Pulsed Magnetic Stimulation for Stress Urinary Incontinence and Its Impact on Sexuality and Health
Abstract
1. Introduction
2. Materials and Methods
3. Results
4. Discussion
Study Limitations
5. Conclusions
Author Contributions
Funding
Institutional Review Board Statement
Informed Consent Statement
Data Availability Statement
Acknowledgments
Conflicts of Interest
References
- Pizzol, D.; Demurtas, J.; Celotto, S.; Maggi, S.; Smith, L.; Angiolelli, G.; Trott, M.; Yang, L.; Veronese, N. Urinary incontinence and quality of life: A systematic review and meta-analysis. Aging Clin. Exp. Res. 2020, 33, 25–35. [Google Scholar] [CrossRef]
- Stewart, W.F.; Hirsh, A.G.; Kirchner, H.L.; Clarke, D.N.; Litchtenfeld, M.J.; Minassian, V.A. Urinary Incontinence Incidence: Quantitative Meta-Analysis of Factors that Explain Variation. J. Urol. 2014, 191, 996–1002. [Google Scholar] [CrossRef] [PubMed]
- Ebbesen, M.H.; Hunskaar, S.; Rortveit, G.; Hannestad, Y.S. Prevalence, incidence and remission of urinary incontinence in women: Longitudinal data from the Norwegian HUNT study (EPINCONT). BMC Urol. 2013, 13, 27. [Google Scholar] [CrossRef] [PubMed]
- Huang, A.J. Nonsurgical Treatments for Urinary Incontinence in Women. JAMA Intern. Med. 2013, 173, 1463–1464. [Google Scholar] [CrossRef] [PubMed]
- Mazur-Bialy, A.I.; Kołomańska-Bogucka, D.; Nowakowski, C.; Tim, S. Urinary Incontinence in Women: Modern Methods of Physiotherapy as a Support for Surgical Treatment or Independent Therapy. J. Clin. Med. 2020, 9, 1211. [Google Scholar] [CrossRef] [PubMed]
- Goldberg, R.P.; Sand, P.K. Electromagnetic Pelvic Floor Stimulation: Applications for the Gynecologist. Obstet. Gynecol. Surv. 2000, 55, 715–720. [Google Scholar] [CrossRef]
- He, Q.; Xiao, K.; Peng, L.; Lai, J.; Li, H.; Luo, D.; Wang, K. An Effective Meta-analysis of Magnetic Stimulation Therapy for Urinary Incontinence. Sci. Rep. 2019, 9, 9077. [Google Scholar] [CrossRef] [PubMed]
- Lim, R.; Lee, S.W.H.; Tan, P.Y.; Liong, M.L.; Yuen, K.H. Efficacy of electromagnetic therapy for urinary incontinence: A systematic review. Neurourol. Urodyn. 2014, 34, 713–722. [Google Scholar] [CrossRef]
- Stewart, F.; Berghmans, B.; Bø, K.; Glazener, C.M. Electrical stimulation with non-implanted devices for stress urinary incontinence in women. Cochrane Database Syst. Rev. 2016, 2016. [Google Scholar] [CrossRef][Green Version]
