Abstract
The inhibition of liver pyruvate kinase could be beneficial to halt or reverse non-alcoholic fatty liver disease (NAFLD), a progressive accumulation of fat in the liver that can lead eventually to cirrhosis. Recently, urolithin C has been reported as a new scaffold for the development of allosteric inhibitors of liver pyruvate kinase (PKL). In this work, a comprehensive structure–activity analysis of urolithin C was carried out. More than 50 analogues were synthesized and tested regarding the chemical features responsible for the desired activity. These data could pave the way to the development of more potent and selective PKL allosteric inhibitors.
1. Introduction
Non-alcoholic fatty liver disease (NAFLD) refers to the accumulation of fat in liver independent of alcohol consumption [1,2]. NAFLD is the most common chronic liver disease in the Western world, and is associated with the development of cardiovascular diseases and type 2 diabetes [3]. The overall global prevalence of NAFLD is approximately 25%, and it is estimated to grow in coming years [3,4]. However, no therapy is currently available to treat this disease; the only available options have been weight loss (e.g., calorie restriction, exercise) and supplementation of vitamins, e.g., vitamin E [5].
Recently, several groups identified liver pyruvate kinase (PKL) as a possible target to halt the progression of NAFLD [2,6,7]. Pyruvate kinase is responsible for the final step in glycolysis converting phosphoenolpyruvate (PEP) and adenosine diphosphate (ADP) to pyruvate (PYR) and adenosine triphosphate (ATP). Additionally, pyruvate kinase is present in four different isoforms, PKM1, PKM2, PKR, and PKL, each with multiple designations over time [8]. PKR is predominantly expressed in red blood cells, PKM1 is present in the skeletal muscle, brain, and heart, and PKM2 is expressed in proliferating cells, embryonic tissues, and tumors [9,10]. PKL is expressed mainly in the liver but also in pancreatic β-cells, the small intestine, and the renal proximal tubule [11]. Hence, development of PKL-specific inhibitors may be extremely beneficial for treating NAFLD.
Our group recently started an extensive program aimed at identifying new possible compounds to inhibit PKL [12,13,14]. These efforts resulted in the identification of two different classes of PKL inhibitors. The first, based on anthraquinone derivatives, behaved as competitive inhibitors of ADP, while the second, based on ellagic acid, shows a non-competitive inhibition of the enzyme based on the interaction with an allosteric site [12,14]. Deconstruction and simplification of ellagic acid identified one of its metabolites, urolithin C (1), as a more soluble and bioavailable PKL inhibitor. Here, we report the synthesis and structure–activity relationship (SAR) of novel PKL inhibitors based on compound 1 (Figure 1). The exploration, design, and synthesis were based on classical medicinal chemistry approaches (e.g., bioisosteric substitution, ring opening).
Figure 1.
Strategy for this work.
2. Results and Discussion
2.1. Deconstruction of Urolithin C
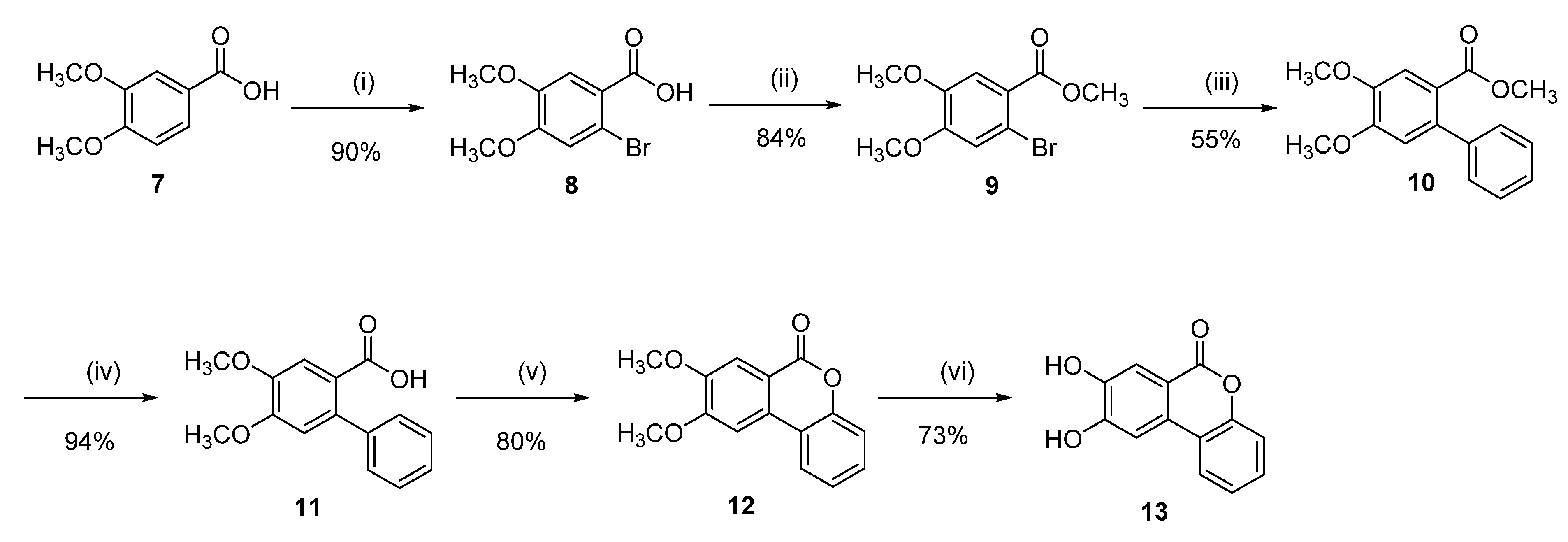
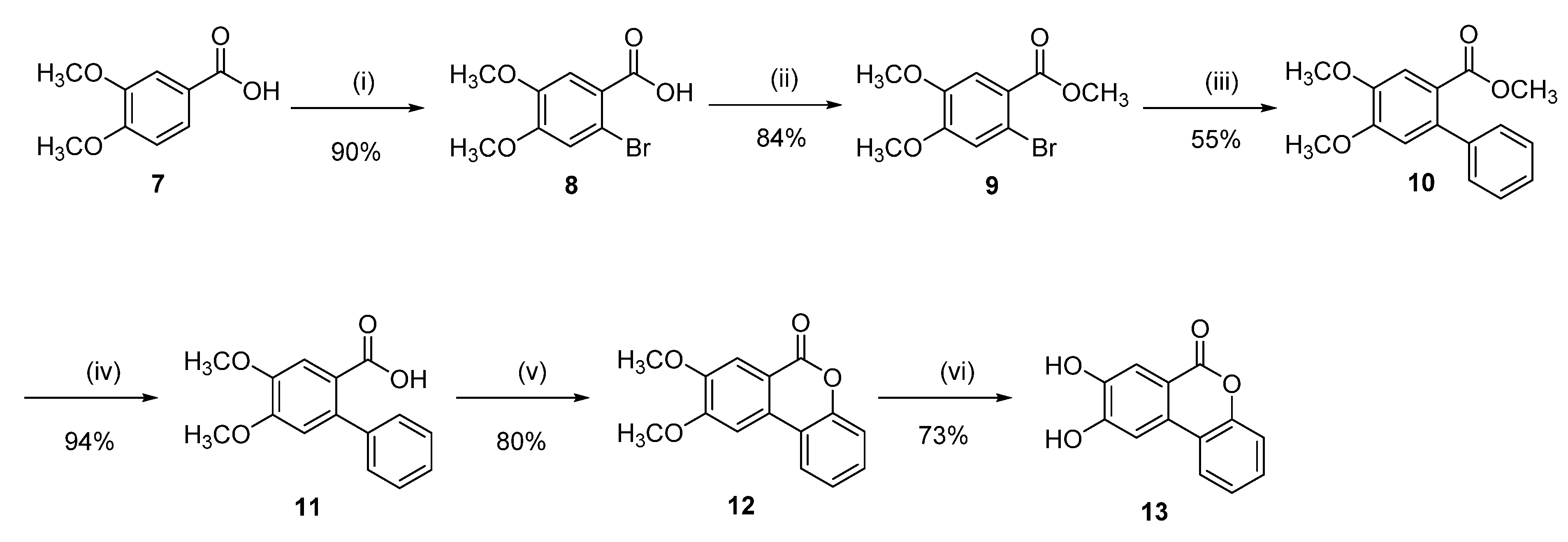
Previously, we identified compound 1 as a non-competitive inhibitor with a sub-micromolar activity for PKL (Table 1) but different selectivity for the PKR, PKM1, and PKM2 isoforms [14]. Considering that our previous effort to co-crystallize compound 1 with the enzyme failed, we decided to pursue a different approach. In particular, a deconstruction strategy to identify the key features for the activity of 1 was performed. The hydroxyl group and the catechol were replaced one at a time by a hydrogen atom. The lactone moiety was removed to give a biaryl compound. Compound 1 was synthesized as previously described [14], while 2 (urolithin A) was commercially available. The other compounds were synthesized as described below. Briefly, compound 6 was obtained by a Hurtley coupling from 3 and 4 and subsequent deprotection with BBr3 (Scheme 1) [15,16].
Table 1.
PKL and PKR inhibition of the deconstructed analogues of urolithin C.
Scheme 1.
Reagents and conditions: (i) NaOH, Na2CO3, CuI, H2O, 50 °C; 24 h; (ii) BBr3, CH2Cl2, rt, 12 h.
The 3-deshydroxy analogue (13) was synthesized from 11 by K2S2O8-mediated C–H oxidation and deprotection [17]. Compound 11 was in turn obtained from 3,4-dimethoxybenzoic acid (7) in four steps by sequential bromination, protection, Suzuki coupling, and deprotection (Scheme 2).
Scheme 2.
Reagents and conditions: (i) Br2, HCl, rt, 2 h; (ii) H2SO4, MeOH, reflux, 12 h; (iii) PhB(OH)2, K2CO3, Pd(PPh3)4, H2O, dioxane, 110 °C, MW, 2 h; (iv) LiOH, H2O, dioxane, 110 °C, 12 h; (v) AgNO3, K2S2O8, CH3CN, H2O, 50 °C, 12 h; (vi) BBr3, CH2Cl2, rt, 12 h.
Finally, compound 17 was obtained from 14 and 15 by Pd-mediated coupling followed by deprotection with BBr3 (Scheme 3).
Scheme 3.
Reagents and conditions: (i) K2CO3, Pd(PPh3)4, H2O, dioxane, 110 °C, MW 2 h; (ii) BBr3, CH2Cl2, rt, 12 h.
The effects of derivatives on PKL activity were determined by an in vitro biochemical assay using recombinant PKL and PKR enzymes. The results are reported in Table 1. A significant decrease in the ability to inhibit PKL was observed upon the removal of the hydroxyl groups and the lactone moiety from 1, indicating that all these features are essential for the activity. Interestingly, 2 and 17 showed weak PKL activation activity.
2.2. SAR Strategy
Based on the deconstruction of 1, all the chemical features explored were necessary for the inhibitory activity vs. PKL. For these reasons, we explored and synthesized three series of urolithin C derivatives by modifying: (a) the phenol, (b) the catechol, and (c) the lactone (Figure 2). This strategy allowed us to study the impact of every single structural change on inhibition.
Figure 2.
SAR strategy for urolithin C.
2.3. Replacement of the Phenol Group
Several substituents with differing electronic and steric properties were explored to replace the OH at position 3. A total of 19 analogues were obtained and tested for their inhibitory activity vs. PKL and PKR. The nitrogen analogues 26, 28, 33–36 were synthesized as described in Scheme 4. Compound 9 was coupled under Pd catalysis with 18 or 19. The corresponding biaryl derivatives were deprotected under basic hydrolysis and subjected to K2S2O8 or N-iodosuccinimide-mediated oxidative lactonization [17,18]. Compound 24 was then deprotected to obtain 26. In a different process, 25 was reduced to result in the intermediate 27, which was deprotected to afford the target compound 28. The aniline 27 was further acylated with various reagents and deprotected with BBr3 to give 33–36.
Scheme 4.
Reagents and conditions: (i) K2CO3, Pd(PPh3)4, H2O, dioxane, 110 °C, MW, 2 h; (ii) LiOH, H2O, dioxane, 65 °C or 110 °C, 12 h; (iii) AgNO3, K2S2O8, CH3CN, H2O, 50 °C, 12 h; (iv) NIS, DCE, 80 °C, 20 h; (v) BBr3, CH2Cl2, rt, 12 h; (vi) Pd/C, H2, MeOH, DMF, 50 °C, 24 h; (vii) ClCOCH3 or ClCOCH2CH3 or ClCOCH2CH2CH3, DIPEA, CH3CN, rt, 12 h; (viii) ClSO2CH3, pyridine, rt, 24 h.
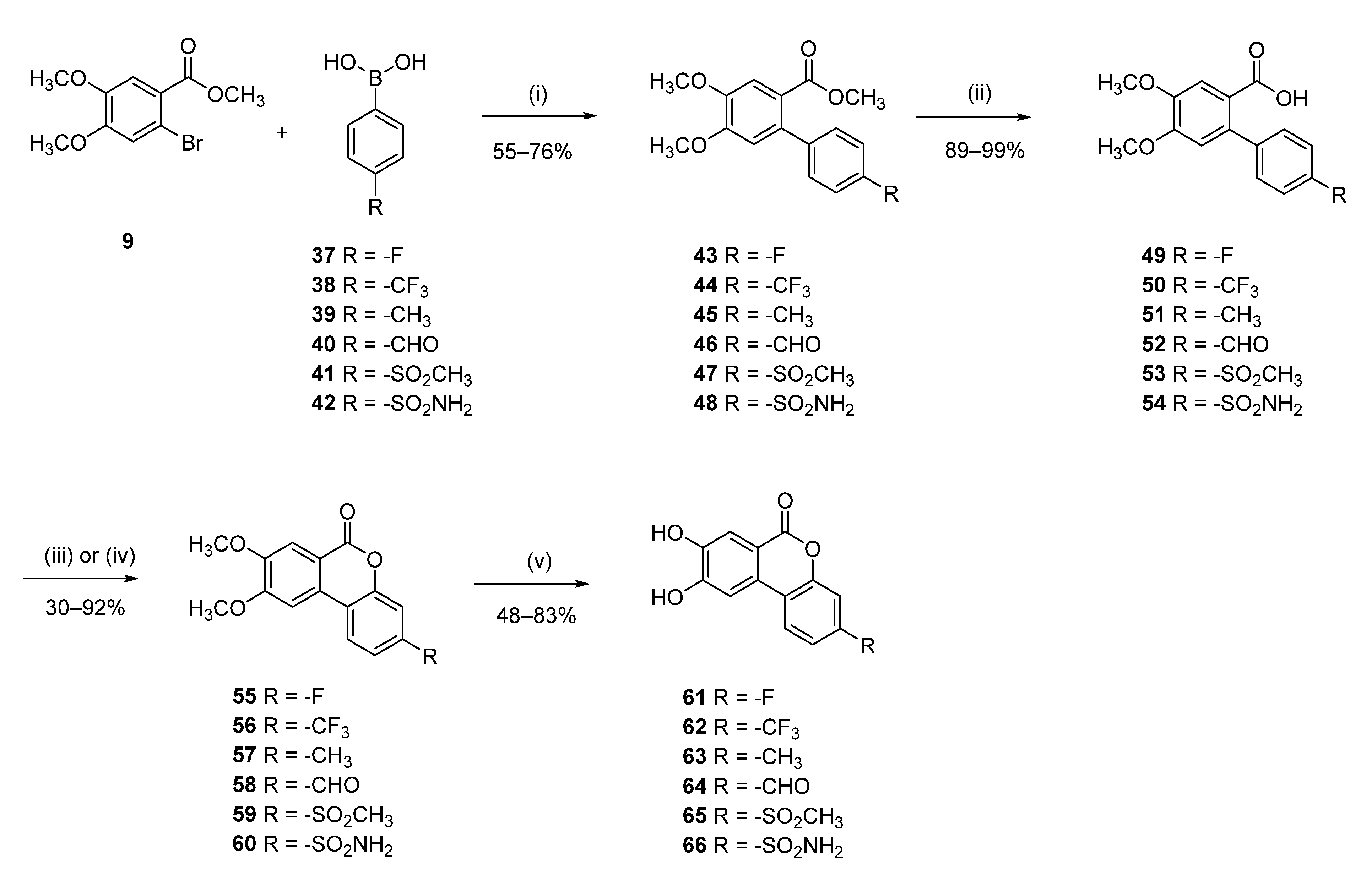
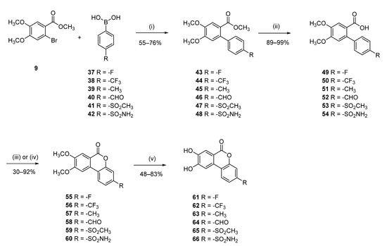
Derivatives 61–66 were similarly synthesized, as reported in Scheme 5. Bromide 9 was coupled with the selected boronic acid, deprotected, and cyclized to give the corresponding lactones 55–60. Deprotection of the methoxy groups with BB3 afforded the desired target molecules 61–66.
Scheme 5.
Reagents and conditions: (i) K2CO3, Pd(PPh3)4, H2O, dioxane, 110 °C, MW, 2 h; (ii) LiOH, H2O, dioxane, 110 °C, 12 h; (iii) AgNO3, K2S2O8, CH3CN, H2O, 50 °C, 12 h; (iv) NIS, DCE, 80 °C, 20 h; (v) BBr3, CH2Cl2, rt, 12 h.
Compounds 81–83 were obtained with minor modifications of the previous synthetic strategies, as shown in Scheme 6. Aldehyde 67 was brominated and reacted under Suzuki coupling conditions to give 69–71. These intermediates were oxidized and cyclized using AgNO3/K2S2O8 or Pd-catalyzed C-H activation [19]. Finally, deprotection yielded the urolithin derivatives 81–83.
Scheme 6.
Reagents and conditions: (i) Br2, HCl, rt, 2 h; (ii) K2CO3 (K3PO4 for 74), Pd(PPh3)4, H2O, Dioxane, 110 °C, MW, 2 h; (iii) NaClO2, KH2PO4, 2-methylbut-2-ene, tBuOH, CH3CN, rt, 48 h; (iv) KOAc, Pd(OAc)2, PIDA, N-acetylglycine, t-BuOH, 80 °C, 4 h; (v) AgNO3, K2S2O8, CH3CN, H2O, 50 °C, 12 h; (vi) BBr3, CH2Cl2, rt, 12 h.
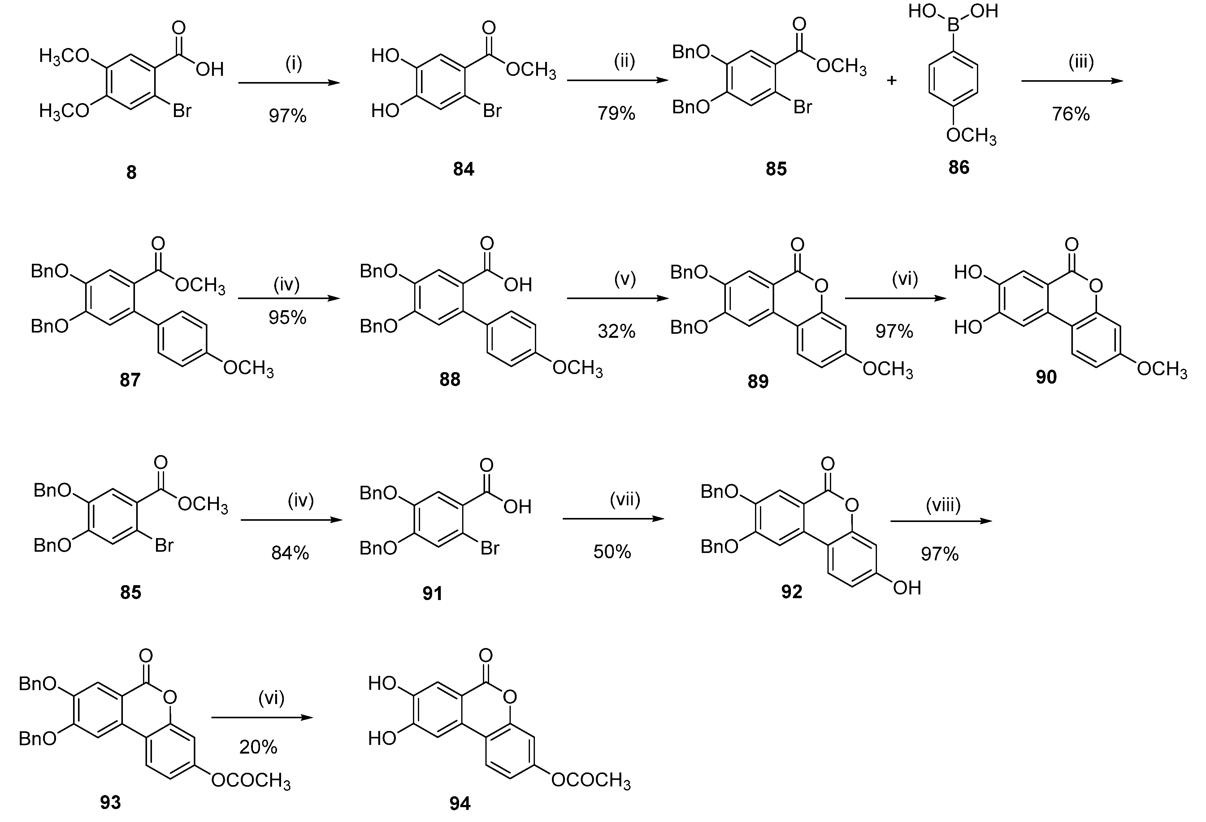
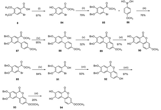
The methoxy derivative 90 and the acetyl ester 94 required a different approach as shown in Scheme 7. Compound 8 was deprotected and alkylated with benzyl bromide to give 85. The latter was coupled with 86, deprotected, and cyclized to give 89. Finally, removal of the benzyl groups with H2/Pd afforded 90. The acetyl ester 94 was instead obtained by hydrolysis of 85 in basic media followed by Hurtley coupling, esterification, and finally, H2/Pd deprotection.
Scheme 7.
Reagents and conditions: (i) (a) BBr3, CH2Cl2, rt, 2 h; (b) SOCl2, MeOH, rt, 12 h; (ii) BnBr, K2CO3, acetone, rt, 12 h; (iii) K2CO3, Pd(PPh3)4, H2O, dioxane, 110 °C, MW, 2 h; (iv) LiOH, H2O, dioxane, 110 °C, 12 h; (v) AgNO3, K2S2O8, CH3CN, H2O, 50 °C, 12 h; (vi) Pd/C, H2, MeOH, DMF, 50 °C, 24 h; (vii) 4, NaOH, Na2CO3, CuI, H2O, 50 °C; 24 h; (viii) Ac2O, NaOAc, 50 °C, 18 h.
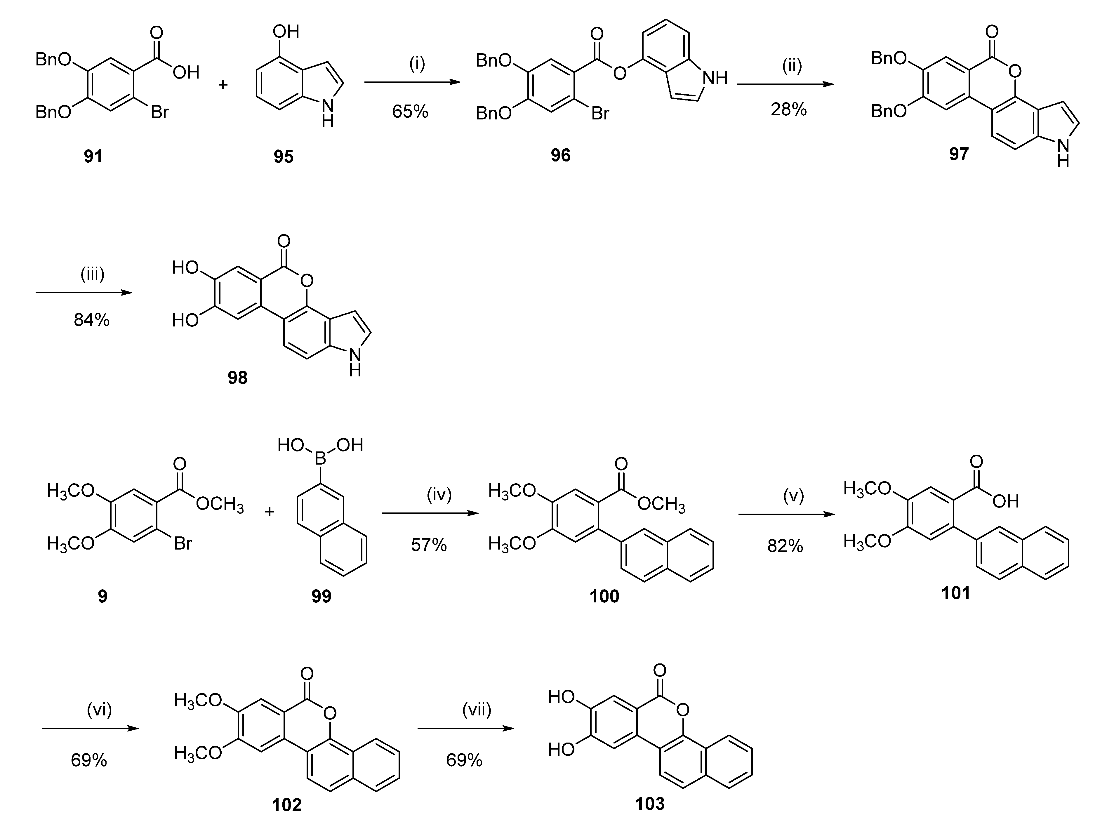
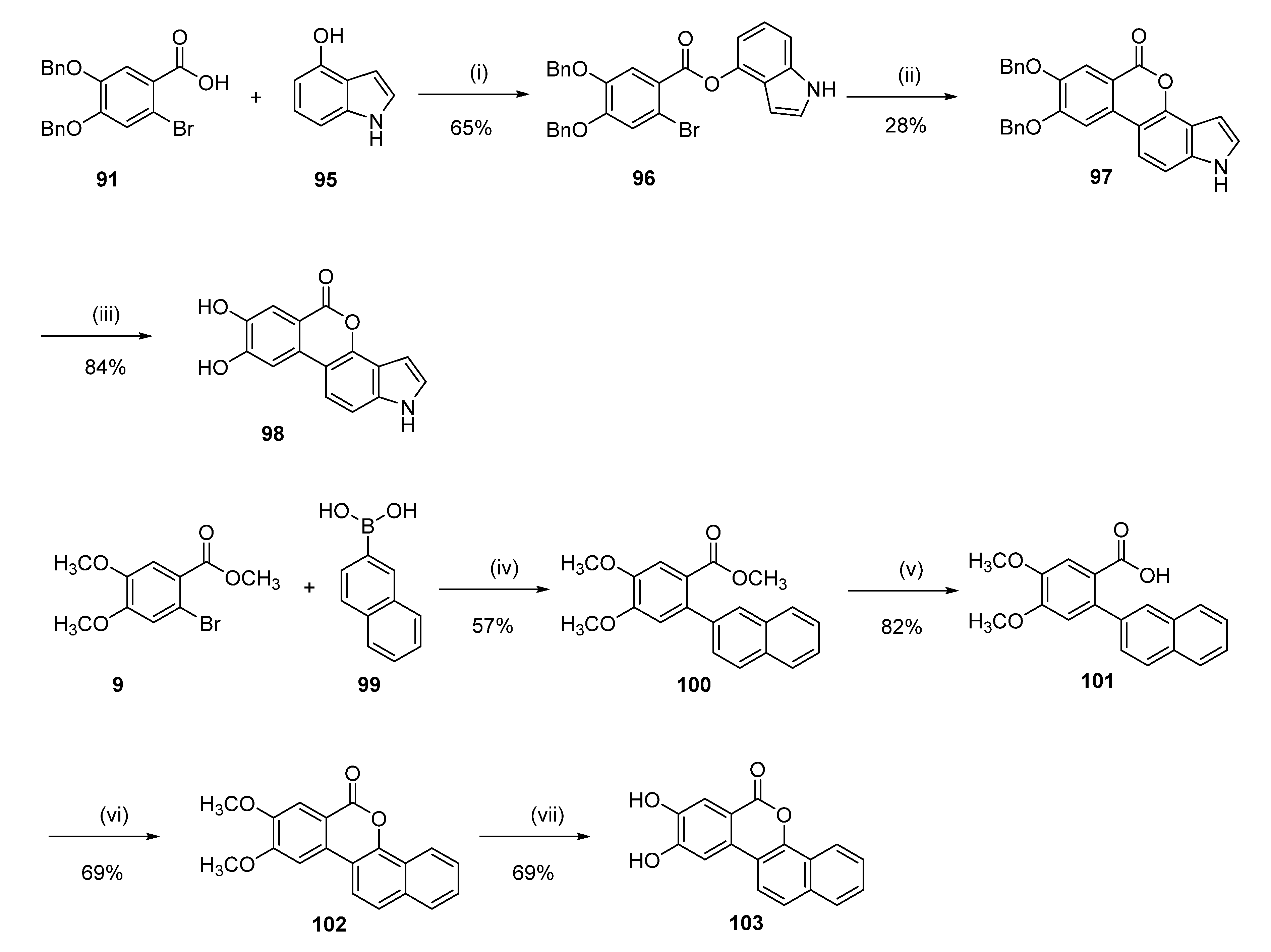
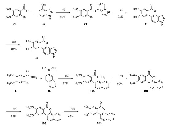
The final two urolithin derivatives, 98 and 103, bearing an additional ring were synthesized as shown in Scheme 8. Compound 98 was obtained by esterification of 91 and Heck intramolecular cyclization coupling followed by deprotection. Compound 103 instead was obtained again from 9 and the corresponding boronic acid with a four-analogue synthetic pathway similar to that shown above.
Scheme 8.
Reagents and conditions: (i) (a) SOCl2, reflux, 2 h; (b) Et3N, CH2Cl2, rt, 12 h; (ii) Pd(OAc)2, P(Cy)3, DMA, 1 h, 175 °C; (iii) Pd/C, H2, MeOH, DMF, 50 °C, 24 h; (iv) K2CO3, Pd(PPh3)4, H2O, dioxane, 110 °C, MW, 2 h; (v) LiOH, H2O, dioxane, 110 °C, 12 h; (vi) AgNO3, K2S2O8, CH3CN, H2O, 50 °C, 12 h; (vii) BBr3, CH2Cl2, rt, 12 h.
The effects of derivatives modified at the phenolic group are reported in Table 2. Most of the modifications and substitutions resulted in a marked loss of activity vs. PKL. Some compounds (e.g., 28) showed a weak potentiation of PKL activity as observed for the deconstructed analogues of 1. The IC50 values of 81 and 82 were similar to the IC50 of urolithin C, indicating that a carboxylic acid and an amide are tolerated.
Table 2.
PKL and PKR inhibition of the analogues of 1 derived from the phenol modifications.
