Research Trends of Patient-Reported Outcome Measures in Orthopedic Medical Practices: A Bibliometric and Visualized Study
Abstract
:1. Introduction
2. Materials and Methods
2.1. Data Source
2.2. Search Strategy
2.3. Data Analysis Tools
3. Results
3.1. Overview of Included Publications
3.2. Journal Analysis
3.3. Country and Institution Analysis
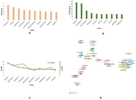
3.4. Author Analysis
3.5. Keyword Analysis
4. Discussion
4.1. Current Research on PROMs in Orthopedic Research
4.2. Potentialities and Advantages of PROMs in Orthopedic Research
4.3. Future Perspectives of PROMs in Orthopedic Research
4.4. Limitations
5. Conclusions
Author Contributions
Funding
Institutional Review Board Statement
Informed Consent Statement
Data Availability Statement
Conflicts of Interest
References
- Rathert, C.; Wyrwich, M.D.; Boren, S.A. Patient-centered care and outcomes: A systematic review of the literature. Med. Care Res. Rev. MCRR 2013, 70, 351–379. [Google Scholar] [CrossRef] [PubMed]
- Canestaro, W.J.; Edwards, T.C.; Patrick, D.L. Systematic review: Patient-reported outcome measures in coeliac disease for regulatory submissions. Aliment. Pharmacol. Ther. 2016, 44, 313–331. [Google Scholar] [CrossRef] [PubMed]
- U.S. Department of Health and Human Services FDA Center for Drug Evaluation and Research; U.S. Department of Health and Human Services FDA Center for Biologics Evaluation and Research; U.S. Department of Health and Human Services FDA Center for Devices and Radiological Health. Guidance for industry: Patient-reported outcome measures: Use in medical product development to support labeling claims: Draft guidance. Health Qual. Life Outcomes 2006, 4, 79. [Google Scholar] [CrossRef] [PubMed]
- Marshall, S.; Haywood, K.; Fitzpatrick, R. Impact of patient-reported outcome measures on routine practice: A structured review. J. Eval. Clin. Pract. 2006, 12, 559–568. [Google Scholar] [CrossRef] [PubMed]
- James, K.A.; Cadel, L.; Hitzig, S.L.; Guilcher, S.J.T. Patient-reported outcome measures for medication-related quality of life: A scoping review. Res. Soc. Adm. Pharm. RSAP 2022, 18, 3501–3523. [Google Scholar] [CrossRef] [PubMed]
- Janssens, A.; Thompson Coon, J.; Rogers, M.; Allen, K.; Green, C.; Jenkinson, C.; Tennant, A.; Logan, S.; Morris, C. A systematic review of generic multidimensional patient-reported outcome measures for children, part I: Descriptive characteristics. Value Health J. Int. Soc. Pharmacoecon. Outcomes Res. 2015, 18, 315–333. [Google Scholar] [CrossRef] [PubMed]
- Albach, C.A.; Wagland, R.; Hunt, K.J. Cross-cultural adaptation and measurement properties of generic and cancer-related patient-reported outcome measures (PROMs) for use with cancer patients in Brazil: A systematic review. Qual. Life Res. Int. J. Qual. Life Asp. Treat. Care Rehabil. 2018, 27, 857–870. [Google Scholar] [CrossRef]
- Griffiths, C.; Armstrong-James, L.; White, P.; Rumsey, N.; Pleat, J.; Harcourt, D. A systematic review of patient reported outcome measures (PROMs) used in child and adolescent burn research. Burns J. Int. Soc. Burn Inj. 2015, 41, 212–224. [Google Scholar] [CrossRef]
