Development and Evaluation of Hydrogel-Based Sulfasalazine-Loaded Nanosponges for Enhanced Topical Psoriasis Therapy
Abstract
1. Introduction
2. Results and Discussion
2.1. Preparation and Characterization of SLZ-NSs
2.2. In Vitro Release of SLZ
2.3. Cytocompatibility Assay of SLZ-NS4 Using THP1 Cell Line
2.4. SLZ-NS Embedded Hydrogel Fabrication and Its Characterization
2.5. Safety Assessment and Mechanistic Investigation of SLZ-NS Hydrogel
2.6. Assessment of Depth of Skin Permeation of SLZ-NS-HG
2.7. In Vivo Anti-Psoriatic Studies
2.7.1. Mouse Tail Model
Histopathological Assessment
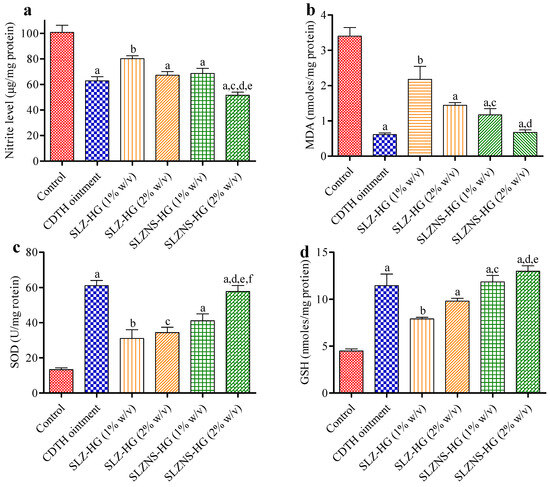
Anti-Psoriatic Enzymes and Oxidative Stress Estimation
2.7.2. IMQ-Induced Psoriasis Mouse Model
2.7.3. Histopathological Evaluation
2.8. Oxidative Stress and Antioxidant Enzyme Estimation
3. Materials and Methods
3.1. Materials
3.2. Animals and Ethical Compliance
3.3. Analysis of Drugs
3.4. Preparation and Characterization of SLZ-NS
3.5. In Vitro SLZ Release
3.6. Cytocompatibility of SLZ-NS Employing THP1 Cell Lines
3.7. SLZ-NS-Embedded Hydrogel Fabrication and Characterization
3.8. Safety Assessment and Mechanistic Investigation of SLZ-NS4 Hydrogel
3.9. In Vivo Anti-Psoriatic Studies of SLZ-NS Hydrogel
3.9.1. Mouse Tail Model
3.9.2. IMQ-Induced Psoriasis Mouse Model
3.10. Oxidative Stress and Antioxidant Enzyme Estimation
3.11. Data Analysis
4. Conclusions
Supplementary Materials
Author Contributions
Funding
Institutional Review Board Statement
Informed Consent Statement
Data Availability Statement
Acknowledgments
Conflicts of Interest
References
- Pradhan, M.; Alexander, A.; Singh, M.R.; Singh, D.; Saraf, S.; Saraf, S.; Ajazuddin. Understanding the prospective of nano-formulations towards the treatment of psoriasis. Biomed. Pharmacother. 2018, 107, 447–463. [Google Scholar] [CrossRef] [PubMed]
- Rapalli, V.K.; Singhvi, G.; Dubey, S.K.; Gupta, G.; Chellappan, D.K.; Dua, K. Emerging landscape in psoriasis management: From topical application to targeting biomolecules. Biomed. Pharmacother. 2018, 106, 707–713. [Google Scholar] [CrossRef] [PubMed]
- Aalemi, A.K.; Dimmock, P.; Parisi, R.; Kontopantelis, E.; Griffiths, C.; Ashcroft, D. P31 Global epidemiology of psoriasis: Global Psoriasis Atlas 2024 update. Br. J. Dermatol. 2024, 191, ljae360.061. [Google Scholar] [CrossRef]
- Chandy, R.J.; Bridgeman, S.G.; Godinich, B.M.; Feldman, S.R. New synthetic pharmacotherapeutic approaches to the treatment of moderate-to-severe plaque psoriasis in adults. Expert Opin. Pharmacother. 2023, 24, 959–967. [Google Scholar] [CrossRef]
- Zhu, B.; Jing, M.; Yu, Q.; Ge, X.; Yuan, F.; Shi, L. Treatments in psoriasis: From standard pharmacotherapy to nanotechnology therapy. Postep. Dermatol. Alergol. 2022, 39, 460–471. [Google Scholar] [CrossRef]
- Bodnár, K.; Fehér, P.; Ujhelyi, Z.; Bácskay, I.; Józsa, L. Recent Approaches for the Topical Treatment of Psoriasis Using Nanoparticles. Pharmaceutics 2024, 16, 449. [Google Scholar] [CrossRef]
- Ahmed, S.S.; Manchanda, Y.; De, A.; Das, S.; Kumar, R. Topical Therapy in Psoriasis. Indian J. Dermatol. 2023, 68, 437–445. [Google Scholar] [CrossRef]
- Ramic, L.; Sator, P. Topical treatment of psoriasis vulgaris. J. Dtsch. Dermatol. Ges. 2023, 21, 631–642. [Google Scholar] [CrossRef]
- Nair, A.; Reddy, C.; Jacob, S. Delivery of a classical antihypertensive agent through the skin by chemical enhancers and iontophoresis. Skin Res. Technol. 2009, 15, 187–194. [Google Scholar] [CrossRef]
- Anroop, B.; Ghosh, B.; Parcha, V.; Khanam, J. Transdermal delivery of atenolol: Effect of prodrugs and iontophoresis. Curr. Drug Deliv. 2009, 6, 280–290. [Google Scholar] [CrossRef]