2.4. Replacement of the Catechol Moiety
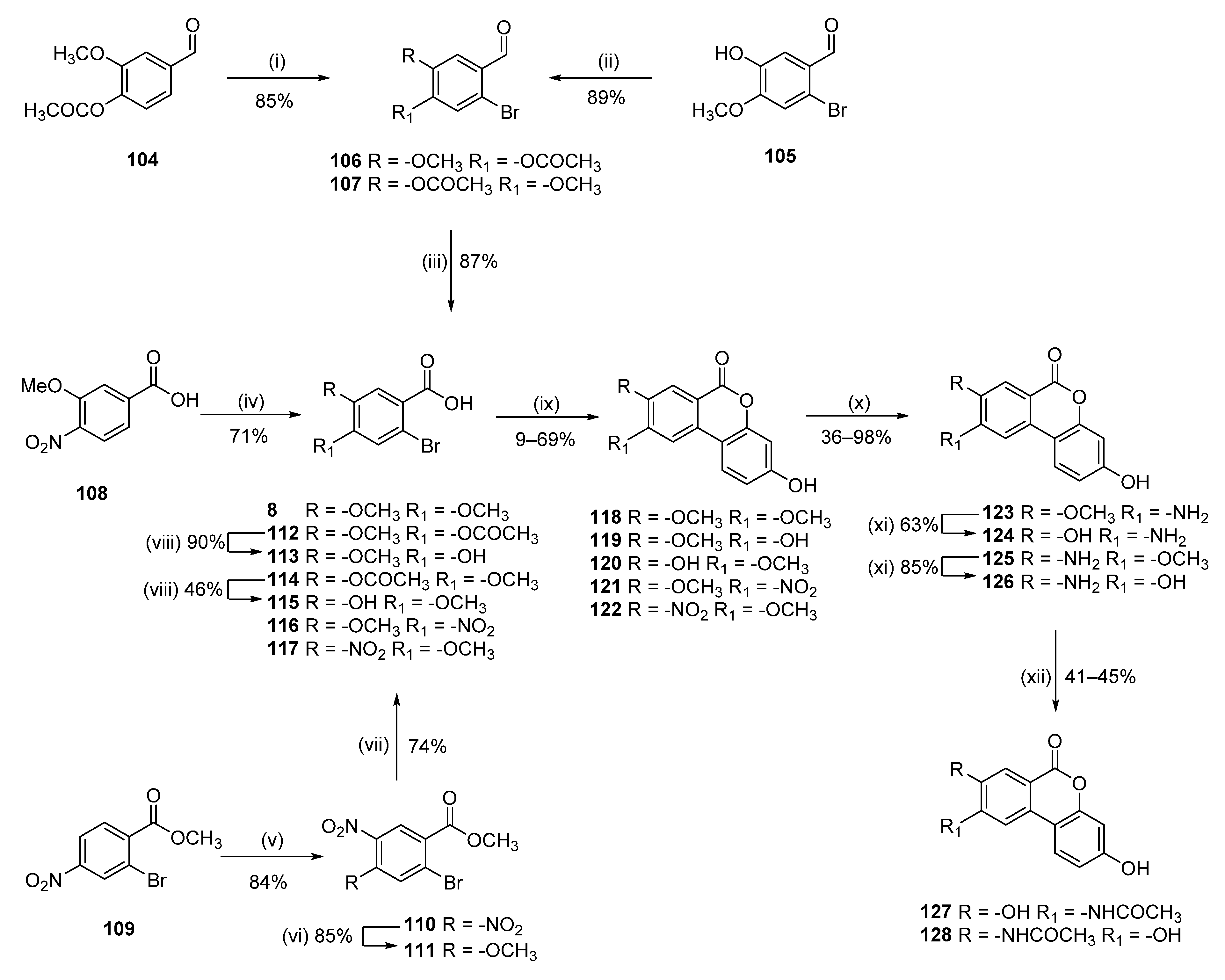
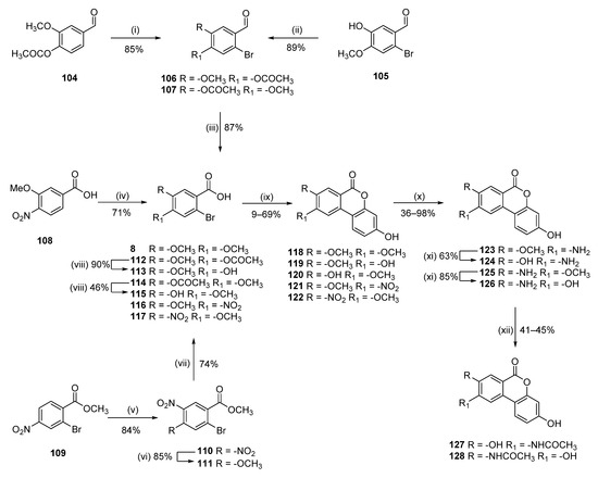
To further improve our understanding of the SAR of urolithin C as a PKL inhibitor, we then investigated the modifications of the catechol moiety. A total of 14 compounds were designed and synthesized to explore this part of the molecule. The dimethoxy analogue 118 and the two monomethoxy positional isomers 119 and 120 were obtained from the corresponding 2-bromobenzoic acid and resorcinol through an Hurtley coupling (Scheme 9). The 2-bromobenzoic acids employed, 113 and 115, were synthesized from the corresponding aldehyde by oxidation and deprotection. Differently, the 9- and 8-amino analogues (124 and 126) were obtained by Pd-mediated reduction and BBr3 deprotection of the key nitro intermediates 121 and 122. The latter were synthesized again through Hurtley coupling from the respective acids. Compounds 127 and 128 were then isolated by simply acetylation/deprotection from 124 and 126.
Scheme 9.
Reagents and conditions: (i) Br2, KBr, H2O, rt, 12 h; (ii) Ac2O, DMAP, Et3N, CH2Cl2, rt, 4 h; (iii) KMnO4, Acetone, H2O, 60 °C, 2 h; (iv) NBS, H2SO4, rt, 48 h; (v) HNO3, H2SO4, 50 °C, 1 h; (vi) KOH, MeOH, rt, 3 h; (vii) LiOH, dioxane, H2O, reflux, 12 h; (viii) NaOH, H2O, reflux, 2 h; (ix) 4, NaOH, K2CO3, CuI, H2O, 50 °C, 24 h; (x) SnCl2, EtOH, 70 °C, 30 h; (xi) BBr3, CH2Cl2, rt, 12 h; (xii) (a)Ac2O, NaHCO3, dioxane, H2O, rt, 1 h; (b) BBr3, CH2Cl2, rt, 12 h.
The 8,9-diamino analogue 135 was obtained as shown in Scheme 10. 2-Bromo-4,5-dinitrobenzoic acid was reacted with benzylamine, esterified, and coupled with 131 to afford the desired biaryl compound 132. Hydrolysis of the methyl ester followed by cyclization and reduction/deprotection yielded 135. Its acetylated derivative 140 and the 2-methyl-1H-imidazole analogue 141 were synthesized similarly. Reduction of methyl 2-bromo-4,5-dinitrobenzoate (110) followed by acetylation and Suzuki coupling with the selected boronic acid gave 139. One-step deprotection/cyclization yielded the desired compound 140. Condensation of the latter in HCl afforded 141.
Scheme 10.
Reagents and conditions: (i) (a) BnNH2, DMF, rt, 16 h; (b) H2SO4, MeOH, reflux, 12 h; (ii) K2CO3 (or K3PO4 for 139), Pd(PPh3)4, H2O, dioxane, 110 °C, MW, 2 h; (iii) LiOH, dioxane, H2O, reflux, 12 h; (iv) NIS, DCE, 80 °C, 20 h; (v) Pd/C, H2, MeOH, DMF, 50 °C, 24 h; (vi) AcOH, Fe, 75 °C, 2 h; (vii) Ac2O, NaHCO3, dioxane, H2O, rt, 7 d; (viii) BBr3, CH2Cl2, rt, 12 h; (ix) HCl, 105 °C, 4 h.
The last four analogues with modifications of the catechol moiety were synthesized as reported in Scheme 11. Methylenedioxy derivative 144 was obtained by alkylation of 84 with diiodomethane, followed by hydrolysis and Hurtley coupling. In a different process, compounds 150, 153, and 154 were synthesized from the key intermediate 136 by converting it into its 2-hydroxybenzimidazole, benzimidazole, and benzotriazole analogues (145–147). Analogue 145 was hydrolyzed to its corresponding acid and reacted with resorcinol to produce 150. In another synthesis, 147 was further protected to give 148. Both 148 and 146 were transformed under Suzuki coupling conditions and finally deprotected and cyclized to yield 153 and 154.
Scheme 11.
Reagents and conditions: (i) CH2I2, K2CO3, DMF, reflux 2 h, (ii) LiOH, dioxane, H2O, reflux, 12 h; (iii) 4, NaOH, Na2CO3, CuI, H2O, 50 °C; 24 h; (iv) CDI. THF, rt, 16 h; (v) PhSiH3, DMF, 120 °C, 15 h; (vi) NaNO2; HCl, MeOH, 0 °C to rt, 15 h; (vii) AcCl, Et3N, CH2Cl2, 0 °C to rt, 3 h; (viii) 138, K2CO3 (or K3PO4 for 152), Pd(PPh3)4, H2O, dioxane, 110 °C, MW, 2 h; (ix) BBr3, CH2Cl2, rt, 12 h.
The synthesized compounds were then assessed using the in vitro biochemical assay (Table 3). Very low or no inhibition of enzyme activity was observed for most molecules with few exceptions. The two monomethoxy derivatives 119 and 120 showed almost full inhibition at 10 μM but with a dramatic reduction in their IC50 (1.9 μM and 1.5 μM, respectively). Even compound 141 retained some weak activity with an IC50 of 14 μM. Again, some small modifications (e.g., OH vs. NH2) resulted in the compounds being weak activators.
Table 3.
PKL and PKR inhibition of the analogues of 1 derived from the catechol modifications.
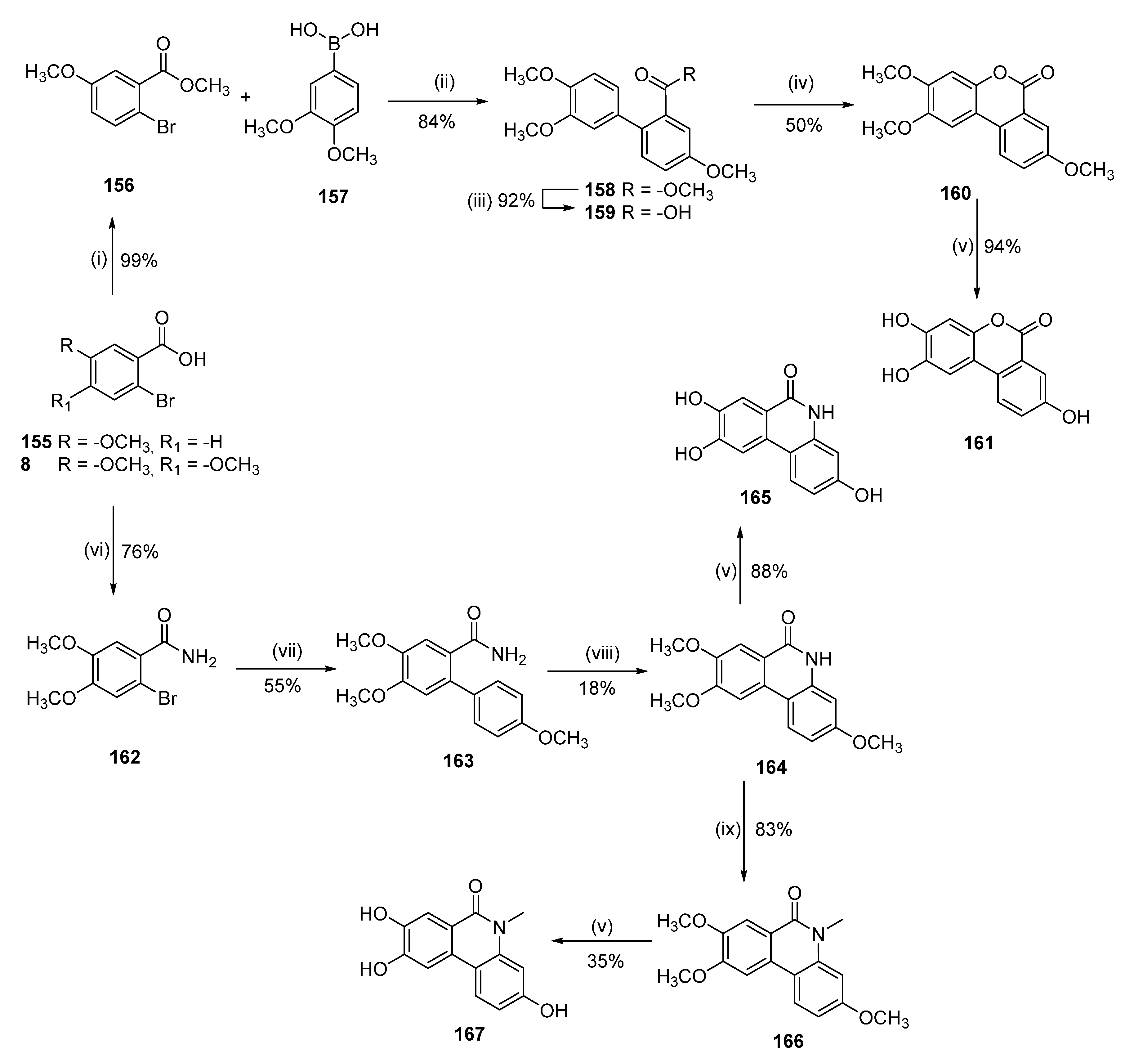
2.5. Replacement of the Lactone Moiety
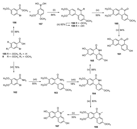
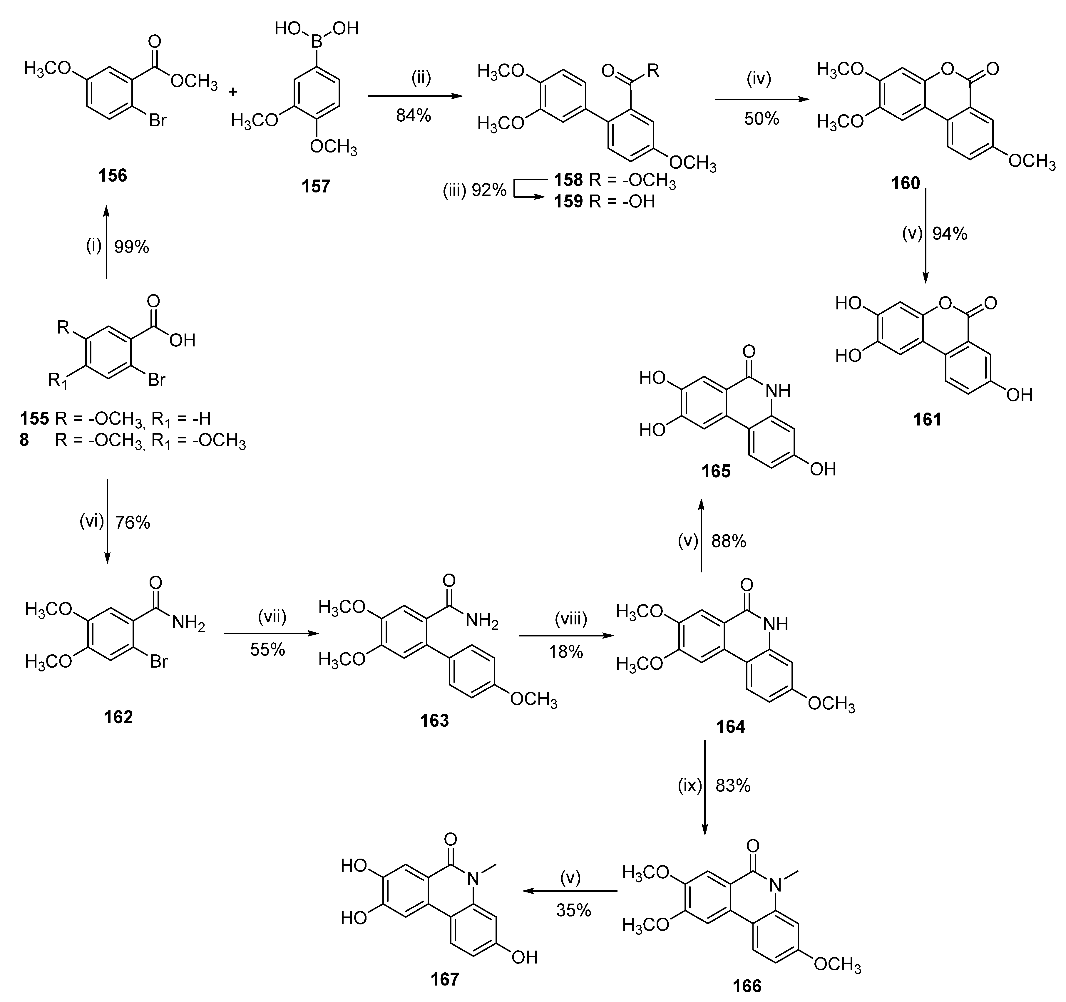
Finally, we explored the impact of the lactone moiety on PKL inhibitions. We initially designed and prepared six analogues by switching the lactone position (161) or converting it to its corresponding lactam or methyl lactam (165, 167). Alternatively, we removed the moiety altogether but kept the planarity (178) and H-bond acceptor properties (179, 180), and increased the bulk (183). The lactone and lactam derivatives were obtained as shown in Scheme 12. Compound 161 was obtained by esterification of the corresponding acid 155 and subsequent Suzuki coupling. Hydrolysis followed by cyclization and deprotection afforded the desired compound. Analogues 165 and 167 were synthesized converting acid 8 into the corresponding amide. The latter was coupled with 4-methoxyboronic acid, then 164 was obtained via copper-catalyzed cyclization [20]. This was either directly deprotected or methylated and deprotected to give the two target compounds.
Scheme 12.
Reagents and conditions: (i) H2SO4, MeOH, reflux, 12 h; (ii) K2CO3, Pd(PPh3)4, H2O, dioxane, 110 °C, MW, 2 h; (iii) LiOH, dioxane, H2O, reflux, 12 h; (iv) K2S2O8, CH3CN, H2O, 50 °C, 12 h; (v) BBr3, CH2Cl2, rt, 12 h; (vi) (a) SOCl2, reflux, 4 h; (b) NH3/THF, Et3N, 0 °C to rt, 85 h; (vii) 86, K2CO3, Pd(PPh3)4, H2O, dioxane, 110 °C, MW, 2 h; (viii) CuI, PPh3, KOtBu, 120 °C, 150 h; (ix) CH3I, Cs2CO3, THF, 80 °C, 2 h.
The synthesis of phenanthrene 178 and phenanthridines 179 and 180 is reported in Scheme 13. The corresponding benzaldehyde 68 was obtained as reported above while 169 was isolated after bromination of 3-methoxybenzaldheyde. These compounds were reacted with the selected boronic acids to produce 170 and 171. The first compound was converted to 172 by a Wittig reaction and subjected to dehydrative cycloaromatization [21]. Deprotection with BBr3 gave the desired compound 178. The analogues 179 and 180 were instead obtained converting the aldehyde to the phenanthridine core through iron-catalyzed intramolecular N-arylation [22]. Finally, deprotection with HBr in acetic acid gave 179 and 180.
Scheme 13.
Reagents and conditions: (i) Br2, KBr, H2O, rt, 4 h; (ii) 86 or 157, K2CO3, Pd(PPh3)4, H2O, dioxane, 110 °C, MW, 2 h; (iii) methoxymethyl-triphenyl phosphonium chloride, KOtBu, THF, rt, 2 h, (iv) (a) NH2OH·HCl, pyridine, EtOH, 60 °C, 1 h; (b) DMAP, Ac2O, pyridine, rt, 1.5 h; (v) CF3SO3H, CH2Cl2, 0 °C, 2 h; (vi) Fe(acac)3, AcOH, 80 °C, 2 h; (vii) BBr3, CH2Cl2, rt, 12 h; (viii) HBr, AcOH, H2O, 120 °C, 6 d.
Finally, compound 183 was obtained from 1 by protecting the hydroxyl groups, reacting with CH3MgBr and final deprotection with H2/Pd (Scheme 14). The compounds were then evaluated using an in vitro biochemical assay (Table 4).
Scheme 14.
Reagents and conditions: (i) BnBr, K2CO3, DMF, 50 °C, 12 h; (ii) (a) CH3MgBr, THF, reflux, 4 h, (b) HCl, rt, 1 h; (iii) Pd/C, H2, DMF, MeOH, 65 °C, 12 h.
Table 4.
Lactone modifications. IC50 values for PKL and PKR.
Interestingly, switching the position of the lactone (161) resulted in a tremendous loss of activity. Similarly, the lactam derivatives (165, 167) showed at least a 10-fold drop in IC50 vs. PKL. Removing the moiety but keeping the planarity and/or an H-bond acceptor group (178–180) afforded compounds with a very weak inhibitory activity. Surprisingly, the introduction of a geminal-dimethyl group instead of the carbonyl gave a quite potent activator (EC50 = 3 μM).
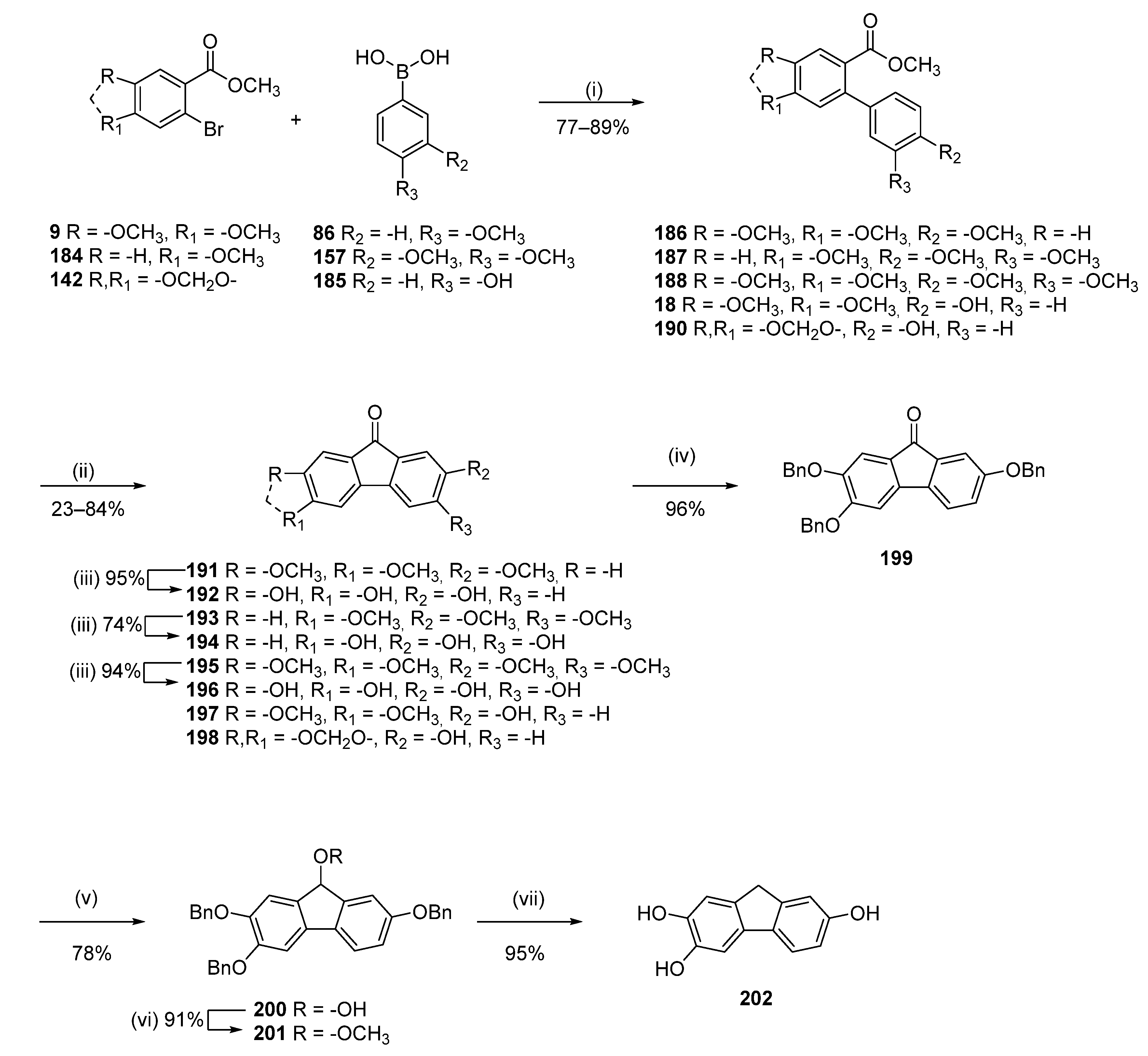
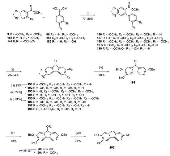
Subsequently, we decided to explore a molecular simplification of urolithin C to produce a fluorenone nucleus. A few analogues were synthesized with a different substitution pattern (192, 194, 196–198, 202). Moreover, further simplification of the fluorenone resulted in few benzophenone analogues (209–211). The synthesis of all these analogues is shown in Scheme 15; Scheme 16. The corresponding methyl ester was reacted with the selected boronic acids to afford the key intermediates 186–190. These intermediates were converted into the corresponding fluorenones by intramolecular Friedel–Crafts acylation catalyzed by triflic acid. Deprotection of the methoxy groups gave 192, 194, and 196, while 197 and 198 did not require any additional steps. Compound 202 was instead obtained from 192 by benzyl protection, reduction, and alkylation of the resulting alcohol. Finally, deprotection/reduction by H2/Pd gave the desired fluorene compound.
Scheme 15.
Reagents and conditions: (i) K2CO3, Pd(PPh3)4, H2O, dioxane, 110 °C, MW, 2 h; (ii) CF3SO3H, CHCl3, 60 °C, 12 h; (iii) BBr3, CH2Cl2, rt, 12 h; (iv) BnBr, K2CO3, DMF, 80 °C, 12 h; (v) NaBH4, MeOH, rt, 2 h; (vi) H2SO4, MeOH, reflux 2 h; (vii) Pd/C, H2, MeOH, DMF, rt, 12 h.
Scheme 16.
Reagents and conditions: (i) (a) SOCl2, reflux, 2 h, (b), AlCl3, CH2Cl2, reflux, 2 h; (ii) BBr3, CH2Cl2, rt, 12 h.
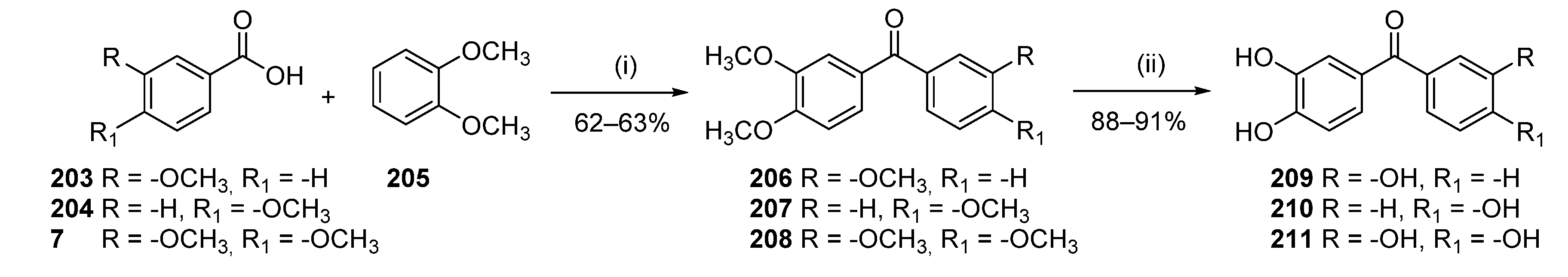
The benzophenone compounds were easily isolated in two steps by Friedel–Crafts acylation of 1,2-dimethoxybenzene with the corresponding acid and subsequent deprotection.
Interestingly, the two fluorenone analogues of 1, compounds 192 and 194, retained most of the activity of their parent molecule (Table 5). In particular, the position of the phenolic group plays a relevant role since the 6-OH derivative (194) is slightly more active than 1 and twice as active as 192. Adding an additional -OH (196) resulted in an 8–10-fold drop in the IC50 value. Alkylation of the catechol moiety resulted in completely inactive compounds (197, 198). Similarly, removing the carbonyl group as in 202 resulted in a drop in activity. Finally, all the benzophenone analogues 209–211 showed no significant inhibitory effect.
Table 5.
Fluorenone derivatives. IC50 values for PKL and PKR.
2.6. SAR Summary
Three major SAR series were explored by modifying the phenol, catechol, and lactone moiety (Figure 3). At the phenolic position, a carboxylic acid or an amide seems to be tolerated while any other substitution led to a loss of activity.
Figure 3.
SAR summary.
Modifications of the catechol group with standard and non-standard bioisosteres and other chemical modifications resulted in a loss of activity, suggesting that this group is needed for the activity. The most promising group for further substitution seems to be the lactone. Molecular simplification to obtain a carbonyl resulted in 194, which was slightly more active than the parent compound. In general, we discovered that these molecules need fine-tuning, and even slight modifications might lead to inactive compounds or—more surprisingly—to an activation of the enzyme.
3. Material and Methods
3.1. Chemistry General Methods
3.1.1. General Information
All reagents were purchased from Sigma-Aldrich and Fluorochem and were used without further purification unless noted otherwise. Solvents were dried on a solvent purification system (PS-MD-5/7 Inert technology). Microwave reactions were performed in capped vials using a Biotage Initiator Sixty instrument with fixed hold time. The reactions were monitored by LC-MS (Perkin Elmer Series 200; Waters Symmetry C8 column 3.5 µm, 4.6 × 50 mm; water:CH3CN (0.1% formic acid)) or by thin-layer chromatography (TLC) on silica-plated aluminum sheets (Silica gel 60 F254, E. Merck, (Rahway, NJ, USA)) and detecting spots by UV light (λ = 254 nm). Flash column chromatography was performed on silica gel 60 (0.040−0.063 mm), manually or using a Biotage SP4 Flash instrument, using silica gel SNAP KP-Sil FSK0-1107 cartridges. NMR spectra were recorded on a Varian NMR 400, Brucker 700 or Oxford 800 (Brucker, (Billerica, MA, USA)) spectrometer at 25 °C unless noted otherwise, using CDCl3, CD3OD, or DMSO-d6 as solvent as indicated. Chemical shifts are reported in ppm with the solvent residual peak as internal standard: 1H—residual CHCl3 (δH 7.26), CD3OD (δH 3.31) or DMSO-d6 (δH 2.50) and 13C—CDCl3 (δC 77.16), CD3OD (δC 49.80) or DMSO-d6 (δC 39.52). NMR data are reported as follows: chemical shift, number of protons/carbons, multiplicity (s, singlet; d, doublet; t, triplet; q, quartet; m, multiplot; br, broadened), coupling constants (Hz). Melting points were recorded on a Büchi melting point apparatus B-545 or a Mettler FP82 hot stage equipped with a FP80 temperature controller and are uncorrected. High resolution mass spectra (HRMS) were recorded on an Agilent 6520 quadrupole time of flight instrument coupled to an Agilent 1290 infinity ultra-performance liquid chromatography instrument (Santa Clara, CA, USA). Samples were dissolved in acetonitrile and eluted using isocratic elution (100% acetonitrile) with a flow rate of 0.4 mL/min. A mass spectrometer was operated in positive electrospray ionization scanning mode between 50 and 1200 m/z. Ion source parameters were as follows: drying gas flow 10 L/min and temperature 325 °C and nebulizer pressure 35 psig. The mass spectrometer was calibrated before analyses.
3.1.2. General Procedure A
The compound was obtained following the literature procedure [23]. To a suspension of the corresponding 2-bromo benzoic acid (1 mmol) and resorcinol (4) (3 mmol) in water (3.0 mL), an aqueous solution of NaOH (4 M aq, 1 mmol) was added and the mixture was stirred at room temperature until it became a clear solution. Then, Na2CO3 (2.2 mmol) was added, and the mixture was stirred at 50 °C for 10 min. Subsequently, CuI (0.3 mmol) was added, and the reaction mixture was stirred at 50 °C for 24 h (until full conversion, reaction monitored by LC-MS). The resulting suspension was filtered and the solid obtained dried. Crystallization or purification by flash column chromatography afforded the desired compound.
3.1.3. General Procedure B
To a solution of the corresponding methyl ether (1 mmol) in CH2Cl2 (10.0 mL), BBr3 (1.0 M in CH2Cl2, 3 mmol per methyl ether in the starting material) was added dropwise at 0 °C. The solution was stirred at room temperature for 12–72 h (until full conversion, reaction monitored by LC-MS). Water (20.0 mL) was added to quench the reaction and the aqueous layer was extracted with EtOAc (3 × 20 mL). The combined organic layers were dried over Na2SO4, filtered, and concentrated under reduced pressure. Crystallization, trituration, or purification by flash column chromatography afforded the desired compound.
3.1.4. General Procedure C
To a solution of the selected benzoic acid (1 mmol) in MeOH (3 mL) a few drops of concentrated H2SO4 (cat.) were added. The resulting mixture was refluxed for 12 h. The solvent was then removed under reduced pressure and the desired compound obtained by crystallization or by flash column chromatography.
3.1.5. General Procedure D
The compound was obtained following the literature procedure [24]. The selected halide (1 mmol), boronic acid (1.1 mmol), Pd(PPh3)4 (0.1 mmol) and K2CO3 (2 mmol) or K3PO4 (4 mmol) were placed in a microwave vial. A degassed solution (nitrogen sparging) of 1,4-dioxane:water (1:1, 10.0 mL) was added. The mixture was stirred at 110 °C in the microwave for 2 h. The reaction mixture was then rinsed with water (10.0 mL) and extracted with EtOAc (3 × 10.0 mL). The combined organic layers were dried over Na2SO4, filtered, and concentrated under reduced pressure. Purification by flash column chromatography afforded the desired compound.
3.1.6. General Procedure E
To a solution of methyl ester (1 mmol) in 1,4-dioxane (10.0 mL), LiOH (2 M aq, 2 mmol) was added. The reaction mixture was stirred at reflux for 12 h (or until full conversion, reaction monitored by TLC). Then, the reaction mixture was cooled down to room temperature and dioxane was evaporated under reduced pressure. The residue was diluted with water (20.0 mL) and acidified to pH 1–2 by addition of an aqueous solution of HCl (1 M). The aqueous solution was extracted with EtOAc (3 × 40.0 mL); the combined organic layers were dried over Na2SO4, filtered, and concentrated under reduced pressure to afford the corresponding carboxylic acid.
3.1.7. General Procedure F
The compound was obtained following the literature procedure [17]. To a solution of the corresponding 2-aryl benzoic acid (1 mmol) in water:CH3CN (1:1, 10.0 mL), K2S2O8 (2 mmol) and AgNO3 (0.01 mmol) were added. The reaction mixture was stirred at 50 °C for 12 h (until full conversion, reaction monitored by LC-MS). Then, CH3CN was removed under reduced pressure. The remaining aqueous solution was basified to pH 9 with a saturated aqueous solution of NaHCO3 and extracted with EtOAc (3 × 10.0 mL), and the combined organic layers were dried over Na2SO4, filtered, and concentrated under reduced pressure. Purification by flash column chromatography afforded the desired compound.
3.1.8. General Procedure G
This procedure was previously reported for the synthesis of dibenzopyranones [18]. To a suspension of the selected acid (1.00 mmol) in 1,2-dichloroethane (15 mL), N-iodosuccinimide (0.9 g, 4.0 mmol) was added. The reaction mixture was stirred at 80 °C for 20 h. The reaction mixture was cooled down to room temperature, EtOAc (70 mL) was added, the suspension was washed with a saturated aqueous solution of Na2S2O3 (3 × 30 mL) and water (2 × 30 mL), and then the organic layer was evaporated under reduced pressure. Crystallization, trituration, or purification by flash column chromatography afforded the desired compound.
