Advances in Flavonoid Research: Sources, Biological Activities, and Developmental Prospectives
Abstract
1. Introduction
2. Structural Characteristics and Classification of Flavonoids from Natural Sources
3. Sources of Flavonoids
3.1. Plant Extraction
| Category | Main Chemical | Chemical Structure | Source of Plant | References | |
|---|---|---|---|---|---|
| Classes/Families | Species | ||||
| Flavonoid | Apigenin | ![]() | Lamiaceae, Acanthaceae, Gesneriaceae, Scrophulariaceae, Asteraceae, Verbenaceae, Rosaceae | Apium graveolens, Coriandrum sativum | [14,15] |
| Baicalein | ![]() | Scutellaria | [16] | ||
| Nobiletin | ![]() | Citrus | [17] | ||
| Chrysin | ![]() | Passiflora caerulea | [18,19] | ||
| Acacetin | ![]() | Acacia farnesiana, Chrysanthemum, Robinia pseudoacacia, Buddleja officinalis, Chromolaene odorata, Cirsium japonicum | [20] | ||
| Oroxylin A | ![]() | Scutellaria baicalensis | [21] | ||
| Luteolin | ![]() | Thymus mongolicus, Lonicera japonica | [22,23] | ||
| Eupatilin | ![]() | Artemisia argyi | [24] | ||
| Eupatorin | ![]() | Clerodendranthus spicatus | [25] | ||
| Vitexin | ![]() | Crataegus pinnatifida | [26] | ||
| Flavonols | Fisetin | ![]() | Rosaceae, Cucurbitaceae | Fragaria × ananassa, Malus domestica, Cucumis sativus | [27] |
| Gossypin | ![]() | Sphenodesme involucrata var. paniculata | [28] | ||
| Myricetin | ![]() | Myrica esculenta | [29] | ||
| Quercetin | ![]() | Fagopyrum esculentum rods and leaves, Hippophae rhamnoides, Crataegus pinnatifida, Allium cepa. | [30,31] | ||
| Rutin | ![]() | Ruta graveolens | [32] | ||
| Dihydroflavonoids | Naringenin | ![]() | Rosaceae, Rutaceae, Leguminosae, Ericaceae, Asteraceae, Zingiberaceae | Citrus × paradise | [33] |
| Hesperidin | ![]() | Citrus aurantium, Citrus sinensis | [34] | ||
| Dihydroflavonols | Silymarin (Silibinin, Aisosilibinin, Silidianin, Silychristin) | ![]() | Asteraceae | Silybum marianum | [35] |
| Isoflavones | Daidzein | ![]() | Papilionoideae, Iridaceae | Pueraria lobata | [36] |
| Genistein | ![]() | Glycine max, Pueraria lobata | [36,37] | ||
| Soy isoflavone | ![]() | Glycine max | [38] | ||
| Puerarin | ![]() | Pueraria lobata | [39] | ||
| Biochanin A | ![]() | Cicer arietinum, Trifolium pratense, and Glycine max | [40] | ||
| Chalcones | Isoliquiritigenin | ![]() | Asteraceae, Gesneriaceae, Leguminosae | Glycyrrhiza | [41] |
| Licochalcone | ![]() | Glycyrrhiza | [42] | ||
| Flavan-3-alcohols | Epigallocatechin gallate | ![]() | Theaceae | Camellia sinensis, Theobroma cacao | [43] |
| Catechin | ![]() | Theobroma cacao | [44] | ||
| Other flavonoids | Ginkgetin | ![]() | Ginkgoaceae | Ginkgo biloba | [45] |
| Methylophiopogonanone A | ![]() | Liliaceae | Radix Ophiopogonis | [46] | |
| Swertiajaponin | ![]() | Gentianaceae | Ziziphus jujuba | [47] | |
| Scabiolide | ![]() | Asteraceae | Centaurea cyanus | [48] | |
3.2. Chemical Synthesis and Structural Modification
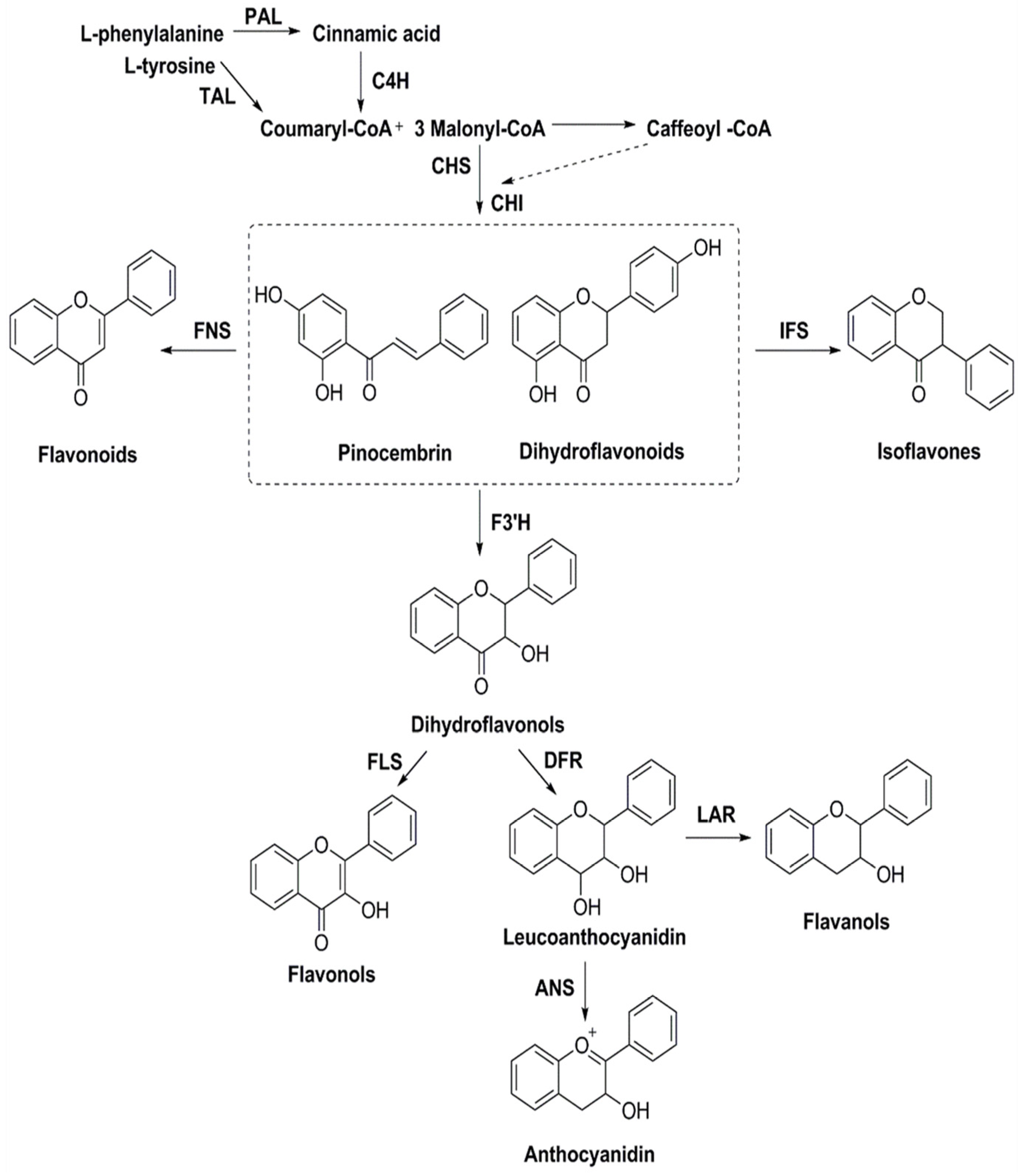
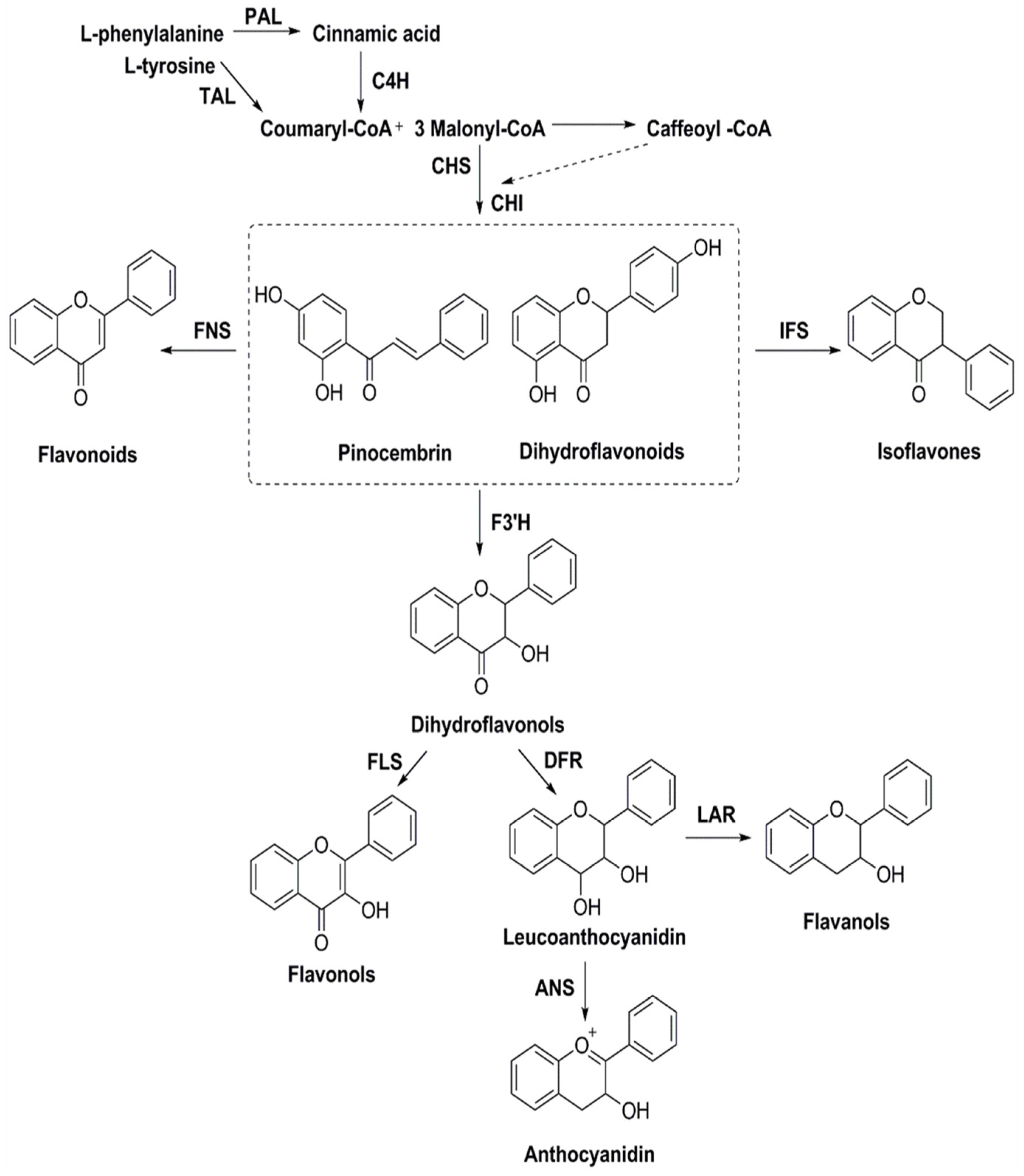
3.3. Biosynthesis
| Endophytic Fungi | Host Plant | References |
|---|---|---|
| Fusarium sp. | Portulaca oleracea | [61] |
| Penicillium and Mucor | Ginkgo biloba | [62,77] |
| Leptosphaeria, Fusarium sp. | Gentiana straminea | [64] |
| Alternaria | Erigeron breviscapus | [78] |
| Phomopsis | Cupressus funebris | [79] |
| Aspergillus | Opuntia stricta, Saccharum officinarum | [80,81] |
| Chaetomium sp., Colletotrichum sp. | Conyza blinii | [82] |
| Pestalotiopsis | Rhizophora mucronata | [83] |
| Phomopsis longicolla | Dicerandra | [84] |
| Penicillium | Carica papaya | [85] |
| Mycelia sterlia | Vaccinium vitisidaea | [86] |
| Chaetomium | Opuntia | [87] |
| Preussia funiculata | Stellera chamaejasme | [88] |
| Aspergillus tabacinus | Saussurea involucrata | [69] |
| Alternaria tenuissima, Dothiorella gregaria, Penicillium aethiopicum, Nothophoma quercina, and Hypoxylon perforatum | Loranthus tanakae | [59] |
| Alternaria, Eupenicillium | Cyclocarya paliurus | [89] |
| Fusarium sp., Penicillin pinophilum | Apocynum venetum | [90] |
| Sordariomycetes sp., Hypoxylon fragiforme, Phanerochaete magnoliae, Daldinia eschscholtzii | Dendrobium officinale | [91] |
| Not identified | Glycyrrhiza uralensis | [92] |
| Precursor | Expression Vector | Key Enzyme/Gene | Product | Yield (mg/L) | References |
|---|---|---|---|---|---|
| Glucose | Y. lipolytica | Chalcone synthase (CHS), Cytochrome P450 reductases (CPR) | Naringenin | 252.4 | [93] |
| Tyrosine and malonate | E. coli | Chalcone synthase (CHS) | 191.9 | [94] | |
| Glucose | S. cerevisiae | 4CL3, CHS1, CHI1, C4H, CPR, CHS3, PAL1, TAL1 | 112.9 | [95] | |
| Glucose | Yarrowia | TAL, 4CL, CHS, CHI, F3′H, CPR, ACS2, ACC1 | 71.2 | [96] | |
| Coumaric acid | S. venezuela | CCL, CHS | 4 | [97] | |
| Phenylalanine | E. coli | acc BC, dts R1 | Pinocembrin | 58 | [98] |
| Daidzein | E. coli | S-adenosine-l-methionine synthase (SAMS) | 4′-O-methyl daidzein | 102.88 | [99] |
| Glucose | Y. lipolytica | Chalcone synthase (CHS), Cytochrome P450 reductases (CPR) | Eriodictyol | 134.2 | [93] |
| Kaempferol | E. coli | Glycosyltransferase C | Afzelin | 1900 | [100] |
| Naringenin | E. coli | Glycosyltransferase | Astragalin | 1738.5 | [101] |
| L-tyrosine | E. coli | PAL, sc CCL, CHS, CHI, FS1, acc BC, dts R1 | Apigenin | 13 | [102] |
| L-tyrosine | E. coli | PAL, Sc CCL, CHS, CHI | Kaempferol | 15.1 | [102] |
| Naringenin | E. coli | Cisf3H, C3H, Cufls, CLS | 1184.2 | [101] | |
| Catechin and Glucose | E. coli | Anthocyanidin synthase (PhANS), Cyanidin 3-O-glucosyltransferase (At3GT) | Cyanidin 3-O-glucoside | 439 | [103] |
| Phenylalanine | S. cerevisiae | PAL, CPR, C4H, 4CL, CHS, CHI, F3′H, FLS | Quercitrin | - | [104] |
| Quercetin | E. coli | Glycosyltransferase C (GtfC), the dTDP-rhamnose synthesis genes (rmlABCD), glucan 1,4-alpha-maltohexaosidase | 4300 | [95] | |
| Hesperetin | E. coli | Anthocyanidin synthase (PhANS), cyanidin 3-O-glucosyltransferase (At3GT) | Hesperetin-3′-O-rhamnoside | 2400 | [95] |
| Glucose, L-tyrosine | E. coli | TAL, 4CL, CHS, CHI, acc BC, dts R1, DE3 | Eriodictyon | 107 | [105] |
| Cumaric acid | E. coli | 4CL1, STS, ACC, Bir A | Resveratrol | 910.9 | [106] |
| Glucose | E. coli | TAL, 4CL, CHS, NOMT, pps A, tkt A, aro Gfbr, yr Afbr | Sakuranetin | 40.1 | [107] |
| Caffeic acid | E. coli | 4CL1, STS | Piceatannol | 13.3 | [108] |
| Genistein | E. coli | S-adenosine-l-methionine synthase (SAMS) | 4′-O-methyl genistein | 46.81 | [94] |
| Apigenin | E. coli | glycosyltransferase, sucrose synthase | Isovitexin | 3772 | [109] |
| Tyrosine | E. coli | Flavone C-6 hydroxylase(F6H), Partner P450 reductase from Arabidopsis thaliana (AtCPR) | Scutellarein | 106.2 | [71] |
| Luteolin | E. coli | Glycosyltransferase, Sucrose synthase | Isoorientin | 3820 | [109] |
| Glucose | Yarrowia | TAL, 4CL, CHS, CHI, F3′H, CPR, ACS2, ACC1 | Taxifolin | 48.1 | [96] |
| Y. lipolytica | 110.5 | [93] | |||
| S. cerevisiae | 336.8 | [110] | |||
| Phenylalanine | E. coli | PAL, Sc CCL, CHS, CHI, CHI, FS1, acc BC, dts R1 | 5,7-dihydroxyflavone | 58 | [98] |
| Xylose | S. cerevisiae | ARO4, ARO7 | p-Coumaric acid | 242 | [111] |
| Apigenin and luteolin | E.coli-E.coli coculture | Trollius chinensis C-glycosyltransferase (TcCGT), Glycine max sucrose synthase (GmSUS) | Orientin | 7090 | [76] |
| Vitexin | 5050 | [76] |
4. Evaluation of Biological Activity and Druggability
4.1. Antioxidant Effects
4.2. Anti-Inflammatory and Analgesic Effects
4.3. Anti-Tumor Effect
4.4. Anti-Anxiety Effect
4.5. Cardiovascular Protective Effect
4.6. Antidiabetic Effect
4.7. Antibacterial Activity
4.8. Therapeutic Effect on Alcoholic Fatty Liver and Non-Alcoholic Fatty Liver
4.9. Therapeutic Effect on Pulmonary Fibrosis
4.10. Other Biological Effects
5. Pharmacological Targets and Mechanisms of Action of Flavonoids
5.1. Mechanisms of Antioxidant
5.2. Mechanisms of Anti-Inflammatory
5.3. Anti-Cancer Mechanisms
5.4. Anti-Anxiety Mechanisms
5.5. Mechanisms of Antidiabetic Action
5.6. Mechanisms of Analgesic Action
5.7. Mechanisms of Action on Alcoholic Liver Disease
5.8. Mechanisms of Antiviral Action
6. New Drug Development and Clinical Synergy
7. The Focus of Future Research on Flavonoids
7.1. Existing Issues
7.2. Future Prospects
8. Conclusions
Author Contributions
Funding
Institutional Review Board Statement
Informed Consent Statement
Data Availability Statement
Acknowledgments
Conflicts of Interest
Abbreviations
| FDA | Food and Drug Administration |
| UAE | Ultrasound-assisted extraction |
| RSM | Response Surface Methodology |
| HPLC | High-performance liquid chromatography |
| LC-MS | Liquid chromatography tandem mass spectrometry |
| DES | Deep eutectic solvent |
| AFO | Algar–Flynn–Oyamada method |
| BKVK | Baker–Venkataraman method |
| PTZ | Pentylenetetrazol |
| NRG | Neuregulin |
| CDK | Cyclin-dependent kinase |
| IC50 | Half maximal inhibitory concentration |
| COX-2 | Cyclooxygenase-2 |
| ITS | Internal Transcribed Spacer |
| CHS | Chalcone synthase |
| FNS | Flavonol synthase |
| CHI | Chalcone isomerase |
| IFS | Isoflavone synthase |
| F3′H | Flavonoid 3′-hydroxylase |
| PAL | Phenylalanine ammonia-lyase |
| TAL | Tyrosine ammonia-lyase |
| C4H | Cinnamic acid-4-hydroxylase |
| 4CL | 4-coumaroyl-CoA |
| PEP | Precursors 2-(phenoloxy) prop-2-en-1-olate |
| E4P | (S)-2-hydroxy-4-oxobutyl dihydrogen phosphate |
| TcCGT | Trollius chinensis C-glycosyltransferase |
| GmSUS | Glycine max sucrose synthase |
| DPPH | 2-diphcnyl-l-picrylhydrazyl |
| ABTS | 2,2′-azino-bis(3-ethylbenzothiazoline-6-sulfonic acid) |
| ROS | Reactive oxygen species |
| EE | Ethanolic extract |
| FG | Flavonoid glycosides |
| NF-κB | Nuclear factor-kappa B |
| 5-HT | 5-hydroxytryptamine |
| PGE2 | Prostaglandin E2 |
| HO-1 | Heme oxygenase 1 |
| Nrf2 | Nuclear factor erythroid 2-related factor 2 |
| LTB4 | Leukotrienes B4 |
| TNF-α | Tumor necrosis factor-alpha |
| IL-6 | Interleukin-6 |
| IL-8 | Interleukin-8 |
| TLR4 | Toll-like receptors 4 |
| Akt | Protein kinase B |
| NQO1 | NAD(P)H: quinone oxidoreductase 1 |
| MyD88 | Myeloid differentiation primary response 88 |
| p38MAPK | Phospho-p38 mitogen-activated protein kinases |
| JNK | c-Jun N-terminal kinase; 6-MeOF, 6-methoxyflavone |
| LDH | Lactate dehydrogenase |
| CK-MB | Creatine kinase muscle/brain |
| CABG | Coronary artery bypass grafting |
| CVD | Cardiovascular disease |
| PEPCK | Phosphoenolpyruvate carboxykinase |
| G-6-Pase | Glucose-6-phosphatase |
| ACC | Acetyl coenzyme A carboxylesterase |
| IRS-2 | Insulin receptor substrate-2 |
| GLUT4 | Glucose transporter protein 4 |
| IR | Insulin-resistant |
| PI3K | Phosphatidylinositol 3-kinase |
| IRS-1 | Insulin receptor substrate-1 |
| GSK-3β | Phosphoglycogen synthase kinase |
| AGEs | advanced glycosylation end products |
| NMR | Nuclear magnetic resonance spectroscopy |
