Trends in Participation, Sex Differences and Age of Peak Performance in Time-Limited Ultramarathon Events: A Secular Analysis
Abstract
:1. Introduction
2. Materials and Methods
2.1. Ethical Approval
2.2. Design and Sample
2.3. Statistical Analysis
3. Results
3.1. Participation Trend in Ultra-Marathons
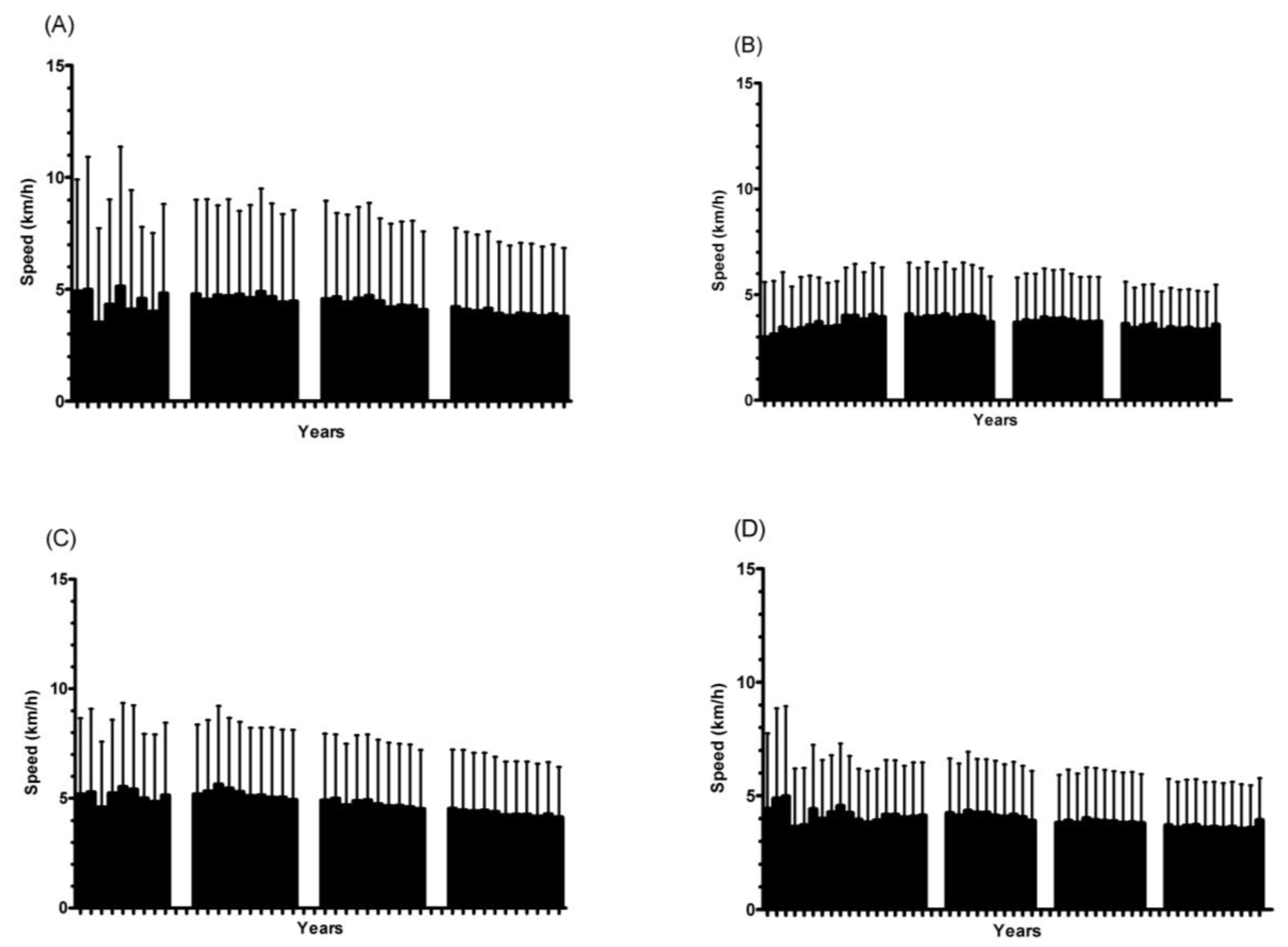
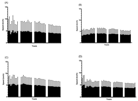
3.2. Trends in Performance and Sex Differences
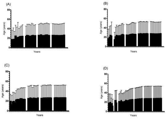
3.3. Trends in Age over the Years
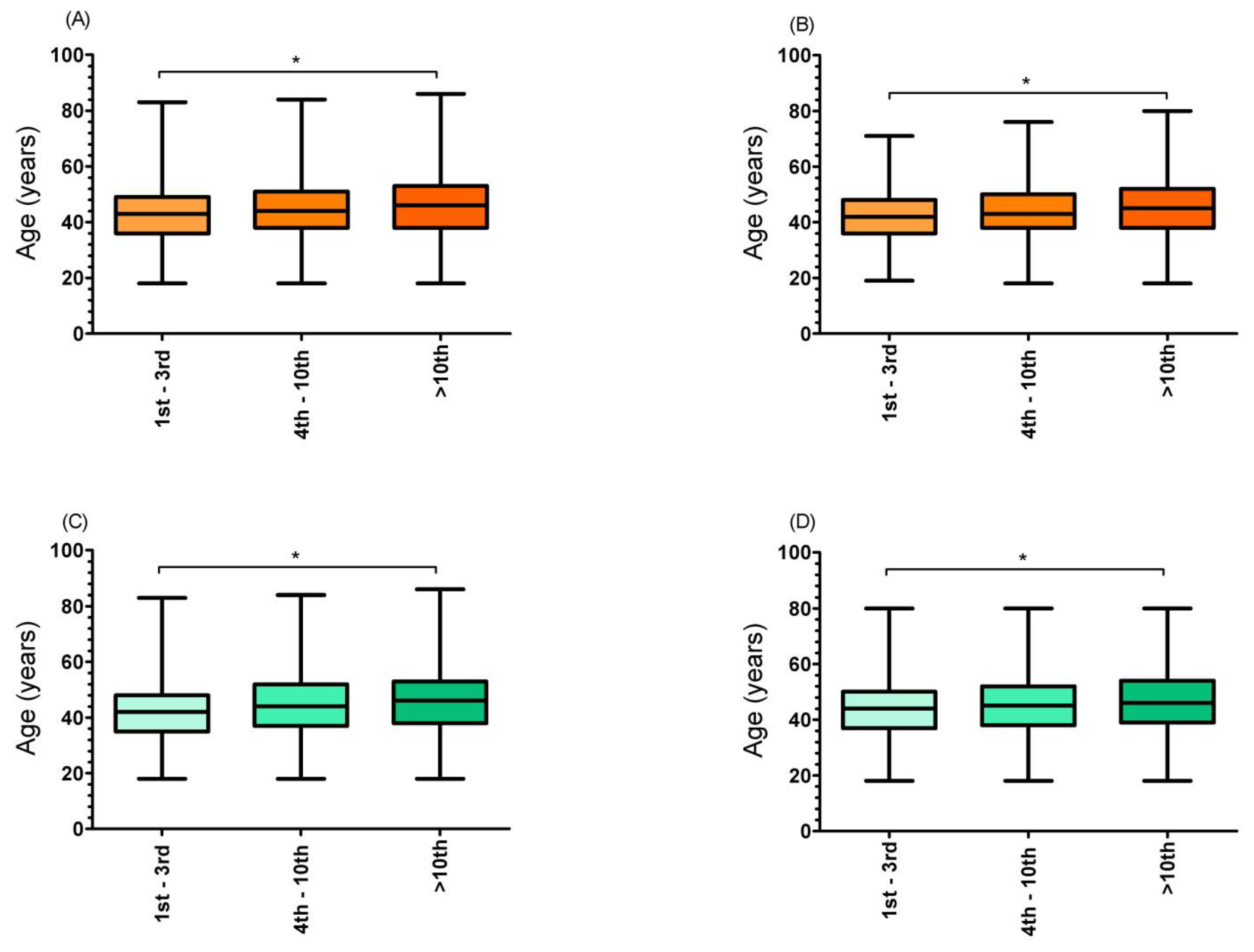