3.1.9. General Procedure H
To a solution of the selected benzylated derivative (1 mmol) in DMF/MeOH (2:1, 10.0 mL), 10% Pd/C was added (10% w/w for each group to be reduced/deprotected) and the reaction stirred at room temperature for 24 h (until full conversion, reaction monitored by LC-MS). The catalyst was then filtered on a Celite pad, and the solvent removed under reduced pressure to afford the desired compound.
3.1.10. General Procedure I
To a suspension of the selected aniline (1 mmol) in CH3CN (15 mL), DIPEA (9 mL) and appropriate acyl chloride (4.5 mmol) were added. The reaction mixture was stirred at room temperature. After complete conversion of the starting material, the reaction was quenched with MeOH, and the solvent removed under reduced pressure. The obtained crude was suspended in CH2Cl2 and filtered. The resulting solid was washed with a mixture of CH2Cl2/MeOH to yield the acylated compound.
3.1.11. General Procedure J
To a suspension of the selected aldehyde (0.75 mmol) in t-BuOH (12 mL) and CH3CN (2.5 mL), 2-methyl-2-butene (0.6 mL, 5.66 mmol), and a solution of NaClO2 (80%, 170 mg, 1.5 mmol) and KH2PO4 (204 mg, 1.5 mmol) in water (6 mL) were added dropwise (exothermic). The reaction mixture was stirred at room temperature for 24 h. A second portion of NaClO2 (85 mg) and KH2PO4 (102 mg) in water (3 mL) was added and the reaction mixture was stirred for additional 24 h. Then, an aqueous solution of HCl (1 M, 2 mL), water (30 mL), and EtOAc (40 mL) were added. The layers were separated, and the aqueous layer was extracted with EtOAc (3 × 20 mL). The combined organic layers were dried over Na2SO4, filtered, and concentrated under reduced pressure. The crude was triturated with pentane and Et2O to afford the desired product.
3.1.12. General Procedure K
To a solution of the selected phenol (1 mmol) and K2CO3 (2.5 mmol per phenolic group) in acetone (30 mL), benzyl bromide was added (2.5 mmol per phenolic group). The mixture was stirred at room temperature for 12–24 h (until full conversion, reaction monitored by TLC). The reaction was then filtered, and the solvent concentrated under reduced pressure. Purification by flash chromatography afforded the desired compound.
Synthesis of 3,9-dihydroxy-6H-benzo[c]chromen-6-one (6)
3-Hydroxy-9-methoxy-6H-benzo[c]chromen-6-one (5)
Following general procedure A, 2-bromo-4-methoxybenzoic acid (3) (0.92 g, 4.00 mmol) was reacted and recrystallized from MeOH to afford 0.71 g (73%) of 5 as a pink solid. Mp = 272–274 °C; 1H NMR (400 MHz, DMSO-d6) δ 10.32 (s, 1H), 8.43–7.90 (m, 2H), 7.64 (s, 1H), 7.26–6.21 (m, 3H), 3.95 (s, 3H); 13C NMR (101 MHz, DMSO-d6) δ 164.81, 160.81, 132.04, 116.45, 112.67, 110.20, 105.17, 56.37.
3,9-dihydroxy-6H-benzo[c]chromen-6-one (6)
Following general procedure B, 5 (0.200 g, 0.82 mmol) was reacted and triturated with Et2O to afford 0.18 g (95%) of 6 as a grey solid. Mp > 350 °C. 1H NMR (400 MHz, DMSO-d6) δ 10.80 (s, 1H), 10.27 (s, 1H), 8.02 (d, J = 8.7 Hz, 1H), 7.95 (d, J = 8.8 Hz, 1H), 7.42 (d, J = 2.3 Hz, 1H), 6.95 (dd, J = 8.7, 2.2 Hz, 1H), 6.79 (dd, J = 8.7, 2.4 Hz, 1H), 6.69 (d, J = 2.3 Hz, 1H); 13C NMR (101 MHz, DMSO-d6) δ 164.17, 160.78, 160.25, 152.86, 137.83, 132.89, 125.13, 116.93, 113.43, 111.07, 109.81, 106.60, 103.28; HRMS (ESI) m/z: 227.0356 [M − H]−, calculated for C12H8O4 227.0350.
Synthesis of 8,9-dihydroxy-6H-benzo[c]chromen-6-one (13)
2-Bromo-4,5-dimethoxybenzoic acid (8)
To a suspension of 3,4-dimethoxybenzoic acid (7) (5.00 g, 27.44 mmol) in HCl conc. (100.0 mL), bromine (4.82 g, 30.19 mmol) was added dropwise at room temperature. The reaction mixture was stirred for 7 h at room temperature. Water (100.0 mL) was then added, and the resulting precipitate was collected by filtration and recrystallized from MeOH to afford 6.1 g (85%) of 8 as a white solid. Mp = 185–187 °C; 1H NMR (400 MHz, DMSO-d6) δ 7.35 (s, 1H), 7.19 (s, 1H), 3.81 (s, 3H), 3.76 (s, 3H); 13C NMR (101 MHz, DMSO-d6) δ 166.91, 151.93, 148.01, 124.37, 117.18, 114.22, 112.83, 56.52, 56.14.
Methyl 2-bromo-4,5-dimethoxybenzoate (9)
Following general procedure C, 8 (5.00 g, 19.15 mmol) was reacted and crystallized from MeOH to afford 4.43 g (84%) of 9 as a white solid. Mp = 88–90 °C; 1H NMR (400 MHz, CDCl3) δ 7.29 (s, 1H), 6.99 (s, 1H), 3.91–3.71 (m, 9H); 13C NMR (101 MHz, CDCl3) δ 165.85, 151.92, 147.64, 122.62, 116.82, 114.05, 113.84, 56.15, 56.00, 52.17, 50.13.
Methyl 4,5-dimethoxy-[1,1′-biphenyl]-2-carboxylate (10)
Following general procedure D, 9 (0.50 g, 1.81 mmol), phenylboronic acid (0.24 g, 1.99 mmol), were reacted. The crude was purified with flash chromatography (pentane/EtOAc) to afford 0.27 g (55%) of 10 as a colorless oil. 1H-NMR (400 MHz, CDCl3): δ 7.43 (s, 1H), 7.25–7.45 (m, 5H), 6.80 (s, 1H), 3.94 (s, 3H), 3.90 (s, 3H), 3.60 (s, 3H); 13C NMR (101 MHz, CDCl3) δ 167.88, 150.92, 147.46, 141.43, 137.12, 128.20, 127.59, 126.71, 121.67, 113.31, 112.60, 55.84, 55.78, 51.45.
4,5-Dimethoxy-[1,1′-biphenyl]-2-carboxylic acid (11)
Following general procedure E, 10 (0.27 g, 0.99 mmol) was reacted to afford 0.24 g (94%) of 11 as a white solid. Mp = 198–200 °C; 1H-NMR (CDCl3, 400 MHz): δ 7.54 (s, 1H), 7.20–7.44 (m, 5H), 6.78 (s, 1H), 3.95 (s, 3H), 3.91 (s, 3H); 13C NMR (101 MHz, CDCl3) δ 172.75, 151.86, 147.63, 141.43, 138.67, 128.63, 127.87, 127.08, 120.35, 113.99, 113.56, 56.11, 56.08.
8,9-Dimethoxy-6H-benzo[c]chromen-6-one (12)
Following general procedure F, 11 (0.24 g, 0.92 mmol) was reacted and purified by flash chromatography (pentane/EtOAc) to afford 0.19 g (90%) of 12 as a white powder. Mp = 203–205 °C; 1H-NMR (400 MHz, CDCl3,): δ 7.93 (dd, J = 1.5, 7.9 Hz, 1H), 7.73 (s, 1H), 7.41–7.47 (m, 2H), 7.28–7.39 (m, 2H), 4.08 (s, 3H), 3.99 (s, 3H); 13C NMR (101 MHz, CDCl3) δ 161.03, 155.05, 150.96, 150.08, 129.86, 129.53, 124.31, 122.10, 118.02, 117.68, 114.46, 110.44, 102.61, 56.29, 56.28.
8,9-Dihydroxy-6H-benzo[c]chromen-6-one (13)
Following general procedure B, 12 (0.17 g, 0.66 mmol) was reacted and triturated with Et2O to afford 0.110 g (73%) of 13 as a white solid. Mp = 288–290 °C; 1H-NMR (400 MHz, DMSO-d6): δ 10.45 (br s, 1H), 10.22 (br s, 1H), 8.04 (d, J = 8.5 Hz, 1H), 7.60 (s, 1H), 7.55 (s, 1H), 7.44 (ddd, J = 1.5, 7.1, 8.5 Hz, 1H), 7.29–7.38 (m, 2H); 13C NMR (101 MHz, DMSO-d6) δ 160.37, 153.77, 150.61, 147.80, 129.60, 128.58, 124.95, 123.10, 118.46, 117.44, 114.77, 112.98, 108.28, 40.58, 40.22; HRMS (ESI) m/z: 227.036 [M − H]−, calculated for C12H8O4 227.0350.
[1,1′-Biphenyl]-3,4,4′-triol (17)
3,4,4′-Trimethoxy-1,1′-biphenyl (16)
Following general procedure D, 3,4-dimethoxybenzeneboronic acid (14) (0.53 g, 2.94 mmol) and 4-bromoanisole (15) (0.50 g, 2.67 mmol) were reacted and purified by flash chromatography (pentane/EtOAc) to afford 0.57 g (87%) of 16 as a white solid. Mp = 104–106 °C; 1H NMR (400 MHz, CDCl3) δ 7.53–7.43 (m, 2H), 7.13–7.04 (m, 2H), 7.01–6.89 (m, 3H), 3.95 (s, 3H), 3.92 (s, 3H), 3.85 (s, 3H); 13C NMR (101 MHz, CDCl3) δ 158.80, 149.09, 148.14, 133.96, 133.66, 127.84, 118.91, 114.15, 111.49, 110.17, 55.98, 55.91, 55.35.
[1,1′-Biphenyl]-3,4,4′-triol (17)
Following general procedure B, 16 (0.300 g, 1.23 mmol) was reacted and triturated with Et2O to afford 0.19 g (78%) of 17 as a white solid. Mp = 246–248 °C; 1H NMR (400 MHz, CD3OD) δ 7.40–7.24 (m, 2H), 6.97 (d, J = 2.2 Hz, 1H), 6.86 (dd, J = 8.2, 2.2 Hz, 1H), 6.82–6.72 (m, 3H); 13C NMR (101 MHz, CD3OD) δ 155.90, 145.00, 143.85, 133.26, 132.70, 127.05, 117.51, 115.22, 114.98, 113.19; HRMS (ESI) m/z: 201.0564 [M − H]−, calculated for C12H9O3 201.0557.
8,9-dihydroxy-3-(methylamino)-6H-benzo[c]chromen-6-one (26)
Methyl 4′-((tert-butoxycarbonyl)(methyl)amino)-4,5-dimethoxy-[1,1′-biphenyl]-2-carboxylate (20)
Following general procedure D, 9 (250 mg, 0.9 mmol) and tert-butyl-N-methyl-N-[4-(4,4,5,5-tetramethyl-1,3,2-dioxaborolan-2-yl)phenyl]carbamate (18) (0.25 mg, 1.0 mmol) were reacted and purified by flash chromatography (pentane/EtOAc) to afford 20 as a yellow oil (244 mg, 0.6 mmol, 67%). 1H NMR (400 MHz, DMSO-d6) δ 7.34–7.18 (m, 5H), 6.91 (s, 1H), 3.85 (s, 3H), 3.83 (s, 3H), 3.55 (s, 3H), 3.21 (s, 3H), 1.41 (s, 9H); 13C NMR (101 MHz, DMSO-d6) δ 167.87, 153.70, 150.91, 147.48, 142.30, 137.50, 135.08, 128.43, 124.67, 121.89, 113.63, 112.67, 79.61, 55.75, 55.72, 51.63, 51.61, 36.98, 27.95.
4′-((tert-butoxycarbonyl)(methyl)amino)-4,5-dimethoxy-[1,1′-biphenyl]-2-carboxylic acid (22)
Following general procedure E (reaction conducted at 65 °C), 20 (180 mg, 0.5 mmol) was reacted to afford 0.17 g (99%) of 22 as a white solid. The compound was used in the next step without any purification. 1H NMR (400 MHz, DMSO-d6) δ 7.42 (d, J = 8.6 Hz, 2H), 7.16 (d, J = 8.6 Hz, 2H), 6.99 (s, 1H), 6.72 (s, 1H), 3.75 (d, J = 4.2 Hz, 6H), 3.19 (s, 3H), 1.41 (s, 9H).
Tert-butyl (8,9-dimethoxy-6-oxo-6H-benzo[c]chromen-3-yl)(methyl)carbamate (24)
Following general procedure F, 22 (0.17 g, 0.49 mmol) was reacted and purified by flash chromatography (pentane/EtOAc) to afford 24 as an orange solid 0.09 mg (55%). 1H NMR (400 MHz, DMSO-d6) δ 8.35 (d, J = 9.4 Hz, 1H), 7.81 (s, 1H), 7.60 (s, 1H), 7.38–7.33 (m, 2H), 4.04 (s, 3H), 3.91 (s, 3H), 3.27 (s, 3H), 1.43 (s, 9H); 13C NMR (101 MHz, DMSO-d6) δ 160.00, 155.25, 153.33, 150.26, 149.72, 144.50, 129.41, 123.33, 121.20, 114.54, 112.90, 112.66, 109.82, 104.16, 80.29, 56.45, 55.77, 36.72, 27.91.
8,9-dihydroxy-3-(methylamino)-6H-benzo[c]chromen-6-one (26)
Following general procedure B, 24 (0.04 g, 0.1 mmol) was reacted and triturated with Et2O to afford 0.02 g (82%) of 25 as a brown solid. Mp = 279–281 °C; 1H NMR (400 MHz, CD3OD) δ 8.14 (d, J = 8.8 Hz, 1H), 7.64 (s, 1H), 7.56 (s, 1H), 7.35–7.20 (m, 2H), 3.09 (s, 3H); 13C NMR (101 MHz, CD3OD) δ 162.04, 155.04, 152.47, 149.18, 139.42, 129.24, 125.76, 125.74, 120.13, 118.43, 115.58, 114.26, 111.23, 108.70, 37.11; HRMS (ESI): m/z: 258,0773 [M + H]+; calculated C14H12NO4: 258,0761.
3-Amino-8,9-dihydroxy-6H-benzo[c]chromen-6-one (28)
Methyl 4,5-dimethoxy-4′-nitro-[1,1′-biphenyl]-2-carboxylate (21)
Following general procedure D, 9 (3.080 g, 11.2 mmol) and 4-nitrobenzeneboronic acid (19) (2.056 g, 12.3 mmol), were reacted and purified by flash chromatography (pentane/EtOAc) to afford 1.92 g (54%) of 21 as a pale-orange solid. Mp = 134–136 °C; 1H-NMR (400 MHz, CDCl3) δ 8.26–8.23 (m, 2H), 7.52 (s, 1H), 7.45–7.41 (m, 2H), 6.73 (s, 1H), 3.98 (s, 3H), 3.93 (s, 3H), 3.65 (s, 3H); 13C NMR (101 MHz, CDCl3) δ 167.22, 151.73, 148.94, 148.68, 147.02, 135.49, 129.64, 123.25, 121.59, 113.34, 113.24, 56.36, 56.33, 52.10.
4,5-Dimethoxy-4′-nitro-[1,1′-biphenyl]-2-carboxylic acid (23)
Following general procedure E, 21 (1.910 g, 6.02 mmol) was reacted to afford 1.79 g (98%) of 23 as a pale-brown solid. Mp = 266–268 °C; 1H-NMR (400 MHz, DMSO-d6) δ 12.66 (br s, 1H), 8.24–8.21 (m, 2H), 7.59–7.56 (m, 2H), 7.44 (s, 1H), 6.92 (s, 1H), 3.86 (s, 3H), 3.85 (s, 3H); 13C NMR (101 MHz, DMSO-d6) δ 167.87, 150.89, 148.62, 148.11, 146.27, 133.98, 130.05, 122.85, 122.61, 113.71, 113.15, 55.84, 55.72.
8,9-Dimethoxy-3-nitro-6H-benzo[c]chromen-6-one (25)
Following general procedure G, 23 (1.090 g, 3.594 mmol) was reacted and triturated from CH2Cl2 to afford 0.9 g (84%) of 25 as a yellow solid. Mp = 322–324 °C; 1H-NMR (400 MHz, DMSO-d6) δ 8.73 (d, J = 8.7 Hz, 1H), 8.24–8.20 (m, 2H), 7.99 (s, 1H), 7.68 (s, 1H), 4.07 (s, 3H), 3.96 (s, 3H); 13C-NMR (201 MHz, DMSO-d6, 60 °C because of low solubility in DMSO) δ 158.88, 155.24, 151.31, 149.83, 147.06, 127.40, 124.71, 123.77, 118.56, 114.36, 112.21, 110.19, 105.50, 56.46, 55.88.
3-Amino-8,9-dimethoxy-6H-benzo[c]chromen-6-one (27)
Following general procedure H (conducted at 50 °C), 25 (1.410 g, 4.68 mmol) was reacted to afford to afford 1.16 g (92%) of 27 as a beige solid. Mp = 318–320 °C; 1H-NMR (400 MHz, DMSO-d6) δ 7.99 (d, J = 8.6 Hz, 1H), 7.57 (s, 1H), 7.49 (s, 1H), 6.61 (dd, J = 8.6, 2.2 Hz, 1H), 6.46 (d, J = 2.2 Hz, 1H), 5.79–5.77 (m, 2H), 3.99 (s, 3H), 3.85 (s, 3H); 13C-NMR (101 MHz, DMSO-d6) δ 160.62, 155.28, 152.20, 150.98, 148.07, 131.51, 124.28, 111.38, 110.66, 109.65, 106.18, 102.60, 99.59, 56.20, 55.60.
3-Amino-8,9-dihydroxy-6H-benzo[c]chromen-6-one (28)
Following general procedure B, 27 (0.040 g, 0.15 mmol) was reacted to afford 0.030 g (84%) of 28 as a white solid. Mp > 350 °C; 1H-NMR (400 MHz, CD3OD): δ 8.20 (d, J = 9.2 Hz, 1H, Ar-H), 7.64 (s, 1H, Ar-H), 7.59 (s, 1H, Ar-H), 7.33–7.39 (m, 2H, Ar-H); 13C NMR (101 MHz, CD3OD) δ 160.55, 153.65, 150.90, 147.86, 130.89, 127.72, 124.25, 119.16, 118.67, 114.16, 112.93, 111.74, 107.37; HRMS (ESI) m/z: 242.0462 [M − H]−, calculated for C13H8NO4 242.0459.
N-(8,9-dihydroxy-6-oxo-6H-benzo[c]chromen-3-yl)acetamide (33)
N-(8,9-dimethoxy-6-oxo-6H-benzo[c]chromen-3-yl)acetamide (29)
Following general procedure I, 27 (70.0 mg, 0.258 mmol) and acetyl chloride (83 µL, 1.162 mmol) were reacted to afford 0.06 g (71%) of 29 as a beige solid. Mp = 333–335 °C; 1H NMR (400 MHz, DMSO-d6) δ 10.29 (s, 1H), 8.30 (d, J = 8.8 Hz, 1H), 7.76 (d, J = 2.1 Hz, 1H), 7.73 (s, 1H), 7.56 (s, 1H), 7.47 (dd, J = 8.7, 2.1 Hz, 1H), 4.02 (s, 3H), 3.89 (s, 3H), 2.09 (s, 3H); 13C NMR (101 MHz, dm DMSO-d6) δ 168.81, 160.12, 155.26, 150.73, 149.39, 140.64, 129.84, 123.95, 115.13, 112.82, 112.43, 109.77, 106.23, 103.73, 56.38, 55.75, 39.99, 24.15.
N-(8,9-dihydroxy-6-oxo-6H-benzo[c]chromen-3-yl)acetamide (33)
Following general procedure B, 29 (0.033 g, 0.11 mmol) was reacted to afford 0.023 g (77%) of 33 as a beige solid. Mp > 350 °C; 1H NMR (400 MHz, DMSO-d6) δ 10.43 (s, 1H), 10.25 (s, 1H), 10.14 (s, 1H), 7.96 (d, J = 8.8 Hz, 1H), 7.71 (d, J = 2.1 Hz, 1H), 7.52 (s, 1H), 7.50 (s, 1H), 7.45 (dd, J = 8.7, 2.1 Hz, 1H), 2.08 (s, 3H); 13C NMR (101 MHz, DMSO-d6) δ 168.76, 160.14, 153.43, 150.45, 146.77, 140.12, 128.50, 123.08, 115.31, 114.28, 113.03, 111.68, 107.30, 106.32, 24.15; HRMS (ESI): m/z: 286,0712 [M + H]+; calculated for C15H12NO5: 286,071.
N-(8,9-dihydroxy-6-oxo-6H-benzo[c]chromen-3-yl)propionamide (34)
N-(8,9-dimethoxy-6-oxo-6H-benzo[c]chromen-3-yl)propionamide (30)
Following general procedure I, 27 (0.05 g, 0.184 mmol) and propionyl chloride (48 µL, 0.553 mmol) were reacted to afford 0.04 g (61%) of 30 as a beige solid. Mp = 283–285 °C; 1H NMR (400 MHz, DMSO-d6) δ 10.21 (s, 1H), 8.37–8.21 (m, 1H), 7.77 (d, J = 2.3 Hz, 1H), 7.75–7.70 (m, 1H), 7.59–7.54 (m, 1H), 7.54–7.48 (m, 1H), 4.05–3.99 (m, 3H), 3.89 (t, J = 1.4 Hz, 3H), 2.42–2.33 (m, 2H), 1.16–1.05 (m, 3H); 13C NMR (101 MHz, DMSO-d6) δ 172.47, 160.14, 155.26, 150.74, 149.37, 140.72, 129.86, 123.94, 115.17, 112.73, 112.40, 109.77, 106.22, 103.72, 56.37, 55.74, 29.61, 9.46.
N-(8,9-dihydroxy-6-oxo-6H-benzo[c]chromen-3-yl)propionamide (34)
Following general procedure B, 30 (0.022 g, 0.07 mmol) was reacted to afford 0.016 g (78%) of 34 as a beige solid. Mp > 350 °C; 1H NMR (400 MHz, DMSO-d6) δ 10.71–9.79 (m, 3H), 7.96 (d, J = 8.8 Hz, 1H), 7.73 (d, J = 2.1 Hz, 1H), 7.52 (s, 1H), 7.50 (s, 1H), 7.47 (dd, J = 8.7, 2.1 Hz, 1H), 2.37 (q, J = 7.5 Hz, 2H), 1.10 (t, J = 7.5 Hz, 3H); 13C NMR (101 MHz, DMSO-d6) δ 172.41, 160.14, 153.43, 150.46, 146.74, 140.18, 128.51, 123.05, 115.32, 114.26, 112.93, 111.64, 107.28, 106.31, 29.61, 9.52; HRMS (ESI): m/z: 300,0872 [M + H]+; calculated for C16H14NO5: 300,0874.
N-(8,9-dihydroxy-6-oxo-6H-benzo[c]chromen-3-yl)butyramide (35)
N-(8,9-dimethoxy-6-oxo-6H-benzo[c]chromen-3-yl)butyramide (31)
Following general procedure I, 27 (0.07 g, 0.258 mmol) and butyryl chloride (40 μL, 0.387 mmol) were reacted to afford 0.054 g (61%) of 31 as a beige solid. Mp = 287–288 °C; 1H-NMR (400 MHz, DMSO-d6) δ 10.20 (s, 1H), 8.28 (d, J = 8.8 Hz, 1H), 7.76 (d, J = 2.1 Hz, 1H), 7.72 (s, 1H), 7.55 (s, 1H), 7.49 (dd, J = 8.8, 2.1 Hz, 1H), 4.00 (s, 3H), 3.88 (s, 3H), 2.32 (t, J = 7.4 Hz, 2H), 1.67–1.57 (m, 2H), 0.91 (t, J = 7.4 Hz, 3H); 13C-NMR (101 MHz, DMSO-d6) δ 171.64, 160.14, 155.26, 150.74, 149.38, 140.66, 129.86, 123.94, 115.20, 112.78, 112.42, 109.77, 106.26, 103.73, 56.38, 55.75, 38.41, 18.41, 13.65.
N-(8,9-dihydroxy-6-oxo-6H-benzo[c]chromen-3-yl)butyramide (35)
Following general procedure B, 31 (0.04 g, 0.117 mmol) was reacted to afford 0.031 g (84%) of 35 a pale-pink-brown solid. Mp > 350 °C; 1H-NMR (400 MHz, DMSO-d6) δ 10.42 (br s, 1H), 10.18 (s, 1H), 10.13 (br s, 1H), 7.96 (d, J = 8.8 Hz, 1H), 7.73 (d, J = 2.1 Hz, 1H), 7.52 (s, 1H), 7.50 (s, 1H), 7.47 (dd, J = 8.8, 2.1 Hz, 1H), 2.33 (t, J = 7.3 Hz, 2H), 1.68–1.58 (m, 2H), 0.93 (t, J = 7.3 Hz, 3H); 13C-NMR (101 MHz, DMSO-d6) δ 171.57, 160.13, 153.41, 150.44, 146.74, 140.12, 128.50, 123.04, 115.35, 114.26, 112.97, 111.65, 107.29, 106.34, 38.41, 18.45, 13.64; HRMS (ESI) calculated for C17H16NO5 [M + H]+ 314.1023, found 314.1031.
N-(8,9-Dihydroxy-6-oxo-6H-benzo[c]chromen-3-yl)methanesulfonamide (36)
N-(8,9-Dimethoxy-6-oxo-6H-benzo[c]chromen-3-yl)methanesulfonamide (32)
To a suspension of 27 (0.0045 g, 0.166 mmol) in pyridine (1.6 mL) at 0 °C, mesyl chloride (15 μL, 0.18 mmol) was added. The reaction mixture was stirred from 0 °C to room temperature for 15 h. Then, a second portion of mesyl chloride (15 μL, 0.18 mmol) was added and the reaction mixture was stirred for 2 h. Then, the reaction mixture was diluted with EtOAc (50 mL), washed with a saturated aqueous solution of Cu2SO4 (1 × 10 mL), water (1 × 10 mL), an aqueous solution of HCl (1 M, 2 × 10 mL), and water (3 × 20 mL). The organic layer was concentrated under reduced pressure and the residue was dried by co-evaporation with toluene (×3) to afford 0.042 g (73%) of 32 as a pale-brown solid. Mp = 304–306 °C; 1H-NMR (400 MHz, DMSO-d6) δ 10.21 (s, 1H), 8.33 (d, J = 8.4 Hz, 1H), 7.73 (s, 1H), 7.56 (s, 1H), 7.21–7.18 (m, 2H), 4.02 (s, 3H), 3.89 (s, 3H), 3.12 (s, 3H); 13C-NMR (101 MHz, DMSO-d6) δ 159.92, 155.27, 150.99, 149.51, 139.86, 129.61, 124.65, 115.11, 113.31, 112.47, 109.78, 106.24, 103.82, 56.42, 55.75.
N-(8,9-Dihydroxy-6-oxo-6H-benzo[c]chromen-3-yl)methanesulfonamide (36)
Following general procedure B, 32 (0.033 g, 0.095 mmol) was reacted and triturated with Et2O and CH2Cl2 to afford 0.014 g (46%) of 35 a pale-brown solid. Mp = 323–325 °C; 1H-NMR (400 MHz, DMSO-d6) δ 10.44 (br s, 1H), 10.17 (br s, 1H), 10.15 (br s, 1H), 8.01 (d, J = 8.6 Hz, 1H), 7.53 (app s, 2H), 7.18–7.14 (m, 2H), 3.09 (s, 3H); 13C-NMR (101 MHz, DMSO-d6) δ 159.9, 153.5, 150.7, 146.9, 139.3, 128.3, 123.8, 115.3, 114.3, 113.6, 111.7, 107.4, 106.4, 39.6; HRMS (ESI) calculated for C14H12NO6S [M + H]+ 322.0380, found 322.0374.
3-Fluoro-8,9-dihydroxy-6H-benzo[c]chromen-6-one (61)
Methyl 4′-fluoro-4,5-dimethoxy-[1,1′-biphenyl]-2-carboxylate (43)
Following general procedure D, 9 (0.50 g, 1.81 mmol) and 4-fluorobenzeneboronic acid (37) (0.51 g, 2.00 mmol) were reacted. The compound was extracted and used directly for the next step.
4′-Fluoro-4,5-dimethoxy-[1,1′-biphenyl]-2-carboxylic acid (49)
Following general procedure E, crude 43 was reacted to afford 0.25 (48% over 2 steps) of 49 as a white solid. Mp = 212–214 °C; 1H NMR (400 MHz, CD3OD) δ 7.48 (s, 1H), 7.32–7.26 (m, 2H), 7.11–7.04 (m, 2H), 6.84 (s, 1H), 3.90 (s, 3H), 3.88 (s, 3H); 13C NMR (101 MHz, CD3OD) δ 163.55 (d, J = 243.9 Hz), 139.27 (d, J = 3.4 Hz), 131.53 (d, J = 8.1 Hz), 115.47 (d, J = 21.7 Hz); 19F NMR (659 MHz, DMSO-d6) δ -116.48.
3-Fluoro-8,9-dimethoxy-6H-benzo[c]chromen-6-one (55)
Following general procedure F, 49 (0.2 g, 0.72 mmol) was reacted and purified by flash chromatography (pentane/EtOAc) to afford 0.1 g (50%) of 55 as a brown solid. Mp = 256–258 °C; 1H NMR (400 MHz, CDCl3) δ 7.93 (dd, J = 8.6, 5.8 Hz, 1H), 7.74 (s, 1H), 7.37 (s, 1H), 7.13–7.02 (m, 2H), 4.10 (s, 3H), 4.01 (s, 3H); 13C NMR (101 MHz, cdcl3) δ 163.08 (d, J = 250.4 Hz), 151.98 (d, J = 12.3 Hz), 123.76 (d, J = 9.7 Hz), 114.83 (d, J = 3.1 Hz), 113.80 (d, J = 1.3 Hz), 112.35 (d, J = 22.5 Hz), 105.21 (d, J = 25.2 Hz); 19F NMR (659 MHz, DMSO) δ -116.48.
3-Fluoro-8,9-dihydroxy-6H-benzo[c]chromen-6-one (61)
Following general procedure B, 55 (0.05 g, 0.36 mmol) was reacted and triturated with Et2O to afford 0.26 g (85%) of 61 as a white solid. Mp = 312–314 °C; 1H NMR (700 MHz, DMSO-d6) δ 10.51 (s, 1H), 10.26 (s, 1H), 8.13 (dd, J = 9.5, 6.3 Hz, 1H), 7.59 (s, 1H), 7.55 (s, 1H), 7.34 (dd, J = 9.7, 3.1 Hz, 1H), 7.23 (tt, J = 9.6, 4.8 Hz, 1H); 13C NMR (151 MHz, DMSO-d6) δ 162.37 (d, J = 246.7 Hz), 160.22, 154.02, 151.45 (d, J = 12.6 Hz), 147.70, 129.07–123.24 (m), 115.43, 114.76, 112.49 (d, J = 22.0 Hz), 112.19, 108.36, 104.81 (d, J = 25.5 Hz); 19F NMR (564 MHz, DMSO) δ -111.40; HRMS (ESI) calculated for C13H8FO4 [M + H]+ 247.0407, found 247.0409.
8,9-Dihydroxy-3-(trifluoromethyl)-6H-benzo[c]chromen-6-one (62)
Methyl 4,5-dimethoxy-4′-(trifluoromethyl)-[1,1′-biphenyl]-2-carboxylate (44)
Following general procedure D, 9 (0.50 g, 1.81 mmol) and 4-(trifluoromethyl)benzeneboronic acid (38) (0.38 g, 2.00 mmol) were reacted and purified by flash chromatography (pentane/EtOAc) to afford 0.55 (89%) of 44 as a beige solid. Mp = 94–97 °C; 1H-NMR (700 MHz, CDCl3) δ 7.64 (d, J = 8.0 Hz, 2H), 7.50 (s, 1H), 7.40 (d, J = 8.0 Hz, 2H), 6.75 (s, 1H), 3.98 (s, 3H), 3.93 (s, 3H), 3.64 (s, 3H); 13C-NMR (101 MHz, CDCl3) δ 167.6, 151.6, 148.3, 145.7 (q, J = 1.2 Hz), 136.3, 129.2 (q, J = 32.5 Hz) 129.0, 124.9 (q, J = 3.8 Hz), 124.4 (q, J = 272.1 Hz), 121.7, 113.5, 113.2, 56.3, 56.2, 52.0; 19F-NMR (659 MHz, CDCl3) δ –62.36.
4,5-Dimethoxy-4′-(trifluoromethyl)-[1,1′-biphenyl]-2-carboxylic acid (50)
Following general procedure E, 44 (0.5 g, 0.99 mmol) was reacted to afford 0.46 g (98%) of 50 as a pale-yellow solid. Mp = 190–193 °C; 1H-NMR (400 MHz, CDCl3) δ 7.63 (d, J = 8.0 Hz, 2H), 7.58 (s, 1H), 7.41 (d, J = 8.0 Hz, 2H), 6.73 (s, 1H), 3.97 (s, 3H), 3.93 (s, 3H); 13C-NMR (101 MHz, CDCl3) δ 170.32, 152.26, 148.32, 145.40, 137.44, 129.18, 124.93, 124.41 (q, J = 272.3 Hz), 120.06, 113.89, 113.86, 56.35, 56.33.
