Next Article in Journal
Plant-Derived Exosomes: Nano-Inducers of Cross-Kingdom Regulations
Previous Article in Journal
A Stroll Through Saffron Fields, Cannabis Leaves, and Cherry Reveals the Path to Waste-Derived Antimicrobial Bioproducts
 
 
Font Type:
Arial Georgia Verdana
Font Size:
Aa Aa Aa
Line Spacing:
Column Width:
Background:
Article

Anti-Infective Properties, Cytotoxicity, and In Silico ADME Parameters of Novel 4′-(Piperazin-1-yl)benzanilides

1
Pharmaceutical Chemistry, Institute of Pharmaceutical Sciences, University of Graz, Schubertstraße 1, 8010 Graz, Austria
2
Pharmacognosy, Institute of Pharmaceutical Sciences, University of Graz, Beethovenstraße 8, 8010 Graz, Austria
3
Swiss Tropical and Public Health Institute, Kreuzstraße 2, CH-4123 Allschwil, Switzerland
4
Faculty of Science, University of Basel, Petersplatz 1, CH-4003 Basel, Switzerland
*
Author to whom correspondence should be addressed.
Deceased.
Pharmaceuticals 2025, 18(7), 1004; https://doi.org/10.3390/ph18071004
Submission received: 15 May 2025 / Revised: 27 June 2025 / Accepted: 30 June 2025 / Published: 3 July 2025
(This article belongs to the Special Issue Next-Generation Antinfective Agents)

Abstract

Background: The benzamide MMV030666 from MMV’s Malaria Box Project, the starting point of herein presented study, was initially tested against various Plasmodium falciparum strains as well as Gram-positive and Gram-negative bacteria. It exhibits multi-stage antiplasmodial potencies and lacks resistance development. Methods: The favorable structural features from previous series were kept while the influence of the N-Boc-piperazinyl substituent per se, as well as its ring position and its replacement by various heteroaromatic rings, was evaluated. Thus, this paper describes the preparation of the MMV030666-derived 4′-(piperazin-1-yl)benzanilides for the first time, exhibiting broad-spectrum activity not only against plasmodia but also various bacterial strains. Results: A series of insightful structure–activity relationships were determined. Furthermore, pharmacokinetic and physicochemical parameters of the new compounds were determined experimentally or in silico. Drug-likeliness according to Lipinski’s rules was calculated as well. Conclusions: A diarylthioether derivative of the lead compound was promisingly active against P. falciparum and exhibited broad-spectrum antibacterial activity against Gram-positive as well as Gram-negative bacteria. It is considered for testing against multi-resistant bacterial strains and in vivo studies.

Graphical Abstract

1. Introduction

The 2024 World Malaria Report once again highlights the ever-increasing threat caused by multi-resistant pathogens of the Plasmodium species. The current gold standard for malaria treatment are artemisinin-based combination therapies (ACTs), consisting of a short-lived but fast acting artemisinin derivative combined with one or two partner drugs with longer elimination half-lives. However, the once very successful malaria treatment is now exposed to an inexorable rise in resistance development. Partial artemisinin resistance and high levels of treatment failure due to several PfKelch13 mutations in Plasmodium falciparum, the most prominent malaria pathogen, have been detected in the WHO African region as well as in the South-East Asian and the Western Pacific regions [1,2,3].
Additionally, scientists face severe challenges when it comes to antimalarial vaccine development. Multiple possible targets within the complex life cycle of plasmodia, for example, make the exploration of effective vaccines inducing long-lasting protective immunity a rather difficult task to undertake. Currently, there are more than a dozen whole-parasite and sub-unit vaccine candidates in various stages of clinical development; however, none of them exhibit protective immunity and the durability of their effect is limited [4,5].
And as if that was not enough, the COVID-19 pandemic has put an additional halt to the fight against malaria. Over the last few years, disruption to health systems and supply chains as well as less financial support has led to a significant increase in malaria cases and deaths, with children under the age of five and pregnant women still carrying the majority of the burden [1].
Similarly to malaria, we are on the verge of being unable to treat infectious diseases caused by bacteria. In May of 2024, the WHO published an update on the critical priority ESKAPE pathogens (Enterococcus faecium, Staphylococcus aureus, Klebsiella pneumoniae, Acinetobacter baumannii, Pseudomonas aeruginosa, and Enterobacteriaceae) with resistance to front-line antibiotics such as beta-lactams, macrolides, or carbapenems. Antimicrobial research and development have not kept pace with the rapid resistance evolution, partly due to insufficient funding, resulting in an alarming gap in the ability to successfully treat bacterial infections. Of particular concern are carbapenem-resistant Acinetobacter baumannii as well as carbapenem- and third generation cephalosporin-resistant Enterobacteriaceae [6,7]. The Swiss non-profit organization Medicines for Malaria Venture (MMV) made it their business to support researchers in developing novel antimalarial agents. In 2016, they published the MMV Malaria Box, a compound collection of 400 diverse drug- and probe-like compounds. They are the result of a huge screening campaign and possess activities against various strains of Plasmodia. The starting point of the herein presented newly synthesized compounds, the benzamide MMV030666 from MMV’s Malaria Box Project, was initially tested against various P. falciparum strains as well as bacteria [8,9,10,11]. Within our latest studies, we have focused on optimizing the antiplasmodial properties of compounds while maintaining the low cytotoxicity. We reported the positive impact of 4-fluoro-substituted 2-phenoxy-, 2-phenylsulfanyl- or 2-anilino groups as well as an electron withdrawing group in position 3 of the benzanilide. Furthermore, we observed the particular importance of the ring position of the piperazinyl substituent, whereby para-substituted compounds showed the highest antiplasmodial activity (Figure 1) [12,13].
This paper describes the preparation of 4′-(piperazin-1-yl)benzanilides with broad-spectrum activity not only against plasmodia but also against various Gram-positive and Gram-negative bacteria from the WHO ESKAPE panel. We maintained the favorable structural features while evaluating the influence of the N-Boc-piperazinyl substituent per se as well as its ring position and its replacement by various heteroaromatic rings. Furthermore, tertiary amides were prepared in order to investigate the importance of the amide hydrogen.

2. Results and Discussion

2.1. Chemistry

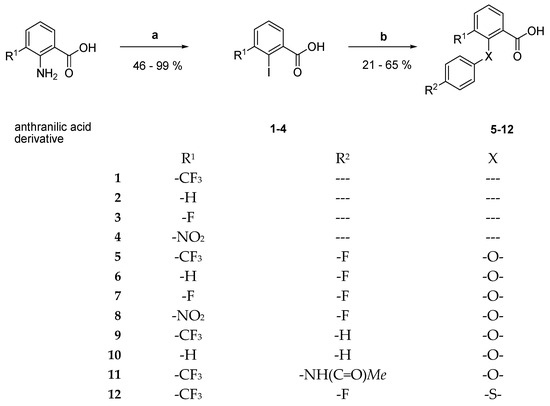
The new derivatives were prepared by firstly synthesizing the corresponding carboxylic acids and aniline derivatives with subsequent amide bond formation. Synthesis of the benzoic acid derivatives was started by reaction of the respective anthranilic acid with sodium nitrite under acidic conditions, giving the corresponding diazonium salt. A Sandmeyer-like reaction of the latter with an aqueous solution of potassium iodide gave the desired 2-iodobenzoic acid derivatives 1, 2, 3, and 4 as brownish amorphous solids in moderate to high yields [14]. In the course of a copper-catalyzed Ullmann-type ether synthesis, the prepared 2-iodobenzoic acids 1, 2, 3, and 4 were coupled with 4-fluorophenol, phenol, N-(4-hydroxyphenyl)acetamide, or 4-fluorothiophenol, respectively, whereby variously substituted diarylethers (compounds 511) and a diarylthioether (compound 12) were obtained (Figure 2) [15].
Synthesis of the desired 2-, 3-, and 4-substituted derivatives of aniline 1319 was started by treating 1-fluoro-2-nitrobenzene, 1-fluoro-3-nitrobenzene, or 1-fluoro-4-nitrobenzene, respectively, with the corresponding secondary amines N-Boc-piperazine (2022), morpholine (23, 24), N-methylpiperazine (25), or pyrrolidine (26) and potassium carbonate in dry dimethyl sulfate in the course of a nucleophilic aromatic substitution. Thereby, the nitrobenzyl-derivatives 2026 were obtained [16]. To prepare the N,N-dimethyl-2-nitroaniline 27 and the N,N-dimethyl-4-nitroaniline 28, 2- and 4-nitroaniline were treated with a 60% dispersion of NaH in mineral oil, followed by addition of methyl iodide in dry tetrahydrofuran (THF) [17]. Subsequent reduction of the nitro group of compounds 2028 with palladium in dry methanol in an atmosphere of hydrogen gave the desired derivatives of aniline 1319, 29, and 30 (Figure 3) [18]. Efficient reduction of the nitro group was detected in the 1H-NMR spectrum: the aromatic protons shifted to lower frequencies and an additional signal for amino protons appeared.
Amide bond formation between the benzoic acid and aniline derivatives was accomplished using a combination of 2-chloro-N-methylpyridin-1-ium iodide (Mukaiyama reagent) and diisopropylethylamine (DIPEA) in dry dichloromethane (Figure 4) [19]. Successful amide synthesis was detected via 1H-NMR spectroscopy, whereby the -NH2 signal disappeared and an amide hydrogen peak appeared at higher frequencies.
The tertiary amides 49, 50, and 51 were prepared by coupling the carboxylic acid derivative 5 with the respective secondary amines N-methylpiperazine (49), morpholine (51), or N-Boc-piperazine (50). The coupling reagents Potassium Oxyma-B and 1-Ethyl-3-(3-dimethylaminopropyl)carbodiimide × HCl (EDC × HCl) ensured efficient amide bond formation [20]. The N-Boc-group of 50 was cleaved using trifluoroacetic acid in dichloromethane. Thereby, compound 52 was obtained (Figure 5) [21].
In order to evaluate the importance of the bulky N-tert-Butoxy-group for the biological activity of compounds 3748 the latter was again cleaved with trifluoroacetic acid in dry dichloromethane, yielding the mono substituted piperazine derivatives 5364 (Figure 6) [21]. Successful cleavage was detected in the 1H-NMR spectra: the singlet peak of the tert-Butyl-group at 2.5 ppm disappeared and an -NH-peak appeared at higher frequencies.
The influence of an amino group compared to an electron-withdrawing nitro group on the anti-infective activity was assessed by preparing compound 65. Therefore, the N-Boc-group of compound 44 was cleaved using trifluoroacetic acid in dry dichloromethane to obtain compound 61, which was then followed by reduction of the nitro group with palladium in an atmosphere of hydrogen (Figure 7) [18,21].
Moreover, the impact of the 2-aryloxy substituent on antiplasmodial activity was investigated. Therefore, compound 66 was prepared starting from 3-(trifluoromethyl)benzoic acid, which was subsequently coupled with the aniline derivative 19 with the help of 2-chloro-N-methylpyridin-1-ium iodide and DIPEA to obtain the amide 67. Its N-Boc-group was cleaved using trifluoroacetic acid in dry dichloromethane (Figure 8) [19,21].

2.2. Biological Activity and Cytotoxicity

All newly synthesized compounds were tested for their antiplasmodial activity using the chloroquine-sensitive strain Plasmodium falciparum NF54. Cytotoxicity was determined using rat skeletal myofibroblasts (L-6 cells) as well as human hepatocarcinoma cells (HepG2 cells). As standards, chloroquine, podophyllotoxin, and doxorubicin were used. Results obtained are summarized in Table 1.
The tertiary amides 4952 exhibit by far the lowest antiplasmodial activities (PfNF54 IC50 = 23.2–81.1 µM), strongly indicating the importance of the amide hydrogen for the biological efficacy. All other newly prepared compounds are benzanilides with an unsubstituted amide hydrogen. The majority of them possess 4-fluorophenoxy and 3-trifluoromethyl groups in ring positions 2 and 3 of the benzamide core as well as a basic substituent at the aniline moiety. As was to be expected from previous studies, the ring position of the latter has an obvious impact on the antiplasmodial activity of compounds. The 3′-piperazinyl-substituted 56 exhibits the lowest activity against PfNF54 (IC50 = 5.45 µM) compared to its para- and ortho-analogs 57 (PfNF54 IC50 = 3.15 µM) and 53 (PfNF54 IC50 = 1.04 µM). Further substitution of the piperazinyl ring by a 4-methyl group gave 31 (PfNF54 IC50 = 14.0 µM), which is distinctly less active than 53. Similarly, replacement of the piperazinyl by a dimethylamino (36 (PfNF54 IC50 = 7.58 µM) and 35 (PfNF54 IC50 = 4.40 µM)) or a morpholino substituent (33 (PfNF54 IC50 = 6.81 µM) and 32 (PfNF54 IC50 = 3.04 µM)) decreased the antiplasmodial activities in comparison to 57 and 53, respectively. However, the 4-pyrrolidino analog 34 (PfNF54 IC50 = 1.68 µM) is significantly more active than 57. Likewise, changes in the substitution pattern of the benzamide core had a detectable effect on the antiplasmodial activity. Replacement of the 3-trifluoromethyl group of 57 gave its less active 3-fluoro 60 (PfNF54 IC50 = 4.70 µM), 3-nitro 61 (PfNF54 IC50 = 4.10 µM), and 3-amino 65 (PfNF54 IC50 = 7.00 µM) analogs, whereas the 3-unsubstituted compound 59 (PfNF54 IC50 = 2.04 µM) is more active. Replacement of the 2-(4-fluorophenoxy) substituent of 57 and 53 by a 2-(4-acetamidophenoxy) group gave compounds 63 (PfNF54 IC50 = 15.7 µM) and 54 (PfNF54 IC50 = 11.1 µM), which are among the least active of the benzanilides. The 2-phenoxy 58 (PfNF54 IC50 = 3.81 µM) and its 2-unsubstituted analog 66 (PfNF54 IC50 = 2.60 µM) show activity similar to 57 as well as the 3-unsubstituted 2-phenoxy derivative 64 (PfNF54 IC50 = 2.33 µM). Significantly improved activities were observed for the 2-(4-fluorophenyl)sulfanyl derivatives 62 (PfNF54 IC50 = 1.66 µM) and 55 (PfNF54 IC50 = 0.69 µM) of 57 and 53, respectively. Cytotoxicity against L-6 cells is for the most part consistent with values obtained against HepG2 cells. Compounds with high cytotoxicity in L-6 cells are also in most cases toxic to human cells. Among the more active compounds the 2′-morpholino substituted benzanilide 32 (PfNF54 IC50 = 3.04 µM) does not show significant toxicity against neither rat skeletal myofibroblasts (IC50 = 161 µM) nor human hepatocarcinoma cells (IC50 = >100 µM). Its 4′-pyrrolidino analog 34 shows higher activity against P. falciparum NF54 (IC50 = 1.68 µM), very low L-6 (IC50 = 185 µM), and moderate HepG2 cytotoxicity (IC50 = 39.8 µM), resulting in the most promising compound out of this series of derivatives.
Due to initial studies and the fact that some of the Malaria Box compounds also exhibit antibacterial activity, selected benzanilides 5562, 64, and 65, as well as the tertiary amides 49, 51, and 52, were further evaluated for their in vitro activity against a selection of pathogens from the ESKAPE panel (Escherichia coli, Staphylococcus aureus, Klebsiella pneumoniae, Acinetobacter baumannii, and Pseudomonas aeruginosa) as well as Bacillus subtilis, Serratia marcescens, and Micrococcus luteus. Minimal inhibitory concentration (MIC) and minimal bactericidal concentration (MBC) were determined following the latest EUCAST guidelines on antimicrobial susceptibility testing. Results obtained are summarized in Table 2, whereby the most promising ones are highlighted in green and moderate ones in yellow.
The analyzed tertiary amides 49, 51, and 52, as well as the benzanilides 5662, 64, and 65, exhibit overall rather high MIC and MBC values of ≥128 µM against the Gram-negative strains P. aeruginosa, E. coli, S. marcescens, A. baumannii, and K. pneumoniae, which could very well be due to the low cell wall permeability of the compounds. A different picture emerges when looking at the Gram-positive strains, especially M. luteus. While removing the N-Boc-group results in a significant loss of antiplasmodial activity, the antibacterial properties improve. Regarding the 3′-piperazinylbenzanilide 56 and the 4′-piperazinylbenzanilide 57, as well as the 2-(4-fluorophenoxy)-4′-(piperazin-1-yl)benzanilide 59, its 3-fluorophenoxy analog 60, and the 2-phenoxy-4′-(piperazin-1-yl)benzanilide 64, promising antibacterial activity could be observed (MIC = 16–64 µg/mL; MBC = 16–64 µg/mL). The latter (64) also exhibits encouraging MIC and MBC values of 32 µg/mL and 64 µg/mL, respectively, against S. aureus. Excitingly, the 2-[(4-Fluorophenyl)sulfanyl]-N-[2-(piperazin-1-yl)phenyl]-3-(trifluoromethyl)benzamide 55 shows broad-spectrum antibacterial and bactericidal activity against Gram-negative A. baumannii and E. coli (MIC = 32–64 µg/mL; MBC = 64 µg/mL), as well as Gram-positive M. luteus, B. subtilis, and S. aureus (MIC = 16–64 µg/mL, MBC = 16–64 µg/mL).

2.3. Physicochemical and Pharmacokinetic Parameters

In addition to the anti-infective activity and cytotoxicity of compounds 3136 and 4966, their log p and log D7.4 values were calculated in silico. Log p values ranged from 3.26 to 6.10 and log D7.4 values ranged from 1.96 to 6.10. Among the compounds with considerable anti-infective properties, the 2-(4-fluorophenoxy)-4′-(piperazin-1-yl)benzanilide 59 and the 2-(4-fluorophenoxy)-2′-(piperazin-1-yl)-3-(trifluoromethyl)benzanilide 53 exhibit the lowest log p (4.28–5.16) and log D7.4 (2.79–3.70) values. Furthermore, ligand efficiency, an important parameter in early drug development, was determined. Ligand efficiency is defined by the free binding energy of a compound divided by its number of heavy atoms (HA) [22]. The calculated values ranged from 0.178 to 0.306 kcal/mol/HA. Among the more active compounds, the benzanilide 59 again showed the highest LE value of 0.269 kcal/mol/HA. To complete the dataset for Lipinski’s rule of five, the number of hydrogen-bond donors and acceptors was determined. Compounds exhibit up to three HBDs and a maximum of five HBAs. With a molecular weight below 500 g/mol, all newly prepared benzanilides comply with Lipinski’s advice for the preparation of drug-like molecules.
Furthermore, passive permeability of compounds through semipermeable membranes, for example, the blood–brain-barrier, was determined via PAMPA and was detectable for all compounds except for 31, 3436, and 63 due to insufficient solubility and/or excessive mass retention. Results are summarized in Table 3 above. Permeability is defined using caffeine (Pe = 8.00 × 10−6 cm/s) and hydrochlorothiazide (Pe = 0.09 × 10−6 cm/s) as standards. The diarylthioethers 55 and 62 with promising antiplasmodial activity also exhibit encouraging permeability of 4.41 and 6.51 × 10−6 cm/s, respectively. The benzanilide 59 with not only antiplasmodial but also detectable antibacterial activity showed the by far highest permeability of 14.23 × 10−6 cm/s.
CYPlebrity from the Kirchmair group at the University of Vienna is part of the New E-Resource for Drug Discovery (NERDD), a collection of machine learning models, and it was used to predict whether the newly synthesized compounds inhibit human Cytochrom P450 enzymes (CYP1A2, 2C9, 2C19, 2D6, and 3A4) essential for the phase I liver metabolism of xenobiotics and, if so, how severely [23]. Strong enzyme inhibition would result in an increased risk when combining the oral application of these compounds with other drugs. Results obtained are summarized in Table 4.
Compounds are overall predicted to have significant impact on CYP1A2, CYP2C9, and CYP2C19, with inhibition rates between 27 and 70%. As for CYP3A4, which is responsible for the metabolism of most xenobiotics, the overall predicted enzyme inhibition by the newly prepared compounds is considerably lower (31–46%). Promisingly, CYP2D6, the second most important phase I enzyme, is predicted to be distinctly less influenced by this series of benzamides (15–33%).