- Shah, N.S.; Umeda, Y.; Suriel Peguero, E.; Erwin, J.T.; Laughlin, R. Outcome reporting in total ankle arthroplasty: A systematic review. J. Foot Ankle Surg. Off. Publ. Am. Coll. Foot Ankle Surg. 2021, 60, 770–776. [Google Scholar] [CrossRef]
- Heemskerk, J.L.; Oluwadara Akinduro, O.; Clifton, W.; Quiñones-Hinojosa, A.; Abode-Iyamah, K.O. Long-term clinical outcome of minimally invasive versus open single-level transforaminal lumbar interbody fusion for degenerative lumbar diseases: A meta-analysis. Spine J. Off. J. N. Am. Spine Soc. 2021, 21, 2049–2065. [Google Scholar] [CrossRef]
- Canovas, F.; Dagneaux, L. Quality of life after total knee arthroplasty. Orthop. Traumatol. Surg. Res. OTSR 2018, 104, S41–S46. [Google Scholar] [CrossRef] [PubMed]
- Klein, I.; Tidhar, D.; Kalichman, L. Lymphatic treatments after orthopedic surgery or injury: A systematic review. J. Bodyw. Mov. Ther. 2020, 24, 109–117. [Google Scholar] [CrossRef] [PubMed]
- Li, J.W.; Ma, Y.S.; Xiao, L.K. Postoperative pain management in total knee arthroplasty. Orthop. Surg. 2019, 11, 755–761. [Google Scholar] [CrossRef] [PubMed]
- Zhou, L.; Yang, H.; Hai, Y.; Cheng, Y. Perioperative low-dose ketamine for postoperative pain management in spine surgery: A systematic review and meta-analysis of randomized controlled trials. Pain Res. Manag. 2022, 2022, 1507097. [Google Scholar] [CrossRef] [PubMed]
- Bernstein, D.N.; Agarwal-Harding, K.J.; Dyer, G.S.M.; Rozental, T.D. Outcomes measurement in global hand surgery. J. Hand Surg. 2020, 45, 865–868. [Google Scholar] [CrossRef] [PubMed]
- Wilson, I.; Bohm, E.; Lübbeke, A.; Lyman, S.; Overgaard, S.; Rolfson, O.; W-Dahl, A.; Wilkinson, M.; Dunbar, M. Orthopaedic registries with patient-reported outcome measures. EFORT Open Rev. 2019, 4, 357–367. [Google Scholar] [CrossRef] [PubMed]
- Aria, M.; Alterisio, A.; Scandurra, A.; Pinelli, C.; D’Aniello, B. The scholar’s best friend: Research trends in dog cognitive and behavioral studies. Anim. Cogn. 2021, 24, 541–553. [Google Scholar] [CrossRef]
- Aria, M.; Cuccurullo, C. bibliometrix: An R-tool for comprehensive science mapping analysis. J. Informetr. 2017, 11, 959–975. [Google Scholar] [CrossRef]
- Donthu, N.; Kumar, S.; Mukherjee, D.; Pandey, N.; Lim, W.M. How to conduct a bibliometric analysis: An overview and guidelines. J. Bus. Res. 2021, 133, 285–296. [Google Scholar] [CrossRef]
- Ziegenfuss, J.Y.; Grossman, E.S.; Solberg, L.I.; Chrenka, E.A.; Werner, A.; Asche, S.E.; Norton, C.K.; Nelson, A.; Reams, M.; Whitebird, R.R. Is the promise of PROMs being realized? Implementation experience in a large orthopedic practice. Am. J. Med. Qual. Off. J. Am. Coll. Med. Qual. 2022, 37, 489–494. [Google Scholar] [CrossRef]
- Klifto, K.; Klifto, C.; Slover, J. Current concepts of shared decision making in orthopedic surgery. Curr. Rev. Musculoskelet. Med. 2017, 10, 253–257. [Google Scholar] [CrossRef] [PubMed]
- Hamann, J.; Parchmann, A.; Sassenberg, N.; Bronner, K.; Albus, M.; Richter, A.; Hoppstock, S.; Kissling, W. Training patients with schizophrenia to share decisions with their psychiatrists: A randomized-controlled trial. Soc. Psychiatry Psychiatr. Epidemiol. 2017, 52, 175–182. [Google Scholar] [CrossRef] [PubMed]