8,9-Dimethoxy-3-(trifluoromethyl)-6H-benzo[c]chromen-6-one (56)
Following general procedure F, 50 (0.44 g, 1.35 mmol) was reacted and purified by flash chromatography (pentane/EtOAc) to afford 0.36 g (84%) of 56 as a brown solid. Mp = 233–234 °C; 1H-NMR (400 MHz, DMSO-d6) δ 8.67 (d, J = 8.1 Hz, 1H), 7.95 (s, 1H), 7.82 (d, J = 1.7 Hz, 1H), 7.74 (dd, J = 8.1, 1.7 Hz, 1H), 7.66 (s, 1H), 4.06 (s, 3H), 3.94 (s, 3H); 13C-NMR (101 MHz, DMSO-d6) δ 159.4, 155.2, 150.8, 150.2, 129.4 (q, J = 32.7 Hz), 128.1, 125.0, 123.6 (q, J = 270.2 Hz), 121.6, 120.7 (q, J = 3.7 Hz), 114.4 (q, J = 3.7 Hz), 114.2, 109.9, 105.0, 56.6, 55.9; 19F-NMR (659 MHz, DMSO-d6) δ –60.88.
8,9-Dihydroxy-3-(trifluoromethyl)-6H-benzo[c]chromen-6-one (62)
Following general procedure B, 56 (0.34 g, 1.05 mmol) was reacted and triturated with Et2O to afford 0.26 g (84%) of 62 as a grey solid. Mp = 293–295 °C; 1H-NMR (400 MHz, DMSO-d6) δ 10.59 (br s, 1H), 10.44 (br s, 1H), 8.24 (d, J = 8.6 Hz, 1H), 7.69–7.68 (m, 2H), 7.62 (dd, J = 8.6, 1.7 Hz, 1H), 7.59 (s, 1H); 13C-NMR (101 MHz, DMSO-d6) δ 159.36, 153.44, 149.89, 148.4, 128.82 (q, J = 32.6 Hz), 126.64, 123.98, 123.71 (q, J = 272.2 Hz), 121.76, 120.82 (q, J = 3.8 Hz), 114.50, 114.22 (q, J = 3.8 Hz), 113.18, 108.61; 19F-NMR (659 MHz, DMSO-d6) δ –60.96; HRMS (ESI) calculated for C14H8F3O4 [M + H]+ 297.0369, found 297.0360.
8,9-Dihydroxy-3-methyl-6H-benzo[c]chromen-6-one (63)
Methyl 4,5-dimethoxy-4′-methyl-[1,1′-biphenyl]-2-carboxylate (45)
Following general procedure D, 9 (0.50 g, 1.81 mmol) and 4-tolylboronic acid (39) (0.3 g, 2.181 mmol). were reacted and purified by flash chromatography (pentane/EtOAc) to afford 0.44 (84%) of 45 as a beige solid. Mp = 87–91 °C; 1H-NMR (400 MHz, DMSO-d6) δ 7.30 (s, 1H), 7.20–7.15 (m, 4H), 6.88 (s, 1H), 3.84 (s, 3H), 3.82 (s, 3H), 3.56 (s, 3H), 2.34 (s, 3H); 13C NMR (101 MHz, DMSO-d6) δ 167.92, 150.85, 147.33, 137.88, 136.02, 135.65, 128.53, 128.23, 121.86, 113.64, 112.62, 55.71, 55.68, 51.62, 20.70.
4,5-Dimethoxy-4′-methyl-[1,1′-biphenyl]-2-carboxylic acid (51)
Following general procedure E, 45 (0.39 g, 1.35 mmol) was reacted to afford 0.28 g (76%) of 51 as a white solid. Mp = 226–229 °C; 1H-NMR (400 MHz, DMSO-d6) δ 12.41 (br s, 1H), 7.31 (s, 1H), 7.20–7.15 (m, 4H), 6.82 (s, 1H), 3.82 (s, 3H), 3.82 (s, 3H), 2.33 (s, 3H); 13C-NMR (101 MHz, DMSO-d6) δ 168.83, 150.48, 147.18, 138.32, 135.82, 135.53, 128.42, 128.38, 123.07, 113.75, 112.81, 55.65, 55.63, 20.70.
8,9-Dimethoxy-3-methyl-6H-benzo[c]chromen-6-one (57)
Following general procedure F, 51 (0.25 g, 0.91 mmol) was reacted and purified by flash chromatography (pentane/EtOAc) to afford 0.09 g (38%) of 60 as a yellow solid. Mp = 217–221 °C; 1H-NMR (400 MHz, DMSO-d6) δ 8.28 (d, J = 8.5 Hz, 1H), 7.80 (s, 1H), 7.59 (s, 1H), 7.23–7.22 (m, 2H), 4.03 (s, 3H), 3.90 (s, 3H), 2.41 (s, 3H); 13C-NMR (101 MHz, DMSO-d6) δ 160.08, 155.20, 150.37, 149.60, 140.07, 129.79, 125.44, 123.38, 117.02, 115.26, 112.92, 109.76, 103.98, 56.40, 55.74, 20.83.
8,9-Dihydroxy-3-methyl-6H-benzo[c]chromen-6-one (63)
Following general procedure B, 57 (0.083 g, 0.307 mmol) was reacted and triturated with Et2O to afford 0.07 g (97%) of 67 as a brown solid. Mp = 270–272 °C; 1H-NMR (400 MHz, DMSO-d6) δ 9.84 (br s, 2H), 7.91 (d, J = 8.5 Hz, 1H), 7.56 (s, 1H), 7.54 (s, 1H), 7.16–7.15 (m, 2H), 2.37 (s, 3H); 13C-NMR (101 MHz, DMSO-d6) δ 160.10, 153.35, 150.16, 147.00, 139.33, 128.42, 125.49, 122.43, 117.03, 115.42, 114.30, 112.13, 107.54, 20.81; HRMS (ESI) calculated for C14H11O4 [M + H]+ 243.0657, found 243.0659.
8,9-Dihydroxy-6-oxo-6H-benzo[c]chromene-3-carbaldehyde (64)
Methyl 4′-formyl-4,5-dimethoxy-[1,1′-biphenyl]-2-carboxylate (46)
Following general procedure D, 9 (0.600 g, 2.18 mmol), 4-formylbenzenboronic acid (40) (0.36 g, 2.40 mmol), were reacted and purified by flash chromatography (pentane/EtOAc) to afford 0.56 g (85%) of 46 as a white solid. Mp = 142–144 °C. 1H-NMR (400 MHz, CDCl3): δ 10.01 (s, 1H), 7.86 (d, J = 8.2 Hz, 2H), 7.46 (s, 1H,), 7.41 (d, J = 8.2 Hz, 2H), 6.75 (s, 1H), 3.93 (s, 3H), 3.89 (s, 3H), 3.59 (s, 3H), 13C NMR (101 MHz, CDCl3) δ 191.91, 167.39, 151.41, 148.24, 148.22, 136.15, 134.93, 129.26, 121.58, 113.17, 113.05, 56.13, 56.10, 51.83.
4′-Formyl-4,5-dimethoxy-[1,1′-biphenyl]-2-carboxylic acid (52)
Following general procedure E, 46 (0.65 g, 2.16 mmol) was reacted to afford 0.55 g (89%) of 52 as a white solid. Mp = 249–251 °C; 1H NMR (400 MHz, CDCl3) δ 10.04 (s, 1H), 7.91–7.83 (m, 2H), 7.56 (s, 1H), 7.48–7.41 (m, 2H), 6.74 (s, 1H), 3.95 (s, 3H), 3.93 (s, 3H); 13C NMR (101 MHz, CDCl3) δ 192.17, 171.83, 152.15, 148.21, 148.05, 137.42, 135.02, 129.40, 129.31, 120.03, 113.72, 113.51, 56.17.
8,9-Dimethoxy-6-oxo-6H-benzo[c]chromene-3-carbaldehyde (58)
Following general procedure F, 52 (0.55 g, 1.92 mmol) was reacted and purified by flash chromatography (pentane/EtOAc) to afford 0.22 g (40%) of 58 as a white powder. Mp = 301–303 °C; 1H NMR (400 MHz, DMSO-d6) δ 10.06 (s, 1H), 8.60 (d, J = 8.1 Hz, 1H), 8.02–7.75 (m, 3H), 7.62 (s, 1H), 4.04 (s, 3H), 3.92 (s, 3H); 13C NMR (101 MHz, DMSO-d6) δ 192.54, 160.00, 155.62, 151.40, 150.91, 136.98, 128.75, 125.00, 124.73, 123.54, 118.66, 110.44, 105.64, 57.04, 56.38.
8,9-Dihydroxy-6-oxo-6H-benzo[c]chromene-3-carbaldehyde (64)
Following general procedure B, 58 (0.07 g, 0.24 mmol) was reacted and triturated with Et2O to afford 0.030 g (47%) of 64 as yellow solid. Mp = 352–354 °C; 1H NMR (400 MHz, DMSO-d6) δ 10.73–10.35 (m, 2H), 10.04 (s, 1H), 8.26 (d, J = 8.5 Hz, 1H), 7.83 (dq, J = 3.8, 1.6 Hz, 2H), 7.70 (s, 1H), 7.59 (s, 1H); 13C NMR (101 MHz, DMSO-d6) δ 192.51, 159.99, 153.83, 150.66, 149.06, 136.52, 127.33, 124.95, 124.07, 123.80, 118.63, 114.99, 113.87, 109.35; HRMS (ESI) m/z: 255.0301 [M − H]−, calculated for C14H7O5 255.0299.
8,9-Dihydroxy-3-(methylsulfonyl)-6H-benzo[c]chromen-6-one (65)
Methyl 4,5-dimethoxy-4′-(methylsulfonyl)-[1,1′-biphenyl]-2-carboxylate (47)
Following general procedure D, 9 (0.500 g, 1.82 mmol), 4-(methanesulfonyl)phenylboronic acid (41) (400 mg, 2.00 mmol), were reacted and purified by flash chromatography (pentane/EtOAc) to afford 0.52 g (82%) of 47 as a white solid. Mp = 301–303 °C; 1H NMR (400 MHz, DMSO-d6) δ 7.99–7.87 (m, 2H), 7.59–7.49 (m, 2H), 7.41 (s, 1H), 6.95 (s, 1H), 3.86 (s, 6H), 3.59 (s, 3H), 3.26 (s, 3H); 13C NMR (101 MHz, DMSO-d6) δ 166.95, 151.21, 148.05, 146.24, 139.15, 134.52, 129.46, 126.52, 121.43, 113.83, 112.88, 55.85, 55.78, 51.81, 43.59.
4,5-Dimethoxy-4′-(methylsulfonyl)-[1,1′-biphenyl]-2-carboxylic acid (53)
Following general procedure E, 47 (0.47 g, 1.34 mmol) was reacted to afford 0.31 g (69%) of 53 as a beige crystal. Mp = 201–203 °C; 1H NMR (400 MHz, DMSO-d6) δ 12.62 (s, 1H), 7.95–7.88 (m, 2H), 7.60–7.53 (m, 2H), 7.42 (s, 1H), 6.89 (s, 1H), 3.84 (s, 3H), 3.85 (s, 3H), 3.26 (s, 3H); 13C NMR (101 MHz, DMSO-d6) δ 167.98, 150.84, 147.92, 146.77, 139.02, 134.38, 129.60, 126.40, 122.69, 113.87, 113.09, 55.81, 55.72, 43.56.
8,9-Dimethoxy-3-(methylsulfonyl)-6H-benzo[c]chromen-6-one (59)
Following general procedure I, 53 (0.2 g, 0.59 mmol) was reacted and purified by flash chromatography (pentane/EtOAc) to afford 0.18 g (92%) of 59 as a white powder. Mp = 353–355 °C; 1H NMR (400 MHz, DMSO-d6) δ 8.72 (d, J = 8.4 Hz, 1H), 7.97 (s, 1H), 7.92 (d, J = 1.8 Hz, 1H), 7.89 (dd, J = 8.3, 1.9 Hz, 1H), 7.67 (s, 1H), 4.07 (s, 3H), 3.95 (s, 3H), 3.34 (s, 3H); 13C NMR (201 MHz, DMSO-d6) δ 158.97, 155.22, 150.98, 149.83, 141.07, 127.76, 124.64, 122.20, 121.87, 115.60, 114.23, 110.14, 105.18, 56.43, 55.83, 43.20.
8,9-Dihydroxy-3-(methylsulfonyl)-6H-benzo[c]chromen-6-one (65)
Following general procedure B, 59 (0.07 g, 0.21 mmol) was reacted and triturated with Et2O to afford 0.044 g (69%) of 65 as beige solid. Mp = 319–321 °C; 1H NMR (400 MHz, DMSO-d6) δ 10.57 (s, 2H), 8.33 (d, J = 8.4 Hz, 1H), 7.86 (d, J = 1.9 Hz, 1H), 7.83 (dd, J = 8.3, 1.9 Hz, 1H), 7.71 (s, 1H), 7.60 (s, 1H), 3.31 (s, 3H); 13C NMR (101 MHz, DMSO-d6) δ 159.32, 153.45, 149.74, 148.65, 140.49, 126.54, 124.00, 122.64, 122.35, 115.89, 114.51, 113.35, 108.92, 43.34; HRMS (ESI) m/z: 305.0125 [M − H]−, calculated for C14H9O6S 300.0127.
8,9-Dihydroxy-6-oxo-6H-benzo[c]chromene-3-sulfonamide (66)
Methyl 4,5-dimethoxy-4′-sulfamoyl-[1,1′-biphenyl]-2-carboxylate (48)
Following general procedure D, 9 (0.2 g, 0.73 mmol), (4-aminosulfonylphenyl)boronic acid (42) (0.16 g, 0.80 mmol), were reacted and purified by flash chromatography (pentane/EtOAc) to afford 0.15 g (58%) of 48 as a white solid. Mp = 198–200 °C; 1H NMR (400 MHz, DMSO-d6) δ 7.83–7.77 (m, 2H), 7.46–7.41 (m, 2H), 7.37 (d, J = 2.0 Hz, 3H), 6.92 (s, 1H), 3.83 (s, 3H), 3.83 (s, 3H), 3.57 (s, 3H); 13C NMR (101 MHz, DMSO-d6) δ 166.95, 151.21, 148.05, 146.24, 139.15, 134.52, 129.46, 126.52, 121.43, 113.83, 112.88, 55.85, 55.78, 51.81, 43.59.
4,5-Dimethoxy-4′-sulfamoyl-[1,1′-biphenyl]-2-carboxylic acid (54)
Following general procedure E, 48 (0.5 g, 1.42 mmol) was reacted to afford 0.48 g (quant.) of 54 as a white solid. Mp = 223–225 °C; 1H NMR (400 MHz, DMSO-d6) δ 12.56 (s, 1H), 7.85–7.77 (m, 2H), 7.52–7.44 (m, 2H), 7.40 (d, J = 3.5 Hz, 3H), 6.88 (s, 1H), 3.84 (s, 3H), 3.84 (s, 3H); 13C NMR (101 MHz, DMSO-d6) δ 168.17, 150.80, 147.80, 144.92, 142.37, 134.66, 129.15, 125.14, 122.73, 113.91, 113.07, 55.82, 55.80, 55.74.
8,9-Dimethoxy-6-oxo-6H-benzo[c]chromene-3-sulfonamide (60)
Following general procedure I, 54 (0.2 g, 0.59 mmol) was reacted and purified by flash chromatography (pentane/EtOAc) to afford 0.12 g (60%) of 60 as a beige powder. Mp = 320–322 °C; 1H NMR (400 MHz, DMSO-d6) δ 8.66–8.61 (m, 1H), 7.93 (s, 1H), 7.79 (dd, J = 8.3, 1.9 Hz, 1H), 7.76 (d, J = 1.7 Hz, 1H), 7.66 (s, 1H), 7.57 (s, 2H), 4.06 (s, 3H), 3.94 (s, 3H); 13C NMR (101 MHz, DMSO-d6) δ 159.52, 155.24, 150.73, 149.88, 144.63, 128.27, 124.61, 121.17, 120.90, 114.33, 114.10, 109.97, 104.98, 56.61, 55.94.
8,9-Dihydroxy-6-oxo-6H-benzo[c]chromene-3-sulfonamide (66)
Following general procedure B, 60 (0.12 g, 0.35 mmol) was reacted and triturated with Et2O to afford 0.073 g (67%) of 66 as beige solid. Mp = 319–321 °C; 1H NMR (400 MHz, DMSO-d6) δ 10.58 (s, 1H), 10.47 (s, 1H), 8.27 (d, J = 8.4 Hz, 1H), 7.74 (dd, J = 8.3, 1.9 Hz, 1H), 7.71 (d, J = 1.8 Hz, 1H), 7.68 (s, 1H), 7.59 (s, 1H), 7.54 (s, 2H); 13C NMR (101 MHz, DMSO-d6) δ 159.50, 153.44, 149.61, 148.32, 144.05, 126.88, 123.70, 121.34, 121.07, 114.47, 114.30, 113.11, 108.67; HRMS (ESI) m/z: 308.0229 [M + H]+, calculated for C13H10NO6S 308.0231.
8,9-Dihydroxy-6-oxo-6H-benzo[c]chromene-3-carboxylic acid (81)
2-Bromo-4,5-dimethoxybenzaldehyde (68)
The compound was obtained following the literature procedure [25]. To a solution of 3,4-dimethoxybenzaldehyde (5.00 g, 30.09 mmol) in acetic acid (40.0 mL), a solution of bromine (4.65 mL, 90.27 mmol) in acetic acid (15.0 mL) was added slowly through an addition funnel at ice-cold conditions. The resulting reaction mixture was allowed to stir at room temperature overnight. Addition of ice-cold water (40.0 mL) to the reaction mixture led to a solid precipitate, which was filtered and thoroughly washed with cold water. The crude product was recrystallized from a methanol–water mixture (6:1) to yield 6.0 g (81%) of 68 as a colorless crystalline solid. Mp = 156–157 °C; 1H NMR (400 MHz, DMSO-d6) δ 10.04 (s, 1H), 7.31 (s, 1H), 7.30 (s, 1H), 3.88 (s, 3H), 3.80 (s, 3H); 13C NMR (101 MHz, DMSO-d6) δ 190.65, 154.94, 149.04, 126.16, 119.77, 116.41, 110.95, 56.94, 56.15.
Ethyl 2′-formyl-4′,5′-dimethoxy-[1,1′-biphenyl]-4-carboxylate (72)
Following general procedure D, 68 (1.00 g, 4.08 mmol), 4-ethoxycarbonylphenylboronic acid (69) (0.38 g, 4.48 mmol), were reacted and purified by flash chromatography to afford 0.95 g (74%) of 72 as a white solid. Mp = 96–98 °C; 1H NMR (400 MHz, DMSO-d6) δ 9.69 (s, 1H), 8.08–7.95 (m, 2H), 7.65–7.55 (m, 2H), 7.43 (s, 1H), 7.03 (s, 1H), 4.34 (q, J = 7.1 Hz, 2H), 3.90 (s, 3H), 3.86 (s, 3H), 1.33 (t, J = 7.1 Hz, 3H); 13C NMR (101 MHz, DMSO-d6) δ 190.18, 165.92, 153.74, 149.26, 142.42, 139.56, 131.05, 129.64, 129.45, 126.53, 113.56, 109.26, 61.32, 56.52, 56.12, 14.63.
4′-(Ethoxycarbonyl)-4,5-dimethoxy-[1,1′-biphenyl]-2-carboxylic acid (75)
Following general procedure J, 72 (0.500 g, 1.59 mmol) was reacted to afford 0.40 g (76%) of 75 as a white solid. Mp = 151–153 °C; 1H NMR (400 MHz, CDCl3) δ 8.12 (s, 1H), 8.09–8.01 (m, 2H), 7.57 (s, 1H), 7.42–7.32 (m, 2H), 6.74 (s, 1H), 4.40 (q, J = 7.1 Hz, 2H), 3.96 (s, 3H), 3.93 (s, 3H), 1.41 (t, J = 7.1 Hz, 3H); 13C NMR (101 MHz, CDCl3) δ 171.94, 166.58, 152.06, 148.04, 146.23, 137.77, 130.05, 129.55, 129.13, 128.69, 120.05, 113.68, 60.98, 56.16, 56.15, 14.37.
Ethyl 8,9-dimethoxy-6-oxo-6H-benzo[c]chromene-3-carboxylate (78)
The compound was obtained following the literature procedure [19]. In a 20 mL vial 75 (0.38 g, 1.15 mmol), Pd(OAc)2 (0.013 g, 0.05 mmol), N-acetylglycine (0.020 g, 0.17 mmol), KOAc (0.22 g, 2.30 mmol), and diacetoxiodo benzene (0.74 g, 2.30 mmol) were solubilized in t-BuOH (15.0 mL). The resulting mixture was stirred at 80 °C for 12 h. The solution was then rinsed with EtOAc (20.0 mL) and filtered through a Celite cake. Water (40.0 mL) was then added, and the aqueous layer was extracted with EtOAc (3 × 30 mL). The organic phase was dried (Na2SO4), filtered, and concentrated in vacuum to give 0.3 g of crude product. Crystallization from MeOH afforded 0.04 g (11%) of 78 as a white solid. Mp = 275–277 °C; 1H NMR (400 MHz, CDCl3) δ 8.04–7.89 (m, 3H), 7.75 (s, 1H), 7.45 (s, 1H), 4.42 (q, J = 7.1 Hz, 2H), 4.11 (s, 3H), 4.01 (s, 3H), 1.43 (t, J = 7.1 Hz, 3H); 13C NMR (101 MHz, CDCl3) δ 165.35, 160.53, 155.14, 150.94, 150.54, 131.31, 128.73, 125.06, 122.11, 121.82, 118.91, 115.19, 110.62, 103.19, 61.48, 56.40, 56.38, 14.28.
8,9-Dihydroxy-6-oxo-6H-benzo[c]chromene-3-carboxylic acid (81)
Following general procedure B, 78 (0.030 g, 0.09 mmol) was reacted and triturated with Et2O to afford 0.015 g (60%) of 81 as dark-brown powder. Mp = 352–354 °C; 1H NMR (400 MHz, DMSO-d6) δ 10.48 (br s, 3H), 8.16 (d, J = 8.4 Hz, 1H), 7.85 (dd, J = 8.3, 1.6 Hz, 1H), 7.77 (d, J = 1.6 Hz, 1H), 7.65 (s, 1H), 7.57 (s, 1H); 13C NMR (101 MHz, DMSO-d6) δ 171.56, 156.76, 156.59, 152.65, 144.03, 143.40, 142.46, 130.93, 118.23, 109.29, 108.81, 100.74, 100.59; HRMS (ESI) m/z: 271.0252 [M − H]−, calculated for C14H7O6 271.0248.
8,9-Dihydroxy-6-oxo-6H-benzo[c]chromene-3-carboxamide (82):
2′-Formyl-4′,5′-dimethoxy-[1,1′-biphenyl]-4-carboxamide (73)
Following general procedure D, 68 (500 mg, 2.04 mmol), (4-carbamoylphenyl)boronic acid (70) (0.4 g, 2.45 mmol), were reacted and purified by flash chromatography to afford 0.49 g (84%) of 73 as a white solid. Mp = 173–175 °C. 1H-NMR (400 MHz, DMSO-d6) δ 9.72 (s, 1H), 8.08 (br s, 1H), 8.00–7.97 (m, 2H), 7.55–7.53 (m, 2H), 7.46 (br s, 1H), 7.43 (s, 1H), 7.04 (s, 1H), 3.92 (s, 3H), 3.87 (s, 3H). 13C-NMR (101 MHz, DMSO-d6) δ 189.83, 167.41, 153.30, 148.66, 139.98, 139.64, 133.58, 130.13, 127.44, 126.06, 113.19, 108.65, 56.06, 55.67.
4′-Carbamoyl-4,5-dimethoxy-[1,1′-biphenyl]-2-carboxylic acid (76)
Following general procedure J, 73 (0.46 g, 1.62 mmol) was reacted to afford 0.44 g (91%) of 76 as a white solid. Mp = 241–242 °C. 1H-NMR (400 MHz, DMSO-d6) δ 12.49 (br s, 1H), 7.99 (br s, 1H), 7.88–7.85 (m, 2H), 7.38–7.35 (m, 4H), 6.88 (s, 1H), 3.84 (s, 3H), 3.84 (s, 3H). 13C-NMR (101 MHz, DMSO-d6) δ 168.45, 167.69, 150.65, 147.60, 144.23, 135.03, 132.52, 128.45, 126.99, 122.95, 113.74, 112.94, 55.74, 55.69.
8,9-Dimethoxy-6-oxo-6H-benzo[c]chromene-3-carboxamide (79)
Following general procedure G, 76 (0.2 g, 0.66 mmol) was reacted and triturated from MeOH and CH2Cl2 to afford 0.07 g (34%) of 79 as a yellow solid. Mp = 333–335 °C; 1H-NMR (400 MHz, DMSO-d6) δ 8.49 (d, J = 8.2 Hz, 1H), 8.17 (br s, 1H), 7.89–7.86 (m, 3H), 7.62 (s, 1H), 7.59 (br s, 1H), 4.05 (s, 3H), 3.92 (s, 3H); 13C-NMR (101 MHz, DMSO-d6) δ 166.43, 159.81, 155.18, 150.43, 150.03, 135.04, 128.78, 123.65, 123.31, 120.30, 115.99, 113.89, 109.88, 104.77, 56.54, 55.85.
8,9-Dihydroxy-6-oxo-6H-benzo[c]chromene-3-carboxamide (82)
Following general procedure B, 79 (0.048 g, 0.16 mmol) was reacted and triturated with Et2O to afford 0.035 g (81%) of 82 as a white powder. Mp > 350 °C; 1H-NMR (400 MHz, DMSO-d6) δ 10.51 (br s, 1H), 10.38 (br s, 1H), 8.15–8.13 (m, 1H), 8.12 (br s, 1H), 7.85–7.82 (m, 2H), 7.67 (s, 1H), 7.59 (s, 1H), 7.54 (br s, 1H); 13C-NMR (101 MHz, DMSO-d6) δ 166.53, 159.83, 153.37, 149.80, 147.98, 134.51, 127.42, 123.47, 122.72, 120.52, 115.99, 114.42, 112.99, 108.45; HRMS (ESI) calculated for C14H10NO5 [M + H]+ 272.0553, found 272.0546.
8,9-Dihydroxy-6-oxo-6H-benzo[c]chromene-3-carbonitrile (83)
2′-Formyl-4′,5′-dimethoxy-[1,1′-biphenyl]-4-carbonitrile (74)
Following general procedure D, 68 (490 mg, 2.00 mmol), 4-cyanophenylboronic acid (71) (0.32 g, 2.20 mmol), were reacted and purified by flash chromatography to afford 0.43 g (81%) of 74 as a white solid. Mp = 218–220 °C; 1H-NMR (400 MHz, DMSO-d6) δ 9.70 (s, 1H), 7.97–7.95 (m, 2H), 7.69–7.67 (m, 2H), 7.46 (s, 1H), 7.05 (s, 1H), 3.92 (s, 3H), 3.88 (s, 3H); 13C-NMR (101 MHz, DMSO-d6) δ 189.64, 153.27, 148.96, 142.22, 138.32, 132.14, 131.18, 126.06, 118.74, 113.26, 110.60, 109.12, 56.12, 55.72.
4′-Cyano-4,5-dimethoxy-[1,1′-biphenyl]-2-carboxylic acid (77)
Following general procedure J, 74 (200 mg, 0.75 mmol) was reacted to afford 0.17 g (82%) of 77 as a white solid. Mp = 232–233 °C; 1H-NMR (400 MHz, DMSO-d6) δ 12.59 (br s, 1H), 7.85–7.83 (m, 2H), 7.51–7.48 (m, 2H), 7.41 (s, 1H), 6.88 (s, 1H), 3.84 (s, 3H), 3.84 (s, 3H); 13C-NMR (101 MHz, DMSO-d6) δ 167.97, 150.83, 147.95, 146.47, 134.35, 131.63, 129.75, 122.62, 119.00, 113.70, 113.07, 109.40, 55.81, 55.70.
8,9-Dimethoxy-6-oxo-6H-benzo[c]chromene-3-carbonitrile (80)
Following general procedure G, 77 (0.16 g, 0.56 mmol) was reacted and triturated from MeOH and CH2Cl2 to afford 0.03 g (19%) of 80 as a pale-yellow solid. Mp 337–339 °C; 1H-NMR (400 MHz, DMSO-d6) δ 8.64 (d, J = 8.4 Hz, 1H), 8.01 (d, J = 1.6 Hz, 1H), 7.95 (s, 1H), 7.86 (dd, J = 8.4, 1.6 Hz, 1H), 7.65 (s, 1H), 4.05 (s, 3H), 3.94 (s, 3H); 13C-NMR (101 MHz, DMSO-d6) δ 159.19, 155.24, 151.07, 149.98, 127.94, 127.76, 124.97, 122.44, 121.11, 118.08, 114.41, 111.30, 110.01, 105.27, 56.67, 55.97.
8,9-Dihydroxy-6-oxo-6H-benzo[c]chromene-3-carbonitrile (83)
Following general procedure B, 80 (0.025 g, 0.09 mmol) was reacted and triturated with Et2O to afford 0.008 g (37%) of 83 as a pale-brown solid. Mp = 348–350 °C; 1H-NMR (400 MHz, DMSO-d6) δ 8.25 (d, J = 8.3 Hz, 1H), 7.94 (d, J = 1.6 Hz, 1H), 7.75 (dd, J = 8.3, 1.6 Hz, 1H), 7.69 (s, 1H), 7.58 (s, 1H); 13C-NMR (101 MHz, DMSO-d6) δ 159.17, 153.70, 149.76, 148.82, 127.77, 126.51, 124.00, 122.68, 121.06, 118.17, 114.36, 113.18, 110.61, 108.85; HRMS (ESI) calculated for C14H6NO4 [M − H]– 252.0302, found 252.0310.
8,9-Dihydroxy-3-methoxy-6H-benzo[c]chromen-6-one (90)
Methyl 4-(benzyloxy)-2-bromo-5-hydroxybenzoate (84)
To a solution of 8 (1.20 g, 4.59 mmol) in CH2Cl2 (50 mL) BBr3 in CH2Cl2 (1.0 M, 27.57 mmol) was added dropwise at 0 °C. The solution was stirred at room temperature for 2 h. MeOH (60.0 mL) was added to quench the reaction and the resulting solvent was concentrated under reduced pressure. Thionyl chloride (10.0 mL) was added, and the solution was refluxed for 2 h. The solvent was then removed under reduced pressure and MeOH (30.0 mL) was added. The resulting solution was stirred at room temperature for 1 h (until full conversion, reaction monitored by TLC). The solvent was then removed under reduces pressure to afford 1.1 g (97%) of 84 as a pink solid. Mp = 149–151 °C; 1H NMR (400 MHz, CDCl3) δ 7.48 (s, 1H), 7.17 (s, 1H), 3.90 (s, 3H); 13C NMR (101 MHz, CDCl3) δ 166.88, 148.05, 142.49, 122.66, 121.07, 118.56, 113.56, 52.62.
Methyl 4,5-bis(benzyloxy)-2-bromobenzoate (85)
Following general procedure K, 84 (0.700 g, 2.83 mmol) was reacted and purified by flash chromatography (pentane/EtOAc) to afford 0.96 g (79%) of 85 as a colorless oil. 1H NMR (400 MHz, CDCl3) δ 7.52 (s, 1H), 7.46–7.41 (m, 4H), 7.41–7.29 (m, 7H), 7.18 (s, 1H), 5.17 (s, 2H), 5.15 (s, 2H), 3.89 (s, 3H); 13C NMR (101 MHz, CDCl3) δ 165.73, 152.03, 147.41, 136.37, 135.86, 128.65, 128.55, 128.21, 128.08, 127.39, 127.25, 123.30, 119.53, 117.56, 114.59, 71.42, 71.09, 52.25.
Methyl 4,5-bis(benzyloxy)-4′-methoxy-[1,1′-biphenyl]-2-carboxylate (87)
Following general procedure D, 85 (0.96 g, 2.24 mmol), 4-methoxyphenylboronic acid (86) (0.34 g, 2.24 mmol), were reacted and purified by flash chromatography (pentane/EtOAc) to afford 0.71 g (69%) of 87 as a white solid. Mp = 151–153 °C; 1H NMR (400 MHz, CDCl3) δ 7.51 (d, J = 1.0 Hz, 1H), 7.50–7.45 (m, 2H), 7.46–7.41 (m, 2H), 7.41–7.29 (m, 6H), 7.19–7.12 (m, 2H), 6.94–6.88 (m, 2H), 6.88 (d, J = 0.9 Hz, 1H), 5.21 (s, 2H), 5.19 (s, 2H), 3.84 (s, 3H), 3.63 (s, 3H); 13C NMR (101 MHz, CDCl3) δ 168.25, 158.72, 151.10, 147.27, 137.38, 136.85, 136.51, 133.79, 129.51, 128.54, 128.52, 127.98, 127.93, 127.39, 127.26, 122.42, 116.57, 116.44, 113.31, 71.40, 70.90, 55.24, 51.79.
4,5-Bis(benzyloxy)-4′-methoxy-[1,1′-biphenyl]-2-carboxylic acid (88)
Following general procedure E, 87 (0.71 g, 1.56 mmol) was reacted to afford 0.65 g (95%) of 88 as a white solid. Mp = 218–220 °C; 1H NMR (400 MHz, CDCl3) δ 7.62 (s, 1H), 7.52–7.46 (m, 2H), 7.46–7.41 (m, 2H), 7.42–7.28 (m, 6H), 7.22–7.14 (m, 2H), 6.93–6.86 (m, 2H), 6.86 (s, 1H), 5.21 (s, 2H), 5.20 (s, 2H), 3.84 (s, 3H); 13C NMR (101 MHz, CDCl3) δ 172.18, 158.86, 151.77, 147.16, 138.49, 136.76, 136.37, 133.47, 129.73, 128.56, 128.53, 128.03, 127.95, 127.40, 127.25, 120.77, 117.05, 116.77, 113.40, 71.29, 70.84, 55.24.
