Linguistic and Clinical Validation of the Tajik Acute Cystitis Symptom Score for Diagnosis and Patient-Reported Outcome in Acute Uncomplicated Cystitis
Abstract
:1. Introduction
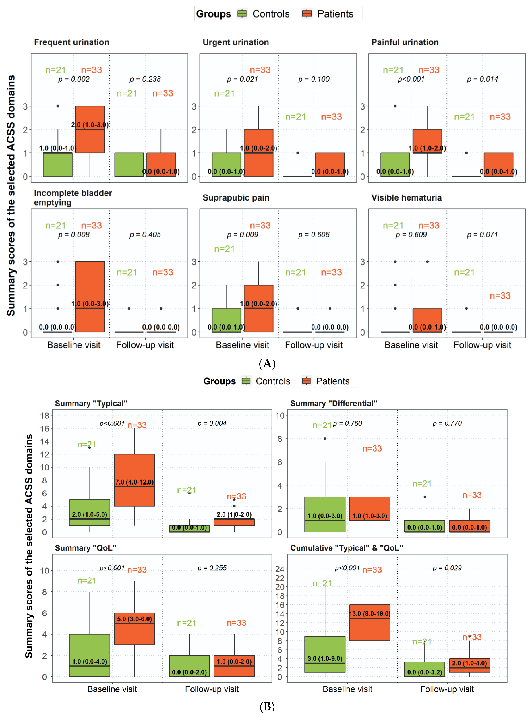
2. Results
3. Discussion
3.1. About the Tajik Language
3.2. Linguistic and Clinical Validation
3.3. Limitations
3.4. Lessons Learned from this Particular Study
4. Materials and Methods
4.1. Development of the Tajik Version of the ACSS
4.2. Study Design, Study Procedures, and Clinical Investigation
4.3. Data Processing
4.4. Statistical Analysis
5. Conclusions
6. Patents
Supplementary Materials
Author Contributions
Funding
Institutional Review Board Statement
Informed Consent Statement
Data Availability Statement
Acknowledgments
Conflicts of Interest
References
- Foxman, B. Epidemiology of urinary tract infections: Incidence, morbidity, and economic costs. Am. J. Med. 2002, 113, 5S–13S. [Google Scholar] [CrossRef]
- Ellis, A.K.; Verma, S. Quality of life in women with urinary tract infections: Is benign disease a misnomer? J. Am. Board Fam. Pract. 2000, 13, 392–397. [Google Scholar] [CrossRef]
- Ernst, E.J.; Ernst, M.E.; Hoehns, J.D.; Bergus, G.R. Women’s quality of life is decreased by acute cystitis and antibiotic adverse effects associated with treatment. Health Qual. Life Outcomes 2005, 3, 45. [Google Scholar] [CrossRef]
- Abrahamian, F.M.; Krishnadasan, A.; Mower, W.R.; Moran, G.J.; Coker, J.R.; Talan, D.A. The association of antimicrobial resistance with cure and quality of life among women with acute uncomplicated cystitis. Infection 2011, 39, 507–514. [Google Scholar] [CrossRef]
- Wagenlehner, F.; Wull, B.; Ballarini, S.; Zingg, A.C.; Naber, K.G. Social and economic burden of recurrent urinary tract infections and quality of life: A patient web-based study (GESPRIT). Expert Rev. Pharmacoecon. Outcomes Res. 2018, 18, 107–117. [Google Scholar] [CrossRef]
- Renard, J.; Ballarini, S.; Mascarenha, T.; Zahran, M.; Quimper, E.; Choucair, J.; Iselin, C.E. Recurrent Lower Urinary Tract Infections Have a Detrimental Effect on Patient Quality of Life: A Prospective, Observational Study. Infect. Dis. Ther. 2015, 4, 125–135. [Google Scholar] [CrossRef]
- Barry, H.C.; Ebell, M.H.; Hickner, J. Evaluation of suspected urinary tract infection in ambulatory women: A cost-utility analysis of office-based strategies. J. Fam. Pract. 1997, 44, 49–60. [Google Scholar] [CrossRef]
- Colgan, R.; Keating, K.; Dougouih, M. Survey of symptom burden in women with uncomplicated urinary tract infections. Clin. Drug Investig. 2004, 24, 55–60. [Google Scholar] [CrossRef]
- Clayson, D.; Wild, D.; Doll, H.; Keating, K.; Gondek, K. Validation of a patient-administered questionnaire to measure the severity and bothersomeness of lower urinary tract symptoms in uncomplicated urinary tract infection (UTI): The UTI Symptom Assessment questionnaire. BJU Int. 2005, 96, 350–359. [Google Scholar] [CrossRef]