- Rosen, R.; Brown, C.; Heiman, J.B.; Leiblum, S.; Meston, C.; Shabsigh, R.; Ferguson, D.; D’Agostino, R., Jr. The Female Sexual Function Index (FSFI): A Multidimensional Self-Report Instrument for the Assessment of Female Sexual Function. J. Sex Marital Ther. 2000, 26, 191–208. [Google Scholar] [CrossRef] [PubMed]
- Ibinaeva, I.S.; Apolikhina, I.; Makhmedzhanova, F.N.; Muslimova, S.Z. ICIQ-SF questionnaire in women with urinary incontinence. Urologiia 2012, 1, 38–42. [Google Scholar]
- Peterson, T.V.; Karp, D.R.; Aguilar, V.C.; Davila, G.W. Validation of a global pelvic floor symptom bother questionnaire. Int. Urogynecol. J. 2010, 21, 1129–1135. [Google Scholar] [CrossRef] [PubMed]
- Der Zalm, P.J.V.-V.; Pelger, R.C.; Stiggelbout, A.M.; Elzevier, H.W.; Nijeholt, G.A.L.A. Effects of magnetic stimulation in the treatment of pelvic floor dysfunction. Br. J. Urol. 2006, 97, 1035–1038. [Google Scholar] [CrossRef] [PubMed]
- Lopopolo, G.; Salsi, B.; Banfi, A.; Isaza, P.G.; Fusco, I. Is It Possible to Improve Urinary Incontinence and Quality of Life in Female Patients? A Clinical Evaluation of the Efficacy of Top Flat Magnetic Stimulation Technology. Bioengineering 2022, 9, 140. [Google Scholar] [CrossRef]
- Nambiar, A.K.; Bosch, R.; Cruz, F.; Lemack, G.E.; Thiruchelvam, N.; Tubaro, A.; Bedretdinova, D.A.; Ambühl, D.; Farag, F.; Lombardo, R.; et al. EAU Guidelines on Assessment and Nonsurgical Management of Urinary Incontinence. Eur. Urol. 2018, 73, 596–609. [Google Scholar] [CrossRef]
- Lo, T.-S.; Tseng, L.-H.; Lin, Y.-H.; Liang, C.-C.; Lu, C.-Y.; Pue, L.B. Effect of extracorporeal magnetic energy stimulation on bothersome lower urinary tract symptoms and quality of life in female patients with stress urinary incontinence and overactive bladder. J. Obstet. Gynaecol. Res. 2013, 39, 1526–1532. [Google Scholar] [CrossRef] [PubMed]
- Ünsal, A.; Saglam, R.; Cimentepe, E. Extracorporeal magnetic stimulation for the treatment of stress and urge incontinence in womenResults of 1-year follow-up. Scand. J. Urol. Nephrol. 2003, 37, 424–428. [Google Scholar] [CrossRef] [PubMed]
- Lukanović, D.; Kunič, T.; Batkoska, M.; Matjašič, M.; Barbič, M. Effectiveness of Magnetic Stimulation in the Treatment of Urinary Incontinence: A Systematic Review and Results of Our Study. J. Clin. Med. 2021, 10, 5210. [Google Scholar] [CrossRef]