8,9-Bis(benzyloxy)-3-methoxy-6H-benzo[c]chromen-6-one (89)
Following general procedure F, 88 (0.65 g, 1.47 mmol) was reacted to afford 0.21 g (33%) of 89 as a white powder. Mp = 208–210 °C; 1H NMR (400 MHz, CDCl3) δ 7.81 (d, J = 1.9 Hz, 1H), 7.70 (d, J = 8.9 Hz, 1H), 7.57–7.45 (m, 4H), 7.45–7.28 (m, 7H), 6.87 (dd, J = 8.8, 2.6 Hz, 1H), 6.82 (d, J = 2.5 Hz, 1H), 5.35 (s, 2H), 5.24 (s, 2H), 3.85 (d, J = 1.2 Hz, 3H); 13C NMR (101 MHz, CDCl3) δ 161.24, 160.84, 154.88, 152.25, 148.89, 136.27, 136.02, 130.50, 128.74, 128.58, 128.25, 128.05, 127.32, 127.10, 123.07, 113.23, 113.00, 112.28, 111.18, 104.72, 101.48, 71.02, 70.91, 55.63.
8,9-Dihydroxy-3-methoxy-6H-benzo[c]chromen-6-one (90)
Following general procedure H, 89 (0.21 g, 0.48 mmol) was reacted to afford 0.12 g (97%) of 90 as a white powder. Mp = 338–340 °C; 1H NMR (400 MHz, DMSO-d6) δ 10.56–9.86 (m, 2H), 7.93 (d, J = 9.6 Hz, 1H), 7.49 (d, J = 7.9 Hz, 2H), 6.97–6.83 (m, 2H), 3.81 (s, 3H); 13C NMR (101 MHz, DMSO-d6) δ 160.63, 160.52, 153.91, 151.86, 146.89, 129.20, 124.11, 114.65, 112.44, 111.58, 111.49, 107.61, 101.77, 56.10; HRMS (ESI) m/z: 257.0464 [M − H]−, calculated for C14H9O5 257.0455.
8,9-Dihydroxy-6-oxo-6H-benzo[c]chromen-3-yl acetate (94)
4,5-Bis(benzyloxy)-2-bromobenzoic acid (91)
Following general procedure E, 85 (3.30 g, 7.37 mmol) was reacted to afford 3.09 g (97%) of 91 as a white solid. Mp = 152–154 °C; 1H NMR (400 MHz, CDCl3) δ 7.68 (d, J = 1.2 Hz, 1H), 7.50–7.26 (m, 10H), 7.21 (s, 1H), 5.19 (s, 2H), 5.16 (s, 2H); 13C NMR (101 MHz, CDCl3) δ 169.92, 152.71, 147.33, 136.24, 135.72, 128.68, 128.59, 128.27, 128.11, 127.39, 127.26, 121.62, 119.68, 118.11, 115.71, 71.28, 71.08.
8,9-Bis(benzyloxy)-3-hydroxy-6H-benzo[c]chromen-6-one (92)
Following general procedure A, 91 (0.64 g, 1.55 mmol) was reacted to afford 0.32 g of 92 that was ca. 85% pure according to NMR and was used in the next step without further purification. 1H NMR (400 MHz, DMSO-d6) δ 8.14 (OH, 1H), 7.82–7.25 (m, 15H), 5.43 (s, 2H), 5.26 (s, 2H)
8,9-Bis(benzyloxy)-6-oxo-6H-benzo[c]chromen-3-yl acetate (93)
To a solution of 92 (85% purity 150 mg = 128 mg, 0.301 mmol) in acetic anhydride (3 mL), sodium acetate (87 mg, 1.06 mmol) was added. The reaction mixture was stirred at 50 °C for 18 h. Then, the reaction mixture was cooled down to room temperature and water (5 mL) was added. The formed precipitate was collected by filtration, washed with water, dried, and triturated with MeOH to afford 0.094 g (67%) of 93 as a white solid. Mp = 200–205 °C; 1H-NMR (400 MHz, DMSO-d6) δ 8.43 (d, J = 8.7 Hz, 1H), 8.00 (s, 1H), 7.73 (s, 1H), 7.56–7.21 (m, 12H), 5.46 (s, 2H), 5.30 (s, 2H), 2.31 (s, 3H); 13C NMR (101 MHz, DMSO-d6) δ 168.94, 159.70, 154.55, 151.18, 150.74, 149.07, 136.56, 136.30, 129.28, 128.56, 128.48, 128.14, 127.95, 127.82, 127.45, 118.47, 115.66, 113.11, 110.66, 106.07, 70.39, 70.03, 20.89.
8,9-Dihydroxy-6-oxo-6H-benzo[c]chromen-3-yl acetate (94)
Following general procedure H, 89 (0.08 g, 0.17 mmol) was reacted and purified by flash chromatography (CH2Cl2/MeOH) to afford 0.01 g (20%) of 94 as a white powder. Mp = 210–215 °C; 1H-NMR (400 MHz, DMSO-d6) δ 8.10 (d, J = 9.1 Hz, 1H), 7.58 (s, 1H), 7.55 (s, 1H), 7.21 (s, 1H), 7.14 (d, J = 9.1 Hz, 1H), 2.30 (s, 3H); 13C-NMR (101 MHz, DMSO-d6) δ 168.97, 159.79, 153.49, 150.61, 150.44, 147.33, 127.82, 123.55, 118.43, 115.88, 114.30, 112.02, 110.58, 107.91, 20.89; HRMS (ESI) calculated for C15H9O6 [M − H]– 285.0405, found 285.0416.
7,8-Dihydroxyisochromeno[3,4-e]indol-5(1H)-one (98)
1H-Indol-4-yl 4,5-bis(benzyloxy)-2-bromobenzoate (96)
A solution of 91 (1.24 g, 3.00 mmol) in SOCl2 (20.0 mL) was refluxed for 2 h. The solvent was removed under reduced pressure and diluted with dichloromethane (20.0 mL). The benzyl chloride solution was then added dropwise at 0 °C to a solution of 4-hydroxyindole (95) (0.40 g, 3.00 mmol) and triethylamine (0.91 g, 9.00 mmol) in dichloromethane (20.0 mL). The reaction was stirred for 2 h at room temperature and then quenched with water (40.0 mL). The organic layer was washed with water (30.0 mL), dried over anhydrous sodium sulfate, and concentrated under reduced pressure to give a yellow oil. Purification by flash chromatography (65/35 pentane/EtOAc) afforded 1.03 g (65%) of 96 as a colorless oil. 1H NMR (400 MHz, CDCl3) δ 8.52 (t, J = 2.3 Hz, 1H), 7.91 (s, 1H), 7.53–7.36 (m, 10H), 7.34 (s, 1H), 7.22–7.17 (m, 2H), 7.07–7.03 (m, 1H), 7.00 (dd, J = 3.3, 2.4 Hz, 1H), 6.47 (ddd, J = 3.3, 2.1, 0.5 Hz, 1H), 5.22 (s, 4H); 13C NMR (101 MHz, cdcl3) δ 163.99, 152.55, 147.52, 143.58, 137.85, 136.33, 135.83, 128.77, 128.69, 128.37, 128.22, 127.60, 127.44, 124.95, 122.74, 121.96, 121.21, 119.75, 118.06, 115.56, 111.80, 109.65, 99.20, 71.50, 71.19.
7,8-Bis(benzyloxy)isochromeno[3,4-e]indol-5(1H)-one (97)
The compound was obtained following the literature procedure [26]. To a solution of 96 (1.00 g, 1.89 mmol) in dry DMA (10.0 mL), NaOAc (0.31 g, 3.78 mmol), Pd(OAc)2 (0.042 g, 0.19 mmol), and tricyclohexylphosphine tetrafluoroborate (0.210 g, 0.57 mmol) were added. The mixture was degassed and then heated at 175 °C for 1 h in the microwave. The reaction mixture was cooled to room temperature and then diluted with diethyl ether and filtered through Celite to remove the catalyst. The solvent was removed under reduced pressure to give 1.5 g of a dark oil. Purification by flash chromatography (60/40 pentane/EtOAc) and recrystallization from MeOH afforded 0.24 g (28%) of 97 as a white solid. Mp = 197–199 °C; 1H NMR (400 MHz, DMSO-d6) δ 11.55 (s, 1H), 7.99 (d, J = 8.8 Hz, 1H), 7.91 (s, 1H), 7.72 (s, 1H), 7.58–7.51 (m, 2H), 7.51–7.45 (m, 2H), 7.45–7.26 (m, 8H), 6.69 (ddd, J = 3.0, 2.0, 0.9 Hz, 1H), 5.45 (s, 2H), 5.27 (s, 2H); 13C NMR (101 MHz, DMSO-d6) δ 160.85, 155.06, 148.27, 144.66, 137.89, 137.20, 136.94, 132.45, 128.99, 128.90, 128.50, 128.33, 128.17, 127.89, 126.61, 117.14, 116.60, 112.72, 112.42, 109.42, 108.46, 105.96, 98.96, 70.67, 70.45.
7,8-Dihydroxyisochromeno[3,4-e]indol-5(1H)-one (98)
Following general procedure H, 97 (0.10 g, 0.22 mmol) was reacted to afford 0.05 g (84%) of 98 as a yellow solid. Mp > 350 °C; 1H NMR (400 MHz, DMSO-d6) δ 11.49 (s, 1H), 10.09 (br s, 2H), 7.68 (d, J = 8.7 Hz, 1H), 7.54 (s, 1H), 7.52 (s, 1H), 7.40 (d, J = 3.1 Hz, 1H), 7.37 (dd, J = 8.6, 0.9 Hz, 1H), 6.65 (dd, J = 3.1, 0.8 Hz, 1H); 13C NMR (101 MHz, DMSO-d6) δ 160.95, 153.91, 146.35, 144.24, 137.50, 130.95, 126.39, 117.22, 115.82, 114.75, 111.54, 109.42, 108.62, 107.68, 98.82; HRMS (ESI) m/z: 266.0472 [M − H]−, calculated for C15H8NO4 266.0459.
8,9-Dihydroxy-6H-dibenzo[c,h]chromen-6-one (103)
Methyl 4,5-dimethoxy-2-(naphthalen-2-yl)benzoate (100)
Following general procedure D, 9 (0.55 g, 2.00 mmol), 2-naphtalenlboronic acid (99) (0.38 g, 2.20 mmol), were reacted and purified by flash chromatography (pentane/EtOAc) to afford 0.37 g (57%) of 100 as a colorless oil. 1H NMR (400 MHz, CDCl3) δ 7.90–7.75 (m, 4H), 7.53 (s, 1H), 7.51–7.39 (m, 3H), 6.91 (s, 1H), 3.97 (s, 3H), 3.90 (s, 3H), 3.58 (s, 3H); 13C NMR (101 MHz, CDCl3) δ 168.15, 151.34, 147.87, 139.42, 137.36, 133.26, 132.39, 128.00, 127.72, 127.54, 127.09, 126.66, 126.18, 125.88, 122.00, 113.94, 113.03, 56.12, 56.05, 51.78.
4,5-Dimethoxy-2-(naphthalen-2-yl)benzoic acid (101)
Following general procedure E, 100 (0.37 g, 1.14 mmol) was reacted to afford 0.29 g (82%) of 101 as a white solid. Mp = 233–235 °C; 1H NMR (400 MHz, CDCl3) δ 7.92–7.81 (m, 2H), 7.81–7.73 (m, 2H), 7.57 (s, 1H), 7.54–7.45 (m, 2H), 7.42 (dd, J = 8.4, 1.8 Hz, 1H), 6.85 (s, 1H), 3.95 (s, 3H), 3.93 (s, 3H); 13C NMR (101 MHz, CDCl3) δ 172.31, 151.97, 147.74, 139.21, 138.70, 133.15, 132.43, 128.02, 127.67, 127.63, 127.10, 126.73, 126.10, 125.89, 120.31, 114.29, 113.65, 56.14, 56.12.
8,9-dimethoxy-6H-dibenzo[c,h]chromen-6-one (102)
Following general procedure F, 101 (0.29 g, 0.99 mmol) was reacted to afford 0.200 g (69%) of 102 as a white powder. Mp = 202–204 °C; 1H NMR (400 MHz, CDCl3) δ 8.50–8.35 (m, 1H), 7.78 (d, J = 8.9 Hz, 1H), 7.76–7.72 (m, 1H), 7.63 (s, 1H), 7.62–7.58 (m, 1H), 7.58–7.48 (m, 2H), 7.30 (s, 1H), 4.04 (s, 3H), 3.96 (s, 3H); 13C NMR (101 MHz, CDCl3) δ 161.11, 155.06, 149.77, 146.43, 133.57, 130.41, 127.48, 127.40, 126.90, 124.22, 123.65, 121.93, 118.69, 114.06, 112.81, 110.20, 102.71, 56.24, 56.22.
8,9-Dihydroxy-6H-dibenzo[c,h]chromen-6-one (103)
Following general procedure B, 102 (0.120 g, 0.66 mmol) was reacted to afford 0.075 g (69%) of 103 as a dark brown solid. Mp > 350 °C; 1H NMR (400 MHz, DMSO-d6) δ 10.50 (br s, 1H), 10.28 (br s, 1H), 8.36–8.30 (m, 1H), 8.11 (d, J = 8.9 Hz, 1H), 8.02–7.94 (m, 1H), 7.88–7.78 (m, 1H), 7.71–7.58 (m, 4H); 13C NMR (101 MHz, DMSO-d6) δ 160.32, 153.99, 147.79, 145.80, 133.55, 129.24, 128.36, 127.72, 127.63, 124.62, 123.52, 121.45, 120.31, 114.82, 113.73, 113.00, 108.71; HRMS (ESI) m/z: 277.0515 [M − H]−, calculated for C17H9O4 277.0506.
3-Hydroxy-8,9-dimethoxy-6H-benzo[c]chromen-6-one (118)
Following general procedure A, 8 (3.13 g, 12.00 mmol) was reacted to afford 2.91 g (89%) of 118 as a white solid. Mp = 329–331 °C; 1H NMR (400 MHz, DMSO-d6) δ 10.19 (s, 1H), 8.15 (s, 1H), 7.81–7.31 (m, 2H), 7.07–6.43 (m, 2H), 3.98 (s, 3H), 3.85 (s, 3H); 13C NMR (101 MHz, DMSO-d6) δ 160.68, 159.43, 155.46, 152.12, 149.23, 130.74, 124.99, 113.16, 112.00, 109.87, 103.67, 103.13, 56.63, 56.00; HRMS (ESI) m/z: 271.0617 [M − H]−, calculated for C15H11O5 271.0612.
3,9-Dihydroxy-8-methoxy-6H-benzo[c]chromen-6-one (119)
5-Bromo-4-formyl-2-methoxyphenyl acetate (106)
To a solution of KBr (6.7 g, 52.10 mmol) and 4-formyl-2-methoxyphenyl acetate (104) (3.2 g, 16.50 mmol) in H2O (80 mL) was added dropwise Br2 (3.2 g, 20.02 mmol). The resulting mixture was stirred at room temperature for 12 h. The precipitate formed was collected by filtration to give 4.5 g (95%) of 106 as an orange powder. Mp = 137–139 °C; 1H NMR (400 MHz, CDCl3) δ 10.26 (d, J = 0.4 Hz, 1H), 7.51 (s, 1H), 7.35 (s, 1H), 3.88 (s, 3H), 2.33 (s, 3H); 13C NMR (101 MHz, CDCl3) δ 190.81, 167.90, 151.24, 144.95, 131.61, 127.98, 117.87, 112.11, 56.27, 20.53.
4-Acetoxy-2-bromo-5-methoxybenzoic acid (112)
The compound was synthetized following the literature procedure [27]. Compound 106 (1.00 g, 3.66 mmol) was dissolved in acetone (20.0 mL) and heated to reflux. A mixture of water (20.0 mL) and KMnO4 (1.15 g, 7.32 mmol) was added at refluxing temperature and stirred for 90 min at 50 °C. The solvent was removed under reduced pressure. The undesired by-product MnO2 was removed by filtration on a Celite bed and washed with 10% KOH solution (10 mL). The pH of the filtrate was adjusted to 2–2.5 using 1 N aq. HCl and extracted with EtOAc (3 × 30.0 mL). The organic phase was dried (Na2SO4), filtered, and concentrated under reduced pressure afforded 0.96 g (99%) of 112 as a white solid. The compound was used directly for the next step.
2-Bromo-4-hydroxy-5-methoxybenzoic acid (113)
The compound was synthetized following the literature procedure [28]. A solution of 112 (0.96 g, 3.64 mmol) in NaOH aq. solution (5%, 20.0 mL) was heated to reflux for 1 h. The reaction was then cooled down to 0 °C, acidified with 1M HCl and extracted with EtOAc (3 × 30.0 mL). The organic phase was dried (Na2SO4), filtered, and concentrated under reduced pressure to afford 0.43 g (45%) of 113 as a white solid. Mp = 193–195 °C; 1H-NMR (400 MHz, DMSO-d6) δ 12.91 (br s, 1H), 10.23 (s, 1H), 7.38 (s, 1H), 7.05 (s, 1H), 3.79 (s, 3H); 13C-NMR (101 MHz, DMSO-d6) δ 166.34, 150.38, 146.66, 122.09, 120.42, 114.81, 112.57, 55.76.
3,9-Dihydroxy-8-methoxy-6H-benzo[c]chromen-6-one (119)
Following general procedure A, 113 (0.2 g, 0.81 mmol) was reacted to afford 0.1 g (40%) of 119 as a dark brown solid. Mp = 320–322 °C; 1H NMR (400 MHz, DMSO-d6) δ 10.52 (s, 1H), 10.15 (s, 1H), 7.86 (d, J = 8.8 Hz, 1H), 7.53 (s, 1H), 7.47 (s, 1H), 6.79 (dd, J = 8.6, 2.4 Hz, 1H), 6.69 (d, J = 2.4 Hz, 1H), 3.88 (s, 3H); 13C NMR (101 MHz, DMSO-d6) δ 160.74, 159.41, 154.44, 152.14, 148.57, 130.99, 124.50, 113.40, 111.07, 110.96, 109.89, 107.17, 103.22, 56.20; HRMS (ESI) m/z: 257.0456 [M − H]−, calculated for C14H9O5 257.0454.
3,8-Dihydroxy-9-methoxy-6H-benzo[c]chromen-6-one (120)
4-Bromo-5-formyl-2-methoxyphenyl acetate (107)
The compound was synthetized following the literature procedure [29]. To a stirred solution of 2-bromo-4-hydroxy-5-methoxybenzaldehyde (105) (1.00 g, 4.33 mmol) in CH2Cl2 (30.0 mL), acetic anhydride (0.82 mL, 8.66 mmol), DMAP (0.53 g, 4.33 mmol), and Et3N (0.60 mL, 4.33 mmol) were added at room temperature. The reaction mixture was stirred until all the starting material was consumed as monitored by TLC. Water (25.0 mL) and CH2Cl2 (25 mL) were added, and the two phases were separated. The aqueous layer was extracted with CH2Cl2 (20 mL). The combined organic layers were washed with brine (10.0 mL), dried over Na2SO4, filtered, and concentrated under reduced pressure to give the crude product. Purification by flash chromatography (40/60 EtOAc/hexanes) afforded 1.05 g (89%) of 107 as a white solid. Mp = 97–99 °C; 1H NMR (400 MHz, CDCl3) δ 10.18 (s, 1H), 7.62 (s, 1H), 7.17 (s, 1H), 3.92 (s, 3H), 2.32 (s, 3H); 13C NMR (101 MHz, CDCl3) δ 189.94, 168.32, 156.34, 139.60, 126.84, 125.61, 123.72, 116.81, 56.57, 20.47.
5-Acetoxy-2-bromo-4-methoxybenzoic acid (114)
The compound was synthetized following the literature procedure [27]. Compound 107 (1.00 g, 3.66 mmol) was dissolved in acetone (20.0 mL) and heated to reflux. A mixture of water (20.0 mL) and KMnO4 (1.15 g, 7.32 mmol) was added at refluxing temperature and stirred for 90 min at 50 °C. The solvent was removed under reduced pressure. The undesired by-product MnO2 was removed by filtration on a Celite bed and washed with 10% KOH solution (10 mL). The pH of the filtrate was adjusted to 2–2.5 using 1 N aq. HCl and extracted with EtOAc (3 × 30.0 mL). The organic phase was dried (Na2SO4), filtered, and concentrated under reduced pressure afforded 0.92 g (87%) of 114 as a white solid. Mp = 182–184 °C; 1H NMR (400 MHz, CDCl3) δ 7.81 (s, 1H), 7.25 (s, 1H), 3.90 (s, 3H), 2.33 (s, 3H); 13C NMR (101 MHz, CDCl3) δ 169.40, 168.40, 154.84, 138.43, 127.25, 121.70, 121.56, 118.60, 56.42, 20.49.
2-Bromo-5-hydroxy-4-methoxybenzoic acid (115)
The compound was synthetized following the literature procedure [28]. A solution of 114 (0.92 g, 3.18 mmol) in NaOH aq. solution (5%, 20.0 mL) was heated to reflux for 1 h. The reaction was then cooled down to 0 °C, acidified with 1M HCl, and extracted with EtOAc (3 × 30.0 mL). The organic phase was dried (Na2SO4), filtered, and concentrated under reduced pressure to afford 0.71 g (90%) of 115 as a white solid. Mp = 203–205 °C; 1H NMR (400 MHz, DMSO-d6) δ 12.72 (s, 1H), 9.64 (s, 1H), 7.28 (s, 1H), 7.15 (s, 1H), 3.82 (s, 3H); 13C NMR (101 MHz, DMSO-d6) δ 166.82, 151.21, 145.98, 124.27, 118.20, 117.59, 110.77, 56.47.
3,8-Dihydroxy-9-methoxy-6H-benzo[c]chromen-6-one (120)
Following general procedure A, 115 (0.64 g, 2.59 mmol) was reacted to afford 0.31 g (46%) of 120 as a dark-brown solid. Mp = 341–343 °C; 1H NMR (400 MHz, D2O, Na salt) δ 6.63 (s, 1H), 6.49 (d, J = 8.1 Hz, 1H), 6.45 (s, 1H), 5.81 (d, J = 2.4 Hz, 1H), 5.68 (dd, J = 8.1, 2.5 Hz, 1H), 3.57 (s, 3H); 13C NMR (101 MHz, d2o) δ 180.59, 165.83, 164.41, 152.94, 149.83, 133.05, 131.04, 125.17, 119.97, 116.67, 115.52, 108.98, 105.53, 55.83; HRMS (ESI) m/z: 257.0456 [M − H]−, calculated for C14H9O5 257.0455.
9-Amino-3,8-dihydroxy-6H-benzo[c]chromen-6-one (124)
2-Bromo-5-methoxy-4-nitrobenzoic acid (116)
To a suspension of 3-methoxy-4-nitrobenzoic acid (108) (2.00 g, 10.15 mmol) in concentrated H2SO4 (80 mL), NBS (1.896 g, 10.65 mmol) was added in 3 portions (every 15 min) at room temperature. The reaction mixture was stirred at room temperature for 2 days. Then, the reaction mixture was poured into ice/water (ca. 200 mL) and the yellow precipitate filtered off and dried by co-evaporation with toluene to afford 1.98 g (71%) of 116 as a yellow solid. Mp 195–197 °C; 1H NMR (400 MHz, DMSO-d6) δ 8.24 (s, 1H), 7.63 (s, 1H), 3.96 (s, 3H); 13C NMR (101 MHz, DMSO-d6) δ 166.35, 150.87, 140.34, 139.26, 129.08, 115.63, 108.73, 57.27.
3-Hydroxy-8-methoxy-9-nitro-6H-benzo[c]chromen-6-one (121)
Following general procedure A, 116 (1.00 g, 3.62 mmol) was reacted and triturated with MeOH to afford 0.67 g (64%) of 121 as a yellow solid. Mp = 285–287 °C; 1H NMR (400 MHz, acetone-d6) δ 9.30 (s, 1H), 8.61 (s, 1H), 8.15 (d, J = 8.7 Hz, 1H), 7.99 (s, 1H), 6.94 (dd, J = 8.7, 2.4 Hz, 1H), 6.83 (d, J = 2.4 Hz, 1H), 4.13 (s, 3H); 13C-NMR (101 MHz, acetone-d6) δ 160.81, 160.14, 153.24, 151.09, 129.98, 125.51, 123.85, 118.90, 114.54, 114.28, 110.92, 110.08, 104.18, 57.62.
9-Amino-3-hydroxy-8-methoxy-6H-benzo[c]chromen-6-one (123)
To a suspension of 121 (250 mg, 0.870 mmol) in EtOH (5 mL), SnCl2 (825 mg, 4.35 mmol) was added. The reaction mixture was stirred at 70 °C for 30 h. Then, the reaction mixture was poured into ice/water, and neutralized by addition of a saturated aqueous solution of NaHCO3. The mixture was extracted with EtOAc (6 × 100 mL), dried over Na2SO4, filtered, and concentrated under reduced pressure. Purification by flash column chromatography (CH2Cl2:MeOH 100:0 to 98:2) afforded 0.08 g (36%) of 123 as a white solid. Mp = 330–332 °C; 1H-NMR (400 MHz, DMSO-d6) δ 10.10 (br s, 1H), 7.74 (d, J = 8.8 Hz, 1H), 7.38 (s, 1H), 7.19 (s, 1H), 6.80 (dd, J = 8.8, 2.4 Hz, 1H), 6.68 (d, J = 2.4 Hz, 1H), 6.15 (br s, 2H), 3.89 (s, 3H); 13C-NMR (101 MHz, DMSO-d6) δ 160.50, 158.69, 151.79, 146.13, 145.73, 130.72, 123.51, 112.74, 109.72, 108.55, 106.47, 102.76, 102.20, 55.53.
9-Amino-3,8-dihydroxy-6H-benzo[c]chromen-6-one (124)
Following general procedure B, 123 (0.035 g, 0.136 mmol) was reacted and triturated with Et2O, to afford 0.021 g (64%) of 124 as a brown solid. Mp > 350 °C; 1H-NMR (400 MHz, DMSO-d6) δ 10.02 (br s, 1H), 10.00 (br s, 1H), 7.71 (d, J = 8.8 Hz, 1H), 7.34 (s, 1H), 7.15 (s, 1H), 6.77 (dd, J = 8.8, 2.4 Hz, 1H), 6.65 (d, J = 2.4 Hz, 1H), 5.92 (br s, 2H); 13C-NMR (101 MHz, DMSO-d6) δ 160.43, 158.29, 151.54, 145.32, 144.08, 129.51, 123.21, 112.60, 112.02, 110.05, 106.81, 102.73, 102.55; HRMS (ESI) calculated for C13H11NO4 [M + H]+ 244.0604, found 244.0614.
N-(3,8-Dihydroxy-6-oxo-6H-benzo[c]chromen-9-yl)acetamide (127)
To a suspension of 124 (58 mg, 0.226 mmol) in 1,4-dioxane (4 mL), a saturated aqueous solution of NaHCO3 (2 mL) and acetic anhydride (5 mL) were added. The reaction mixture was stirred at 100 °C for 1 h. The reaction mixture was cooled down to 0 °C, water was added, and a white solid precipitated, which was collected by filtration and washed with water. The crude (triacetylated compound) was suspended in CH2Cl2 (0.85 mL) and BBr3 (1 M in CH2Cl2, 0.85 mL, 0.85 mmol) was added. The reaction mixture was stirred at room temperature for 48 h. Then, the reaction was quenched with MeOH and the solvent removed under reduced pressure. Purification by flash column chromatography (CH2Cl2:MeOH 10:0 to 9:1) afforded 0.022 g (41%) of 127 as a white solid. Mp > 350 °C; 1H-NMR (400 MHz, DMSO-d6) δ 10.84 (s, 1H), 10.15 (s, 1H), 9.55 (s, 1H), 8.89 (s, 1H), 7.77 (d, J = 8.8 Hz, 1H), 7.59 (s, 1H), 6.84 (dd, J = 8.8, 2.4 Hz, 1H), 6.72 (d, J = 2.4 Hz, 1H), 2.21 (s, 3H); 13C-NMR (101 MHz, DMSO-d6) δ 169.76, 160.16, 158.68, 151.35, 146.72, 134.48, 127.76, 123.36, 114.02, 113.13, 113.07, 111.70, 109.79, 102.95, 24.30; HRMS (ESI) calculated for C15H12NO5 [M + H]+ 286.0710, found 286.0700.
8-Amino-3,9-dihydroxy-6H-benzo[c]chromen-6-one (126)
Methyl 2-bromo-4,5-dinitrobenzoate (110)
To a solution of 2-bromo-4-nitrobenzoic acid methyl ester (109) (5.00 g, 19.23 mmol) in sulfuric acid (15.0 mL), nitric acid (8.0 mL) was added. The reaction was stirred at 50 °C for 1 h and then poured into ice-cold water. The solid obtained was recrystallized from MeOH to afford 4.95 g (84%) of 110 as a yellow solid. Mp = 98–100 °C; 1H NMR (400 MHz, DMSO-d6) δ 8.71 (s, 1H), 8.60 (s, 1H), 3.15 (s, 3H); 13C NMR (101 MHz, DMSO-d6) δ 163.90, 143.59, 140.18, 137.29, 130.99, 128.07, 127.27, 54.02.
Methyl 2-bromo-4-methoxy-5-nitrobenzoate (111)
To a solution of 110 (2.00 g, 6.55 mmol) in MeOH (30.0 mL) at 0 °C, a solution of KOH (0.72 g, 13.11 mmol) in MeOH (10.0 mL) was added. The reaction was stirred at room temperature for 1 h. The solvent was removed under reduced pressure, and the solid obtained was taken up with water and filtered. Recrystallization from MeOH afforded 1.62 g (85%) of 111 as a white solid. Mp = 137–139 °C; 1H NMR (400 MHz, DMSO-d6) δ 8.37 (s, 1H), 7.74 (s, 1H), 4.02 (s, 3H), 3.84 (s, 3H); 13C NMR (101 MHz, DMSO-d6) δ 164.28, 154.68, 137.96, 128.50, 127.94, 123.48, 120.79, 58.26, 53.22.
2-Bromo-4-methoxy-5-nitrobenzoic acid (117)
Following general procedure E, 111 (1.5 g, 5.17 mmol) was reacted to afford 1.05 g (74%) of 117 as a white solid. Mp = 175–177 °C; 1H NMR (400 MHz, DMSO-d6) δ 13.60 (s, 1H), 8.34 (s, 1H), 7.70 (s, 1H), 4.01 (s, 3H); 13C NMR (101 MHz, DMSO-d6) δ 165.38, 154.32, 137.96, 128.33, 127.86, 124.74, 120.70, 58.13.
3-Hydroxy-9-methoxy-8-nitro-6H-benzo[c]chromen-6-one (122)
Following general procedure A, 117 (1.05 g, 3.80 mmol) was reacted to afford 0.100 g (9%) of 122 as a yellow solid. Mp = 355–357 °C; 1H NMR (400 MHz, DMSO-d6) δ 10.64 (s, 1H), 8.57 (s, 1H), 8.34 (d, J = 8.9 Hz, 1H), 7.92 (s, 1H), 6.86 (dd, J = 8.8, 2.4 Hz, 1H), 6.74 (d, J = 2.4 Hz, 1H), 4.14 (s, 3H); 13C NMR (101 MHz, DMSO-d6) δ 162.04, 159.57, 157.37, 153.75, 141.19, 138.71, 128.24, 127.14, 113.85, 111.87, 108.76, 106.44, 103.48, 58.26, 40.59, 40.43, 40.22.
8-Amino-3-hydroxy-9-methoxy-6H-benzo[c]chromen-6-one (125)
Following general procedure H, 25 122 (0.08 g, 0.28 mmol) was reacted to afford to afford 0.070 g (98%) of 125 as a yellow solid. Mp = 340–342 °C; 1H NMR (400 MHz, DMF-d7) δ 10.46 (s, 1H), 8.30 (d, J = 8.7 Hz, 1H), 7.80 (s, 1H), 7.69 (s, 1H), 7.03 (dd, J = 8.7, 2.4 Hz, 1H), 6.95 (d, J = 2.3 Hz, 1H), 5.59 (s, 2H), 4.27 (s, 3H); 13C NMR (101 MHz, DMF-d7) δ 161.13, 158.79, 153.49, 151.79, 139.18, 126.81, 123.82, 113.21, 112.86, 111.44, 111.25, 103.02, 102.10, 56.10.
8-Amino-3,9-dihydroxy-6H-benzo[c]chromen-6-one (126)
Following general procedure B, 125 (0.070 g, 0.27 mmol) was reacted to afford 0.06 g (91%) of 126 as a white solid. Mp > 350 °C; 1H NMR (400 MHz, DMF-d7) δ 8.40 (s, 1H), 8.09 (d, J = 8.7 Hz, 1H), 8.00 (s, 1H), 7.10 (dd, J = 8.7, 2.4 Hz, 1H), 6.99 (d, J = 2.4 Hz, 1H); 13C-NMR (101 MHz, DMF-d7): δ 162.3, 162.2, 158.2, 154.6, 136.6, 127.1, 126.3, 124.7, 115.2, 113.4, 111.4, 108.6, 105.0; HRMS (ESI) m/z: 242.0461 [M − H]−, calculated for C13H8NO4 242.0459.