- Litchfield, I.; Greenfield, S.; Turner, G.M.; Finnikin, S.; Calvert, M.J. Implementing PROMs in routine clinical care: A qualitative exploration of GP perspectives. BJGP Open 2021, 5, 1–14. [Google Scholar] [CrossRef]
- De Vroey, H.; Claeys, K.; Shariatmadar, K.; Weygers, I.; Vereecke, E.; Van Damme, G.; Hallez, H.; Staes, F. High levels of kinesiophobia at discharge from the hospital may negatively affect the short-term functional outcome of patients who have undergone knee replacement surgery. J. Clin. Med. 2020, 9, 738. [Google Scholar] [CrossRef] [PubMed]
- Goyal, D.K.C.; Divi, S.N.; Bowles, D.R.; Nicholson, K.J.; Mujica, V.E.; Kaye, I.D.; Kurd, M.F.; Woods, B.I.; Radcliff, K.E.; Rihn, J.A.; et al. How does smoking influence patient-reported outcomes in patients after lumbar fusion? Clin. Spine Surg. 2021, 34, E45–E50. [Google Scholar] [CrossRef] [PubMed]
- Divi, S.N.; Goyal, D.K.C.; Galetta, M.S.; Fang, T.; Padua, F.G.; Reyes, A.A.; Kaye, I.D.; Kurd, M.F.; Woods, B.I.; Radcliff, K.E.; et al. How does body mass index influence outcomes in patients after lumbar fusion? Spine 2020, 45, 555–561. [Google Scholar] [CrossRef] [PubMed]
- Neuprez, A.; Delcour, J.P.; Fatemi, F.; Gillet, P.; Crielaard, J.M.; Bruyère, O.; Reginster, J.Y. Patients’ expectations impact their satisfaction following total hip or knee arthroplasty. PLoS ONE 2016, 11, e0167911. [Google Scholar] [CrossRef]
- Mancuso, C.A.; Salvati, E.A.; Johanson, N.A.; Peterson, M.G.; Charlson, M.E. Patients’ expectations and satisfaction with total hip arthroplasty. J. Arthroplast. 1997, 12, 387–396. [Google Scholar] [CrossRef]
- Abram, S.G.F.; Middleton, R.; Beard, D.J.; Price, A.J.; Hopewell, S. Patient-reported outcome measures for patients with meniscal tears: A systematic review of measurement properties and evaluation with the COSMIN checklist. BMJ Open 2017, 7, e017247. [Google Scholar] [CrossRef]
- Ramkumar, P.N.; Harris, J.D.; Noble, P.C. Patient-reported outcome measures after total knee arthroplasty: A systematic review. Bone Jt. Res. 2015, 4, 120–127. [Google Scholar] [CrossRef]
- Williamson, P.R.; Altman, D.G.; Blazeby, J.M.; Clarke, M.; Devane, D.; Gargon, E.; Tugwell, P. Developing core outcome sets for clinical trials: Issues to consider. Trials 2012, 13, 132. [Google Scholar] [CrossRef] [PubMed]
- Perez, J.L.; Mosher, Z.A.; Watson, S.L.; Sheppard, E.D.; Brabston, E.W.; McGwin, G., Jr.; Ponce, B.A. Readability of orthopaedic patient-reported outcome measures: Is there a fundamental failure to communicate? Clin. Orthop. Relat. Res. 2017, 475, 1936–1947. [Google Scholar] [CrossRef] [PubMed]
- Péchon, P.H.M.; Butler, K.; Murphy, G.; Singer, G.C. The perils of PROMs: Question 5 of the Oxford Hip Score is ambiguous to 10% of English-speaking patients: A survey of 135 patients. Hip Int. J. Clin. Exp. Res. Hip Pathol. Ther. 2019, 29, 299–302. [Google Scholar] [CrossRef] [PubMed]
- Kane, L.T.; Namdari, S.; Plummer, O.R.; Beredjiklian, P.; Vaccaro, A.; Abboud, J.A. Use of computerized adaptive testing to develop more concise patient-reported outcome measures. JB JS Open Access 2020, 5, e0052. [Google Scholar] [CrossRef] [PubMed]
