Effectiveness of Eicosapentaenoic and Docosahexaenoic Acid Supplementation for Reducing Uremic Pruritus: A Meta-Analysis of Randomized Controlled Trials
Abstract
1. Introduction
2. Materials and Methods
2.1. General Methods of Meta-Analysis
2.2. Article Search, Identification, and Filtering
2.3. Inclusion and Exclusion Criteria
2.4. Methodological Quality Assessment
2.5. Primary Outcome
2.6. Secondary Outcome
2.7. Data Extraction and Converting
2.8. Statistical Analyses and Software
3. Results
3.1. Study Identification
3.2. Methodological Quality of the Included Studies
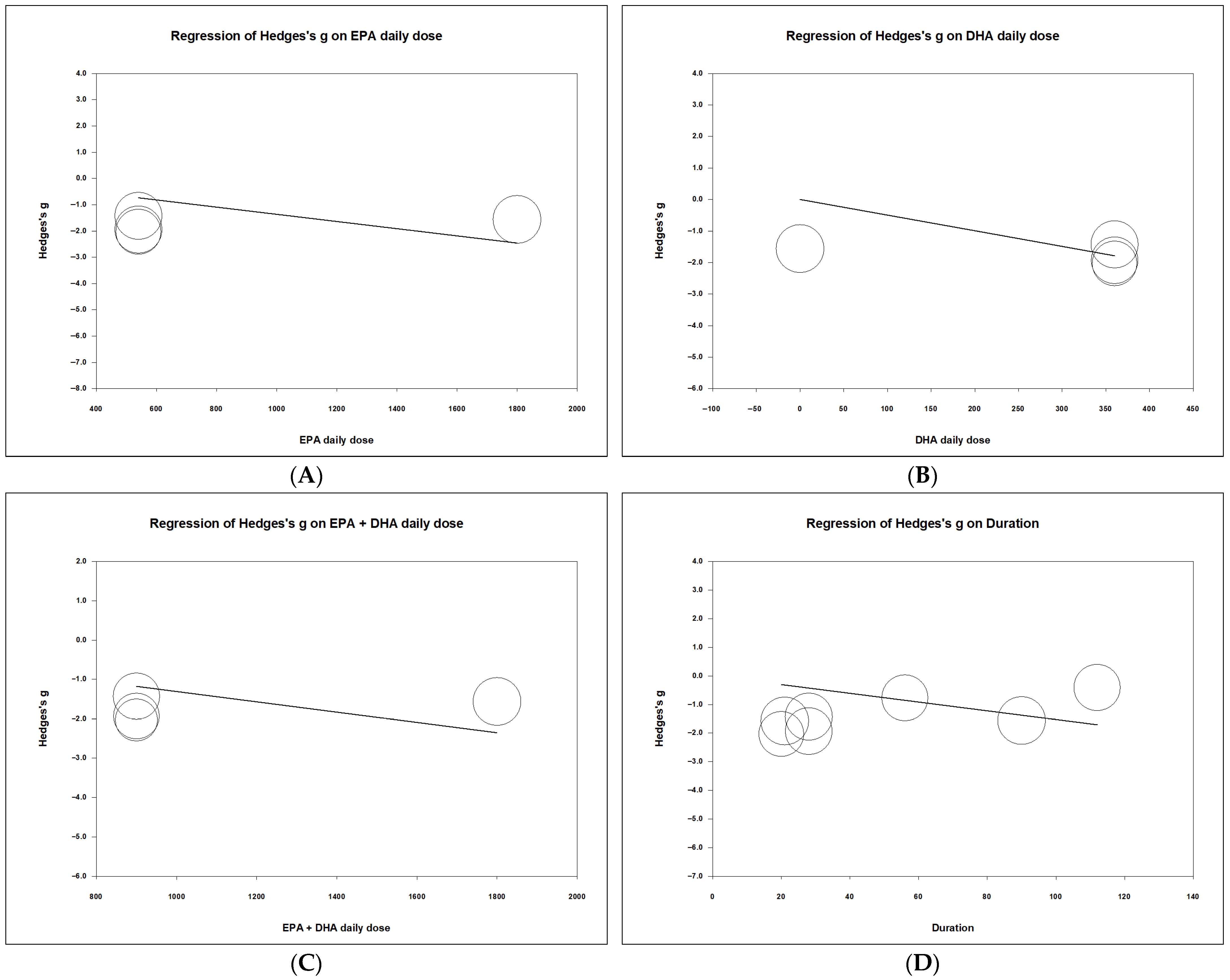
3.3. Primary Outcome: Effects of Omega-3 Fatty Acid on Uremic Pruritus
3.4. Secondary Outcome: Adverse Events of Omega-3 Fatty Acids
4. Discussion
Supplementary Materials
Author Contributions
Funding
Institutional Review Board Statement
Informed Consent Statement
Data Availability Statement
Conflicts of Interest
References
- Combs, S.A.; Teixeira, J.P.; Germain, M.J. Pruritus in Kidney Disease. Semin. Nephrol. 2015, 35, 383–391. [Google Scholar] [CrossRef] [PubMed]
- Westby, E.P.; Purdy, K.S.; Tennankore, K.K. A review of the management of uremic pruritus: Current perspectives and future directions. Itch 2020, 5, e38. [Google Scholar] [CrossRef]
- Shawky, S.M.; Hamid, R.A.A.A.; Khedr, L.E. The correlation between uremic pruritus and blood lead levels in prevalent hemodialysis patients and its relation to the severity of pruritus using visual analog score. Egypt. J. Intern. Med. 2021, 33, 17. [Google Scholar] [CrossRef]
- Ji, Y.; Park, H.-J.; Kim, S. Mediating Effects of Fatigue and Sleep Quality on Uremic Pruritus and Quality of Life Among Hemodialysis Patients: A Cross-Sectional Study. Hemodial. Int. 2025. [Google Scholar] [CrossRef]
- Shetty, D.; Nayak, A.M.; Datta, D.; Bhojaraja, M.V.; Nagaraju, S.P.; Prabhu, A.R.; Rangaswamy, D.; Rao, I.R.; Shenoy, S.V.; Joshi, D. Uremic pruritus: Prevalence, determinants, and its impact on health-related quality of life and sleep in Indian patients undergoing hemodialysis. Ir. J. Med. Sci. (1971-) 2023, 192, 3109–3115. [Google Scholar] [CrossRef]
- Ko, M.J.; Peng, Y.S.; Wu, H.Y. Uremic pruritus: Pathophysiology, clinical presentation, and treatments. Kidney Res. Clin. Pract. 2023, 42, 39–52. [Google Scholar] [CrossRef]
- Schricker, S.; Kimmel, M. Unravelling the pathophysiology of chronic kidney disease-associated pruritus. Clin. Kidney J. 2021, 14, i23–i31. [Google Scholar] [CrossRef] [PubMed]
- Verduzco, H.A.; Shirazian, S. CKD-Associated Pruritus: New Insights into Diagnosis, Pathogenesis, and Management. Kidney Int. Rep. 2020, 5, 1387–1402. [Google Scholar] [CrossRef] [PubMed]
- Mettang, T.; Kremer, A.E. Uremic pruritus. Kidney Int. 2015, 87, 685–691. [Google Scholar] [CrossRef]
- Cheng, A.Y.; Wong, L.S. Uremic Pruritus: From Diagnosis to Treatment. Diagnostics 2022, 12, 1108. [Google Scholar] [CrossRef]
