Ultrasound Image Classification of Thyroid Nodules Using Machine Learning Techniques
Abstract
1. Introduction
Previous Related Work
2. Materials and Methods
2.1. MATLAB Toolbox
2.1.1. Image Processing Toolbox
2.1.2. Statistics and Machine-Learning Toolbox
2.1.3. GUI Layout Toolbox
2.2. Data Set
2.3. Image Analysis
2.4. Image Pre-Processing
2.5. Segmentation
2.6. Classification
- Independent: Variation of training class data should not impact other values.
- Discriminatory: Different image features should indicate different characteristics of the thyroid nodule.
- Reliable: All image features in the training group should share common definitive characteristics with the training class group [39].
- Artificial Neural Network (ANN).
- Support Vector Machine (SVM) [39].
2.7. Performance Metric
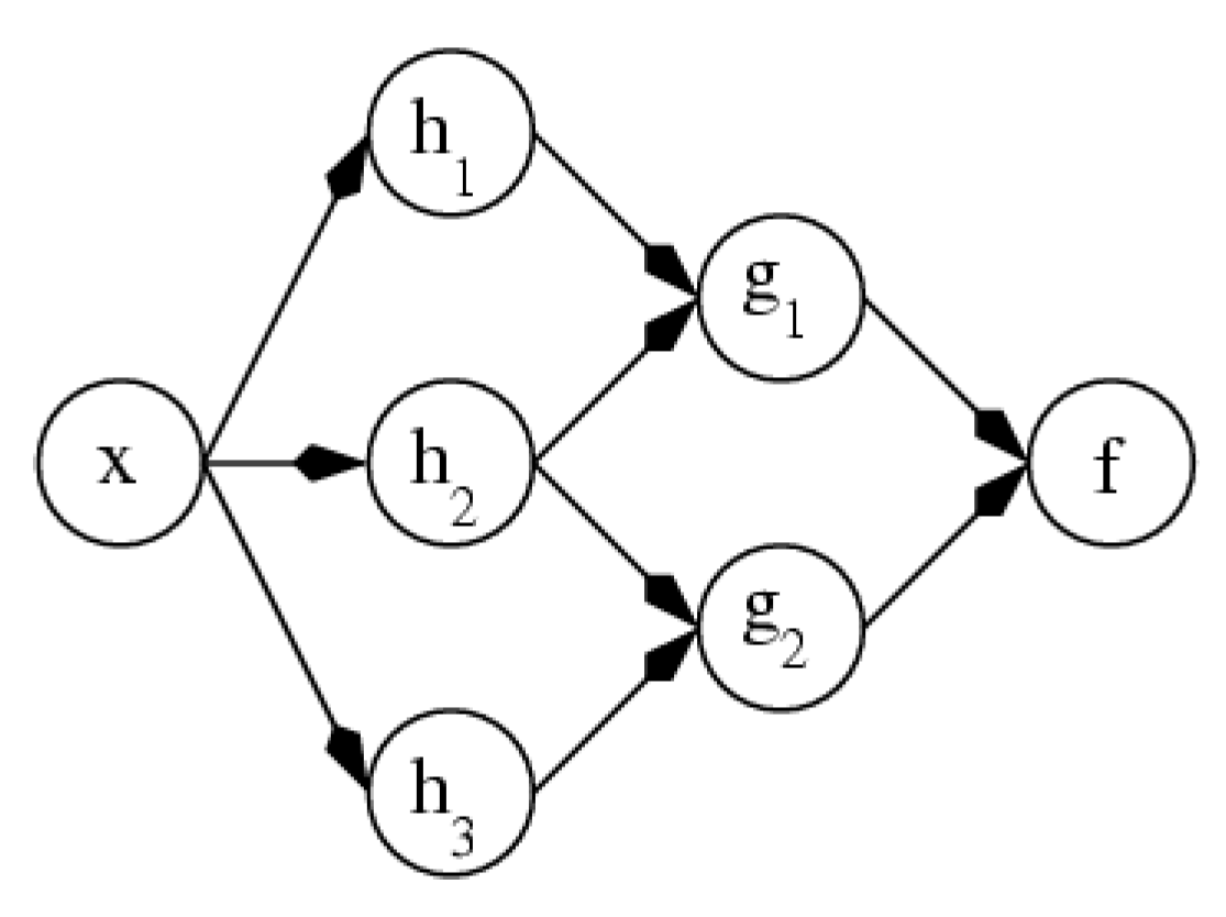
2.8. Artificial Neural Network (ANN)
3. Results
3.1. Image Analysis and Image Processing
3.2. Accuracy-Based Predictive Model and Optimization
3.3. Graphic User Interface (GUI) from the Support Vector Machine (SVM)
4. Discussion
5. Conclusions
Author Contributions
Funding
Institutional Review Board Statement
Informed Consent Statement
Data Availability Statement
Acknowledgments
Conflicts of Interest
Appendix A

Appendix B
Appendix B.1. Support Vector Machine (SVM)
- Type 1 SVM Classification(C-SVM);
- Type 2 SVM Classification (nu-SVM);
Appendix C
| No. | Scoring | Classification | Risk of Malignancy | Recommendations |
|---|---|---|---|---|
| TR1 | 0 Points | Benign | 0.3% | No FNA required |
| TR2 | 2 Points | Not Suspicious | 1.5% | No FNA required |
| TR3 | 3 Points | Mildly Suspicious | 4.8% | Radiologist Decision (FNA or No FNA) |
| TR4 | 4–6 Points | Moderately Suspicious | 9.1% | FNA required |
| TR5 | Above 7 Points | Highly Suspicious | 35% | FNA required |
References
- Ospina, N.S.; Iñiguez-Ariza, N.M.; Castro, M.R. Thyroid nodules: Diagnostic evaluation based on thyroid cancer risk assessment. BMJ 2020, 368. [Google Scholar] [CrossRef]
- Guth, S.; Theune, U.; Aberle, J.; Galach, A.; Bamberger, C.M. Very high prevalence of thyroid nodules detected by high frequency (13 MHz) ultrasound examination. Eur. J. Clin. Investig. 2009, 39, 699–706. [Google Scholar] [CrossRef] [PubMed]
- Bomeli, S.R.; LeBeau, S.O.; Ferris, R.L. Evaluation of a Thyroid Nodule. Otolaryngologic Clinics of North America; Elsevier: Amsterdam, The Netherlands, 2010; Volume 43, pp. 229–238. [Google Scholar]
