Prevalence and Risk Factors of Osteoporosis: A Cross-Sectional Study in a Tertiary Center
Abstract
1. Introduction
2. Materials and Methods
2.1. Ethics Approval
2.2. Participants and Study Design
2.3. Exclusion Criteria
2.4. BMD Measurement
2.5. Definitions
2.6. Statistical Analysis
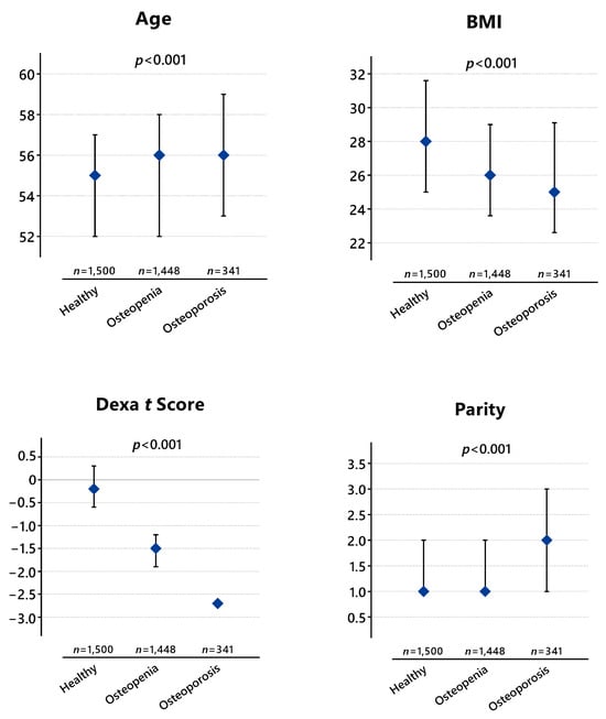
3. Results
4. Discussion
5. Conclusions
Author Contributions
Funding
Institutional Review Board Statement
Informed Consent Statement
Data Availability Statement
Conflicts of Interest
References
- Cosman, F.; de Beur, S.J.; LeBoff, M.S.; Lewiecki, E.M.; Tanner, B.; Randall, S.; Lindsay, R. Clinician’s Guide to Prevention and Treatment of Osteoporosis. Osteoporos. Int. 2014, 25, 2359–2381. [Google Scholar] [CrossRef] [PubMed]
- Aibar-Almazán, A.; Voltes-Martínez, A.; Castellote-Caballero, Y.; Afanador-Restrepo, D.F.; Carcelén-Fraile, M.d.C.; López-Ruiz, E. Current Status of the Diagnosis and Management of Osteoporosis. Int. J. Mol. Sci. 2022, 23, 9465. [Google Scholar] [CrossRef]
- Song, J.; Zhao, J.; Liu, T.; Li, Y.; Dang, X.; Wang, W. Prevalence and Risk Factors of Osteoporosis in a Chinese Population: A Cross-Sectional Study in Xi’an, Shaanxi Province, China. Med. Sci. Monit. 2023, 29, e942346. [Google Scholar] [CrossRef] [PubMed]
- Baccaro, L.F.; Conde, D.M.; Costa-Paiva, L.; Pinto-Neto, A.M. The Epidemiology and Management of Postmenopausal Osteoporosis: A Viewpoint from Brazil. Clin. Interv. Aging 2015, 10, 583–591. [Google Scholar] [CrossRef] [PubMed]
- Kanis, J.A.; Cooper, C.; Rizzoli, R.; Reginster, J.-Y. European Guidance for the Diagnosis and Management of Osteoporosis in Postmenopausal Women. Osteoporos. Int. 2019, 30, 3–44. [Google Scholar] [CrossRef]
- Wu, D.; Cline-Smith, A.; Shashkova, E.; Perla, A.; Katyal, A.; Aurora, R. T-Cell Mediated Inflammation in Postmenopausal Osteoporosis. Front. Immunol. 2021, 12, 687551. [Google Scholar] [CrossRef]
- Ji, M.; Yu, Q. Primary Osteoporosis in Postmenopausal Women. Chronic Dis. Transl. Med. 2015, 1, 9–13. [Google Scholar] [CrossRef] [PubMed]
- Hassan, A.B.; Tayem, Y.I.; Sadat-Ali, M.; Almarabheh, A.J.; Alawadhi, A.; Butt, A.J.; Jahrami, H.; Saleh, J.; Matar, M.E.; Shaikh, M.; et al. The Estimated Prevalence of Osteoporosis in Bahrain: A Multi-Centered-Based Study. BMC Musculoskelet. Disord. 2024, 25, 9. [Google Scholar] [CrossRef]
- Bijelic, R.; Milicevic, S.; Balaban, J. Risk Factors for Osteoporosis in Postmenopausal Women. Med. Arch. 2017, 71, 25–28. [Google Scholar] [CrossRef] [PubMed]
- Yu, J.S.; Krishna, N.G.; Fox, M.G.; Blankenbaker, D.G.; Frick, M.A.; Jawetz, S.T.; Li, G.; Reitman, C.; Said, N.; Stensby, J.D.; et al. ACR Appropriateness Criteria® Osteoporosis and Bone Mineral Density: 2022 Update. J. Am. Coll. Radiol. 2022, 19, S417–S432. [Google Scholar] [CrossRef] [PubMed]