- Kumagai, H.; Ebata, T.; Takamori, K.; Muramatsu, T.; Nakamoto, H.; Suzuki, H. Effect of a novel kappa-receptor agonist, nalfurafine hydrochloride, on severe itch in 337 haemodialysis patients: A Phase III, randomized, double-blind, placebo-controlled study. Nephrol. Dial. Transplant. 2010, 25, 1251–1257. [Google Scholar] [CrossRef]
- Fishbane, S.; Jamal, A.; Munera, C.; Wen, W.; Menzaghi, F. A Phase 3 Trial of Difelikefalin in Hemodialysis Patients with Pruritus. N. Engl. J. Med. 2020, 382, 222–232. [Google Scholar] [CrossRef] [PubMed]
- Gunal, A.I.; Ozalp, G.; Yoldas, T.K.; Gunal, S.Y.; Kirciman, E.; Celiker, H. Gabapentin therapy for pruritus in haemodialysis patients: A randomized, placebo-controlled, double-blind trial. Nephrol. Dial. Transplant. 2004, 19, 3137–3139. [Google Scholar] [CrossRef] [PubMed]
- Xue, W.; Zhao, Y.; Yuan, M.; Zhao, Z. Chinese herbal bath therapy for the treatment of uremic pruritus: Meta-analysis of randomized controlled trials. BMC Complement. Altern. Med. 2019, 19, 103. [Google Scholar] [CrossRef]
- Ada, S.; Seçkin, D.; Budakoğlu, İ.; Özdemir, F.N. Treatment of uremic pruritus with narrowband ultraviolet B phototherapy: An open pilot study. J. Am. Acad. Dermatol. 2005, 53, 149–151. [Google Scholar] [CrossRef] [PubMed]
- Che-Yi, C.; Wen, C.Y.; Min-Tsung, K.; Chiu-Ching, H. Acupuncture in haemodialysis patients at the Quchi (LI11) acupoint for refractory uraemic pruritus. Nephrol. Dial. Transplant. 2005, 20, 1912–1915. [Google Scholar] [CrossRef]
- Forouhari, A.; Moghtaderi, M.; Raeisi, S.; Shahidi, S.; Parin Hedayati, Z.; Zaboliyan, J.; Ani, S.; Moeinzadeh, F.; Mortazavi, M. Pruritus-reducing effects of omega-3 fatty acids in hemodialysis patients: A cross-over randomized clinical trial. Hemodial. International. Int. 2022, 26, 408–414. [Google Scholar] [CrossRef]
- Lin, Y.L.; Wang, C.L.; Chiang, T.I. Eicosapentaenoic acid supplementation alleviates pruritus, enhances skin moisture, and mitigates depression in maintenance hemodialysis patients. Front. Nephrol. 2024, 4, 1365809. [Google Scholar] [CrossRef]
- Peck, L.W.; Monsen, E.R.; Ahmad, S. Effect of three sources of long-chain fatty acids on the plasma fatty acid profile, plasma prostaglandin E2 concentrations, and pruritus symptoms in hemodialysis patients. Am. J. Clin. Nutr. 1996, 64, 210–214. [Google Scholar] [CrossRef]
- Begum, R.; Belury, M.A.; Burgess, J.R.; Peck, L.W. Supplementation with n-3 and n-6 polyunsaturated fatty acids: Effects on lipoxygenase activity and clinical symptoms of pruritus in hemodialysis patients. J. Ren. Nutr. Off. J. Counc. Ren. Nutr. Natl. Kidney Found. 2004, 14, 233–241. [Google Scholar]
- Lahiji, A.P.; Mortazavi, M.; Tirani, S.A.; Moeinzadeh, F.; Bidaki, E.Z.; Naini, A.E.; Faghihi, G.; Toghyani, A.; Farajzadegan, Z. Omega-3 Supplementation Improves Pruritus in Continuous Ambulatory Peritoneal Dialysis Patients: A Crossover Randomized Pilot Clinical Trial. J. Res. Pharm. Pract. 2018, 7, 195–199. [Google Scholar] [CrossRef]
- Ghanei, E.; Zeinali, J.; Borghei, M.; Homayouni, M. Efficacy of omega-3 fatty acids supplementation in treatment of uremic pruritus in hemodialysis patients: A double-blind randomized controlled trial. Iran. Red Crescent Med. J. 2012, 14, 515–522. [Google Scholar] [PubMed]