3. Materials and Methods

3.1. Instrumentation and Chemicals

Melting points were obtained using an Electrothermal IA 9200 melting point apparatus (Fisher Scientific, Birmingham, UK). IR spectra were acquired using a Bruker Alpha Platinum AT FTIR spectrometer (Bruker, Ettlingen, Germany) (preparation of KBr disks), and the frequencies are reported in cm−1. For HRMS, a Q Exactive Hybrid Quadrupole-Orbitrap mass spectrometer (Thermo Fisher Scientific, Waltham, MA, USA) run by Thermo Q Exactive 2.9 (Thermo Fisher Scientific, Waltham, MA, USA) and Thermo XcaliburTM Software Version 4.4 (Thermo Fisher Scientific, Waltham, MA, USA) and a Micromass Tofspec 3E spectrometer (MALDI) and a GCT-Premier, Waters, Milford, MA, USA (EI, 70 eV) were used. The structures of all newly synthesized derivatives were determined by one- and two-dimensional NMR spectroscopy using a Varian UnityInova 400 MHz or a Bruker Avance Neo 400 MHz spectrometer, 5 mm tubes, and TMS as internal standard. Shifts in 1H NMR (400 MHz) and 13C NMR (100 MHz) are reported in ppm. 1H- and 13C-resonances were assigned using 1H,1H- and 1H,13C-correlation spectra and are numbered as given in Figure 6 and Figure 8. Signal multiplicities are abbreviated as follows: br, broad; d, doublet; dd, doublet of doublets; m, multiplet; q, quartet; s, singlet; t, triplet; and td, triplet of doublets.
Materials: thin layer chromatography (TLC): TLC plates silica gel 60 F254 (Merck, Darmstadt, Germany); column chromatography (CC): silica gel 60 (Merck 70–230 mesh, pore diameter 60 Å), flash silica gel (VWR 230–400 mesh, pore diameter 60 Å or Merck 230–400 mesh, pore diameter 60 Å), and aluminum oxide basic (Merck); PAMPA: 96-well pre-coated Corning Gentest PAMPA plate system (Corning, Glendale, AZ, USA), 96-well UV-star Microplates (Greiner Bio-One, Kremsmünster, Austria), and a SpectraMax M3 UV plate-reader (Molecular Devices, San Jose, CA, USA). FTIR and HRMS as well as 1H-NMR and 13C-NMR spectra of compounds 3136, 47, and 4967 are available in the Supplementary Materials (Figures S1–S26).

3.2. Syntheses

3.2.1. General Procedure for the Preparation of 2-iodobenzoic Acids 14 (Figure 2)

The corresponding anthranilic acid (6.00 mmol) was dissolved in DMSO (11 mL) and the solution was cooled to 0 °C in an ice bath. Upon adding 11 mL of 30% aq sulfuric acid (H2SO4), the reaction mixture was stirred at 0 °C for 5 min. After that, the ice bath was removed, and sodium nitrite (NaNO2) (13.28 mmol) was added. The reaction mixture was stirred at room temperature for 2 h. Subsequently, a solution of potassium iodide (KI) (10.92 mmol) in 5 mL of demineralized water was added dropwise with a syringe via a septum. The reaction mixture was stirred for another hour before adding a second portion of KI (6.00 mmol) dissolved in 3 mL of aqua demin. After stirring for 1 h at ambient temperature, 50 mL of ethyl acetate was added. The aqueous and organic phases were separated. The organic phase was washed with aqua demin and brine, dried over anhydrous sodium sulfate, filtered, and the solvent was evaporated in vacuo. The respective residues were purified by recrystallization from aqua demin.
2-Iodo-3-(trifluoromethyl)benzoic acid (1): Reaction of 2-amino-3-(trifluoromethyl)benzoic acid (2.11 g (10.33 mmol)) dissolved in DMSO (17 mL) and 30% aq H2SO4 (17 mL) with NaNO2 (1.54 g (22.35 mmol)) and KI (4.74 g (28.54 mmol)) in aqua deminaqua demin (17 mL) gave the raw benzoic acid derivative. Purification by recrystallization from aqua demin (10 mL) gave compound 1 as a brownish solid (2.97 g (91%)). m.P. 134 °C. NMR data were in accordance with the literature data [24].
2-Iodobenzoic acid (2): Reaction of anthranilic acid (831 mg (6.06 mmol)) dissolved in DMSO (11 mL) and 30% aq H2SO4 (11 mL) with NaNO2 (921 mg (13.35 mmol)) and KI (2.83 g (17.02 mmol)) in aqua demin (8 mL) gave the raw iodobenzoic acid. It was purified by recrystallization from aqua demin (7 mL), giving compound 2 as a brown solid (1.48 g (99%)). m.P. 160 °C. NMR data were in accordance with the literature data [25].
3-Fluoro-2-iodobenzoic acid (3): The reaction of 2-amino-3-fluorobenzoic acid (313 mg (2.02 mmol)) dissolved in DMSO (4 mL) and 30% aq H2SO4 (4 mL) with NaNO2 (309 mg (4.48 mmol)) and KI (939 mg (5.66 mmol)) in aqua demin (3 mL) yielded the raw product. It was purified by recrystallization from aqua demin (4 mL), giving compound 3 as a brown solid (245 mg (46%)). m.P. 153 °C. NMR data were in accordance with the literature data [26].
2-Iodo-3-nitrobenzoic acid (4): Reaction of 2-amino-3-nitrobenzoic acid (558 mg (3.06 mmol)) dissolved in DMSO (6 mL) and 30% aq H2SO4 (6 mL) with NaNO2 (460 mg (6.67 mmol)) and KI (1.42 g (8.55 mmol)) in aqua demin (4 mL) gave the raw product. Purification by recrystallization from aqua demin (5 mL) yielded compound 4 as a brown solid (799 mg (89%)). m.P. 207 °C. NMR data were in accordance with literature data [27].

3.2.2. General Procedure for the Preparation of Diarylethers and 511 and Diarylthioether 12 (Figure 2)

The corresponding 2-iodobenzoic acid derivative 14 (4.00 mmol) was dissolved in dry DMF. The respective phenol or benzenethiol (4.20 mmol), copper (Cu) (0.53 mmol), copper (I) iodide (CuI) (0.18 mmol), DBU (12.00 mmol), and dry pyridine (0.80 mmol) were added in that order. The reaction mixture was refluxed at 160 °C for 2–48 h. After completion, the mixture was cooled to room temperature and acidified with 2N HCl to a pH of 1. Equal amounts of ice and dichloromethane were added. The organic and aqueous phases were separated. The aqueous phase was extracted three times with dichloromethane. The organic phases were combined, washed with aqua demin and brine, dried over anhydrous sodium sulfate, and filtered. The solvent was evaporated in vacuo giving the crude products, which were subsequently purified by column chromatography.
2-(4-Fluorophenoxy)-3-(trifluoromethyl)benzoic acid (5): Reaction of compound 1 (1499 mg (4.74 mmol)) with 4-fluorophenol (561 mg (4.98 mmol)), copper (40 mg (0.62 mmol)), copper (I) iodide (43 mg (0.23 mmol)), DBU (2167 mg (14.23 mmol)), and dry pyridine (75 mg (0.95 mmol)) in dry DMF (38 mL) gave the crude diarylether. It was purified by column chromatography (silica gel, CH2Cl2/MeOH/AcOH 149:1:1) followed by recrystallization from dichloromethane, yielding compound 5 as a colorless solid (711 mg (50%)). m.P. 143 °C. NMR data were in accordance with the literature data [12].
2-(4-Fluorophenoxy)benzoic acid (6): Reaction of compound 2 (688 mg (2.77 mmol)) with 4-fluorophenol (334 mg (2.98 mmol)), copper (31 mg (0.49 mmol)), copper (I) iodide (37 mg (0.19 mmol)), DBU (1267 mg (8.32 mmol)), and dry pyridine (44 mg (0.56 mmol)) in dry DMF (23 mL) gave the crude product. It was purified by column chromatography (flash silica gel, CH/(EtAc/EtOH/AcOH) 9:1 (3:1:0.08)), yielding compound 6 as a colorless amorphous solid (386 mg (60%)). NMR data were in accordance with the literature data [27].
3-Fluoro-2-(4-fluorophenoxy)benzoic acid (7): Reaction of compound 3 (595 mg (2.24 mmol)) with 4-fluorophenol (263 mg (2.35 mmol)), copper (19 mg (0.30 mmol)), copper (I) iodide (19 mg (0.10 mmol)), DBU (1023 mg (6.72 mmol)), and dry pyridine (36 mg (0.45 mmol)) in dry DMF (18 mL) gave the crude product. Purification by column chromatography (silica gel, CH2Cl2/MeOH/AcOH 149:1:1) yielded compound 7 as a yellow amorphous solid (240 mg (43%)). NMR data were in accordance with the literature data [13].
2-(4-Fluorophenoxy)-3-nitrobenzoic acid (8): Reaction of compound 4 (2464 mg (8.41 mmol)) with 4-fluorophenol (1000 mg (8.92 mmol)), copper (83 mg (1.31 mmol)), copper (I) iodide (76 mg (0.40 mmol)), DBU (3841 mg (25.23 mmol)), and dry pyridine (132 mg (1.67 mmol)) in dry DMF (68 mL) gave the crude product. It was purified by column chromatography (silica gel, CH2Cl2/MeOH/AcOH 149:1:1), yielding compound 8 as a light-orange amorphous solid (1515 mg (65%)). NMR data were in accordance with the literature data [13].
2-Phenoxy-3-(trifluoromethyl)benzoic acid (9): Reaction of compound 1 (627 mg (5.15 mmol)) with phenol (509 mg (5.41 mmol)), copper (49 mg (0.77 mmol)), copper (I) iodide (54 mg (0.28 mmol)), DBU (2353 mg (15.45 mmol)), and dry pyridine (71 mg (0.90 mmol)) in dry DMF yielded the crude product. It was purified by column chromatography (silica gel, CH2Cl2/propan-2-ol/NH3 cc. 8:9:2). The obtained salt was dissolved in aqua demin (10 mL) and acidified with 2N HCl to a pH of 1. The aqueous phase was extracted with dichloromethane. The organic phase was dried over anhydrous sodium sulfate, filtered, and the solvent evaporated in vacuo, giving compound 9 as a light-brown amorphous solid (538 mg (37%)). NMR data were in accordance with the literature data [12].
2-Phenoxybenzoic acid (10): Reaction of compound 2 (992 mg (4.00 mmol)) with phenol (395 mg (4.20 mmol)), copper (34 mg (0.53 mmol)), copper (I) iodide (34 mg (0.18 mmol)), DBU (1827 mg (12.00 mmol)), and dry pyridine (63 mg (0.80 mmol)) in dry DMF gave the crude product. Purification by column chromatography (silica gel, CH/EtAc/EtOH/AcOH 50:9:4:0.25) yielded compound 10 as an amorphous colorless solid (554 mg (65%)). NMR data were in accordance with the literature data [27].
2-(4-Acetamidophenoxy)-3-(trifluoromethyl)benzoic acid (11): Reaction of compound 1 (1273 mg (4.03 mmol)) with N-(4-hydroxyphenyl)acetamide (645 mg (4.27 mmol)), copper (35 mg (0.55 mmol)), copper (I) iodide (43 mg (0.25 mmol)), DBU (1827 mg (12.00 mmol)), and dry pyridine (63 mg (0.80 mmol)) in dry DMF (30 mL) for 48 h gave the crude diarylether. It was purified by column chromatography (silica gel, CH2Cl2/EtOH/AcOH 9:1:0.1), giving compound 11 as a pale-yellow amorphous solid (438 mg (32%)). NMR data were in accordance with the literature data [12].
2-[(4-Fluorophenyl)sulfanyl]-3-(trifluoromethyl)benzoic acid (12): Reaction of compound 1 (1901 mg (6.02 mmol)) with 4-fluorobenzene-1-thiol (806 mg (6.29 mmol)), copper (76 mg (1.20 mmol)), copper (I) iodide (60 mg (0.32 mmol)), DBU (2740 mg (17.99 mmol)), and dry pyridine (94 mg (1.19 mmol)) in dry DMF (48 mL) for 24 h yielded the crude product. It was purified by column chromatography (flash silica gel, CH2Cl2/MeOH/AcOH 149:1:1), giving compound 12 as a light-brown amorphous solid (199 mg (21%)). NMR data were in accordance with the literature data [13].

3.2.3. General Procedure for the Preparation of (Nitrophenyl)piperazines 2026 (Figure 3)

Anhydrous potassium carbonate (14.00 mmol) and the respective fluoro-nitrobenzene (7.00 mmol) were suspended in dry DMSO. The corresponding N-heterocycle (14.00 mmol) was added, and the reaction mixture was refluxed to 80–120 °C for 72–120 h. After completion, the mixture was cooled to 0 °C in an ice bath, diluted with ethyl acetate (30 mL), and acidified with 2N HCl to a pH of 1. The aqueous and organic phases were separated. The aqueous phase was extracted three times with ethyl acetate. The organic phases were combined, dried over anhydrous sodium sulfate, filtered, and the solvent evaporated in vacuo, yielding the crude products that were either purified by column chromatography or used without further purification.
tert-Butyl-4-(2-nitrophenyl)piperazine-1-carboxylate (20): Compound 20 was prepared by refluxing anhydrous potassium carbonate (1960 mg (14.20 mmol)), N-Boc-piperazine (2640 mg (14.20 mmol)), and 1-fluoro-2-nitrobenzene (1000 mg (7.20 mmol)) in dry DMSO (40 mL). The product was obtained as an orange oil (2073 mg (95%)), which was used without further purification. NMR data were in accordance with the literature data [18].
tert-Butyl-4-(3-nitrophenyl)piperazine-1-carboxylate (21): Refluxing anhydrous potassium carbonate (1940 mg (14.04 mmol)), N-Boc-piperazine (2609 mg (14.00 mmol)), and 1-fluoro-3-nitrobenzene (988 mg (7.00 mmol)) in dry DMSO (40 mL) for 120 h at 120 °C gave the crude product. It was purified by column chromatography (silica gel, CH/EtAc 4:1), yielding compound 21 as an orange amorphous solid (624 mg (29%)). NMR data were in accordance with the literature data [28].
tert-Butyl-4-(4-nitrophenyl)piperazine-1-carboxylate (22): Compound 22 was prepared by refluxing anhydrous potassium carbonate (1937 mg (14.02 mmol)), N-Boc-piperazine (2689 mg (14.44 mmol)), and 1-fluoro-4-nitrobenzene (988 mg (7.00 mmol)) in dry DMSO (40 mL). The product 22 was obtained as an orange solid (2065 mg, (96%)), which was used without further purification. NMR data were in accordance with the literature data [29].
4-(2-Nitrophenyl)morpholine (23): Refluxing a suspension of anhydrous potassium carbonate (967 mg (7.00 mmol)), morpholine (610 mg (7.00 mmol)), and 1-fluoro-2-nitrobenzene (494 mg (3.50 mmol)) in dry DMSO (20 mL) gave compound 23 as an orange oil (554 mg (76%)), which was used without further purification. NMR data were in accordance with the literature data [30].
1-(4-Nitrophenyl)pyrrolidine (24): Refluxing a suspension of anhydrous potassium carbonate (967 mg (7.00 mmol)), pyrrolidine (498 mg (7.00 mmol)), and 1-fluoro-4-nitrobenzene (494 mg (3.50 mmol)) in dry DMSO (20 mL) yielded compound 24 as an orange amorphous solid (636 mg (95%)), which was used without further purification. NMR data were in accordance with the literature data [31].
1-Methyl-4-(2-nitrophenyl)piperazine (25): Reaction of anhydrous potassium carbonate (989 mg (7.18 mmol), N-methyl-piperazine (701 mg (7.00 mmol)), and 1-fluoro-2-nitrobenzene (494 mg (3.50 mmol)) in dry DMSO (20 mL) gave compound 25 as an orange oil (635 mg (82%)), which was used without further purification. NMR data were in accordance with the literature data [32].
4-(4-Nitrophenyl)morpholine (26): Reaction of anhydrous potassium carbonate (967 mg (7.00 mmol)), morpholine (610 mg (7.00 mmol)), and 1-fluoro-4-nitrobenzene (494 mg (3.50 mmol)) in dry DMSO (20 mL) gave compound 26 as an orange amorphous solid (700 mg (96%)), which was used without further purification. NMR data were in accordance with the literature data [33].

3.2.4. General Procedure for the Preparation of 27 and 28 (Figure 3)

A 60% dispersion of sodium hydride (NaH) in mineral oil was dissolved in dry THF. The respective nitroaniline was added slowly and the reaction mixture was stirred at room temperature for 5 min. Methyl iodide was dissolved in dry THF and added slowly with a syringe via a septum. The reaction mixture was stirred at room temperature overnight. After completion, aqua demin was added. The aqueous suspension was extracted twice with ethyl acetate. The organic phases were combined, dried over anhydrous sodium sulfate, filtered, and the solvent was evaporated in vacuo. The crude products were purified by column chromatography.
N,N-Dimethyl-2-nitroaniline (27): Reaction of NaH (60% dispersion in mineral oil, 370 mg (9.64 mmol)) with 2-nitroaniline (386 mg (2.79 mmol)) and methyl iodide (1976 mg (13.92 mmol)) in dry THF (20 mL) gave the crude product. It was purified by column chromatography (silica gel, CH/EtAc 9:1), yielding compound 27 as an orange amorphous solid (320 mg (69%)). NMR data were in accordance with the literature data [34].
N,N-Dimethyl-4-nitroaniline (28): Reaction of NaH (60% dispersion in mineral oil, 356 mg (9.30 mmol)) with 4-nitroaniline (400 mg (2.90 mmol)) and methyl iodide (1976 mg (13.92 mmol)) in dry THF (20 mL) gave the crude product. It was purified by column chromatography (silica gel, CH/EtAc 9:1), yielding compound 28 as an orange amorphous solid (299 mg (62%)). NMR data were in accordance with the literature data [31].

