Self-Assembling Polymers with p-Aminosalicylate Anions Supported by Encapsulation of p-Aminosalicylate for the Improvement of Drug Content and Release Efficiency
Abstract
:1. Introduction
2. Results and Discussion
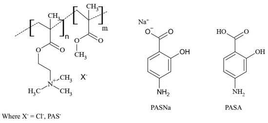
2.1. Encapsulation and Self-Assembly-Based Polymer Matrix
2.2. Amphiphilic Properties and Wettability
2.3. Drug Content in Micellar Copolymers
2.4. Drug Release
3. Materials and Methods
3.1. Synthesis of Linear ChMA-Based Copolymers
3.2. Polymer Micellization and Drug Encapsulation
3.3. Drug Release from Micellar Copolymer Systems
3.4. Characterization
4. Conclusions
Author Contributions
Funding
Institutional Review Board Statement
Informed Consent Statement
Data Availability Statement
Acknowledgments
Conflicts of Interest
Abbreviations/Nomenclature
| ATRP | Atom transfer radical polymerization |
| DDS | Drug delivery system |
| WCA | Water contact angel |
| CMC | Critical micelle concentration |
| DC | Drug content |
| MMA | Methyl methacrylate |
| ChMACl | [2-(methacryloyloxy)ethyl]trimethylammonium chloride |
| ChMAPAS | [2-(methacryloyloxy)ethyl]trimethylammonium p-aminosalicylate |
| PASA | p-aminosalicylate acid |
| PASNa | p-aminosalicylate sodium salt |
| PBS | Phosphate buffered saline |
| IL | Ionic liquid |
| MIL | Monomeric ionic liquid |
| PIL | Polymerized ionic liquid |
| IFT | Interfacial tension |
| EBiB | Ethyl 2-bromoisobutyrate |
| PMDETA | N,N,N′,N′,N′-pentamethyldiethylenetriamine |
| CuBr | Copper (I) bromide |
| THF | Tetrahydrofuran |
| MeOH | Methanol |
| UV-Vis | Ultraviolet visible light spectroscopy |
| DPM1 | Polymerization degree of ionic units |
| DPn | Polymerization degree |
| FM1 | Ionic fraction contents |
| SEC | Size exclusion chromatography |
| Đ | Dispersity index |
| Mn | Average molecular weight of polymer |
References
- Nguyen, D.N.; Green, J.J.; Chan, J.M.; Langer, R.; Anderson, D.G. Polymeric Materials for Gene Delivery and DNA Vaccination. Adv. Mater. 2009, 21, 847–867. [Google Scholar] [CrossRef] [PubMed]
- Girija, A.R. 12—Medical Applications of Polymer/Functionalized Nanoparticle Systems. In Polymer Composites with Functionalized Nanoparticles; Pielichowski, K., Majka, T.M., Eds.; Elsivier: Amsterdam, The Netherlands, 2019; pp. 381–404. [Google Scholar]
- Yuan, L.; Zhang, F.; Qi, X.; Yang, Y.; Yan, C.; Jiang, J.; Deng, J. Chiral polymer modified nanoparticles selectively induce autophagy of cancer cells for tumor ablation. J. Nanobiotechnology 2018, 16, 55. [Google Scholar] [CrossRef] [PubMed]
- Yin, X.; Hewitt, D.R.O.; Quah, S.P.; Zheng, B.; Mattei, G.S.; Khalifah, P.G.; Grubbs, R.B.; Bhatia, S.R. Impact of stereochemistry on rheology and nanostructure of PLA–PEO–PLA triblocks: Stiff gels at intermediate l/d-lactide ratios. Soft Matter 2018, 14, 7255–7263. [Google Scholar] [CrossRef] [PubMed]
- Kamaly, N.; Yameen, B.; Wu, J.; Farokhzad, O.C. Degradable Controlled-Release Polymers and Polymeric Nanoparticles: Mechanisms of Controlling Drug Release. Chem. Rev. 2016, 116, 2602–2663. [Google Scholar] [CrossRef]
- De, R.; Mahata, M.K.; Kim, K.T. Structure-Based Varieties of Polymeric Nanocarriers and Influences of Their Physicochemical Properties on Drug Delivery Profiles. Adv. Sci. 2022, 9, 2105373. [Google Scholar] [CrossRef]
- Karabasz, A.; Bzowska, M.; Szczepanowicz, K. Biomedical Applications of Multifunctional Polymeric Nanocarriers: A Review of Current Literature. Int. J. Nanomed. 2020, 15, 8673–8696. [Google Scholar] [CrossRef]