- Burman, K.D.; Wartofsky, L. Thyroid nodules. N. Engl. J. Med. Mass Med. Soc. 2015, 373, 2347–2356. [Google Scholar] [CrossRef]
- Ha, E.J.; Baek, J.H. Applications of machine learning and deep learning to thyroid imaging: Where do we stand? Ultrasonoraphy 2021, 40, 23. [Google Scholar] [CrossRef] [PubMed]
- Cappelli, C.; Pirola, I.; Agosti, B.; Tironi, A.; Gandossi, E.; Incardona, P.; Marini, F.; Guerini, A.; Castellano, M. Complications after fine-needle aspiration cytology: A retrospective study of 7449 consecutive thyroid nodules. Br. J. Oral Maxillofac. Surg. 2017, 55, 266–269. [Google Scholar] [CrossRef]
- Sebo, T.J. What are the keys to successful thyroid FNA interpretation? Clin. Endocrinol. 2012, 77, 13–17. [Google Scholar] [CrossRef]
- Altavilla, G.; Pascale, M.; Nenci, I. Fine needle aspiration cytology of thyroid gland diseases. Acta Cytol. 1990, 34, 251–256. [Google Scholar]
- Wang, Z.; Vyas, C.M.; van Benschoten, O.; Nehs, M.A.; Moore, F.D., Jr.; Marqusee, E.; Krane, J.F.; Kim, M.I.; Heller, H.T.; Gawande, A.A.; et al. Quantitative analysis of the benefits and risk of thyroid nodule evaluation in patients ≥70 years old. Thyroid 2018, 28, 465–471. [Google Scholar] [CrossRef]
- Ahn, H.S.; Kim, H.J.; Kim, K.H.; Lee, Y.S.; Han, S.J.; Kim, Y.; Ko, M.J.; Brito, J.P. Thyroid cancer screening in South Korea increases detection of papillary cancers with no impact on other subtypes or thyroid cancer mortality. Thyroid 2016, 26, 1535–1540. [Google Scholar] [CrossRef] [PubMed]
- Nilubol, N.; Kebebew, E. Should small papillary thyroid cancer be observed? A population-based study. Cancer 2015, 121, 1017–1024. [Google Scholar] [CrossRef]
- Tappouni, R.R.; Itri, J.N.; McQueen, T.S.; Lalwani, N.; Ou, J.J. ACR TI-RADS: Pitfalls, solutions, and future directions. Radiographics 2019, 39, 2040–2052. [Google Scholar] [CrossRef]
- Thomas, J.; Haertling, T. AIBx, artificial intelligence model to risk stratify thyroid nodules. Thyroid 2020, 30, 878–884. [Google Scholar] [CrossRef]
- Ko, S.Y.; Lee, J.H.; Yoon, J.H.; Na, H.; Hong, E. Deep Convolutional Neural Network for the Diagnosis of Thyroid Nodules on Ultrasound; PubMed: Seoul, Korea, 2011. [Google Scholar]
- Wang, L.; Yang, S.; Yang, S.; Zhao, C.; Tian, G.; Gao, Y.; Chen, Y.; Lu, Y. Automatic thyroid nodule recognition and diagnosis in ultrasound imaging with the YOLOv2 neural network. World J. Surg. Oncol. 2019, 17, 12. [Google Scholar] [CrossRef] [PubMed]