3.2.5. General Procedure for the Reduction of Nitrobenzenes to Aniline Derivatives 1319, 29, 30, and 65 (Figure 3 and Figure 7)

The respective nitro-derivatives 2028 (2.00 mmol) and 15% (m/m) palladium on activated carbon were dissolved in dry methanol (80–100 mL). Reduction of the nitro group was performed in an atmosphere of hydrogen using a parr apparatus at room temperature overnight. After completion, the reaction mixture was filtered and the solvent evaporated in vacuo. The crude products were either used without purification or purified by column chromatography.
tert-Butyl-4-(2-aminophenyl)piperazine-1-carboxylate (13): Reaction of compound 20 (3667 mg (11.93 mmol)) with PdC (560 mg) in dry methanol (100 mL) in an atmosphere of hydrogen yielded the crude product. It was purified by column chromatography (silica gel, CH2Cl2/MeOH 79:1), giving compound 13 as a light-brown amorphous solid (1754 mg (53%)). NMR data were in accordance with the literature data [18].
2-(4-Methylpiperazin-1-yl)aniline (14): Reaction of compound 25 (637 mg (2.88 mmol)) with PdC (116 mg) in dry methanol (100 mL) in an atmosphere of hydrogen yielded pure compound 14 as a colorless amorphous solid (457 mg (83%)). NMR data were in accordance with the literature data [32].
2-(4-Morpholin-4-yl)aniline (15): Reaction of compound 23 (552 mg (2.65 mmol)) with PdC (106 mg) in dry methanol (100 mL) in an atmosphere of hydrogen yielded pure compound 15 as a brown amorphous solid (331 mg (70%)). NMR data were in accordance with the literature data [35].
4-(Morpholin-4-yl)aniline (16): Reaction of compound 26 (697 mg (3.35 mmol)) with PdC (128 mg) in dry methanol (60 mL) in an atmosphere of hydrogen yielded pure compound 16 as a pale-pink amorphous solid (537 mg (90%)). NMR data were in accordance with the literature data [33].
4-(Pyrrolidin-1-yl)aniline (17): Reaction of compound 24 (637 mg (3.31 mmol)) with PdC (96 mg) in dry methanol (80 mL) in an atmosphere of hydrogen yielded pure compound 17 as a dark-red oil (456 mg (85%)). NMR data were in accordance with the literature data [31].
tert-Butyl-4-(3-aminophenyl)piperazine-1-carboxylate (18): Reaction of compound 21 (809 mg (2.63 mmol)) with PdC (125 mg) in dry methanol (100 mL) gave pure compound 18 as a dark-brown oil (657 mg (90%)). NMR data were in accordance with the literature data [36].
tert-Butyl-4-(4-aminophenyl)piperazine-1-carboxylate (19): Reaction of compound 22 (1982 mg (6.45 mmol)) with PdC (299 mg) in dry methanol (100 mL) gave pure compound 19 as a dark-red oil (1664 mg (93%)). NMR data were in accordance with the literature data [36].
N1,N1-Dimethylbenzene-1,2-diamine (29): Reaction of compound 27 (321 mg (1.93 mmol)) with PdC (60 mg) in dry methanol (100 mL) in an atmosphere of hydrogen yielded pure compound 29 as a dark-red oil (163 mg (62%)). NMR data were in accordance with the literature data [37].
N1,N1-Dimethylbenzene-1,4-diamine (30): Reaction of compound 28 (300 mg (1.81 mmol)) with PdC (49 mg) in dry methanol (80 mL) in an atmosphere of hydrogen yielded pure compound 30 as a pale-brown oil (212 mg (86%)). NMR data were in accordance with the literature data [31].
3-Amino-2-(4-fluorophenoxy)-N-[4-(piperazin-1-yl)phenyl]benzamide (65): Reaction of compound 61 (124 mg (0.28 mmol) with PdC (33 mg) in dry methanol (80 mL) yielded the crude product. It was purified by column chromatography (aluminum oxide basic, CH2Cl2/MeOH 29:1), yielding compound 65 as a pale-brown solid (57 mg (50%)). m.P. 150 °C; Rf = 0.163 (silica gel, CH2Cl2/MeOH 19:1); IR = 3374, 1651, 1517, 1498, 1472, 1321, 1235, 1198, 828, and 766; 1H NMR (CDCl3, 400 MHz) δ = 3.00–3.03 (m, 4H, N(CH2)2), 3.06–3.09 (m, 4H, N(CH2)2), 3.40 (br s, 2H, NH2), 6.83–6.87 (m, 2H, 3″-H, 5″-H), 6.87–6.90 (m, 2H, 2′-H, 6′-H), 6.95–6.99 (m, 3H, 3′-H, 4-H, 5′-H), 7.20 (t, J = 7.9 Hz, 1H, 5-H), 7.32–7.36 (m, 2H, 2″-H, 6″-H), 7.53 (dd, J = 7.8, 1.6 Hz, 1H, 6-H), and 8.69 (br s, 1H, NH); 13C NMR (CDCl3, 100 MHz) δ = 46.10 (N(CH2)2), 50.76 (N(CH2)2), 115.91 (d, J = 8.1 Hz, C-2′, C-6′), 116.58 (C-3″, C-5″), 116.69 (d, J = 22.7 Hz, C-3′, C-5′), 119.64 (C-4), 121.05 (C-6), 126.71 (C-5), 128.91 (C-1), 130.34 (C-1″), 138.04 (C-2), 140.04 (C-3), 148.91 (C-4″), 152.29 (d, J = 2.4 Hz, C-1′), 158.51 (d, J = 242 Hz, C-4′), and 162.65 (C=O); HRMS (ESI+) callculated for C23H24FN4O2+ [M+H+]: 407.1879 found: 407.1872.

3.2.6. General Procedure for the Preparation of Tertiary Amides 4951 (Figure 5)

The benzoic acid derivative 5 (1.00 mmol) and the respective secondary aliphatic amine (1.00 mmol) were dissolved in dry DMF (20 mL) and cooled in an ice bath to 0 °C. Potassium Oxyma-B (1.00 mmol) was added and the reaction mixture was stirred at 0 °C for 5 min. After that, EDC × HCl (1.00 mmol) was added and the reaction mixture was stirred at room temperature for 72 h. After completion, 20 mL of 2N NaOH was added. The aqueous suspension was extracted three times with dichloromethane. The organic phases were combined, washed three times with aqua demin, dried over anhydrous sodium sulfate, and filtered. The solvent was evaporated in vacuo yielding the crude products, which were then purified by column chromatography.
[2-(4-Fluorophenoxy)-3-(trifluoromethyl)phenyl](4-methylpiperazin-1-yl)methanon (49): Reaction of compound 5 (305 mg (1.02 mol)) with N-methylpiperazine (100 mg (1.00 mmol)), potassium Oxyma-B (234 mg (1.05 mmol), and EDC × HCl (2.14 mg (1.12 mmol)) in dry DMF (20 mL) gave the crude product. It was purified by column chromatography (silica gel, CH2Cl2/MeOH 29:1), yielding compound 49 as a yellow oil (153 mg (40%)). Rf = 0.313 (silica gel, CH2Cl2/MeOH 29:1); IR = 3439, 1641, 1502, 1449, 1327, 1295, 1220, 1138, 1001, 823, and 778; 1H NMR (CDCl3, 400 MHz) δ = 2.13–2.43 (m, 4H, 2 NCH2), 2.28 (s, 3H, CH3), 3.15–3.21 (m, 1H, NCH), 3.25 (t, J = 5.1 Hz, 2H, NCH2), 3.67–3.73 (m, 1H, NCH), 6.78–6.82 (m, 2H, 2′-H, 6′-H), 6.92–6.98 (m, 2H, 3′-H, 5′-H), 7.39 (t, J = 7.7, Hz, 1H, 5-H), 7.59 (dd, J = 7.7, 1.6 Hz, 1H, 6-H), and 7.77 (dd, J = 7.7, 1.6 Hz, 1H, 4-H); 13C NMR (CDCl3, 100 MHz) δ = 41.37 (CH3), 46.97 (NCH2), 46.75 (NCH2), 54.29 (NCH2), 54.84 (NCH2), 115.97 (d, J = 23.5 Hz, C-3′, C-5′), 117.44 (d, J = 8.2 Hz, C-2′, C-6′), 122.78 (q, J = 273 Hz, CF3), 124.74 (q, J = 31.5 Hz, C-3), 125.39 (C-5), 128.46 (q, J = 4.9 Hz, C-4), 131.54 (C-1), 133.40 (C-6), 149.28 (q, J = 1.9 Hz, C-2), 153.67 (d, J = 2.5 Hz, C-1′), 158.43 (d, J = 242 Hz, C-4′), and 164.86 (C=O); HRMS (ESI+) calculated for C19H19F4N2O2+ [M+H]+: 383.1383; found: 383.1373.
tert-Butyl-4-[2-(4-fluorophenoxy)-3-(trifluoromethyl)benzoyl]piperazine-1-carboxylate (50). Reaction of compound 5 (242 mg (0.81 mmol)) with N-Boc-piperazine (156 mg (0.84 mmol)), potassium Oxyma-B (187 mg (0.84 mmol)), and EDC × HCl (159 mg (0.83 mmol)) in dry DMF (16 mL) gave the crude product. It was purified by column chromatography (flash silica gel, CH2Cl2/acetonitrile 7:1), yielding compound 50 as a pale yellow solid (87 mg (23%)). m.P. 107 °C; Rf = 0.325 (silica gel, CH2Cl2/acetonitrile 7:1); IR = 3441, 1691, 1649, 1502, 1452, 1367, 1328, 1252, 1219, 1160, 1014, and 776; 1H NMR (CDCl3, 400 MHz) δ = 1.46 (s, 9H, (CH3)3), 3.18–3.26 (m, 4H, 2 NCH2), 3.29–3.36 (m, 2H, NCH2), 3.47–3.63 (m, 2H, NCH2), 6.77–6.80 (m, 2H, 2′-H, 6′-H), 6.92–6.98 (m, 2H, 3′-H, 5′-H), 7.41 (t, J = 7.8 Hz, 1H, 5-H), 7.61 (dd, J = 7.7, 1.6 Hz, 1H, 6-H), and 7.79 (dd, J = 7.9, 1.6 Hz, 1H, 4-H); 13C NMR (CDCl3, 100 MHz) δ = 28.33 ((CH3)3), 41.44 (NCH2), 43.27 ((NCH2)2), 46.69 (NCH2), 80.46 (CMe3), 116.04 (d, J = 23.6 Hz, C-3′, C-5′), 117.19 (d, J = 8.3 Hz, C-2′, C-6′), 122.69 (q, J = 273 Hz, CF3), 124.85 (q, J = 31.7 Hz, C-3), 125.65 (C-5), 128.73 (q, J = 4.9 Hz, C-4), 131.41 (C-1), 133.37 (C-6), 149.04 (br, C-2), 153.69 (d, J = 2.5 Hz, C-1′), 154.37 (N(C=O)O), 158.42 (d, J = 242 Hz, C-4′), and 165.18 ((C=O)N); HRMS (ESI+) calculated for C23H25F4N2O4+ [M+H]+: 469.1750; found: 469.1742; calculated for C19H17F4N2O4+ [M+H-C4H8]+: 413.1119; found: 413.1115.
[2-(4-Fluorophenoxy)-3-(trifluoromethyl)phenyl](morpholin-4-yl)methanon (51): Reaction of compound 5 (54 mg (0.18 mmol)) with morpholine (15 mg (0.17 mmol), potassium Oxyma-B (43 mg (0.19 mmol), and EDC × HCl (33 mg (0.17 mmol)) in dry DMF (5 mL) gave the crude product. It was purified by column chromatography (silica gel, CH2Cl2/acetonitrile 7:1), yielding compound 51 as a colorless solid (17 mg (27%)). m.P. 108 °C; Rf = 0.450 (silica gel, CH2Cl2/acetonitrile 7:1); IR = 3440, 2919, 2850, 1642, 1503, 1451, 1328, 1277, 1249, 1210, 1188, 1158, 1129, 906, 878, 845, 827, 787, and 733; 1H NMR (CDCl3, 400 MHz) δ = 3.19–3.33 (m, 3H, NCH, NCH2), 3.49–3.67 (m, 5H, NCH, O(CH2)2), 6.78–6.83 (m, 2H, 2′-H, 6′-H), 6.94–6.99 (m, 2H, 3′-H, 5′-H), 7.41 (t, J = 7.8 Hz, 1H, 5-H), 7.62 (dd, J = 7.8, 1.7 Hz, 1H, 6-H), and 7.79 (dd, J = 7.8, 1.7 Hz, 1H, 4-H); 13C NMR (CDCl3, 100 MHz) δ = 41.88 (NCH2), 47.20 (NCH2), 66.47 (OCH2), 66.53 (OCH2), 116.06 (d, J = 23.6 Hz, C-3′, C-5′), 117.20 (d, J = 8.3 Hz, C-2′, C-6′), 122.71 (q, J = 273 Hz, CF3), 124.83 (q, J = 31.6 Hz, C-3), 125.63 (C-5), 128.72 (q, J = 4.9 Hz, C-4), 131.25 (C-1), 133.48 (C-6), 149.06 (q, J = 1.9 Hz, C-2), 153.70 (d, J = 2.5 Hz, C-1′), 158.45 (d, J = 242 Hz, C-4′), and 165.08 (C=O); HRMS (ESI+) calculated for C18H16F4NO3+ [M+H]+: 370.1066; found: 370.1059.