N-(3,9-Dihydroxy-6-oxo-6H-benzo[c]chromen-8-yl)acetamide (128)
To a solution of 126 (50 mg, 0.206 mmol) in 1,4-dioxane (0.5 mL), a saturated aqueous solution of NaHCO3 (0.5 mL) and acetic anhydride (0.2 mL, 2.06 mmol) were added. The reaction mixture was stirred at room temperature for 1 h. Then, the solvent was removed under reduced pressure and dried by co-evaporation with toluene. The crude (triacetylated compound) was suspended in CH2Cl2 (0.85 mL) and BBr3 (1 M in CH2Cl2, 0.85 mL, 0.85 mmol) was added. The reaction mixture was stirred at room temperature for 48 h. Then, the reaction was quenched with MeOH and the solvent removed under reduced pressure. Purification by flash column chromatography (CH2Cl2:MeOH 10:0 to 9:1) afforded 0.031 g (53%) of 128 as a pale-brown/beige solid. Mp > 350 °C; 1H-NMR (400 MHz, DMSO-d6) δ 10.27 (br s, 1H), 9.47 (s, 1H), 8.76 (s, 1H), 7.82 (d, J = 8.7 Hz, 1H), 7.49 (s, 1H), 6.83 (dd, J = 8.7, 2.4 Hz, 1H), 6.71 (d, J = 2.4 Hz, 1H), 2.15 (s, 3H); 13C-NMR (101 MHz, DMSO-d6) δ 169.2, 160.3, 159.4, 154.4, 152.0, 132.2, 127.5, 124.0, 121.8, 113.1, 110.4, 109.2, 105.9, 102.9, 23.9. HRMS (ESI) calculated for C15H12NO5 [M + H]+ 286.0710, found 286.0699.
8,9-Diamino-3-hydroxy-6H-benzo[c]chromen-6-one (135)
2-Bromo-4,5-dinitrobenzoic acid (129)
To a solution of 2-bromo-4-nitrobenzoic acid (5.00 g, 20.3 mmol) in H2SO4 (15.0 mL), HNO3 (8.0 mL) was added. The reaction mixture was stirred at 50 °C for 100 min and then poured into ice/water. The solid obtained was filtered, washed with water, and dried by co-evaporation with toluene (×3) to give 4.5 g (76%) of 129 as a pale-yellow solid. Mp = 170–172 °C; 1H-NMR (400 MHz, DMSO-d6) δ 8.69 (s, 1H), 8.55 (s, 1H); 13C-NMR (101 MHz, DMSO-d6) δ 164.65, 142.64, 140.00, 138.71, 130.52, 126.99, 126.16.
Methyl 4-(benzylamino)-2-bromo-5-nitrobenzoate (130)
To a solution of 129 (2.180 g, 7.49 mmol) in DMF (60 mL), benzyl amine (2.5 mL, 23.2 mmol) was added. The reaction mixture was stirred at room temperature for 16 h. Then, the solvent was removed under reduced pressure, and the resulting solid was triturated with Et2O and a mixture of Et2O:CH2Cl2 to afford a yellow solid. This compound was dissolved in MeOH (100 mL), and H2SO4 (1.5 mL) was added. The reaction mixture was stirred at reflux for 8 h. Then, the reaction mixture was cooled down to room temperature, a saturated aqueous solution of NaHCO3 (20 mL) was added, and the solvent was removed under reduced pressure. A saturated aqueous solution of NaHCO3 (100 mL) and EtOAc (100 mL) was added to the residue and the phases were separated, the aqueous layer was extracted with EtOAc (3 × 80 mL), and the combined organic layers were dried over Na2SO4, filtered, and concentrated under reduced pressure. Purification by flash column chromatography (pentane:EtOAc 100:0 to 0:100) afforded 2.15 g (46%) of 130 as a yellow solid. Mp = 187–189 °C; 1H-NMR (400 MHz, CDCl3) δ 8.85 (s, 1H), 8.52 (br s, 1H), 7.43–7.33 (m, 5H), 7.18 (s, 1H), 4.55 (d, J = 5.5 Hz, 2H), 3.90 (s, 3H); 13C-NMR (101 MHz, CDCl3) δ 164.33, 146.28, 135.95, 131.56, 131.19, 129.35, 128.43, 127.43, 119.86, 117.84, 52.54, 47.56.
Methyl 5-(benzylamino)-4′-(benzyloxy)-4-nitro-[1,1′-biphenyl]-2-carboxylate (132)
Following general procedure D, 130 (0.25 g, 0.68 mmol) and 4-(benzyloxy)phenylboronic acid (131) (0.23 g, 1.03 mmol) were reacted and purified by flash chromatography (pentane/EtOAc) to afford 0.32 g (90%) of 132 as a yellow solid. Mp = 193–195 °C; 1H-NMR (400 MHz, CDCl3) δ 8.86 (s, 1H), 8.63 (t, J = 5.5 Hz, 1H), 7.47–7.32 (m, 10H), 7.16–7.13 (m, 2H), 7.01–6.97 (m, 2H), 6.74 (s, 1H), 5.10 (s, 2H), 4.57 (d, J = 5.5 Hz, 2H), 3.70 (s, 3H); 13C-NMR (101 MHz, CDCl3) δ 166.59, 159.04, 150.61, 146.14, 136.88, 136.57, 132.69, 130.93, 129.42, 129.19, 128.76, 128.20, 128.16, 127.67, 127.42, 117.72, 116.39, 116.12, 114.47, 70.16, 52.09, 47.42.
5-(Benzylamino)-4′-(benzyloxy)-4-nitro-[1,1′-biphenyl]-2-carboxylic acid (133)
Following general procedure E, 132 (0.3 g, 0.64 mmol) was reacted to afford 0.15 g (52%) of 133 as a yellow solid. Mp = 216–218 °C; 1H-NMR (400 MHz, DMSO-d6) δ 12.59 (br s, 1H), 8.97 (t, J = 6.0 Hz, 1H), 8.57 (s, 1H), 7.48–7.45 (m, 2H), 7.42–7.38 (m, 2H), 7.37–7.32 (m, 5H), 7.29–7.25 (m, 1H), 7.11–7.09 (m, 2H), 7.01–6.98 (m, 2H), 6.72 (s, 1H), 5.11 (s, 2H), 4.72 (d, J = 6.0 Hz, 2H); 13C-NMR (101 MHz, DMSO-d6) δ 167.09, 158.42, 148.82, 145.62, 138.07, 136.96, 132.15, 129.62, 129.43, 129.30, 128.65, 128.47, 127.92, 127.78, 127.21, 126.99, 117.93, 116.68, 114.15, 69.28, 45.77.
9-(Benzylamino)-3-(benzyloxy)-8-nitro-6H-benzo[c]chromen-6-one (134)
Following general procedure G, 133 (0.14 g, 0.31 mmol) was reacted and purified by flash chromatography (CH2Cl2/MeOH) to afford 0.06 g (43%) of 134 as a yellow solid. Mp = 284–286 °C; 1H-NMR (400 MHz, DMSO-d6) δ 9.10 (t, J = 6.1 Hz, 1H), 8.84 (s, 1H), 8.13 (d, J = 8.6 Hz, 1H), 7.51–7.47 (m, 5H), 7.43–7.34 (m, 5H), 7.28–7.24 (m, 1H), 7.08–7.05 (m, 2H), 5.23 (s, 2H), 4.87 (d, J = 6.1 Hz, 2H); 13C-NMR (201 MHz, DMSO-d6) δ 161.65, 159.23, 153.29, 147.62, 139.53, 137.99, 136.25, 131.91, 130.50, 128.63, 128.51, 128.10, 127.92, 127.31, 127.27, 125.99, 113.19, 109.55, 107.36, 105.07, 102.58, 69.90, 45.79.
8,9-Diamino-3-hydroxy-6H-benzo[c]chromen-6-one (135)
Following general procedure H, 134 (0.03 g, 0.07 mmol) was reacted to afford 0.009 g (53%) of 135 as a pale brown solid. M.p. > 350 °C; 1H-NMR (400 MHz, DMSO-d6) δ 9.92 (s, 1H), 7.67 (d, J = 8.7 Hz, 1H), 7.23 (s, 1H), 7.09 (s, 1H), 6.75 (dd, J = 8.7, 2.4 Hz, 1H), 6.63 (d, J = 2.4 Hz, 1H), 5.82 (br s, 2H), 5.09 (br s, 2H); 13C-NMR (101 MHz, DMSO-d6) δ 160.68, 157.67, 151.15, 143.45, 135.40, 127.04, 122.68, 112.47, 111.75, 110.50, 107.97, 102.71, 102.69; HRMS (ESI) calculated for C13H11N2O3 [M + H]+ 243.0764, found 243.0762.
N,N′-(3-Hydroxy-6-oxo-6H-benzo[c]chromene-8,9-diyl)diacetamide (140)
Methyl 4,5-diamino-2-bromobenzoate (136)
To a solution of 110 (1.81 g, 5.94 mmol) in acetic acid (120 mL), iron (3.98 g, 71.28 mmol) was added. The reaction mixture was stirred at 75 °C for 3 h. Then, the reaction was cooled down to room temperature and filtered to remove the iron residues (wash with water and EtOAc, ca. 100 mL of each). Then, the solvent was removed under reduced pressure, water (200 mL) and EtOAc (200 mL) were added, the layers were separated, and the aqueous layer was extracted with EtOAc (3 × 200 mL), the combined organic layers were dried over Na2SO4, filtered, and concentrated under reduced pressure. Purification by flash column chromatography (CH2Cl2:MeOH 99:1 to 98:2) afforded 0.85 g (58%) of 136 as a pale-brown solid. Mp = 111–112 °C; 1H-NMR (400 MHz, CDCl3) δ 7.33 (s, 1H), 6.93 (s, 1H), 3.86 (s, 3H), 3.79 (br s, 2H), 3.33 (br s, 2H); 13C-NMR (101 MHz, CDCl3) δ 166.22, 140.44, 132.49, 120.95, 120.77, 120.47, 113.82, 52.07.
Methyl 4,5-diacetamido-2-bromobenzoate (137)
To a suspension of 136 (1.77 g, 7.22 mmol) in 1,4-dioxane (50 mL), a saturated aqueous solution of NaHCO3 (50 mL) and acetyl chloride (2.6 mL, 36.1 mmol) were added. The reaction mixture was stirred at room temperature for 24 h. Then, more portions of NaHCO3 (2.0 g, 23.8 mmol) and acetyl chloride (2.6 mL, 36.1 mmol) were added 6 times over the following 6 days to achieve full conversion. The reaction mixture was poured into ice/water (200 mL) and the solid was filtered off, washed with water, and dried to give 1.13 g (48%) of 137 as a pale-orange solid. Mp = 251–252 °C; 1H-NMR (400 MHz, DMSO-d6) δ 9.60 (bs, 2H), 8.16 (s, 1H), 8.05 (s, 1H), 3.83 (s, 3H), 2.12 (s, 3H), 2.09 (s, 3H); 13C-NMR (101 MHz, DMSO-d6) δ 169.16, 169.03, 165.08, 134.74, 128.45, 128.04, 127.56, 126.11, 115.64, 52.45, 23.97, 23.72.
Methyl 4,5-diacetamido-2′,4′-dimethoxy-[1,1′-biphenyl]-2-carboxylate (139)
Following general procedure D, 137 (0.8 g, 2.43 mmol) 2,4-dimethoxybenzeneboronic acid (138) (0.88 g, 4.86 mmol) were reacted and purified by flash chromatography (CH2Cl2/MeOH) to afford 0.68 g (73%) of 139 as a pale-brown solid. Mp = 110–112 °C; 1H-NMR (400 MHz, CDCl3) δ 8.76 (s, 1H), 8.72 (s, 1H), 7.81 (s, 1H), 7.18 (s, 1H), 7.07 (d, J = 8.3 Hz, 1H), 6.53 (dd, J = 8.3, 2.3 Hz, 1H), 6.44 (d, J = 2.3 Hz, 1H), 3.84 (s, 3H), 3.71 (s, 3H), 3.65 (s, 3H), 2.03 (s, 3H), 2.01 (s, 3H); 13C-NMR (101 MHz, CDCl3) δ 170.86, 170.49, 167.55, 160.84, 156.99, 136.95, 133.22, 130.39, 129.02, 128.53, 127.80, 127.07, 122.15, 104.39, 98.30, 55.50, 55.20, 51.93, 23.65, 23.59.
N,N′-(3-Hydroxy-6-oxo-6H-benzo[c]chromene-8,9-diyl)diacetamide (140)
Following general procedure B, 139 (0.6 g, 1.55 mmol) was reacted and triturated with MeOH and CH2Cl2 to afford 0.43 g (84%) of 140 as a pale-gray solid. Mp 340–342 °C; 1H-NMR (400 MHz, DMSO-d6) δ 10.31 (s, 1H), 9.67 (s, 1H), 9.58 (s, 1H), 8.54 (s, 1H), 8.38 (s, 1H), 7.89 (d, J = 8.7 Hz, 1H), 6.85 (dd, J = 8.7, 2.4 Hz, 1H), 6.74 (d, J = 2.4 Hz, 1H), 2.18 (s, 3H), 2.13 (s, 3H); 13C-NMR (101 MHz, DMSO-d6) δ 169.32, 169.12, 160.03, 159.61, 152.01, 137.32, 131.73, 129.23, 125.42, 124.21, 115.24, 114.66, 113.25, 109.12, 103.02, 24.16, 23.82; HRMS (ESI) calculated for C17H15N2O5 [M + H]+ 327.0975, found 327.0967.
3-Hydroxy-9-methylbenzo[3,4]isochromeno[6,7-d]imidazol-6(10H)-one (141)
A solution of 140 (0.04 mg, 0.011 mmol) in concentrated HCl (3 mL) was stirred at 105 °C in a sealed microwave vial for 4 h. The reaction mixture was cooled down to room temperature, diluted with ice/water, and the precipitate was filtered off to afford 0.015 g (50%) of 141 as a gray solid. Mp > 350 °C; 1H-NMR (400 MHz, CD3OD) δ 8.51 (d, J = 0.7 Hz, 1H), 8.31 (s, 1H), 8.09 (d, J = 8.8 Hz, 1H), 6.87 (dd, J = 8.8, 2.4 Hz, 1H), 6.72 (d, J = 2.4 Hz, 1H), 2.88 (s, 3H); 13C-NMR (101 MHz, CD3OD) δ 162.66, 161.68, 157.25, 153.27, 138.42, 134.48, 132.77, 125.74, 118.78, 117.08, 114.59, 110.78, 106.67, 104.23, 13.09; HRMS (ESI) calculated for C15H11N2O3 [M + H]+ 267.0764, found 267.0769.
3-Hydroxy-6H-[1,3]dioxolo[4′,5′:4,5]benzo[1,2-c]chromen-6-one (144)
3-Hydroxy-6H-[1,3]dioxolo[4′,5′:4,5]benzo[1,2-c]chromen-6-one (142)
A mixture of 84 (0.50 g, 2.02 mmol), diiodomethane (0.81 g, 3.03 mmol) and anhydrous K2CO3 (1.40 g, 10.12 mmol) in dry DMF (15 mL) was heated at reflux for 2 h. After cooling, the solvent was evaporated under reduced pressure to give the crude compound. Purification by flash chromatography (pentane/EtOAc) afforded 0.32 g (61%) of 142 as a white solid. Mp = 85–87 °C; 1H NMR (400 MHz, CDCl3) δ 7.33 (s, 1H), 7.09 (s, 1H), 6.05 (s, 2H), 3.89 (s, 3H); 13C NMR (101 MHz, CDCl3) δ 165.71, 150.95, 147.11, 129.53, 124.50, 114.38, 110.99, 102.48, 52.34.
6-bromobenzo[d][1,3]dioxole-5-carboxylic acid (143)
Following general procedure E, 142 (0.32 g, 1.23 mmol) was reacted to afford 0.21 g (69%) of 143 as a white solid. Mp = 202–204 °C; 1H NMR (400 MHz, CDCl3) δ 7.50 (s, 1H), 7.14 (s, 1H), 6.08 (s, 2H); 13C NMR (101 MHz, CDCl3) δ 166.71, 150.42, 147.01, 126.00, 113,66 113.07, 112.91, 110.20, 102.77.
3-Hydroxy-6H-[1,3]dioxolo[4′,5′:4,5]benzo[1,2-c]chromen-6-one (144)
Following general procedure A, 143 (0.21 g, 0.87 mmol) was reacted to afford 0.16 g (73%) of 144 as a white solid. Mp = 331–333 °C; 1H NMR (400 MHz, DMSO-d6) δ 10.26 (s, 1H), 8.07 (d, J = 8.8 Hz, 1H), 7.80 (s, 1H), 7.49 (s, 1H), 6.79 (dd, J = 8.7, 2.4 Hz, 1H), 6.71 (d, J = 2.4 Hz, 1H), 6.22 (s, 2H); 13C NMR (101 MHz, DMSO-d6) δ 160.48, 159.77, 154.52, 152.01, 147.96, 133.28, 125.19, 113.58, 113.45, 110.15, 107.35, 103.09, 103.06, 101.31; HRMS (ESI) m/z: 255.0308 [M − H]−, calculated for C14H7O5 255.0299.
3-Hydroxy-8,10-dihydrobenzo[3,4]isochromeno[6,7-d]imidazole-6,9-dione (150)
Methyl 6-bromo-2-oxo-2,3-dihydro-1H-benzo[d]imidazole-5-carboxylate (145)
To a solution of 136 (0.23 g, 0.939 mmol) in anhydrous THF (3 mL), CDI (0.23 g, 1.41 mmol) was added. The reaction mixture was stirred under an atmosphere of nitrogen at room temperature for 16 h. Then, the solvent was removed under reduced pressure. Flash column chromatography (CH2Cl2:MeOH 97:3 to 90:10) afforded the desired product together with imidazole, and after trituration with MeOH to give 0.2 g (78%) of 145 obtained as a pale-pink solid. Mp = 287–289 °C; 1H-NMR (400 MHz, DMSO-d6) δ 11.05 (br s, 2H), 7.36 (s, 1H), 7.20 (s, 1H), 3.81 (s, 3H); 13C-NMR (101 MHz, DMSO-d6) δ 165.78, 155.19, 133.71, 129.00, 122.76, 113.27, 112.27, 110.79, 52.25.
6-Bromo-2-oxo-2,3-dihydro-1H-benzo[d]imidazole-5-carboxylic acid (149)
Following general procedure E, 145 (0.17 g, 0.65 mmol) was reacted to afford 0.16 g (98%) of 149 as a pale-pink solid. Mp = 360–361 °C; 1H-NMR (400 MHz, DMSO-d6) δ 12.97 (br s, 1H), 11.03 (br s, 1H), 10.94 (br s, 1H), 7.36 (s, 1H), 7.17 (s, 1H); 13C-NMR (101 MHz, DMSO-d6) δ 166.85, 155.21, 133.38, 128.94, 123.89, 113.22, 112.27, 110.86.
3-Hydroxy-8,10-dihydrobenzo[3,4]isochromeno[6,7-d]imidazole-6,9-dione (150)
Following general procedure A, 149 (0.13 g, 0.51 mmol) was reacted and recrystallized from MeOH to afford 0.04 g (33%) of 150 as a brown solid. Mp > 350 °C; 1H-NMR (400 MHz, DMSO-d6) δ 11.38 (br s, 1H), 11.09 (br s, 1H), 10.18 (br s, 1H), 8.06 (d, J = 8.8 Hz, 1H), 7.63 (s, 1H), 7.61 (s, 1H), 6.81 (dd, J = 8.8, 2.4 Hz, 1H), 6.72 (d, J = 2.4 Hz, 1H); 13C-NMR (101 MHz, DMSO-d6) δ 160.88, 158.86, 155.53, 151.16, 136.75, 130.16, 130.03, 124.22, 112.96, 112.15, 110.00, 107.68, 102.76, 99.85; HRMS (ESI) calculated for C14H7N2O4 [M − H]– 267.0411, found 267.0413.
3-Hydroxybenzo[3,4]isochromeno[6,7-d]imidazol-6(10H)-one (153)
Methyl 6-bromo-1H-benzo[d]imidazole-5-carboxylate (146)
This compound was synthesized following a reported method for the synthesis of benzimidazoles [30]. To a solution of 136 (0.8 mg, 3.26 mmol) in DMF (10 mL), PhSiH3 (1.61 mL, 13.06 mmol) was added. The reaction mixture was stirred at 120 °C for 15 h. Then, the reaction was cooled down to room temperature and water (100 mL) was added (a white solid precipitates). The mixture was extracted with EtOAc (3 × 80 mL), the combined organic layers were dried over Na2SO4, filtered, and concentrated in vacuo. Purification by flash column chromatography (CH2Cl2:MeOH 100:0 to 95:5) afforded 0.27 g (32%) of 146 as a yellow solid. Mp 95–97 °C. 1H-NMR (400 MHz, DMSO-d6) δ 8.41 (s, 1H), 8.05 (s, 1H), 7.94 (s, 1H), 3.86 (s, 3H); 13C-NMR (101 MHz, DMSO-d6) δ 166.65, 52.42; only peaks of ester were visible (CO and OMe), but not the heterocycle.
Methyl 6-(2,4-dimethoxyphenyl)-1H-benzo[d]imidazole-5-carboxylate (151)
Following general procedure D, 146 (0.1 g, 0.39 mmol) and 138 (0.14 g, 0.78 mmol) were reacted and purified by flash chromatography (CH2Cl2/MeOH) to afford 0.07 g (56%) of 151 as a yellow solid. Mp = 110–112 °C. 1H-NMR (400 MHz, DMSO-d6) δ 12.68 (br s, 1H), 8.35 (s, 1H), 7.97 (s, 1H), 7.39 (s, 1H), 7.16 (d, J = 8.2 Hz, 1H), 6.59 (dd, J = 8.2, 2.4 Hz, 1H), 6.55 (d, J = 2.4 Hz, 1H), 3.81 (s, 3H), 3.61 (s, 3H), 3.60 (s, 3H); 13C-NMR (201 MHz, DMSO-d6) δ 168.24, 159.80, 156.86, 144.09, 130.30, 125.77, 123.52, 104.62, 98.01, 55.18, 55.01, 51.41 (5 carbons of the benzimidazole ring do not appear, probably because of tautomerism).
3-Hydroxybenzo[3,4]isochromeno[6,7-d]imidazol-6(10H)-one (153)
Following general procedure B, 151 (0.05 g, 0.16 mmol) was reacted and triturated with Et2O to afford 0.011 g (37%) of 153 as a pale-yellow solid. Mp > 350 °C; 1H-NMR (400 MHz, DMSO-d6) δ 10.30 (br s, 1H), 9.14 (br s, 1H), 8.53 (s, 1H), 8.49 (s, 1H), 8.28 (d, J = 8.9 Hz, 1H), 6.87 (dd, J = 8.9, 2.4 Hz, 1H), 6.77 (d, J = 2.4 Hz, 1H); 13C-NMR (201 MHz, DMSO-d6) δ 160.61, 159.77, 151.35, 145.55, 137.71, 132.35, 131.77, 125.11, 117.05, 116.66, 113.29, 109.36, 106.75, 102.98; HRMS (ESI) calculated for C14H9N2O3 [M + H]+ 253.0608, found 253.0608.
3-Hydroxybenzo[3,4]isochromeno[6,7-d][1,2,3]triazol-6(10H)-one (154)
Methyl 6-bromo-1H-benzo[d][1,2,3]triazole-5-carboxylate (147)
To a solution of 136 (0.72 g, 2.96 mmol) in MeOH (25 mL) at 0 °C, NaNO2 (0.22 mg, 3.25 mmol) and an aqueous solution of HCl (1 M, 22 mL) were added. The reaction mixture was stirred from 0 °C to room temperature for 15 h. Then, MeOH was removed under reduced pressure, a saturated aqueous solution of NaHCO3 (50 mL) was added and the mixture was extracted with EtOAc (3 × 60 mL), and the combined organic layers were dried over Na2SO4, filtered, and concentrated under reduced pressure, to afford 0.73 g (96%) of 147 as a brown-orange solid. Mp = 174–175 °C; 1H-NMR (400 MHz, DMSO-d6) δ 8.39 (d, J = 0.6 Hz, 1H), 8.33 (d, J = 0.6 Hz, 1H), 3.90 (s, 3H); 13C-NMR (101 MHz, DMSO-d6) δ 166.27, 139.22, 138.65, 129.29, 119.18, 118.74, 116.06, 52.80.
Methyl 1-acetyl-6-bromo-1H-benzo[d][1,2,3]triazole-5-carboxylate + Methyl 1-acetyl-5-bromo-1H-benzo[d][1,2,3]triazole-6-carboxylate (148)
To a suspension of 147 (0.6 mg, 2.34 mmol) in dry CH2Cl2 (20 mL) at 0 °C, Et3N (0.52 mL, 3.75 mmol) and AcCl (0.23 mL, 3.28 mmol) were added. The reaction mixture was stirred at room temperature for 3 h. Then, an aqueous solution of HCl (1 M, 10 mL) was added, the mixture was diluted with water (20 mL) and CH2Cl2 (40 mL), and the layers were separated. The aqueous layer was extracted with CH2Cl2 (2 × 40 mL), and the combined organic layers were dried over Na2SO4, filtered, and concentrated under reduced pressure to give 0.7 g (99%) of 148 as a pale-brown solid. The product was obtained as a mixture of regioisomers (major: minor 6:4). 1H-NMR (400 MHz, CDCl3) δ 8.66 (d, J = 0.6 Hz, 1H major), 8.64 (d, J = 0.6 Hz, 1H minor), 8.55 (d, J = 0.6 Hz, 1H major), 8.44 (d, J = 0.6 Hz, 1H minor), 4.01 (s, 6H, major and minor overlap), 3.02 (s, 3H, minor), 3.01 (s, 3H, major); 13C-NMR (101 MHz, CDCl3) δ 169.22, 169.19, 166.16, 165.80, 147.62, 144.80, 134.63, 132.68, 130.61, 129.70, 125.35, 123.74, 123.16, 119.94, 117.65, 116.74, 53.23, 53.12, 23.27, 23.22 (both major and minor isomers reported).
Methyl 6-(2,4-dimethoxyphenyl)-1H-benzo[d][1,2,3]triazole-5-carboxylate (152)
Following general procedure D, 148 (0.5 g, 1.68 mmol) and 138 (0.61 g, 3.35 mmol) were reacted and purified by flash chromatography (CH2Cl2/MeOH) to afford 0.27 g (51%) of 152 as a white solid. Mp = 98–100 °C; 1H-NMR (400 MHz, DMSO-d6) δ 8.29 (br s, 1H), 7.70 (br s, 1H), 7.26 (d, J = 8.3 Hz, 1H), 6.63 (dd, J = 8.3, 2.4 Hz, 1H), 6.57 (d, J = 2.4 Hz, 1H), 3.82 (s, 3H), 3.65 (s, 3H), 3.63 (s, 3H).;13C-NMR (201 MHz, DMSO-d6) δ 167.62, 160.39, 156.76, 130.51, 122.17, 104.93, 98.02, 55.26, 55.05, 51.79 (the 6 carbons of the benzotriazole ring do not appear, probably because of tautomerism).
3-Hydroxybenzo[3,4]isochromeno[6,7-d][1,2,3]triazol-6(10H)-one (154)
Following general procedure B, 152 (0.04 g, 0.121 mmol) was reacted and triturated with Et2O to afford 0.011 g (37%) of 154 as a pale-yellow solid. Mp > 350 °C; 1H-NMR (400 MHz, DMSO-d6) δ 10.35 (br s, 1H), 8.86 (br s, 1H), 8.64 (br s, 1H), 8.34 (d, J = 8.8 Hz, 1H), 6.86 (dd, J = 8.8, 2.4 Hz, 1H), 6.76 (d, J = 2.4 Hz, 1H); 13C-NMR (201 MHz, DMSO-d6) δ 160.80, 159.84, 151.39, 125.44, 113.24, 109.51, 102.99 (the 6 carbons of the benzotriazole ring do not appear, probably because of tautomerism); HRMS (ESI) calculated for C13H8N3O3 [M + H]+ 254.0560, found 254.0563.
2,3,8-Trihydroxy-6H-benzo[c]chromen-6-one (161)
Methyl 2-bromo-5-methoxybenzoate (156)
Following general procedure C, 2-bromo-5-methoxynenzoic acid (155) (1.50 g, 6.49 mmol) was reacted to afford 1.57 g (99%) of 156 as a yellow oil. 1H NMR (400 MHz, CDCl3) δ 7.52 (d, J = 8.8 Hz, 1H), 7.31 (d, J = 3.1 Hz, 1H), 6.89 (dd, J = 8.8, 3.1 Hz, 1H), 3.93 (d, J = 0.3 Hz, 3H), 3.81 (s, 3H); 13C NMR (101 MHz, CDCl3) δ 166.47, 158.51, 135.02, 132.68, 119.04, 116.20, 111.93, 55.64, 52.51.
Methyl 3′,4,4′-trimethoxy-[1,1′-biphenyl]-2-carboxylate (158)
Following general procedure B, 156 (1.00 g, 4.08 mmol) and 3,4-methoxyphenylboronic acid (157) (0.74 g, 4.08 mmol), were reacted to afford 1.04 g (84%) of 158 as a yellow oil. 1H NMR (400 MHz, CDCl3) δ 7.33–7.24 (m, 2H), 7.05 (dd, J = 8.5, 2.8 Hz, 1H), 6.92–6.78 (m, 3H), 3.91 (s, 3H), 3.87 (s, 3H), 3.86 (s, 3H), 3.66 (s, 3H); 13C NMR (101 MHz, CDCl3) δ 169.33, 158.40, 148.46, 148.10, 134.41, 133.68, 131.90, 131.76, 120.60, 117.38, 114.12, 111.79, 110.79, 55.85, 55.56, 52.11.
3′,4,4′-Trimethoxy-[1,1′-biphenyl]-2-carboxylic acid (159)
Following general procedure E, 158 (1.04 g, 3.44 mmol) was reacted to afford 0.91 g (92%) of 159 as a white solid. Mp = 166–168 °C; 1H NMR (400 MHz, CDCl3) δ 11.67 (s, 1H), 7.43 (d, J = 2.7 Hz, 1H), 7.28 (d, J = 8.6 Hz, 1H), 7.07 (dd, J = 8.5, 2.8 Hz, 1H), 6.85 (dd, J = 3.5, 1.5 Hz, 3H), 3.88 (s, 3H), 3.85 (s, 3H), 3.84 (s, 3H); 13C NMR (101 MHz, CDCl3) δ 173.77, 158.36, 148.36, 148.23, 135.42, 133.42, 132.34, 130.21, 120.89, 118.35, 114.92, 112.18, 110.86, 55.82, 55.81, 55.55.
2,3,8-Trimethoxy-6H-benzo[c]chromen-6-one (160)
Following general procedure F, 159 (0.91 g, 3.15 mmol) was reacted to afford 0.45 g (50%) of 160 as a white powder. Mp = 201–203 °C; 1H NMR (400 MHz, CDCl3) δ 7.87 (d, J = 8.8 Hz, 1H), 7.76 (d, J = 2.7 Hz, 1H), 7.36 (dd, J = 8.8, 2.8 Hz, 1H), 7.31 (s, 1H), 6.84 (d, J = 1.2 Hz, 1H), 3.99 (s, 3H), 3.93 (s, 3H), 3.92 (s, 3H); 13C NMR (101 MHz, CDCl3) δ 161.65, 159.14, 150.53, 146.47, 145.28, 128.56, 124.35, 122.72, 121.23, 111.02, 110.14, 103.51, 100.74, 56.42, 56.20, 55.74.
2,3,8-Trihydroxy-6H-benzo[c]chromen-6-one (161)
Following general procedure B, 160 (0.30 g, 1.05 mmol) was reacted to afford 0.24 g (94%) of 161 as yellow solid. Mp > 350 °C; 1H NMR (400 MHz, DMSO-d6) δ 10.15 (s, 1H), 9.78 (s, 1H), 9.15 (s, 1H), 7.92 (d, J = 8.9 Hz, 1H), 7.49 (d, J = 2.7 Hz, 1H), 7.41 (s, 1H), 7.29 (dd, J = 8.7, 2.7 Hz, 1H), 6.73 (s, 1H); 13C NMR (101 MHz, DMSO-d6) δ 161.23, 157.25, 147.64, 143.87, 143.57, 127.41, 124.49, 123.90, 120.81, 114.02, 109.70, 108.03, 103.89; HRMS (ESI) m/z: 243.0306 [M − H]−, calculated for C13H7O5 243.0299.
3,8,9-Trihydroxyphenanthridin-6(5H)-one (165)
2-Bromo-4,5-dimethoxybenzamide (162)
A solution of 8 (4.00 g, 15.3 mmol) in SOCl2 (35 mL) was stirred at reflux for 4 h. The reaction mixture was cooled down to room temperature and evaporated under reduced pressure to afford the corresponding acyl chloride as a pale-yellow solid. This solid was dissolved in THF (80 mL) and added dropwise to a solution of NH3 in THF (0.4 M, 115 mL) at 0 °C, and the reaction mixture was stirred from 0 °C to room temperature for 20 h. Then, the solvent was removed under reduced pressure. Purification by flash column chromatography (CH2Cl2:MeOH 98.5:1.5) afforded 3.03 g (76%) of 162 as a white solid. Mp = 177–179 °C; 1H-NMR (400 MHz, CDCl3) δ 7.35 (s, 1H), 7.01 (s, 1H), 6.50 (br s, 1H), 6.18 (br s, 1H), 3.90 (s, 3H), 3.90 (s, 3H); 13C-NMR (101 MHz, CDCl3) δ 168.55, 151.32, 148.51, 127.72, 116.05, 113.53, 110.39, 110.13, 56.43, 56.28.