- Kirazlı, Y.; Atamaz Çalış, F.; El, Ö.; Gökçe Kutsal, Y.; Peker, Ö.; Sindel, D.; Tuzun, Ş.; Gogas Yavuz, D.; Durmaz, B.; Akarirmak, Ü.; et al. Updated Approach for the Management of Osteoporosis in Turkey: A Consensus Report. Arch. Osteoporos. 2020, 15, 137. [Google Scholar] [CrossRef] [PubMed]
- LeBoff, M.S.; Greenspan, S.L.; Insogna, K.L.; Lewiecki, E.M.; Saag, K.G.; Singer, A.J.; Siris, E.S. The Clinician’s Guide to Prevention and Treatment of Osteoporosis. Osteoporos. Int. 2022, 33, 2049–2102. [Google Scholar] [CrossRef]
- Rizkallah, M.; Bachour, F.; el Khoury, M.; Sebaaly, A.; Finianos, B.; el Hage, R.; Maalouf, G. Comparison of Morbidity and Mortality of Hip and Vertebral Fragility Fractures: Which One Has the Highest Burden? Osteoporos. Sarcopenia 2020, 6, 146–150. [Google Scholar] [CrossRef]
- Balasubramanian, A.; Zhang, J.; Chen, L.; Wenkert, D.; Daigle, S.G.; Grauer, A.; Curtis, J.R. Risk of Subsequent Fracture after Prior Fracture among Older Women. Osteoporos. Int. 2019, 30, 79–92. [Google Scholar] [CrossRef]
- Nochowitz, B.; Siegert, S.; Wasik, M. An Update on Osteoporosis. Am. J. Ther. 2009, 16, 437–445. [Google Scholar] [CrossRef] [PubMed]
- Johnston, C.B.; Dagar, M. Osteoporosis in Older Adults. Med. Clin. N. Am. 2020, 104, 873–884. [Google Scholar] [CrossRef] [PubMed]
- Poçan, A.G.; Sönmezer, M.; Topal, K.; Aslan, B.; Gereklioğlu, Ç.; Sönmezer, M. Investigation of the Risk Factors Associated with Osteoporosis in Postmenopausal Women. J. Turkish-German Gynecol. Assoc. 2023, 24, 235–240. [Google Scholar] [CrossRef]
- Hernlund, E.; Svedbom, A.; Ivergård, M.; Compston, J.; Cooper, C.; Stenmark, J.; McCloskey, E.V.; Jönsson, B.; Kanis, J.A. Osteoporosis in the European Union: Medical Management, Epidemiology and Economic Burden. Arch. Osteoporos. 2013, 8, 136. [Google Scholar] [CrossRef] [PubMed]
- Boehme, A.K.; Esenwa, C.; Elkind, M.S.V. Stroke Risk Factors, Genetics, and Prevention. Circ. Res. 2017, 120, 472–495. [Google Scholar] [CrossRef] [PubMed]
- Hou, W.; Chen, S.; Zhu, C.; Gu, Y.; Zhu, L.; Zhou, Z. Associations between Smoke Exposure and Osteoporosis or Osteopenia in a US NHANES Population of Elderly Individuals. Front. Endocrinol. 2023, 14, 1074574. [Google Scholar] [CrossRef]
- Marinucci, L.; Balloni, S.; Fettucciari, K.; Bodo, M.; Talesa, V.N.; Antognelli, C. Nicotine Induces Apoptosis in Human Osteoblasts via a Novel Mechanism Driven by H2O2 and Entailing Glyoxalase 1-Dependent MG-H1 Accumulation Leading to TG2-Mediated NF-KB Desensitization: Implication for Smokers-Related Osteoporosis. Free Radic. Biol. Med. 2018, 117, 6–17. [Google Scholar] [CrossRef] [PubMed]
- Sun, H.; Saeedi, P.; Karuranga, S.; Pinkepank, M.; Ogurtsova, K.; Duncan, B.B.; Stein, C.; Basit, A.; Chan, J.C.N.; Mbanya, J.C.; et al. IDF Diabetes Atlas: Global, Regional and Country-Level Diabetes Prevalence Estimates for 2021 and Projections for 2045. Diabetes Res. Clin. Pract. 2022, 183, 109119. [Google Scholar] [CrossRef] [PubMed]