- Nair, A.; Vyas, H.; Shah, J.; Kumar, A. Effect of permeation enhancers on the iontophoretic transport of metoprolol tartrate and the drug retention in skin. Drug Deliv. 2011, 18, 19–25. [Google Scholar] [CrossRef] [PubMed]
- Thirumal, D.; Sindhu, R.K.; Goyal, S.; Sehgal, A.; Kumar, A.; Babu, M.A.; Kumar, P. Pathology and Treatment of Psoriasis Using Nanoformulations. Biomedicines 2023, 11, 1589. [Google Scholar] [CrossRef] [PubMed]
- Bakshi, H.; Nagpal, M.; Singh, M.; Dhingra, G.A.; Aggarwal, G. Treatment of Psoriasis: A Comprehensive Review of Entire Therapies. Curr. Drug Saf. 2020, 15, 82–104. [Google Scholar] [CrossRef] [PubMed]
- Aziz Hazari, S.; Kaur, H.; Karwasra, R.; Abourehab, M.A.S.; Ali Khan, A.; Kesharwani, P. An overview of topical lipid-based and polymer-based nanocarriers for treatment of psoriasis. Int. J. Pharm. 2023, 638, 122938. [Google Scholar] [CrossRef]
- Ye, W.; Ding, Y.; Li, M.; Tian, Z.; Wang, S.; Liu, Z. Safety assessment of sulfasalazine: A pharmacovigilance study based on FAERS database. Front. Pharmacol. 2024, 15, 1452300. [Google Scholar] [CrossRef]
- Ansari, M.J.; Soltani, A.; Ramezanitaghartapeh, M.; Singla, P.; Aghaei, M.; Fadafan, H.K.; Khales, S.A.; Shariati, M.; Shirzad-Aski, H.; Balakheyli, H. Improved antibacterial activity of sulfasalazine loaded fullerene derivative: Computational and experimental studies. J. Mol. Liq. 2022, 348, 118083. [Google Scholar] [CrossRef]
- Mushtaq, S.; Sarkar, R. Sulfasalazine in dermatology: A lesser explored drug with broad therapeutic potential. Int. J. Womens Dermatol. 2020, 6, 191–198. [Google Scholar] [CrossRef]
- Gupta, R.; Mehra, N.K.; Jain, N.K. Development and characterization of sulfasalazine loaded fucosylated PPI dendrimer for the treatment of cytokine-induced liver damage. Eur. J. Pharm. Biopharm. 2014, 86, 449–458. [Google Scholar] [CrossRef]
- Tsuruta, D. NF-kappaB links keratinocytes and lymphocytes in the pathogenesis of psoriasis. Recent Pat. Inflamm. Allergy Drug Discov. 2009, 3, 40–48. [Google Scholar] [CrossRef]
- Goldminz, A.M.; Au, S.C.; Kim, N.; Gottlieb, A.B.; Lizzul, P.F. NF-κB: An essential transcription factor in psoriasis. J. Dermatol. Sci. 2013, 69, 89–94. [Google Scholar] [CrossRef]
- Liu, T.; Zhang, L.; Joo, D.; Sun, S.C. NF-κB signaling in inflammation. Signal Transduct. Target Ther. 2017, 2, 17023. [Google Scholar] [CrossRef] [PubMed]
- Ogdie, A.; Coates, L.C.; Gladman, D.D. Treatment guidelines in psoriatic arthritis. Rheumatology 2020, 59, i37–i46. [Google Scholar] [CrossRef] [PubMed]
- Sood, S.; Bagit, A.; Maliyar, K.; Sachdeva, M.; Croitoru, D.; Yeung, J. Use of sulfasalazine for psoriasis: An evidence-based review. JAAD Int. 2024, 15, 131–133. [Google Scholar] [CrossRef] [PubMed]
- Mathew, M.; Patil, A. Development and Characterization of Sulfasalazine Cubosomes for Potential Transdermal Drug Delivery. Pharm. Nanotechnol. 2024, 13, 320–327. [Google Scholar] [CrossRef]
- Utzeri, G.; Matias, P.M.C.; Murtinho, D.; Valente, A.J.M. Cyclodextrin-Based Nanosponges: Overview and Opportunities. Front. Chem. 2022, 10, 859406. [Google Scholar] [CrossRef]
- Trotta, F.; Zanetti, M.; Cavalli, R. Cyclodextrin-based nanosponges as drug carriers. Beilstein J. Org. Chem. 2012, 8, 2091–2099. [Google Scholar] [CrossRef]
- Pawar, S.; Shende, P.; Trotta, F. Diversity of β-cyclodextrin-based nanosponges for transformation of actives. Int. J. Pharm. 2019, 565, 333–350. [Google Scholar] [CrossRef]
- Chang, H.-N.; Chen, C.-Y.; Lee, H.-Y. Design and control of diphenyl carbonate synthesis involving single reactive distillation with the feed-splitting arrangement. In Computer Aided Chemical Engineering; Eden, M.R., Ierapetritou, M.G., Towler, G.P., Eds.; Elsevier: Amsterdam, The Netherlands, 2018; Volume 44, pp. 175–180. [Google Scholar]