- Seo, J.K.; Kim, Y.J.; Kim, K.G.; Shin, I.; Shin, J.H.; Kwak, J.Y. Differentiation of the follicular neoplasm on the grayscale us by image selection subsampling along with the marginal outline using convolutional neural network. BioMed Res. Int. 2017. [Google Scholar] [CrossRef] [PubMed]
- Chi, J.; Walia, E.; Babyn, P.; Wang, J.; Groot, G.; Eramian, M. Thyroid nodule classification in ultrasound images by fine-tuning deep convolutional neural network. J. Digit. Imaging 2017, 30, 477–486. [Google Scholar] [CrossRef]
- Gao, L.; Liu, R.; Jiang, Y.; Song, W.; Wang, Y.; Liu, J.; Wang, J.; Wu, D.; Li, S.; Hao, A.; et al. Computer-aided system for diagnosing thyroid nodules on ultrasound: A comparison with radiologist-based clinical assessments. Head Neck 2018, 40, 778–783. [Google Scholar] [CrossRef]
- Yu, Q.; Jiang, T.; Zhou, A.; Zhang, L.; Zhang, C.; Xu, P. Computer-aided diagnosis of malignant or benign thyroid nodes based on ultrasound images. Eur. Arch. Otorhinolaryngol. 2017, 274, 2891–2897. [Google Scholar] [CrossRef]
- Ma, J.; Wu, F.; Zhu, J.; Xu, D.; Kong, D. A pre-trained convolutional neural network-based method for thyroid nodule diagnosis. Ultrasonics 2017, 73, 221–230. [Google Scholar] [CrossRef] [PubMed]
- Xia, J.; Chen, H.; Li, Q.; Zhou, M.; Chen, L.; Cai, Z.; Fang, Y.; Zhou, H. Ultrasound-based differentiation of malignant and benign thyroid Nodules: An extreme learning machine approach. Comput. Methods Programs Biomed. 2017, 147, 37–49. [Google Scholar] [CrossRef]
- Wu, H.; Deng, Z.; Zhang, B.; Liu, Q.; Chen, J. Classifier model based on machine learning algorithms: Application to differential diagnosis of suspicious thyroid nodules via sonography. Am. J. Roentgenol. 2016, 207, 859–864. [Google Scholar] [CrossRef]
- Ardakani, A.A.; Gharbali, A.; Mohammadi, A. Application of Texture Analysis Method for Classification of Benign and Malignant Thyroid Nodules in Ultrasound Images; Pubmed: Urmia, Iran, 2015. [Google Scholar]
- Liu, Y.I.; Kamaya, A.; Desser, T.S.; Rubin, D.L. A bayesian network for differentiating benign from malignant thyroid nodules using sonographic and demographic features. Am. J. Roentgenol. 2011, 196, W598–W605. [Google Scholar] [CrossRef]
- Tsantis, S.; Dimitropoulos, N.; Cavouras, D.; Nikiforidis, G. Morphological and wavelet features towards sonographic thyroid nodules evaluation. Comput. Med. Imaging Graph. 2009, 33, 91–99. [Google Scholar] [CrossRef]
- Zhu, L.C.; Ye, Y.L.; Luo, W.H.; Su, M.; Wei, H.P.; Zhang, X.B.; Wei, J.; Zou, C.L. A model to discriminate malignant from benign thyroid nodules using artificial neural network. PLoS ONE 2013, 8, e82211. [Google Scholar] [CrossRef]