| MIC | Minimum inhibitory concentration |
| TC | Total cholesterol |
| TG | Triacylglycerol |
| TBIL | total bilirubin |
| NAFLD | Non-alcoholic fatty liver disease |
| A2Ar | Adenosine A2a receptor |
| ERK | Extracellular regulated protein kinases |
| MMP-2 | Matrix Metallopeptidase 2 |
| TGF-β1 | Tubuloglomerular feedback β1 |
| BLM | Bleomycin |
| LC3 | Microtubule-associated protein1 light chain 3 |
| PINK1 | PTEN-induced putative kinase 1 |
| LAMP1 | Lysosome-associated membrane proteins 1 |
| TFEB | Transcription factor EB |
| EMT | Epithelial–mesenchymal transition |
| SAPK | Stress-activated protein kinase |
| STAT-1 | Signal transducer and activator of transcription 1 |
| SAPK | Stress-activated protein kinase; mTOR, mammalian target of rapamycin |
| VEGF | Vascular endothelial growth factor |
| Bcl-2 | B-cell lymphoma-2 |
| Bax | BCL2-associated X |
| PLK1 | Polo-like kinase |
| PPARγ | Peroxisome proliferator-activated receptors γ |
| TFH | Hippophae rhamnoides |
| PRKCA | Protein kinase C alpha |
| IGF-1 | Insulin-like growth factor-1 |
| UCP2 | uncoupling protein 2 |
| GLP-1R | Glucagon-like peptide-1 receptor |
| EGCG | Epigallocatechin gallate |
| TBARS | Thiobarbituric acid reactive substances |
| FAS | fatty acid synthase; KGM, Konjac glucomannan |
| GPx | Glutathione peroxidase |
| TSA | Thiolated sodium alginate |
| GPx | Glutathione peroxidase |
| PVA | Polyvinyl alcohol |
| SA | Sodium alginate |
| ALOX5 | Arachidonic acid-5-lipoxygenase |
| MMP | Matrix metalloproteinases |
| LNQ-MF | Luteolin, Naringenin and Quercetin-loaded Micellar Formulation |
| T2DM | diabetes mellitus type 2 |
| Sirt3 | recombinant Sirtuin 3 |
| YAP1 | Yes-associated protein 1 |
| HMC | Hesperidin methyl chalcone |
References
- Liga, S.; Paul, C.; Péter, F. Flavonoids: Overview of biosynthesis, biological activity, and current extraction techniques. Plants 2023, 12, 2732. [Google Scholar] [CrossRef] [PubMed]
- Roy, A.; Khan, A.; Ahmad, I.; Alghamdi, S.; Rajab, B.S.; Babalghith, A.O.; Alshahrani, M.Y.; Islam, S.; Islam, M.R. Flavonoids a bioactive compound from medicinal plants and its therapeutic applications. BioMed Res. Int. 2022, 2022, 5445291. [Google Scholar] [CrossRef] [PubMed]
- Kumar, S.; Pandey, A.K. Chemistry and biological activities of flavonoids: An overview. Sci. World J. 2013, 2013, 162750. [Google Scholar] [CrossRef] [PubMed]
- Lee, J.; Kim, J.H. Kaempferol inhibits pancreatic cancer cell growth and migration through the blockade of EGFR-related pathway in vitro. PLoS ONE 2016, 11, e0155264. [Google Scholar] [CrossRef] [PubMed]
- da Silva, L.; Donato, I.A.; Gonçalves, C.A.C.; Scherf, J.R.; dos Santos, H.S.; Mori, E.; Coutinho, H.D.M.; da Cunha, F.S.B. Antibacterial potential of chalcones and its derivatives against Staphylococcus aureus. 3 Biotech 2023, 13, 1. [Google Scholar] [CrossRef] [PubMed]
- Šamec, D.; Karalija, E.; Dahija, S.; Hassan, S.T.S. Biflavonoids: Important contributions to the health benefits of Ginkgo (Ginkgo biloba L.). Plants 2022, 11, 1381. [Google Scholar] [CrossRef] [PubMed]
- Osama, M.A.; Sameh, F.A.; Noha, A.A.; Mohamed, Y.Z.; Han, L. An up-to-date review on citrus flavonoids: Chemistry and benefits in health and diseases. Curr. Pharm. Des. 2021, 27, 513–530. [Google Scholar]
- Khater, M.; Ravishankar, D.; Greco, F.; Osborn, H.M. Metal complexes of flavonoids: Their synthesis, characterization and enhanced antioxidant and anticancer activities. Future Med. Chem. 2019, 11, 2845–2867. [Google Scholar] [CrossRef] [PubMed]
- Mukai, R. Prenylation enhances the biological activity of dietary flavonoids by altering their bioavailability. Biosci. Biotechnol. Biochem. 2018, 82, 207–215. [Google Scholar] [CrossRef] [PubMed]
- Zuo, J.; Ma, P.; Geng, S.; Kong, Y.; Li, X.; Fan, Z.; Zhang, Y.; Dong, A.; Zhou, Q. Optimization of the extraction process of flavonoids from Trollius ledebouri with natural deep eutectic solvents. J. Sep. Sci. 2022, 45, 717–727. [Google Scholar] [CrossRef]
- Ahmad, R.; Alqathama, A.; Aldholmi, M.; Riaz, M.; Eldin, S.M.; Alam, M.M.; Abdelmohsen, S.A. Ultrasonic-assisted extraction of fenugreek flavonoids and its geographical-based comparative evaluation using green UHPLC-DAD analysis. Ultrason. Sonochem. 2023, 95, 106382. [Google Scholar] [CrossRef] [PubMed]
- Biswas, A.; Dey, S.; Xiao, A.; Deng, Y.; Birhanie, Z.M.; Roy, R.; Akhter, D.; Liu, L.; Li, D. Ultrasound-assisted extraction(UAE) of antioxidant phenolics from Corchorus olitorius leaves: A response surface optimization. Chem. Biol. Technol. Agric. 2023, 10, 64. [Google Scholar] [CrossRef]
- Cui, Q.; Ming, Y.; Yu, M.; Lou, F.; Yang, S.; Wu, G.; Li, W.; Li, Y.; Zhang, R.; Cheng, X. Optimization of flavonoids extraction from Inocutis tamaricis and biological activity analysis. J. Food Meas. Charact. 2023, 17, 5619–5632. [Google Scholar] [CrossRef]
- Gan, X.; Peng, B.; Chen, L.; Jiang, Y.; Li, T.; Li, B.; Liu, X. Identification of xanthine oxidase inhibitors from Celery seeds using affinity ultrafiltration-liquid chromatography-mass spectrometry. Molecules 2023, 28, 6048. [Google Scholar] [CrossRef]
- Fu, R.; Wang, L.; Meng, Y.; Xue, W.; Liang, J.; Peng, Z.; Meng, J.; Zhang, M. Apigenin remodels the gut microbiota to ameliorate ulcerative colitis. Front. Nutr. 2022, 9, 1062961. [Google Scholar] [CrossRef] [PubMed]
- Zhang, S.; Wang, Y.; Shan, J.; Qi, X.; Liu, Q. Improved bioavailability and hepatoprotective activity of baicalein via a self-assembled solutol HS15 micelles system. Curr. Drug Deliv. 2024, 21, 461–472. [Google Scholar] [CrossRef] [PubMed]
- Murata, T.; Ishiwa, S.; Lin, X.; Nakazawa, Y.; Tago, K.; Funakoshi-Tago, M. The citrus flavonoid, nobiletin inhibits neuronal inflammation by preventing the activation of NF-κB. Neurochem. Int. 2023, 171, 105613. [Google Scholar] [CrossRef] [PubMed]
- Shahbaz, M.; Naeem, H.; Imran, M.; Ul Hassan, H.; Alsagaby, S.A.; Al Abdulmonem, W.; Waqar, A.B.; Ghorab, A.H.; Abdelgawad, M.A.; Ghoneim, M.M.; et al. Chrysin a promising anticancer agent: Recent perspectives. Int. J. Food Prop. 2023, 26, 2294–2337. [Google Scholar] [CrossRef]
- Ravishankar, D.; Salamah, M.; Attina, A.; Pothi, R.; Vallance, T.M.; Javed, M.; Williams, H.F.; Alzahrani, E.M.S.; Kabova, E. Ruthenium-conjugated chrysin analogues modulate platelet activity, thrombus formation and haemostasis with enhanced efficacy. Sci. Rep. 2017, 7, 5738. [Google Scholar] [CrossRef]
- Han, D.G.; Cha, E.; Joo, J.; Hwang, J.S.; Kim, S.; Park, T.; Jeong, Y.S.; Maeng, H.J.; Kim, S.B.; Yoon, I.S. Investigation of the factors responsible for the poor oral bioavailability of acacetin in rats: Physicochemical and Biopharmaceutical Aspects. Pharmaceutics 2021, 13, 175. [Google Scholar] [CrossRef]
- Zhou, Y.; Xue, Q.; Wang, M.; Mu, L.; Chen, D.; Liu, Q.; Liu, X.; Yin, W.; Yin, F. Analysis of quality differences between Scutellaria baicalensis Georgi and Scutellaria rehderiana Diels based on phytochemistry and bioactivity evaluation. J. Pharm. Biomed. 2023, 234, 115481. [Google Scholar] [CrossRef] [PubMed]
- Catunescu, G.M.; Rotar, I.; Vidican, R.; Bunghez, F. Antimicrobial compounds in wild and cultivated herbs. Rom. J. Grassl. Forage Crops 2015, 11, 15–24. [Google Scholar]
- Huang, H.; Xie, S.; Deng, L.; Yuan, J.; Yue, R.R.; Xu, J.K. Fabrication of rGO/MXene-Pd/rGO hierarchical framework as high-performance electrochemical sensing platform for luteolin detection. Microchim. Acta 2022, 189, 59. [Google Scholar] [CrossRef] [PubMed]
- Nakasugi, T.; Nakashima, M.; Komai, K. Antimutagens in Gaiyou (Artemisia argyi Levl. et Vant.). J. Agric. Food Chem. 2000, 48, 3256–3266. [Google Scholar] [CrossRef] [PubMed]
- Liu, L.; Yuan, M.; Huang, S.; Li, J.; Li, D.; Zhao, L. Analysis of xanthine oxidase inhibitors from Clerodendranthus spicatus with xanthine oxidase immobilized silica coated Fe3O4 nanoparticles. Appl. Sci. 2018, 8, 158. [Google Scholar] [CrossRef]
- Huang, X.; Li, T.; Li, S. Encapsulation of vitexin-rhamnoside based on zein/pectin nanoparticles improved its stability and bioavailability. Curr. Res. Food Sci. 2023, 6, 100419. [Google Scholar] [CrossRef] [PubMed]
- Park, S.; Kim, B.K.; Park, S.K. Effects of fisetin, a plant-derived flavonoid, on response to oxidative stress, aging, and age-related diseases in Caenorhabditis elegans. Pharmaceuticals 2022, 15, 1528. [Google Scholar] [CrossRef] [PubMed]
- Sreeja, P.S.; Arunachalam, K.; de Oliveira Martins, D.T.; da Silva Lima, J.C.; Balogun, S.O.; Pavan, E.; Saikumar, S.; Dhivya, S.; Kasipandi, M.; Parimelazhagan, T. Sphenodesme involucrata var. paniculata (C.B. Clarke) Munir.: Chemical characterization, anti-nociceptive and anti-inflammatory activities of methanol extract of leaves. J. Ethnopharmacol. 2018, 225, 71–80. [Google Scholar] [CrossRef] [PubMed]
- Patel, K.G.; Patel, V.G.; Patel, K.V.; Gandhi, T.R. Validated HPTLC method for quantification of myricetin in the stem bark of Myrica esculenta Buch. Ham. Ex D. Don. myricaceae. JPC—J. Planar Chromatogr. 2010, 23, 326–331. [Google Scholar] [CrossRef]
- Kim, J.; Kim, R.H.; Hwang, K.T. Flavonoids in different parts of common buckwheat (Fagopyrum esculentum) and Tartary buckwheat (F. tataricum) during growth. J. Food Compos. Anal. 2023, 120, 105362. [Google Scholar] [CrossRef]
- Parvez, M.K.; Al-dosari, M.S.; Basudan, O.A.; Herqash, R.N. The anti-hepatitis B virus activity of sea buckthorn is attributed to quercetin, kaempferol and isorhamnetin. Biomed. Rep. 2022, 17, 89. [Google Scholar] [CrossRef] [PubMed]
- Molnar, M.; Jakovljević, M.; Jokić, S. Optimization of the process conditions for the extraction of rutin from Ruta graveolens L. by choline chloride based deep eutectic solvents. Solvent Extr. Res. Dev. 2018, 25, 109–116. [Google Scholar] [CrossRef]
- Camacho, M.d.M.; Martínez-Lahuerta, J.J.; García-Martínez, E.; Igual, M.; Martínez-Navarrete, N. Bioavailability of bioactive compounds from reconstituted grapefruit juice as affected by the obtention process. Molecules 2023, 28, 2904. [Google Scholar] [CrossRef] [PubMed]
- Bi, S.; Liu, Y.; Lv, T.; Ren, Y.; Liu, K.; Liu, C.; Zhang, Y. Preliminary exploration of method for screening efficacy markers compatibility in TCM prescriptions based on Q-markers: Anti-inflammatory activity of Dachaihu decoction as an example. J. Ethnopharmacol. 2023, 312, 116539. [Google Scholar] [CrossRef] [PubMed]
- Jabbari, A.; Alani, B.; Mazoochi, T.; Kheiripour, N.; Ardjmand, A. Silymarin pretreatment protects against ethanol-induced memory impairment: Biochemical and histopathological evidence. J. Chem. Neuroanat. 2023, 132, 102310. [Google Scholar] [CrossRef] [PubMed]
- Semenov, A.L.; Tyndyk, M.L.; Von, J.D.; Ermakova, E.D.; Dorofeeva, A.A.; Tumanyan, I.A.; Radetskaya, E.A.; Yurova, M.N.; Zherebker, A.; Gorbunov, A.Y.; et al. Effects of isoflavone-rich NADES extract of Pueraria lobata roots and astaxanthin-rich Phaffia rhodozyma extract on prostate carcinogenesis in rats. Plants 2023, 12, 564. [Google Scholar] [CrossRef] [PubMed]