- Shin, S.H.; Jeong, I.-Y.; Jeong, Y.-S.; Park, S.-J. Solid–liquid equilibria and the physical properties of binary systems of diphenyl carbonate, dimethyl carbonate, methyl phenyl carbonate, anisole, methanol and phenol. Fluid Phase Equilibria 2014, 376, 105–110. [Google Scholar] [CrossRef]
- Singh, S.; Sharma, K.; Sharma, H. Cyclodextrin Nanosponges: A Revolutionary Drug Delivery Strategy. Pharm. Nanotechnol. 2024, 12, 300–313. [Google Scholar] [CrossRef]
- Mullick, P.; Hegde, A.R.; Gopalan, D.; Pandey, A.; Nandakumar, K.; Jain, S.; Kuppusamy, G.; Mutalik, S. Evolving Era of "Sponges": Nanosponges as a Versatile Nanocarrier for the Effective Skin Delivery of Drugs. Curr. Pharm. Design 2022, 28, 1885–1896. [Google Scholar] [CrossRef]
- Pushpalatha, R.; Selvamuthukumar, S.; Kilimozhi, D. Cyclodextrin nanosponge based hydrogel for the transdermal co-delivery of curcumin and resveratrol: Development, optimization, in vitro and ex vivo evaluation. J. Drug Deliv. Sci. Technol. 2019, 52, 55–64. [Google Scholar] [CrossRef]
- Hani, U.; Paramshetti, S.; Angolkar, M.; Alqathanin, W.K.; Alghaseb, R.S.; Al Asmari, S.M.; Alsaab, A.A.; Fatima, F.; Osmani, R.A.M.; Gundawar, R. Cyclodextrin-Nanosponge-Loaded Cyclo-Oxygenase-2 Inhibitor-Based Topical Gel for Treatment of Psoriatic Arthritis: Formulation Design, Development, and In vitro Evaluations. Pharmaceuticals 2024, 17, 1598. [Google Scholar] [CrossRef] [PubMed]
- Li, S.; Long, M.; Li, J.; Zhang, Y.; Feng, N.; Zhang, Z. Improved topical delivery of curcumin by hydrogels formed by composite carriers integrated with cyclodextrin metal-organic frameworks and cyclodextrin nanosponges. Int. J. Pharm. X 2024, 8, 100310. [Google Scholar] [CrossRef] [PubMed]
- Gorain, B.; Al-Dhubiab, B.E.; Nair, A.; Kesharwani, P.; Pandey, M.; Choudhury, H. Multivesicular Liposome: A Lipid-based Drug Delivery System for Efficient Drug Delivery. Curr. Pharm. Design 2021, 27, 4404–4415. [Google Scholar]
- Pisetsky, D.S. Pathogenesis of autoimmune disease. Nat. Rev. Nephrol. 2023, 19, 509–524. [Google Scholar] [CrossRef]
- Wu, M.; Dai, C.; Zeng, F. Cellular Mechanisms of Psoriasis Pathogenesis: A Systemic Review. Clin. Cosmet. Investig. Dermatol. 2023, 16, 2503–2515. [Google Scholar] [CrossRef]
- Nițescu, D.A.; Păunescu, H.; Ștefan, A.E.; Coman, L.; Georgescu, C.C.; Stoian, A.C.; Gologan, D.; Fulga, I.; Coman, O.A. Anti-Psoriasis Effect of Diclofenac and Celecoxib Using the Tail Model for Psoriasis. Pharmaceutics 2022, 14, 885. [Google Scholar] [CrossRef]
- Doppalapudi, S.; Jain, A.; Chopra, D.K.; Khan, W. Psoralen loaded liposomal nanocarriers for improved skin penetration and efficacy of topical PUVA in psoriasis. Eur. J. Pharm. Sci. 2017, 96, 515–529. [Google Scholar] [CrossRef]
- Kaur, A.; Katiyar, S.S.; Kushwah, V.; Jain, S. Nanoemulsion loaded gel for topical co-delivery of clobitasol propionate and calcipotriol in psoriasis. Nanomed. Nanotechnol. Biol. Med. 2017, 13, 1473–1482. [Google Scholar] [CrossRef]
- Kumar, S.; Rao, R. Novel dithranol loaded cyclodextrin nanosponges for augmentation of solubility, photostability and cytocompatibility. Curr. Nanosci. 2021, 17, 747–761. [Google Scholar] [CrossRef]
- Tahir, M.N.; Cao, Y.; Azzouz, A.; Roy, R. Host-guest chemistry of the sulfasalazine-β-cyclodextrin inclusion complex. Tetrahedron 2021, 85, 132052. [Google Scholar] [CrossRef]
- Kuranov, D.Y.; Chibunova, E.S.; Volkova, T.V.; Terekhova, I.V. Complex Formation of Cyclodextrins with Sulfasalazine in Buffer Solutions. Russ. J. Gen. Chem. 2018, 88, 1325–1330. [Google Scholar] [CrossRef]