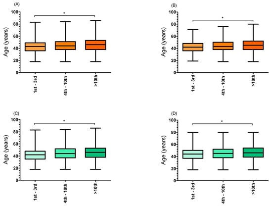
3.4. Age of Peak Performance by Ranking Position
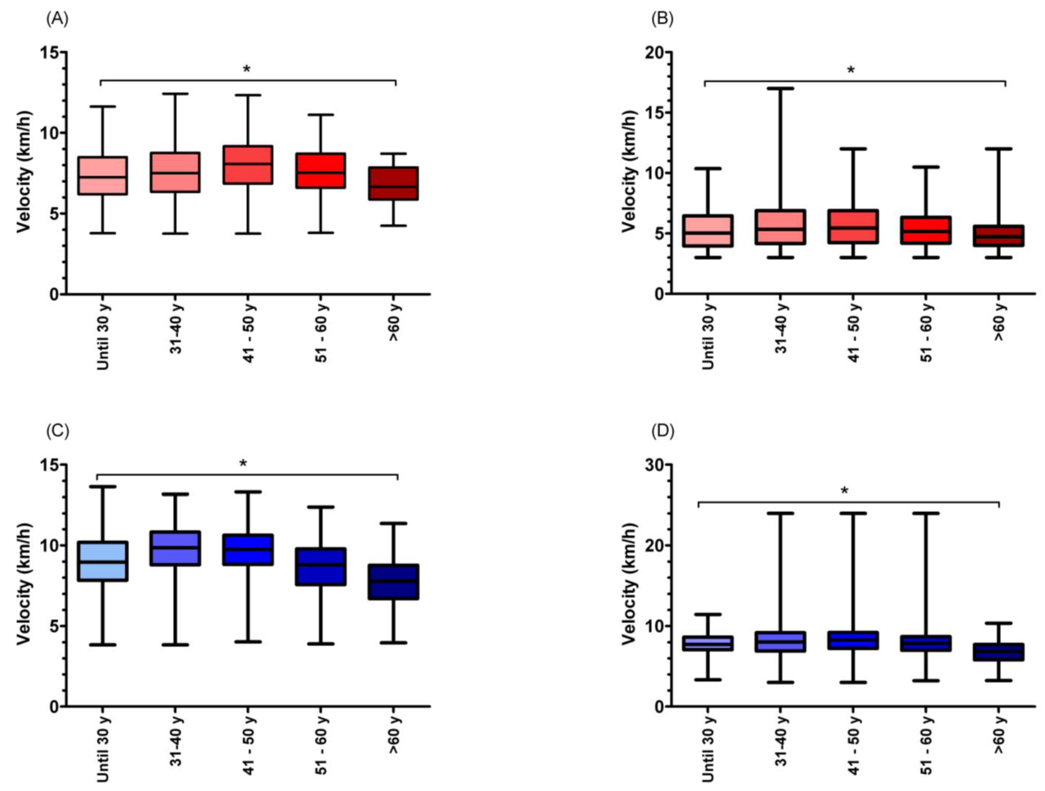
3.5. Ultra-Marathoners’ Performance by Age Categories
4. Discussion
4.1. More Athletes, but Slower
4.2. Getting Older, but the Youngest Were the Fastest
4.3. Limitation and Strength of the Study
5. Conclusions
Author Contributions
Funding
Institutional Review Board Statement
Informed Consent Statement
Data Availability Statement
Conflicts of Interest
References
- Scheer, V.; Basset, P.; Giovanelli, N.; Vernillo, G.; Millet, G.P.; Costa, R.J.S. Defining Off-road Running: A Position Statement from the Ultra Sports Science Foundation. Int. J. Sports Med. 2020, 41, 275–284. [Google Scholar] [CrossRef] [PubMed]
- Noakes, T.D. The limits of endurance exercise. Basic Res. Cardiol. 2006, 101, 408–417. [Google Scholar] [CrossRef] [PubMed]
- Andersen, J.J. The State of Running 2019. Available online: https://runrepeat.com/state-of-running (accessed on 17 August 2020).
- RunRepeat. The State of Ultra Running 2020. Available online: https://runrepeat.com/state-of-ultra-running (accessed on 24 September 2021).