- Watanabe, S.; Haruyama, R.; Umezawa, K.; Tomioka, I.; Nakamura, S.; Katayama, S.; Mitani, T. Genistein enhances NAD+ biosynthesis by upregulating nicotinamide phosphoribosyltransferase in adipocytes. J. Nutr. Biochem. 2023, 121, 109433. [Google Scholar] [CrossRef] [PubMed]
- Yang, Z.; Wu, X.; Ma, J.; Yuan, M.; Zhan, Y.; Li, Y.; Li, H.; Teng, W.; Zhao, X.; Han, Y. Genome-wide identification and expression profiling of 4-coumarate:coenzyme A ligase genes influencing soybean isoflavones at the seedling stage. Crop Pasture Sci. 2024, 75, CP23147. [Google Scholar] [CrossRef]
- Li, J.; Li, Y.; Yuan, X.; Yao, D.; Gao, Z.; Niu, Z.; Wang, Z.; Zhang, Y. The effective constituent puerarin, from Pueraria lobata, inhibits the proliferation and inflammation of vascular smooth muscle in atherosclerosis through the miR-29b-3p/IGF1 pathway. Pharm. Biol. 2023, 61, 1–11. [Google Scholar] [CrossRef] [PubMed]
- Feng, Z.J.; Lai, W.F. Chemical and biological properties of biochanin A and its pharmaceutical applications. Pharmaceutics 2023, 15, 1105. [Google Scholar] [CrossRef]
- Chen, Z.; Ding, W.; Yang, X.; Lu, T.; Liu, Y. Isoliquiritigenin, a potential therapeutic agent for treatment of inflammation-associated diseases. J. Ethnopharmacol. 2024, 318, 117059. [Google Scholar] [CrossRef] [PubMed]
- Zhao, Q.; Zhang, X.; Long, S.; Wang, S.; Yu, H.; Zhou, Y.; Li, Y.; Xue, L.; Hu, Y.; Yin, S. Licochalcone mediates the pain relief by targeting the voltage-gated sodium channel. Mol. Pharmacol. 2023, 104, 133–143. [Google Scholar] [CrossRef] [PubMed]
- Zheng, T.; Cui, M.; Chen, H.; Wang, J.; Ye, H.; Zhang, Q.; Sun, S.; Feng, Y.; Zhang, Y.; Liu, W.; et al. Co-assembled nanocomplexes comprising epigallocatechin gallate and berberine for enhanced antibacterial activity against multidrug resistant Staphylococcus aureus. Biomed. Pharmacother. 2023, 163, 114856. [Google Scholar] [CrossRef] [PubMed]
- Jamiu, M.J.; Matthew, A.A.; Mariam, T.O.; Adewumi, Y.A.; Adeola, T.O. Catechin-rich reddish-brown dye from cocoa (Theobroma cacao L.) leaf for functionalizing herbal-anchored wool fabrics. Ind. Crop Prod. 2023, 205, 117465. [Google Scholar]
- Ren, G.; Xu, G.; Li, R.; Xie, H.; Cui, Z.; Wang, L.; Zhang, C. Modulation of Bleomycin-induced Oxidative Stress and Pulmonary Fibrosis by Ginkgetin in Mice via AMPK. Curr. Mol. Pharmacol. 2023, 16, 217–227. [Google Scholar] [PubMed]
- Tian, Y.; Chang, S.; Xu, J.; Gong, P.; Yu, B.; Qi, J. Investigation of the effective components inhibited macrophage foam cell formation in Ophiopogonis Radix. J. Ethnopharmacol. 2022, 283, 114678. [Google Scholar] [CrossRef] [PubMed]
- Liu, J.; Zhang, Y.; Zhang, M.; Wang, Q.; Xie, J. Ultrasonic-assisted extraction of swertisin from sour Jujube seed and comprehensive revelation of its antioxidant activity. J. Food Biochem. 2022, 46, e14433. [Google Scholar] [CrossRef]
- Lockowandt, L.; Pinela, J.; Roriz, C.L.; Pereira, C.; Abreu, R.M.; Calhelha, R.C.; Alves, M.J.; Barros, L.; Bredol, M.; Ferreira, I.C.F.R. Chemical features and bioactivities of cornflower (Centaurea cyanus L.) capitula: The blue flowers and the unexplored non-edible part. Ind. Crop Prod. 2019, 128, 496–503. [Google Scholar]
- Mkrtchyan, S.; Iaroshenko, V.O. Visible-light-mediated arylation of ortho-hydroxyarylenaminones: Direct access to isoflavones. Chem. Commun. 2020, 56, 2606–2609. [Google Scholar] [CrossRef] [PubMed]
- Dias, T.A.; Duarte, C.L.; Lima, C.F.; Proença, M.F.; Pereira-Wilson, C. Superior anticancer activity of halogenated chalcones and flavonols over the natural flavonol quercetin. Eur. J. Med. Chem. 2013, 65, 500–510. [Google Scholar] [CrossRef] [PubMed]
- Copmans, D.; Orellana-Paucar, A.M.; Steurs, G.; Zhang, Y.; Ny, A.; Fpubert, K.; Exarchou, V.; Siekierska, A.; Kim, Y.; De-Borggraeve, W. Methylated flavonoids as anti-seizure agents: Naringenin 4′,7-dimethyl ether attenuates epileptic seizures in zebrafish and mouse models. Neurochem. Int. 2018, 112, 124–133. [Google Scholar] [CrossRef]
- Mei, Q.G.; Yuan, W.C.; Wang, C. Progress in the synthesis of 3-hydroxyflavones. Chin. J. Org. Chem. 2015, 35, 70–84. [Google Scholar] [CrossRef]
- Li, K.J. Preparation and SAR Evaluation of Scutellaria Flavonoids Mannich Base Derivatives as CDK1/CyclinB Inhibitors. Master’s Thesis, Dalian University of Technology, Dalian, China, 2010. [Google Scholar]
- Blachly, J.S.; Byrd, J.C.; Grever, M. Cyclin-dependent kinase inhibitors for the treatment of chroniclymphocytic leukemia. Semin. Oncl. 2016, 43, 265–273. [Google Scholar] [CrossRef] [PubMed]
- Cassaday, R.D.; Cassaday, R.D.; Goy, A.; Advani, S.; Chawla, P.; Nachankar, R.; Gandhi, M.; Gopal, A.K. A phase II, single-arm, open-label, multicenter study to evaluate the efficacy and safety of P276–00, a cyclin-dependent kinase inhibitor, in patients with relapsed or refractory mantle cell lymphoma. Clin. Lymphoma Myeloma Leuk. 2015, 15, 392–397. [Google Scholar] [CrossRef] [PubMed]
- Yoon, H.; Kim, T.W.; Shin, S.Y.; Park, M.J.; Yong, Y.; Kim, D.W.; Islam, T.; Lee, Y.H.; Jung, K.Y.; Lim, Y. Design, synthesis and inhibitory activities of naringenin derivatives on human colon cancer cells. Bioorg. Med. Chem. Lett. 2013, 23, 232–238. [Google Scholar] [CrossRef] [PubMed]
- Murad, A.; Nidal, J.; Fuad, A.; Malak, S.; Dana, M.; Zain, A.; Yara, A.; Ahmed, M. Bioactivity evaluation of synthesized flavone analogs. Food Sci. Technol. 2022, 42, e57122. [Google Scholar]
- Freitas, M.; Ribeiro, D.; Tome, S.M.; Silva, A.M.; Fernandes, E. Synthesis of chlorinated flavonoids with anti-inflammatory and proapoptotic activities in human neutrophils. Eur. J. Med. Chem. 2014, 86, 153–164. [Google Scholar] [CrossRef] [PubMed]
- Zheng, Z.; Chai, S.; Chen, J.; Yang, H.; Chang, J.; Yang, G. Isolation and identification of flavonoid-producing endophytic fungi from Loranthus tanakae Franch. & Sav that exhibit antioxidant and antibacterial activities. J. Appl. Microbiol. 2022, 133, 1892–1904. [Google Scholar] [PubMed]
- Zhao, S.; Wu, X.; Duan, X.; Zhou, C.; Zhao, Z.; Chen, H.; Tang, Z.; Wan, Y.; Xiao, Y.; Chen, H. Optimal extraction, purification and antioxidant activity of total flavonoids from endophytic fungi of Conyza blinii H. Lév. Peer J. 2021, 9, e11223. [Google Scholar] [CrossRef]
- Ai, J.; Yu, T.; Li, J.; Jiang, Y.; Liu, X.; Deng, Z. Isolation and Antibacterial Activity Determination of Flavonoids-producing Endophytic Fungi from Portulaca oleracea L. J. Univ. South China (Sci. Technol.) 2021, 35, 79–84. [Google Scholar]
- He, F.; Chen, X.; Zhang, R.; Wu, Y.; Yuan, Z. Isolation and Identification of Two Flavonoid-Producing Endophytic Fungi from Ginkgo biloba Linn. Nat. Prod. Res. Dev. 2017, 29, 1141–1147. [Google Scholar]
- Zhou, W.; Liu, W.; Wei, Q.; Hu, L.; Feng, R.; Zhao, S.; Ren, Y. Diversity and flavonoid-producing function of culturable endophytic fungi in natural spice Cinnamomum longepaniculatum (Gamble) N. Chao in spring. Chin. J. Trop. Crops 2022, 43, 2149–2159. [Google Scholar]
- Cheng, T.; Lü, D.; Wang, H.; Chen, S.; Zhang, H.; Lin, P.; Shen, J.; Xing, R.; Zhou, D. Isolation, identification and antioxidant activity of endophytic fungi producing flavonoids from Gentiana straminea Maxim. Mol. Plant Breed. 2022, 20, 6541–6549. [Google Scholar]
- Wueren, A.; Guo, Y.; Mugul, M.; Entemake, B.; Jiao, Z.; Nuer, M. Screening and Identification of Endophytic Fungi Producing Flavonoids from Snow Lotus in Tianshan Mountains. Chin. Tradit. Pat. Med. 2017, 39, 2424–2427. [Google Scholar]
- Nabavi, S.M.; Šamec, D.; Tomczyk, M.; Milella, L.; Russo, D.; Habtemariam, S.; Suntar, I.; Rastrelli, L.; Daglia, M.; Xiao, J.; et al. Flavonoid biosynthetic pathways in plants: Versatile targets for metabolic engineering. Biotechnol. Adv. 2020, 38, 107316. [Google Scholar] [CrossRef] [PubMed]
- Zhang, X.; Xu, Y.; Xue, H.; Jiang, G.C.; Liu, X.J. Antioxidant activity of vine tea (Ampelopsis grossedentata) extract on lipid and protein oxidation in cooked mixed porkpatties during refrigerated storage. Food Sci. Nutr. 2019, 7, 1735–1745. [Google Scholar] [CrossRef] [PubMed]
- Fan, L.L.; Qu, X.S.; Yi, T.; Peng, Y.; Jiang, M.J.; Miao, J.H.; Xiao, P.G. Metabolomics of the protective effect of Ampelopsis grossedentata and its major active compound dihydromyricetin on the liver of high-fat diet hamster. Evid.-Based Complement. Altern. Med. 2020, 35, 3472578. [Google Scholar] [CrossRef] [PubMed]
- Liu, L.; Li, X.; Liu, G.; Liu, S.; Wei, L. Cloning and Bioinformatics Analysis of Trans-cinnamate 4-Monooxygenase Gene in Ampelopsis grossedentata. Mol. Plant Breed. 2023, 1–11. [Google Scholar]
- Jin, J.Q.; Qu, F.R.; Huang, H.S.; Liu, Q.S.; Wei, M.Y.; Zhou, Y.; Huang, K.L.; Cui, Z.B.; Chen, J.D.; Dai, W.D.; et al. Characterization of two O-methyltransferases involved in the biosynthesis of O-methylated catechins in tea plant. Nat. Commun. 2023, 14, 5075. [Google Scholar] [CrossRef] [PubMed]
- Li, J.; Tian, C.; Xia, Y.; Mutanda, I.; Wang, K.; Wang, Y. Production of plant-specific flavones baicalein and scutellarein in an engineered E. coli from available phenylalanine and tyrosine. Metab. Eng. 2019, 52, 124–133. [Google Scholar] [CrossRef] [PubMed]
- Zhang, Y.; Butelli, E.; Alseekh, S.; Tohge, T.; Rallapalli, G.; Luo, J.; Kawar, P.G.; Hill, L.; Santino, A.; Fernie, A.R.; et al. Multi-level engineering facilitates the production of phenylpropanoid compounds in tomato. Nat. Commun. 2015, 6, 8635. [Google Scholar] [CrossRef]
- Tohge, T.; Zhang, Y.; Peterek, S.; Matros, A.; Rallapalli, G.; Tandrón, Y.A.; Butelli, E.; Kallam, K.; Hertkorn, N.; Mock, H.P.; et al. Ectopic expression of snapdragon transcription factors facilitates the identification of genes encoding enzymes of anthocyanin decoration in tomato. Plant J. 2015, 83, 686–704. [Google Scholar] [CrossRef]
- Rodriguez, A.; Strucko, T.; Stahlhut, S.G.; Kristensen, M.; Svenssen, D.K.; Forster, J.; Nielsen, J.; Borodina, I. Metabolic engineering of yeast for fermentative production of flavonoids. Bioresour. Technol. 2017, 245, 1645–1654. [Google Scholar] [CrossRef] [PubMed]
- Wang, X.N.; Li, Z.H.; Policarpio, L.; Koffas, M.A.G.; Zhang, H.R. De novo biosynthesis of complex natural product sakuranetin using modular co-culture engineering. Appl. Microbiol. Biot. 2020, 104, 4849–4861. [Google Scholar] [CrossRef] [PubMed]
- Qiu, C.; Wang, H.; Zhao, L.; Pei, J. Orientin and vitexin production by a one-pot enzymatic cascade of a glycosyltransferase and sucrose synthase. Bioorg. Chem. 2021, 112, 104926. [Google Scholar] [CrossRef] [PubMed]
- Zhang, H.; Li, S.; Lu, W.; Lei, Y.; Cao, F.; Cao, H. Distribution and identification of flavonoid-producing endophytic Fungi in Ginkgo biloba L. Soils 2015, 47, 135–141. [Google Scholar]