- Rao, M.; Bajaj, A.; Khole, I.; Munjapara, G.; Trotta, F. In vitro and in vivo evaluation of β-cyclodextrin-based nanosponges of telmisartan. J. Incl. Phenom. Macrocycl. Chem. 2013, 77, 135–145. [Google Scholar] [CrossRef]
- Shah, H.; Nair, A.B.; Shah, J.; Jacob, S.; Bharadia, P.; Haroun, M. Proniosomal vesicles as an effective strategy to optimize naproxen transdermal delivery. J. Drug Deliv. Sci. Technol. 2021, 63, 102479. [Google Scholar] [CrossRef]
- Mashaqbeh, H.; Obaidat, R.; Al-Shar’i, N. Evaluation and Characterization of Curcumin-β-Cyclodextrin and Cyclodextrin-Based Nanosponge Inclusion Complexation. Polymers 2021, 13, 4073. [Google Scholar] [CrossRef]
- Pyrak, B.; Rogacka-Pyrak, K.; Gubica, T.; Szeleszczuk, Ł. Exploring Cyclodextrin-Based Nanosponges as Drug Delivery Systems: Understanding the Physicochemical Factors Influencing Drug Loading and Release Kinetics. Int. J. Mol. Sci. 2024, 25, 3527. [Google Scholar] [CrossRef]
- Costa, M.A.B.d.; Villa, A.L.V.; Barros, R.d.C.d.S.A.; Ricci-Júnior, E.; Santos, E.P.d. Development, characterization and evaluation of the dissolution profile of sulfasalazine suspensions. Braz. J. Pharm. Sci. 2015, 51, 449–459. [Google Scholar] [CrossRef]
- Rezaei, A.; Varshosaz, J.; Fesharaki, M.; Farhang, A.; Jafari, S.M. Improving the solubility and in vitro cytotoxicity (anticancer activity) of ferulic acid by loading it into cyclodextrin nanosponges. Int. J. Nanomed. 2019, 14, 4589–4599. [Google Scholar] [CrossRef]
- Shende, P.K.; Gaud, R.S.; Bakal, R.; Patil, D. Effect of inclusion complexation of meloxicam with β-cyclodextrin- and β-cyclodextrin-based nanosponges on solubility, in vitro release and stability studies. Colloids Surf. B Biointerfaces 2015, 136, 105–110. [Google Scholar] [CrossRef]
- Mendes, C.; Meirelles, G.C.; Barp, C.G.; Assreuy, J.; Silva, M.A.S.; Ponchel, G. Cyclodextrin based nanosponge of norfloxacin: Intestinal permeation enhancement and improved antibacterial activity. Carbohydr Polym 2018, 195, 586–592. [Google Scholar] [CrossRef]
- Coviello, V.; Sartini, S.; Quattrini, L.; Baraldi, C.; Gamberini, M.C.; La Motta, C. Cyclodextrin-based nanosponges for the targeted delivery of the anti-restenotic agent DB103: A novel opportunity for the local therapy of vessels wall subjected to percutaneous intervention. Eur. J. Pharm. Biopharm. 2017, 117, 276–285. [Google Scholar] [CrossRef] [PubMed]
- Swaminathan, S.; Pastero, L.; Serpe, L.; Trotta, F.; Vavia, P.; Aquilano, D.; Trotta, M.; Zara, G.; Cavalli, R. Cyclodextrin-based nanosponges encapsulating camptothecin: Physicochemical characterization, stability and cytotoxicity. Eur. J. Pharm. Biopharm. 2010, 74, 193–201. [Google Scholar] [CrossRef] [PubMed]
- Kumar, S.; Trotta, F.; Rao, R. Encapsulation of Babchi Oil in Cyclodextrin-Based Nanosponges: Physicochemical Characterization, Photodegradation, and In Vitro Cytotoxicity Studies. Pharmaceutics 2018, 10, 169. [Google Scholar] [CrossRef] [PubMed]
- Higuchi, T. Mechanism of sustained-action medication. Theoretical analysis of rate of release of solid drugs dispersed in solid matrices. J. Pharm. Sci. 1963, 52, 1145–1149. [Google Scholar] [CrossRef]
- Qu, H.; Bhattacharyya, S.; Ducheyne, P. 4.428. Sol-gel processed oxide controlled release materials. In Comprehensive Biomaterials; Elsevier: Oxford, UK, 2011; pp. 475–495. [Google Scholar]
- Heikal, L.A.; El-Habashy, S.E.; El-Kamel, A.H.; Mehanna, R.A.; Ashour, A.A. Bioactive baicalin rhamno-nanocapsules as phytotherapeutic platform for treatment of acute myeloid leukemia. Int. J. Pharm. 2024, 661, 124458. [Google Scholar] [CrossRef]
