ncbi.nlm.nih.gov/books/NBK556098/ (accessed on 13 November 2023).
- March, L.; Smith, E.U.; Hoy, D.G.; Cross, M.J.; Sanchez-Riera, L.; Blyth, F.; Buchbinder, R.; Vos, T.; Woolf, A.D. Burden of disability due to musculoskeletal (MSK) disorders. Best. Pract. Res. Clin. Rheumatol. 2014, 28, 353–366. [Google Scholar] [CrossRef]
- Kunz, M.; Lautenbacher, S.; LeBlanc, N.; Rainville, P. Are both the sensory and the affective dimensions of pain encoded in the face? Pain 2012, 153, 350–358. [Google Scholar] [CrossRef] [PubMed]
- Lindsay, M.N.; Chen, C.; Gilam, G.; Mackey, S.; Scherrer, G. Brain circuits for pain and its treatment. Sci. Transl. Med. 2021, 13, eabj7360. [Google Scholar] [CrossRef] [PubMed]
- Price, D.D. Psychological and neural mechanisms of the affective dimension of pain. Science 2000, 288, 1769–1772. [Google Scholar] [CrossRef] [PubMed]
- Price, D.D. Central neural mechanisms that interrelate sensory and affective dimensions of pain. Mol. Interv. 2002, 2, 392–403, 339. [Google Scholar] [CrossRef]
- Singh, A.; Patel, D.; Li, A.; Hu, L.; Zhang, Q.; Liu, Y.; Guo, X.; Robinson, E.; Martinez, E.; Doan, L.; et al. Mapping cortical integration of sensory and affective pain pathways. Curr. Biol. 2020, 30, 1703–1715.e5. [Google Scholar] [CrossRef]
- Andersen, L.L.; Hansen, K.; Mortensen, O.S.; Zebis, M.K. Prevalence and anatomical location of muscle tenderness in adults with nonspecific neck/shoulder pain. BMC Musculoskelet. Disord. 2011, 12, 169. [Google Scholar] [CrossRef]
- Evans, D.W.; De Nunzio, A.M. Controlled manual loading of body tissues: Towards the next generation of pressure algometer. Chiropr. Man. Therap. 2020, 28, 51. [Google Scholar] [CrossRef]
- Lanteaume, L.; Khalfa, S.; Régis, J.; Marquis, P.; Chauvel, P.; Bartolomei, F. Emotion induction after direct intracerebral stimulations of human amygdala. Cereb. Cortex 2007, 17, 1307–1313. [Google Scholar] [CrossRef] [PubMed]
- Fridlund, A.J.; Cacioppo, J.T. Guidelines for human electromyographic research. Psychophysiology 1986, 23, 567–589. [Google Scholar] [CrossRef] [PubMed]
- Takakura, N.; Takayama, M.; Kawase, A.; Kaptchuk, T.J.; Yajima, H. Double-blind acupuncture needle: A potential tool to investigate the nature of pain and pleasure. ISRN Pain 2013, 2013, 825751. [Google Scholar] [CrossRef]
- Kappesser, J.; Williams, A.C. Pain and negative emotions in the face: Judgements by health care professionals. Pain 2002, 99, 197–206. [Google Scholar] [CrossRef]
- Kappesser, J. The facial expression of pain in humans considered from a social perspective. Philos. Trans. R. Soc. Lond. B. Biol. Sci. 2019, 374, 20190284. [Google Scholar] [CrossRef] [PubMed]
- Kunz, M.; Mylius, V.; Schepelmann, K.; Lautenbacher, S. On the relationship between self-report and facial expression of pain. J. Pain 2004, 5, 368–376. [Google Scholar] [CrossRef] [PubMed]
- Craig, K.D. Social communication of pain enhances protective functions: A comment on deyo, prkachin and mercer. Pain 2004, 107, 5–6. [Google Scholar] [CrossRef]
- Williams, A.C. Facial expression of pain: An evolutionary account. Behav. Brain Sci. 2002, 25, 439–488. [Google Scholar] [CrossRef]
- Karmann, A.J.; Lautenbacher, S.; Bauer, F.; Kunz, M. The influence of communicative relations on facial responses to pain: Does it matter who is watching? Pain Res. Manag. 2014, 19, 15–22. [Google Scholar] [CrossRef]
- Karos, K.; Meulders, A.; Goubert, L.; Vlaeyen, J.W.S. Hide your pain: Social threat increases pain reports and aggression, but reduces facial pain expression and empathy. J. Pain 2020, 21, 334–346. [Google Scholar] [CrossRef]
- Craig, K.D.; Holmes, C.; Hudspith, M.; Moor, G.; Moosa-Mitha, M.; Varcoe, C.; Wallace, B. Pain in persons who are marginalized by social conditions. Pain 2020, 161, 261–265. [Google Scholar] [CrossRef] [PubMed]
- Rainville, P.; Bao, Q.V.; Chrétien, P. Pain–related emotions modulate experimental pain perception and autonomic responses. Pain 2005, 118, 306–318. [Google Scholar] [CrossRef]
- Villemure, C.; Bushnell, M.C. Cognitive modulation of pain: How do attention and emotion influence pain processing? Pain 2002, 95, 195–199. [Google Scholar] [CrossRef] [PubMed]
- Villemure, C.; Bushnell, M.C. Mood influences supraspinal pain processing separately from attention. J. Neurosci. 2009, 29, 705–715. [Google Scholar] [CrossRef] [PubMed]