- Lu, Y.; Ye, C.; Che, J.X.; Xu, X.G.; Shao, D.Y.; Jiang, C.M.; Liu, Y.L.; Shi, J.L. Genomic sequencing, genome-scale metabolic network reconstruction, and in silico flux analysis of the grape endophytic fungus Alternaria sp. MG1. Microb. Cell Fact. 2019, 18, 13. [Google Scholar] [CrossRef] [PubMed]
- Isaka, M.; Jaturapat, A.; Rukseree, K.; Danwisetkanjana, K.; Tanticharoen, M.; Thebtaranonth, Y. Phomoxanthones A and B, novel xanthone dimers from the endophytic fungus Phomopsis species. J. Nat. Prod. 2001, 64, 1015–1018. [Google Scholar] [CrossRef] [PubMed]
- Tian, X.; Huang, C.; Huang, J. Identification of flavonoids and flavonoid-producing endophytic fungi isolated from Opisthopappus taihangensis (Ling) C. Shih. Bangladesh J. Bot. 2017, 46, 1063–1070. [Google Scholar]
- Zhou, N. Screening and Identification of Flavonoids-Producing Endophytic Fungi from Sugarcane Leaves. Master’s Thesis, Guangxi University, Nanning, China, 2017. [Google Scholar]
- Tang, Z.Z.; Wang, Y.S.; Yang, J.Y.; Xiao, Y.R.; Cai, Y.; Wan, Y.J.; Chen, H.; Yao, H.P.; Shan, Z.; Li, C.L.; et al. Isolation and identification of flavonoid-producing endophytic fungi from medicinal plant Conyza blinii H. lév that exhibit higher antioxidant and antibacterial activities. Peer J. 2020, 8, e8978. [Google Scholar] [CrossRef] [PubMed]
- Xu, J.; Kjer, J.; Sendker, J.; Wray, V.; Guan, H.S.; Edrada, R.; Lin, W.H.; Wu, J.; Proksch, P. Chromones from the endophytic fungus Pestalotiopsis sp. isolated from the Chinese mangrove plant Rhizophora mucronata. J. Nat. Prod. 2009, 72, 662–665. [Google Scholar] [CrossRef]
- Wagenaar, M.M.; Clardy, J. Dicerandrols, new antibiotic and cytotoxic dimers produced by the fungus Phomopsis longicolla isolated from an endangered mint. J. Nat. Prod. 2001, 64, 1006–1009. [Google Scholar] [CrossRef]
- Ke, S.; Lu, J.; Chen, P.; Zhang, R.; Yu, Y. Isolation and identification of flavonoids-producing endophytic fungi in papaya. Biotechnol. Bull. 2019, 35, 47–52. [Google Scholar]
- Li, S.N.; Li, Y.D.; Wang, Q. Bolting flavonoid-producing endophytic fungi from Vaccinium. J. Jilin Agric. Univ. 2009, 31, 587–591. [Google Scholar]
- Wijeratne, E.M.K.; Turbyville, T.J.; Fritz, A.; Whitesell, L.; Gunatilaka, A.A.L. A new dihydroxanthenone from a plant-associated strain of the fungus Chaetomium globosum demonstrates anticancer activity. Bioorg. Med. Chem. 2006, 14, 7917–7923. [Google Scholar] [CrossRef] [PubMed]
- Wang, H. Isolation and Identification of Fungal Endophytes of Stellera chamaejasme L. and Testing for Flavonoids Produced through Fermentation. Master’s Thesis, Northwest A&F University, Xianyang, China, 2016. [Google Scholar]
- Kou, X.L.; Xie, N.; Wu, C.; Wu, C.; Fu, X.X. Isolation and identification of endophytic fungi from Cyclocarya paliurus (Batal.) Iljinskaja. J. Nanjing For. Univ. (Nat. Sci. Ed.) 2020, 44, 26–34. [Google Scholar]
- Fan, Y.; Sun, X.; Gong, M. Screening and identification of endophytic fungi produced by flavonoids in Apocynum venetum. J. Huazhong Agric. Univ. 2013, 32, 59–62. [Google Scholar]
- Yu, M.; Wu, L.; Si, J.; Liu, J.; Yu, Z.; Wang, H.; Zhang, M.; Rong, S. Screening of meaningful endophytic fungi in Dendrobium officinale based on polysaccharides and flavonoids. China J. Chin. Mater. Med. 2016, 41, 2208–2212. [Google Scholar]
- Gao, X.; Wu, X.; Wu, Y.; Chen, J. Separation of Licorice Flavonoids-Producing Salt-resistant Endophytic Fungi from Wild Glycyrrhiza uralensis Fisch Living in Ningxia District. Nat. Prod. Res. Dev. 2016, 28, 1549–1556. [Google Scholar]
- Lv, Y.; Marsafari, M.; Koffas, M.; Zhou, J.; Xu, P. Optimizing Oleaginous Yeast Cell Factories for Flavonoids and Hydroxylated Flavonoids Biosynthesis. ACS Synth. Biol. 2019, 8, 2514–2523. [Google Scholar] [CrossRef] [PubMed]
- Zhou, S.; Lyu, Y.; Li, H.; Koffas, M.A.; Zhou, J. Fine-tuning the (2S)-naringenin synthetic pathway using an iterative highthroughput balancing strategy. Biotechnol. Bioeng. 2019, 116, 1392–1404. [Google Scholar] [CrossRef]
- Koopman, F.; Beekwilder, J.; Crimi, B.; van Houwelingen, A.; Hall, R.D.; Bosch, D.; van Maris, A.J.A.; Pronk, J.T.; Daran, J.M. De novo production of the flavonoid naringenin in engineered Saccharomyces cerevisiae. Microb. Cell Fact. 2012, 11, 155. [Google Scholar] [CrossRef]
- Lv, Y.K.; Edwards, H.; Zhou, J.W.; Xu, P. Combining 26s rDNA and the Cre-loxP system for iterative gene integration and efficient marker curation in Yarrowia lipolytica. ACS Synth. Biol. 2019, 8, 568–576. [Google Scholar] [CrossRef] [PubMed]
- Park, S.R.; Yoon, J.A.; Paik, J.H.; Park, J.W.; Jung, W.S.; Ban, Y.H.; Kim, E.J.; Yoo, Y.J.; Han, A.R.; Yoon, Y.J. Engineering of plant-specific phenylpropanoids biosynthesis in Streptomyces venezuelae. J. Biotechnol. 2009, 141, 181–188. [Google Scholar] [CrossRef] [PubMed]
- Miyahisa, I.; Kaneko, M.; Funa, N.; Kawasaki, H.; Kojima, H.; Ohnishi, Y.; Horinouchi, S. Efficient production of (2S) -flavanones by Escherichia coli containing an artificial biosynthetic gene cluster. Appl. Microbiol. Biot. 2005, 68, 498–504. [Google Scholar] [CrossRef] [PubMed]
- Koirala, N.; Pandey, R.P.; Thuan, N.H.; Ghimire, G.P.; Jung, H.J.; Oh, T.-J.; Sohng, J.K. Metabolic engineering of Escherichia coli for the production of isoflavonoid-4′-O-methoxides and their biological activities. Biotechnol. Appl. Biochem. 2019, 66, 484–493. [Google Scholar] [CrossRef] [PubMed]
- Ruprecht, C.; Bönisch, F.; Ilmberger, N.; Heyer, T.V.; Haupt, E.T.K.; Streit, W.R.; Rabausch, U. High level production of flavonoid rhamnosides by metagenome-derived Glycosyltransferase C in Escherichia coli utilizing dextrins of starch as a single carbon source. Metab. Eng. 2019, 55, 212–219. [Google Scholar] [CrossRef] [PubMed]
- Pei, J.; Chen, A.; Dong, P.; Shi, X.; Zhao, L.; Cao, F.; Tang, F. Modulating heterologous pathways and optimizing fermentation conditions for biosynthesis of kaempferol and astragalin from naringenin in Escherichia coli. J. Ind. Microbiol. Biotechnol. 2019, 46, 171–186. [Google Scholar] [CrossRef] [PubMed]
- Miyahisa, I.; Funa, N.; Ohnishi, Y.; Martens, S.; Moriguchi, T.; Horinouchi, S. Combinatorial biosynthesis of flavones and flavonols in Escherichia coli. Appl. Microbiol. Biot. 2006, 71, 53–58. [Google Scholar] [CrossRef] [PubMed]
- Shrestha, B.; Pandey, R.P.; Darsandhari, S.; Parajuli, P.; Sohng, J.K. Combinatorial approach for improved cyanidin 3-O-glucoside production in Escherichia coli. Microb. Cell Fact. 2019, 18, 7. [Google Scholar] [CrossRef]
- Trantas, E.; Panopoulos, N.; Ververidis, F. Metabolic engineering of the complete pathway leading to heterologous biosynthesis of various flavonoids and stilbenoids in Saccharomyces cerevisiae. Metab. Eng. 2009, 11, 355–366. [Google Scholar] [CrossRef] [PubMed]
- Zhu, S.; Wu, J.; Du, G.; Zhou, J.; Chen, J.; Pettinari, M.J. Efficient synthesis of eriodictyol from Ltyrosine in Escherichia coli. Appl. Environ. Microb. 2014, 80, 3072–3080. [Google Scholar] [CrossRef]
- Lim, C.G.; Fowler, Z.L.; Hueller, T.; Schaffer, S.; Koffas, M.A.G. High-yield resveratrol production in engineered Escherichia coli. Appl. Environ. Microb. 2011, 77, 3451–3460. [Google Scholar] [CrossRef] [PubMed]
- Kim, M.J.; Kim, B.G.; Ahn, J.H. Biosynthesis of bioactive O-methylated flavonoids in Escherichia coli. Appl. Microbiol. Biot. 2013, 97, 7195–7204. [Google Scholar] [CrossRef] [PubMed]
- Watts, K.T.; Lee, P.C.; Schmidt-Danner, T.C. Biosynthesis of plant-specific stilbene polyketides in metabolically engineered Escherichia coli. BMC Biotechnol. 2006, 6, 22. [Google Scholar] [CrossRef] [PubMed]
- Pei, J.; Sun, Q.; Gu, N.; Zhao, L.; Fang, X.; Tang, F.; Cao, F. Production of isoorientin and isovitexin from luteolin and apigenin using coupled catalysis of glycosyltransferase and sucrose synthase. Appl. Biochem. Biotechnol. 2020, 190, 601–615. [Google Scholar] [CrossRef] [PubMed]
- Yang, J.; Liang, J.; Shao, L.; Liu, L.; Gao, K.; Zhang, J.L.; Sun, Z.; Xu, W.; Lin, P.; Yu, R. Green production of silybin and isosilybin by merging metabolic engineering approaches and enzymatic catalysis. Metab. Eng. 2020, 59, 44–52. [Google Scholar] [CrossRef] [PubMed]
- Borja, G.M.; Rodriguez, A.; Campbell, K.; Borodina, I.; Chen, Y.; Nielsen, J. Metabolic engineering and transcriptomic analysis of Saccharomyces cerevisiae producing p-coumaric acid from xylose. Microb. Cell Fact. 2019, 18, 191. [Google Scholar] [CrossRef] [PubMed]
- Zhou, Y.; Qian, C.; Tang, Y.; Song, M.; Zhang, T.; Dong, G.; Zheng, W.; Yang, C.; Zhong, C.; Wang, A.; et al. Advance in the pharmacological effects of quercetin in modulating oxidative stress and inflammation related disorders. Phytother. Res. 2023, 37, 4999–5016. [Google Scholar] [CrossRef] [PubMed]
- Li, J.; Mao, B.; Tang, X.; Zhang, Q.; Zhao, J.; Zhang, H.; Cui, S. Protective Effects of naringenin and apigenin in ameliorating skin damage via mediating the Nrf2 and NF-κB pathways in mice. Foods 2023, 12, 2120. [Google Scholar] [CrossRef] [PubMed]
- Zhang, X.Y.; Wang, D.S.; Li, X.; Miao, Y.C.; Gao, J.M.; Zhang, Q. A new utilization of total flavonoids from Acer truncatum samara and leaves: Anti-aging and metabolic regulation. Ind. Crop Prod. 2023, 203, 117207. [Google Scholar] [CrossRef]
- Wang, H.Y.; Zhao, J.G.; Zhang, Y.Q. The flavonoid-rich ethanolic extract from the green cocoon shell of silkworm has excellent antioxidation, glucosidase inhibition, and cell protective effects in vitro. Food Nutr. Res. 2020, 64. [Google Scholar] [CrossRef]
- Zheng, L.; Li, C.; Li, J.; Liang, L.; Fan, Y.; Qiu, L.; Deng, Z. Two kaempferol glycosides separated from Camellia oleifera meal by high-speed countercurrent chromatography and their possible application for antioxidation. J. Food Sci. 2019, 84, 2805–2811. [Google Scholar] [CrossRef] [PubMed]
- Lee, S.J.; Yun, Y.; Lee, I.K.; Ryoo, I.J.; Yun, B.S.; Yoo, I.D. An Antioxidant Lignan and Other Constituents from the Root Bark of Hibiscus syriacus. Planta Med. 1999, 65, 658–660. [Google Scholar] [CrossRef] [PubMed]
- Kim, J.H.; Park, T.J.; Park, J.S.; Kim, M.S.; Chi, W.J.; Kim, S.Y. Luteolin-3′-O-Phosphate Inhibits Lipopolysaccharide-Induced Inflammatory Responses by Regulating NF-κB/MAPK Cascade Signaling in RAW 264.7 Cells. Molecules 2021, 26, 7393. [Google Scholar] [CrossRef] [PubMed]
- Ko, W.; Liu, Z.; Kim, K.W.; Dong, L.; Lee, H.; Kim, N.Y.; Lee, D.S.; Woo, E.R. Kuwanon T and sanggenon a isolated from Morus alba exert anti-inflammatory effects by regulating NF-κB and HO-1/Nrf2 signaling pathways in BV2 and RAW264.7 cells. Molecules 2021, 26, 7642. [Google Scholar] [CrossRef] [PubMed]
- Cheng, Z.J.; Lin, C.N.; Hwang, T.L.; Teng, C.M. Broussochalcone A, a potent antioxidant and effective suppressor of inducible nitric oxide synthase in lipopolysaccharide-activated macrophages. Biochem. Pharmacol. 2001, 61, 939–946. [Google Scholar] [CrossRef] [PubMed]