- Alfehaid, F.S.; Nair, A.B.; Shah, H.; Aldhubiab, B.; Shah, J.; Mewada, V.; Jacob, S.; Attimarad, M. Enhanced transdermal delivery of apremilast loaded ethosomes: Optimization, characterization and in vivo evaluation. J. Drug Deliv. Sci. Technol. 2024, 91, 105211. [Google Scholar] [CrossRef]
- Alnaim, A.S.; Shah, H.; Nair, A.B.; Mewada, V.; Patel, S.; Jacob, S.; Aldhubiab, B.; Morsy, M.A.; Almuqbil, R.M.; Shinu, P.; et al. Qbd-Based Approach to Optimize Niosomal Gel of Levosulpiride for Transdermal Drug Delivery. Gels 2023, 9, 213. [Google Scholar] [CrossRef]
- Chakraborty, T.; Gupta, S.; Nair, A.; Chauhan, S.; Saini, V. Wound healing potential of insulin-loaded nanoemulsion with Aloe vera gel in diabetic rats. J. Drug Deliv. Sci. Technol. 2021, 64, 102601. [Google Scholar] [CrossRef]
- Sivadasan, D.; Venkatesan, K.; Mohamed, J.M.M.; Alqahtani, S.; Asiri, Y.I.; Faisal, M.M.; Ibrahim, A.E.; Alrashdi, Y.B.A.; Menaa, F.; Deeb, S.E. Application of 32 factorial design for loratadine-loaded nanosponge in topical gel formulation: Comprehensive in-vitro and ex vivo evaluations. Sci. Rep. 2024, 14, 6361. [Google Scholar] [CrossRef]
- Labib, G.S.; Farid, R.M. Osteogenic effect of locally applied Pentoxyfilline gel: In vitro and in vivo evaluations. Drug Deliv. 2015, 22, 1094–1102. [Google Scholar] [CrossRef]
- Batheja, P.; Sheihet, L.; Kohn, J.; Singer, A.J.; Michniak-Kohn, B. Topical drug delivery by a polymeric nanosphere gel: Formulation optimization and in vitro and in vivo skin distribution studies. J. Control. Release. 2011, 149, 159–167. [Google Scholar] [CrossRef] [PubMed]
- Devi, N.; Kumar, S.; Prasad, M.; Rao, R. Eudragit RS100 based microsponges for dermal delivery of clobetasol propionate in psoriasis management. J. Drug Deliv. Sci. Technol. 2020, 55, 101347. [Google Scholar] [CrossRef]
- Salah, S.; Awad, G.E.A.; Makhlouf, A.I.A. Improved vaginal retention and enhanced antifungal activity of miconazole microsponges gel: Formulation development and in vivo therapeutic efficacy in rats. Eur. J. Pharm. Sci. 2018, 114, 255–266. [Google Scholar] [CrossRef] [PubMed]
- Amarji, B.; Garg, N.K.; Singh, B.; Katare, O.P. Microemulsions mediated effective delivery of methotrexate hydrogel: More than a tour de force in psoriasis therapeutics. J. Drug Target. 2016, 24, 147–160. [Google Scholar] [CrossRef]
- Batista-Duharte, A.; Jorge Murillo, G.; Pérez, U.M.; Tur, E.N.; Portuondo, D.F.; Martínez, B.T.; Téllez-Martínez, D.; Betancourt, J.E.; Pérez, O. The Hen’s Egg Test on Chorioallantoic Membrane: An Alternative Assay for the Assessment of the Irritating Effect of Vaccine Adjuvants. Int. J. Toxicol. 2016, 35, 627–633. [Google Scholar] [CrossRef]
- Gomes, G.; Benin, T.; Ferreira, E.; Palma, V.; Alves, A.; Visioli, F.; Longhi, M.; Pohlmann, A.; Guterres, S.; Frank, L. Pectin-based hydrogel loaded with polymeric nanocapsules for the cutaneous delivery of tacrolimus: A targeted approach for the treatment of psoriasis. J. Drug Deliv. Sci. Technol. 2024, 99, 105967. [Google Scholar] [CrossRef]
- Iqbal, B.; Ali, J.; Baboota, S. Recent advances and development in epidermal and dermal drug deposition enhancement technology. Int. J. Dermatol. 2018, 57, 646–660. [Google Scholar] [CrossRef]
- Sharma, G.; Devi, N.; Thakur, K.; Jain, A.; Katare, O.P. Lanolin-based organogel of salicylic acid: Evidences of better dermatokinetic profile in imiquimod-induced keratolytic therapy in BALB/c mice model. Drug Deliv. Transl. Res. 2018, 8, 398–413. [Google Scholar] [CrossRef]
- Kumar, S.; Singh, K.K.; Rao, R. Enhanced anti-psoriatic efficacy and regulation of oxidative stress of a novel topical babchi oil (Psoralea corylifolia) cyclodextrin-based nanogel in a mouse tail model. J. Microencapsul. 2019, 36, 140–155. [Google Scholar] [CrossRef]