- Mohsin, S.; Baniyas, M.M.; AlDarmaki, R.S.; Tekes, K.; Kalász, H.; Adeghate, E.A. An Update on Therapies for the Treatment of Diabetes-Induced Osteoporosis. Expert Opin. Biol. Ther. 2019, 19, 937–948. [Google Scholar] [CrossRef]
- DeShields, S.C.; Cunningham, T.D. Comparison of Osteoporosis in US Adults with Type 1 and Type 2 Diabetes Mellitus. J. Endocrinol. Investig. 2018, 41, 1051–1060. [Google Scholar] [CrossRef] [PubMed]
- Wu, B.; Fu, Z.; Wang, X.; Zhou, P.; Yang, Q.; Jiang, Y.; Zhu, D. A Narrative Review of Diabetic Bone Disease: Characteristics, Pathogenesis, and Treatment. Front. Endocrinol. 2022, 13, 1052592. [Google Scholar] [CrossRef] [PubMed]
- Pan, Y.; Xu, J. Association between Muscle Mass, Bone Mineral Density and Osteoporosis in Type 2 Diabetes. J. Diabetes Investig. 2022, 13, 351–358. [Google Scholar] [CrossRef] [PubMed]
- Valderrábano, R.J.; Linares, M.I. Diabetes Mellitus and Bone Health: Epidemiology, Etiology and Implications for Fracture Risk Stratification. Clin. Diabetes Endocrinol. 2018, 4, 9. [Google Scholar] [CrossRef] [PubMed]
- Leidig-Bruckner, G.; Grobholz, S.; Bruckner, T.; Scheidt-Nave, C.; Nawroth, P.; Schneider, J.G. Prevalence and Determinants of Osteoporosis in Patients with Type 1 and Type 2 Diabetes Mellitus. BMC Endocr. Disord. 2014, 14, 33. [Google Scholar] [CrossRef]
- Chen, H.; Deng, L.; Li, J. Prevalence of Osteoporosis and Its Associated Factors among Older Men with Type 2 Diabetes. Int. J. Endocrinol. 2013, 2013, 285729. [Google Scholar] [CrossRef] [PubMed]
- Janghorbani, M.; Van Dam, R.M.; Willett, W.C.; Hu, F.B. Systematic Review of Type 1 and Type 2 Diabetes Mellitus and Risk of Fracture. Am. J. Epidemiol. 2007, 166, 495–505. [Google Scholar] [CrossRef]
- Abdulameer, S.A.; Sulaiman, S.A.S.; Hassali, M.A.A.; Subramaniam, K.; Sahib, M.N. Osteoporosis and Type 2 Diabetes Mellitus: What Do We Know, and What We Can Do? Patient Prefer. Adherence 2012, 6, 435–448. [Google Scholar] [CrossRef] [PubMed]
- Tang, G.; Feng, L.; Pei, Y.; Gu, Z.; Chen, T.; Feng, Z. Low BMI, Blood Calcium and Vitamin D, Kyphosis Time, and Outdoor Activity Time Are Independent Risk Factors for Osteoporosis in Postmenopausal Women. Front. Endocrinol. 2023, 14, 1154927. [Google Scholar] [CrossRef] [PubMed]
- Rikkonen, T.; Sund, R.; Sirola, J.; Honkanen, R.; Poole, K.E.S.; Kröger, H. Obesity Is Associated with Early Hip Fracture Risk in Postmenopausal Women: A 25-Year Follow-Up. Osteoporos. Int. 2021, 32, 769–777. [Google Scholar] [CrossRef] [PubMed]
- Skrzek, A.; Kozieł, S.; Ignasiak, Z. The Optimal Value of BMI for the Lowest Risk of Osteoporosis in Postmenopausal Women Aged 40–88 Years. HOMO 2014, 65, 232–239. [Google Scholar] [CrossRef] [PubMed]
- Lee, J.H.; Kim, J.H.; Hong, A.R.; Kim, S.W.; Shin, C.S. Optimal Body Mass Index for Minimizing the Risk for Osteoporosis and Type 2 Diabetes. Korean J. Intern. Med. 2020, 35, 1432–1442. [Google Scholar] [CrossRef]
- Lane, N.E. Epidemiology, Etiology, and Diagnosis of Osteoporosis. Am. J. Obstet. Gynecol. 2006, 194, S3–S11. [Google Scholar] [CrossRef] [PubMed]