3.2.7. General Procedure for the Preparation of Benzamides 3148 and 67 (Figure 4 and Figure 8)

The respective carboxylic acids 512 (1.00 mmol) and amines 1319, 29, and 30 (1.00 mmol) were dissolved in dry dichloromethane (30 mL) and cooled in an ice bath to 0 °C. 2-Chloro-N-methylpyridin-1-ium iodide (1.75 mmol) and diisopropylethylamine (DIPEA) (5.00 mmol) were added. The reaction mixture was stirred at room temperature for 24–28 h. After completion, 50 mL of saturated aq NH4Cl was added. The aqueous and organic phases were separated. The aqueous phase was extracted twice with ethyl acetate. The organic phases were combined, washed with 8% aq NaHCO3 and brine, dried over anhydrous sodium sulfate, and filtered. The solvent was evaporated in vacuo yielding the crude products, which were purified by column chromatography and/or recrystallization.
2-(4-Fluorophenoxy)-N-[2-(4-methylpiperazin-1-yl)phenyl]-3-(trifluoromethyl)benzamide (31): Reaction of the carboxylic acid 5 (219 mg (0.73 mmol)) with the amine 14 (136 mg (0.71 mmol)), 2-chloro-N-methylpyridin-1-ium iodide (333 mg (1.30 mmol)), and DIPEA (452 mg (3.50 mmol)) in dry dichloromethane (30 mL) gave the crude product. It was purified by column chromatography (flash silica gel, CH/EtOH 1:1), yielding compound 31 as a colorless solid (114 mg (34%)). m.P. 192 °C; Rf = 0.338 (silica gel, CH2Cl2/MeOH 39:1); IR = 3287, 2795, 1668, 1591, 1499, 1450, 1370, 1311, 1243, 1218, 1163, 1128, 1009, 916, 836, 775, and 690; 1H NMR (CDCl3, 400 MHz) δ = 2.35 (s, 3H, NCH3), 2.65 (br, 4H, N(CH2)2), 2.91 (t, J = 4.3 Hz, 4H, N(CH2)2), 6.68–6.72 (m, 2H, 2′-H, 6′-H), 6.83–6.87 (m, 2H, 3′-H, 5′-H), 7.06 (td, J = 7.6, 1.7 Hz, 1H, 4″-H), 7.11 (td, J = 7.7, 1.7 Hz, 1H, 5″-H), 7.17 (dd, J = 7.6, 1.7 Hz, 1H, 3″-H), 7.53 (t, J = 7.8 Hz, 1H, 5-H), 7.90 (dd, J = 7.7, 1.7 Hz, 1H, 4-H), 8.23 (dd, J = 7.9, 1.7 Hz, 1H, 6-H), 8.30 (dd, J = 7.9, 1.7 Hz, 1H, 6″-H), and 9.84 (s, 1H, NH); 13C NMR (CDCl3, 100 MHz) δ = 46.07 (NCH3), 52.18 (N(CH2)2), 55.63 (N(CH2)2), 116.23 (d, J = 23.8 Hz, C-3′, C-5′), 116.38 (d, J = 8.4 Hz, C-2′, C-6′), 119.32 (C-6″), 120.58 (C-3″), 122.73 (q, J = 274 Hz, CF3), 124.28 (C-4″), 125.33 (q, J = 31.8 Hz, C-3), 125.56 (C-5″), 126.11 (C-5), 130.25 (q, J = 4.6 Hz, C-4), 132.00 (C-1), 133.27 (C-1″), 135.40 (C-6), 141.17 (C-2″), 149.79 (q, J = 1.8 Hz, C-2), 154.26 (d, J = 2.3 Hz, C-1′), 158.29 (d, J = 242 Hz, C-4′), and 161.55 (C=O); HRMS (EI+) calculated for C25H23F4N3O2: 473.1726; found: 473.1759.
2-(4-Fluorophenoxy)-N-[2-(morpholin-4-yl)phenyl]-3-(trifluoromethyl)benzamide (32): Reaction of the carboxylic acid 5 (225 mg (0.75 mmol)) with the amine 15 (127 mg (0.71 mmol)), 2-chloro-N-methylpyridin-1-ium iodide (333 mg (1.30 mmol)), and DIPEA (452 mg (3.50 mmol)) in dry dichloromethane (30 mL) gave the crude product. It was purified by column chromatography (flash silica gel, CH/EtAc 9:1), yielding compound 32 as a colorless solid (82 mg (25%)). m.P. 147 °C; Rf = 0.175 (silica gel, CH/EtAc 9:1); IR = 3316, 2970, 2826, 1678, 1591, 1521, 1499, 1445, 1324, 1219, 1162, 1121, 936, 824, 785, 764, and 717; 1H NMR (CDCl3, 400 MHz) δ = 2.88 (t, J = 4.3 Hz, 4H, N(CH2)2), 3.92 (t, J = 4.5 Hz, 4H, O(CH2)2), 6.68–6.72 (m, 2H, 2′-H, 6′-H), 6.84–6.88 (m, 2H, 3′-H, 5′-H), 7.10 (td, J = 7.6, 1.8 Hz, 1H, 4″-H), 7.14 (td, J = 7.6, 1.8 Hz, 1H, 5″-H), 7.18 (dd, J = 7.6, 1.8 Hz, 1H, 3″-H), 7.53 (t, J = 7.8 Hz, 1H, 5-H), 7.90 (dd, J = 7.7, 1.7 Hz, 1H, 4-H), 8.23 (dd, J = 7.9, 1.7 Hz, 1H, 6-H), 8.30 (br d, J = 7.8 Hz, 1H, 6″-H), and 9.82 (s, 1H, NH); 13C NMR (CDCl3, 100 MHz) δ =52.69 (N(CH2)2), 67.35 (O(CH2)2), 116.29 (d, J = 23.8 Hz, C-3′, C-5′), 116.44 (d, J = 6.9 Hz, C-2′, C-6′), 119.84 (C-6″), 120.54 (C-3″), 122.69 (q, J = 274 Hz, CF3), 124.51 (C-4″), 125.35 (q, J = 31.5 Hz, C-3), 125.91 (C-5″), 126.18 (C-5), 130.44 (q, J = 5.4 Hz, C-4), 131.90 (C-1), 133.20 (C-1″), 135.35 (C-6), 140.85 (C-2″), 149.82 (q, J = 1.9 Hz, C-2), 154.17 (d, J = 2.3 Hz, C-1′), 158.33 (d, J = 242 Hz, C-4′), and 161.76 (C=O); HRMS (EI+) calculated for C24H20F4N2O3: 460.1410; found: 460.1412.
2-(4-Fluorophenoxy)-N-[4-(morpholin-4-yl)phenyl]-3-(trifluoromethyl)benzamide (33): Reaction of the carboxylic acid 5 (301 mg (1.00 mmol)) with the amine 16 (180 mg (1.01 mmol)), 2-chloro-N-methylpyridin-1-ium iodide (500 mg (1.96 mmol)), and DIPEA (646 mg (5.00 mmol)) in dry dichloromethane (30 mL) gave the crude product. It was purified by column chromatography (flash silica gel, CH2Cl2/acetonitrile 6:1), yielding compound 33 as a colorless solid (115 mg (25%)). m.P. 210 °C; Rf = 0.438 (silica gel, CH2Cl2/acetonitrile 6:1); IR = 3302, 1650, 1597, 1520, 1501, 1452, 1317, 1218, 1124, 925, 824, and 776; 1H NMR (CDCl3, 400 MHz) δ = 3.09–3.12 (m, 4H, N(CH2)2), 3.83–3.86 (m, 4H, O(CH2)2), 6.75–6.79 (m, 2H, 2′-H, 6′-H), 6.82 (d, J = 8.8 Hz, 2H, 3″-H, 5″-H), 6.91–6.96 (m, 2H, 3′-H, 5′-H), 7.24 (d, J = 8.7 Hz, 2H, 2″-H, 6″-H), 7.53 (t, J = 7.8 Hz, 1H, 5-H), 7.88 (dd, J = 7.8, 1.6 Hz, 1H, 4-H), 8.29 (dd, J = 7.9, 1.6 Hz, 1H, 6-H), and 8.36 (s, 1H, NH); 13C NMR (CDCl3, 100 MHz) δ = 49.47 (N(CH2)2), 66.84 (O(CH2)2), 116.05 (C-3″, C-5″), 116.17 (d, J = 8.1 Hz, C-2′, C-6′), 116.53 (d, J = 23.8 Hz, C-3′, C-5′), 121.76 (C-2″, C-6″), 122.69 (q, J = 273 Hz, CF3), 125.18 (q, J = 31.6 Hz, C-3), 126.27 (C-5), 129.64 (C-1″), 130.49 (q, J = 4.9 Hz, C-4), 130.92 (C-1), 135.90 (C-6), 148.73 (C-4″), 149.39 (q, J = 1.9 Hz, C-2), 154.02 (d, J = 2.5 Hz, C-1′), 158.48 (d, J = 242 Hz, C-4′), and 161.40 (C=O); HRMS (ESI+) calculated for C24H21F4N2O3+ [M+H+]: 461.1488; found: 461.1491.
2-(4-Fluorophenoxy)-N-[4-(pyrrolidin-4-yl)phenyl]-3-(trifluoromethyl)benzamide (34): Reaction of the carboxylic acid 5 (307 mg (1.02 mmol)) with the amine 17 (167 mg (1.03 mmol), 2-chloro-N-methylpyridin-1-ium iodide (470 mg (1.84 mmol)), and DIPEA (646 mg (5.00 mmol)) in dry dichloromethane (30 mL) gave the crude product. It was purified by column chromatography (flash silica gel, CH/EtAc 4:1), yielding compound 34 as a pale-yellow solid (86 mg (19%)). m.P. 177 °C; Rf = 0.313 (silica gel, CH2Cl2/EtAc 4:1); IR = 1645, 1522, 1499, 1448, 1372, 1316, 1248, 1212, 1116, 837, 807, 771, and 686; 1H NMR (CDCl3, 400 MHz) δ = 1.96–2.00 (m, 4H, (CH2)2), 3.22–3.26 (m, 4H, N(CH2)2), 6.44–6.47 (m, 2H, 3″-H, 5″-H), 6.75–6.79 (m, 2H, 2′-H, 6′-H), 6.91–6.96 (m, 2H, 3′-H, 5′-H), 7.11–7.15 (m, 2H, 2″-H, 6″-H), 7.51 (t, J = 7.8 Hz, 1H, 5-H), 7.87 (dd, J = 7.8, 1.7 Hz, 1H, 4-H), 8.27 (s, 1H, NH), and 8.29 (dd, J = 7.8, 1.7 Hz, 1H, 6-H); 13C NMR (CDCl3, 100 MHz) δ = 25.44 ((CH2)2), 47.71 (N(CH2)2), 111.55 (C-3″, C-5″), 116.22 (d, J = 8.3 Hz, C-2′, C-6′), 116.47 (d, J = 23.7 Hz, C-3′, C-5′), 122.47 (C-2″, C-6″), 122.76 (q, J = 273 Hz, CF3), 125.09 (q, J = 31.6 Hz, C-3), 125.53 (C-1″), 126.16 (C-5), 130.19 (q, J = 4.9 Hz, C-4), 131.26 (C-1), 135.88 (C-6), 145.85 (C-4″), 149.38 (q, J = 1.8 Hz, C-2), 154.08 (d, J = 2.4 Hz, C-1′), 158.45 (d, J = 242 Hz, C-4′), and 161.26 (C=O); HRMS (ESI+) calculated for C24H21F4N2O2+ [M+H+]: 445.1523; found: 445.1522.
N-[2-(Dimethylamino)phenyl]-2-(4-fluorophenoxy)-3-(trifluoromethyl)benzamide (35): reaction of the carboxylic acid 5 (242 mg (0.84 mmol)) with the amine 29 (116 mg (0.85 mmol)), 2-chloro-N-methylpyridin-1-ium iodide (400 mg (1.57 mmol)), and DIPEA (517 mg (4.00 mmol)) in dry dichloromethane (30 mL) gave the crude product. It was purified by column chromatography (flash silica gel, CH/EtAc 9:1), yielding compound 35 as a colorless solid (144 mg (41%)). m.P. 126 °C; Rf = 0.200 (silica gel, CH/EtAc 9:1); IR = 3322, 1664, 1592, 1502, 1449, 1325, 1213, 1182, 1133, 941, 825, 785, 767, 748, and 688; 1H NMR (CDCl3, 400 MHz) δ = 2.58 (s, 6H, N(CH3)2), 6.73–6.76 (m, 2H, 2′-H, 6′-H), 6.85–6.90 (m, 2H, 3′-H, 5′-H), 7.05 (td, J = 7.4, 1.7 Hz, 1H, 4″-H), 7.08 (td, J = 7.4, 1.8 Hz, 1H, 5″-H), 7.16 (dd, J = 7.3, 2.1 Hz, 1H, 3″-H), 7.52 (t, J = 7.8 Hz, 1H, 5-H), 7.88 (dd, J = 7.8, 1.8 Hz, 1H, 4-H), 8.28 (dd, J = 7.6, 2.0 Hz, 1H, 6″-H), 8.31 (dd, J = 7.8, 1.8 Hz, 1H, 6-H), and 9.79 (s, 1H, NH); 13C NMR (CDCl3, 100 MHz) δ =44.95 (N(CH3)2), 116.09 (d, J = 23.6 Hz, C-3′, C-5′), 116.77 (d, J = 8.2 Hz, C-2′, C-6′), 119.83 (C-6″), 120.02 (C-3″), 122.76 (q, J = 274 Hz, CF3), 124.33 (C-4″), 125.02 (C-5″), 125.06 (q, J = 31.7 Hz, C-3), 125.96 (C-5), 130.57 (q, J = 5.0 Hz, C-4), 131.56 (C-1), 133.23 (C-1″), 135.66 (C-6), 143.24 (C-2″), 150.02 (q, J = 1.8 Hz, C-2), 154.28 (d, J = 1.7 Hz, C-1′), 158.36 (d, J = 242 Hz, C-4′), and 161.68 (C=O); HRMS (EI+) calculated for C22H18F4N2O2: 418.1304; found: 418.1309.
N-[4-(Dimethylamino)phenyl]-2-(4-fluorophenoxy)-3-(trifluoromethyl)benzamide (36): Reaction of the carboxylic acid 5 (435 mg (1.45 mmol)) with the amine 30 (212 mg (1.56 mmol)), 2-chloro-N-methylpyridin-1-ium iodide (737 mg (2.88 mmol)), and DIPEA (1008 mg (7.80 mmol)) in dry dichloromethane (40 mL) gave the crude product. It was purified by column chromatography (flash silica gel, CH2Cl2/MeOH 149:1), yielding compound 36 as a pale-yellow solid (127 mg (21%)). m.P. 160 °C; Rf = 0.313 (silica gel, CH2Cl2/MeOH 149:1); IR = 1645, 1499, 1451, 1316, 1247, 1215, 1186, 1140, 945, 814, 776, and 675; 1H NMR (CDCl3, 400 MHz) δ = 2.91 (s, 6H, N(CH3)2), 6.61–6.66 (m, 2H, 2″-H, 6″-H), 6.75–6.80 (m, 2H, 2′-H, 6′-H), 6.91–6.96 (m, 2H, 3″-H, 5″-H), 7.14–7.18 (m, 2H, 3′-H, 5′-H), 7.51 (t, J = 7.8 Hz, 1H, 5-H), 7.87 (dd, J = 7.8, 1.7 Hz, 1H, 4-H), and 8.27–8.30 (m, 2H, 6-H, NH); 13C NMR (CDCl3, 100 MHz) δ = 40.72 (N(CH3)2), 112.74 (C-3″, C-5″), 116.20 (d, J = 8.3 Hz, C-2′, C-6′), 116.49 (d, J = 23.7 Hz, C-3′, C-5′), 122.17 (C-2″, C-6″), 122.73 (q, J = 273 Hz, CF3), 125.11 (q, J = 31.6 Hz, C-3), 126.19 (C-5), 126.81 (C-1″), 130.29 (q, J = 4.9 Hz, C-4), 131.15 (C-1), 135.89 (C-6), 148.39 (C-4″), 149.38 (q, J = 1.9 Hz, C-2), 154.06 (d, J = 2.5 Hz, C-1′), 158.46 (d, J = 242 Hz, C-4′), and 161.33 (C=O); HRMS (ESI+) calculated for C22H19F4N2O2+ [M+H+]: 419.1377; found: 419.1369.
tert-Butyl-4-{2-[2-(4-fluorophenoxy)-3-(trifluoromethyl)benzamido]phenyl}pipera-zine-1-carboxylate (37 (MMV030666)): Reaction of the carboxylic acid 5 (210 mg (0.70 mmol)) with the amine 13 (194 mg (0.70 mmol)), 2-chloro-N-methylpyridin-1-ium iodide (316 mg (1.24 mmol)), and DIPEA (452 mg (3.50 mmol)) in dry dichloromethane (30 mL) gave the crude product. It was purified by column chromatography (silica gel, CH2Cl2/MeOH 99:1), yielding compound 37 as a pale-yellow amorphous solid (51 mg (13%)). NMR data were in accordance with the literature data [12].
tert-Butyl-4-{3-[2-(4-fluorophenoxy)-3-(trifluoromethyl)benzamido]phenyl}piperazine-1-carboxylate (38): Reaction of the carboxylic acid 5 (329 mg (1.10 mmol)) with the amine 18 (302 mg (1.09 mmol)), 2-chloro-N-methylpyridin-1-ium iodide (486 mg (1.90 mmol)), and DIPEA (698 mg (5.40 mmol)) in dry dichloromethane (35 mL) gave the crude product. It was purified by column chromatography (silica gel, CH/EtAc 2:1), yielding compound 38 as a pale-yellow amorphous solid (177 mg (29%)). NMR data were in accordance with the literature data [12].
tert-Butyl-4-{4-[2-(4-fluorophenoxy)-3-(trifluoromethyl)benzamido]phenyl}piperazine-1-carboxylate (39): Reaction of the carboxylic acid 5 (305 mg (1.02 mmol)) with the amine 19 (280 mg (1.01 mmol)), 2-chloro-N-methylpyridin-1-ium iodide (452 mg (1.77 mmol)), and DIPEA (646 mg (5.00 mmol)) in dry dichloromethane (30 mL) gave the crude product. It was purified by column chromatography (silica gel, CH/EtAc 3:1), yielding compound 39 as a pale-yellow amorphous solid (23 mg (4%)). NMR data were in accordance with the literature data [12].
tert-Butyl-4-{4-[2-phenoxy-3-(trifluoromethyl)benzamido]phenyl}piperazine-1-carboxylate (40): Reaction of the carboxylic acid 9 (264 mg (0.94 mmol)) with the amine 19 (274 mg (0.99 mmol)), 2-chloro-N-methylpyridin-1-ium iodide (438 mg (1.71 mmol)), and DIPEA (607 mg (4.70 mmol)) in dry dichloromethane (30 mL) gave the crude product. It was purified by column chromatography (flash silica gel, CH/EtAc 2:1), yielding compound 40 as a pale-yellow amorphous solid (153 mg (30%)). NMR data were in accordance with the literature data [12].
tert-Butyl-4-{2-[2-(4-acetamidophenoxy)-3-(trifluoromethyl)benzamido]phenyl}piperazine-1-carboxylate (41): Reaction of the carboxylic acid 11 (708 mg (2.09 mmol)) with the amine 13 (579 mg (2.09 mmol)), 2-chloro-N-methylpyridin-1-ium iodide (933 mg (3.65 mmol)), and DIPEA (1349 mg (10.44 mmol)) in dry dichloromethane (100 mL) gave the crude product. It was purified by column chromatography (flash silica gel, CH2Cl2/MeOH 29:1), yielding compound 41 as a colorless amorphous solid (1038 mg (83%)). NMR data were in accordance with the literature data [12].
tert-Butyl-4-{4-[2-(4-fluorophenoxy)benzamido]phenyl}piperazine-1-carboxylate (42): Reaction of the carboxylic acid 6 (240 mg (1.03 mmol)) with the amine 19 (281 mg (1.01.mmol)), 2-chloro-N-methylpyridin-1-ium iodide (449 mg (1.76 mmol)), and DIPEA (646 mg (5.00 mmol)) in dry dichloromethane (30 mL) gave the crude product. It was purified by column chromatography (silica gel, CH/EtAc 2:1), yielding compound 42 as a pale-brown amorphous solid (134 mg (27%)). NMR data were in accordance with the literature data [13].
tert-Butyl-4-{4-[3-fluoro-2-(4-fluorophenoxy)benzamido]phenyl}piperazine-1-carboxylate (43): Reaction of the carboxylic acid 7 (106 mg (0.42 mmol)) with the amine 19 (119 mg (0.43 mmol)), 2-chloro-N-methylpyridin-1-ium iodide (191 mg (0.75 mmol)), and DIPEA (274 mg (2.12 mmol)) in dry dichloromethane (13 mL) gave the crude product. It was purified by column chromatography (silica gel, CH2Cl2/EtAc 9:1), yielding compound 43 as a pale-brown amorphous solid (92 mg (43%)). NMR data were in accordance with the literature data [13].
tert-Butyl-4-{4-[2-(4-fluorophenoxy)-3-nitrobenzamido]phenyl}piperazine-1-carboxylate (44): Reaction of the carboxylic acid 8 (562 mg (2.03 mmol)) with the amine 19 (557 mg (2.01 mmol)), 2-chloro-N-methylpyridin-1-ium iodide (898 mg (3.51 mmol)), and DIPEA (1292 mg (10.00 mmol)) in dry dichloromethane (60 mL) gave the crude product. It was purified by column chromatography (silica gel, CH2Cl2/acetonitrile 12:1), yielding compound 44 as a yellow amorphous solid (421 mg (39%)). NMR data were in accordance with the literature data [13].
tert-Butyl-4-(4-{2-[(4-fluorophenyl)sulfanyl]-3-(trifluoromethyl)benzamido}phenyl)piperazine-1-carboxylate (45): Reaction of the carboxylic acid 12 (212 mg (0.67 mmol)) with the amine 19 (190 mg (0.69 mmol)), 2-chloro-N-methylpyridin-1-ium iodide (300 mg (1.17 mmol)), and DIPEA (433 mg (3.35 mmol)) in dry dichloromethane (20 mL) gave the crude product. It was purified by column chromatography (silica gel, CH2Cl2/MeOH 79:1), yielding compound 45 as a pale-brown amorphous solid (66 mg (17%)). NMR data were in accordance with the literature data [13].
tert-Butyl-4-(2-{2-[(4-fluorophenyl)sulfanyl]-3-(trifluoromethyl)benzamido}phenyl) piperazine-1-carboxylate (46): Reaction of the carboxylic acid 12 (235 mg (0.74 mmol)) with the amine 13 (212 mg (0.76 mmol)), 2-chloro-N-methylpyridin-1-ium iodide (339 mg (1.33 mmol)), and DIPEA (479 mg (3.70 mmol)) in dry dichloromethane (22 mL) for 48 h gave the crude product. It was purified by column chromatography (silica gel, CH/EtAc 4:1), yielding compound 46 as a colorless amorphous solid (189 mg (44%)). NMR data were in accordance with the literature data [13].
tert-Butyl-4-{4-[2-(4-acetamidophenoxy)-3-(trifluoromethyl)benzamido]phenyl} piperazine-1-carboxylate (47): Reaction of the carboxylic acid 11 (339 mg (1.00 mmol)) with the amine 19 (282 mg (1.02 mmol), 2-chloro-N-methylpyridin-1-ium iodide (455 mg (1.78 mmol)), and DIPEA (646 mg (5.00 mmol)) in dry dichloromethane (30 mL) for 48 h gave the crude product. It was purified by column chromatography (silica gel, CH2Cl2/acetonitrile 2:1), yielding compound 47 as a colorless solid (82 mg (14%)). m.P. 233 °C; Rf = 0.238 (silica gel, CH2Cl2/MeOH 29:1); IR = 1654, 1604, 1514, 1448, 1406, 1331, 1247, 1139, 925, 821, and 769; 1H NMR (CDCl3, 400 MHz) δ = 1.48 (s, 9H, (CH3)3), 2.12 (s, 3H, CH3), 3.05–3.08 (m, 4H, N(CH2)2), 3.54–3.57 (m, 4H, N(CH2)2), 6.76 (d, J = 8.4 Hz, 2H, 2′-H, 6′-H), 6.82 (d, J = 8.5 Hz, 2H, 3″-H, 5″-H), 7.09 (s, 1H, NH), 7.24–7.27 (m, 2H, 2″-H, 6″-H), 7.39 (d, J = 8.4 Hz, 2H, 3′-H, 5′-H), 7.52 (t, J = 7.7 Hz, 1H, 5-H), 7.88 (d, J = 7.7 Hz, 1H, 4-H), 8.31 (d, J = 7.7 Hz, 1H, 6-H), and 8.47 (s, 1H, NH); 13C NMR (CDCl3, 100 MHz) δ = 24.43 (CH3), 28.42 ((CH3)3), 43.61 (N(CH2)2), 49.56 (N(CH2)2), 79.92 (CMe3), 115.30 (C-2′, C-6′), 116.99 (C-3″, C-5″), 121.42 (C-3′, C-5′), 121.80 (C-2″, C-6″), 122.70 (q, J = 273 Hz, CF3), 125.27 (q, J = 31.8 Hz, C-3), 126.19 (C-5), 129.91 (C-1″), 130.52 (q, J = 4.8 Hz, C-4), 130.85 (C-1), 133.51 (C-4′), 135.87 (C-6), 148.64 (C-4″), 149.35 (q, J = 1.3 Hz, C-2), 154.42 (C-1′), 154.69 (N(C=O)O), 161.45 (ArC=O), and 168.04 (CH3C=O); HRMS (ESI+) calculated for C31H34F3N4O5+ [M+H+]: 599.2476; found: 599.2464.
tert-Butyl-4-[4-(2-phenoxybenzamido)phenyl]piperazine-1-carboxylate (48): Reaction of compound 10 (291 mg (1.36 mmol)) with the amine 19 (378 mg (1.36 mmol)), 2-chloro-N-methylpyridin-1-ium iodide (608 mg (2.38 mmol)), and DIPEA (879 mg (6.80 mmol)) in dry dichloromethane (40 mL) gave the crude product. It was purified by column chromatography (silica gel, CH/EtAc 2.5:1), yielding compound 48 as a colorless amorphous solid (262 mg (40%)). NMR data were in accordance with the literature data [13].
tert-Butyl-4-{4-[3-(trifluoromethyl)benzamido]phenyl}piperazine-1-carboxylate (67): Reaction of 3-(trifluoromethyl)benzoic acid (194 mg (1.02 mmol)) with the amine 19 (280 mg (1.01 mmol)), 2-chloro-N-methylpyridin-1-ium iodide (447 mg (1.75 mmol)), and DIPEA (646 mg (5.00 mmol)) in dry dichloromethane (30 mL) gave the crude product. It was purified by column chromatography (silica gel, CH/EtAc 2:1), yielding compound 67 as a pale-brown solid (264 mg (58%)). m.P. 172 °C; Rf = 0.213 (silica gel, CH/EtAc 2:1); IR = 1643, 1514, 1315, 1229, 1115, 904, 811, and 695; 1H NMR (CDCl3, 400 MHz) δ = 1.49 (s, 9H, (CH3)3), 3.09–3.12 (m, 4H, N(CH2)2), 3.57–3.60 (m, 4H, N(CH2)2), 6.91–6.95 (m, 2H, 3″-H, 5″-H), 7.51–7.56 (m, 2H, 2″-H, 6″-H), 7.61 (br t, J = 7.8 Hz, 1H, 5-H), 7.79 (br d, J = 7.8 Hz, 1H, 4-H), 7.87 (br s, 1H, NH), 8.05 (br d, J = 7.8 Hz, 1H, 6-H), and 8.12 (br s, 1H, 2-H); 13C NMR (CDCl3, 100 MHz) δ = 28.42 ((CH3)3), 43.51 (N(CH2)2), 49.63 (N(CH2)2), 79.96 (CMe3), 117.13 (C-3″, C-5″), 121.78, 121.89 (C-2″, C-6″), 123.67 (q, J = 272 Hz, CF3), 123.97 (q, J = 3.8 Hz, C-2), 128.22 (q, J = 3.8 Hz, C-4), 129.37 (C-5), 130.18, 130.25 (C-1″), 130.32 (C-6), 131.26 (q, J = 32.9 Hz, C-3), 135.88 (C-1), 148.69, 148.71 (C-4″), 154.70 (N(C=O)O), and 164.10 (C=O). HRMS (ESI+) calculated for C23H27F3N3O3+ [M+H+]: 450.1999; found: 450.1991.