- Kumar, S.; Prasad, M.; Rao, R. Topical delivery of clobetasol propionate loaded nanosponge hydrogel for effective treatment of psoriasis: Formulation, physicochemical characterization, antipsoriatic potential and biochemical estimation. Mater. Sci. Engineering. C Mater. Biol. Appl. 2021, 119, 111605. [Google Scholar] [CrossRef]
- Lu, Y.; Tonissen, K.F.; Di Trapani, G. Modulating skin colour: Role of the thioredoxin and glutathione systems in regulating melanogenesis. Biosci. Rep. 2021, 41, BSR20210427. [Google Scholar] [CrossRef] [PubMed]
- Panonnummal, R.; Jayakumar, R.; Sabitha, M. Comparative anti-psoriatic efficacy studies of clobetasol loaded chitin nanogel and marketed cream. Eur. J. Pharm. Sci. 2017, 96, 193–206. [Google Scholar] [CrossRef] [PubMed]
- Couto, D.; Ribeiro, D.; Freitas, M.; Gomes, A.; Lima, J.L.; Fernandes, E. Scavenging of reactive oxygen and nitrogen species by the prodrug sulfasalazine and its metabolites 5-aminosalicylic acid and sulfapyridine. Redox Rep. Commun. Free. Radic. Res. 2010, 15, 259–267. [Google Scholar] [CrossRef] [PubMed]
- Panonnummal, R.; Sabitha, M. Anti-psoriatic and toxicity evaluation of methotrexate loaded chitin nanogel in imiquimod induced mice model. Int. J. Biol. Macromol. 2018, 110, 245–258. [Google Scholar] [CrossRef]
- Wan, T.; Pan, W.; Long, Y.; Yu, K.; Liu, S.; Ruan, W.; Pan, J.; Qin, M.; Wu, C.; Xu, Y. Effects of nanoparticles with hydrotropic nicotinamide on tacrolimus: Permeability through psoriatic skin and antipsoriatic and antiproliferative activities. Int. J. Nanomed. 2017, 12, 1485–1497. [Google Scholar] [CrossRef]
- Sun, Y.; Zhang, J.; Huo, R.; Zhai, T.; Li, H.; Wu, P.; Zhu, X.; Zhou, Z.; Shen, B.; Li, N. Paeoniflorin inhibits skin lesions in imiquimod-induced psoriasis-like mice by downregulating inflammation. Int. Immunopharmacol. 2015, 24, 392–399. [Google Scholar] [CrossRef]
- Ueyama, A.; Yamamoto, M.; Tsujii, K.; Furue, Y.; Imura, C.; Shichijo, M.; Yasui, K. Mechanism of pathogenesis of imiquimod-induced skin inflammation in the mouse: A role for interferon-alpha in dendritic cell activation by imiquimod. J. Dermatol. 2014, 41, 135–143. [Google Scholar] [CrossRef]
- Aldawsari, M.F.; Alhowail, A.H.; Anwer, M.K.; Ahmed, M.M. Development of Diphenyl carbonate-Crosslinked Cyclodextrin Based Nanosponges for Oral Delivery of Baricitinib: Formulation, Characterization and Pharmacokinetic Studies. Int. J. Nanomed. 2023, 18, 2239–2251. [Google Scholar] [CrossRef]
- Alwattar, J.K.; Mehanna, M.M. Engineered Porous Beta-Cyclodextrin-Loaded Raloxifene Framework with Potential Anticancer Activity: Physicochemical Characterization, Drug Release, and Cytotoxicity Studies. Int. J. Nanomed. 2024, 19, 11561–11576. [Google Scholar] [CrossRef]
- Anroop, B.; Ghosh, B.; Parcha, V.; Kumar, A.; Khanam, J. Synthesis and comparative skin permeability of atenolol and propranolol esters. J. Drug Deliv. Sci. Technol. 2005, 15, 187–190. [Google Scholar] [CrossRef]
- Nair, A.; Gupta, R.; Vasanti, S. In vitro controlled release of alfuzosin hydrochloride using HPMC-based matrix tablets and its comparison with marketed product. Pharm. Dev. Technol. 2007, 12, 621–625. [Google Scholar] [CrossRef] [PubMed]
- Savian, A.L.; Rodrigues, D.; Weber, J.; Ribeiro, R.F.; Motta, M.H.; Schaffazick, S.R.; Adams, A.I.; de Andrade, D.F.; Beck, R.C.; da Silva, C.B. Dithranol-loaded lipid-core nanocapsules improve the photostability and reduce the in vitro irritation potential of this drug. Mater. Sci. Engineering. C Mater. Biol. Appl. 2015, 46, 69–76. [Google Scholar] [CrossRef] [PubMed]