4,4′,5-Trimethoxy-[1,1′-biphenyl]-2-carboxamide (163)
Following general procedure B, 162 (1.00 g, 3.85 mmol) and 86 (0.64 g, 4.23 mmol), were reacted and purified by flash chromatography (CH2Cl2/MeOH) to afford 0.61 g (55%) of 163 as a white solid. Mp = 167–168 °C; 1H-NMR (400 MHz, CDCl3) δ 7.45 (s, 1H), 7.36–7.32 (m, 2H), 6.98–6.95 (m, 2H), 6.74 (s, 1H), 5.50 (br s, 1H), 5.20 (br s, 1H), 3.96 (s, 3H), 3.91 (s, 3H), 3.85 (s, 3H); 13C-NMR (101 MHz, CDCl3) δ 170.45, 159.61, 150.63, 148.22, 133.51, 132.68, 130.34, 125.73, 114.37, 113.23, 112.56, 56.26, 56.20, 55.50.
3,8,9-Trimethoxyphenanthridin-6(5H)-one (164)
To a solution of 163 (0.3 g, 1.04 mmol) in o-xylene (30 mL), CuI (0.07 g, 0.366 mmol), PPh3 (0.19 g, 0.731 mmol), and KOtBu (0.82 mg, 7.31 mmol) were added in 3 portions over 3 days, the mixture was stirred at 120 °C for 4 days in total. Then, water (200 mL) was added, and the mixture was extracted with CH2Cl2 (3 × 100 mL). The combined organic layers were washed with brine (100 mL), dried over Na2SO4, filtered, and concentrated under reduced pressure. Recrystallization from MeOH afforded 0.05 g (18%) of 164 as a pale-yellow solid. Mp = 275–277 °C. 1H-NMR (400 MHz, DMSO-d6) δ 11.47 (s, 1H), 8.28 (d, J = 8.7 Hz, 1H), 7.76 (s, 1H), 7.65 (s, 1H), 6.87–6.83 (m, 2H), 4.00 (s, 3H), 3.88 (s, 3H), 3.81 (s, 3H); 13C-NMR (101 MHz, DMSO-d6) δ 160.73, 159.58, 153.33, 148.56, 137.47, 129.43, 124.61, 117.85, 111.28, 109.87, 107.77, 103.56, 99.24, 56.04, 55.48, 55.25.
3,8,9-Trihydroxyphenanthridin-6(5H)-one (165)
Following general procedure B, 164 (0.024 g, 0.0084 mmol) was reacted to afford and purified by reversed phase (C18) flash column chromatography (H2O:CH3CN 10:0 to 7:3) to afford 0.02 g (88%) of 165 as a red solid. Mp > 350 °C; 1H-NMR (400 MHz, CD3OD) δ 7.92 (d, J = 8.7 Hz, 1H), 7.67 (s, 1H), 7.56 (s, 1H), 6.77–6.73 (m, 2H); 13C-NMR (176 MHz, CD3OD) δ 13C NMR (176 MHz, MeOD) δ 164.17, 159.21, 152.96, 146.86, 137.96, 131.48, 124.77, 118.09, 113.04, 112.85, 112.84, 107.43, 102.47; HRMS (ESI) m/z: 244.0610 [M + H]+, calculated for C13H9NO4 244.0612.
3,8,9-Trihydroxy-5-methylphenanthridin-6(5H)-one (167)
3,8,9-Trimethoxy-5-methylphenanthridin-6(5H)-one (166)
To a suspension of 164 (0.016 g, 0.056 mmol) and Cs2CO3 (0.091 g, 0.28 mmol) in THF (6 mL) under an atmosphere of nitrogen, methyl iodide (11 µL, 0.17 mmol) was added. The mixture was stirred at reflux (sealed microwave vial, pre-heated heating block at 86 °C) for 5 h. Then, the solvent was removed under reduced pressure. Water (30 mL) and CH2Cl2 (30 mL) were added, the layers were separated, and the aqueous layer was extracted with CH2Cl2 (2 × 20 mL). The combined organic layers were washed with brine (30 mL), dried over Na2SO4, filtered, and concentrated under reduced pressure. The crude was triturated with Et2O to afford 0.014 (83%) 166 as a yellow solid. Mp = 179–180 °C; 1H-NMR (400 MHz, CDCl3) δ 8.02 (d, J = 8.6 Hz, 1H), 7.87 (s, 1H), 7.45 (s, 1H), 6.88 (dd, J = 8.7, 2.4 Hz, 1H), 6.85 (d, J = 2.4 Hz, 1H), 4.07 (s, 3H), 4.02 (s, 3H), 3.93 (s, 3H), 3.77 (s, 3H); 13C-NMR (101 MHz, CDCl3) δ 161.66, 160.26, 153.44, 149.14, 139.10, 128.72, 124.05, 118.32, 112.94, 109.17, 108.93, 102.14, 100.28, 56.31, 56.20, 55.68, 30.12.
3,8,9-Trihydroxy-5-methylphenanthridin-6(5H)-one (167)
Following general procedure B, 166 (0.01 g, 0.033 mmol) was reacted and triturated with MeOH to afford 0.003 g (35%) of 167 as yellow solid. 1H-NMR (400 MHz, CD3OD) δ 8.00 (d, J = 8.8 Hz, 1H), 7.69 (s, 1H), 7.55 (s, 1H), 6.91 (d, J = 2.3 Hz, 1H), 6.81 (dd, J = 8.8, 2.3 Hz, 1H), 3.72 (s, 3H); 13C-NMR (176 MHz, CD3OD) δ 163.53, 159.48, 152.77, 146.98, 139.62, 130.30, 125.21, 117.87, 113.61, 113.39, 112.32, 107.09, 102.38, 30.38; HRMS (ESI) m/z: 258.0766 [M + H]+, calculated for C14H12NO4 258.0765.
Phenanthrene-2,3,7-triol (178)
4,4′,5-Trimethoxy-[1,1′-biphenyl]-2-carbaldehyde (170)
Following general procedure D, 68 (2.0 g, 8.16 mmol) and 86 (1.275 g, 8.39 mmol) were reacted and purified by flash chromatography (pentane/EtOAc) to afford 1.81 g (81%) of 170 as a white solid. Mp = 106–107 °C; 1H NMR (400 MHz, CDCl3) δ 9.83 (s, 1H), 7.52 (s, 1H), 7.32–7.28 (m, 2H), 7.02–6.97 (m, 2H), 6.83 (s, 1H), 3.98 (s, 3H), 3.97 (s, 3H), 3.87 (s, 3H); 13C NMR (101 MHz, CDCl3) δ 191.36, 159.67, 153.48, 148.62, 141.33, 131.42, 129.93, 127.02, 113.90, 112.69, 108.67, 56.28, 56.19, 55.49.
(E/Z)-4,4′,5-Trimethoxy-2-(2-methoxyvinyl)-1,1′-biphenyl (172)
To a solution of methoxymethyltriphenylphosphonium chloride (2.57 g, 7.5 mmol) in THF (25 mL), a solution of KOtBu (842 mg, 7.5 mmol) in THF (15 mL) was added at 0 °C. After stirring for 30 min, a solution of 170 (0.91 mg, 5.0 mmol) in THF (10 mL) was added and stirred at room temperature for 2 h. The reaction mixture was quenched with water (40 mL) and extracted with EtOAc (3 × 20 mL). The combined organic layer was dried over MgSO4, and the organic solvent was removed under reduced pressure. The crude was purified by flash chromatography (pentane/EtOAc 90/10) to give 0.5 g (90%) of 172 as a colorless oil (mixture of E/Z isomer). 1H NMR (400 MHz, CDCl3) δ 7.32–7.25 (m, 2H), 6.97–6.92 (m, 2H), 6.88 (d, J = 5.5 Hz, 1H), 6.76 (d, J = 9.6 Hz, 1H), 5.76 (d, J = 12.9 Hz, 1H), 3.93 (d, J = 1.6 Hz, 3H), 3.87 (d, J = 1.9 Hz, 3H), 3.84 (d, J = 2.9 Hz, 3H), 3.75 (s, 1H), 3.55 (s, 2H); 13C NMR (101 MHz, CDCl3) δ 158.48, 158.45, 148.14, 147.79, 147.54, 147.37, 146.84, 146.40, 133.96, 133.63, 133.00, 132.15, 130.95, 130.80, 126.47, 125.97, 113.47, 113.40, 112.93, 112.21, 108.15, 104.51, 103.81, 60.54, 56.43, 55.98, 55.97, 55.86, 55.84, 55.27.
2,3,7-Trimethoxyphenanthrene (175)
To a solution of 172 (0.41 g, 1.3 mmol) in CH2Cl2 (10 mL) CF3SO3H (0.1 mL) was added under argon at 0 °C, and the solution was stirred overnight at room temperature. The organic layers were evaporated to dryness. The residue was purified by crystallization from MeOH to give 0.25 g (68%) of 175 as a grey solid. Mp = 157–158 °C; 1H NMR (400 MHz, CDCl3) δ 8.43 (d, J = 8.9 Hz, 1H), 7.91 (s, 1H), 7.67–7.54 (m, 2H), 7.29–7.23 (m, 2H), 4.10 (s, 3H), 4.03 (s, 3H), 3.96 (s, 3H); 13C NMR (101 MHz, CDCl3) δ 157.52, 149.44, 148.59, 132.61, 126.54, 125.95, 125.08, 124.68, 124.22, 123.73, 117.03, 108.32, 108.30, 102.77, 55.96, 55.89, 55.38.
Phenanthrene-2,3,7-triol (178)
Following general procedure B, 175 (0.08 g, 0.30 mmol) was reacted and triturated with MeOH to afford 0.05 g (77%) of 178 as a grey solid. Mp = 266–268 °C; 1H NMR (400 MHz, DMSO-d6) δ 9.84–9.06 (m, 3H), 8.23 (d, J = 8.9 Hz, 1H), 7.83 (s, 1H), 7.46 (d, J = 8.8 Hz, 1H), 7.35 (d, J = 8.8 Hz, 1H), 7.13 (s, 1H), 7.11–7.04 (m, 2H); 13C NMR (101 MHz, DMSO-d6) δ 155.33, 147.17, 145.76, 132.57, 126.58, 125.23, 124.85, 123.97, 123.42, 123.08, 117.25, 112.43, 111.40, 106.87; HRMS (ESI) calculated for C14H9O3 [M − H]− 225.0557, found 225.0571.
Phenanthridine-3,8,9-triol (179)
(E)-4,4′,5-trimethoxy-[1,1′-biphenyl]-2-carbaldehyde O-acetyl oxime (173)
To a solution of 170 (1.69 g, 6.20 mmol) in EtOH (16 mL), pyridine (1.41 mL, 17.38 mmol) and hydroxylamine hydrochloride (0.65 g, 9.31 mmol) were added. The resulting mixture was stirred at 60 °C for 75 min. Then, the reaction mixture was cooled to room temperature, and water (40 mL) and EtOAc (40 mL) were added. The layers were separated, and the aqueous layer was extracted with EtOAc (3 × 40 mL). The combined organic layers were washed with aqueous HCl (1 M, 1 × 10 mL) and brine (1 × 10 mL), and dried over Na2SO4, filtered, and concentrated under reduced pressure. Then, the resulting crude was dissolved in pyridine (16 mL), and DMAP (ca 8 mg, 64 μmol) and acetic anhydride (1.17 mL, 12.41 mmol) were added. The reaction mixture was stirred at room temperature for 1.5 h. Then, water (40 mL) and EtOAc (40 mL) were added. The layers were separated, and the aqueous layer was extracted with EtOAc (3 × 40 mL). The combined organic layers were washed with aqueous HCl (1 M, 1 × 40 mL) and brine (1 × 40 mL), and dried over Na2SO4, filtered, and concentrated under reduced pressure to give 1.9 g (95%) of 173 as a pale-yellow solid. Mp = 132–133 °C; 1H NMR (400 MHz, CDCl3) δ 8.23 (s, 1H), 7.56 (s, 1H), 7.22–7.18 (m, 2H), 6.99–6.95 (m, 2H), 6.79 (s, 1H), 3.96 (s, 3H), 3.91 (s, 3H), 3.86 (s, 3H), 2.15 (s, 3H); 13C NMR (101 MHz, CDCl3) δ 168.79, 159.35, 155.41, 151.58, 148.42, 137.83, 131.16, 130.99, 119.98, 113.90, 112.56, 108.50, 56.25, 56.01, 55.40, 19.66.
3,8,9-Trimethoxyphenanthridine (176)
This compound was synthesized following a reported method for the synthesis of phenanthridines [22]. To a solution of 173 (1.68 g, 5.11 mmol) in acetic acid (35 mL), Fe(acac)3 (0.36 g, 1.02 mmol) was added. The reaction mixture was stirred under an atmosphere of nitrogen at 80 °C for 2 h. The reaction mixture was then allowed to cool down to room temperature, neutralized with a saturated aqueous solution of NaHCO3, and extracted with EtOAc (3 × 5 mL). The combined organic layers were dried over Na2SO4, filtered, and concentrated under reduced pressure. Purification by flash column chromatography (CH2Cl2/MeOH 95/5) afforded 0.42 g (31%) of the desired product 176 as a yellow solid. Mp = 167–168 °C; 1H NMR (400 MHz, CDCl3) δ 9.11 (s, 1H), 8.33 (d, J = 9.0 Hz, 1H), 7.78 (s, 1H), 7.55 (d, J = 2.7 Hz, 1H), 7.33 (s, 1H), 7.28 (dd, J = 9.0, 2.6 Hz, 1H), 4.13 (s, 3H), 4.06 (s, 3H), 3.98 (s, 3H); 13C NMR (101 MHz, CDCl3) δ 159.57, 153.22, 152.24, 149.39, 145.75, 128.72, 123.03, 121.04, 118.15, 118.06, 109.82, 107.85, 101.43, 56.30, 56.23, 55.67.
Phenanthridine-3,8,9-triol (179)
To a solution of 176 (0.1 g, 0.371 mmol) in acetic acid (1.1 mL), HBr (48% aqueous, 3.3 mL) was added. The reaction mixture was stirred at 120 °C for 6 days. Then, the solvent was removed under reduced pressure. Et2O was added and the precipitate formed was filtered off. Purification by flash chromatography (CH2Cl2/MeOH) afforded 0.01 g (11%) of 179 as an orange solid. Mp = 203–205 °C; 1H NMR (400 MHz, DMSO-d6) δ 8.91 (s, 1H), 8.23 (d, J = 8.9 Hz, 1H), 7.78 (s, 1H), 7.33 (s, 1H), 7.26 (s, 1H), 7.12 (d, J = 8.7 Hz, 1H); 13C NMR (176 MHz, DMSO-d6) δ 163.50, 161.57, 157.33, 154.45, 150.76, 123.78, 120.01, 117.70, 116.92, 112.06, 105.56, 41.80, 41.68; HRMS (ESI) calculated for C13H10NO3 [M + H]+ 228.0655, found 228.0658.
Phenanthridine-2,3,8-triol (180)
Bromo-5-methoxybenzaldehyde (169)
To a solution of KBr (1.19 g, 10.0 mmol) in water (100 mL), m-anisaldehyde (168) (1.22 mL, 10.0 mmol) was added. Bromine (0.52 mL, 10.0 mmol) was added dropwise, and the reaction mixture was stirred at room temperature for 4 h. Then, the precipitate was filtered off, washed with water, and dried by co-evaporation with toluene (3 × 10 mL) to afford 1.91 g (89%) of 169 as a pale-orange solid. Mp = 63–65 °C; 1H-NMR (400 MHz, CDCl3) δ 10.31 (s, 1H), 7.52 (d, J = 8.8 Hz, 1H), 7.41 (d, J = 3.2 Hz, 1H), 7.03 (dd, J = 8.8, 3.2 Hz, 1H), 3.84 (s, 3H); 13C-NMR (101 MHz, CDCl3) δ 191.93, 159.40, 134.70, 134.10, 123.28, 118.12, 112.80, 55.88.
3′,4,4′-Trimethoxy-[1,1′-biphenyl]-2-carbaldehyde (171)
Following general procedure D, 169 (0.43 g, 2.00 mmol) and 157 (0,40 g, 2.20 mmol) were reacted and purified by flash chromatography (pentane/EtOAc) to afford 0.45 (83%) of 171 as a white solid. Mp = 103–104 °C; 1H-NMR (400 MHz, CDCl3) δ 9.96 (s, 1H), 7.49 (d, J = 2.8 Hz, 1H), 7.37 (d, J = 8.5 Hz, 1H), 7.19 (dd, J = 8.5, 2.8 Hz, 1H), 6.96–6.93 (m, 1H), 6.88–6.85 (m, 2H), 3.94 (s, 3H), 3.90 (s, 3H), 3.90 (s, 3H); 13C-NMR (101 MHz, CDCl3) δ 192.61, 159.09, 149.05, 148.93, 139.10, 134.72, 132.14, 130.25, 123.07, 121.54, 113.34, 111.08, 109.86, 56.14, 56.13, 55.76.
(E)-3′,4,4′-trimethoxy-[1,1′-biphenyl]-2-carbaldehyde O-acetyl oxime (174)
To a solution of 171 (0.42 g, 1.54 mmol) in EtOH (4 mL), pyridine (0.35 mL, 4.32 mmol) and hydroxylamine hydrochloride (0.16 g, 2.31 mmol) were added. The resulting mixture was stirred at 60 °C for 75 min. Then, the reaction mixture was cooled to room temperature, and water (10 mL) and EtOAc (10 mL) were added. The layers were separated, and the aqueous layer was extracted with EtOAc (3 × 10 mL). The combined organic layers were washed with aqueous HCl (1 M, 1 × 10 mL) and brine (1 × 10 mL), and dried over Na2SO4, filtered, and concentrated under reduced pressure. Then, the resulting crude (444 mg, white solid) was dissolved in pyridine (4 mL), and DMAP (ca 2 mg, 16 μmol) and acetic anhydride (0.30 mL, 3.08 mmol) were added. The reaction mixture was stirred at room temperature for 1.5 h. Then, water (10 mL) and EtOAc (10 mL) were added. The layers were separated, and the aqueous layer was extracted with EtOAc (3 × 10 mL). The combined organic layers were washed with aqueous HCl (1 M, 1 × 10 mL) and brine (1 × 10 mL), and dried over Na2SO4, filtered, and concentrated under reduced pressure to give 0.5 g (99%) of. 174 as a pale-yellow solid. Mp = 107–109 °C; 1H-NMR (400 MHz, CDCl3) δ 8.30 (s, 1H), 7.57 (d, J = 2.7 Hz, 1H), 7.30 (d, J = 8.6 Hz, 1H), 7.07 (dd, J = 8.6, 2.7 Hz, 1H), 6.94–6.92 (m, 1H), 6.81–6.78 (m, 2H), 3.93 (s, 3H), 3.89 (s, 3H), 3.88 (s, 3H), 2.18 (s, 3H); 13C-NMR (101 MHz, CDCl3) δ 168.83, 158.94, 155.90, 148.85, 148.77, 136.48, 131.52, 131.49, 128.79, 122.51, 119.01, 113.16, 111.13, 110.33, 56.12, 56.11, 55.82, 19.74.
2,3,8-Trimethoxyphenanthridine (177)
This compound was synthesized following a reported method for the synthesis of phenanthridines [22]. To a solution of 174 (0.47 g, 1.43 mmol) in acetic acid (9 mL), Fe(acac)3 (0.1 g, 0.286 mmol) was added. The reaction mixture was stirred under an atmosphere of nitrogen at 80 °C for 2 h. The reaction mixture was then allowed to cool down to room temperature, neutralized with a saturated aqueous solution of NaHCO3, and extracted with EtOAc (3 × 5 mL). The combined organic layers were dried over Na2SO4, filtered, and concentrated under reduced pressure. Purification by flash column chromatography (CH2Cl2/MeOH 95/5) afforded 0.11 g (49%) of the desired product 177 as a pale-orange sticky oil (undesired regioisomer was also recovered). 1H-NMR (400 MHz, CDCl3) δ 9.07 (s, 1H), 8.32 (d, J = 9.1 Hz, 1H), 7.71 (s, 1H), 7.53 (s, 1H), 7.41 (dd, J = 9.1, 2.6 Hz, 1H), 7.30 (d, J = 2.6 Hz, 1H), 4.08 (s, 3H), 4.04 (s, 3H), 3.96 (s, 3H), 13C-NMR (101 MHz, CDCl3) δ 158.14, 150.52, 150.28, 149.74, 139.70, 127.03, 126.84, 123.16, 122.12, 118.69, 109.96, 107.60, 101.35, 56.19, 56.15, 55.63.
Phenanthridine-2,3,8-triol (180)
To a solution of 177 (0.1 g, 0.371 mmol) in acetic acid (1.1 mL), HBr (48% aqueous, 3.3 mL) was added. The reaction mixture was stirred at 120 °C for 6 days. Then, the solvent was removed under reduced pressure. Et2O was added and the precipitate formed was filtered off. Purification by preparative HPLC (H2O (0.1% formic acid): CH3CN (0.1% formic acid) 9:1 to 6:4 over 25 min) afforded 0.037 G (37%) of 180 formate salt as a dark-yellow-orange solid. Mp = 210–211 °C; 1H-NMR (400 MHz, DMSO-d6) δ 9.97–9.72 (m, 3H), 8.91 (s, 1H), 8.29 (d, J = 8.8 Hz, 1H), 8.14 (s, 1H, formic acid), 7.79 (s, 1H), 7.35–7.30 (m, 3H). 13C-NMR (101 MHz, DMSO-d6) δ 163.11(formic acid), 155.58, 149.19, 146.98, 146.90, 138.38, 126.62, 124.72, 123.18, 121.54, 117.82, 113.08, 110.51, 105.26; HRMS (ESI) calculated for C13H10NO3 [M + H]+ 228.0655, found 228.0660.
6,6-dimethyl-6H-benzo[c]chromene-3,8,9-triol (183)
3,8,9-tris(benzyloxy)-6H-benzo[c]chromen-6-one (181)
Following general procedure K, 1 (0.50 g, 2.04 mmol) was reacted to afford 0.79 g of 181 (75%) as a brown solid. Mp = 173–175 °C; 1H NMR (400 MHz, CDCl3) δ 7.82 (s, 1H), 7.72 (d, J = 8.8 Hz, 1H), 7.60–7.28 (m, 15H), 6.95 (dd, J = 8.8, 2.5 Hz, 1H), 6.90 (d, J = 2.5 Hz, 1H), 5.35 (s, 2H), 5.25 (s, 2H), 5.12 (s, 2H); 13C NMR (101 MHz, CDCl3) δ 161.25, 159.90, 154.89, 152.17, 148.94, 136.25, 136.09, 135.99, 130.47, 128.75, 128.70, 128.58, 128.26, 128.07, 127.51, 127.33, 127.10, 123.12, 113.28, 113.01, 112.97, 111.43, 104.77, 102.61, 71.02, 70.92, 70.39.
3,8,9-Tris(benzyloxy)-6,6-dimethyl-6H-benzo[c]chromene (182)
The compound was synthetized following the literature procedure [31]. To a solution of methyl magnesium bromide in diethyl ether (3.0 M, 2.43 mL, 7.29 mmol) under nitrogen at 0 °C, a suspension of 181 (0.75 g, 1.46 mmol) in anhydrous THF (30.0 mL) was added. The resulting mixture was refluxed for 12 h and then cooled to room temperature. The solution was poured into concentrated HCl conc. (3.0 mL) and stirred for 5 min. Water (30.0 mL) was then added and the solution was extracted with EtOAc (3 × 30.0 mL). The organic phase was dried (Na2SO4), filtered, and concentrated under reduced pressure to give 0.7 g of crude product. Purification by flash chromatography (90/10 pemtane/EtOAc) afforded 0.31 g (40%) of 182 as a colorless oil. 1H NMR (400 MHz, CDCl3) δ 7.61–7.46 (m, 6H), 7.46–7.29 (m, 8H), 7.26 (d, J = 2.0 Hz, 1H), 6.83 (s, 1H), 6.69 (dd, J = 8.5, 2.5 Hz, 1H), 6.64 (d, J = 2.5 Hz, 1H), 5.25 (s, 2H), 5.21 (s, 2H), 5.09 (s, 2H), 1.60 (s, 6H); 13C NMR (101 MHz, CDCl3) δ 159.69, 153.54, 149.04, 148.12, 137.29, 137.26, 136.92, 131.85, 128.61, 128.60, 128.53, 128.02, 127.95, 127.63, 127.59, 127.46, 123.21, 122.86, 115.71, 111.66, 108.92, 108.69, 103.88, 77.73, 72.13, 71.64, 70.09, 27.65.
6,6-dimethyl-6H-benzo[c]chromene-3,8,9-triol (183)
Following general procedure H, 182 (0.16 g, 0.30 mmol) was reacted to afford 0.05 g (66%) of 183 as a yellow oil. 1H NMR (400 MHz, CD3OD) δ 7.38 (d, J = 8.5 Hz, 1H), 7.05 (s, 1H), 6.67 (s, 1H), 6.42 (dd, J = 8.4, 2.5 Hz, 1H), 6.30 (d, J = 2.4 Hz, 1H), 1.51 (s, 6H); 13C NMR (101 MHz, CD3OD) δ 157.43, 153-07, 144.50, 144.13, 130.26, 122.54, 121.03, 114.91, 110.13, 106.53, 107.95, 103.96, 77.10, 26.62; HRMS (ESI) m/z: 257.0826 [M − H]−, calculated for C15H13O4 257.0819
2,3,7-Trihydroxy-9H-fluoren-9-one (192)
Methyl 4,4′,5-trimethoxy-[1,1′-biphenyl]-2-carboxylate (186)
Following general procedure D, 9 (0.55 g, 2.00 mmol) and 86 (0.33 g, 2.20 mmol), were reacted and purified by flash chromatography (pentane/EtOAc) to afford 0.54 g (89%) of 186 as a colorless oil. 1H NMR (400 MHz, CDCl3) δ 7.41 (s, 1H), 7.22 (d, J = 8.7 Hz, 2H), 6.93 (d, J = 8.7 Hz, 2H), 6.78 (s, 1H), 3.95 (s, 3H), 3.92 (s, 3H), 3.85 (s, 3H), 3.64 (s, 3H); 13C NMR (101 MHz, CDCl3) δ 168.31, 158.72, 151.13, 147.48, 137.02, 133.99, 129.54, 121.86, 113.63, 113.32, 112.81, 56.11, 56.03, 55.25, 51.80.
2,3,7-Trimethoxy-9H-fluoren-9-one (191)
The compound was synthetized following the literature procedure [32]. To a solution of 186 (0.500 g, 1.73 mmol) in CHCl3 (20.0 mL) trifluoromethanesulfonic acid (1.30 g, 8.67 mmol) was added. The reaction was refluxed for 2 h and then quenched with a solution of saturated NaHCO3 (20.0 mL). The organic phase was separate, dried (Na2SO4), filtered, and concentrated under reduced pressure to give the crude compound. Crystallization from MeOH afforded 0.44 g (94%) of 191 as red crystals. Mp = 178–180 °C; 1H NMR (400 MHz, CDCl3) δ 7.18 (d, J = 8.1 Hz, 1H), 7.10 (s, 1H), 7.07 (d, J = 2.5 Hz, 1H), 6.87–6.81 (m, 2H), 3.96 (s, 3H), 3.88 (s, 3H), 3.80 (s, 3H); 13C NMR (101 MHz, CDCl3) δ 192.88, 160.23, 154.68, 148.75, 140.15, 136.55, 136.19, 126.74, 119.98, 118.83, 109.70, 107.30, 102.90, 56.28, 56.18, 55.65.
2,3,7-Trihydroxy-9H-fluoren-9-one (192)
Following general procedure B, 191 (0.12 g, 0.44 mmol) was reacted to afford 0.16 g (95%) of 192 as brown powder. Mp = 340–342 °C; 1H NMR (400 MHz, DMSO-d6) δ 10.28–9.52 (m, 2H), 9.35 (br s, 1H), 7.25 (d, J = 7.8 Hz, 1H), 6.89 (s, 1H), 6.86 (s, 1H), 6.79 (d, J = 2.2 Hz, 1H), 6.78–6.71 (m, 1H); 13C NMR (101 MHz, DMSO-d6) δ 192.57, 158.12, 152.71, 145.11, 139.20, 136.71, 134.94, 125.47, 121.08, 120.06, 111.86, 111.13, 108.22; HRMS (ESI) m/z: 227.0359 [M − H]−, calculated for C13H7O4 227.0350.
2,3,6-trihydroxy-9H-fluoren-9-one (194)
Methyl 3′,4′,5-trimethoxy-[1,1′-biphenyl]-2-carboxylate (187)
Following general procedure D, methyl 2-bromo-4-methoxybenzoate (184) (0.60 g, 2.44 mmol) and 157 (0.49 g, 2.69 mmol) were reacted and purified by flash chromatography to afford 0.62 g (84%) of 187 as a colorless oil. 1H NMR (400 MHz, CDCl3) δ 7.84 (d, J = 8.6 Hz, 1H), 6.93–6.80 (m, 5H), 3.92 (s, 3H), 3.88 (s, 3H), 3.87 (s, 3H), 3.65 (s, 3H); 13C NMR (101 MHz, CDCl3) δ 168.52, 161.63, 148.36, 144.82, 134.24, 132.18, 122.85, 120.51, 116.28, 112.24, 111.74, 110.63, 55.89, 55.85, 55.47, 51.77.
2,3,6-Trimethoxy-9H-fluoren-9-one (193)
The compound was synthetized following the literature procedure. [32] To a solution of 187 (0.200 g, 0.69 mmol) in CHCl3 (20.0 mL), trifluoromethanesulfonic acid (0.52 g, 3.47 mmol) was added. The reaction was refluxed for 2 h and then quenched with a solution of saturated NaHCO3 (20.0 mL). The organic phase was separated, dried (Na2SO4), filtered, and concentrated under reduced pressure to give the crude compound. Crystallization from MeOH afforded 0.12 g (64%) of 193 as orange crystals. Mp = 173–175 °C; 1H NMR (400 MHz, CDCl3) δ 7.48 (dd, J = 8.2, 1.5 Hz, 1H), 7.14 (s, 1H), 6.93 (d, J = 1.9 Hz, 1H), 6.90–6.78 (m, 1H), 6.61 (dd, J = 8.2, 2.1 Hz, 1H), 3.99 (s, 3H), 3.91 (s, 3H), 3.87 (s, 3H); 13C NMR (101 MHz, CDCl3) δ 191.95, 165.14, 154.03, 149.83, 146.49, 138.03, 128.13, 127.58, 125.59, 111.22, 106.82, 106.68, 103.36, 56.33, 56.22, 55.70.
2,3,6-trihydroxy-9H-fluoren-9-one (194)
Following general procedure B, 193 (0.12 g, 0.44 mmol) was reacted to afford 0.75 g (74%) of 194 as a brown powder. Mp> 350 °C; 1H NMR (400 MHz, DMSO-d6) δ 10.36 (br s, 1H), 9.86 (br s, 1H), 9.55 (br s, 1H), 7.25 (d, J = 8.0 Hz, 1H), 6.97 (s, 1H), 6.87 (s, 1H), 6.84 (d, J = 2.1 Hz, 1H), 6.49 (dd, J = 8.0, 2.1 Hz, 1H); 13C NMR (101 MHz, DMSO-d6) δ 191.36, 164.12, 151.68, 147.28, 146.45, 136.65, 127.00, 126.07, 125.63, 113.56, 111.29, 108.99, 107.98; HRMS (ESI) m/z: 227.0355 [M − H]−, calculated for C13H7O4 227.0350.
2,3,6,7-tetrahydroxy-9H-fluoren-9-one (196)
Methyl 3′,4,4′,5-tetramethoxy-[1,1′-biphenyl]-2-carboxylate (188)
Following general procedure D, 93 (0.60 g, 2.18 mmol) and 157 (0.50, 2.74 mmol), were reacted and purified by flash chromatography to afford 0.62 g (86%) of 188 as a yellow solid. Mp = 123–125 °C; 1H NMR (400 MHz, CDCl3) δ 7.39 (s, 1H), 6.90 (d, J = 8.2 Hz, 1H), 6.85 (dd, J = 8.2, 2.0 Hz, 1H), 6.81 (d, J = 1.5 Hz, 2H), 3.96 (s, 3H), 3.93 (s, 3H), 3.92 (s, 3H), 3.88 (s, 3H), 3.64 (s, 3H); 13C NMR (101 MHz, CDCl3) δ 168.62, 151.21, 148.47, 148.32, 147.75, 137.04, 134.49, 122.28, 120.77, 113.67, 112.84, 112.11, 110.77, 56.29, 56.22, 56.06, 56.02, 52.04.
2,3,6,7-Tetramethoxy-9H-fluoren-9-one (195)
The compound was synthetized following the literature procedure. [32] To a solution of 188 (0.3 g, 0.90 mmol) in CHCl3 (20.0 mL) trifluoromethanesulfonic acid (0.68 g, 4.51 mmol) was added. The reaction was refluxed for 2 h and then quenched with a solution of saturated NaHCO3 (20.0 mL). The organic phase was separate, dried (Na2SO4), filtered, and concentrated under reduced pressure to give the crude compound. Crystallization from MeOH afforded 0.15 g (54%) of 195 red crystals. Mp = 201–203 °C; 1H NMR (400 MHz, CDCl3) δ 7.12 (s, 2H), 6.87 (s, 2H), 4.00 (s, 6H), 3.90 (s, 6H); 13C NMR (101 MHz, CDCl3) δ 192.61, 154.03, 148.85, 138.81, 127.22, 107.34, 102.95, 56.30.