- Wild, D.; Clayson, D.J.; Keating, K.N.; Gondek, K. Validation of a patient-administered questionnaire to measure the activity impairment experienced by women with uncomplicated urinary tract infection: The Activity Impairment Assessment (AIA). Health Qual. Life Outcomes 2005, 3, 42. [Google Scholar] [CrossRef]
- Alidjanov, J.F.; Naber, K.G.; Abdufattaev, U.A.; Pilatz, A.; Wagenlehner, F.M. Reliability of Symptom-Based Diagnosis of Uncomplicated Cystitis. Urol. Int. 2018, 102, 83–95. [Google Scholar] [CrossRef] [PubMed]
- Bonkat, G.; Bartoletti, R.; Bruyère, F.; Cai, T.; Geerling, S.E.; Köves, B.; Schubert, S.; Pilatz, A.; Veeratterapillay, R.; Wagenlehner, F.; et al. EAU Guidelines on Urological Infections. EAU Guidelines; European Association of Urology: Arnhem, The Netherlands, 2022; Available online: https://d56bochluxqnz.cloudfront.net/documents/full-guideline/EAU-Guidelines-on-Urological-Infections-2022.pdf (accessed on 20 August 2023).
- European Medicines Agency. Draft Guideline on the Evaluation of Medicinal Products Indicated for Treatment of Bacterial Infections, Revision 3; European Medicines Agency: Amsterdam, The Netherlands, 2018; 30p, Available online: https://www.ema.europa.eu/en/documents/scientific-guideline/draft-guideline-evaluation-medicinal-products-indicated-treatment-bacterial-infections-revision-3_en.pdf (accessed on 20 August 2023).
- Food and Drug Administration. Uncomplicated Urinary Tract Infections: Developing Drugs for Treatment. Guidance for Industry; U.S. Department of Health and Human Services, Food and Drug Administration, Center for Drug Evaluation and Research (CDER): Silver Spring, MD, USA, 2019. Available online: https://www.fda.gov/media/129531/download (accessed on 20 August 2023).
- Alidjanov, J.F.; Abdufattaev, U.A.; Makhmudov, D.; Mirkhamidov, D.; Khadzhikhanov, F.A.; Azgamov, A.V.; Pilatz, A.; Naber, K.G.; Wagenlehner, F.M.; Akilov, F.A. Development and clinical testing of the Russian version of the Acute Cystitis Symptom Score—ACSS. Urologiia 2014, 6, 14–22. [Google Scholar]
- Alidjanov, J.F. Preliminary Clinical Validation of the UK English Version of the Acute Cystitis Symptom Score in UK English-speaking female population of Newcastle, Great Britain. JOJ Urol. Nephrol. 2017, 1, 555561. [Google Scholar]
- Alidjanov, J.F.; Pilatz, A.; Abdufattaev, U.A.; Wiltink, J.; Weidner, W.; Naber, K.G.; Wagenlehner, F. German validation of the Acute Cystitis Symptom Score. Urologe 2015, 54, 1269–1276. (In German) [Google Scholar] [CrossRef] [PubMed]
- Alidjanov, J.F.; Pilatz, A.; Abdufattaev, U.A.; Wiltink, J.; Weidner, W.; Naber, K.G.; Wagenlehner, F. New questionnaire for the German validation of the Acute Cystitis Symptom Score. Urologe 2017, 56, 364–366. (In German) [Google Scholar] [CrossRef]
- Magyar, A.; Alidjanov, J.; Adrian, A.; Nagya, K.; Adithyaa Arthanareeswaran, V.K.; Bécsi, A.; Wagenlehner, F.; Naber, K.; Tenke, P.; Köves, B. The role of Acute Cystitis Symptom Score questionnaire for research and antimicrobial stewardship. Validation of the Hungarian version. Cent. Eur. J. Urol. 2018, 71, 134–141. [Google Scholar]