- Campos, P.; Benevenuto, C.G.; Calixto, L.S.; Melo, M.O.; Pereira, K.C.; Gaspar, L.R. Spirulina, Palmaria Palmata, Cichorium Intybus, and Medicago Sativa extracts in cosmetic formulations: An integrated approach of in vitro toxicity and in vivo acceptability studies. Cutan. Ocul. Toxicol. 2019, 38, 322–329. [Google Scholar] [CrossRef] [PubMed]
- Kumar, S.; Jangir, B.L.; Rao, R. Cyclodextrin nanosponge based babchi oil hydrogel ameliorates imiquimod-induced psoriasis in swiss mice: An impact on safety and efficacy. Micro Nanosyst. 2022, 14, 226–242. [Google Scholar] [CrossRef]
- Wadhwa, S.; Singh, B.; Sharma, G.; Raza, K.; Katare, O.P. Liposomal fusidic acid as a potential delivery system: A new paradigm in the treatment of chronic plaque psoriasis. Drug Deliv. 2016, 23, 1204–1213. [Google Scholar] [CrossRef]
- Agrawal, U.; Mehra, N.K.; Gupta, U.; Jain, N.K. Hyperbranched dendritic nano-carriers for topical delivery of dithranol. J. Drug Target. 2013, 21, 497–506. [Google Scholar] [CrossRef]
- Kumar, S.; Jangir, B.L.; Rao, R. A new perspective for psoriasis: Dithranol nanosponge loaded hydrogels. Appl. Surf. Sci. Adv. 2022, 12, 100347. [Google Scholar] [CrossRef]
- Kumar, S.; Jangir, B.L.; Rao, R. Novel Topical Clobetasol Propionate Nanosponges Loaded Hydrogel For Psoriasis: Irritation Evaluation, Mechanistic Insights, in Vivo Appraisal and Biochemical Investigations. BioNanoScience 2024, 14, 1–18. [Google Scholar] [CrossRef]
- Sunkari, S.; Thatikonda, S.; Pooladanda, V.; Challa, V.S.; Godugu, C. Protective effects of ambroxol in psoriasis like skin inflammation: Exploration of possible mechanisms. Int. Immunopharmacol. 2019, 71, 301–312. [Google Scholar] [CrossRef]
- Gornall, A.G.; Bardawill, C.J.; David, M.M. Determination of serum proteins by means of the biuret reaction. J. Biol. Chem. 1949, 177, 751–766. [Google Scholar] [CrossRef]
- Wills, E.D. Mechanisms of lipid peroxide formation in animal tissues. Biochem. J. 1966, 99, 667–676. [Google Scholar] [CrossRef] [PubMed]
- Green, L.C.; Wagner, D.A.; Glogowski, J.; Skipper, P.L.; Wishnok, J.S.; Tannenbaum, S.R. Analysis of nitrate, nitrite, and [15N]nitrate in biological fluids. Anal. Biochem. 1982, 126, 131–138. [Google Scholar] [CrossRef]
- Kono, Y. Generation of superoxide radical during autoxidation of hydroxylamine and an assay for superoxide dismutase. Arch. Biochem. Biophys. 1978, 186, 189–195. [Google Scholar] [CrossRef] [PubMed]
- Ellman, G.L. Tissue sulfhydryl groups. Arch. Biochem. Biophys. 1959, 82, 70–77. [Google Scholar] [CrossRef] [PubMed]












| Sr. No. | Batches | β-CD: DPC (Molar Ratio) | Mean Particle Size (nm) ± SD | PDI ± SD | Zeta Potential (mV) ± SD | EE (%) ± SD | LC (%) ± SD |
|---|---|---|---|---|---|---|---|
| 1 | SLZ-NS2 | 1:2 | 306.77 ± 97.57 | 0.449 ± 0.289 | −11.90 ± 1.81 | 70.02 ± 2.63 c,d | 11.67 ± 0.44 c,d |
| 2 | SLZ-NS4 | 1:4 | 277.90 ± 40.00 | 0.255 ± 0.017 | −13.74 ± 2.15 | 86.39 ± 1.89 a,b,c,d | 14.40 ± 0.31 a,b, c,d |
| 3 | SLZ-NS6 | 1:6 | 337.97 ± 35.33 | 0.291 ± 0.118 | −16.31 ± 3.87 | 79.62 ± 1.49 a,c,d | 13.27 ± 0.25 a,c,d |
| 4 | SLZ-NS8 | 1:8 | 397.83 ± 83.73 | 0.573 ± 0.104 | −16.93 ± 2.44 | 59.58 ± 1.40 d | 09.93 ± 0.23 d |
| 5 | SLZ-NS10 | 1:10 | 276.73 ± 67.30 | 0.271 ± 0.061 | −15.90 ± 3.50 | 42.11 ± 1.91 | 07.02 ± 0.32 |
| Kinetic Models | Sulfasalazine | Sulfasalazine-Loaded Nanosponges (SLZ-NS4) |
|---|---|---|
| Zero-order | 0.891 | 0.864 |
| First-order | 0.983 | 0.967 |
| Higuchi | 0.966 | 0.975 |
| Hixson–Crowell | 0.980 | 0.867 |
| Korsmeyer–Peppas | 0.557 | 0.534 |
| Characteristics | Plain HG | SLZ-HG | SLZ-NS-HG |