- Chen, T.; Zhang, X.; Zhu, G.; Liu, H.; Chen, J.; Wang, Y.; He, X. Quercetin inhibits TNF-α induced HUVECs apoptosis and inflammation via downregulating NF-kB and AP-1 signaling pathway in vitro. Medicine 2020, 99, e22241. [Google Scholar] [CrossRef] [PubMed]
- Tang, J.; Diao, P.; Shu, X.; Li, L.; Xiong, L. Quercetin and Quercitrin Attenuates the Inflammatory Response and Oxidative Stress in LPS-Induced RAW264.7 Cells: In Vitro Assessment and a Theoretical Model. BioMed Res. Int. 2019, 7039802. [Google Scholar] [CrossRef] [PubMed]
- Saleh, H.A.; Yousef, M.H.; Abdelnaser, A. The Anti-Inflammatory Properties of Phytochemicals and Their Effects on Epigenetic Mechanisms Involved in TLR4/NF-κB-Mediated Inflammation. Front. Immunol. 2021, 12, 606069. [Google Scholar] [CrossRef] [PubMed]
- Chen, W.F.; Shih, Y.H.; Liu, H.C.; Cheng, C.I.; Chang, C.I.; Chen, C.Y.; Lin, I.P.; Lin, M.Y.; Lee, C.H. 6-methoxyflavone suppresses neuroinflammation in lipopolysaccharide- stimulated microglia through the inhibition of TLR4/MyD88/p38 MAPK/NF-κB dependent pathways and the activation of HO-1/NQO-1 signaling. Phytomedicine 2022, 99, 154025. [Google Scholar] [CrossRef] [PubMed]
- Li, K.; Hu, W.; Yang, Y.; Wen, H.; Li, W.; Wang, B. Anti-inflammation of hydrogenated isoflavones in LPS-stimulated RAW264.7 cells via inhibition of NF-κB and MAPK signaling pathways. Mol. Immunol. 2023, 153, 126–134. [Google Scholar] [CrossRef] [PubMed]
- Du, K.; Zheng, C.; Kuang, Z.; Sun, Y.; Wang, Y.; Li, S.; Meng, D. Gastroprotective effect of eupatilin, a polymethoxyflavone from Artemisia argyi H. Lév. & Vaniot, in ethanol-induced gastric mucosal injury via NF-κB signaling pathway. J. Ethnopharmacol. 2024, 318, 116986. [Google Scholar] [PubMed]
- Liang, Z.; Chen, Z.; Xue, X.; He, C.; Yuan, X. A comparative study between Abrus cantoniensis and Abrus mollis: Flavonoids profiles by UPLC-Q-TOF-MS and anti-inflammatory mechanism by transcriptomics. Chem. Biodivers. 2023, 20, e202300204. [Google Scholar] [CrossRef] [PubMed]
- Hsu, Y.L.; Kuo, P.L.; Liu, C.F.; Lin, C.C. Acacetin-induced cell cycle arrest and apoptosis in human non-small cell lung cancer A549 cells. Cancer Lett. 2004, 212, 53–60. [Google Scholar] [CrossRef] [PubMed]
- Gupta, S.; Afaq, A.; Mukhta, R.H. Involvement of nuclear factor-kappa B, Bax and Bcl-2 in induction of cell cycle arrest and apoptosis by apigenin in human prostate carcinoma cells. Oncogene 2002, 21, 3727–3738. [Google Scholar] [CrossRef] [PubMed]
- Shi, M.D.; Shiao, C.K.; Lee, Y.C.; Shih, Y.W. Apigenin, a dietary flavonoid, inhibits proliferation of human bladder cancer T-24 cells via blocking cell cycle progression and inducing apoptosis. Cancer Cell Int. 2015, 15, 33–44. [Google Scholar] [CrossRef] [PubMed]
- Hsu, S.L.; Hsieh, Y.C.; Hsieh, W.C.; Chou, C.J. Baicalein induces a dual growth arrest by modulating multiple cell cycle regulatory molecules. Eur. J. Pharmacol. 2001, 425, 165–171. [Google Scholar] [CrossRef] [PubMed]
- Lee, H.Z.; Leung, H.W.C.; Lai, M.Y.; Wu, C.H. Baicalein induced cell cycle arrest and apoptosis in human lung squamous carcinoma CH27 cells. Anticancer Res. 2015, 25, 959–964. [Google Scholar]
- Lien, L.M.; Wang, M.J.; Chen, R.J.; Chiu, H.C.; Wu, J.L.; Shen, M.Y.; Chou, D.S.; Sheu, J.R.; Lin, K.H.; Lu, W.J. Nobiletin, a polymethoxylated flavone, inhibits glioma cell growth and migration via arresting cell cycle and suppressing MAPK and Akt pathways. Phytother. Res. 2016, 30, 214–221. [Google Scholar] [CrossRef] [PubMed]
- Dinesh, K.P. Therapeutic Potential of a Bioactive Flavonoids Glycitin from Glycine max: A Review on Medicinal Importance, Pharmacological Activities and Analytical Aspects. Curr. Tradit. Med. 2023, 9, e130522204766. [Google Scholar]
- Farhan, M.; El Oirdi, M.; Aatif, M.; Nahvi, I.; Muteeb, G.; Alam, M.W. Soy isoflavones induce cell death by copper-mediated mechanism: Understanding its anticancer properties. Molecules 2023, 28, 2925. [Google Scholar] [CrossRef]
- Wu, R.; Pan, X.; Lu, J.; Yao, S. Soybean Isoflavones Activating Autophagy and Improving the Chemosensitivity of Carboplatin to Ovarian Cancer Cells. J. Biomater. Tissue Eng. 2022, 12, 1805–1812. [Google Scholar]
- Liu, H.; Wang, Y.; Zhu, D.; Xu, J.; Xu, X.; Liu, J. Bioaccessibility and application of soybean isoflavones: A Review. Food Rev. Int. 2023, 39, 5948–5967. [Google Scholar] [CrossRef]
- Khan, A.; Mazumder, A.; Saini, J. The Challenging role of flavonoids as a potential phytochemical to treat anxiety. J. Nat. Rem. 2023, 23, 383–396. [Google Scholar] [CrossRef]
- Kaur, D.; Kamboj, A.; Shri, R. Comparative evaluation of anxiolytic effects of various extracts of Oats (Avena sativa), Rice Bran (Oryza sativa) and Spinach (Spinacia oleracea) in experimental Animals. Int. J. Pharm. Sci. Res. 2016, 7, 4110–4116. [Google Scholar]
- Wolfman, C.; Viola, H.; Paladini, A.; Dajas, F.; Medina, J.H. Possible anxiolytic effects of chrysin, a central benzodiazepine receptor ligand isolated from Passiflora coerulea. Pharmacol. Biochem. Behav. 1994, 47, 1. [Google Scholar] [CrossRef] [PubMed]
- Grundmann, O.; Nakajima, J.I.; Kamata, K.; Seo, S.; Butterweck, V. Kaempferol from the leaves of Apocynum venetum possesses anxiolytic activities in the elevated plus maze test in mice. Phytomedicine 2009, 16, 295. [Google Scholar] [CrossRef] [PubMed]
- Aguirre-Hernández, E.; González-Trujano, M.E.; Martínez, A.L.; Moreno, J.; Kite, G.; Terrazas, T.; Soto-Hernández, M. HPLC/MS analysis and anxiolytic-like effect of quercetin and kaempferol flavonoids from Tilia americana var. Mexicana. J. Ethnopharmacol. 2010, 127, 91. [Google Scholar] [CrossRef] [PubMed]
- Vissiennon, C.; Nieber, K.; Kelber, O.; Butterweck, V. Route of administration determines the anxiolytic activity of the flavonols kaempferol, quercetin and myricetin—Are they prodrugs? J. Nutr. Biochem. 2012, 7, 733. [Google Scholar] [CrossRef] [PubMed]
- Chandrashekaran, G.; Vishnu, R.; Jayasree, A.; Sadasivam, B. Involvement of the GABAergic system in the anxiolytic-like effect of the flavonoid ellagic acid in mice. Eur. J. Pharmacol. 2013, 710, 49–58. [Google Scholar]
- Li, H.; Zhang, Q. Research Progress of Flavonoids Regulating Endothelial Function. Pharmaceuticals 2023, 16, 1201. [Google Scholar] [CrossRef]
- Vazquez-Vilar, M.; Fernandez-del-Carmen, A.; Garcia-Carpintero, V.; Drapal, M.; Presa, S.; Ricci, D.; Diretto, G.; Rambla, J.L.; Fernandez-Muñoz, R.; Espinosa-Ruiz, A.; et al. Dually biofortified cisgenic tomatoes with increased flavonoids and branched-chain amino acids content. Plant Biotechnol. J. 2023, 21, 2683–2697. [Google Scholar] [CrossRef] [PubMed]
- Sthijns, M.M.J.P.E.; Schiffers, P.M.; Janssen, G.M.; Lemmens, K.J.A.; Ides, B.; Vangrieken, P.; Bouwman, F.G.; Mariman, E.C.; Pader, I.; Arnér, E.S.J.; et al. Rutin protects against H2O2-triggered impaired relaxation of placental arterioles and induces Nrf2-mediated adaptation in Human Umbilical Vein Endothelial Cells exposed to oxidative stress. Biochim. Biophys. Acta (BBA)-Gen. Subj. 2017, 1861, 1177–1189. [Google Scholar] [CrossRef] [PubMed]
- Booyani, Z.; Aryaeian, N.; Omidi, N.; Khorasanian, A.S.; Hoseini, A.F.; Nejatian, M.; Jazayeri, S.; Morvaridi, M. Hesperidin reduces serum levels of triglyceride after coronary artery bypass graft surgery. Food Sci. Nutr. 2023, 11, 7145–7154. [Google Scholar] [CrossRef] [PubMed]
- Yang, M.; Xiong, J.; Zou, Q.; Wang, D.D.; Huang, C.X. Chrysin attenuates interstitial fibrosis and improves cardiac function in a rat model of acute myocardial infarction. J. Mol. Hist. 2018, 49, 555–565. [Google Scholar] [CrossRef] [PubMed]
- Zhang, H.P.; Zheng, F.L.; Zhao, J.H.; Guo, D.X.; Chen, X.L. Genistein inhibits ox-LDL-induced VCAM-1, ICAM-1 and MCP-1 expression of HUVECs through heme Oxygenase-1. Arch. Med. Res. 2013, 44, 13–20. [Google Scholar] [CrossRef] [PubMed]
- Wang, X.C.; Ren, J.H.; Ren, H.; Song, W.Z.; Qiao, Y.C.; Zhao, Y.; Linghu, L.Q.; Cui, Y.; Zhao, Z.Y.; Chen, L.M.; et al. Diabetes mellitus early warning and factor analysis using ensemble Bayesian networks with SMOTE-ENN and Boruta. Sci. Rep. 2023, 13, 12718. [Google Scholar] [CrossRef] [PubMed]
- Zhou, M.; Konigsberg, W.H.; Hao, C.; Pan, Y.; Sun, J.; Wang, X. Bioactivity and mechanisms of flavonoids in decreasing insulin resistance. J. Enzym. Inhib. Med. Chem. 2023, 38, 2199168. [Google Scholar] [CrossRef] [PubMed]
- Prasath, G.S.; Subramanian, S.P. Modulatory effects of fisetin, a bioflavonoid, on hyperglycemia by attenuating the key enzymes of carbohydrate metabolism in hepatic and renal tissues in streptozotocin-induced diabetic rats. Eur. J. Pharmacol. 2011, 668, 492–496. [Google Scholar] [CrossRef] [PubMed]
- Prasath, G.S.; Pillai, S.I.; Subramanian, S.P. Fisetin improves glucose homeostasis through the inhibition of gluconeogenic enzymes in hepatic tissues of streptozotocin induced diabetic rats. Eur. J. Pharmacol. 2014, 740, 248–254. [Google Scholar] [CrossRef]
- Zang, M.W.; Xu, S.Q.; Maitland-Toolan, K.A.; Zuccollo, A.; Hou, X.Y.; Jiang, B.B.; Wierzbicki, M.; Verbeuren, T.J.; Cohen, R.A. Polyphenols stimulate AMP-activated protein kinase, lower lipids, and inhibit accelerated atherosclerosis in diabetic LDL receptor-deficient mice. Diabetes 2006, 55, 2180–2191. [Google Scholar] [CrossRef]
- Suh, K.S.; Oh, S.; Woo, J.T.; Kim, S.W.; Kim, J.W.; Kim, Y.S.; Chon, S. Apigenin attenuates 2-deoxy-D-ribose-induced oxidative cell damage in HIT-T15 pancreatic beta-cells. Biol. Pharm. Bull. 2012, 35, 121–126. [Google Scholar] [CrossRef] [PubMed]
- Kim, E.K.; Kwon, K.B.; Song, M.Y.; Han, M.J.; Lee, J.H.; Lee, Y.R.; Lee, J.H.; Ryu, D.G.; Park, B.H.; Park, J.W. Flavonoids protect against cytokine-induced pancreatic beta-cell damage through suppression of nuclear factor kappa B activation. Pancreas 2007, 35, e1–e9. [Google Scholar] [CrossRef]
- Wu, C.M.; Shen, J.; He, P.; Chen, Y. The alpha-glucosidase inhibiting isoflavones isolated from Belamcanda chinensis leaf extract. Rec. Nat. Prod. 2012, 6, 110–120. [Google Scholar]
- Patel, M.B.; Mishra, S.H. Hypoglycemic activity of C-glycosyl flavonoid from Enicostemma hyssopifolium. Pharm. Biol. 2011, 49, 383–391. [Google Scholar] [CrossRef] [PubMed]
- Miao, L.; Zhang, H.; Cheong, M.S.; Zhong, R.; Garcia-Oliveira, P.; Prieto, M.A.; Cheng, K.W.; Wang, M.; Cao, H.; Nie, S.; et al. Anti-diabetic potential of apigenin, luteolin, and baicalein via partially activating PI3K/Akt/Glut-4 signaling pathways in insulin-resistant HepG2 cells. Food Sci. Hum. Well. 2023, 12, 1991–2000. [Google Scholar] [CrossRef]
- Wang, Z.; Yang, Q.; Zhang, H.; He, Y.; Wang, R.; Lu, X. Isolation, Identification, and Antibacterial Activities of Flavonoids from Jujube (Zizipus Jujuba Mill.) Fruit. Int. J. Fruit Sci. 2023, 23, 51–61. [Google Scholar] [CrossRef]