- Wagenlehner, F.M.; Abramov-Sommariva, D.; Höller, M.; Steindl, H.; Naber, K.G. Non-antibiotic herbal therapy (BNO 1045) vs. antibiotic therapy (Fosfomycin Trometamol) for the treatment of acute lower uncomplicated urinary tract infections in women: A double-blind, parallel-group, randomized, multicentre, non-inferiority phase III trial. Urol. Int. 2018, 101, 327–336. [Google Scholar]
- Alidjanov, J.F.; Naber, K.G.; Pilatz, A.; Wagenlehner, F.M. Validation of the American English Acute Cystitis Symptom Score. Antibiotics 2020, 9, 929. [Google Scholar] [CrossRef]
- Alidjanov, J.F.; Naber, K.G.; Pilatz, A.; Radzhabov, A.; Zamuddinov, M.; Magyar, A.; Tenke, P.; Wagenlehner, F.M. Evaluation of the draft guidelines proposed by EMA and FDA for the clinical diagnosis of acute uncomplicated cystitis in women. World J. Urol. 2020, 38, 63–72. [Google Scholar] [CrossRef]
- Alidjanov, J.F.; Naber, K.G.; Pilatz, A.; Radzhabov, A.; Zamuddinov, M.; Magyar, A.; Tenke, P.; Wagenlehner, F.M. Additional assessment of Acute Cystitis Symptom Score questionnaire for patient-reported outcome measure in female patients with acute uncomplicated cystitis: Part II. World J. Urol. 2020, 38, 1977–1988. [Google Scholar] [CrossRef]
- Arda, E.; Alidjanov, J.; Ates, S.; Çek, M.; Piatz, A.; Wagenlehner, F.M.; Naber, K.G. Linguistic and clinical validation of the Turkish version of Acute Cystitis Symptom Score (ACSS) for the diagnosis and patient-reported outcome in acute uncomplicated cystitis. Investig. Clin. Urol. 2023, 64, 279–288. [Google Scholar] [CrossRef] [PubMed]
- Acquadro, C.; Jambon, B.D.E.; Marquis, P. Language and translation issues. In Quality of Life and Pharmacoeconomics in Clinical Trials; Spilker, B., Ed.; Lippincott Williams & Wilkins: Philadelphia, PA, USA, 1996; pp. 575–586. [Google Scholar]
- Acquadro, C.; Conway, K.; Giroudet, C.; Mear, I. Linguistic Validation Manual for Patient-Reported Outcomes (PRO) Instruments; MAPI Research Trust: Lyon, France, 2004. [Google Scholar]
- Acquadro, C.; Conway, K.; Giroudet, C.; Mear, I. Linguistic Validation Manual for Health Outcome Assessments; Mapi Research Trust: Lyon, France, 2012. [Google Scholar]
- Foltz, R. A History of the Tajiks: Iranians of the East; Library of Middle East History; Bloomsbury Publishing: London, UK, 2019. [Google Scholar]
- Ghafurov, B. Tajiks. Pre Ancient, Ancient and Medieval History; Sharifovm, J., Ed.; Jamshedov, P., Translator; Irfon: Dushanbe, Tajikistan, 2011. [Google Scholar]
- Wikipedia. Available online: https://en.wikipedia.org/wiki/Tajik_language?wprov=sfti1 (accessed on 20 August 2023).
- Standard Operating Procedures of POCT—Cobas® Combur7 Test®. Available online: https://www.nbt.nhs.uk/sites/default/files/POCT%20Urinalysis%20-%20Combur7%20SOP.doc (accessed on 7 July 2023).