- Shayanpour, S.; Beladi Mousavi, S.S.; Lakhaye Rizi, P.; Cheraghian, B. The effect of the omega-3 supplement on uremic pruritus in hemodialysis patients; a double-blind randomized controlled clinical trial. J. Nephropathol. 2019, 8, e13. [Google Scholar] [CrossRef]
- Banaszak, M.; Dobrzyńska, M.; Kawka, A.; Górna, I.; Woźniak, D.; Przysławski, J.; Drzymała-Czyż, S. Role of Omega-3 fatty acids eicosapentaenoic (EPA) and docosahexaenoic (DHA) as modulatory and anti-inflammatory agents in noncommunicable diet-related diseases—Reports from the last 10 years. Clin. Nutr. ESPEN 2024, 63, 240–258. [Google Scholar] [CrossRef]
- Harper, C.R.; Jacobson, T.A. The Fats of Life: The Role of Omega-3 Fatty Acids in the Prevention of Coronary Heart Disease. Arch. Intern. Med. 2001, 161, 2185–2192. [Google Scholar] [CrossRef]
- Rajaram, S. Health benefits of plant-derived α-linolenic acid. Am. J. Clin. Nutr. 2014, 100, 443S–448S. [Google Scholar] [CrossRef]
- Wang, Y.J.; Miller, L.A.; Perren, M.; Addis, P.B. Omega-3 Fatty Acids in Lake Superior Fish. J. Food Sci. 1990, 55, 71–73. [Google Scholar] [CrossRef]
- Swanson, D.; Block, R.; Mousa, S.A. Omega-3 fatty acids EPA and DHA: Health benefits throughout life. Adv. Nutr. 2012, 3, 1–7. [Google Scholar] [CrossRef]
- Dighriri, I.M.; Alsubaie, A.M.; Hakami, F.M.; Hamithi, D.M.; Alshekh, M.M.; Khobrani, F.A.; Dalak, F.E.; Hakami, A.A.; Alsueaadi, E.H.; Alsaawi, L.S.; et al. Effects of Omega-3 Polyunsaturated Fatty Acids on Brain Functions: A Systematic Review. Cureus 2022, 14, e30091. [Google Scholar] [CrossRef]
- Zivkovic, A.M.; Telis, N.; German, J.B.; Hammock, B.D. Dietary omega-3 fatty acids aid in the modulation of inflammation and metabolic health. Calif. Agric. 2011, 65, 106–111. [Google Scholar] [CrossRef]
- Lu, P.-H.; Yao, X.-F.; Lin, Y.-S.; Tzeng, I.S.; Lu, P.-H.; Kuo, K.-L. Omega-3 fatty acids for uremic pruritus: A meta-analysis of randomized controlled trials. Tzu Chi Med. J. 2022, 34, 394–401. [Google Scholar] [CrossRef]
- Bodur, M.; Yilmaz, B.; Ağagündüz, D.; Ozogul, Y. Immunomodulatory Effects of Omega-3 Fatty Acids: Mechanistic Insights and Health Implications. Mol. Nutr. Food Res. 2025, 69, e202400752. [Google Scholar] [CrossRef]
- Zhai, S.; Chen, L.; Liu, H.; Wang, M.; Xue, J.; Zhao, X.; Jiang, H. Skin barrier: New therapeutic targets for chronic kidney disease-associated pruritus—a narrative review. Int. J. Dermatol. 2024, 63, 1513–1521. [Google Scholar] [CrossRef]
- Serhan, C.N.; Dalli, J.; Colas, R.A.; Winkler, J.W.; Chiang, N. Protectins and maresins: New pro-resolving families of mediators in acute inflammation and resolution bioactive metabolome. Biochim. Biophys. Acta 2015, 1851, 397–413. [Google Scholar] [CrossRef]
- Beyer, M.P.; Videla, L.A.; Farías, C.; Valenzuela, R. Potential Clinical Applications of Pro-Resolving Lipids Mediators from Docosahexaenoic Acid. Nutrients 2023, 15, 3317. [Google Scholar] [CrossRef]
- Calder, P.C. Omega-3 polyunsaturated fatty acids and inflammatory processes: Nutrition or pharmacology? Br. J. Clin. Pharmacol. 2013, 75, 645–662. [Google Scholar] [CrossRef] [PubMed]