3.2.8. General Procedure for the Preparation of N-aryl-piperazines 5264 and 66 (Figure 6 and Figure 8)

The respective N-Boc-piperazine derivatives 3748 and 67 (1.00 mmol) were dissolved in dry dichloromethane (10 mL) and cooled to 0 °C. A solution of trifluoroacetic acid (6.00–12.00 mmol) in dry dichloromethane (3 mL) was added via a dropping funnel. The reaction mixture was stirred at room temperature for 24–48 h. After that, excess solvent and trifluoroacetic acid were evaporated in vacuo. The residue was suspended in a solution of potassium carbonate (6.00 mmol) in aqua demin (12 mL). The aqueous phase was extracted five times with a 3:1 mixture of dichloromethane and propan-2-ol. The organic phases were combined, dried over anhydrous sodium sulfate, filtered, and the solvent was evaporated in vacuo, yielding the desired N-aryl-piperazines which were either obtained as pure compounds or had to be purified by column chromatography.
[2-(4-Fluorophenoxy)-3-(trifluoromethyl)phenyl](piperazin-1-yl)methanon (52): Reaction of compound 50 (104 mg (0.22 mmol)) with trifluoroacetic acid (753 mg (6.60 mmol)) in dry dichloromethane (10 mL) gave the protonated form of 52. Work-up with an aqueous solution of potassium carbonate (628 mg (4.54 mol)) followed by column chromatography yielded compound 52 as a colorless oil (66 mg (82%)). Rf = 0.288 (silica gel, CH2Cl2//EtOH 39:1); IR = 3441, 1636, 1503, 1449, 1327, 1249, 1220, 1136, 823, and 778; 1H NMR (CDCl3) δ = 2.66–2.86 (m, 4H, 2 NCH2), 3.11–3.17 (m, 1H, NCH), 3.19–3.22 (m, 2H, NCH2), 3.62–3.67 (m, 1H, NCH), 6.79–6.82 (m, 2H, 2′-H, 6′-H), 6.93–6.98 (m, 2H, 3′-H, 5′-H), 7.39 (t, J = 7.8 Hz, 1H, 5-H), 7.60 (dd, J = 7.7, 1.7 Hz, 1H, 6-H), and 7.77 (dd, J = 7.8, 1.7 Hz, 1H, 4-H); 13C NMR (CDCl3) δ = 42.60 (NCH2), 45.54 (NCH2), 46.12 (NCH2), 48.09 (NCH2), 115.97 (d, J = 23.6 Hz, C-3′, C-5′), 117.34 (d, J = 8.2 Hz, C-2′, C-6′), 122.78 (q, J = 273 Hz, CF3), 124.73 (q, J = 31.5 Hz, C-3), 125.47 (C-5), 128.45 (q, J = 4.9 Hz, C-4), 131.67 (C-1), 133.43 (C-6), 149.11 (q, J = 1.9 Hz, C-2), 153.71 (d, J = 2.5 Hz, C-1′), 158.42 (d, J = 241 Hz, C-4′), and 165.00 (C=O); HRMS (ESI+) calculated for C18H17F4N2O2+ [M+H]+: 369.1226; found: 369.1218.
2-(4-Fluorophenoxy)-N-[2-(piperazin-1-yl)phenyl]-3-(trifluoromethyl)benzamide (53): Reaction of compound 37 (398 mg (0.70 mmol)) with trifluoroacetic acid (2390 mg (21 mmol)) in dry dichloromethane (9 mL) gave the protonated product. Work-up with an aqueous solution of potassium carbonate (1940 mg (14 mmol)) and subsequent column chromatography (flash silica gel, CH2Cl2/MeOH 19:1) yielded compound 53 as a colorless solid (64 mg (20%)). m.P. 117 °C; Rf = 0.200 (silica gel, CH2Cl2/MeOH 19:1); IR = 3423, 1676, 1592, 1501, 1448, 1326, 1219, 1138, 780, and 689; 1H NMR (CDCl3, 400 MHz) δ = 2.85 (t, J = 4.7 Hz, 4H, N(CH2)2), 3.09 (t, J = 4.8 Hz, 4H, N(CH2)2), 6.69–6.73 (m, 2H, 2′-H, 6′-H), 6.83–6.87 (m, 2H, 3′-H, 5′-H), 7.06 (td, J = 7.4, 1.5 Hz, 1H, 4″-H), 7.08 (td, J = 7.6, 1.7 Hz, 1H, 5″-H), 7.17 (dd, J = 7.2, 1.7 Hz, 1H, 3″-H), 7.52 (t, J = 7.9 Hz, 1H, 5-H), 7.89 (dd, J = 7.9, 1.7 Hz, 1H, 4-H), 8.21 (dd, J = 7.6, 1.7 Hz, 1H, 6-H), 8.30 (dd, J = 7.9, 1.3 Hz, 1H, 6″-H), and 9.78 (s, 1H, NH); 13C NMR (CDCl3, 100 MHz) δ = 46.63 (N(CH2)2), 53.46 (N(CH2)2), 116.22 (d, J = 23.4 Hz, C-3′, C-5′), 116.40 (d, J = 8.3 Hz, C-2′, C-6′), 119.42 (C-6″), 120.63 (C-3″), 122.71 (q, J = 273 Hz, CF3), 124.32 (C-4″), 125.27 (q, J = 31.6 Hz, C-3), 125.48 (C-5″), 126.08 (C-5), 130.28 (q, J = 4.9 Hz, C-4), 132.00 (C-1), 133.19 (C-1″), 135.32 (C-6), 141.67 (C-2″), 149.81 (q, J = 1.7 Hz, C-2), 154.23 (d, J = 2.7 Hz, C-1′), 158.28 (d, J = 242 Hz, C-4′), and 161.68 (C=O); HRMS (EI+) calculated for C24H21F4N3O2: 459.1570; found: 459.1567.
2-(4-Acetamidophenoxy)-N-[2-(piperazin-1-yl)phenyl]-3-(trifluoromethyl) benzamide (54): Reaction of compound 41 (306 mg (0.51 mmol)) with trifluoroacetic acid (1710 mg (15.00 mmol)) in dry dichloromethane (9 mL) gave the protonated form of 54. Work-up with a solution of potassium carbonate (1394 mg (10.09 mmol)) in aqua demin gave the crude product. It was purified by column chromatography (silica gel, CHCl3/MeOH 19:1), yielding compound 54 as a colorless oil (117 mg (46%)). Rf = 0.200 (silica gel, CH2Cl2/EtAc/MeOH 1:1:1); IR = 3424, 1669, 1506, 1448, 1320, 1233, 1136, and 759; 1H NMR (CDCl3, 400 MHz) δ = 2.08 (s, 3H, CH3), 2.83–2.85 (m, 4H, N(CH2)2), 3.07–3.10 (m, 4H, N(CH2)2), 6.70 (d, J = 9.0 Hz, 2H, 2′-H, 6′-H), 7.03–7.11 (m, 2H, 4″-H, 5″-H), 7.15–7.18 (m, 2H, 3″-H, NH), 7.30 (d, J = 9.0 Hz, 2H, 3′-H, 5′-H), 7.51 (t, J = 7.8 Hz, 1H, 5-H), 7.88 (dd, J = 7.9, 1.7 Hz, 1H, 4-H), 8.23 (dd, J = 7.8, 1.7 Hz, 1H, 6-H), 8.31 (dd, J = 7.5, 2.0 Hz, 1H, 6″-H), and 9.86 (s, 1H, NH); 13C NMR (CDCl3, 100 MHz) δ = 24.36 (CH3), 46.62 (N(CH2)2), 53.47 (N(CH2)2), 115.61 (C-2′, C-6′), 119.51 (C-6″), 120.67 (C-3″), 121.22 (C-3′, C-5′), 122.73 (q, J = 273 Hz, CF3), 124.32 (C-4″), 125.39 (q, J = 31.6 Hz, C-3), 125.43 (C-5″), 126.00 (C-5), 130.30 (q, J = 4.8 Hz, C-4), 132.01 (C-1), 133.21 (C-4′), 133.27 (C-1″), 135.32 (C-6), 141.78 (C-2″), 149.77 (q, J = 1.7 Hz, C-2), 154.71 (C-1′), 161.73 (ArC=O), and 168.02 (CH3C=O); HRMS (ESI+) calculated for C26H26F3N4O3+ [M+H]+: 499.1957; found: 499.1966.
2-[(4-Fluorophenyl)sulfanyl]-N-[2-(piperazin-1-yl)phenyl]-3-(trifluoromethyl)benz-amide (55): Reaction of compound 46 (102 mg (0.18 mmol)) with trifluoroacetic acid (592 mg (5.19 mmol)) in dry dichloromethane (5 mL) gave the protonated form of 55. Work-up with a solution of potassium carbonate (480 mg (3.47 mmol)) in aqua demin yielded pure compound 55 as a yellow oil (78 mg (93%)). Rf = 0.375 (silica gel, CH2Cl2/MeOH 19:1); IR = 1670, 1589, 1511, 1488, 1444, 1306, 1227, 1122, 813, 742, and 685; 1H NMR (CDCl3, 400 MHz) δ = 2.83–2.85 (m, 4H, N(CH2)2), 2.94–2.96 (m, 4H, N(CH2)2), 6.75–6.78 (m, 2H, 3′-H, 5′-H), 7.07–7.09 (m, 2H, 2′-H, 6′-H), 7.11 (t, J = 7.8 Hz, 1H, 4″-H), 7.18 (t, J = 7.8 Hz, 1H, 5″-H), 7.20 (d, J = 7.8 Hz, 1H, 3″-H), 7.58 (t, J = 7.8 Hz, 1H, 5-H), 7.76 (d, J = 7.8 Hz, 1H, 6-H), 7.89 (d, J = 7.8 Hz, 1H, 4-H), 8.33 (d, J = 7.8 Hz, 1H, 6″-H), and 9.10 (s, 1H, NH); 13C NMR (CDCl3, 100 MHz) δ = 46.51 (N(CH2)2), 53.40 (N(CH2)2), 116.13 (d, J = 22.2 Hz, C-3′, C-5′), 119.05 (C-6″), 121.00 (C-3″), 123.29 (q, J = 274 Hz, CF3), 124.27 (C-4″), 125.79 (C-5″), 128.39 (q, J = 5.6 Hz, C-4), 129.32 (C-5), 130.77 (d, J = 3.2 Hz, C-1′), 131.26 (C-2), 132.50 (d, J = 8.2 Hz, C-2′, C-6′), 132.80 (C-6), 133.41 (C-1″), 134.19 (q, J = 29.5 Hz, C-3), 141.43 (C-2″), 144.40 (C-1), 161.96 (d, J = 248 Hz, C-4′), and 164.80 (C=O); HRMS (ESI+) calculated for C24H22F4N3OS+ [M+H+]: 476.1414; found: 476.1404.
2-(4-Fluorophenoxy)-N-[3-(piperazin-1-yl)phenyl]-3-(trifluoromethyl)benzamide (56): Reaction of compound 38 (99 mg (0.22 mmol)) with trifluoroacetic acid (301 mg (2.64 mmol)) in dry dichloromethane (6 mL)) gave the protonated form of 56. Work-up with a solution of potassium carbonate (186 mg (1.35 mmol)) in aqua demin yielded pure compound 56 as a pale-yellow solid (70 mg (69%)). m.P. 153 °C; Rf = 0.200 (silica gel, CH/EtAc 2:1); IR = 3418, 1661, 1607, 1501, 1450, 1310, 1221, 1136, 833, 778, and 688; 1H NMR (CDCl3, 400 MHz) δ = 3.00–3.03 (m, 4H, N(CH2)2), 3.11–3.14 (m, 4H, N(CH2)2), 6.66–6.71 (m, 2H, 4″-H‚ 6″-H), 6.75–6.79 (m, 2H, 2′-H, 6′-H), 6.91–6.95 (m, 2H, 3′-H, 5′-H), 7.12 (t, J = 2.2 Hz, 1H, 2″-H), 7.15 (t, J = 8.1 Hz, 1H, 5″-H), 7.54 (t, J = 7.9 Hz, 1H, 5-H), 7.90 (dd, J = 7.9, 1.7 Hz, 1H, 4-H), 8.29 (dd, J = 7.9, 1.7 Hz, 1H, 6-H), and 8.43 (br s, 1H, NH); 13C NMR (CDCl3, 100 MHz) δ = 45.92 ((NCH2)2), 49.87 ((NCH2)2), 108.01 (C-2″), 111.43 (C-6″), 112.60 (C-4″), 116.18 (d, J = 8.3 Hz, C-2′, C-6′), 116.57 (d, J = 23.8 Hz, C-3′, C-5′), 122.67 (q, J = 273 Hz, CF3), 125.23 (q, J = 31.8 Hz, C-3), 126.33 (C-5), 129.46 (C-5″), 130.61 (q, J = 5.0 Hz, C-4), 130.94 (C-1), 135.90 (C-6), 138.03 (C-1″), 149.40 (q, J = 1.8 Hz, C-2), 152.30 (C-3″), 154.03 (d, J = 2.5 Hz, C-1′), 158.50 (d, J = 242 Hz, C-4′), and 161.57 (C=O); HRMS (ESI+) calculated for C24H22F4N3O2+ [M+H]+: 460.1648; found: 460.1638.
2-(4-Fluorophenoxy)-N-[4-(piperazin-1-yl)phenyl]-3-(trifluoromethyl)benzamide (57): Reaction of compound 39 (602 mg (1.08 mmol)) with trifluoroacetic acid (1477 mg (12.96 mmol)) in dry dichloromethane (15 mL) gave the protonated form of 57. Work-up with a solution of potassium carbonate (909 mg (6.58 mmol)) in aqua demin yielded the crude product. It was purified by column chromatography (silica gel, CH/EtAc 1.5:1) followed by extraction of the organic phases with aq NaHCO3, giving compound 57 as a pale-yellow solid (89 mg (18%)). m.P. 204 °C; Rf = 0.138 (silica gel, EtAc/MeOH 1:1); IR = 3424, 1663, 1595, 1516, 1501, 1449, 1317, 1238, 1214, 1170, 1131, 820, 778, and 687; 1H NMR (CDCl3, 400 MHz) δ = 3.00–3.04 (m, 4H, N(CH2)2), 3.07–3.11 (m, 4H, N(CH2)2), 6.75–6.79 (m, 2H, 2′-H, 6′-H), 6.83 (d, J = 8.9 Hz, 2H, 3″-H, 5″-H), 6.91–6.96 (m, 2H, 3′-H, 5′-H), 7.22 (d, J = 8.9 Hz, 2H, 2″-H, 6″-H), 7.52 (t, J = 7.8 Hz, 1H, 5-H), 7.88 (dd, J = 7.8, 1.7 Hz, 1H, 4-H), 8.29 (dd, J = 7.9, 1.7 Hz, 1H, 6-H), and 8.36 (br s, 1H, NH); 13C NMR (CDCl3, 100 MHz) δ = 46.08 ((NCH2)2), 50.52 ((NCH2)2), 116.17 (d, J = 8.3 Hz, C-2′, C-6′), 116.40 (C-3″, C-5″), 116.52 (d, J = 24.0 Hz, C-3′, C-5′), 121.72 (C-2″, C-6″), 122.70 (q, J = 273 Hz, CF3), 125.15 (q, J = 31.7 Hz, C-3), 126.24 (C-5), 129.33 (C-1″), 130.43 (q, J = 5.0 Hz, C-4), 130.97 (C-1), 135.89 (C-6), 149.29 (C-4″), 149.39 (q, J = 1.9 Hz, C-2), 154.02 (d, J = 2.5 Hz, C-1′), 158.47 (d, J = 242 Hz, C-4′), and 161.37 (C=O); HRMS (ESI+) calculated for C24H22F4N3O2+ [M+H]+: 460.1648; found: 460.1638.
2-Phenoxy-N-[4-(piperazin-1-yl)phenyl]-3-(trifluoromethyl)benzamide (58): Reaction of compound 40 (59 mg (0.11 mmol)) with trifluoroacetic acid (376 mg (3.30 mmol)) in dry dichloromethane (10 mL) for 48 h gave the protonated form of 58. Work-up with a solution of potassium carbonate (365 mg (2.64 mmol)) in aqua demin gave pure compound 58 as a pale-yellow solid (45 mg (92%)). m.P. 149 °C; Rf = 0.163 (silica gel, CH2Cl2/MeOH 19:1); IR = 3418, 1660, 1516, 1449, 1316, 1237, 1137, and 751; 1H NMR (CDCl3, 400 MHz) δ = 3.02–3.05 (m, 4H, N(CH2)2), 3.09–3.12 (m, 4H, N(CH2)2), 6.80–6.83 (m, 4H, 2′-H, 3″-H, 5″-H, 6′-H), 7.03 (t, J = 7.4 Hz, 1H, 4′-H), 7.18–7.27 (m, 4H, 2″-H, 3′-H, 5′-H, 6″-H), 7.52 (t, J = 7.9 Hz, 1H, 5-H), 7.89 (dd, J = 7.9, 1.6 Hz, 1H, 4-H), 8.33 (dd, J = 7.9, 1.6 Hz, 1H, 6-H), and 8.47 (s, 1H, NH); 13C NMR (CDCl3, 100 MHz) δ = 45.81 (N(CH2)2), 50.24 (N(CH2)2), 114.95 (C-2′, C-6′), 116.53 (C-3″, C-5″), 121.88 (C-2″, C-6″), 122.74 (q, J = 273 Hz, CF3), 123.32 (C-4′), 125.27 (q, J = 31.7 Hz, C-3), 126.12 (C-5), 129.67 (C-1″), 130.00 (C-3′, C-5′), 130.48 (q, J = 4.9 Hz, C-4), 130.88 (C-1), 135.95 (C-6), 149.03 (C-4″), 149.31 (q, J = 1.7 Hz, C-2), 158.05 (C-1′), and 161.43 (C=O); HRMS (ESI+) calculated for C24H23F3N3O2+ [M+H]+: 442.1742; found: 442.1745.
2-(4-Fluorophenoxy)-N-[4-(piperazin-1-yl)phenyl]benzamide (59): Reaction of compound 42 (50 mg (0.10 mmol)) with trifluoroacetic acid (279 mg (2.45 mmol)) in dry dichloromethane (13 mL)) gave the protonated form of 59. Work-up with a solution of potassium carbonate (88 mg (0.64 mmol)) in aqua demin yielded pure compound 59 as a pale-brown solid (29 mg (73%)). m.P. 175 °C; Rf = 0.175 (silica gel, CH2Cl2/MeOH 19:1); IR = 3373, 2941, 1650, 1591, 1517, 1501, 1476, 1450, 1320, 1239, 1207, 1128, 1092, 822, 780, and 655; 1H NMR (CDCl3, 400 MHz) δ = 3.01–3.13 (m, 8H, 2 N(CH2)2), 6.83 (dd, J = 8.1, 1.1 Hz, 1H, 3-H), 6.88–6.92 (m, 2H, 3″-H, 5″-H), 7.06–7.13 (m, 4H, 2′-H, 3′-H, 5′-H, 6′-H), 7.25 (td, J = 8.0, 1.1 Hz, 1H, 5-H), 7.41 (td, J = 8.0, 1.7 Hz, 1H, 4-H), 7.48–7.53 (m, 2H, 2″-H, 6″-H), 8.32 (dd, J = 8.0, 1.7 Hz, 1H, 6-H), and 9.40 (s, 1H, NH); 13C NMR (CDCl3, 100 MHz) δ = 46.08 (N(CH2)2), 50.83 (N(CH2)2), 116.70 (C-3″, C-5″), 116.94 (d, J = 23.6 Hz, C-3′, C-5′), 117.86 (C-3), 121.12 (d, J = 8.4 Hz, C-2′, C-6′), 121.69 (C-2″, C-6″), 124.00 (C-5), 124.21 (C-1), 130.64 (C-1″), 132.52 (C-6), 132.92 (C-4), 148.93 (C-4″), 151.13 (d, J = 2.7 Hz, C-1′), 155.42 (C-2), 159.64 (d, J = 244 Hz, C-4′), and 162.31 (C=O); HRMS (ESI+) calculated for C23H23FN3O2+ [M+H]+: 392.1774; found: 392.1775.
3-Fluoro-2-(4-fluorophenoxy)-N-[4-(piperazin-1-yl)phenyl]benzamide (60): Reaction of compound 43 (34 mg (0.07 mmol)) with trifluoroacetic acid (229 mg (2.01 mmol)) in dry dichloromethane (8 mL) gave the protonated form of 60. Work-up with a solution of potassium carbonate (185 mg (1.34 mmol)) yielded compound 60 as a pale yellow solid (24 mg (84%)). m.P. 180 °C; Rf = 0.175 (silica gel, CH2Cl2/MeOH 19:1); IR = 3370, 1654, 1586, 1502, 1461, 1321, 1270, 1236, 1213, 1184, 1129, 880, 823, 795, and 765; 1H NMR (CDCl3, 400 MHz) δ = 3.01–3.04 (m, 4H, N(CH2)2), 3.08–3.11 (m, 4H, N(CH2)2), 6.87 (d, J = 8.9 Hz, 2H, 3″-H, 5″-H), 6.93–6.97 (m, 2H, 2′-H, 6′-H), 6.99–7.04 (m, 2H, 3′-H, 5′-H), 7.29–7.37 (m, 2H, 4-H, 5-H), 7.40 (d, J = 8.9 Hz, 2H, 2″-H, 6″-H), 8.04–8.07 (m, 1H, 6-H), and 9.00 (s, 1H, NH); 13C NMR (CDCl3, 100 MHz) δ = 46.02 (N(CH2)2), 50.63 (N(CH2)2), 116.59 (d, J = 23.6 Hz, C-3′, C-5′), 116.59 (C-3″, C-5″), 116.73 (d, J = 8.3 Hz, C-2′, C-6′), 120.20 (d, J = 18.5 Hz, C-4), 121.54 (C-2″, C-6″), 126.24 (d, J = 7.6 Hz, C-5), 127.09 (d, J = 3.3 Hz, C-6), 129.45 (C-1), 130.05 (C-1″), 140.40 (d, J = 13.1 Hz, C-2), 149.11 (C-4″), 153.00 (t, J = 2.2 Hz, C-1′), 154.99 (d, J = 252 Hz, C-3), 158.85 (d, J = 243 Hz, C-4′), and 161.13 (d, J = 3.2 Hz, C=O); HRMS (ESI+) calculated for C23H22F2N3O2+ [M+H+]: 410.1675; found: 410.1670.
2-(4-Fluorophenoxy)-3-nitro-N-[4-(piperazin-1-yl)phenyl]benzamide (61): Reaction of compound 44 (155 mg (0.29 mmol)) with trifluoroacetic acid (791 mg (6.94 mmol)) in dry dichloromethane (16 mL) gave the protonated form of 61. Work-up with a solution of potassium carbonate (239 mg (1.73 mmol)) in aqua demin yielded pure compound 61 as a yellow solid (81 mg (64%)). m.P. 224 °C; Rf = 0.188 (silica gel, CH2Cl2/MeOH 19:1); IR = 3416, 2828, 1651, 1603, 1528, 1499, 1446, 1358, 1237, 1185, 883, 818, and 773; 1H NMR (DMSO-d6, 400 MHz) δ = 2.80–2.83 (m, 4H, N(CH2)2), 2.96–2.99 (m, 4H, N(CH2)2), 6.83 (d, J = 8.8 Hz, 2H, 3″-H, 5″-H), 6.84–6.88 (m, 2H, 2′-H, 6′-H), 7.07–7.12 (m, 2H, 3′-H, 5′-H), 7.29 (d, J = 8.8 Hz, 2H, 2″-H, 6″-H), 7.61 (t, J = 7.9 Hz, 1H, 5-H), 7.95 (dd, J = 7.7, 1.3 Hz, 1H, 6-H), 8.19 (dd, J = 8.1, 1.3 Hz, 1H, 4-H), and 10.25 (s, 1H, NH); 13C NMR (DMSO-d6, 100 MHz) δ = 45.51 (N(CH2)2), 49.57 (N(CH2)2), 115.35 (C-3″, C-5″), 116.09 (d, J = 23.6 Hz, C-2′, C-6′), 117.35 (d, J = 8.4 Hz, C-3′, C-5′), 120.85 (C-2″, C-6″), 126.34 (C-5), 126.70 (C-4), 130.08 (C-1″), 133.88 (C-1), 134.25 (C-6), 143.43 (C-3), 143.98 (C-2), 148.36 (C-4″), 153.61 (d, J = 2.2 Hz, C-1′), 157.68 (d, J = 239 Hz, C-4′), and 161.61 (C=O); HRMS (ESI+) calculated for C23H22FN4O4+ [M+H]+: 437.1625; found: 437.1627.
2-[(4-Fluorophenyl)sulfanyl]-N-[4-(piperazin-1-yl)phenyl]-3-(trifluoromethyl)benz-amide (62): Reaction of compound 45 (35 mg (0.06 mmol)) with trifluoroacetic acid (213 mg (1.87 mmol)) in dry dichloromethane (5 mL) gave the protonated form of 62. Work-up with a solution of potassium carbonate (175 mg (1.27 mmol)) in aqua demin yielded pure compound 62 as a colorless solid (25 mg (97%)). m.P. 214 °C; Rf = 0.138 (silica gel CH2Cl2/MeOH 19:1); IR = 1646, 1517, 1309, 1217, 1122, 817, and 679; 1H NMR (CDCl3, 400 MHz) δ = 3.03–3.06 (m, 4H, N(CH2)2), 3.11–3.14 (m, 4H, N(CH2)2), 6.82–6.90 (m, 4H, 3′-H, 3″-H, 5′-H, 5″-H), 7.06–7.11 (m, 2H, 2′-H, 6′-H), 7.26–7.29 (m, 2H, 2″-H, 6″-H), 7.58 (t, J = 7.9 Hz, 1H, 5-H), 7.72 (br s, 1H, NH), 7.83 (dd, J = 7.8, 1.4 Hz, 1H, 6-H), and 7.88 (dd, J = 8.0, 1.4 Hz, 1H, 4-H); 13C NMR (CDCl3, 100 MHz) δ = 46.03 (N(CH2)2), 50.55 (N(CH2)2), 116.36 (d, J = 22.3 Hz, C-3′, C-5′), 116.53 (C-3″, C-5″), 120.95 (C-2″, C-6″), 123.26 (q, J = 274 Hz, CF3), 128.50 (q, J = 5.6 Hz, C-4), 129.48 (C-5), 129.80 (C-1″), 130.36 (C-2), 130.92 (d, J = 3.5 Hz, C-1′), 131.68 (d, J = 8.2 Hz, C-2′, C-6′), 133.65 (C-6), 134.28 (q, J = 29.6 Hz, C-3), 143.89 (C-1), 149.06 (C-4″), 161.94 (d, J = 248 Hz, C-4′), and 164.45 (C=O); HRMS (ESI+) calculated for C24H22F4N3OS+ [M+H+]: 476.1414; found: 476.1404.
2-(4-Acetamidophenoxy)-N-[4-(piperazin-1-yl)phenyl]-3-(trifluoromethyl)benzamide (63): Reaction of compound 47 (35 mg (0.06 mmol)) with trifluoroacetic acid (200 mg (1.75 mmol)) in dry dichloromethane (6 mL) gave the protonated form of 63. Work-up with a solution of potassium carbonate (162 mg (1.17 mmol)) in aqua demin yielded pure compound 63 as a pale-yellow solid (23 mg (79%)). m.P. 213 °C; Rf = 0.125 (silica gel, CH2Cl2/MeOH 19:1); IR = 1656, 1503, 1445, 1231, 1126, and 821; 1H NMR (MeOD, 400 MHz) δ = 2.09 (s, 3H, CH3), 2.97–3.00 (m, 4H, N(CH2)2), 3.09–3.12 (m, 4H, N(CH2)2), 6.78 (d, J = 8.5 Hz, 2H, 2′-H, 6′-H), 6.87 (d, J = 8.5 Hz, 2H, 3″-H, 5″-H), 7.16 (d, J = 8.5 Hz, 2H, 2″-H, 6″-H), 7.40 (d, J = 8.5 Hz, 2H, 3′-H, 5′-H), 7.54 (t, J = 7.9 Hz, 1H, 5-H), 7.89 (dd, J = 7.9, 1.6 Hz, 1H, 6-H), and 7.94 (dd, J = 7.9, 1.6 Hz, 1H, 4-H); 13C NMR (MeOD, 100 MHz) δ = 23.96 (CH3), 46.72 (N(CH2)2), 51.56 (N(CH2)2), 117.84 (C-2′, C-6′), 117.87 (C-3″, C-5″), 122.14 (q, J = 272 Hz, CF3), 122.79 (C-3′, C-5′), 123.56 (C-2″, C-6″), 126.04 (q, J = 30.0 Hz, C-3), 126.76 (C-5), 130.55 (q, J = 4.9 Hz, C-4), 131.89 (C-1″), 133.87 (C-1), 135.40 (C-4′), 135.57 (C-6), 150.70 (C-4″), 152.09 (q, J = 1.8 Hz, C-2), 156.21 (C-1′), 165.82 (ArC=O), and 171.64 (CH3C=O); HRMS (ESI+) calculated for C26H26F3N4O3+ [M+H+]: 499.1952; found: 499.1941.
2-Phenoxy-N-[4-(piperazin-1-yl)phenyl]benzamide (64): Reaction of 48 (200 mg (0.42 mmol)) with trifluoroacetic acid (1437 mg (12.60 mmol)) in dry dichloromethane (8 mL) gave the protonated form of 64. Work-up with a solution of potassium carbonate (1160 mg (8.40 mmol)) in aqua demin yielded the crude product. It was purified by column chromatography (aluminum oxide basic, CH2Cl2/EtAc/MeOH 37:2:1), giving compound 64 as a pale-yellow solid (50 mg (31%)). m.P. 173 °C; Rf = 0.275 (silica gel, CH2Cl2//EtAc/MeOH 37:2:1); IR = 3371, 1650, 1593, 1516, 1489, 1449, 1320, 1214, 796, and 751; 1H NMR (CDCl3, 400 MHz) δ = 3.02–3.06 (m, 4H, N(CH2)2), 3.09–3.13 (m, 4H, N(CH2)2), 6.86–6.92 (m, 3H, 3-H, 3″-H, 5″-H), 7.11 (d, J = 7.7 Hz, 2H, 2′-H, 6′-H), 7.20–7.27 (m, 2H, 4′-H, 5-H), 7.38–7.44 (m, 3H, 3′-H, 4-H, 5′-H), 7.48–7.52 (m, 2H, 2″-H, 6″-H), 8.33 (dd, J = 7.9, 1.7 Hz, 1H, 6-H), and 9.49 (s, 1H, NH); 13C NMR (CDCl3, 100 MHz) δ = 46.02 (N(CH2)2), 50.75 (N(CH2)2), 116.72 (C-3″, C-5″), 118.46 (C-3), 119.46 (C-2′, C-6′), 121.65 (C-2″, C-6″), 123.95 (C-5), 124.31 (C-1), 124.83 (C-4′), 130.27 (C-3′, C-5′), 130.77 (C-1″), 132.42 (C-6), 132.86 (C-4), 148.78 (C-4″), 155.13 (C-2), 155.40 (C-1′), and 162.37 (C=O); HRMS (ESI+) calculated for C23H24N3O2+ [M+H+]: 374.1863 found: 374.1858.
N-[4-(Piperazin-1-yl)phenyl]-3-(trifluoromethyl)benzamide (66): Reaction of compound 67 (149 mg (0.33 mmol)) with trifluoroacetic acid (1137 mg (9.97 mmol)) in dry dichloromethane (6 mL) gave the protonated form of 66. Work-up with a solution of potassium carbonate (924 mg (6.69 mmol)) in aqua demin yielded pure compound 66 as a yellow solid (107 mg (92%)). m.P. 147 °C; Rf = 0.138 (silica gel, CH2Cl2/MeOH 19:1); IR = 1641, 1520, 1330, 1256, 1228, 1114, 1071, 938, 905, 811, 790, and 695; 1H NMR (DMSO-d6, 400 MHz) δ = 2.48 (br, 4H, N(CH2)2), 3.01–3.04 (m, 4H, N(CH2)2), 6.93 (d, J = 8.5 Hz, 2H, 3″-H, 5″-H), 7.61 (d, J = 8.5 Hz, 2H, 2″-H, 6″-H), 7.78 (t, J = 7.8 Hz, 1H, 5-H), 7.95 (br d, J = 7.8 Hz, 1H, 4-H), 8.26 (br d, J = 7.8 Hz, 1H, 6-H), 8.29 (br s, 1H, 2-H), and 10.28 (s, 1H, NH); 13C NMR (DMSO-d6, 100 MHz) δ = 45.59 (N(CH2)2), 49.68 (N(CH2)2), 115.34 (C-3″, C-5″), 121.64 (C-2″, C-6″), 124.00 (q, J = 273 Hz, CF3), 124.06 (q, J = 3.9 Hz, C-2), 127.84 (q, J = 3.8 Hz, C-4), 129.06 (q, J = 32.0 Hz, C-3), 129.63 (C-5), 130.38 (C-1″), 131.65 (C-6), 135.95 (C-1), 148.44 (C-4″), and 163.31 (C=O); HRMS (ESI+) calculated for C18H19F3N3O+ [M+H+]: 350.1475 found: 350.1468.