- Villinski, J.R.; Bergeron, C.; Cannistra, J.C.; Gloer, J.B.; Coleman, C.M.; Ferreira, D.; Azelmat, J.; Grenier, D.; Gafner, S. Pyrano-isoflavans from Glycyrrhiza uralensis with antibacterial activity against Streptococcus mutans and Porphyromonas gingivalis. J. Nat. Prod. 2014, 77, 521–526. [Google Scholar] [CrossRef] [PubMed]
- Górniak, I.; Bartoszewski, R.; Króliczewski, J. Comprehensive review of antimicrobial activities of plant flavonoids. Phytochem. Rev. 2019, 18, 241–272. [Google Scholar] [CrossRef]
- Liu, D.; Mao, Y.Q.; Ding, L.J.; Zeng, X.A. Dihydromyricetin: A review on identification and quantification methods, biological activities, chemical stability, metabolism and approaches to enhance its bioavailability. Trends Food Sci. Technol. 2019, 91, 586–597. [Google Scholar] [CrossRef] [PubMed]
- Silva, J.; Yu, X.; Moradian, R.; Folk, C.; Spatz, M.H.; Kim, P.; Bhatti, A.A.; Davies, D.L.; Liang, J. Dihydromyricetin protects the liver via changes in lipid metabolism and enhanced ethanol metabolism. Alcohol. Clin. Exp. Res. 2020, 44, 1046–1060. [Google Scholar] [CrossRef]
- Wang, X.X.; Chang, X.H.; Zhan, H.B.; Zhang, Q.; Li, C.Y.; Gao, Q.; Yang, M.M.; Luo, Z.; Li, S.; Sun, Y.B. Curcumin and baicalin ameliorate ethanol-induced liver oxidative damage via the Nrf2/HO-1 pathway. J. Food Biochem. 2020, 44, 1–12. [Google Scholar] [CrossRef] [PubMed]
- Yuan, H.Q.; Duan, S.N.; Guan, T.; Yuan, X.; Lin, J.Z.; Hou, S.Z.; Lai, X.P.; Huang, S.; Du, X.H.; Chen, S.X. Vitexin protects against ethanol-induced liver injury through Sirt1/p53 signaling pathway. Eur. J. Pharmacol. 2020, 873, 173007. [Google Scholar] [CrossRef] [PubMed]
- Cao, P.; Wang, Y.; Zhang, C.; Sullivan, M.A.; Chen, W.; Jing, X.; Yu, H.F.; Li, F.; Wang, Q.; Zhou, Z.S.; et al. Quercetin ameliorates nonalcoholic fatty liver disease(NAFLD)via the promotion of AMPK-mediated hepatic mitophagy. J. Nutr. Biochem. 2023, 120, 109414. [Google Scholar] [CrossRef] [PubMed]
- Wang, M.C. Natural plant resource flavonoids as potential therapeutic drugs for pulmonary fibrosis. Heliyon 2023, 9, e19308. [Google Scholar] [CrossRef] [PubMed]
- Huang, X.; He, Y.; Chen, Y.; Wu, P.; Gui, D.; Cai, H.; Chen, A.; Chen, M.; Dai, C.; Yao, D.; et al. Baicalin attenuates bleomycin-induced pulmonary fibrosis via adenosine A2a receptor related TGF-β1-induced ERK1/2 signaling pathway. BMC Pulm. Med. 2016, 16, 132. [Google Scholar] [CrossRef] [PubMed]
- Zhao, H.; Li, C.; Li, L.; Liu, J.; Gao, Y.; Mu, K.; Chen, D.; Lu, A.; Ren, Y.; Li, Z. Baicalin alleviates bleomycin-induced pulmonary fibrosis and fibroblast proliferation in rats via the PI3K/AKT signaling pathway. Mol. Med. Rep. 2020, 21, 2321–2334. [Google Scholar] [CrossRef] [PubMed]
- Yuan, J.H.; Ma, Y.; Yuan, L.H.; Gong, J.J.; Xu, L.L.; Wang, L.; Jin, Y.M. Baicalein attenuates bleomycin-induced lung fibroblast senescence and lung fibrosis through restoration of Sirt3 expression. Pharm. Biol. 2023, 61, 288–297. [Google Scholar]
- Miao, Y.M.; Geng, Y.Z.; Yang, L.; Zheng, Y.; Dai, Y.; Wei, Z.F. Morin inhibits the transformation of fibroblasts towards myofibroblasts through regulating “PPAR-γ-glutaminolysis- DEPTOR” pathway in pulmonary fibrosis. J. Nutr. Biochem. 2021, 101, 108923. [Google Scholar] [CrossRef] [PubMed]
- Resende, V.Q.; Reis-Goes, K.H.; Finato, A.C.; de Fátima Almeida-Donanzam, D.; Dos Santos, A.R.; Perico, J.; Amorim, B.C.; Venturini, J. Combined silymarin and cotrimoxazole therapy attenuates pulmonary fibrosis in experimental paracoccidioidomycosis. J. Fungi 2022, 8, 1010. [Google Scholar] [CrossRef]
- Liu, H.G.; Bai, X.X.; Wei, W.; Li, Z.P.; Zhang, Z.J.; Tan, W.L.; Wei, B.; Zhao, H.T.; Jiao, Y. Calycosin ameliorates bleomycin-induced pulmonary fibrosis via suppressing oxidative stress, apoptosis, and enhancing autophagy. Evid.-Based Complement. Altern. Med. 2022, 2022, 9969729. [Google Scholar] [CrossRef]
- Ji, H.; Guo, L.N.; Li, Y.T.; Jiang, Y.; Wang, Y.C.; Jin, H.F. Calycosin inhibits pulmonary fibrosis through the regulation of miR-375/YAP1 signaling pathway. Rev. Bras. Farmacogn. 2022, 32, 953–961. [Google Scholar] [CrossRef]
- Zhang, Q.; Yan, Y. The role of natural flavonoids on neuroinflammation as a therapeutic target for Alzheimer’s disease: A narrative review. Neural Regen. Res. 2023, 18, 2582–2591. [Google Scholar] [CrossRef] [PubMed]
- Gan, R.; Liu, Y.; Li, H.; Xia, Y.; Guo, H.; Geng, F.; Zhuang, Q.; Li, H.; Wu, D. Natural sources, refined extraction, biosynthesis, metabolism, and bioactivities of dietary polymethoxyflavones (PMFs). Food Sci. Hum. Wellness 2024, 13, 27–49. [Google Scholar] [CrossRef]
- Jin, S.; Zhang, L.; Wang, L. Kaempferol, a potential neuroprotective agent in neurodegenerative diseases: From chemistry to medicine. Biomed. Pharmacother. 2023, 165, 115215. [Google Scholar] [CrossRef] [PubMed]
- Ge, C.J.; Wang, S.L.; Wu, X.Q.; Lei, L.L. Quercetin mitigates depression-like behavior via the suppression of neuroinflammation and oxidative damage in corticosterone-induced mice. J. Chem. Neuroanat. 2023, 132, 102313. [Google Scholar] [CrossRef] [PubMed]
- Hou, D.X.; Masuzaki, S.; Hashimoto, F.; Uto, T.; Tanigawa, S.; Fujii, M.; Sakata, Y. Green tea proanthocyanidins inhibit cyclooxygenase-2 expression in LPS-activated mouse macrophages: Molecular mechanisms and structure-activity relationship. Arch. Biochem. Biophys. 2007, 460, 67–74. [Google Scholar] [CrossRef] [PubMed]
- Liang, T.; Zhou, K.; Wang, X. Inhibition mechanism of proanthocyanidins on the PGF2 product of rats suffered with adjuvant arthritis. J. Shenyang Pharm. Univ. 2006, 23, 720–723. [Google Scholar]
- Zuo, C.; Liu, S.; Zhang, S. Grape seed proanthocyanidins based on phloroglucinolysis-UPLC polymerization degree analysis and inhibition of gastric cancer cell proliferation. J. Shenyang Pharm. Univ. 2022, 39, 828–837. [Google Scholar]
- Bao, L.; Zhang, Z.; Dai, X.; Ding, Y.; Jiang, Y.; Li, Y.; Li, Y. Effects of grape seed proanthocyanidin extract on renal injury in type 2 diabetic rats. Mol. Med. Rep. 2015, 11, 645–652. [Google Scholar] [CrossRef]
- Hwang, C.; Kwak, H.; Lee, S.; Kang, Y.; Park, S.; Yim, C.; Yoon, H.; Han, K. Isoflavone metabolites and their in vitro dual functions: They can act as an estrogenic agonist or antagonist depending on the estrogen concentration. J. Steroid Biochem. Mol. Biol. 2006, 101, 246–253. [Google Scholar] [CrossRef]
- Zhao, K.; Yao, M.; Zhang, X.; Xu, F.; Shao, X.; Wei, Y.; Wang, H. Flavonoids and intestinal microbes interact to alleviate depression. J. Sci. Food Agric. 2022, 102, 1311–1318. [Google Scholar] [CrossRef] [PubMed]
- de Carvalho, L.S.A.; Geraldo, R.B.; de Moraes, J.; Pinto, P.L.S.; Pinto, P.D.; Pereira, O.D.; Da Silva, A.A. Schistosomicidal activity and docking of Schistosoma mansoni ATPDase 1 with licoflavone B isolated from Glycyrrhiza inflata (Fabaceae). Exp. Parasitol. 2015, 159, 207–214. [Google Scholar] [CrossRef] [PubMed]
- Hassanpour, S.H.; Doroudi, A. Review of the antioxidant potential of flavonoids as a subgroup of polyphenols and partial substitute for synthetic antioxidants. Avicenna J. Phytomed. 2023, 13, 354–376. [Google Scholar] [PubMed]
- Hassanein, E.H.M.; Abd El-Maksoud, M.S.; Ibrahim, I.M.; Abd-alhameed, E.K.; Althagafy, H.S.; Mohamed, N.M.; Ross, S.A. The molecular mechanisms underlying anti-inflammatory effects of galangin in different diseases. Phytother. Res. 2023, 37, 3161–3181. [Google Scholar] [CrossRef] [PubMed]
- Yang, Z.; Man, J.; Liu, Y.; Zhang, H.; Wu, D.; Shao, D.; Hao, B.; Wang, S. Study on the alleviating effect and potential mechanism of ethanolic extract of Limonium aureum (L.) Hill. on lipopolysaccharide-induced inflammatory responses in macrophages. Int. J. Mol. Sci. 2023, 24, 16272. [Google Scholar] [CrossRef] [PubMed]
- Lin, K.W.; Deng, T.; Qu, H.J.; Ou, H.Y.; Huang, Q.F.; Gao, B.M.; Li, X.L.; Wei, N. Gastric protective effect of Alpinia officinarum flavonoids: Mediating TLR4/NF-κB and TRPV1 signalling pathways and gastric mucosal healing. Pharm. Biol. 2023, 61, 50–60. [Google Scholar] [CrossRef] [PubMed]
- Tang, M.; Wang, G.; Li, J.; Wang, Y.; Peng, C.; Chang, X.; Guo, J.; Gui, S. Flavonoid extract from propolis alleviates periodontitis by boosting periodontium regeneration and inflammation resolution via regulating TLR4/MyD88/NF-κB and RANK/NF-κB pathway. J. Ethnopharmacol. 2024, 319, 117324. [Google Scholar] [CrossRef] [PubMed]
- Ouyang, X.; Li, N.; Guo, M.; Zhang, M.; Cheng, J.; Yi, L.; Zhu, J. Active flavonoids from Lagotis brachystachya attenuate monosodium urate-induced gouty arthritis via inhibiting TLR4/MyD88/NF-κB pathway and NLRP3 expression. Front. Pharmacol. 2021, 12, 760331. [Google Scholar] [CrossRef] [PubMed]
- Angeloni, C.; Hrelia, S. Quercetin Reduces Inflammatory Responses in LPS-Stimulated Cardiomyoblasts. Oxidative Med. Cell. Longev. 2012, 2012, 837104. [Google Scholar] [CrossRef]
- Song, L.Y.; Tian, L.W.; Ma, Y.; Xie, Y.; Feng, H.X.; Qin, F.; Mo, L.Q.; Lin, S.; Hou, L.B.; Wang, C.X. Protection of flavonoids from Smilax china L. rhizome on phenol mucilage-induced pelvic inflammation in rats by attenuating inflammation and fibrosis. J. Funct. Foods 2017, 28, 194–204. [Google Scholar] [CrossRef]
- Ha, S.E.; Bhagwan, B.P.; Kim, H.H.; Park, M.Y.; Abusaliya, A.; Kim, G.S.; Kim, J.A. Apigetrin abrogates lipopolysaccharide-induced inflammation in L6 skeletal muscle cells through NF-κB/MAPK signaling pathways. Curr. Issues Mol. Biol. 2022, 44, 2635–2645. [Google Scholar] [CrossRef] [PubMed]
- Peng, Y.; Hu, M.J.; Lu, Q.; Tian, Y.; He, W.Y.; Chen, L.; Wang, K.X.; Pan, S.Y. Flavonoids derived from Exocarpium Citri Grandis inhibit LPS-induced inflammatory response via suppressing MAPK and NF-κB signalling pathways. Food Agric. Immunol. 2019, 30, 564–580. [Google Scholar] [CrossRef]
- Jiang, Y.X.; Dai, Y.Y.; Pan, Y.F.; Wu, X.M.; Yang, Y.; Bian, K.; Zhang, D.D. Total Flavonoids from Radix Glycyrrhiza exert anti-inflammatory and antitumorigenic Effects by inactivating iNOS signaling pathways. Evid.-Based Complement. Altern. Med. 2018, 2018, 6714282. [Google Scholar] [CrossRef] [PubMed]
- Xu, W.; Lu, H.; Yuan, Y.; Deng, Z.; Zheng, L.; Li, H. The Antioxidant and anti-inflammatory effects of flavonoids from propolis via Nrf2 and NF-κB pathways. Foods 2022, 11, 2439. [Google Scholar] [CrossRef] [PubMed]
- Pu, W.L.; Bai, R.Y.; Zhou, K.; Peng, Y.F.; Zhang, M.Y.; Hottiger, M.O.; Li, W.H.; Gao, X.M.; Sun, L.K. Baicalein attenuates pancreatic inflammatory injury through regulating MAPK, STAT 3 and NF-κB activation. Int. Immunopharmacol. 2019, 72, 204–210. [Google Scholar] [CrossRef] [PubMed]
- Zhong, M.; Wang, H.Q.; Yan, H.Y.; Wu, S.; Gu, Z.Y.; Li, Y.H. Santin inhibits influenza A virus replication through regulating MAPKs and NF-κB pathways. J. Asian Nat. Prod. Res. 2019, 21, 1205–1214. [Google Scholar] [CrossRef] [PubMed]