- Sherratt, S.C.R.; Libby, P.; Bhatt, D.L.; Mason, R.P. A biological rationale for the disparate effects of omega-3 fatty acids on cardiovascular disease outcomes. Prostaglandins Leukot. Essent. Fat. Acids 2022, 182, 102450. [Google Scholar] [CrossRef]
- Lin, Y.-L.; Wang, C.-L.; Liu, K.-L.; Yeh, C.-N.; Chiang, T.-I. Omega-3 Fatty Acids Improve Chronic Kidney Disease—Associated Pruritus and Inflammation. Medicina 2022, 58, 796. [Google Scholar] [CrossRef] [PubMed]
- Mateu-Arrom, L.; Mora, I.; Garrote, L. Therapeutic Benefits of Topical Omega-3 Polyunsaturated Fatty Acids in Skin Diseases and Cosmetics: An Updated Systematic Review. J. Cosmet. Dermatol. 2025, 24, e70341. [Google Scholar] [CrossRef]
- Barcelos, R.C.; de Mello-Sampayo, C.; Antoniazzi, C.T.; Segat, H.J.; Silva, H.; Veit, J.C.; Piccolo, J.; Emanuelli, T.; Bürger, M.E.; Silva-Lima, B.; et al. Oral supplementation with fish oil reduces dryness and pruritus in the acetone-induced dry skin rat model. J. Dermatol. Sci. 2015, 79, 298–304. [Google Scholar] [CrossRef] [PubMed]
- Borbe, J.B.C.; Elvambuena, B.F.; Eugenio, F.A.D.; Tan, R.J.M. Effect of Omega-3 Fatty Acid Supplementation in the Treatment of Uremic Pruritus among Dialytic Chronic Kidney Disease Patients: A Meta-analysis. Acta Medica Philipp. 2024, 58, 125–131. [Google Scholar] [CrossRef]
- Alqahtani, S.; Bakhamees, B.H.; Almalki, F.M.; Alshaer, A.B.; Altaymani, A.F.; Alazmi, M.M.; Almutlaq, K.A.; Albalawi, A.M.; Alfaqih, A.A.; Abdullah, R.; et al. Efficacy and Safety of Omega-3 Fatty Acids in Ameliorating Pruritus in Adult Patients With Chronic Kidney Disease: A Meta-Analysis of Randomized Controlled Trials. Cureus 2024, 16, e66452. [Google Scholar] [CrossRef]
- Page, M.J.; McKenzie, J.E.; Bossuyt, P.M.; Boutron, I.; Hoffmann, T.C.; Mulrow, C.D.; Shamseer, L.; Tetzlaff, J.M.; Akl, E.A.; Brennan, S.E.; et al. The PRISMA 2020 statement: An updated guideline for reporting systematic reviews. BMJ 2021, 372, n71. [Google Scholar] [CrossRef]
- Sterne, J.A.C.; Savović, J.; Page, M.J.; Elbers, R.G.; Blencowe, N.S.; Boutron, I.; Cates, C.J.; Cheng, H.-Y.; Corbett, M.S.; Eldridge, S.M.; et al. RoB 2: A revised tool for assessing risk of bias in randomised trials. BMJ 2019, 366, l4898. [Google Scholar] [CrossRef]
- Deeks, J.J.; Higgins, J.P.T.; Altman, D.G. Analysing Data and Undertaking Meta-Analyses. In Cochrane Handbook for Systematic Reviews of Interventions; The Cochrane Collaboration: London, UK; John Wiley & Sons Ltd.: Hoboken, NJ, USA, 2008; pp. 243–296. [Google Scholar]
- Hozo, S.P.; Djulbegovic, B.; Hozo, I. Estimating the mean and variance from the median, range, and the size of a sample. BMC Med. Res. Methodol. 2005, 5, 13. [Google Scholar] [CrossRef] [PubMed]
- Higgins, J.P.T.; Eldridge, S.; Li, T. Including variants on randomized trials. In Cochrane Handbook for Systematic Reviews of Interventions, 2nd ed.; Higgins, J.P.T., Thomas, J., Chandler, J., Cumpston, M., Li, T., Page, M.J., Welch, V.A., Eds.; The Cochrane Collaboration: London, UK; John Wiley & Sons Ltd.: Hoboken, NJ, USA, 2024; Chapter 23. [Google Scholar]