- Leknes, S.; Tracey, I. A common neurobiology for pain and pleasure. Nat. Rev. Neurosci. 2008, 9, 314–320. [Google Scholar] [CrossRef] [PubMed]
- Miake–Lye, I.M.; Mak, S.; Lee, J.; Luger, T.; Taylor, S.L.; Shanman, R.; Beroes-Severin, J.M.; Shekelle, P.G. Massage for pain: An evidence map. J. Altern. Complement. Med. 2019, 25, 475–502. [Google Scholar] [CrossRef]
- Case, L.K.; Liljencrantz, J.; McCall, M.V.; Bradson, M.; Necaise, A.; Tubbs, J.; Olausson, H.; Wang, B.; Bushnell, M.C. Pleasant deep pressure: Expanding the social touch hypothesis. Neuroscience 2021, 464, 3–11. [Google Scholar] [CrossRef]
- Kasai, S.; Hayashida, M.; Sora, I.; Ikeda, K. Candidate gene polymorphisms predicting individual sensitivity to opioids. Naunyn Schmiedebergs Arch. Pharmacol. 2008, 377, 269–281. [Google Scholar] [CrossRef]
- Mercadante, S.; Bruera, E. Opioid switching: A systematic and critical review. Cancer Treat. Rev. 2006, 32, 304–315. [Google Scholar] [CrossRef]
- Riley, J.; Ross, J.R.; Rutter, D.; Wells, A.U.; Goller, K.; Du Bois, R.; Welsh, K. No pain relief from morphine? Individual variation in sensitivity to morphine and the need to switch to an alternative opioid in cancer patients. Support. Care Cancer 2006, 14, 56–64. [Google Scholar] [CrossRef]
- Ross, J.R.; Rutter, D.; Welsh, K.; Joel, S.P.; Goller, K.; Wells, A.U.; Du Bois, R.; Riley, J. Clinical response to morphine in cancer patients and genetic variation in candidate genes. Pharmacogenomics J. 2005, 5, 324–336. [Google Scholar] [CrossRef] [PubMed]
- Breivik, H.; Borchgrevink, P.C.; Allen, S.M.; Rosseland, L.A.; Romundstad, L.; Hals, E.K.; Kvarstein, G.; Stubhaug, A. Assessment of pain. Br. J. Anaesth. 2008, 101, 17–24. [Google Scholar] [CrossRef] [PubMed]
- Frampton, C.L.; Hughes–Webb, P. The measurement of pain. Clin. Oncol. (R. Coll. Radiol.) 2011, 23, 381–386. [Google Scholar] [CrossRef] [PubMed]
- Gordon, D.B. Acute pain assessment tools: Let us move beyond simple pain ratings. Curr. Opin. Anaesthesiol. 2015, 28, 565–569. [Google Scholar] [CrossRef]
- Baamer, R.M.; Iqbal, A.; Lobo, D.N.; Knaggs, R.D.; Levy, N.A.; Toh, L.S. Utility of unidimensional and functional pain assessment tools in adult postoperative patients: A systematic review. Br. J. Anaesth. 2022, 128, 874–888. [Google Scholar] [CrossRef]
- Linde, L.D.; Kumbhare, D.A.; Joshi, M.; Srbely, J.Z. The Relationship between rate of algometer application and pain pressure threshold in the assessment of myofascial trigger point sensitivity. Pain Pract. 2018, 18, 224–229. [Google Scholar] [CrossRef]
- Kinser, A.M.; Sands, W.A.; Stone, M.H. Reliability and validity of a pressure algometer. J. Strength Cond. Res. 2009, 23, 312–314. [Google Scholar] [CrossRef]





Disclaimer/Publisher’s Note: The statements, opinions and data contained in all publications are solely those of the individual author(s) and contributor(s) and not of MDPI and/or the editor(s). MDPI and/or the editor(s) disclaim responsibility for any injury to people or property resulting from any ideas, methods, instructions or products referred to in the content. |
© 2024 by the authors. Licensee MDPI, Basel, Switzerland. This article is an open access article distributed under the terms and conditions of the Creative Commons Attribution (CC BY) license (https://creativecommons.org/licenses/by/4.0/).
Share and Cite
Yamada, T.; Yajima, H.; Takayama, M.; Imanishi, K.; Takakura, N. Corrugator Muscle Activity Associated with Pressure Pain in Adults with Neck/Shoulder Pain. Medicina 2024, 60, 223. https://doi.org/10.3390/medicina60020223
Yamada T, Yajima H, Takayama M, Imanishi K, Takakura N. Corrugator Muscle Activity Associated with Pressure Pain in Adults with Neck/Shoulder Pain. Medicina. 2024; 60(2):223. https://doi.org/10.3390/medicina60020223
Chicago/Turabian StyleYamada, Takahiro, Hiroyoshi Yajima, Miho Takayama, Konomi Imanishi, and Nobuari Takakura. 2024. "Corrugator Muscle Activity Associated with Pressure Pain in Adults with Neck/Shoulder Pain" Medicina 60, no. 2: 223. https://doi.org/10.3390/medicina60020223
APA StyleYamada, T., Yajima, H., Takayama, M., Imanishi, K., & Takakura, N. (2024). Corrugator Muscle Activity Associated with Pressure Pain in Adults with Neck/Shoulder Pain. Medicina, 60(2), 223. https://doi.org/10.3390/medicina60020223