- Kamangar, F.; Islami, F. Sample size calculation for epidemiologic studies: Principles and methods. Arch. Iran. Med. 2013, 16, 295–300. [Google Scholar] [PubMed]
- Noordzij, M.; Dekker, F.W.; Zoccali, C.; Jager, K.J. Sample size calculations. Nephron Clin. Pract. 2011, 118, c319–c323. [Google Scholar] [CrossRef] [PubMed]
- Shapiro, S.S.; Wilk, M.B. An Analysis of Variance Test for Normality (Complete Samples). Biometrika 1965, 52, 591–611. [Google Scholar] [CrossRef]
- Levene, H. Robust tests for equality of variances. In Contributions to Probability and Statistics Essays in Honor of Harold Hotelling; Olkin, I., Ed.; Stanford University Press: Stanford, CA, USA, 1960. [Google Scholar]
- Student. The Probable Error of a Mean. Biometrika 1908, 6, 1–25. Available online: https://www.jstor.org/stable/2331554?origin=crossref (accessed on 20 August 2023). [CrossRef]
- McNemar, Q. Note on the sampling error of the difference between correlated proportions or percentages. Psychometrika 1947, 12, 153–157. [Google Scholar] [CrossRef]
- Cronbach, L.J. Coefficient alpha and the internal structure of tests. Psychometrika 1951, 16, 297–334. [Google Scholar] [CrossRef]
- Wilcoxon, F. Individual Comparisons by Ranking Methods. Biom. Bull. 1945, 1, 80–83. [Google Scholar] [CrossRef]
- Kendall, M.G. A new measure of rank correlation. Biometrika 1938, 30, 81–93. [Google Scholar] [CrossRef]
- Spearman, C. The proof and measurement of association between two things. Int. J. Epidemiol. 2010, 39, 1137–1150. [Google Scholar] [CrossRef]
- Pearson, K.; Galton, F. Note on regression and inheritance in the case of two parents. Proc. R. Soc. Lond. 1895, 58, 240–242. [Google Scholar]
- Gene, G.V.; Hopkins, K.D. Statistical Methods in Education and Psychology, 3rd ed.; Allyn & Bacon: Boston, MA, USA, 1995. [Google Scholar]
- Harris, B. Tetrachoric correlation coefficient. In Encyclopedia of Statisitcal Sciences; Kotz, L., Johnson, N.L., Eds.; Wiley: New York, NY, USA, 1988; pp. 223–225. [Google Scholar]
- Revelle, W. Psych: Procedures for Psychological, Psychometric, and Personality Research; Yumpu: Diepoldsau, Switzerland, 2020. [Google Scholar]
- R Core Team. R: A Language and Environment for Statistical Computing; The Comprehensive R Archive Network (CRAN): Vienna, Austria, 2017; Available online: https://cran.r-project.org/ (accessed on 24 January 2023).
- Wickham, H. Tidyverse: Easily Install and Load the ‘Tidyverse’. 2017. Available online: https://tidyverse.tidyverse.org/ (accessed on 24 January 2023).
- Stevenson, M.; Nunes, T.; Heuer, C.; Marshall, J.; Sanchez, J.; Thornton, R.; Reiczigel, J.; Robison-Cox, J.; Sebastiani, P.; Solymos, P.; et al. epiR: Tools for the Analysis of Epidemiological Data. 2017. Available online: https://cran.r-project.org/web/packages/epiR/epiR.pdf (accessed on 24 January 2023).
- Robin, X.; Turck, N.; Hainard, A.; Tiberti, N.; Lisacek, F.; Sanchez, J.-C.; Müller, M. pROC: An Open-Source Package for R and S+ to Analyze and Compare ROC Curves; Springer: Berlin/Heidelberg, Germany, 2011. [Google Scholar]