- Higgins, J.P.T.; Li, T.; Deeks, J.J. Choosing effect measures and computing estimates of effect. In Cochrane Handbook for Systematic Reviews of Interventions, 2nd ed.; Higgins, J.P.T., Thomas, J., Chandler, J., Cumpston, M., Li, T., Page, M.J., Welch, V.A., Eds.; The Cochrane Collaboration: London, UK; John Wiley & Sons Ltd.: Hoboken, NJ, USA, 2024; Chapter 6. [Google Scholar]
- Teama, N.M.; Shawky, S.M.; Ibrahim, M.A.-H.; Khalifa, S.M.; El-Mobdy, A.H. Omega-3 fatty acids versus gabapentin in uremic pruritus in hemodialysis patients: Randomized controlled, crossover clinical trial. Egypt. J. Intern. Med. 2025, 37, 69. [Google Scholar] [CrossRef]
- Brüggemann, P.; Rajguru, K. Comprehensive Meta-Analysis (CMA) 3.0: A software review. J. Mark. Anal. 2022, 10, 425–429. [Google Scholar] [CrossRef]
- Heydarbaki, M.; Amerian, M.; Abbasi, A.; Amanpour, F.; Mohammadpourhodki, R.; Ebrahimi, H. The effects of omega-3 on the sleep quality of patients with uremic pruritus undergoing hemodialysis: A randomized crossover study. J. Complement. Integr. Med. 2020, 18, 217–222. [Google Scholar] [CrossRef]
- Rafieipoor, A.; Torkaman, M.; Azaryan, F.; Tavakoli, A.; Mohammadian, M.K.; Kohansal, A.; Shafaei, H.; Mirzaee, P.; Motiee Bijarpasi, Z.; Bahmani, P.; et al. Effectiveness of omega-3 fatty acid supplementation for pruritus in patients undergoing hemodialysis. Front. Nutr. 2024, 11, 1328469. [Google Scholar] [CrossRef]
- Heydarbaki, M.; Amerian, M.; Abbasi, A.; Amanpour, F.; Mohammadpourhodki, R.; Rezaei, M.; Ebrahimi, H. An Investigation into the Effects of Omega-3 on Uremic Pruritus in Hemodialysis Patients: A Randomized Crossover Clinical Trial. Saudi J. Kidney Dis. Transplant. 2021, 32, 1562–1569. [Google Scholar] [CrossRef]
- Duo, L.J. Electrical Needle Therapy of Uremic Pruritus. Nephron 1987, 47, 179–183. [Google Scholar] [CrossRef]
- Elman, S.; Hynan, L.S.; Gabriel, V.; Mayo, M.J. The 5-D itch scale: A new measure of pruritus. Br. J. Dermatol. 2010, 162, 587–593. [Google Scholar] [CrossRef]
- Skulas-Ray, A.C.; Wilson, P.W.F.; Harris, W.S.; Brinton, E.A.; Kris-Etherton, P.M.; Richter, C.K.; Jacobson, T.A.; Engler, M.B.; Miller, M.; Robinson, J.G.; et al. Omega-3 Fatty Acids for the Management of Hypertriglyceridemia: A Science Advisory from the American Heart Association. Circulation 2019, 140, e673–e691. [Google Scholar] [CrossRef]
- Zwetsloot, P.P.; Van Der Naald, M.; Sena, E.S.; Howells, D.W.; IntHout, J.; De Groot, J.A.; Chamuleau, S.A.; MacLeod, M.R.; Wever, K.E. Standardized mean differences cause funnel plot distortion in publication bias assessments. eLife 2017, 6, e24260. [Google Scholar] [CrossRef]
- Viechtbauer, W.; Cheung, M.W. Outlier and influence diagnostics for meta-analysis. Res. Synth. Methods 2010, 1, 112–125. [Google Scholar] [CrossRef]
- Qian, C.; Wang, Q.; Qiao, Y.; Xu, Z.; Zhang, L.; Xiao, H.; Lin, Z.; Wu, M.; Xia, W.; Yang, H.; et al. Arachidonic acid in aging: New roles for old players. J. Adv. Res. 2025, 70, 79–101. [Google Scholar] [CrossRef] [PubMed]