- Braga, A.; Castronovo, F.; Caccia, G.; Papadia, A.; Regusci, L.; Torella, M.; Salvatore, S.; Scancarello, C.; Ghezzi, F.; Serati, M. Efficacy of 3 Tesla Functional Magnetic Stimulation for the Treatment of Female Urinary Incontinence. J. Clin. Med. 2022, 11, 2805. [Google Scholar] [CrossRef]
- Gilling, P.J.; Wilson, L.C.; Westenberg, A.M.; McAllister, W.J.; Kennett, K.M.; Frampton, C.M.; Bell, D.F.; Wrigley, P.M.; Fraundorfer, M.R. A double-blind randomized controlled trial of electromagnetic stimulation of the pelvic floor vs sham therapy in the treatment of women with stress urinary incontinence. Br. J. Urol. 2009, 103, 1386–1390. [Google Scholar] [CrossRef]
- Biondo, A.; Murina, F.; Fusco, I. Treatment of Pelvic Floor Hypertonic Disorders with top Flat Magnetic Stimulation in Women with Vestibulodynia: A Pilot Study. J. Women’s Health Dev. 2022, 5, 175–184. [Google Scholar] [CrossRef]
- Isaza, P.G.; Borrego, R.S.; Fusco, I. A case of stress urinary incontinence after radical prostatectomy successfully treated with an innovative device based on top flat magnetic stimulation. World J. Urol. 2022, 1887–1889. [Google Scholar] [CrossRef] [PubMed]


| Variable | Total n = 47 | Treatment Group n = 22 | Simulated Group n = 25 | p Value a |
|---|---|---|---|---|
| Mean (SD) | Mean (SD) | Mean (SD) | ||
| Age (years) | 54.17 (11.42) | 53.63 (12.32) | 54.64 (10.81) | 0.767 |
| Parity | 1.74 (0.73) | 1.86 (0.63) | 1.64 (0.81) | 0.303 |
| BMI (Kg/m2) | 24.27 (3.25) | 23.97 (3.31) | 24.53 (3.25) | 0.562 |
| Incontinence δ | 0.096 | |||
| Mild | 26 (55.32) | 15 (68.18) | 11 (42.31) | |
| Moderate | 21 (44.68) | 7 (31.82) | 14 (66.67) | |
| PFBQ (initial) | 12.78 (8.29) | 10.54 (5.38) | 14.76 (9.88) | 0.082 |
| ICQSF (initial) | 11.40 (4.31) | 11.41 (4.23) | 11.40 (4.46) | 0.994 |
| FSFI | 21.19 (8.64) | 24.39 (8.02) | 18.38 (8.31) | 0.015 * |
| Oxford test | 1.68 (0.69) | 1.68 (0.56) | 1.68 (0.80) | 0.993 |
| Variable | Total n = 47 | Treatment Group n = 22 | Simulated Group n = 25 | p Value a |
|---|---|---|---|---|
| Mean (SD) | Mean (SD) | Mean (SD) | ||
| PFBQ 3 weeks of follow-up | 9.93 (4.34) | 9.04 (3.87) | 10.72 (4.65) | 0.190 |
| PFBQ 4 weeks of follow-up | 8.91 (4.57) | 7.81 (4.33) | 9.88 (4.63) | 0.124 |
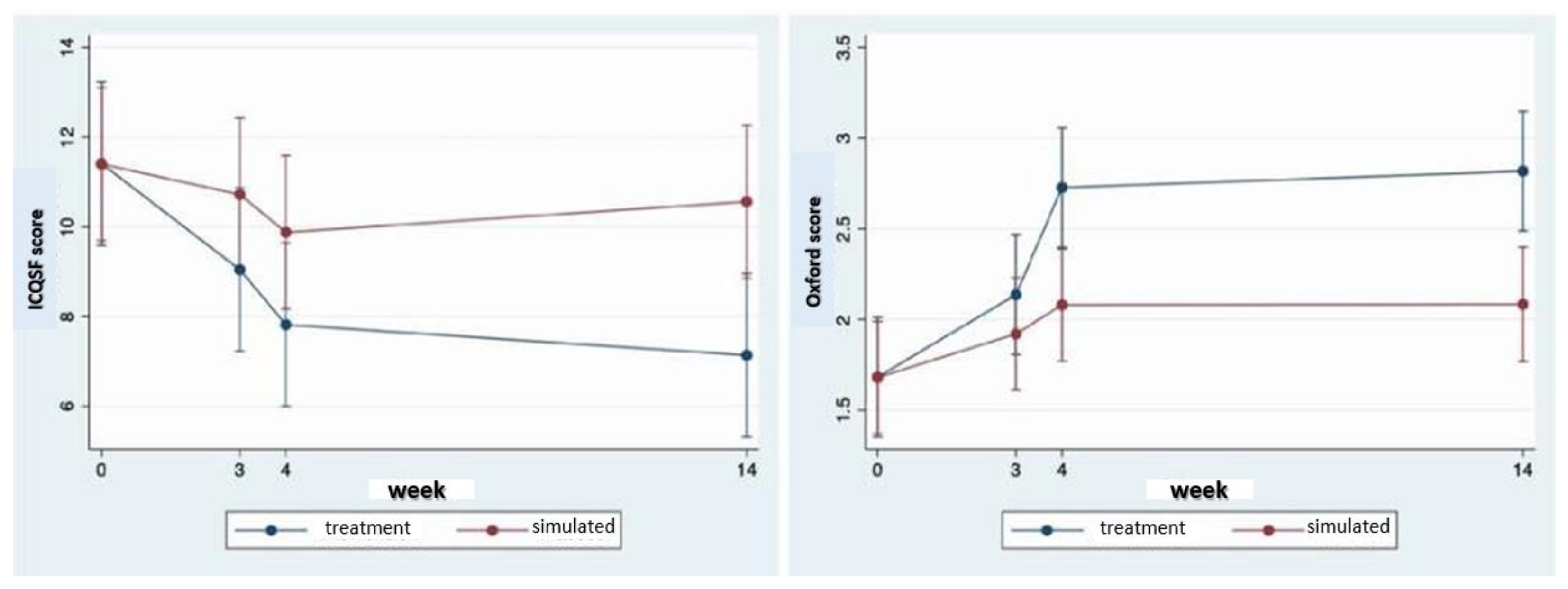
| PFBQ 14 weeks of follow-up | 8.95 (4.43) | 7.13 (3.65) | 10.56 (4.51) | 0.006 * |