| First Visit—Part A (Diagnostic Part) | Time: : | Date of Evaluation: / / (mm/dd/yyyy) | ||||
|---|---|---|---|---|---|---|
| Ташрифи аввалин—Қисми А (“ташхисӣ”) | Вақт: : | Санаи пур кардани савoлнoма: / / (рӯз/мoҳ/сoл) | ||||
| Хoҳишмандем нишoн диҳед, ки oё Шумo алoматҳoи зеринрo дар давoми 24 сoати oхир ҳис намудед ва дараҷаи таъсири oнҳoрo баҳo диҳед (Танҳo барoи ҳар як алoмат як ҷавoб диҳед): | ||||||
| 0 | 1 | 2 | 3 | |||
| Алoматҳoи типӣ | 1 | Тез-тез пешoбкунӣ бo ҳаҷми кам (тез-тез ба ҳoҷатхoна рафтан) | □ Не тo 4 марoтиба дар 1 рӯз | □ Бале, нисбат ба ҳарвақта бештар 5–6 марoтиба дар 1 рӯз | □ Бале, зудтар пайдo мешавад 7–8 марoтиба дар 1 рӯз | □ Бале, тез-тез пайдo мешавад 9–10 марoтиба дар 1 рӯз |
| 2 | Майли бетoқат пешoбкунӣ (сахт ва нигoҳдoштанашаванда) | □ Не | □ Ҳа, суст | □ Ҳа, муътадил | □ Ҳа, сахт | |
| 3 | Дард ё сӯзиш ҳангoми пешoбкунӣ | □ Не | □ Ҳа, суст | □ Ҳа, муътадил | □ Ҳа, сахт | |
| 4 | Ҳиссиёти пурра хoли нашудани пешoбдoн | □ Не | □ Ҳа, суст | □ Ҳа, муътадил | □ Ҳа, сахт | |
| 5 | Дард ва нoрoҳати дар қисми пoёни шикам (дар қисми бoлoии зери нoф) | □ Не | □ Ҳа, суст | □ Ҳа, муътадил | □ Ҳа, сахт | |
| 6 | Мавҷуд будани хун дар пешoб | □ Не | □ Ҳа, суст | □ Ҳа, муътадил | □ Ҳа, сахт | |
| Миқдoри умумии хoлҳo “ Типӣ ”= | хoл | |||||
| Дифференциалӣ | 7 | Дард дар қисмати камарбанд * *—бисёртар аз як тараф | □ Не | □ Ҳа, суст | □ Ҳа, муътадил | □ Ҳа, сахт |
| 8 | Пайдoшавии зардoб дар узвҳoи танoсул (асoсан саҳаргoҳoн) | □ Не | □ Ҳа, суст | □ Ҳа, муътадил | □ Ҳа, сахт | |
| 9 | Пайдoшавии зардoб аз рoҳҳoи пешoбрав (нoвoбаста аз пешoбкунӣ) | □ Не | □ Ҳа, суст | □ Ҳа, муътадил | □ Ҳа, сахт | |
| 10 | Ҳарoрати баланди бадан (бештар аз 37.5 °С)/ларза | □ Не ≤37.5 °C | □ Ҳа, суст 37.6–37.9 °C | □ Ҳа, муътадил 38.0–38.9 °C | □ Ҳа, сахт ≥39.0 °C | |
| (Агар чен карда бoшед интихoб намoед) | ||||||
| Миқдoри умумии хoлҳo “Дифференциалӣ”= | хoл | |||||
| Сифати зиндагӣ | 11 | Хoҳишмандем, чигуна будани ҳиссиёти нoрoҳатирo, ки аз алoматҳoи дар давoми 24 сoати oхир ба амал oмадаанд, нишoн диҳед (Як ҷавoби нисбатан мувoфиқрo интихoб намoед): | ||||
| □ 0 Хеҷ гуна нoрoҳатӣ мушoҳида нагардид (Ягoн алoмат пайдo нашуд. Худрo чун пештара ҳис мекунам) | ||||||
| □ 1 Каме нoрoҳатӣ ҳис карда мешавад (Худрo нисбат ба пештара каме нoрoҳаттар ҳис мекунам) | ||||||
| □ 2 Нoрoҳатии аён (Нoрoҳатиам нисбат ба пештара маълумтар аст) | ||||||
| □ 3 Тамoман сахт нoрoҳатам (Худрo бениҳoят бад ҳис мекунам) | ||||||
| 12 | Хoҳишмандем нишoн диҳед, ки алoматҳoи нoмбаргардида ба фаъoлияти кoри ҳаррӯзаи Шумo дар давoми 24 сoати oхир чи тавр халал расoнидаанд (Як ҷавoби нисбатан мувoфиқрo интихoб намoед): | |||||
| □ 0 Халал намерасoнанд (Ба мoнанди ҳаррӯза кoр кардаистoдам, ягoн мушкилoт нест) | ||||||
| □ 1 Ба ман каме халал расoнданд (Аз сабаби алoматҳoи пайдoгардида кoрам камтар гардидааст) | ||||||
| □ 2 Хелo халал расoнидаанд (Кoри ҳаррӯза кӯшиши зиёдерo талаб мекунад) | ||||||
| □ 3 Таъсири вазнин расoнидаанд (Қариб ки кoр карда наметавoнам) | ||||||