- Pala, R.; Anju, V.T.; Dyavaiah, M.; Busi, S.; Nauli, S.M. Nanoparticle-Mediated Drug Delivery for the Treatment of Cardiovascular Diseases. Int. J. Nanomed. 2020, 15, 3741–3769. [Google Scholar] [CrossRef]
- Mielanczyk, A.; Skonieczna, M.; Mielanczyk, L.; Neugebauer, D. In vitro evaluation of doxorubicin conjugates based on sugar core nonlinear polymethacrylates toward anticancer drug delivery. Bioconjugate Chem. 2016, 27, 893–904. [Google Scholar] [CrossRef]
- Miyata, K.; Christie, R.J.; Kataoka, K. Polymeric micelles for nano-scale drug delivery. React. Funct. Polym. 2011, 71, 227–234. [Google Scholar] [CrossRef]
- Siafaka, P.I.; Gündoğdu, E.A.; Cağlar, E.S.; Özgenç, E.; Gonzalez-Alvarez, M.; Gonzalez-Alvarez, I.; Okur, N.Ü. Polymer based Gels: Recent and Future Applications in Drug Delivery Field. Curr. Drug Deliv. 2023, 20, 1288–1313. [Google Scholar] [CrossRef]
- Hoang, N.H.; Lim, C.; Sim, T.; Oh, K.T. Triblock copolymers for nano-sized drug delivery systems. J. Pharm. Investig. 2017, 47, 27–35. [Google Scholar] [CrossRef]
- Arora, V.; Abourehab, M.A.; Modi, G.; Kesharwani, P. Dendrimers as prospective nanocarrier for targeted delivery against lung cancer. Eur. Polym. J. 2022, 180, 111635. [Google Scholar] [CrossRef]
- Mackiewicz, M.; Dagdelen, S.; Abubakar, M.S.; Romanski, J.; Waleka-Bargiel, E.; Karbarz, M. Stimuli-sensitive and degradable capsules as drug carriers with decreased toxicity against healthy cells. Polym. Degrad. Stab. 2023, 212, 110349. [Google Scholar] [CrossRef]
- García, M.C. 13—Stimuli-responsive polymersomes for drug delivery applications. In Stimuli Responsive Nanocarriers for Drug Delivery Applications; Woodhead Publishing: Sawston, UK, 2019; pp. 345–392. [Google Scholar]
- Meng, F.; Zhong, Z.; Feijen, J. Stimuli-Responsive Polymersomes for Programmed Drug Delivery. Biomacromolecules 2009, 10, 197–209. [Google Scholar] [CrossRef]
- Maksym-Bębenek, P.; Neugebauer, D. Study on Self-Assembled Well-Defined PEG Graft Copolymers as Efficient Drug-Loaded Nanoparticles for Anti-Inflammatory Therapy. Macromol. Biosci. 2015, 15, 1616–1624. [Google Scholar] [CrossRef] [PubMed]
- Plechkova, N.V.; Seddon, K.R. Ionic liquids: “designer” solvents for green chemistry. In Methods Reagents Green Chem; John Wiley and Sons, Inc.: Hoboken, NJ, USA, 2007; pp. 103–130. [Google Scholar]
- Mallakpour, S.; Dinari, M. Ionic Liquids as Green Solvents: Progress and Prospects. In Green Solvents II: Properties and Applications of Ionic Liquids; Springer: Berlin/Heidelberg, Germany, 2012; pp. 1–32. [Google Scholar]
- Zhao, H. Methods for stabilizing and activating enzymes in ionic liquids—A review. J. Chem. Technol. Biotechnol. 2010, 85, 891–907. [Google Scholar] [CrossRef]
- Sidat, Z.; Marimuthu, T.; Kumar, P.; du Toit, L.C.; Kondiah, P.P.; Choonara, Y.E.; Pillay, V. Ionic Liquids as Potential and Synergistic Permeation Enhancers for Transdermal Drug Delivery. Pharmaceutics 2019, 11, 96. [Google Scholar] [CrossRef]
- Adawiyah, N.; Moniruzzaman, M.; Hawatulaila, S.; Goto, M. Ionic liquids as a potential tool for drug delivery systems. Med. Chem. Commun. 2016, 7, 1881–1897. [Google Scholar] [CrossRef]
- Wang, B.; Qin, L.; Mu, T.; Xue, Z.; Gao, G. Are Ionic Liquids Chemically Stable? Chem. Rev. 2017, 117, 7113–7131. [Google Scholar] [CrossRef]