- Bittleman, D.B.; Casale, T.B. 5-Hydroxyeicosatetraenoic acid (HETE)-induced neutrophil transcellular migration is dependent upon enantiomeric structure. Am. J. Respir. Cell Mol. Biol. 1995, 12, 260–267. [Google Scholar] [CrossRef]
- Wautier, J.L.; Wautier, M.P. Pro- and Anti-Inflammatory Prostaglandins and Cytokines in Humans: A Mini Review. Int. J. Mol. Sci. 2023, 24, 9647. [Google Scholar] [CrossRef] [PubMed]
- Xu, C.; Liu, W.; You, X.; Leimert, K.; Popowycz, K.; Fang, X.; Wood, S.L.; Slater, D.M.; Sun, Q.; Gu, H.; et al. PGF2α modulates the output of chemokines and pro-inflammatory cytokines in myometrial cells from term pregnant women through divergent signaling pathways. Mol. Hum. Reprod. 2015, 21, 603–614. [Google Scholar] [CrossRef] [PubMed]
- Fadok, V.A.; Bratton, D.L.; Konowal, A.; Freed, P.W.; Westcott, J.Y.; Henson, P.M. Macrophages that have ingested apoptotic cells in vitro inhibit proinflammatory cytokine production through autocrine/paracrine mechanisms involving TGF-beta, PGE2, and PAF. J. Clin. Investig. 1998, 101, 890–898. [Google Scholar] [CrossRef]
- Murata, T.; Maehara, T. Discovery of anti-inflammatory role of prostaglandin D(2). J. Vet. Med. Sci. 2016, 78, 1643–1647. [Google Scholar] [CrossRef]
- Wang, B.; Wu, L.; Chen, J.; Dong, L.; Chen, C.; Wen, Z.; Hu, J.; Fleming, I.; Wang, D.W. Metabolism pathways of arachidonic acids: Mechanisms and potential therapeutic targets. Signal Transduct. Target. Ther. 2021, 6, 94. [Google Scholar] [CrossRef] [PubMed]
- Ohno, R.; Mainka, M.; Kirchhoff, R.; Hartung, N.M.; Schebb, N.H. Sterol Derivatives Specifically Increase Anti-Inflammatory Oxylipin Formation in M2-like Macrophages by LXR-Mediated Induction of 15-LOX. Molecules 2024, 29, 1745. [Google Scholar] [CrossRef] [PubMed]
- Endo, J.; Sano, M.; Isobe, Y.; Fukuda, K.; Kang, J.X.; Arai, H.; Arita, M. 18-HEPE, an n-3 fatty acid metabolite released by macrophages, prevents pressure overload-induced maladaptive cardiac remodeling. J. Exp. Med. 2014, 211, 1673–1687. [Google Scholar] [CrossRef]
- Ohira, T.; Arita, M.; Omori, K.; Recchiuti, A.; Van Dyke, T.E.; Serhan, C.N. Resolvin E1 Receptor Activation Signals Phosphorylation and Phagocytosis*. J. Biol. Chem. 2010, 285, 3451–3461. [Google Scholar] [CrossRef] [PubMed]
- Lee, H.C.; Tominaga, M.; Yasukawa, K.; Ohba, M.; Takahashi, N.; Honda, K.; Okuno, T.; Takamori, K.; Yokomizo, T. Dietary supplementation of omega-3 fatty acid eicosapentaenoic acid does not ameliorate pruritus in murine models of atopic dermatitis and psoriasis. J. Dermatol. Sci. 2019, 95, 130–133. [Google Scholar] [CrossRef]
- Maehre, H.K.; Jensen, I.J.; Elvevoll, E.O.; Eilertsen, K.E. ω-3 Fatty Acids and Cardiovascular Diseases: Effects, Mechanisms and Dietary Relevance. Int. J. Mol. Sci. 2015, 16, 22636–22661. [Google Scholar] [CrossRef]
- Han, S.-C.; Koo, D.-H.; Kang, N.-J.; Yoon, W.-J.; Kang, G.-J.; Kang, H.-K.; Yoo, E.-S. Docosahexaenoic Acid Alleviates Atopic Dermatitis by Generating Tregs and IL-10/TGF-β-Modified Macrophages via a TGF-β-Dependent Mechanism. J. Investig. Dermatol. 2015, 135, 1556–1564. [Google Scholar] [CrossRef]