- Charde, S.H.; Joshi, A.; Raut, J. A Comprehensive Review on Postmenopausal Osteoporosis in Women. Cureus 2023, 15, e48582. [Google Scholar] [CrossRef] [PubMed]
- Cobden, A.; Cobden, S.B.; Camurcu, Y.; Ucpunar, H.; Duman, S.; Sofu, H. Effects of Postoperative Osteoporosis Treatment on Subsequent Fracture and the 5-Year Survival Rates after Hemiarthroplasty for Hip Fracture. Arch. Osteoporos. 2019, 14, 100. [Google Scholar] [CrossRef]
- Aziziyeh, R.; Garcia Perlaza, J.; Saleem, N.; Kirazlı, Y.; Akalın, E.; McTavish, R.K.; Duperrouzel, C.; Cameron, C. The Burden of Osteoporosis in Turkey: A Scorecard and Economic Model. Arch. Osteoporos. 2020, 15, 128. [Google Scholar] [CrossRef]
- Negredo, E.; Bonjoch, A.; Gómez-Mateu, M.; Estany, C.; Puig, J.; Perez-Alvarez, N.; Rosales, J.; di Gregorio, S.; del Rio, L.; Gómez, G.; et al. Time of Progression to Osteopenia/Osteoporosis in Chronically HIV-Infected Patients: Screening DXA Scan. PLoS ONE 2012, 7, e46031. [Google Scholar] [CrossRef]
- Tuppurainen, M.; Kröger, H.; Saarikoski, S.; Honkanen, R.; Alhava, E. The Effect of Gynecological Risk Factors on Lumbar and Femoral Bone Mineral Density in Peri- and Postmenopausal Women. Maturitas 1995, 21, 137–145. [Google Scholar] [CrossRef]
- Fox, K.M.; Magaziner, J.; Sherwin, R.; Scott, J.C.; Plato, C.C.; Nevitt, M.; Cummings, S. Reproductive Correlates of Bone Mass in Elderly Women. J. Bone Miner. Res. 1993, 8, 901–908. [Google Scholar] [CrossRef] [PubMed]
- Peker, N.; Çeliker Tosun, Ö. Is Grand Multiparity a Risk Factor for the Development of Postmenopausal Osteoporosis? Clin. Interv. Aging 2018, 13, 505–508. [Google Scholar] [CrossRef]
- Demir, B.; Haberal, A.; Geyik, P.; Baskan, B.; Ozturkoglu, E.; Karacay, O.; Deveci, S. Identification of the Risk Factors for Osteoporosis among Postmenopausal Women. Maturitas 2008, 60, 253–256. [Google Scholar] [CrossRef] [PubMed]
- Hillier, T.A.; Rizzo, J.H.; Pedula, K.L.; Stone, K.L.; Cauley, J.A.; Bauer, D.C.; Cummings, S.R. Nulliparity and Fracture Risk in Older Women: The Study of Osteoporotic Fractures. J. Bone Miner. Res. 2003, 18, 893–899. [Google Scholar] [CrossRef] [PubMed]



| Gender |
| Age |
| Ethnicity |
| Family history |
| Lower body mass index |
| Hormone disorders |
| Amenorrhea Early menopause/menopause Hypogonadism Thyroid/Parathyroid disorders Panhypopituitarism Hyperprolactinemia |
| Calcium, protein, and vitamin D intake |
| Drugs |
| Anticonvulsants Glucocorticoids GnRH agonists/antagonists SSRIs Thiazolidinediones Aromatase inhibitors |
| Sedentary lifestyle |
| Smoking and alcohol intake |
| Comorbid diseases |
| Hypercalciuria Osteogenesis imperfecta Cystic fibrosis Cushing Syndrome Celiac disease Inflammatory bowel diseases Diabetes mellitus |
| Number (%) | |
|---|---|
| Diagnosis (n = 3289) | |
| Normal | 1500 (45.6) |
| Osteopenia | 1448 (44.0) |
| Osteoporosis | 341 (10.4) |