|---|---|---|---|
| Hardness ± SD (N) | 0.63 ± 0.04 | 0.68 ± 0.04 | 0.46 ± 0.03 |
| Cohesiveness ± SD | 0.94 ± 0.02 | 0.85 ± 0.02 | 0.74 ± 0.02 |
| Adhesiveness ± SD (N s) | −4.43 ± 0.29 | −3.77 ± 0.06 | −4.05 ± 0.19 |
| Springiness ± SD | 0.85 ± 0.01 | 0.94 ± 0.01 | 0.86 ± 0.018 |
| Sr. No. | Formulations | Relative Epidermal Thickness (%) ± SEM | % Orthokeratosis ± SEM | Drug Activity ± SEM |
|---|---|---|---|---|
| 1. | Plain hydrogel | 100.00 ± 0.00 | 29.80 ± 1.49 | 0.00 ± 0.00 |
| 2. | Marketed formulation | 43.70 ± 1.74 a,d | 67.38 ± 2.09 a,b,c,d | 52.51 ± 3.37 a,b,c |
| 3. | SLZ1% hydrogel | 70.50 ± 6.39 a, | 45.75 ± 1.86 a, | 21.17 ± 3.41 a, |
| 4. | SLZ 2% hydrogel | 52.92 ± 3.17 a,c | 56.34 ± 2.09 a,e | 36.31 ± 3.50 a,d |
| 5. | SLZ-NS 1% hydrogel | 39.12 ± 1.69 a,d,e | 59.63 ± 1.83 a,b | 41.37 ± 2.90 a,b |
| 6. | SLZ-NS 2% hydrogel | 28.73 ± 1.19 a,b,d,f | 74.77 ± 1.77 a,b,c,f | 62.76 ± 2.99 a,b,e,f |
| Treatments | PASI (After Therapy) ± SD | % Reduction in PASI ± SD |
|---|---|---|
| IMQ only | 3.278 ± 0.134 | 0.00 ± 0.00 |
| Normal control only | 0.222 ± 0.070 | 93.48 ± 2.06 a,b,c,d |
| IMQ-CDTH Ointment | 0.100 ± 0.086 | 69.05 ± 3.11 a |
| IMQ-SLZ-HG 1% w/v | 1.111 ± 0.111 | 66.67 ± 3.33 a |
| IMQ-SLZ-HG 2% w/v | 0.733 ± 0.163 | 77.18 ± 5.02 a |
| IMQ-SLZ-NS-HG 1% w/v | 0.600 ± 0.125 | 81.68 ± 3.61 a |
| IMQ-SLZ-NS-HG 2% w/v | 0.467 ± 0.170 | 84.86 ± 6.29 a |
| Animal Groups | Daily Treatment Protocol for Swiss Mice (14 Days) |
|---|---|
| 1 | With plain Carbopol hydrogel |
| 2 | With dithranol marketed formulation |
| 3 | With SLZ-HG (SLZ 1% w/v), |
| 4 | With SLZ-HG (SLZ 2% w/v) |
| 5 | With SLZ-NS-HG (equivalent to SLZ 1% w/v) |
| 6 | With SLZ-NS-HG (equivalent to SLZ 2% w/v) |
Disclaimer/Publisher’s Note: The statements, opinions and data contained in all publications are solely those of the individual author(s) and contributor(s) and not of MDPI and/or the editor(s). MDPI and/or the editor(s) disclaim responsibility for any injury to people or property resulting from any ideas, methods, instructions or products referred to in the content. |
© 2025 by the authors. Licensee MDPI, Basel, Switzerland. This article is an open access article distributed under the terms and conditions of the Creative Commons Attribution (CC BY) license (https://creativecommons.org/licenses/by/4.0/).
Share and Cite
Kumar, S.; Nair, A.B.; Kadian, V.; Dalal, P.; Jangir, B.L.; Aldhubiab, B.; Almuqbil, R.M.; Alnaim, A.S.; Alwadei, N.; Rao, R. Development and Evaluation of Hydrogel-Based Sulfasalazine-Loaded Nanosponges for Enhanced Topical Psoriasis Therapy. Pharmaceuticals 2025, 18, 391. https://doi.org/10.3390/ph18030391
Kumar S, Nair AB, Kadian V, Dalal P, Jangir BL, Aldhubiab B, Almuqbil RM, Alnaim AS, Alwadei N, Rao R. Development and Evaluation of Hydrogel-Based Sulfasalazine-Loaded Nanosponges for Enhanced Topical Psoriasis Therapy. Pharmaceuticals. 2025; 18(3):391. https://doi.org/10.3390/ph18030391
Chicago/Turabian StyleKumar, Sunil, Anroop B. Nair, Varsha Kadian, Pooja Dalal, Babu Lal Jangir, Bandar Aldhubiab, Rashed M. Almuqbil, Ahmed S. Alnaim, Nouf Alwadei, and Rekha Rao. 2025. "Development and Evaluation of Hydrogel-Based Sulfasalazine-Loaded Nanosponges for Enhanced Topical Psoriasis Therapy" Pharmaceuticals 18, no. 3: 391. https://doi.org/10.3390/ph18030391
APA StyleKumar, S., Nair, A. B., Kadian, V., Dalal, P., Jangir, B. L., Aldhubiab, B., Almuqbil, R. M., Alnaim, A. S., Alwadei, N., & Rao, R. (2025). Development and Evaluation of Hydrogel-Based Sulfasalazine-Loaded Nanosponges for Enhanced Topical Psoriasis Therapy. Pharmaceuticals, 18(3), 391. https://doi.org/10.3390/ph18030391