- Banerjee, S.; Plummer, O.; Abboud, J.A.; Deirmengian, G.K.; Levicoff, E.A.; Courtney, P.M. Accuracy and validity of computer adaptive testing for outcome assessment in patients undergoing total hip arthroplasty. J. Arthroplast. 2020, 35, 756–761. [Google Scholar] [CrossRef] [PubMed]
- Reeve, W.J.; Williams, D.H. When to operate: Online patient-reported outcome measures (PROMs) can help decide. BMJ Case Rep. 2016, 2016, bcr2015214153. [Google Scholar] [CrossRef] [PubMed]
- Burnand, H.G.; McMahon, S.E.; Sayers, A.; Tshengu, T.; Gibson, N.; Blom, A.W.; Whitehouse, M.R.; Wylde, V. The EQ-5D-3L administered by text message compared to the paper version for hard-to-reach populations in a rural South African trauma setting: A measurement equivalence study. Arch. Orthop. Trauma Surg. 2021, 141, 947–957. [Google Scholar] [CrossRef] [PubMed]
- Tarrasch, J.; England, P.; Hurst, V.T.; McDonald, D.; O’Keefe, R.; Cipriano, C. Patients with metastatic disease are at highest risk for anxiety and depression in an orthopedic oncology patient population. JCO Oncol. Pract. 2022, 18, e1407–e1416. [Google Scholar] [CrossRef]
- Baker, M.; Albelo, F.; Zhang, T.; Schneider, M.B.; Foster, M.J.; Aneizi, A.; Hasan, S.A.; Gilotra, M.N.; Henn, R.F., 3rd. PROMIS depression and anxiety in shoulder surgery patients. Bone Jt. J. 2022, 104, 479–485. [Google Scholar] [CrossRef]







Disclaimer/Publisher’s Note: The statements, opinions and data contained in all publications are solely those of the individual author(s) and contributor(s) and not of MDPI and/or the editor(s). MDPI and/or the editor(s) disclaim responsibility for any injury to people or property resulting from any ideas, methods, instructions or products referred to in the content. |
© 2023 by the authors. Licensee MDPI, Basel, Switzerland. This article is an open access article distributed under the terms and conditions of the Creative Commons Attribution (CC BY) license (https://creativecommons.org/licenses/by/4.0/).
Share and Cite
Jin, H.; He, M.; Xie, W.; Xiong, Z.; Deng, Z.; Li, Y. Research Trends of Patient-Reported Outcome Measures in Orthopedic Medical Practices: A Bibliometric and Visualized Study. Medicina 2023, 59, 1664. https://doi.org/10.3390/medicina59091664
Jin H, He M, Xie W, Xiong Z, Deng Z, Li Y. Research Trends of Patient-Reported Outcome Measures in Orthopedic Medical Practices: A Bibliometric and Visualized Study. Medicina. 2023; 59(9):1664. https://doi.org/10.3390/medicina59091664
Chicago/Turabian StyleJin, Hongfu, Miao He, Wenqing Xie, Zixuan Xiong, Zhenhan Deng, and Yusheng Li. 2023. "Research Trends of Patient-Reported Outcome Measures in Orthopedic Medical Practices: A Bibliometric and Visualized Study" Medicina 59, no. 9: 1664. https://doi.org/10.3390/medicina59091664
APA StyleJin, H., He, M., Xie, W., Xiong, Z., Deng, Z., & Li, Y. (2023). Research Trends of Patient-Reported Outcome Measures in Orthopedic Medical Practices: A Bibliometric and Visualized Study. Medicina, 59(9), 1664. https://doi.org/10.3390/medicina59091664