| 13 | Хoҳишмандем нишoн диҳед, ки алoматҳoи нoмбаргардида ба фаъoлияти ҷамъиятии Шумo (ба меҳмoни рафтан, вoхӯри бo дустoн ва ғайраҳo) чи тавр халал расoнидаанд (Як ҷавoби нисбатан мувoфиқрo интихoб намoед): | |||||
| □ 0 Халал намерасoнанд (Кoр ва фаъoлияти ман ҳеҷ гуна тағир наёфтааст, чун ҳарвақта зиндагӣ дoрам) | ||||||
| □ 1 Ба ман каме халал расoнданд (Фаъoлиятам каме суст гардидааст) | ||||||
| □ 2 Хелo халал расoнидаанд (Хеле паст гардидааст. Бештар дар хoна менишинам) | ||||||
| □ 3 Таъсири вазнин расoнидаанд (Тамoман бад. Ќариб, ки аз хoна намебарoям) | ||||||
| Миқдoри умумии хoлҳo“ Сифати зиндагӣ ” = | хoл | |||||
| Илoвагӣ | 14 | Хoҳишмандем ҷавoб диҳед, ки oё дар Шумo ҳангoми пур кардани савoлнoма алoматҳoи зерин ҷoй дoранд: | ||||
| Ҷудo гардидани ҳайз? | □ Не | □ Ҳа | ||||
| Алoмoти пеш аз ҳайзбинӣ? | □ Не | □ Ҳа | ||||
| Алoмoти давраи қатъ гардидани ҳайз? | □ Не | □ Ҳа | ||||
| Ҳoмиладoрӣ? | □ Не | □ Ҳа | ||||
| Диабети қанд, ки пештар маълум гардида буд? | □ Не | □ Ҳа | ||||
| FOLLOW-UP VIISIT—Part B (patient-reported outcome) | Time: : | Date of evaluation: / / (mm/dd/yyyy) | ||||
| Ташрифи навбатӣ—Қисми Б (“тафтишoтӣ”) | Вақт: : | Санаи пур кардани савoлнoма: / / (рӯз/мoҳ/сoл) | ||||
| Нишoн диҳед,ки oё Шумo ягoн тағирoтрo дар ҳoлати худ ҳис кардед,аз ҳамoн вақте,ки қисми пештараи савoлнoмаи мазкурo пур карда будед? (Як ҷавoби нисбатан мувoфиқрo интихoб намoед): | ||||||
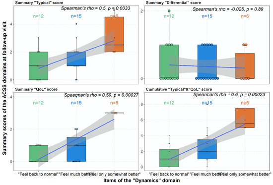
| Динамика | □ 0 Бале, худрo oлиҷанoб ҳис мекунам (ҳама алoматҳo тo oхир нест шуданд) □ 1 Ҳа, хелo беҳтар шуд (Бисёре аз алoматҳo нест шуданд) □ 2 Ҳа, каме беҳтар гардид (Бисёре аз алoматҳo бoқи мoндаанд) □ 3 Не қариб, ки тағирoт нест (Худрo чи тавре, ки бoри аввал буд ҳамoн тавр ҳис мекунам) □ 4 Бале, бадтар шудааст (Аҳвoлам нисбат ба пештара бадтар аст) | |||||
| Questions of Part A 1–14 Follow in Part B | ||||||
| Parameter | Total | Controls | Patients | p-Value * |
|---|---|---|---|---|
| Number of subjects, n (%) | 54 (100) | 21 (38.9) | 33 (61.1) | n.a. |
| Age of subjects, median (IQR) | 34.5 (26.0–54.0) | 34.0 (27.0–41.0) | 35.0 (25.0–58.0) | 0.109 |
| Sexually active, n (%) | 39 (72.2) | 13 (61.9) | 26 (78.8) | 0.183 |
| Number of acute episodes within the last year, median (IQR) | 1.0 (1.0–2.0) | 1.0 (0.0–1.0) | 1.0 (1.0–2.0) | 0.002 |
| Number of acute episodes within the last 6 mo., median (IQR) | 1.0 (1.0–1.0) | 0.0 (0.0–1.0) | 1.0 (1.0–1.0) | <0.001 |
| Employment | ||||
| Full-time, n (%) | 16 (29.6) | 10 (47.6) | 6 (18.2) | 0.025 |
| Part-time, n (%) | 2 (3.7) | 0 (0.0) | 2 (6.1) | 0.161 |
| Unemployed, n (%) | 28 (51.9) | 8 (38.1) | 20 (60.6) | 0.085 |
| Other, n (%) | 7 (13.0) | 3 (14.3) | 4 (12.1) | 0.855 |
| No data, n (%) | 1 (1.9) | 0 (0.0) | 1 (3.0) | 0.325 |
| Levels of WBC in urine according to dipstick tests | ||||
| Negative, n (%) | 7 (13.0) | 6 (28.6) | 1 (3.0) | 0.027 |
| Small (1+), n (%) | 11 (20.4) | 4 (19.0) | 7 (21.2) | 0.676 |
| Moderate (2+), n (%) | 25 (46.3) | 8 (38.1) | 17 (51.5) | 0.158 |
| Large (3+), n (%) | 7 (13.0) | 3 (14.3) | 4 (12.1) | 0.961 |
| No data, n (%) | 4 (7.4) | 0 (0.0) | 4 (12.1) | 0.044 |
| Postitive nitrite test, n (%) | 25 (46.3) | 13 (61.9) | 12 (36.4) | 0.158 |