- Lim, K.J.; Choi, C.S.; Yoon, D.Y.; Chang, S.K.; Kim, K.K.; Han, H.; Kim, S.S.; Lee, J.; Jeon, Y.H. Computer-Aided Diagnosis for the Differentiation of Malignant from Benign Thyroid Nodules on Ultrasonography; Pubmed: Seoul, Korea, 2008. [Google Scholar]
- Raghavendra, U.; Acharya, U.R.; Gudigar, A.; Tan, J.H.; Fujita, H.; Hagiwara, Y.; Molinari, F.; Kongmebhol, P.; Ng, K.H. Fusion of spatial gray level dependency and fractal texture features for the characterization of thyroid lesions. Ultrasonics 2017, 77, 110–120. [Google Scholar] [CrossRef]
- Song, G.; Xue, F.; Zhang, C. A model using texture features to differentiate the nature of thyroid nodules on sonography. J. Ultrasound Med. 2015, 34, 1753–1760. [Google Scholar] [CrossRef] [PubMed]
- Schenke, S.A.; Wuestemann, J.; Zimny, M.; Kreissl, M.C. Ultrasound Assessment of Autonomous Thyroid Nodules before and after Radioiodine Therapy Using Thyroid Imaging Reporting and Data System (TIRADS). Diagnostics 2020, 10, 1038. [Google Scholar] [CrossRef] [PubMed]
- Gomes Ataide, E.J.; Ponugoti, N.; Illanes, A.; Schenke, S.; Kreissl, M.; Friebe, M. Thyroid Nodule Classification for Physician Decision Support Using Machine Learning-Evaluated Geometric and Morphological Features. Sensors 2020, 20, 6110. [Google Scholar] [CrossRef] [PubMed]
- Kwon, M.R.; Shin, J.H.; Park, H.; Cho, H.; Kim, E.; Hahn, S.Y. Radiomics Based on Thyroid Ultrasound Can Predict Distant Metastasis of Follicular Thyroid Carcinoma. J. Clin. Med. 2020, 9, 2156. [Google Scholar] [CrossRef]
- Nguyen, D.T.; Kang, J.K.; Pham, T.D.; Batchuluun, G.; Park, K.R. Ultrasound image-based diagnosis of malignant thyroid nodule using artificial intelligence. Sensors 2020, 20, 1822. [Google Scholar] [CrossRef] [PubMed]
- Daniels, K.; Gummadi, S.; Zhu, Z.; Wang, S.; Patel, J.; Swendseid, B.; Lyshchik, A.; Curry, J.; Cottrill, E.; Eisenbrey, J. Machine learning by ultrasonography for genetic risk stratification of thyroid nodules. JAMA Otolaryngol. Head Neck Surg. 2020, 146, 36–41. [Google Scholar] [CrossRef]
- Colombia, Universidad Nacional de Colombia. Digital Database of Thyroid Ultrasound Images. Universidad Nacional de Colombia. Available online: http://cimalab.intec.co/?lang=en=project=31 (accessed on 26 July 2019).
- Tan, L.; Jiang, J. Chapter 13—Image Processing Basics. s.l.: Science Direct. 2019. Available online: https://www.globalspec.com/reference/81808/203279/chapter-13-image-processing-basics (accessed on 26 July 2019).