| ICQSF weeks of follow-up | 9.93 (4.34) | 9.04 (3.87) | 10.72 (4.65) | 0.190 |
| ICQSF 4 weeks of follow-up | 8.91 (4.57) | 7.81 (4.33) | 9.88 (4.63) | 0.124 |
| ICQSF 14 weeks of follow-up | 8.95 (4.43) | 7.13 (3.65) | 10.56 (4.50) | 0.006 * |
| FSFI 3 weeks of follow-up | 19.98 (10.01) | 21.51 (9.70) | 18.64 (10.28) | 0.330 |
| FSFI 4 weeks of follow-up | 15.96 (9.35) | 17.51 (10.02) | 14.61 (8.71) | 0.294 |
| FSFI 14 weeks of follow-up | 20.19 (9.53) | 23.19 (9.95) | 17.56 (8.48) | 0.041 * |
| Oxford 3 weeks of follow-up | 2.02 (0.73) | 2.13 (0.77) | 1.92 (0.70) | 0.320 |
| Oxford 4 weeks of follow-up | 2.38 (0.84) | 2.72 (0.76) | 2.08 (1.74) | 0.007 * |
| Oxford 14 weeks of follow-up | 2.44 (0.95) | 2.81 (0.85) | 2.12 (0.92) | 0.010 * |
Publisher’s Note: MDPI stays neutral with regard to jurisdictional claims in published maps and institutional affiliations. |
© 2022 by the authors. Licensee MDPI, Basel, Switzerland. This article is an open access article distributed under the terms and conditions of the Creative Commons Attribution (CC BY) license (https://creativecommons.org/licenses/by/4.0/).
Share and Cite
González-Isaza, P.; Sánchez-Borrego, R.; Lugo Salcedo, F.; Rodríguez, N.; Vélez Rizo, D.; Fusco, I.; Callarelli, S. Pulsed Magnetic Stimulation for Stress Urinary Incontinence and Its Impact on Sexuality and Health. Medicina 2022, 58, 1721. https://doi.org/10.3390/medicina58121721
González-Isaza P, Sánchez-Borrego R, Lugo Salcedo F, Rodríguez N, Vélez Rizo D, Fusco I, Callarelli S. Pulsed Magnetic Stimulation for Stress Urinary Incontinence and Its Impact on Sexuality and Health. Medicina. 2022; 58(12):1721. https://doi.org/10.3390/medicina58121721
Chicago/Turabian StyleGonzález-Isaza, Pablo, Rafael Sánchez-Borrego, Félix Lugo Salcedo, Nuria Rodríguez, Diana Vélez Rizo, Irene Fusco, and Silvia Callarelli. 2022. "Pulsed Magnetic Stimulation for Stress Urinary Incontinence and Its Impact on Sexuality and Health" Medicina 58, no. 12: 1721. https://doi.org/10.3390/medicina58121721
APA StyleGonzález-Isaza, P., Sánchez-Borrego, R., Lugo Salcedo, F., Rodríguez, N., Vélez Rizo, D., Fusco, I., & Callarelli, S. (2022). Pulsed Magnetic Stimulation for Stress Urinary Incontinence and Its Impact on Sexuality and Health. Medicina, 58(12), 1721. https://doi.org/10.3390/medicina58121721