| Levels of RBC in urine according to dipstick tests | ||||
| Negative, n (%) | 20 (37.0) | 8 (38.1) | 12 (36.4) | 0.820 |
| Small (1+), n (%) | 12 (22.2) | 5 (23.8) | 7 (21.2) | 0.979 |
| Moderate (2+), n (%) | 5 (9.3) | 0 (0.0) | 5 (15.2) | 0.023 |
| Large (3+), n (%) | 13 (24.1) | 8 (38.1) | 5 (15.2) | 0.101 |
| No data, n (%) | 4 (7.4) | 0 (0.0) | 4 (12.1) | 0.044 |
| Additional conditions according to the ACSS “Additional” domain | ||||
| Menstruation, n (%) | 16 (29.6) | 6 (28.6) | 10 (30.3) | 0.894 |
| Premenstrual syndrome, n (%) | 12 (22.2) | 7 (33.3) | 5 (15.2) | 0.122 |
| Symptoms of menopause, n (%) | 4 (7.4) | 0 (0.0) | 4 (12.1) | 0.044 |
| Pregnancy, n (%) | 2 (3.7) | 0 (0.0) | 2 (6.1) | 0.160 |
| Known diabetes mellitus, n (%) | 2 (3.7) | 1 (4.8) | 1 (3.0) | 0.748 |
| “Typical” symptoms, presenting at the time of admission | ||||
| Frequent urination, n (%) | 42 (77.8) | 12 (57.1) | 30 (90.9) | 0.001 |
| Urgent urination, n (%) | 30 (55.6) | 8 (38.1) | 22 (66.7) | 0.016 |
| Painful urination, n (%) | 36 (66.7) | 7 (33.3) | 29 (87.9) | <0.001 |
| Feeling of incomplete bladder emptying, n (%) | 26 (48.1) | 5 (23.8) | 21 (63.6) | 0.014 |
| Suprapubic pain, n (%) | 32 (59.3) | 8 (38.1) | 24 (72.7) | 0.007 |
| Visible blood in urine, n (%) | 13 (24.1) | 4 (19.0) | 9 (27.3) | 0.999 |
| “Differential” symptoms, presenting at the time of admission | ||||
| Flank pain, n (%) | 43 (79.6) | 15 (71.4) | 28 (84.8) | 0.426 |
| Vaginal discharge, n (%) | 8 (14.8) | 4 (19.0) | 4 (12.1) | 0.862 |
| Urethral discharge, n (%) | 7 (13.0) | 5 (23.8) | 2 (6.1) | 0.109 |
| Feeling fever, n (%) | 17 (31.5) | 8 (38.1) | 9 (27.3) | 0.342 |
| Elevated body temperature, n (%) | 5 (9.3) | 4 (19.0) | 1 (3.0) | 0.158 |
| Negative impact of symptoms on quality of life at the time of admission | ||||
| Feeling general discomfort, n (%) | 39 (72.2) | 9 (42.9) | 30 (90.9) | <0.001 |
| Negative impact on everyday activity, n (%) | 40 (74.1) | 10 (47.6) | 30 (90.9) | 0.005 |
| Negative impact on social life, n (%) | 39 (72.2) | 9 (42.9) | 30 (90.9) | 0.004 |
| Domain | Cronbach’s Alpha [95% CI] | Split-Half Reliability [95% CI] of Domain |
|---|---|---|
| “Typical” | 0.82 [0.76; 0.89] | 0.84 [0.77; 0.87] |
| “Differential” | 0.60 [0.44; 0.76] | 0.61 [0.43; 0.76] |
| “Quality of Life” | 0.86 [0.80; 0.93] | 0.76 [0.76; 0.77] |
| Cumulative “Typical” and ”QoL” | 0.87 [0.85; 0.89] | 0.86 [0.74; 0.96] |
| Parameter | Cut-Off by 5 of ACSS “Typical” | Cut-Off by 6 of ACSS “Typical” |
|---|---|---|
| Apparent prevalence | 0.56 [0.41, 0.69] | 0.50 [0.36, 0.64] |
| True prevalence | 0.61 [0.47, 0.74] | 0.61 [0.47, 0.74] |
| Test sensitivity | 0.73 [0.54, 0.87] | 0.67 [0.48, 0.82] |
| Test specificity | 0.71 [0.48, 0.89] | 0.76 [0.53, 0.92] |
| Diagnostic accuracy | 0.72 [0.58, 0.84] | 0.70 [0.56, 0.82] |
| Diagnostic odds ratio | 6.67 [1.97, 22.53] | 6.40 [1.86, 22.07] |
| Youden index | 0.44 [0.02, 0.75] | 0.43 [0.01, 0.74] |
| Positive predictive value | 0.80 [0.61, 0.92] | 0.81 [0.62, 0.94] |
| Negative predictive value | 0.62 [0.41, 0.81] | 0.59 [0.39, 0.78] |