| Smoking (n = 3289) | |
| Nonsmoker | 2085 (63.4) |
| Smoker | 1204 (36.6) |
| Diabetes Mellitus (n = 3289) | |
| Nondiabetic | 2570 (78.1) |
| Diabetic | 719 (21.9) |
| History of bone fracture (n = 3289) | |
| No | 2770 (84.2) |
| Yes | 519 (15.8) |
| Median (IQR) | |
|---|---|
| Age (n = 3289) | 56.0 (52.0–57.0) |
| BMI (n = 3289) | 26.9 (24.0–30.4) |
| Dexa t (n = 3289) | −1.1 (−1.8–−0.3) |
| Parity (n = 3289) | 1.0 (1.0–2.0) |
| Variable | Univariate Logistic Regression | Multivariate Logistic Regression | ||||||
|---|---|---|---|---|---|---|---|---|
| Wald | SE | OR (95% CI) | p | Wald | SE | OR (95% CI) | p | |
| Age | 17.33 | 0.019 | 1.08 (1.04–1.12) | <0.001 | 0.46 | 0.022 | 1.015 (0.97–1.05) | 0.496 |
| DM | 88.31 | 0.119 | 3.06 (2.42–3.86) | <0.001 | 96.23 | 0.136 | 3.78 (2.89–4.93) | <0.001 |
| BMI | 24.94 | 0.13 | 0.93 (0.91–0.96) | <0.001 | 37.79 | 0.014 | 0.91 (0.89–0.94) | <0.001 |
| Parity | 56.49 | 0.048 | 1.43 (1.30–1.57) | <0.001 | 49.26 | 0.054 | 1.45 (1.31–1.62) | <0.001 |
| Smoking | 76.92 | 0.117 | 2.78 (2.21–3.50) | <0.001 | 50.92 | 0.126 | 2.46 (1.92–3.15) | <0.001 |
| History of fracture | 211.19 | 0.122 | 5.91 (4.65–7.51) | <0.001 | 188.95 | 0.133 | 6.23 (4.79–8.08) | <0.001 |
Disclaimer/Publisher’s Note: The statements, opinions and data contained in all publications are solely those of the individual author(s) and contributor(s) and not of MDPI and/or the editor(s). MDPI and/or the editor(s) disclaim responsibility for any injury to people or property resulting from any ideas, methods, instructions or products referred to in the content. |
© 2024 by the authors. Published by MDPI on behalf of the Lithuanian University of Health Sciences. Licensee MDPI, Basel, Switzerland. This article is an open access article distributed under the terms and conditions of the Creative Commons Attribution (CC BY) license (https://creativecommons.org/licenses/by/4.0/).
Share and Cite
Özmen, S.; Kurt, S.; Timur, H.T.; Yavuz, O.; Kula, H.; Demir, A.Y.; Balcı, A. Prevalence and Risk Factors of Osteoporosis: A Cross-Sectional Study in a Tertiary Center. Medicina 2024, 60, 2109. https://doi.org/10.3390/medicina60122109
Özmen S, Kurt S, Timur HT, Yavuz O, Kula H, Demir AY, Balcı A. Prevalence and Risk Factors of Osteoporosis: A Cross-Sectional Study in a Tertiary Center. Medicina. 2024; 60(12):2109. https://doi.org/10.3390/medicina60122109
Chicago/Turabian StyleÖzmen, Samican, Sefa Kurt, Hikmet Tunç Timur, Onur Yavuz, Hakan Kula, Ayşegül Yılmaz Demir, and Ali Balcı. 2024. "Prevalence and Risk Factors of Osteoporosis: A Cross-Sectional Study in a Tertiary Center" Medicina 60, no. 12: 2109. https://doi.org/10.3390/medicina60122109
APA StyleÖzmen, S., Kurt, S., Timur, H. T., Yavuz, O., Kula, H., Demir, A. Y., & Balcı, A. (2024). Prevalence and Risk Factors of Osteoporosis: A Cross-Sectional Study in a Tertiary Center. Medicina, 60(12), 2109. https://doi.org/10.3390/medicina60122109