- Chang, C.-H.; Tseng, P.-T.; Chen, N.-Y.; Lin, P.-C.; Lin, P.-Y.; Chang, J.P.-C.; Kuo, F.-Y.; Lin, J.; Wu, M.-C.; Su, K.-P. Safety and tolerability of prescription omega-3 fatty acids: A systematic review and meta-analysis of randomized controlled trials. Prostaglandins Leukot. Essent. Fat. Acids 2018, 129, 1–12. [Google Scholar] [CrossRef]
- Chang, J.P.-C.; Tseng, P.-T.; Zeng, B.-S.; Chang, C.-H.; Su, H.; Chou, P.-H.; Su, K.-P. Safety of Supplementation of Omega-3 Polyunsaturated Fatty Acids: A Systematic Review and Meta-Analysis of Randomized Controlled Trials. Adv. Nutr. 2023, 14, 1326–1336. [Google Scholar] [CrossRef]






| First Author and Year | Country | Population | Participants (Female/Male) | Age 1 | Study Design | Allocation Concealment | Randomization |
|---|---|---|---|---|---|---|---|
| Peck 1996 [19] | USA | ESRD under HD | Omega-3: 3/5 2 Olive oil: 5/4 2,4 Safflower oil: 4/4 2,4 | 54.8 ± 16.2 45.6 ± 17.4 49.5 ± 17.2 | RCT, double-blind | Not mentioned | Not mentioned |
| Begum 2004 [20] | USA | ESRD under HD | Omega-3: 3/7 2,5 Placebo: 6/6 2,5 | 61.2 ± 19.42 49.25 ± 18.12 | RCT, double-blind | Not mentioned | Not mentioned |
| Ghanei 2012 [22] | Iran | ESRD under HD | Omega-3: 3/8 2 Placebo: 5/6 2 | 59.90 ± 14.82 53.09 ± 13.08 | RCT, double-blind | Not mentioned | Not mentioned |
| Lahiji 2018 [21] | Iran | ESRD under CAPD | Omega-3: 11/9 2 Placebo: 10/10 2 | 62.1 ± 11.6 61.9 ± 10.8 | RCT, double-blind | Not mentioned | Not mentioned |
| Shayanpour 2019 [23] | Iran | ESRD under HD | Omega-3: 5/27 2 Placebo: 9/23 2 | 51.91 ± 6.58 56.25 ± 8.86 | RCT, double-blind | Blocks of six for allocation concealment | Blocks of six for allocation concealment |
| Forouhari 2022 [17] | Iran | ESRD under HD | Omega-3: 5/12 3 Placebo: 5/11 3 | 59.00 ± 13.56 3 51.25 ± 15.85 3 | RCT, double-blind | Not mentioned | Not mentioned |
| Lin 2024 [18] | Taiwan | ESRD under HD | Omega-3: 14/16 2 Placebo: 20/10 2 | 66.63 ± 11.67 2 67.57 ± 11.57 2 | RCT | Not mentioned | Not mentioned |
| First Author and Year | Dialysis Vintage 1 (Month/Year) | Intervention Duration | Omega-3 Fatty Acid Product/Manufacturer | Daily Omega-3 FA/DHA/EPA Dose (Per-Protocol N) | Control (Per-Protocol N) | Pruritus Outcome Measurement (Score Range) |
|---|---|---|---|---|---|---|
| Peck 1996 [19] | Not mentioned | 8 weeks | National Oceanic and Atmospheric Administration, Charleston Laboratory | 6 gm/n.a./n.a. (8) | olive oil (9) safflower oil (8) | Developed by Duo (0–10) [54] 2 |
| Begum 2004 [20] | Omega-3 58.0 ± 40.2 m Placebo 70.5 ± 55.6 m | 16 weeks | National Oceanic and Atmospheric Administration, Charleston Laboratory | 6 gm/n.a./n.a. (12) | α-tocopherol and γ-tocopherol as a placebo (10) | Developed by Duo (0–40) [54] 3 |
| Ghanei 2012 [22] | Omega-3 45.7 ± 24.4 m Placebo 61.0 ± 58.5 m | 20 days | Zahravi Pharmaceutical Company, Tabriz, Iran | 3 gm/0.36 gm/0.54gm (11) | Placebo capsule (11) | Developed by Duo (0–40) [54] 3 |