3.3. Biological Tests

3.3.1. In Vitro Microplate Assay Against P. falciparum NF54

The in vitro activity of compounds against erythrocytic stages of the drug-sensitive NF54 strain of P. falciparum, originating from Thailand, was determined using a 3H-hypoxanthine incorporation assay [38,39,40]. Compounds were dissolved in DMSO at 10 mg/mL and further diluted in medium before adding to parasite cultures that were incubated in RPMI 1640 medium without hypoxanthine, supplemented with HEPES (5.94 g/L), NaHCO3 (2.1 g/L), neomycin (100 U/mL), AlbumaxR (5 g/L), and washed human red blood cells A+ at 2.5% hematocrit (0.3% parasitemia). Serial drug dilutions of eleven 3-fold dilution steps covering a range from 100 to 0.002 µg/mL were prepared. The 96-well plates were incubated in a humidified atmosphere at 37 °C, 4% CO2, 3% O2, and 93% N2. After 48 h of incubation time, 0.05 mL of 3H-hypoxanthine (=0.5 µCi) was added to each well of the plate. The plates were incubated for a further 24 h under the same conditions. Plates were then harvested using a BetaplateTM cell harvester (Wallac, Zurich, Switzerland). Red blood cells were transferred onto a glass fiber filter and then washed with distilled aqua demin. The dried filters were inserted into a plastic foil with 10 mL of scintillation fluid and counted in a BetaplateTM liquid scintillation counter (Wallac, Zurich, Switzerland). IC50 values were calculated from sigmoidal inhibition curves by linear regression using Microsoft Excel [41]. Chloroquine (Sigma C6628, St. Louis, MO, USA) was used as control. Results are presented in Table 1.

3.3.2. In Vitro Microplate Assay Against a Selection of ESKAPE Pathogens (Commissioned Work Performed by the Antimicrobial Screening Facility at the University of Warwick, UK)

Minimum inhibitory concentrations (MIC values) were obtained using the microbroth dilution method as stated in the EUCAST guidelines. Tests were conducted on cation adjusted Mueller–Hinton broth (caMHB) or agar (caMHA). These were prepared and stored following the manufacturer’s guidelines. Biological organisms were prepared via growth on either Luria–Bertani (LB) or cation adjusted Mueller–Hinton agar plates. These were grown for 24 h at 37 °C, except for Micrococcus luteus where MICs took longer to grow and as a consequence were read after 48 h once a clear positive control could be observed. For the MIC experiment, the bacteria were prepared using the McFarland 0.5 standard and diluted 1 in 100 or 1 in 10 in caMHB following EUCAST and CSLI guidelines for the preparation of bacteria. Testing of the compounds using the microbroth dilution method took place in 96-well plates. Serial 2-fold dilutions of compounds in caMHB covering a range from 256 µg/mL to 0.25 µg/mL were prepared. Bacteria preparations (McFarland) were added to the compound dilutions, further halving the compound concentrations. The plate was then incubated for 18 h at 37 °C. Controls for the MIC experiments included a bacterial growth (positive) control of bacteria and caMHB only and a media only (negative) control. After incubation, the plates were read, whereby the positive control of bacteria was visible and the negative control was clear of contamination. The last clear well, where there is no growth of bacteria, was counted as the MIC value. For the minimum bactericidal concentrations (MBC values) an aliquot from each test well (including controls) was pipetted onto caMHA plates and incubated at 37 °C for 24 h. The lowest concentration without any bacterial growth was counted as the MBC value. The following pathogens were used: Pseudomonas aeruginosa NCTC 13437, Escherichia coli NCTC 13353, Bacillus subtilis 168a, Serratia marcescens NCTC 9940, Micrococcus luteus ATCC 10240, Staphylococcus aureus JE2 USA 300, Acinetobacter baumannii ATCC 19606, and Klebsiella pneumoniae ATCC 700603. A concentration range of 256 µg/mL to 0.25 µg/mL of a combination of ciprofloxacin and meropenem against E. coli 25922 was used as an antibiotic control to ensure correct dilution and performance of the assay. Results are presented in Table 2.

3.3.3. Resazurin-Based In Vitro Cytotoxicity with L-6 Cells

The cytotoxicity assays were performed using 96-well microtiter plates, each well containing 4000 L-6 cells (a primary cell line derived from rat skeletal myofibroblasts, ATCC CRL-1458TM) in 0.1 mL of RPMI 1640 medium supplemented with 1% glutamine (200 mM) and 10% fetal bovine serum [42,43]. Serial drug dilutions of eleven 3-fold dilution steps covering a range from 100 to 0.002 µg/mL were prepared. After 70 h of incubation, the plates were inspected under an inverted microscope to assure growth of the controls and sterile conditions. Then, 0.01 mL resazurin solution (resazurin, 12.5 mg in 100 mL double-distilled aqua demin) was added to each well and the plates were incubated for another 2 h. The plates were read with a Spectramax Gemini XS microplate fluorometer (Molecular Devices Cooperation, Sunnyvale, CA, USA) using an excitation wavelength of 536 nm and an emission wavelength of 588 nm. IC50 values were calculated by linear regression from the sigmoidal dose–inhibition curves using SoftmaxPro software Version 8.2.1 (Molecular Devices Cooperation, Sunnyvale, CA, USA) [41]. Podophyllotoxin (Sigma P4405) was used as control. Results are presented in Table 1.

3.3.4. Resazurin-Based In Vitro Cytotoxicity with HepG2 Cells (Commissioned Work Performed by Bienta, Kyiv, Ukraine)

The HepG2 cells were washed with DPBS (Dulbecco’s PBS without calcium and magnesium, Gibco, Cat #21600-044) and trypsinized with trypsin solution in DPBS. Trypsinization was stopped by adding culture medium, and after being stained with Trypan Blue (SORS Ukraine) cells were counted using a counting chamber (Hausser Scientific, Cat #3500). The cell suspension was placed in a falcon tube containing plating medium DMEM/High glucose with 1% fetal bovine serum, 100 units/mL penicillin, and 100 µg/mL streptomycin. Cells at a density of 250,000 cells/mL were seeded in sterile 384-well plates (Greiner Bio-One, Cat #781091) in a volume of 5000 cells per well and incubated at 37 °C and 5% CO2. Serial dilutions of ten 3-fold dilution steps of test and reference compounds covering a range from 100.0 to 0.005 µM were added to the wells, followed by incubation at 37 °C and 5% CO2 for 48 h. Then, resazurin (50 µM final concentration) was added and plates were incubated for another 3 h. The plates were read with a SpectraMax microplate reader (Molecular Devices Cooperation, Sunnyvale, CA, USA)) using an extinction wavelength of 555 nm and an emission wavelength of 570 nm. IC50 values were calculated using GraphPad Prism 9.0 charting software [44,45,46]. Doxorubicin (Sigma Aldrich D1515) was used as control. Results are presented in Table 1.