- Shao, Y.; Hong, R.Q.; Li, B.Y.; Wang, A.; Chen, Y.R.; Wang, Y.Y.; Mo, F.; Liu, M.C.; Tian, C.L. Extraction technology, components analysis and anti-inflammatory activity in vitro of total flavonoids extract from Artemisia anomala S. Moore. Fitoterapia 2023, 170, 105630. [Google Scholar] [CrossRef] [PubMed]
- Liang, Y.C.; Zhong, Q.; Ma, R.H.; Ni, Z.J.; Thakur, K.; Zhang, J.G.; Wei, Z.J. Apigenin, a natural flavonoid, promotes autophagy and ferroptosis in human endometrial carcinoma Ishikawa cells in vitro and in vivo. Food Sci. Hum. Wellness 2023, 12, 2242–2251. [Google Scholar] [CrossRef]
- Zhang, Q.; Zhao, X.; Wang, Z. Cytotoxicity of flavones and flavonols to a human esophageal squamous cell carcinoma cell line (KYSE-510) by induction of G2/M arrest and apoptosis. Toxicol. In Vitro 2009, 23, 797–807. [Google Scholar] [CrossRef] [PubMed]
- Shan, B.E.; Wang, M.X.; Li, R.Q. Quercetin inhibit human SW480 colon cancer growth in association with inhibition of cyclin D1 and survivin expression through Wnt/beta-catenin signaling pathway. Cancer Investig. 2009, 27, 604–612. [Google Scholar] [CrossRef]
- Wang, P.; Zhang, K.; Zhang, Q.; Mei, J.; Chen, C.J.; Feng, Z.Z.; Yu, D.H. Effects of quercetin on the apoptosis of the human gastric carcinoma cells. Toxicol. In Vitro 2012, 26, 221–228. [Google Scholar] [CrossRef] [PubMed]
- Niu, G.M.; Yin, S.M.; Xie, S.F.; Li, Y.Q.; Nie, D.N.; Ma, L.P.; Wang, X.J.; Wu, Y.D. Quercetin induces apoptosis by activating caspase-3 and regulating Bcl-2 and cyclooxygenase-2 pathways in human HL-60 cells. Acta Biochim. Biophys. Sin. 2011, 43, 30–37. [Google Scholar] [CrossRef] [PubMed]
- Chen, W.; Liu, L.; Zhang, Z.; Bian, M.; Zhang, F.; Wang, L.; Zheng, S. Recent advances in pharmacological action and preparation of oroxylin A. Chin. Arch. Tradit. Chin. Med. 2018, 36, 412–416. [Google Scholar]
- Kim, D.H.; Na, H.K.; Oh, T.Y.; Kim, W.B.; Surh, Y.J. Eupatilin, a pharmacologically active flavone derived from Artemisia plants, induces cell cycle arrest in ras-transformed human mammary epithelial cells. Biochem. Pharmacol. 2004, 68, 1081–1087. [Google Scholar] [CrossRef] [PubMed]
- Lee, K.; Lee, D.H.; Jung, Y.J.; Shin, S.Y.; Lee, Y.H. The natural flavone eupatorin induces cell cycle arrest at the G2/M phase and apoptosis in HeLa cells. Appl. Biol. Chem. 2016, 59, 193–199. [Google Scholar] [CrossRef]
- Lee, E.J.; Oh, S.Y.; Sung, M.K. Luteolin exerts anti-tumor activity through the suppression of epidermal growth factor receptor-mediated pathway in MDA-MB-231 ER-negative breast cancer cells. Food Chem. Toxicol. 2012, 50, 4136–4143. [Google Scholar] [CrossRef] [PubMed]
- Wang, P.; Cao, J.; Zhang, X. Oroxylin a promoted apoptotic extracellular vesicles transfer of glycolytic kinases to remodel immune microenvironment in hepatocellular carcinoma model. Eur. J. Pharmacol. 2023, 957, 176037. [Google Scholar] [CrossRef] [PubMed]
- Viola, H. Apigenin, a component of Matricaria recutita flowers, is a central benzodiazepine receptors-ligand with anxiolytic effects. Planta Med. 1995, 612, 13. [Google Scholar]
- Hui, K.M.; Huen, M.S.Y.; Wang, H.Y.; Zheng, H.; Sigel, E.; Baur, R.; Ren, H.; Li, Z.W.; Wong, J.T.F.; Xue, H. Anxiolytic effect of Wogonin, a benzodiazepine receptor ligand isolated from Scutellaria baicalensis Georgi. Biochem. Pharmacol. 2002, 64, 1415. [Google Scholar] [CrossRef]
- Ren, L.H.; Wang, F.; Xu, Z.W.; Chan, W.M.; Zhao, C.Y.; Xue, H. GABAA receptor subtype selectivity underlying anxiolytic effect of 6-hydroxyflavone. Biochem. Pharmacol. 2010, 79, 1337. [Google Scholar] [CrossRef]
- Ito, A.; Shin, N.; Tsuchida, T.; Okubo, T.; Norimoto, H. Antianxiety-Like effects of Chimpi (Dried Citrus Peels) in the elevated open-platform test. Molecules 2013, 18, 10014. [Google Scholar] [CrossRef] [PubMed]
- Dinesh, K.; Zulfiqar, A.B. Apigenin 7-glucoside from Stachys tibetica Vatke and its anxiolytic effect in rats. Phytomedicine 2014, 21, 1010. [Google Scholar]
- de Carvalho, R.S.M.; Duarte, F.S.; de Lima, T.C.M. Involvement of GABAergic non-benzodiazepine sites in the anxiolytic-like and sedative effects of the flavonoid baicalein in mice. Behav. Brain Res. 2011, 221, 75. [Google Scholar] [CrossRef] [PubMed]
- Liao, J.; Huang, W.; Chen, C. Anxiolytic-like effects of baicalein and baicalin in the vogel conflict test in mice. Eur. J. Pharmacol. 2003, 464, 141. [Google Scholar] [CrossRef] [PubMed]
- Coleta, M.; Campos, M.G.; Cotrim, M.D.; de Lima, T.C.M.; da Cunha, A.P. Assessment of luteolin(3′,4′,5,7-tetrahydroxyflavone) neuropharmacological activity. Behav. Brain Res. 2008, 189, 75. [Google Scholar] [CrossRef] [PubMed]
- Ishola, I.O.; Chatterjee, M.; Tota, S.; Tadigopulla, N.; Adeyemi, O.O.; Palit, G.; Shukla, R. Antidepressant and anxiolytic effects of amentoflavone isolated from Cnestis ferruginea in mice. Pharmacol. Biochem. Behav. 2012, 103, 322. [Google Scholar] [CrossRef] [PubMed]
- Liu, J.; Zhai, W.M.; Yang, Y.X.; Shi, J.L.; Liu, Q.T.; Liu, G.L.; Fang, N.; Li, J.; Guo, J.Y. GABA and 5-HT systems are implicated in the anxiolytic-like effect of spinosin in mice. Pharmacol. Biochem. Behav. 2015, 128, 41. [Google Scholar] [CrossRef] [PubMed]
- Yang, X.; Liu, Y.; Tang, Z.; Song, Z.; Liu, C.; Wang, C. Total flavonoids of Hippophae rhamnoides L. improves type 2 diabetes symptoms in rats through down-regulating of the DAG/PRKCA/MAPK10/p65/TNF-αsignalling pathway. J. Ethnopharmacol. 2024, 318, 116962. [Google Scholar] [CrossRef] [PubMed]
- Sharma, A.K.; Bharti, S.; Ojha, S.; Bhatia, J.; Kumar, N.; Ray, R.; Kumari, S.; Arya, D.S. Up-regulation of PPAR gamma, heat shock protein-27 and -72 by naringin attenuates insulin resistance, beta-cell dysfunction, hepatic steatosis and kidney damage in a rat model of type 2 diabetes. Br. J. Nutr. 2011, 106, 1713–1723. [Google Scholar] [CrossRef]
- Hou, B.Y.; Zhao, Y.R.; Ma, P.; Xu, C.Y.; He, P.; Yang, X.Y.; Zhang, L.; Qiang, G.F.; Du, G.H. Hypoglycemic activity of puerarin through modulation of oxidative stress and mitochondrial function via AMPK. Chin. J. Nat. Med. 2020, 18, 818–826. [Google Scholar] [CrossRef]
- Wu, K.; Liang, T.; Duan, X.; Xu, L.; Zhang, K.; Li, R. Anti-diabetic effects of puerarin, isolated from Pueraria lobata (Willd.), on streptozotocin-diabetogenic mice through promoting insulin expression and ameliorating metabolic function. Food Chem. Toxicol. 2013, 60, 341–347. [Google Scholar] [CrossRef] [PubMed]
- Yang, L.; Shu, L.; Yao, D.; Jia, X.; Yu, S. Study on the glucose-lowering effect of puerarin in STZ-induced diabetic mice. Chin. J. Hosp. Pharm. 2014, 34, 1338–1342. [Google Scholar]
- Yang, L.; Yao, D.; Yang, H.; Wei, Y.; Peng, Y.; Ding, Y.; Shu, L. Puerarin protects pancreatic β-cells in obese diabetic mice via activation of GLP-1R signaling. J. Mol. Endocrinol. 2015, 30, 361–371. [Google Scholar] [CrossRef] [PubMed]
- He, B.L.; Guo, R.H. Effect of genistein to blood glucose on type 2 diabetes rats. China Mod. Med. 2012, 11, 21–23. [Google Scholar]
- Ng, H.L.H.; Premilovac, D.; Rattigan, S.; Richards, S.M.; Muniyappa, R.; Quon, M.J.; Keske, M.A. Acute vascular and metabolic actions of the green tea polyphenol epigallocatechin 3-gallate in rat skeletal muscle. J. Nutr. Biochem. 2017, 40, 23–31. [Google Scholar] [CrossRef] [PubMed]
- Yu, L.F.; Qiu, B.Y.; Nan, F.J.; Li, J. AMPK activators as novel therapeutics for type 2 diabetes. Curr. Top. Med. Chem. 2010, 10, 397–410. [Google Scholar] [CrossRef] [PubMed]
- Zang, Y.Q.; Igarashi, K.; Li, Y. Anti-diabetic effects of luteolin and luteolin-7-O-glucoside on KK-Ay mice. Biosci. Biotechnol. Biochem. 2016, 80, 1580–1586. [Google Scholar] [CrossRef] [PubMed]
- Dadheech, N.; Srivastava, A.; Paranjape, N.; Gupta, S.; Dave, A.; Shah, G.M.; Bhonde, R.R.; Gupta, S. Swertisin an anti-diabetic compound facilitate islet neogenesis from pancreatic stem/progenitor cells via p-38 MAP kinase SMAD pathway: An in-vitro and in-vivo study. PLoS ONE 2015, 10, e0128244. [Google Scholar] [CrossRef] [PubMed][Green Version]
- Carvalho, T.T.; Mizokami, S.S.; Ferraz, C.R.; Manchope, M.F.; Borghi, S.M.; Fattori, V.; Calixto-Campos, C.; Camilios-Neto, D.; Casagrande, R.; Verri, W.A. The granulopoietic cytokine granulocyte colony-stimulating factor (G-CSF) induces pain: Analgesia by rutin. Inflammopharmacology 2019, 27, 1285–1296. [Google Scholar] [CrossRef] [PubMed]
- Singh, P.; Bansal, S.; Kuhad, A.; Kumar, A.; Chopra, K. Naringenin ameliorates diabetic neuropathic pain by modulation of oxidative-nitrosative stress, cytokines and MMP-9 levels. Food Funct. 2020, 11, 4548–4560. [Google Scholar] [CrossRef]
- Rasquel-Oliveira, F.S.; Manchope, M.F.; Staurengo-Ferrari, L.; Ferraz, C.R.; Saraiva-Santos, T.; Zaninelli, T.H.; Fattori, V.; Artero, N.A.; Badaro-Garcia, S.; de Freitas, A.; et al. Hesperidin methyl Chalcone interacts with NFκB Ser276 and inhibits zymosan-induced joint pain and inflammation, and RAW 264.7 macrophage activation. Inflammopharmacology 2020, 28, 979–992. [Google Scholar] [CrossRef] [PubMed]
- Ventura-Martinez, R.; Mares-Sanchez, J.J.; Aviles-Herrera, J.; Angeles-Lopez, G.E.; Deciga-Campos, M.; Gonzalez-Trujano, M.E.; Lopez-Munoz, F.J. Antinociceptive synergy between metamizole and hesperidin in a model of visceral pain in mice. Arch. Med. Res. 2021, 52, 389–396. [Google Scholar] [CrossRef] [PubMed]
- Tian, Y.X.; Bao, Z.H.; Ji, Y.M.; Mei, X.; Yang, H.L. Epigallocatechin-3-gallate protects H2O2-induced nucleus pulposus cell apoptosis and inflammation by inhibiting cGAS/sting/NLRP3 activation. Drug Des. Dev. Ther. 2020, 14, 2113–2122. [Google Scholar] [CrossRef] [PubMed]
- Du, X.S.; Li, H.D.; Yang, X.J.; Li, J.J.; Xu, J.J.; Chen, Y.; Xu, Q.Q.; Yang, L.; He, C.S.; Huang, C.; et al. Wogonin attenuates liver fibrosis via regulating hepatic stellate cell activation and apoptosis. Int. Immunopharmacol. 2019, 75, 105671. [Google Scholar] [CrossRef] [PubMed]
- Ming, H.; Mohammed, M.A.; Li, S.Y.; Li, J.K. Wogonin inhibits cell cycle progression by activating the glycogen synthase kinase-3 beta in hepatocellular carcinoma. Phytomedicine 2020, 68, 153174. [Google Scholar]
- Kai, J.; Yang, X.; Wang, Z.M.; Wang, F.X.; Jia, Y.; Wang, S.J.; Tan, S.Z.; Chen, A.P.; Shao, J.J.; Zhang, F.; et al. Oroxylin a promotes PGC-1alpha/Mfn2 signaling to attenuate hepatocyte pyroptosis via blocking mitochondrial ROS in alcoholic liver disease. Free Radic. Biol. Med. 2020, 153, 89–102. [Google Scholar] [CrossRef] [PubMed]
- Zeng, H.M.; Guo, X.P.; Zhou, F.; Xiao, L.; Liu, J.J.; Jiang, C.J.; Xing, M.Y.; Yao, P. Quercetin alleviates ethanol-induced liver steatosis associated with improvement of lipophagy. Food Chem. Toxicol. 2019, 125, 21–28. [Google Scholar] [CrossRef] [PubMed]
- Zhao, X.T.; Gong, L.H.; Wang, C.; Liu, M.C.; Hu, N.H.; Dai, X.Y.; Peng, C.; Li, Y.X. Quercetin mitigates ethanol-induced hepatic steatosis in zebrafish via P2X7R-mediated PI3K/Keap1/Nrf2 signaling pathway. J. Ethnopharmacol. 2021, 268, 113569. [Google Scholar] [CrossRef] [PubMed]