- Puneet, P.; Garg, N.K. Binarization Techniques used for Grey Scale Images. Bathinida Int. J. Comput. Appl. 2013, 71, 8–11. [Google Scholar] [CrossRef]
- Anuradha, K. Statistical feature extraction to classify oral cancers. J. Glob. Res. Comput. Sci. 2013, 4, 8–12. [Google Scholar]
- Rai, H. Support Vector Machine-Part 2. Neural Networks the Way Information Moves. Available online: https://neuralnetset.blogspot.com/2016/02/support-vector-machine-part-2.html (accessed on 6 February 2019).
- Wikipedia. Artificial Neural Network. Available online: https://en.wikipedia.org/wiki/Artificial_neural_network (accessed on 29 July 2019).
- Parveen, K. Artificial Neural Networks—A Study; IJEERT: Ambala, India, 2014; Volume 2, pp. 143–148. [Google Scholar]
- Alam, M. Codes in MATLAB for training artificial neural network using particle swarm optimization. Res. Gate 2016, 1–16. [Google Scholar] [CrossRef]














| Features | Equations |
|---|---|
| Energy | |
| Correlation | |
| Entropy | |
| Homogeneity | |
| Cluster Shade | |
| Contrast | |
| Inverse Difference Movement |
| ROC Curve Parameters | ANN—Test Phase | SVM |
|---|---|---|
| Distance | 0.5086 | 0.7416 |
| Threshold | 0.0078 | 16 |
| Sensitivity | 0.4914 | 0.7866 |
| Specificity | 1 | 1 |
| Accuracy | 74.5684 | 96 |
| PPV | 1 | 0.7857 |
| FNR | 0.5086 | 0.2134 |
| FPR | 0 | 0 |
| F1 score | 0.659 | 0.92 |
| Actual | Predicted | Accuracy = 0.96 | |
|---|---|---|---|
| Positive | Negative | ||
| Positive | TP = 11 | FN = 3 | P = 14 |
| Negative | FP = 0 | TN = 62 | N = 62 |
| PP = 11 | PN = 65 | M = 76 |
| ROC Curve Parameters | This Study | Previous Study |
|---|---|---|
| Supervised Learning | Classification | Classification |
| Classification | ANN | Decision tree, random forest model |
| Secondary Model | ||
| Sensitivity | 0.4914 | 0.789 |
| Specificity | 1 | 0.785 |
| AROC | 0.7475 | 0.84 |
| Accuracy | 74.5684 | 78.5 |
| PPV | 1 | 0.785 |
| FNR | 0.5086 | Not Specified |
| FPR | 0 | 0.215 |
| F1 score | 0.659 | 0.784 |
Publisher’s Note: MDPI stays neutral with regard to jurisdictional claims in published maps and institutional affiliations. |
© 2021 by the authors. Licensee MDPI, Basel, Switzerland. This article is an open access article distributed under the terms and conditions of the Creative Commons Attribution (CC BY) license (https://creativecommons.org/licenses/by/4.0/).
Share and Cite
Vadhiraj, V.V.; Simpkin, A.; O’Connell, J.; Singh Ospina, N.; Maraka, S.; O’Keeffe, D.T. Ultrasound Image Classification of Thyroid Nodules Using Machine Learning Techniques. Medicina 2021, 57, 527. https://doi.org/10.3390/medicina57060527
Vadhiraj VV, Simpkin A, O’Connell J, Singh Ospina N, Maraka S, O’Keeffe DT. Ultrasound Image Classification of Thyroid Nodules Using Machine Learning Techniques. Medicina. 2021; 57(6):527. https://doi.org/10.3390/medicina57060527
Chicago/Turabian StyleVadhiraj, Vijay Vyas, Andrew Simpkin, James O’Connell, Naykky Singh Ospina, Spyridoula Maraka, and Derek T. O’Keeffe. 2021. "Ultrasound Image Classification of Thyroid Nodules Using Machine Learning Techniques" Medicina 57, no. 6: 527. https://doi.org/10.3390/medicina57060527
APA StyleVadhiraj, V. V., Simpkin, A., O’Connell, J., Singh Ospina, N., Maraka, S., & O’Keeffe, D. T. (2021). Ultrasound Image Classification of Thyroid Nodules Using Machine Learning Techniques. Medicina, 57(6), 527. https://doi.org/10.3390/medicina57060527