3.3.5. Parallel Artificial Membrane Permeability Assay (PAMPA)

With the high-throughput PAMPA the newly synthesized compounds were tested for their passive permeability through cell membranes without the influence of efflux pumps or transporter proteins. The assay was performed using a Corning® GentestTM Precoated PAMPA Plate System (Corning, Glendale, AZ, USA) with 96-well polystyrene plates. The bottom of the acceptor plate consists of a porous membrane, whereby the pores are lined with a lipid–oil–lipid triple layer. Stock solutions of each test compound at 10 mM were prepared in DMSO or methanol and diluted with phosphate-buffered saline (PBS at a pH of 7.4) to a final concentration of 200 µM. Hydrochlorothiazide (Pe = 0.9 nm/s) and caffeine (Pe = 80 nm/s) were used as standards. The donor plate (bottom plate) was filled with the compound solutions, whereby all compounds were tested in quadruplicates. Each well of the acceptor plate (top plate) was filled with PBS buffer. Donor and acceptor plates were combined and incubated at room temperature for 5 h. After that, the plates were separated and 150 µL of each well of both plates were transferred to 96-well UV plates (Greiner Bio-One). Absorption at different wavelengths covering a range from 200 to 300 nm was measured using a SpectraMax M3 UV plate reader. By measuring serial dilutions of five dilution steps covering a range from 200 to 12.5 µM, calibration curves were prepared for each compound. The plates were analyzed at the wavelength where the R2 value of the calibration curve was higher than 0.99 [47]. Effective permeability, Pe, of each test compound was calculated using the following Equations (1)–(3) and are presented in Table 3:
P e = l n [ 1 c A t c e q u ] S × 1 V D + 1 V A × t
where
Pe—effective permeability;
S—filter area (0.3 cm2);
VD—donor well volume (0.3 mL);
VA—acceptor well volume (0.2 mL);
t—incubation time (18,000 s);
cA(t)—acceptor well compound concentration at time t;
cequ—equilibrium concentration.
c e q u = [ c D t × V D + c A t × V A ] ( V D + V A )
where
VD—donor well volume (0.3 mL);
VA—acceptor well volume (0.2 mL);
cA(t)acceptor well compound concentration at time t;
cD(t)donor well compound concentration at time t.
Recovery of compounds from donor and acceptor wells (mass retention) was calculated as shown in the equation below. Data were only accepted when recovery exceeded 70%. The equation is as follows:
R = 1 [ c D t × V D + c A t × V A ] ( c 0 × V D )
where
R—mass retention (%);
VD—donor well volume (0.3 mL);
VA—acceptor well volume (0.2 mL);
cA(t)—acceptor well compound concentration at time t;
cD(t)—donor well compound concentration at time t;
c0—initial donor well compound concentration (200 µM).

3.4. Determination of In Silico ADME Parameters

Ligand Efficiency (LE)

Ligand efficiency was calculated as shown in the following Equation (4). Results are presented in Table 3 [22]:
L E = 1.37 H A × p I C 50
where
LE—ligand efficiency;
HA—number of heavy atoms;
pIC50—negative logarithm of IC50.

4. Conclusions

This paper deals with the preparation of a series of derivatives of MMV’s Malaria Box compound MMV030666 (37), a 2-(4-fluorophenoxy)-3-(trifluoromethyl)benzanilide with a 2′-(4-Boc-piperazinyl) group. When the anilide moiety was replaced by tertiary amides the antiplasmodial activity dropped heavily. Cleavage of the Boc group led to decreased antiplasmodial activity and increased cytotoxicity, whereas its replacement with a pyrrolidino substituent gave the most promising antiplasmodial compound 34 of the new series, showing good antiplasmodial activity (P. falciparum NF54 IC50 = 1.68 µM) and low cytotoxicity (L-6 IC50 = 185 µM, HepG2 IC50 = 39.8 µM). The 2-phenoxy-N-(4′-piperazinyl)benzanilide 64 exhibited activity against Gram-positive bacteria M. luteus and S. aureus (MIC = 32 µg/mL, MBC = 64 µg/mL). The more toxic 2-[(4-fluorophenyl)sulfanyl]-N-(2′-piperazinyl)-3-(trifluoromethyl)benzanilide 55 showed the highest antiplasmodial properties (PfNF54: IC50 = 0.692 µM) and broad-spectrum antibacterial and bactericidal activity against Gram-negative A. baumannii and E. coli (MIC = 32–64 µg/mL; MBC = 64 µg/mL) as well as Gram-positive M. luteus, B. subtilis, and S. aureus (MIC = 16–64 µg/mL, MBC = 16–64 µg/mL). Furthermore, it exhibits encouraging permeability of 6.51 × 10−6 cm/s and is predicted to moderately inhibit the most important CYP enzymes (Figure 9). Subsequent testing of the most promising compounds against multi-resistant bacterial strains is planned in future.

Supplementary Materials

The following supporting information can be downloaded at: https://www.mdpi.com/article/10.3390/ph18071004/s1, Figures S1–S26: FTIR-, HRMS-, 1H- and 13C-NMR spectra for compounds 3136, 47 and 4967.

Author Contributions

Conceptualization, T.H. and R.W. (Robert Weis); methodology, T.H. and R.W. (Robert Weis); investigation, T.H., S.H., R.W. (Robin Wallner), E.P., E.-M.P.-W., M.C., P.M., and R.W. (Robert Weis); data curation, T.H., S.H., R.W. (Robin Wallner), E.P., E.-M.P.-W., M.C., P.M., and R.W. (Robert Weis); writing—original draft preparation, T.H. and R.W. (Robert Weis); writing—review and editing, T.H. and R.W. (Robert Weis); supervision, R.W. (Robert Weis); project administration: T.H. and R.W. (Robert Weis). All authors have read and agreed to the published version of the manuscript.

Funding

The authors acknowledge Open Access Funding by the University of Graz.

Institutional Review Board Statement

The used human and animal cells were commercially available and were not reprogrammed or transformed. Therefore, the project did not require ethics committee approval.

Informed Consent Statement

Not applicable.

Data Availability Statement

Data is contained within the article and Supplementary Materials.

Acknowledgments

NAWI Graz is acknowledged for supporting Central Lab Plant, Environmental and Microbial Metabolomics.

Conflicts of Interest

The authors declare no conflicts of interest.

Abbreviations

The following abbreviations are used in this manuscript:
AcOHacetic acid
ACTartemisinin-based combination therapy
ADMEabsorption, distribution, metabolism, excretion
Bocbutyloxycarbonyl
brbroad
c0initial donor well compound concentration
cA(t)acceptor well compound concentration at time t
caMHAcation adjusted Mueller–Hinton agar
caMHBcation adjusted Mueller–Hinton broh
cD(t)donor well compound concentration at time t
cequequilibrium concentration
CHcyclohexane
CH2Cl2dichloromethane
CO2carbon dioxide
CQchloroquine
Cucopper
CuIcopper iodide
CYP450cytochrom P450 enzymes
ddoublet
DBU1,8-diazabicyclo[5.4.0]undec-7-ene
dddoublet of doublets
DIPEAdiisopropylethylamine
DMFdimethylformamide
DMSOdimethyl sulfoxide
DOXdoxorubicin
DPBSDulbecco’s phosphate-buffered saline
EDC × HCl1-ethyl-3-(3-dimethylaminopropyl)carbodiimide hydrochloride
EtAcethyl acetate
EtOHethanol
EUCASTEuropean Committee on Antimicrobial Susceptibility Testing
H2hydrogen
H2Oaqua demin
H2SO4sulfuric acid
HAheavy atoms
HClhydrogen chloride
HEPES4-(2-hydroxyethyl)-1-piperazineethanesulfonic acid
HepG2-cellshuman hepatocarcinoma cells
HRMSmass spectrometry
IC50half maximal inhibitory concentration
IRinfrared spectrometry
K2CO3potassium carbonate
KIpotassium iodide
L6-cellsrat skeletal myofibroblasts
LEligand efficiency
mmultiplet
m.p.melting point
MBCminimal bactericidal concentration
MeOHmethanol
MHzmega hertz
MICminimal inhibitory concentration
MMVMedicines for Malaria Venture
NADPHnicotinamide adenine dinucleotide phosphate
NaHsodium hydride
NaHCO3sodium hydrogen carbonate
NaNO2sodium nitrite
NaOHsodium hydroxide
NH3ammonia
NH4Clammonium chloride
NMRnuclear magnetic resonance
O2dioxygen
P.f.Plasmodium falciparum
PAMPAparallel artificial membrane permeability assay
PBSphosphate-buffered saline
PdCpalladium on activated carbon
Pepermeability
pHpotential of hydrogen
pIC50negative logarithm of IC50
PODpodophyllotoxin
qquartet
Rmass retention
RPMI 1640cell culture medium for mammalian cells
rtroom temperature
ssinglet
Sfilter area
S.I.selectivity index
ttriplet
tincubation time
tdtriplet of doublets
THFtetrahydrofuran
TLCthin layer chromatography
TMStetramethyl silane
VAacceptor well volume
VDdonor well volume
WHOWorld Health Organization