| Lahiji 2018 [21] | Omega-3 38.0 ± 22.8 m Placebo 37.6 ± 23.3 m | 4 weeks | Zahravi Pharmaceutical Company, Tabriz | 3 gm/0.36 gm/0.54 gm (20) | Placebo capsule (20) | Pruritus VAS score (1–10) |
| Shayanpour 2019 [23] | more than three months | 3 weeks | Not mentioned | 2 gm/n.a./n.a. (32) | Placebo capsule (32) | 5D pruritus questionnaire scale (5–25) [55] |
| Forouhari 2022 [17] | Omega-3 37.8 ± 31.7 m Placebo 29.5 ± 13.8 m | 4 weeks | Zahravi Pharmaceutical Company, Tabriz, Iran | 3 gm/0.36 gm/0.54 gm (17) | Placebo capsule (16) | Pruritus VAS score (1–10) |
| Lin 2024 [18] | Omega-3 59.6 ± 38.4 m Placebo 76.4 ± 36.8 m | 3 months | Chen Hua Biotech Co., LTD, Taoyuan, Taiwans | 2 gm/0 gm/0.9 gm (30) | Soybean capsule as placebo (30) | 5D pruritus questionnaire scale (5–25) (53) |
| First Author | Year | Randomization Process | Intervention Adherence | Missing Outcome Data | Outcome Measurement | Selective Reporting | Overall Risk of Bias |
|---|---|---|---|---|---|---|---|
| Peck [19] | 1996 | S 1 | L | L | L | L | S |
| Begum [20] | 2004 | S 1 | L | L | L | L | S |
| Ghanei [22] | 2012 | S 1 | L | L | L | L | S |
| Lahiji [21] | 2018 | H 2 | L | L | L | L | S |
| Shayanpour [23] | 2019 | L | L | L | L | L | L |
| Forouhari [17] | 2022 | S 1 | L | L | L | L | S |
| Lin [18] | 2024 | S 1 | S | L | L | L | S |
Disclaimer/Publisher’s Note: The statements, opinions and data contained in all publications are solely those of the individual author(s) and contributor(s) and not of MDPI and/or the editor(s). MDPI and/or the editor(s) disclaim responsibility for any injury to people or property resulting from any ideas, methods, instructions or products referred to in the content. |
© 2026 by the authors. Licensee MDPI, Basel, Switzerland. This article is an open access article distributed under the terms and conditions of the Creative Commons Attribution (CC BY) license.
Share and Cite
Chou, C.-A.; Li, L.-C.; Lee, W.-C.; Huang, C.-C. Effectiveness of Eicosapentaenoic and Docosahexaenoic Acid Supplementation for Reducing Uremic Pruritus: A Meta-Analysis of Randomized Controlled Trials. Pharmaceuticals 2026, 19, 181. https://doi.org/10.3390/ph19010181
Chou C-A, Li L-C, Lee W-C, Huang C-C. Effectiveness of Eicosapentaenoic and Docosahexaenoic Acid Supplementation for Reducing Uremic Pruritus: A Meta-Analysis of Randomized Controlled Trials. Pharmaceuticals. 2026; 19(1):181. https://doi.org/10.3390/ph19010181
Chicago/Turabian StyleChou, Chia-An, Lung-Chih Li, Wen-Chin Lee, and Chiang-Chi Huang. 2026. "Effectiveness of Eicosapentaenoic and Docosahexaenoic Acid Supplementation for Reducing Uremic Pruritus: A Meta-Analysis of Randomized Controlled Trials" Pharmaceuticals 19, no. 1: 181. https://doi.org/10.3390/ph19010181
APA StyleChou, C.-A., Li, L.-C., Lee, W.-C., & Huang, C.-C. (2026). Effectiveness of Eicosapentaenoic and Docosahexaenoic Acid Supplementation for Reducing Uremic Pruritus: A Meta-Analysis of Randomized Controlled Trials. Pharmaceuticals, 19(1), 181. https://doi.org/10.3390/ph19010181