- Meng, H.W.; You, H.M.; Yang, Y.; Zhang, Y.L.; Meng, X.M.; Ma, T.T.; Huang, C.; Li, J. 4-Methylcoumarin-[5,6-g]-hesperetin attenuates inflammatory responses in alcoholic hepatitis through PPAR-gamma activation. Toxicology 2019, 421, 9–21. [Google Scholar] [CrossRef]
- Liu, Y.S.; Yuan, M.H.; Zhang, C.Y.; Liu, H.M.; Liu, J.R.; Wei, A.L.; Ye, Q.; Zeng, B.; Li, M.F.; Guo, Y.P.; et al. Puerariae lobatae radix flavonoids and puerarin alleviate alcoholic liver injury in zebrafish by regulating alcohol and lipid metabolism. Biomed. Pharmcother. 2021, 134, 111121. [Google Scholar] [CrossRef]
- Tian, L.G.; Fan, F.C.; Zheng, S.H.; Tong, Q.Y. Puerarin exerts the hepatoprotection from chronic alcohol-induced liver injury via inhibiting the cyclooxygenase-2 and the 5-lipoxygenase pathway in rats. Complement. Med. Res. 2021, 28, 104–113. [Google Scholar] [CrossRef] [PubMed]
- Xuan, H.Z.; Hu, F.L. Antimicrobial activity and mechanism of flavonoids. Nat. Prod. R&D 2010, 22, 117–175. [Google Scholar]
- Wang, X.; Si, L.J.; Liu, Y.; Huang, H. Study on the mechanism anti-influenza virus of total flavonoids from Viola tianshanica Maxim. Chin. J. Integr. Tradit. West. Med. 2021, 41, 1221–1227. [Google Scholar]
- Lin, L.; Chen, D.Y.; Scartelli, C.; Xie, H.Z.; Merrill-Skoloff, G.; Yang, M.A.; Sun, L.J.; Saeed, M.; Flaumenhaft, R. Plant flavonoid inhibition of SARS-CoV-2 main protease and viral replication. iScience 2023, 26, 107602. [Google Scholar] [CrossRef] [PubMed]
- Ahmed, S.; Parvez, M.K.; Al-Dosari, M.S.; Abdelwahid, M.A.S.; Alhowiriny, T.A.; Al-Rehaily, A.J. Novel anti-hepatitis B virus flavonoids sakuranetin and velutin from Rhus retinorrhoea. Mol. Med. Rep. 2023, 28, 176. [Google Scholar] [CrossRef] [PubMed]
- Lu, P.; Zhang, T.R.; Ren, Y.L.; Rao, H.A.; Lei, J.T.; Zhao, G.Y.; Wang, M.; Gong, D.Y.; Cao, Z.X. A literature review on the antiviral mechanism of luteolin. Nat. Prod. Commun. 2023, 18, 1934578X231171521. [Google Scholar] [CrossRef]
- Zheng, Y.L.; Li, L.Y.; Chen, H.P.; Zheng, Y.T.; Tan, X.J.; Zhang, G.Y.; Jiang, R.D.; Yu, H.; Lin, S.Y.; Wei, Y.J.; et al. Luteolin exhibits synergistic therapeutic efficacy with erastin to induce ferroptosis in colon cancer cells through the HIC1-mediated inhibition of GPX4 expression. Free Radic. Biol. Med. 2023, 208, 530–544. [Google Scholar] [CrossRef] [PubMed]
- Afshari, K.; Haddadi, N.S.; Haj-Mirzaian, A.; Farzaei, M.H.; Rohani, M.M.; Akramian, F.; Naseri, R.; Sureda, A.; Ghanaatian, N.; Abdolghaffari, A.H. Natural flavonoids for the prevention of colon cancer: A comprehensive review of preclinical and clinical studies. J. Cell Physiol. 2019, 234, 21519–21546. [Google Scholar] [CrossRef] [PubMed]
- Zhong, Z.X.; Zhou, S.; Liang, Y.J.; Wei, Y.Y.; Li, Y.; Long, T.F.; He, Q.; Li, M.Y.; Zhou, Y.F.; Yu, Y.; et al. Natural flavonoids disrupt bacterial iron homeostasis to potentiate colistin efficacy. Sci. Adv. 2023, 9, 4205. [Google Scholar] [CrossRef] [PubMed]
- Zhao, Z.F.; Nian, M.; Qiao, H.F.; Yang, X.H.; Wu, S.P.; Zhen, X.H. Review of bioactivity and structure-activity relationship on baicalein (5,6,7-trihydroxyflavone) and wogonin (5,7-dihydroxy-8-methoxyflavone) derivatives: Structural modifications inspired from flavonoids in Scutellaria baicalensis. Eur. J. Med. Chem. 2022, 243, 114733. [Google Scholar] [CrossRef]
- Li, L.B.; Nie, S.L.; Dong, Z.M.; Ning, H.F. Clinical efficacy and CT perfusion of puerarin combined with naloxone in the treatment of traumatic cerebral infarction. Pak. J. Pharm. Sci. 2020, 33, 423–428. [Google Scholar]
- Kandemir, K.; Tomas, M.; McClements, D.J.; Capanoglu, E. Recent advances on the improvement of quercetin bioavailability. Trends Food Sci. Technol. 2022, 199, 192–200. [Google Scholar] [CrossRef]
- Salimi, A.; Amirimoghadam, S.; Bagheri, F. Preparation, optimization, and investigation of naringenin-loaded microemulsion for topical application. Iran. Biomed. J. 2022, 26, 366–373. [Google Scholar] [CrossRef] [PubMed]
- Zhang, H.; Feng, H.; Ling, J.; Ouyang, X.K.; Song, X. Enhancing the stability of zein/fucoidan composite nanoparticles with calcium ions for quercetin delivery. Int. J. Biol. Macromol. 2021, 193, 2070–2078. [Google Scholar] [CrossRef] [PubMed]
- Islam, M.S.; Rahman, M.M.; Fahmida, H.N.; Muhammad, M.; Masahiro, G. Formulation and characterization of choline oleate-based micelles for co-delivery of luteolin, naringenin, and quercetin. Food Chem. 2023, 429, 136911. [Google Scholar]
- Sun, M.; Wang, Y.Y.; Huang, A.N.; Tian, Y.X.; Yang, R.Q.; Wang, H.L.; Zhao, X.M.; Song, X.Q. Naturally flavonoid-derived PVA nanofibers for antioxidation. New J. Chem. 2023, 47, 14046–14055. [Google Scholar] [CrossRef]
- Duan, H.X.; Liu, C.; Hou, Y.; Liu, Y.H.; Zhang, Z.A.; Zhao, H.M.; Xin, X.; Liu, W.; Zhang, X.T.; Chen, L.Q.; et al. Sequential delivery of quercetin and paclitaxel for the fibrotic tumor microenvironment remodeling and chemotherapy potentiation via a dual-targeting hybrid micelle-in-liposome system. ACS Appl. Mater. Inter. 2022, 14, 10102–10116. [Google Scholar] [CrossRef] [PubMed]
- Sun, D.; Zou, Y.; Song, L.; Han, S.; Yang, H.; Chu, D.; Dai, Y.; Ma, J.; Caitriona, M.O.D.; Yu, Z.; et al. A cyclodextrin-based nanoformulation achieves co-delivery of ginsenoside Rg3 and quercetin for chemo-immunotherapy in colorectal cancer. Acta Pharm. Sin. B 2022, 12, 378–393. [Google Scholar] [CrossRef] [PubMed]
- Li, Y.T.; He, D.; Li, B.; Lund, M.N.; Xing, Y.F.; Wang, Y.; Li, F.X.; Cao, X.; Liu, Y.J.; Chen, X.Y.; et al. Engineering polyphenols with biological functions via polyphenol-protein interactions as additives for functional foods. Trends Food Sci. Technol. 2021, 110, 470–482. [Google Scholar] [CrossRef]
- Lv, F.; Sui, L.; Liu, Z. Research progress of delivery strategies related mucus barrier in mucosal drug delivery. Acta Pharm. Sin. B 2022, 57, 670–680. [Google Scholar]
- Liu, Q.; Chen, W.; Gong, F.; Tang, H.; Yin, H. Synthesis and antioxidant activity of selenium-containing konjac oligo-glucomannan. Food Sci. 2019, 40, 68–73. [Google Scholar]
- Xiang, F.; Wu, K.; Xiao, M.; Ni, X. Progress in the mechanism of formation of konjac Gglucomannan-based edible film. Sci. Technol. Food Ind. 2020, 41, 340–347. [Google Scholar]
- Liu, Z.; Hu, H.; Zhuo, R. Konjac glucomannan-graft-acrylic acid hydrogels containing azo crosslinker for colon-specific delivery. J. Polym. Sci. Pol. Chem. 2004, 42, 4370–4378. [Google Scholar] [CrossRef]
- Zhou, Z.G.; Li, D.D.; Chen, Y.; Chen, X.; Man, R.J. Discussion on the structural modification and anti-tumor activity of flavonoids. Curr. Top. Med. Chem. 2022, 22, 561–577. [Google Scholar] [CrossRef] [PubMed]
- Salatin, S.; Bazmani, A.; Shahi, S.; Naghili, B.; Memar, M.Y.; Dizaj, S.M. Antimicrobial benefits of flavonoids and their nanoformulations. Curr. Pharm. Des. 2022, 28, 1419–1432. [Google Scholar] [CrossRef]
- Dwivedi, K.; Mandal, A.K.; Afzal, O.; Altamimi, A.S.A.; Sahoo, A.; Alossaimi, M.A.; Almalki, W.H.; Alzahrani, A.; Barkat, M.A.; Almeleebia, T.M.; et al. Emergence of nano-based formulations for effective delivery of flavonoids against topical infectious disorders. Gels 2023, 9, 671. [Google Scholar] [CrossRef]








| Classification | Skeletons Structure | Representative Compound |
|---|---|---|
| Flavones | ![]() | Apigenin, luteolin |
| Flavonol | ![]() | Rutin, quercetin |
| Flavanones | ![]() | Liquiritin, hesperetin |
| Flavanonols | ![]() | Silybin |
| Flavan-3-ols | ![]() | Catechin |
| Flavan-3,4-diols | ![]() | Colorless delphinidin |
| Isoflavones | ![]() | Puerarin, soy isoflavones |
| Isoflavonones | ![]() | Rotenone |
| Chalcones | ![]() | Aureusidin |
| Aurones | ![]() | Isoliquiritigenin |
| Anthocyanidins | ![]() | Cyanidin |
| Biflavonoids | ![]() | Ginkgetin |
| Xanthones | ![]() | Isomangiferin |
| Homoisoflavones | ![]() | Brazilin |
| Category | Compound | Mechanism | References |
|---|---|---|---|
| Flavonoid | Chrysin | As a competitive ligand for benzodiazepine receptors, they enhance the GABAergic neurotransmission by binding to the benzodiazepine drug-receptor of the γ-GABA-benzodiazepine-chloride ion receptor complex | [140] |
| Apigenin | [213] | ||
| Apigenin-7-glucose | Acts on GABA receptors | [217] | |
| Wogonin | Acts on benzodiazepine receptors for GABA receptors | [214] | |
| Baicalein | Acts on non-benzodiazepine receptors for GABA receptors | [218,219] | |
| Baicalin | Acts on non-benzodiazepine receptors for GABA receptors, inhibits the release of glutamate | [219] | |
| Luteolin | Acts on benzodiazepine receptors | [220] | |
| 6-hydroxy flavone | Acts on benzodiazepines receptors for GABAA-type receptors, enhances GABA activation current | [215] | |
| Amentoflavone | Related to ionic GABA receptors | [221] | |
| Spinosin | Related to GABA receptors and serotonin receptors | [222] | |
| Flavonols | Kaempferol | Related to GABAA receptors | [141] |
| Quercetin | [142] | ||
| Myricetin | [143] | ||
| Dihydroflavonoids | Hesperidin | Associated with the serotonin neurotransmitter pathway, acting through its glycosidic ligand hesperidin | [216] |
| Hesperetin | Associated with the serotonin neurotransmitter pathway | [216] |
Disclaimer/Publisher’s Note: The statements, opinions and data contained in all publications are solely those of the individual author(s) and contributor(s) and not of MDPI and/or the editor(s). MDPI and/or the editor(s) disclaim responsibility for any injury to people or property resulting from any ideas, methods, instructions or products referred to in the content. |
© 2024 by the authors. Licensee MDPI, Basel, Switzerland. This article is an open access article distributed under the terms and conditions of the Creative Commons Attribution (CC BY) license (https://creativecommons.org/licenses/by/4.0/).
Share and Cite
Hao, B.; Yang, Z.; Liu, H.; Liu, Y.; Wang, S. Advances in Flavonoid Research: Sources, Biological Activities, and Developmental Prospectives. Curr. Issues Mol. Biol. 2024, 46, 2884-2925. https://doi.org/10.3390/cimb46040181
Hao B, Yang Z, Liu H, Liu Y, Wang S. Advances in Flavonoid Research: Sources, Biological Activities, and Developmental Prospectives. Current Issues in Molecular Biology. 2024; 46(4):2884-2925. https://doi.org/10.3390/cimb46040181
Chicago/Turabian StyleHao, Baocheng, Zhen Yang, Haoyu Liu, Yu Liu, and Shengyi Wang. 2024. "Advances in Flavonoid Research: Sources, Biological Activities, and Developmental Prospectives" Current Issues in Molecular Biology 46, no. 4: 2884-2925. https://doi.org/10.3390/cimb46040181
APA StyleHao, B., Yang, Z., Liu, H., Liu, Y., & Wang, S. (2024). Advances in Flavonoid Research: Sources, Biological Activities, and Developmental Prospectives. Current Issues in Molecular Biology, 46(4), 2884-2925. https://doi.org/10.3390/cimb46040181














