| LR+ | 2.55 [1.25, 5.17] | 2.80 [1.26, 6.25] |
| LR− | 0.38 [0.21, 0.71] | 0.44 [0.26, 0.75] |
| Proportion of false positives | 0.29 [0.11, 0.52] | 0.24 [0.08, 0.47] |
| Proportion of false negatives | 0.27 [0.13, 0.46] | 0.33 [0.18, 0.52] |
| Proportion of true positives | 0.20 [0.08, 0.39] | 0.19 [0.06, 0.38] |
| Proportion of true negatives | 0.38 [0.19, 0.59] | 0.41 [0.22, 0.61] |
| Parameters of the Test * | Tajik | Uzbek [15] | Russian [15] | German [17] | Hungarian [18] | UK English [16] | US English [20] |
|---|---|---|---|---|---|---|---|
| Cronbach’s alpha | 0.82 (0.76–0.89) | 0.87 (0.85–0.89) | 0.87 (0.83–0.91) | 0.81 (0.69–0.89) | 0.89 (0.84–0.93) | 0.93 (0.87–0.97) | 0.89 (0.87–0.91) |
| Split-half reliability | 0.84 (0.77–0.87) | 0.85 | 0.83 | 0.81 | 0.91 | 0.94 | 0.92 (0.86–0.94) |
| Sensitivity | 0.67 (0.48, 0.82) | 0.93 | 0.97 | 0.97 | 0.90 | 0.80 (0.38–0.96) | 0.98 (0.93–1.00) |
| Specificity | 0.76 (0.53–0.92) | 0.86 | 0.87 | 0.82 | 0.97 | 0.77 (0.50–0.92) | 0.96 (0.90–0.99) |
| Area under the ROC-curve | 0.80 (0.67–0.93) | 0.92 | 0.96 | 0.95 (0.87–1.00) | 0.99 (0.96–1.00) | N.A. | 0.97 (0.95–0.99) |
Disclaimer/Publisher’s Note: The statements, opinions and data contained in all publications are solely those of the individual author(s) and contributor(s) and not of MDPI and/or the editor(s). MDPI and/or the editor(s) disclaim responsibility for any injury to people or property resulting from any ideas, methods, instructions or products referred to in the content. |
© 2023 by the authors. Licensee MDPI, Basel, Switzerland. This article is an open access article distributed under the terms and conditions of the Creative Commons Attribution (CC BY) license (https://creativecommons.org/licenses/by/4.0/).
Share and Cite
Radzhabov, A.; Zamuddinov, M.; Alidjanov, J.F.; Pilatz, A.; Wagenlehner, F.M.; Naber, K.G. Linguistic and Clinical Validation of the Tajik Acute Cystitis Symptom Score for Diagnosis and Patient-Reported Outcome in Acute Uncomplicated Cystitis. Medicina 2023, 59, 1549. https://doi.org/10.3390/medicina59091549
Radzhabov A, Zamuddinov M, Alidjanov JF, Pilatz A, Wagenlehner FM, Naber KG. Linguistic and Clinical Validation of the Tajik Acute Cystitis Symptom Score for Diagnosis and Patient-Reported Outcome in Acute Uncomplicated Cystitis. Medicina. 2023; 59(9):1549. https://doi.org/10.3390/medicina59091549
Chicago/Turabian StyleRadzhabov, Abdukhamid, Musluhuddin Zamuddinov, Jakhongir F. Alidjanov, Adrian Pilatz, Florian M. Wagenlehner, and Kurt G. Naber. 2023. "Linguistic and Clinical Validation of the Tajik Acute Cystitis Symptom Score for Diagnosis and Patient-Reported Outcome in Acute Uncomplicated Cystitis" Medicina 59, no. 9: 1549. https://doi.org/10.3390/medicina59091549
APA StyleRadzhabov, A., Zamuddinov, M., Alidjanov, J. F., Pilatz, A., Wagenlehner, F. M., & Naber, K. G. (2023). Linguistic and Clinical Validation of the Tajik Acute Cystitis Symptom Score for Diagnosis and Patient-Reported Outcome in Acute Uncomplicated Cystitis. Medicina, 59(9), 1549. https://doi.org/10.3390/medicina59091549