2,3,6,7-tetrahydroxy-9H-fluoren-9-one (195)
Following general procedure B, 194 (0.15 g, 0.56 mmol) was reacted to afford 0.082 g (70%) of 195 as dark-brown powder. Mp = 346–348 °C; 1H NMR (400 MHz, DMSO-d6) δ 9.72 (s, 2H), 9.26 (s, 2H), 6.79 (s, 2H), 6.79 (s, 2H); 13C NMR (101 MHz, DMSO-d6) δ 191.99, 151.57, 144.95, 137.79, 126.40, 111.55, 108.16; HRMS (ESI) m/z: 243.0311 [M − H]−, calculated for C13H7O5 243.0299.
7-Hydroxy-2,3-dimethoxy-9H-fluoren-9-one (197)
Methyl 4′-hydroxy-4,5-dimethoxy-[1,1′-biphenyl]-2-carboxylate (189)
Following general procedure D, 9 (0.55 g, 2.00 mmol), 4-hydroxyphenylboronic acid (185) (0.30 g, 2.20 mmol), were reacted and purified by flash chromatography to afford 0.46 g (80%) of 189 as a white solid. Mp = 189–191 °C; 1H NMR (400 MHz, DMSO-d6) δ 9.42 (s, 1H), 7.22 (s, 1H), 7.05 (d, J = 8.5 Hz, 2H), 6.83 (s, 1H), 6.74 (d, J = 8.6 Hz, 2H), 3.81 (s, 3H), 3.78 (s, 3H), 3.54 (s, 3H); 13C NMR (101 MHz, DMSO-d6) δ 168.69, 156.98, 151.20, 147.45, 136.11, 131.79, 129.85, 122.25, 115.25, 113.94, 113.01, 56.13, 56.08, 52.04.
7-Hydroxy-2,3-dimethoxy-9H-fluoren-9-one (197)
To a solution of 189 (0.29 g, 1.00 mmol) in CHCl3 (10.0 mL) was added trifluoromethanesulfonic acid (0.75 g, 5.00 mmol). The reaction was refluxed for 12 h and then quenched with a solution of saturated NaHCO3 (20.0 mL). The organic phase was separates, dried (Na2SO4), filtered, and concentrated under reduced pressure to give the crude compound. Crystallization from MeOH afforded 0.09 g (35%) of 197 as a red solid. Mp = 257–259 °C; 1H NMR (400 MHz, DMSO-d6) δ 9.84 (s, 1H), 7.41 (d, J = 7.9 Hz, 1H), 7.26 (s, 1H), 7.05 (s, 1H), 6.83 (d, J = 2.3 Hz, 1H), 6.80 (dd, J = 7.9, 2.4 Hz, 1H), 3.88 (s, 3H), 3.76 (s, 3H); 13C NMR (101 MHz, DMSO-d6) δ 192.71, 158.51, 155.34, 148.71, 140.62, 136.37, 134.68, 125.83, 121.70, 120.19, 111.38, 107.74, 104.60, 56.55, 56.23; HRMS (ESI) m/z: 255.0663 [M − H]−, calculated for C15H11O4 255.0651.
7-Hydroxy-9H-fluoreno[2,3-d][1,3]dioxol-9-one (198)
Methyl 6-(4-hydroxyphenyl)benzo[d][1,3]dioxole-5-carboxylate (190)
Following general procedure D, 142 (0.26 g, 1.00 mmol), 4-hydroxyphenylboronic acid (185) (0.15 g, 1.10 mmol), were reacted and purified by flash chromatography to afford 0.46 g (80%) of 189 as a white solid. Mp = 135–137 °C; 1H NMR (400 MHz, CDCl3) δ 7.30 (s, 1H), 7.08 (d, J = 8.5 Hz, 2H), 6.79–6.70 (m, 3H), 6.33–6.22 (m, 1H), 6.03 (s, 2H), 3.68 (s, 3H); 13C NMR (101 MHz, CDCl3) δ 168.90, 155.32, 150.13, 146.44, 139.06, 133.24, 129.50, 123.28, 115.13, 111.03, 109.81, 101.88, 52.20.
7-Hydroxy-9H-fluoreno[2,3-d][1,3]dioxol-9-one (198)
The compound was synthetized following the literature procedure. [32] To a solution of 190 (0.20 g, 0.73 mmol) in CHCl3 (10.0 mL) was added trifluoromethanesulfonic acid (0.52 g, 3.47 mmol). The reaction was refluxed for 12 h and then quenched with a solution of saturated NaHCO3 (20.0 mL). The organic phase was separated, dried (Na2SO4), filtered, and concentrated under reduced pressure to give the crude compound. Crystallization from MeOH afforded 0.04 g (23%) of 198 as a red solid. Mp = 298–300 °C; 1H NMR (400 MHz, DMSO-d6) δ 9.89 (s, 1H), 7.38 (d, J = 7.9 Hz, 1H), 7.24 (s, 1H), 7.01 (s, 1H), 6.87–6.73 (m, 2H), 6.09 (s, 2H); 13C NMR (101 MHz, DMSO-d6) δ 192.01, 158.68, 153.89, 147.50, 142.97, 136.22, 134.23, 127.66, 121.87, 120.35, 111.39, 104.96, 102.75, 102.19; HRMS (ESI) m/z: 239.0350 [M − H]−, calculated for C14H7O4 239.0359.
9H-Fluorene-2,3,7-triol (202)
2,3,7-tris(benzyloxy)-9H-fluoren-9-one (199)
Following general procedure K, 1 (0.30 g, 1.31 mmol) was reacted to afford 0.63 g (96%) of 199 as a red solid. Mp = 141–143 °C; 1H NMR (400 MHz, CDCl3) δ 7.50–7.28 (m, 14H), 7.23 (s, 1H), 7.21–7.14 (m, 2H), 6.98–6.90 (m, 2H), 5.26 (s, 2H), 5.16 (s, 2H), 5.08 (s, 2H); 13C NMR (101 MHz, CDCl3) δ 192.69, 159.41, 154.69, 148.48, 140.32, 136.64, 136.62, 136.50, 136.39, 136.33, 128.65, 128.63, 128.52, 128.12, 127.96, 127.46, 127.30, 127.12, 120.20, 120.08, 110.92, 110.60, 105.78, 71.37, 71.15, 70.40.
2,3,7-Tris(benzyloxy)-9H-fluoren-9-ol (200)
To a solution of 199 (0.65 g, 1.30 mmol) in THF (20.0 mL) and MeOH (20.0 mL) at 0 °C, NaBH4 (0.10 g, 2.60 mmol) was added. The mixture was stirred at room temperature for 2 h. The reaction was then quenched with water (20.0 mL). The mixture was extracted with CH2Cl2 (3 × 20.0 mL), dried over Na2SO4, and the solvent removed under reduced pressure to afford 0.51 g (78%) of 200 as a white solid. Mp = 145–147 °C; 1H NMR (400 MHz, CDCl3) δ 7.59–7.26 (m, 16H), 7.21–7.13 (m, 2H), 7.07 (s, 1H), 6.93 (dd, J = 8.3, 2.4 Hz, 1H), 5.37–5.26 (m, 1H), 5.14 (d, J = 3.8 Hz, 2H), 5.11 (s, 2H), 5.03 (s, 2H), 2.26 (s, 1H); 13C NMR (101 MHz, CDCl3) δ 158.38, 149.95, 148.34, 147.85, 138.53, 137.18, 136.91, 133.50, 133.04, 128.59, 128.51, 128.51, 128.48, 127.99, 127.85, 127.82, 127.49, 127.39, 127.34, 119.74, 115.59, 112.07, 111.72, 106.32, 74.89, 71.54, 71.48, 70.25, 30.37.
2,3,7-tris(benzyloxy)-9-methoxy-9H-fluorene (201)
The compound was synthetized following the literature procedure [33]. To a solution of 200 (0.30 g, 0.60 mmol) in MeOH (30.0 mL) was added H2SO4 (0.5 mL). The mixture was refluxed for 1 h and then concentrated under reduced pressure to afford 0.28 g (91%) of 201 as a white solid. Mp = 131–133 °C; 1H NMR (400 MHz, CDCl3) δ 7.58–7.42 (m, 7H), 7.43–7.29 (m, 11H), 7.20 (d, J = 2.4 Hz, 1H), 7.18 (d, J = 0.7 Hz, 1H), 7.17 (s, 1H), 6.97 (dd, J = 8.2, 2.4 Hz, 1H), 5.44 (s, 1H), 5.23 (s, 2H), 5.20 (s, 2H), 5.11 (s, 2H), 2.96 (s, 3H); 13C NMR (101 MHz, CDCl3) δ 158.28, 150.31, 148.19, 144.55, 137.23, 137.19, 136.90, 135.02, 134.73, 134.18, 128.58, 128.51, 128.44, 127.98, 127.85, 127.80, 127.53, 127.47, 127.35, 119.72, 115.55, 112.78, 112.12, 106.24, 71.68, 71.59, 70.34, 51.73.
9H-Fluorene-2,3,7-triol (202)
Following general procedure H, 201 (0.270 g, 0.52 mmol) was reacted to afford 0.075 g (67%) of 202 as a brown solid. Mp = 282–284 °C; 1H NMR (400 MHz, DMSO-d6) δ 9.17 (s, 1H), 8.69 (s, 2H), 7.35 (d, J = 8.2 Hz, 1H), 7.01 (s, 1H), 6.85 (q, J = 1.0 Hz, 2H), 6.67 (dd, J = 8.2, 2.3 Hz, 1H), 3.57 (s, 2H); 13C NMR (101 MHz, DMSO-d6) δ 155.98, 145.10, 144.89, 144.22, 133.79, 133.51, 133.42, 119.47, 113.96, 112.66, 112.49, 106.44, 36.19; HRMS (ESI) m/z: 213.0557 [M − H]−, calculated for C13H9O3 213.0561
(3,4-Dihydroxyphenyl)(3-hydroxyphenyl)methanone (209)
(3,4-Dimethoxyphenyl)(3-methoxyphenyl)methanone (206)
The compound was synthetized following the literature procedure [34]. A solution of 3-methoxybenzoic acid (203) (0.82 g, 5.42 mmol) in SOCl2 (10.0 mL) was refluxed for 2 h. The solvent was removed under reduced pressure, washed with dichloromethane, and concentrated again, twice. The substituted benzoyl chloride was isolated as a yellow oil in quantitative yield. This was transferred into a round-bottomed flask and diluted with dichloromethane (20.0 mL). Aluminum trichloride (0.53 g, 3.98 mmol) was then added and the mixture was cooled to 0 °C. 1,2-Dimethoxybenzene (205) (0.50 g, 3.62 mmol) was added dropwise, and the mixture was refluxed for 2 h. The temperature was cooled to room temperature and the organic layer was washed with ice water (30.0 mL), 2 M HCl (20.0 mL), and saturated aqueous sodium hydrogen carbonate (20.0 mL), dried over anhydrous sodium sulfate, and concentrated under reduced pressure to give a yellow oil. Purification by flash chromatography (90/10 pentane/EtOAc) afforded 0.62 g (63%) of 206 as a colorless oil. 1H NMR (400 MHz, CDCl3) δ 7.49 (d, J = 2.0 Hz, 1H), 7.41–7.34 (m, 2H), 7.30 (ddd, J = 5.2, 2.6, 1.3 Hz, 2H), 7.11 (ddd, J = 8.1, 2.6, 1.2 Hz, 1H), 6.89 (d, J = 8.4 Hz, 1H), 3.96 (s, 3H), 3.94 (s, 3H), 3.85 (s, 3H); 13C NMR (101 MHz, CDCl3) δ 195.30, 159.44, 153.01, 148.95, 139.57, 130.16, 129.08, 125.48, 122.34, 118.19, 114.21, 112.08, 109.70, 56.08, 56.04, 55.44.
(3,4-Dihydroxyphenyl)(3-hydroxyphenyl)methanone (209)
Following general procedure B, 206 (0.27 g, 1.00 mmol) was reacted to afford 0.21 g (91%) of 209 as yellow powder. Mp = 193–195 °C; 1H NMR (400 MHz, DMSO-d6) δ 9.84 (br s, 1H), 9.73 (br s, 1H), 9.39 (br s, 1H), 7.29 (t, J = 7.8 Hz, 1H), 7.21 (d, J = 2.1 Hz, 1H), 7.09 (dd, J = 8.2, 2.1 Hz, 1H), 7.06–6.92 (m, 3H), 6.83 (d, J = 8.2 Hz, 1H); 13C NMR (101 MHz, DMSO-d6) δ 194.71, 157.53, 150.97, 145.50, 140.04, 129.78, 128.74, 123.73, 120.33, 119.09, 117.32, 116.03, 115.49; HRMS (ESI) m/z: 243.0514 [M − H]−, calculated for C13H11O4 229.0506.
(3,4-Dihydroxyphenyl)(4-hydroxyphenyl)methanone (210)
(3,4-Dimethoxyphenyl)(4-methoxyphenyl)methanone (207)
The compound was synthetized following the literature procedure [34]. A solution of 4-methoxybenzoic acid (204) (0.82 g, 5.42 mmol) in SOCl2 (10.0 mL) was refluxed for 2 h. The solvent was removed under reduced pressure, washed with dichloromethane, and concentrated again, twice. The substituted benzoyl chloride was isolated as a yellow oil in quantitative yield. This was transferred into a round-bottomed flask and diluted with dichloromethane (20.0 mL). Aluminum trichloride (0.53 g, 3.98 mmol) was then added and the mixture was cooled to 0 °C. 205 (0.50 g, 3.62 mmol) was added dropwise and the mixture was refluxed for 2 h. The temperature was cooled to room temperature and the organic layer was washed with ice water (30.0 mL), 2 M HCl (20.0 mL), and saturated aqueous sodium hydrogen carbonate (20.0 mL), dried over anhydrous sodium sulfate, and concentrated under reduced pressure to give a yellow oil. Crystallization from MeOH afforded 0.61 g (62%) of 207 as a white powder. Mp = 87–89 °C; 1H NMR (400 MHz, CDCl3) δ 7.84–7.74 (m, 2H), 7.43 (d, J = 2.0 Hz, 1H), 7.36 (dd, J = 8.3, 1.9 Hz, 1H), 7.01–6.92 (m, 2H), 6.90 (d, J = 8.3 Hz, 1H), 3.96 (s, 3H), 3.94 (s, 3H), 3.89 (s, 3H); 13C NMR (101 MHz, CDCl3) δ 194.46, 162.82, 152.55, 148.87, 132.21, 130.79, 130.70, 124.80, 113.43, 112.20, 109.69, 56.06, 56.02, 55.46.
(3,4-Dihydroxyphenyl)(4-hydroxyphenyl)methanone (210)
Following general procedure B, 207 (0.27 g, 1.00 mmol) was reacted to afford 0.20 g (88%) of 210 as yellow powder. Mp = 202–204 °C; 1H NMR (400 MHz, DMSO-d6) δ 7.63–7.49 (m, 2H), 7.16 (d, J = 2.1 Hz, 1H), 7.04 (dd, J = 8.1, 2.0 Hz, 1H), 6.89–6.82 (m, 2H), 6.81 (d, J = 8.2 Hz, 1H); 13C NMR (101 MHz, DMSO-d6) δ 193.54, 161.52, 150.24, 145.40, 132.38, 129.52, 129.39, 123.19, 117.26, 115.35; HRMS (ESI) m/z: 243.0512 [M − H]−, calculated for C13H11O4 229.0506.
Bis(3,4-dihydroxyphenyl)methanone (211)
Bis(3,4-dimethoxyphenyl)methanone (208)
The compound was synthetized following the literature procedure. [34] A solution of 7 (1.00 g, 5.49 mmol) in SOCl2 (10.0 mL) was refluxed for 2h. It was concentrated in vacuo, washed with dichloromethane, and concentrated again, twice. The substituted benzoyl chloride was isolated as a yellow oil in quantitative yield. This was transferred into a round-bottomed flask and diluted with dichloromethane (40.0 mL). Aluminum trichloride (0.80 g, 6.03 mmol) was then added and the mixture was cooled to 0 °C. Compound 205 (0.76 g, 5.48 mmol) was added dropwise and the mixture was refluxed for 2 h. The temperature was cooled to room temperature and the organic layer was washed with ice water (30 mL), 2 M HCl (20 mL) and saturated aqueous sodium hydrogen carbonate (20.0 mL), dried over anhydrous sodium sulfate, and concentrated in vacuo to give a yellow oil. Purification by flash chromatography (90/10 pentane/EtOAc) afforded 1.05 g (63%) of 208 as a white solid. Mp = 149–151 °C; 1H NMR (400 MHz, cdcl3) δ 7.42 (d, J = 2.1 Hz, 2H), 7.37 (ddd, J = 8.3, 2.0, 0.6 Hz, 2H), 6.89 (d, J = 8.3 Hz, 2H), 3.95 (s, 6H), 3.93 (s, 6H).
Bis(3,4-dihydroxyphenyl)methanone (211)
Following general procedure B, 208 (0.20 g, 0.66 mmol) was reacted to afford 0.14 g (89%) of 211 as yellow powder. Mp = 244–246 °C; 1H NMR (400 MHz, DMSO-d6) δ 9.69 (s, 2H), 9.31 (s, 2H), 7.14 (d, J = 2.1 Hz, 2H), 7.04 (dd, J = 8.2, 2.1 Hz, 2H), 6.81 (d, J = 8.2 Hz, 2H); 13C NMR (101 MHz, DMSO-d6) δ 193.61, 150.08, 145.29, 129.70, 123.06, 117.29, 115.30; HRMS (ESI) m/z: 245.0462 [M − H]−, calculated for C13H12O5 245.0455.
3.2. Kinase Assay
The assay was performed externally at BPS Bioscience (San Diego, CA, USA). Pyruvate kinase (PKL and PKR) reactions were conducted in triplicate at room temperature for 30 min in a 25 µL mixture containing 50 mM tris, pH 7.4, 10 mM MgCl2, 100 mM KCl, 0.05% Tween, 0.1 mM ADP, 0.125 mM PEP, pyruvate kinase (see Supplementary Materials), and the test compounds (see Supplementary Materials). The final DMSO concentration in the reaction was 1% v/v. After enzymatic reactions, 25 μL of Kinase-Glo Max reagent was added to each well and luminescence was measured using a BioTek SynergyTM 2 microplate reader. The Kinase-Glo Max luminescence assay kit measures PK activity by quantitating the amount of ATP produced following a PK reaction. Enzyme activity assays were performed in triplicate at each concentration. The luminescence data were analyzed using GraphPad Prism. In the absence of the compound, the intensity (Ce) in each data set was defined as 100% activity. In the absence of enzyme, the intensity (C0) in each data set was defined as 0% activity. The percent activity in the presence of each compound was calculated according to the following equation: % activity ¼ (CeC0)/(CeeC0), where C ¼ is the luminescence in the presence of the compound. The values of % activity versus a series of compound concentrations were plotted using non-linear regression analysis of the sigmoidal dose–response curve generated with the equation YBþ(T−B)/1 + 10((LogEC50_X)_Hill Slope), where Y ¼ percent activity, B ¼ minimum percent activity, T ¼ maximum percent activity, X ¼ logarithm of compound, and Hill Slope ¼ slope factor or Hill coefficient. The IC50 value was determined by the concentration causing a half-maximal percent activity.
4. Conclusions
We explored a series of pyruvate kinase inhibitors based on the urolithin C structure. The synthesis and evaluation of PKL/PKR inhibitors were described for 53 first-in-class compounds. The lactone group seems to be the most promising site for further chemical modifications and for the development of new active derivatives.
Unfortunately, no crystal structure was obtained with the enzyme co-crystallized with these structures and more work is needed in the future. However, from these preliminary data, it seems plausible that urolithin C derivatives bind in the interface of the tetrameric structure of PKL. This binding could explain not only their non-competitive inhibition but also their shift to activators due to small chemical modifications. The results presented here are the first results that explore this class of molecule.
Supplementary Materials
The following supporting information can be downloaded at: https://www.mdpi.com/article/10.3390/ph16050668/s1. Figures of 1H- and 13C-NMR spectra of the synthesized compounds.
Author Contributions
Conceptualization, U.M.B., L.M., F.A. and M.G.; methodology and investigation, U.M.B., L.M., F.A., J.M., E.A., C.H.N. and M.H.; validation, U.M.B., L.M., F.A., J.M., E.A., C.H.N., M.H., W.K., M.U., A.M., L.H., J.B. and M.G.; formal analysis, U.M.B., L.M., F.A., J.M. and M.G.; writing original draft preparation, U.M.B. and L.M.; writing, review, and editing, U.M.B., L.M., F.A., J.M., E.A., C.H.N., M.H., W.K., M.U., A.M., L.H., J.B. and M.G.; visualization, U.M.B., L.M., F.A. and J.M. All authors have read and agreed to the published version of the manuscript.
Funding
This research is funded by the Swedish Research Council (Grant #: 2019-01049), the Ogonoris Foundation (Grant #: 0063869) and the Torsten Söderberg Foundation (Grant #: M105/19).
Institutional Review Board Statement
Not applicable.
Informed Consent Statement
Not applicable.
Data Availability Statement
Data is contained within the article or Supplementary Material.
Acknowledgments
The authors acknowledge financial support from the ScandiEdge Therapeutics AB, Knut and Alice Wallenberg Foundation for a proof-of-concept grant to J.B.
Conflicts of Interest
M.G., J.B., M.U. and A.M. are the shareholders of the ScandiEdge Therapeutics AB. The authors declare that they have no conflict of interest.
References
- Marjot, T.; Moolla, A.; Cobbold, J.F.; Hodson, L.; Tomlinson, J.W. Nonalcoholic Fatty Liver Disease in Adults: Current Concepts in Etiology, Outcomes, and Management. Endocr. Rev. 2020, 41, 66–117. [Google Scholar] [CrossRef] [PubMed]
- Lee, S.; Zhang, C.; Liu, Z.; Klevstig, M.; Mukhopadhyay, B.; Bergentall, M.; Cinar, R.; Ståhlman, M.; Sikanic, N.; Park, J.K.; et al. Network analyses identify liver-specific targets for treating liver diseases. Mol. Syst. Biol. 2017, 13, 938. [Google Scholar] [CrossRef] [PubMed]
- Younossi, Z.M.; Koenig, A.B.; Abdelatif, D.; Fazel, Y.; Henry, L.; Wymer, M. Global epidemiology of nonalcoholic fatty liver disease—Meta-analytic assessment of prevalence, incidence, and outcomes. Hepatology 2016, 64, 73–84. [Google Scholar] [CrossRef] [PubMed]
- Huang, D.Q.; El-Serag, H.B.; Loomba, R. Global epidemiology of NAFLD-related HCC: Trends, predictions, risk factors and prevention. Nat. Rev. Gastroenterol. Hepatol. 2021, 18, 223–238. [Google Scholar] [CrossRef] [PubMed]
- Chalasani, N.; Younossi, Z.; Lavine, J.E.; Diehl, A.M.; Brunt, E.M.; Cusi, K.; Charlton, M.; Sanyal, A.J. The Diagnosis and Management of Non-alcoholic Fatty Liver Disease: Practice Guideline by the American Gastroenterological Association, American Association for the Study of Liver Diseases, and American College of Gastroenterology. Gastroenterology 2012, 142, 1592–1609. [Google Scholar] [CrossRef]
- Chella Krishnan, K.; Kurt, Z.; Barrere-Cain, R.; Sabir, S.; Das, A.; Floyd, R.; Vergnes, L.; Zhao, Y.; Che, N.; Charugundla, S.; et al. Integration of Multi-omics Data from Mouse Diversity Panel Highlights Mitochondrial Dysfunction in Non-alcoholic Fatty Liver Disease. Cell Syst. 2018, 6, 103–115.e107. [Google Scholar] [CrossRef]
- Liu, Z.; Zhang, C.; Lee, S.; Kim, W.; Klevstig, M.; Harzandi, A.M.; Sikanic, N.; Arif, M.; Ståhlman, M.; Nielsen, J.; et al. Pyruvate kinase L/R is a regulator of lipid metabolism and mitochondrial function. Metab. Eng. 2019, 52, 263–272. [Google Scholar] [CrossRef]
- Muirhead, H. Isoenzymes of pyruvate kinase. Biochem. Soc. Trans. 1990, 18, 193–196. [Google Scholar] [CrossRef]
- Christofk, H.R.; Vander Heiden, M.G.; Harris, M.H.; Ramanathan, A.; Gerszten, R.E.; Wei, R.; Fleming, M.D.; Schreiber, S.L.; Cantley, L.C. The M2 splice isoform of pyruvate kinase is important for cancer metabolism and tumour growth. Nature 2008, 452, 230–233. [Google Scholar] [CrossRef]
- Goldberg, M.S.; Sharp, P.A. Pyruvate kinase M2-specific siRNA induces apoptosis and tumor regression. J.-Exp. Med. 2012, 209, 217–224. [Google Scholar] [CrossRef]
- Yamada, K.; Noguchi, T. Nutrient and hormonal regulation of pyruvate kinase gene expression. Biochem. J. 1998, 337, 1–11. [Google Scholar] [CrossRef]
- Nain-Perez, A.; Foller Füchtbauer, A.; Håversen, L.; Lulla, A.; Gao, C.; Matic, J.; Monjas, L.; Rodríguez, A.; Brear, P.; Kim, W.; et al. Anthraquinone derivatives as ADP-competitive inhibitors of liver pyruvate kinase. Eur. J. Med. Chem. 2022, 234, 114270. [Google Scholar] [CrossRef]
- Battisti, U.M.; Gao, C.; Nilsson, O.; Akladios, F.; Lulla, A.; Bogucka, A.; Nain-Perez, A.; Håversen, L.; Kim, W.; Boren, J.; et al. Serendipitous Identification of a Covalent Activator of Liver Pyruvate Kinase. ChemBioChem 2023, 24, e202200339. [Google Scholar] [CrossRef]
- Battisti, U.M.; Gao, C.; Akladios, F.; Kim, W.; Yang, H.; Bayram, C.; Bolat, I.; Kiliclioglu, M.; Yuksel, N.; Tozlu, O.O.; et al. Ellagic Acid and Its Metabolites as Potent and Selective Allosteric Inhibitors of Liver Pyruvate Kinase. Nutrients 2023, 15, 577. [Google Scholar] [CrossRef]
- Hurtley, W.R.H. CCXLIV.—Replacement of halogen in orthobromo-benzoic acid. J. Chem. Soc. 1929, 1870–1873. [Google Scholar] [CrossRef]
- Lee, S.; Choi, H.; Park, Y.; Jung, H.J.; Ullah, S.; Choi, I.; Kang, D.; Park, C.; Ryu, I.Y.; Jeong, Y.; et al. Urolithin and Reduced Urolithin Derivatives as Potent Inhibitors of Tyrosinase and Melanogenesis: Importance of the 4-Substituted Resorcinol Moiety. Int. J. Mol. Sci. 2021, 22, 5616. [Google Scholar] [CrossRef]
- Wang, Y.; Gulevich, A.V.; Gevorgyan, V. General and Practical Carboxyl-Group-Directed Remote C–H Oxygenation Reactions of Arenes. Chem. Eur. J. 2013, 19, 15836–15840. [Google Scholar] [CrossRef]
- Gao, P.; Wei, Y. NIS-Mediated Oxidative Lactonization of 2-Arylbenzoic Acids for the Synthesis; of Dibenzopyranones under Metal-Free Conditions. Synthesis 2014, 46, 343–347. [Google Scholar] [CrossRef]
- Li, Y.; Ding, Y.-J.; Wang, J.-Y.; Su, Y.-M.; Wang, X.-S. Pd-Catalyzed C–H Lactonization for Expedient Synthesis of Biaryl Lactones and Total Synthesis of Cannabinol. Org. Lett. 2013, 15, 2574–2577. [Google Scholar] [CrossRef]
- Gui, Q.; Yang, Z.; Chen, X.; Liu, J.; Tan, Z.; Guo, R.; Yu, W. Synthesis of Phenanthridin-6(5H)-ones via Copper-Catalyzed Cyclization of 2-Phenylbenzamides. Synlett 2013, 24, 1016–1020. [Google Scholar] [CrossRef]
- Fujita, T.; Takahashi, I.; Hayashi, M.; Wang, J.; Fuchibe, K.; Ichikawa, J. Facile Synthesis of Polycyclic Aromatic Hydrocarbons: Brønsted Acid Catalyzed Dehydrative Cycloaromatization of Carbonyl Compounds in 1,1,1,3,3,3-Hexafluoropropan-2-ol. Eur. J. Org. Chem. 2017, 2017, 262–265. [Google Scholar] [CrossRef]
- Deb, I.; Yoshikai, N. Phenanthridine Synthesis through Iron-Catalyzed Intramolecular N-Arylation of O-Acetyl Oxime. Org. Lett. 2013, 15, 4254–4257. [Google Scholar] [CrossRef] [PubMed]
- Kudo, K.; Yamamoto, N. Scalable Synthesis of 8-Amino-3-hydroxy-6H-benzo[c]chromen-6-one: Key Intermediate for SEGRA via the Hurtley Reaction. Org. Process Res. Dev. 2015, 19, 309–314. [Google Scholar] [CrossRef]
- Cannazza, G.; Battisti, U.M.; Carrozzo, M.M.; Cazzato, A.S.; Braghiroli, D.; Parenti, C.; Troisi, L. Development of an in vitro liquid chromatography–mass spectrometry method to evaluate stereo and chemical stability of new drug candidates employing immobilized artificial membrane column. J. Chrom. A 2014, 1363, 216–225. [Google Scholar] [CrossRef]
- Moorthy, J.N.; Samanta, S. Photoinduced C−Br Homolysis of 2-Bromobenzophenones and Pschorr Ring Closure of 2-Aroylaryl Radicals to Fluorenones. J. Org. Chem. 2007, 72, 9786–9789. [Google Scholar] [CrossRef]
- Hu, L.a.; Zhang, Y.; Chen, G.-Q.; Lin, B.-J.; Zhang, Q.-W.; Yin, Q.; Zhang, X. CuH-Catalyzed Atropoenantioselective Reduction of Bringmann’s Lactones via Dynamic Kinetic Resolution. Org. Lett. 2019, 21, 5575–5580. [Google Scholar] [CrossRef]
- Reddy, J.M.; Kumar, K.V.; Raju, V.; Bhaskar, B.V.; Himabindu, V.; Bhattacharya, A.; Sundaram, V.; Banerjee, R.; Reddy, G.M.; Bandichhor, R. Alternative Total Synthesis of (−)-Galanthamine Hydrobromide. Synth. Commun. 2008, 38, 2138–2149. [Google Scholar] [CrossRef]
- Etxebarria, J.; Degenbeck, H.; Felten, A.S.; Serres, S.; Nieto, N.; Vidal-Ferran, A. Supramolecular-Directed Chiral Induction in Biaryl Derivatives. J. Org. Chem. 2009, 74, 8794–8797. [Google Scholar] [CrossRef]
- Yasamut, K.; Jongcharoenkamol, J.; Ruchirawat, S.; Ploypradith, P. A modified Cu(0)-Cu(I)-mediated Caryl-Caryl Ullmann coupling for the synthesis of biaryls. Tetrahedron 2016, 72, 5994–6000. [Google Scholar] [CrossRef]
- Zhu, J.; Zhang, Z.; Miao, C.; Liu, W.; Sun, W. Synthesis of benzimidazoles from o-phenylenediamines and DMF derivatives in the presence of PhSiH3. Tetrahedron 2017, 73, 3458–3462. [Google Scholar] [CrossRef]
- Pandey, J.; Jha, A.K.; Hajela, K. Synthesis and biological activities of some new dibenzopyranones and dibenzopyrans: Search for potential oestrogen receptor agonists and antagonists. Bioorg. Med. Chem. 2004, 12, 2239–2249. [Google Scholar] [CrossRef]
- Luo, K.; Cao, T.; Jiang, H.; Chen, L.; Zhu, S. Gold-Catalyzed Ring Expansion of Enyne-Lactone: Generation and Transformation of 2-Oxoninonium. Org. Lett. 2017, 19, 5856–5859. [Google Scholar] [CrossRef]
- George, S.R.D.; Elton, T.E.; Harper, J.B. Electronic effects on the substitution reactions of benzhydrols and fluorenyl alcohols. Determination of mechanism and effects of antiaromaticity. Org. Biomol. Chem. 2015, 13, 10745–10750. [Google Scholar] [CrossRef]
- Du, X.-J.; Bian, Q.; Wang, H.-X.; Yu, S.-J.; Kou, J.-J.; Wang, Z.-P.; Li, Z.-M.; Zhao, W.-G. Design, synthesis, and fungicidal activity of novel carboxylic acid amides represented by N-benzhydryl valinamode carbamates. Org. Biomol. Chem. 2014, 12, 5427–5434. [Google Scholar] [CrossRef]
Disclaimer/Publisher’s Note: The statements, opinions and data contained in all publications are solely those of the individual author(s) and contributor(s) and not of MDPI and/or the editor(s). MDPI and/or the editor(s) disclaim responsibility for any injury to people or property resulting from any ideas, methods, instructions or products referred to in the content. |
© 2023 by the authors. Licensee MDPI, Basel, Switzerland. This article is an open access article distributed under the terms and conditions of the Creative Commons Attribution (CC BY) license (https://creativecommons.org/licenses/by/4.0/).

















