References

  1. WHO. WHO Malaria Report 2024; World Health Organization: Geneva, Switzerland, 2024. [Google Scholar]
  2. Nguyen, T.D.; Gao, B.; Amaratunga, C.; Dhorda, M.; Tran, T.N.-A.; White, N.J.; Dondorp, A.M.; Boni, M.F.; Aguas, R. Preventing antimalarial drug resistance with triple-artemisinin based combination therapies. Nature 2023, 14, 4568. [Google Scholar] [CrossRef]
  3. Rosenthal, P.J.; Asua, V.; Bailey, J.A.; Conrad, M.D.; Ishengoma, D.S.; Kamya, M.R.; Rasmussen, C.; Tadesse, F.G.; Uwimana, A.; Fidock, D.A. The emergence of artemisinin partial resistance in Africa: How do we respond? Lancet Infect. Dis. 2024, 24, e591–e600. [Google Scholar] [CrossRef]
  4. Stanisic, D.I.; Good, M.F. Malaria Vaccines: Progress to Date. BioDrugs 2023, 37, 737–756. [Google Scholar] [CrossRef]
  5. El-Moamly, A.; El-Sweify, M. Malaria vaccines: The 60-year journey of hope and final success—Lessons learned and future prospects. Trop. Med. Health 2023, 51, 29. [Google Scholar] [CrossRef] [PubMed]
  6. WHO. WHO Bacterial Priority Pathogen List 2024; World Health Organization: Geneva Switzerland, 2024. [Google Scholar]
  7. Wasan, H.; Singh, D.; Reeta, K.H.; Gupta, Y.K. Landscape of Push Funding in Antibiotic Research: Current Status and Way Forward. Biology 2023, 12, 101. [Google Scholar] [CrossRef] [PubMed]
  8. Van Voorhis, W.C.; Adams, J.H.; Adelfio, R.; Ahyong, V.; Akabas, M.H.; Alano, P.; Alday, A.; Resto, Y.A.; Alsibaee, A.; Alzualde, A.; et al. Open Source Drug Discovery with the Malaria Box Compound Collection for Neglected Diseases and Beyond. PLoS Pathog. 2016, 12, e1005763. [Google Scholar] [CrossRef]
  9. Guiguemde, W.A.; Shelat, A.; Garcia-Bustos, J.; Diagana, T.T.; Gamo, F.-J.; Guy, R.K. Global Phenotypic Screening for Antimalarials. Chem. Biol. 2012, 19, 116–129. [Google Scholar] [CrossRef]
  10. Corey, V.C.; Lukens, A.K.; Istvan, E.S.; Lee, M.; Franco, V.; Magistrado, P.; Coburn-Flynn, O.; Sakata-Kato, T.; Fuchs, O.; Gnädig, N.F.; et al. A broad analysis of resistance development in the malaria parasite. Nat. Commun. 2016, 7, 11901. [Google Scholar] [CrossRef]
  11. Murithi, J.M.; Owen, E.; Istvan, E.S.; Lee, M.; Ottilie, S.; Chibale, K.; Goldberg, D.E.; Winzeler, E.; Llinás, M.; Fidock, D.A.; et al. Combining Stage Specificity and Metabolomic Profiling to Advance Antimalarial Drug Discovery. Cell Chem. Biol. 2019, 27, 158–171.e3. [Google Scholar] [CrossRef]
  12. Hermann, T.; Hochegger, P.; Dolensky, J.; Seebacher, W.; Pferschy-Wenzig, E.-M.; Saf, R.; Kaiser, M.; Mäser, P.; Weis, R. Synthesis and Structure-Activity Relationships of New 2-Phenoxybenzamides with Antiplasmodial Activity. Pharmaceuticals 2021, 14, 1109. [Google Scholar] [CrossRef]
  13. Hermann, T.; Wallner, R.; Dolensky, J.; Seebacher, W.; Pferschy-Wenzig, E.-M.; Kaiser, M.; Mäser, P.; Weis, R. New Derivatives of the Multi-Stage Active Malaria Box Compound MMV030666 and Their Antiplasmodial Potencies. Pharmaceuticals 2022, 15, 1503. [Google Scholar] [CrossRef] [PubMed]
  14. Debets, M.F.; Prins, J.S.; Merkx, D.; van Berkel, S.S.; van Delft, F.L.; van Hest, J.C.M.; Rutjes, F.P.J.T. Synthesis of DIBAC analogues with excellent SPAAC rate constants. Org. Biomol. Chem. 2014, 12, 5031–5037. [Google Scholar] [CrossRef] [PubMed]
  15. Hossian, A.; Jana, R. Carboxyl radical-assisted 1,5-aryl migration through Smiles rearrangement. Org. Biomol. Chem. 2016, 14, 9768–9779. [Google Scholar] [CrossRef] [PubMed]
  16. Neuville, L.; Zhu, J. Solution Phase Combinatorial Synthesis of Arylpiperazines. Tetrahedron Lett. 1997, 38, 4091–4094. [Google Scholar] [CrossRef]
  17. Monaco, A.; Zoete, V.; Alghisi, G.C.; Rüegg, C.; Michelin, O.; Prior, J.; Scapozza, L.; Seimbille, Y. Synthesis and in vitro evaluation of a novel radioligand for αvβ3 integrin receptor imaging: [18F]FPPA-c(RGDfK). Bioorg. Med. Chem. Lett. 2013, 23, 6068–6072. [Google Scholar] [CrossRef]
  18. Zupancic, B. Synthesis of Vortioxetine via (2-(Piperazin-1-yl)phenylaniline Intermediates; LEK Pharmaceuticals, D.D.: Ljubljana, Slovenia, 2015. [Google Scholar]
  19. Ren, Q.; Dai, L.; Zhang, H.; Tan, W.; Xu, Z.; Ye, T. Total Synthesis of Largazole. Synlett 2008, 15, 2379–2383. [Google Scholar] [CrossRef]
  20. Jad, Y.E.; Khattab, S.N.; de la Torre, B.G.; Govender, T.; Kruger, G.H.; El-Faham, A.; Albericio, F. EDC × HCl and Potassium Salts of Oxyma and Oxyma-B as Superior Coupling Cocktails for Peptide Synthesis. Eur. J. Org. Chem. 2015, 2015, 3116–3120. [Google Scholar] [CrossRef]
  21. Zaragoza, F.; Stephensen, H.; Knudsen, S.M.; Pridal, L.; Wulff, B.S.; Rimvall, K. 1-Alkyl-4-acylpiperazines as a New Class of Imidazole-Free Histamine H3 Receptor Antagonists. J. Med. Chem. 2004, 47, 2833–2838. [Google Scholar] [CrossRef]
  22. Hopkins, A.L.; Keserü, G.M.; Leeson, P.D.; Rees, D.C.; Reynolds, C.H. The role of ligand efficiency metrics in drug discovery. Nat. Rev. Drug Discov. 2014, 13, 105–121. [Google Scholar] [CrossRef]
  23. Stork, C.; Embruch, G.; Šícho, M.; de Bruyn Kops, C.; Chen, Y.; Svozil, D.; Kirchmair, J. NERDD: A web portal providing access to in silico tools for drug discovery. Bioinformatics 2020, 36, 1291–1292. [Google Scholar] [CrossRef]
  24. Perez-Medrano, A.; Nelson, D.; Carroll, W.; Kort, M.; Gregg, R.; Voight, E.; Jarvis, M.; Kowaluk, E. Abbott Laboratories The Use of Selective P2x7 Receptor Antagonists; WO2006/86229; Abbott Laboratories; Abbott Park: Chicago, IL, USA, 2006. [Google Scholar]
  25. Huang, H.; Zhang, G.; Chen, Y. Dual Hypervalent Iodine(III) Reagents and Photoredox Catalysis Enable Decarboxylative Ynonylation under Mild Conditions. Angew. Chem. 2015, 127, 7983–7987. [Google Scholar] [CrossRef]
  26. Weis, E.; Johansson, M.J.; Martín-Matute, B. Ir III-Catalyzed Selective ortho-Monoiodination of Benzoic Acids with Unbiased C-H Bonds. Chem. A Eur. J. 2020, 26, 10185–10190. [Google Scholar] [CrossRef] [PubMed]
  27. Gonzalez-Gomez, J.C.; Ramirez, N.P.; Lana Villarreal, T.; Bonete, P. A photoredox-neutral Smiles rearrangement of 2- aryloxybenzoic acids. Org. Biomol. Chem. 2017, 15, 9680–9684. [Google Scholar] [CrossRef] [PubMed]
  28. Wagner, G.; Mocking, T.A.M.; Kooistra, A.J.; Slynko, I.; Ábrányi-Balogh, P.; Keserű, G.M.; Wijtmans, M.; Vischer, H.F.; de Esch, I.J.P.; Leurs, R. Covalent Inhibition of the Histamin H3 Receptor. Molecules 2019, 24, 4541. [Google Scholar] [CrossRef]
  29. Wang, C.; Wang, X.; Li, Y.; Wang, T.; Huang, Z.; Qin, Z.; Yang, S.; Xiang, R.; Fan, Y. Design and optimization of orally spleen tyrosine kinase (SYK) inhibitors for treatment of solid tumor. Bioorg. Chem. 2019, 95, 103547. [Google Scholar] [CrossRef]
  30. Arundhathi, R.; Kumar, D.C.; Sreedhar, B. C-N Bond Formation Catalysed by CuI Bonded to Polyaniline Nanofiber. Eur. J. Org. Chem. 2010, 19, 3621–3630. [Google Scholar] [CrossRef]
  31. Yang, H.; Wang, X.; Wang, C.; Yin, F.; Qu, L.; Shi, C.; Zhao, J.; Li, S.; Ji, L.; Peng, W.; et al. Optimization of WZ4003 as NUAK inhibitors against human colorectal cancer, Eur. J. Med. Chem. 2021, 210, 113080. [Google Scholar] [CrossRef]
  32. Liu, Y.; Mao, F.; Li, X.; Zheng, X.; Wang, M.; Xu, Q.; Zhu, J.; Li, J. Discovery of Potent, Selective Stem Cell Factor Receptor/Platelet Derived Growth Factor Receptor Alpha (c-KIT/PDGRFα) Dual Inhibitor for the Treatment of Imatinib-Resistant Gastrointestinal Stromal Tumors (GISTs). J. Med. Chem. 2017, 60, 5099–5119. [Google Scholar] [CrossRef]
  33. Qin, W.-W.; Sang, C.-Y.; Zhang, L.-L.; Wei, W.; Tian, H.-Z.; Liu, H.-X.; Chen, S.-W.; Hui, L. Synthesis and biological evaluation of 2,4-diaminopyrimidines as selective Aurora A kinase inhibitors, Eur. J. Med. Chem. 2015, 95, 174–184. [Google Scholar] [CrossRef]
  34. Subramanian, P.; Kaliappan, K.P. A Unified Strategy Towards N-Aryl Heterocycles by a One-Pot Copper-Catalyzed Oxidative C-H Amination of Azoles. Eur. J. Org. Chem. 2014, 27, 5986–5997. [Google Scholar] [CrossRef]
  35. Thapa, P.; Palacios, P.M.; Tran, T.; Pierce, B.S.; Foss, F.W. 1,2-Disubstituted Benzimidazoles by the Iron Catalyzed Cross-Dehydrogenative Coupling of Isomeric o-Phenylenediamine Substrates. J. Org. Chem. 2020, 85, 1991–2009. [Google Scholar] [CrossRef] [PubMed]
  36. Player, M.R.; Hunag, H.; Hutta, D.A. 5-OXO-5,8-Dihydro-Pyrido-Pyrimidines as Inhibitors of C-FMS KINASE. US2007/60577, 15 March 2007.
  37. Voth, S.; Hollett, J.W.; McCubbin, J.A. Transition-Metal-Free Access to Primary Anilines from Boronic Acids and a Common +NH2 Equivalent, J. Org. Chem. 2015, 80, 2545–2553. [Google Scholar] [CrossRef] [PubMed]
  38. Desjardins, R.; Canfield, C.J.; Haynes, J.D.; Chulay, J.D. Quantitative assessment of antimalarial activity in vitro by a semiautomated microdilution technique. Antimicrob. Agents Chemother. 1979, 16, 710–718. [Google Scholar] [CrossRef] [PubMed]
  39. Matile, H.; Richard, J.; Pink, L. Plasmodium Falciparum Malaria Parasite Cultures and Their Use in Immunology; Immunological methods; Academic Press: Cambridge, MA, USA, 1990; pp. 221–234. [Google Scholar] [CrossRef]
  40. Ponnudurai, T.; Leeuwenberg, A.D.; Meuwissen, J.H. Chloroquine sensitivity of isolates of Plasmodium falciparum adapted to in vitro culture. Trop. Geogr. Med. 1981, 33, 50–54. [Google Scholar]
  41. Huber, W.; Koella, J.C. A comparison of three methods of estimating EC50 in studies of drug resistance of malaria parasites. Acta Trop. 1993, 55, 257–261. [Google Scholar] [CrossRef]
  42. Page, B.; Page, M.; Noel, C. A New Fluorometric Assay for Cytotoxicity Measurements In-Vitro. Int. J. Oncol. 1993, 3, 473–476. [Google Scholar] [CrossRef]
  43. Ahmed, S.A.; Gogal, R.M.; Walsh, J.E. A new rapid and simple non-radioactive assay to monitor and determine the proliferation of lymphocytes: An alternative to [3H]-thymidine incorporation assay. J. Immunol. Methods 1994, 170, 211–224. [Google Scholar] [CrossRef]
  44. Riss, T.L.; Moravec, R.A.; Niles, A.L.; Duellmann, S.; Benink, H.A.; Worzella, T.J.; Minor, L. Cell Viability Assays//Assay Guidance Manual, Cell Viability Assays—Assay Guidance Manual—NCBI Bookshelf. Available online: https://www.ncbi.nlm.nih.gov/books/NBK574243/?report=reader (accessed on 5 May 2025).
  45. Lancaster, M.V.; Fields, R.D. Antibiotic and Cytotoxic Drug Susceptibility Assays Using Resazurin and Poising Agents. Biotechnol. Adv. 1997, 15. [Google Scholar]
  46. O’Brien, J.; Wilson, I.; Orton, T.; Pognan, F. Investigation of the Alamar Blue (resazurin) fluorescent dye for the assessment of mammalian cell cytotoxicity, Eur. J. Biochem. 2000, 267, 5421–5426. [Google Scholar] [CrossRef]
  47. Chen, X.; Murawski, A.; Patel, K.; Crespi, C.L.; Balimane, P.V. A Novel Design of Artificial Membrane for Improving the PAMPA Model. Pharm. Res. 2008, 25, 1511–1520. [Google Scholar] [CrossRef]
Figure 1. MMV’s benzanilide MMV030666 and its most promising derivates IIV from our latest studies [12,13].
Figure 1. MMV’s benzanilide MMV030666 and its most promising derivates IIV from our latest studies [12,13].
Pharmaceuticals 18 01004 g001
Figure 2. Preparation of compounds 512. Reagents and conditions: (a) (1) H2SO4 30%, dimethyl sulfoxide (DMSO), 0 °C, for 5 min; (2) NaNO2, rt, for 2 h; (3) KI, H2O, rt, for 1 h; (4) KI, H2O, rt, for 1 h; (b) corresponding phenol or benzenethiol, Cu, CuI, 1,8-diazabicyclo[5.4.0]undec-7-ene (DBU), dry pyridine, dry dimethylformamide (DMF), 160 °C, for 2 h (compounds 510) or 48 h (compounds 11 and 12).
Figure 2. Preparation of compounds 512. Reagents and conditions: (a) (1) H2SO4 30%, dimethyl sulfoxide (DMSO), 0 °C, for 5 min; (2) NaNO2, rt, for 2 h; (3) KI, H2O, rt, for 1 h; (4) KI, H2O, rt, for 1 h; (b) corresponding phenol or benzenethiol, Cu, CuI, 1,8-diazabicyclo[5.4.0]undec-7-ene (DBU), dry pyridine, dry dimethylformamide (DMF), 160 °C, for 2 h (compounds 510) or 48 h (compounds 11 and 12).
Pharmaceuticals 18 01004 g002
Figure 3. Preparation of aniline derivatives 1319, 29, and 30. Reagents and conditions: (a) anhydrous K2CO3, corresponding N-heterocycle, dry DMSO, 80 °C, for 72 h (compounds 20 and 2226), or anhydrous K2CO3, N-Boc-piperazine, dry DMSO, 120 °C, for 120 h (compound 21); (b) (1) NaH, dry THF, rt, for 5 min; (2) methyl iodide, dry THF, rt, for 24 h (compounds 27 and 28); (c) 15% (m/m) palladium on activated carbon, H2, dry methanol, rt, for 24 h.
Figure 3. Preparation of aniline derivatives 1319, 29, and 30. Reagents and conditions: (a) anhydrous K2CO3, corresponding N-heterocycle, dry DMSO, 80 °C, for 72 h (compounds 20 and 2226), or anhydrous K2CO3, N-Boc-piperazine, dry DMSO, 120 °C, for 120 h (compound 21); (b) (1) NaH, dry THF, rt, for 5 min; (2) methyl iodide, dry THF, rt, for 24 h (compounds 27 and 28); (c) 15% (m/m) palladium on activated carbon, H2, dry methanol, rt, for 24 h.
Pharmaceuticals 18 01004 g003
Figure 4. Preparation of compounds 3148. Reagents and conditions: (a–c) (1) corresponding aniline derivative, dry dichloromethane, 0 °C, for 5 min; (2) 2-chloro-N-methylpyridin-1-ium iodide, DIPEA, rt, for 24 h (compounds 3145 and 48) or 48 h (compounds 46 and 47).
Figure 4. Preparation of compounds 3148. Reagents and conditions: (a–c) (1) corresponding aniline derivative, dry dichloromethane, 0 °C, for 5 min; (2) 2-chloro-N-methylpyridin-1-ium iodide, DIPEA, rt, for 24 h (compounds 3145 and 48) or 48 h (compounds 46 and 47).
Pharmaceuticals 18 01004 g004
Figure 5. Preparation of compounds 4952. Reagents and conditions: (a) (1) H2SO4 30%, DMSO, 0 °C, for 5 min; (2) NaNO2, rt, for 2 h; (3) KI, H2O, rt, for 1 h; (4) KI, H2O, rt, for 1 h; (b) 4-fluorophenol, Cu, CuI, DBU, dry pyridine, dry DMF, 160 °C, for 2 h; (c) (1) corresponding secondary amine, dry DMF, 0 °C, for 5 min; (2) potassium Oxyma-B, 0 °C, for 5 min; (3) EDC × HCl, rt, for 72 h (compounds 4951) or (1) N-Boc-piperazine, dry DMF, 0 °C, for 5 min; (2) potassium Oxyma-B, 0 °C, for 5 min; (3) EDC × HCl, rt, for 72 h; (4) dry dichloromethane, 0 °C, for 5 min; (5) trifluoroacetic acid, dry dichloromethane, rt, for 24 h (compound 52).
Figure 5. Preparation of compounds 4952. Reagents and conditions: (a) (1) H2SO4 30%, DMSO, 0 °C, for 5 min; (2) NaNO2, rt, for 2 h; (3) KI, H2O, rt, for 1 h; (4) KI, H2O, rt, for 1 h; (b) 4-fluorophenol, Cu, CuI, DBU, dry pyridine, dry DMF, 160 °C, for 2 h; (c) (1) corresponding secondary amine, dry DMF, 0 °C, for 5 min; (2) potassium Oxyma-B, 0 °C, for 5 min; (3) EDC × HCl, rt, for 72 h (compounds 4951) or (1) N-Boc-piperazine, dry DMF, 0 °C, for 5 min; (2) potassium Oxyma-B, 0 °C, for 5 min; (3) EDC × HCl, rt, for 72 h; (4) dry dichloromethane, 0 °C, for 5 min; (5) trifluoroacetic acid, dry dichloromethane, rt, for 24 h (compound 52).
Pharmaceuticals 18 01004 g005
Figure 6. Preparation of compounds 5364. Reagents and conditions: (a) (1) dry dichloromethane, 0 °C, for 5 min; (2) trifluoroacetic acid, dry dichloromethane, rt, for 24 h.
Figure 6. Preparation of compounds 5364. Reagents and conditions: (a) (1) dry dichloromethane, 0 °C, for 5 min; (2) trifluoroacetic acid, dry dichloromethane, rt, for 24 h.
Pharmaceuticals 18 01004 g006aPharmaceuticals 18 01004 g006b
Figure 7. Preparation of compound 65. Reagents and conditions: (a) (1) dry dichloromethane, 0 °C, for 5 min; (2) trifluoroacetic acid, dry dichloromethane, rt, for 24 h; (b) 15% (m/m) palladium on activated carbon, H2, dry methanol, rt, for 24 h.
Figure 7. Preparation of compound 65. Reagents and conditions: (a) (1) dry dichloromethane, 0 °C, for 5 min; (2) trifluoroacetic acid, dry dichloromethane, rt, for 24 h; (b) 15% (m/m) palladium on activated carbon, H2, dry methanol, rt, for 24 h.
Pharmaceuticals 18 01004 g007
Figure 8. Preparation of compound 66. Reagents and conditions: (a) aniline derivative 19, dry dichloromethane, 0 °C, for 5 min; (2) 2-chloro-N-methylpyridin-1-ium iodide, DIPEA, rt, for 24 h; (b) (1) dry dichloromethane, 0 °C, for 5 min; (2) trifluoroacetic acid, dry dichloromethane, rt, for 24 h.
Figure 8. Preparation of compound 66. Reagents and conditions: (a) aniline derivative 19, dry dichloromethane, 0 °C, for 5 min; (2) 2-chloro-N-methylpyridin-1-ium iodide, DIPEA, rt, for 24 h; (b) (1) dry dichloromethane, 0 °C, for 5 min; (2) trifluoroacetic acid, dry dichloromethane, rt, for 24 h.
Pharmaceuticals 18 01004 g008
Figure 9. Highlights of the most promising compound 55.
Figure 9. Highlights of the most promising compound 55.
Pharmaceuticals 18 01004 g009
Table 1. Activities of compounds 3136 and 4960 against P. falciparum NF54 a,b, L-6 cells a, and HepG2 cells, expressed as IC50 (µM). The most promising results are highlighted in green.
Table 1. Activities of compounds 3136 and 4960 against P. falciparum NF54 a,b, L-6 cells a, and HepG2 cells, expressed as IC50 (µM). The most promising results are highlighted in green.
Pharmaceuticals 18 01004 i001
Cp.R1R2R3P.f.NF54
IC50 (µM)
S.I. =
IC50 (Cyt. L-6)/
IC50 (P.f.NF54)
Cytotoxicity
L-6 Cells
IC50 (µM)
S.I. =
IC50 (Cyt. HepG2)/IC50 (P.f.NF54)
Cytotoxicity HepG2 Cells
IC50 (µM)
31CF34F-phenoxy2-(4-Mepiperazinyl)phenyl14.08.59120n.d.n.d.
32CF34F-phenoxy2-morpholinophenyl3.0453.0161>32.9>100
33CF34F-phenoxy4-morpholinophenyl6.8128.71955.1835.3
34CF34F-phenoxy4-pyrrolidinophenyl1.6811018523.739.8
35CF34F-phenoxy2-(dimethylamino)phenyl4.405.7025.1n.d.n.d.
36CF34F-phenoxy4-(dimethylamino)phenyl7.5831.5239>13.2>100
49CF34F-phenoxy4-Mepiperazinyl55.22.48137>1.81>100
50CF34F-phenoxy4-Boc-piperazinyl51.80.8041.40.6835.2
51CF34F-phenoxymorpholino81.11.89154>1.23>100
52CF34F-phenoxypiperazinyl23.25.85136>4.32>100
53CF34F-phenoxy2-piperazinylphenyl1.0413.013.53.944.10
54CF34-Me(CO)NHphenoxy2-piperazinylphenyl11.11.1913.2n.d.n.d.
55CF34F-Ph-S-2-piperazinylphenyl0.6910.27.066.654.60
56CF34F-phenoxy3-piperazinylphenyl5.456.2734.22.3312.7
57CF34F-phenoxy4-piperazinylphenyl3.1511.937.33.3010.4
58CF3phenoxy4-piperazinylphenyl3.816.7925.91.525.80
59H4F-phenoxy4-piperazinylphenyl2.0412.525.419.138.9
60F4F-phenoxy4-piperazinylphenyl4.708.6840.85.5726.2
61NO24F-phenoxy4-piperazinylphenyl4.1010.743.87.2729.8
62CF34F-Ph-S-4-piperazinylphenyl1.667.8813.15.599.30
63CF34-Me(CO)NHphenoxy4-piperazinylphenyl15.77.24113n.d.n.d.
64Hphenoxy4-piperazinylphenyl2.3317.440.65.2812.3
65NH24F-phenoxy4-piperazinylphenyl7.0022.4157>14.3>100
66CF3H4-piperazinylphenyl2.6016.041.54.5511.8
CQ 0.009967290.92
POD 0.012
DOX 0.300
CQ = chloroquine; POD = podophyllotoxin; DOX = doxorubicin; a IC50 values represent the average of four determinations (two determinations in two independent experiments); b, sensitive to chloroquine; n.d., not determined.
Table 2. MIC and MBC data a of compounds 49, 51, 52, 5562, 64, and 65 against 8 of the WHO priority pathogens, expressed as µg/mL. The most promising results are highlighted in green, moderate ones in yellow.
Table 2. MIC and MBC data a of compounds 49, 51, 52, 5562, 64, and 65 against 8 of the WHO priority pathogens, expressed as µg/mL. The most promising results are highlighted in green, moderate ones in yellow.
Cp.P. aeruginosa NCTC 13437E. coli
NCTC 13353
S. marcescens NCTC 9940A. baumannii ATCC 19606K. pneumoniae ATCC 700603B. subtilis
168a
M. luteus ATCC 10240S. aureus
JE2 USA 300
MICMBCMICMBCMICMBCMICMBCMICMBCMICMBCMICMBCMICMBC
49256>256256>256>256>256256>256>256>256256>256256256>256>256
51>256>256>256>256>256>256256256>256>256256>256256128>256>256
52>256>256>256>256>256>256256>256>256>256>256>256256256>256>256
55256>2566464256>2563264>256>256326416166464
56256>256256>256256>256128256>256>2561282566464256256
57>256>256>256>256>256>25612825612812812825664128128128
58>256>256>256>256>256>256256>256256256128256128128128128
59>256>256256>256>256>2562562561281281281286464128128
60>256>256>256>256>256>256>256>256>256>25625625664128>256>256
61>256>256>256>256>256>256256>256256>256256>256128128128>256
62>256>256>256>256>256>256256>256256256128256128128128128
64>256>256>256>256>256>256256>256256>25612825632643264
65>256>256>256>256>256>256>256>256>256>256>256>256>256>256256256
a MIC and MBC values represent the average of two determinations.
Table 3. Key physicochemical properties and passive permeability of compounds 3136 and 4966. HBD, HBA, log p, and log D7.4 as well as ligand efficiency (LE) values were calculated in silico, whilst passive permeability (Pe) was determined experimentally.
Table 3. Key physicochemical properties and passive permeability of compounds 3136 and 4966. HBD, HBA, log p, and log D7.4 as well as ligand efficiency (LE) values were calculated in silico, whilst passive permeability (Pe) was determined experimentally.
CompoundRule of Five for Drug-Likenesslog D7.4 aLE
P.f.NF54 (kcal/mol/HA)
Pe b
(10−6 cm/s)
MW
(g/mol)
HBD aHBA alog p a
31473.46135.545.090.196n.d.
32460.42135.485.480.2296.63
33460.42135.485.480.2153.92
34444.15126.106.100.247n.d.
35418.38125.695.690.245n.d.
36418.38125.695.690.234n.d.
49382.35023.643.560.2168.50
50468.44024.544.540.1781.82
51369.31023.573.570.21610.36
52368.33123.263.260.2448.35
53459.44235.163.700.2436.39
54498.50344.252.800.1890.26
55475.50235.854.390.2566.51
56459.44235.163.680.2197.03
57459.44235.163.670.2286.89
58441.45235.023.530.2324.98
59391.44234.282.790.26914.23
60409.43234.432.930.24311.68
61436.44254.222.730.2318.36
62475.50235.854.360.2404.41
63498.50344.252.760.188n.d.
64373.45234.142.650.2767.67
65406.45343.451.960.2355.76
66349.35233.522.030.3063.91
hydrochlorothiazide 0.09
caffeine 8.00
a HBD, HBA, log p, and log D7.4 values were calculated using the ChemAxon software JChem for Excel 14.9.1500.912 (2014); b, determined by PAMPA; n.d., could not be determined.
Table 4. In silico predicted Cytochrom P450 inhibition of compounds 3136 and 4966 expressed in percent.
Table 4. In silico predicted Cytochrom P450 inhibition of compounds 3136 and 4966 expressed in percent.
CompoundCYP1A2CYP2C9CYP2C19CYP2D6CYP3A4
314351622538
323865641739
332954561640
343354592243
355653652340
365560702642
493142501937
503252581641
512748571536
523450522540
534656563241
544157552838
554158633344
564857532946
573551482542
583551492735
593756592739
603550492441
613449522041
623255582942
633246432137
643651592833
653450492542
663553472531
Disclaimer/Publisher’s Note: The statements, opinions and data contained in all publications are solely those of the individual author(s) and contributor(s) and not of MDPI and/or the editor(s). MDPI and/or the editor(s) disclaim responsibility for any injury to people or property resulting from any ideas, methods, instructions or products referred to in the content.

Share and Cite

MDPI and ACS Style

Hermann, T.; Harzl, S.; Wallner, R.; Prettner, E.; Pferschy-Wenzig, E.-M.; Cal, M.; Mäser, P.; Weis, R. Anti-Infective Properties, Cytotoxicity, and In Silico ADME Parameters of Novel 4′-(Piperazin-1-yl)benzanilides. Pharmaceuticals 2025, 18, 1004. https://doi.org/10.3390/ph18071004

AMA Style

Hermann T, Harzl S, Wallner R, Prettner E, Pferschy-Wenzig E-M, Cal M, Mäser P, Weis R. Anti-Infective Properties, Cytotoxicity, and In Silico ADME Parameters of Novel 4′-(Piperazin-1-yl)benzanilides. Pharmaceuticals. 2025; 18(7):1004. https://doi.org/10.3390/ph18071004

Chicago/Turabian Style

Hermann, Theresa, Sarah Harzl, Robin Wallner, Elke Prettner, Eva-Maria Pferschy-Wenzig, Monica Cal, Pascal Mäser, and Robert Weis. 2025. "Anti-Infective Properties, Cytotoxicity, and In Silico ADME Parameters of Novel 4′-(Piperazin-1-yl)benzanilides" Pharmaceuticals 18, no. 7: 1004. https://doi.org/10.3390/ph18071004

APA Style

Hermann, T., Harzl, S., Wallner, R., Prettner, E., Pferschy-Wenzig, E.-M., Cal, M., Mäser, P., & Weis, R. (2025). Anti-Infective Properties, Cytotoxicity, and In Silico ADME Parameters of Novel 4′-(Piperazin-1-yl)benzanilides. Pharmaceuticals, 18(7), 1004. https://doi.org/10.3390/ph18071004

Note that from the first issue of 2016, this journal uses article numbers instead of page numbers. See further details here.

Article Metrics

Back to TopTop