- Stöhr, A.; Nikolaidi, P.T.; Villiger, E.; Sousa, C.V.; Scheer, V.; Hill, L.; Knechtle, B. An analysis of participation and performance of 2067 100-km ultra-marathons worldwide. Int. J. Environ. Res. Public Health 2021, 18, 362. [Google Scholar] [CrossRef] [PubMed]
- Ehrensperger, L.; Knechtle, B.; Rüst, C.A.; Rosemann, T. Participation and performance trends in 6-hour ultra-marathoners: A retrospective data analysis of worldwide participation from 1991–2010. J. Hum. Sport Exerc. 2013, 8, 905–924. [Google Scholar] [CrossRef] [Green Version]
- Hoffman, M.; Ong, J.; Wang, G. Historical analysis of participation in 161 km ultramarathons in North America. Int. J. Hist. Sport 2010, 27, 1877–1891. [Google Scholar] [CrossRef]
- Knechtle, B.; Gomes, M.; Scheer, V.; Gajda, R.; Nikolaidis, P.T.; Hill, L.; Rosemann, T.; Sousa, C.V. From athens to sparta—37 years of spartathlon. Int. J. Environ. Res. Public. Health 2021, 18, 4914. [Google Scholar] [CrossRef]
- Scheer, V.; Hoffman, M. Too much too early? An analysis of worldwide childhood ultramarathon participation and attrition in adulthood. J. Sports Med. Phys. Fit. 2019, 59, 1363–1368. [Google Scholar] [CrossRef]
- Scheer, V.; Hoffman, M. Should children be running ultramarathons? Curr. Sports Med. Rep. 2018, 17, 282–283. [Google Scholar] [CrossRef]
- Knechtle, B. Ultramarathon runners: Nature or nurture? Int. J. Sports Physiol Perform. 2012, 7, 310–312. [Google Scholar] [CrossRef] [Green Version]
- Deusch, H.; Nikolaidis, P.T.; Alvero-Cruz, J.R.; Rosemann, T.; Knechtle, B. Pacing in Time-Limited Ultramarathons from 6 to 24 Hours—The Aspects of Age, Sex and Performance Level. Sustainability 2021, 13, 2705. [Google Scholar] [CrossRef]
- Krouse, R.; Ransdell, L.; Lucas, S.; Pritchard, M. Motivation, Goal Orientation, Coaching, and Training Habits of Women Ultrarunners. J. Strength Cond. Res. 2011, 1, 2835–2842. [Google Scholar] [CrossRef]
- Eichenberger, E.; Knechtle, B.; Rüst, C.; Rosemann, T.; Lepers, R. Age and sex interactions in mountain ultramarathon running—The Swiss Alpine Marathon. Open Access J. Sports Med. 2012, 3, 73. [Google Scholar] [PubMed] [Green Version]
- Nikolaidis, P.T.; Knechtle, B. Age of peak performance in 50-km ultramarathoners—Is it older than in marathoners? Open Access J. Sports Med. 2018, 1, 37–45. [Google Scholar] [CrossRef] [Green Version]
- Teutsch, A.; Knechtle, B.; Rüst, C.A.; Knechtle, P.; Rosemann, T.; Lepers, R. Differences in Age and Performance in 12-Hour and 24-Hour Ultra-Runners. Adapt. Med. 2013, 5, 138–146. [Google Scholar] [CrossRef]
- Tanaka, H.; Seals, D.R. Endurance exercise performance in Masters athletes: Age-associated changes and underlying physiological mechanisms. J. Physiol. 2008, 1, 55–63. [Google Scholar] [CrossRef]
- Kao, W.F.; Shyu, C.L.; Yang, X.W.; Hsu, T.F.; Chen, J.J.; Kao, W.C.; Polun-Chang; Jen, H.Y.; Kuo, F.C.; Huang, C.I.; et al. Athletic performance and serial weight changes during 12- and 24-hour ultra-marathons. Clin. J. Sport Med. 2008, 18, 155–158. [Google Scholar] [CrossRef] [PubMed] [Green Version]
- Knechtle, B.; Wirth, A.; Knechtle, P.; Zimmermann, K.; Kohler, G. Personal best marathon performance is associated with performance in a 24-h run and not anthropometry or training volume. Brit. J. Sports Med. 2009, 43, 836–839. [Google Scholar] [CrossRef] [PubMed] [Green Version]
- Scheer, V.; Valero, D.; Villiger, E.; Rosemann, T.; Knechtle, B. The impact of the COVID-19 pandemic on endurance and ultra-endurance running. Medicina 2021, 57, 52. [Google Scholar] [CrossRef]
- Hoffman, M.D. Performance trends in 161-km ultramarathons. Int. J. Sports Med. 2010, 31, 31–37. [Google Scholar] [CrossRef]
- Knechtle, B.; Scheer, V.; Nikolaidis, P.T.; Sousa, C.V. Participation and Performance Trends in the Oldest 100-km Ultramarathon in the World. Int. J. Environ. Res. Public. Health 2020, 17, 1719. [Google Scholar] [CrossRef] [Green Version]
- Knechtle, B.; Valeri, F.; Zingg, M.A.; Rosemann, T.; Rüst, C.A. What is the age for the fastest ultra-marathon performance in time-limited races from 6 h to 10 days? Age 2014, 6, 1–18. [Google Scholar] [CrossRef] [Green Version]
- Kozlovskaia, M.; Vlahovich, N.; Rathbone, E.; Manzanero, S.; Keogh, J.; Hughes, D.C. A profile of health, lifestyle and training habits of 4720 Australian recreational runners-The case for promoting running for health benefits. Health Promot. J. Austr. 2019, 30, 172–179. [Google Scholar] [CrossRef] [PubMed] [Green Version]
- Qiu, Y.; Tian, H.; Lin, Y.; Zhou, W. Serious leisure qualities and participation behaviors of Chinese marathon runners. Int. Rev. Sociol. Sport 2020, 55, 526–543. [Google Scholar] [CrossRef]
- Waskiewicz, Z.; Nikolaidis, P.T.; Gerasimuk, D.; Borysiuk, Z.; Rosemann, T.; Knechtle, B. What Motivates Successful Marathon Runners? The Role of Sex, Age, Education, and Training Experience in Polish Runners. Front. Psychol. 2019, 10, 1671. [Google Scholar] [CrossRef]
- Lara, B.; Salinero, J.J.; Del Coso, J. The relationship between age and running time in elite marathoners is U-shaped. Age 2014, 36, 1003–1008. [Google Scholar] [CrossRef] [Green Version]
- Willy, R.; Paquette, M. The physiology and biomechanics of the master runner. Sports Med. Arthrosc. Rev. 2019, 27, 15–21. [Google Scholar] [CrossRef] [PubMed]
- Knechtle, B.; Rüst, C.; Rosemann, T.; Lepers, R. Age related changes in 100-km ultra-marathon running performance. Age (Dordr) 2012, 34, 1033–1045. [Google Scholar] [CrossRef] [PubMed] [Green Version]
- Ericsson, K. Peak Performance and Age: An Examination of Peak Performance in Sports; Cambridge University Press: Cambridge, UK, 1990. [Google Scholar]
- Helou, N.E.; Tafflet, M.; Berthelot, G.; Tolaini, J.; Marc, A.; Guillaume, M.; Hausswirth, C.; Toussaint, J.-F. Impact of environmental parameters on marathon running performance. PLoS ONE 2012, 7, e37407. [Google Scholar] [CrossRef] [PubMed] [Green Version]
- Hoffman, M.; Parise, C. Longitudinal assessment of age and experience on performance in 161-km ultramarathons. Int. J. Sports Physiol. Perform. 2015, 10, 93–98. [Google Scholar] [CrossRef]
- United Nations. World Population Ageing 2019: Highlight; Department of Economic and Social Affairs, P.D., Ed.; United Nations: New York, NY, USA, 2019. [Google Scholar]






| Variables | Female 12 h | Male 12 h | Female 24 h | Male 24 h | p-Value | n2 |
|---|---|---|---|---|---|---|
| Age (years) | 43.46 (10.17) | 45.29 (10.91) | 44.83 (10.07) | 46.13 (46.13) | <0.001 | 0.01 |
| Distance (km) | 75.78 (20.36) | 83.94 (22.53) | 131.70 (39.17) | 140.12 (40.98) | <0.001 | 0.40 |
| Speed (km/h) | 6.31 (1.70) | 6.99 (1.88) | 5.49 (1.72) | 5.844 (1.84) | <0.001 | 0.09 |
Publisher’s Note: MDPI stays neutral with regard to jurisdictional claims in published maps and institutional affiliations. |
© 2022 by the authors. Licensee MDPI, Basel, Switzerland. This article is an open access article distributed under the terms and conditions of the Creative Commons Attribution (CC BY) license (https://creativecommons.org/licenses/by/4.0/).
Share and Cite
Thuany, M.; Gomes, T.N.; Villiger, E.; Weiss, K.; Scheer, V.; Nikolaidis, P.T.; Knechtle, B. Trends in Participation, Sex Differences and Age of Peak Performance in Time-Limited Ultramarathon Events: A Secular Analysis. Medicina 2022, 58, 366. https://doi.org/10.3390/medicina58030366
Thuany M, Gomes TN, Villiger E, Weiss K, Scheer V, Nikolaidis PT, Knechtle B. Trends in Participation, Sex Differences and Age of Peak Performance in Time-Limited Ultramarathon Events: A Secular Analysis. Medicina. 2022; 58(3):366. https://doi.org/10.3390/medicina58030366
Chicago/Turabian StyleThuany, Mabliny, Thayse Natacha Gomes, Elias Villiger, Katja Weiss, Volker Scheer, Pantelis T. Nikolaidis, and Beat Knechtle. 2022. "Trends in Participation, Sex Differences and Age of Peak Performance in Time-Limited Ultramarathon Events: A Secular Analysis" Medicina 58, no. 3: 366. https://doi.org/10.3390/medicina58030366
APA StyleThuany, M., Gomes, T. N., Villiger, E., Weiss, K., Scheer, V., Nikolaidis, P. T., & Knechtle, B. (2022). Trends in Participation, Sex Differences and Age of Peak Performance in Time-Limited Ultramarathon Events: A Secular Analysis. Medicina, 58(3), 366. https://doi.org/10.3390/medicina58030366