- Marsh, K.N.; Boxall, J.A.; Lichtenthaler, R. Room temperature ionic liquids and their mixtures—A review. Fluid Phase Equilibria 2004, 219, 93–98. [Google Scholar] [CrossRef]
- Earle, M.J.; Seddon, K. Ionic liquids. Green solvents for the future. Pure Appl. Chem. 2000, 72, 1391–1398. [Google Scholar] [CrossRef]
- Tao, D.J.; Cheng, Z.; Chen, F.F.; Li, Z.M.; Hu, N.; Chen, X.S. Synthesis and Thermophysical Properties of Bio-compatible Cholinium-Based Amino Acid Ionic Liquids. J. Chem. Eng. Data. 2013, 58, 1542–1548. [Google Scholar] [CrossRef]
- Muhammad, N.; Hossain, M.I.; Man, Z.; El-Harbawi, M.; Bustam, M.A.; Noaman, Y.A.; Alitheen, N.B.M.; Ng, M.K.; Hefter, G.; Yin, C.-Y. Synthesis and Physical Properties of Choline Carboxylate Ionic Liquids. J. Chem. Eng. Data. 2012, 57, 2191–2196. [Google Scholar] [CrossRef]
- Gouveia, W.; Jorge, T.; Martins, S.; Meireles, M.; Carolino, M.; Cruz, C.; Almeida, T.; Araújo, M. Toxicity of ionic liquids prepared from biomaterials. Chemosphere 2014, 104, 51–56. [Google Scholar] [CrossRef]
- Gomes, J.M.; Silva, S.S.; Reis, R.L. Biocompatible ionic liquids: Fundamental behaviors and applications. Chem. Soc. Rev. 2019, 48, 4317–4335. [Google Scholar] [CrossRef]
- Li, X.; Ma, N.; Zhang, L.; Ling, G.; Zhang, P. Applications of choline-based ionic liquids in drug delivery. Int. J. Pharm. 2022, 612, 121366. [Google Scholar] [CrossRef]
- Bielas, R.; Mielańczyk, A.; Siewniak, A.; Neugebauer, D. Trimethylammonium-Based Polymethacrylate Ionic Liquids with Tunable Hydrophilicity and Charge Distribution as Carriers of Salicylate Anions. ACS Sustain. Chem. Eng. 2016, 4, 4181–4191. [Google Scholar] [CrossRef]
- Niesyto, K.; Mazur, A.; Neugebauer, D. Dual-Drug Delivery via the Self-Assembled Conjugates of Choline-Functionalized Graft Copolymers. Materials 2022, 15, 4457. [Google Scholar] [CrossRef]
- Niesyto, K.; Neugebauer, D. Linear Copolymers Based on Choline Ionic Liquid Carrying Anti-Tuberculosis Drugs: Influence of Anion Type on Physicochemical Properties and Drug Release. Int. J. Mol. Sci. 2021, 22, 284. [Google Scholar] [CrossRef]
- Niesyto, K.; Neugebauer, D. Synthesis and Characterization of Ionic Graft Copolymers: Introduction and In Vitro Release of Antibacterial Drug by Anion Exchange. Polymers 2020, 12, 2159. [Google Scholar] [CrossRef]
- Bielas, R.; Siewniak, A.; Skonieczna, M.; Adamiec, M.; Mielańczyk, Ł.; Neugebauer, D. Choline based polymethacrylate matrix with pharmaceutical cations as co-delivery system for antibacterial and anti-inflammatory combined therapy. J. Mol. Liq. 2019, 285, 114–122. [Google Scholar] [CrossRef]
- Bielas, R.; Łukowiec, D.; Neugebauer, D. Drug delivery via anion exchange of salicylate decorating poly(meth)acrylates based on a pharmaceutical ionic liquid. New J. Chem. 2017, 41, 12801–12807. [Google Scholar] [CrossRef]
- Bielas, R.; Mielańczyk, A.; Skonieczna, M.; Mielańczyk, Ł.; Neugebauer, D. Choline supported poly(ionic liquid) graft copolymers as novel delivery systems of anionic pharmaceuticals for anti-inflammatory and anti-coagulant therapy. Sci. Rep. 2019, 9, 14410. [Google Scholar] [CrossRef]
- Mazur, A.; Niesyto, K.; Neugebauer, D. Pharmaceutical Functionalization of Monomeric Ionic Liquid for the Preparation of Ionic Graft Polymer Conjugates. Int. J. Mol. Sci. 2022, 23, 14731. [Google Scholar] [CrossRef] [PubMed]
- Keihankhadiv, S.; Neugebauer, D. Synthesis and Characterization of Linear Copolymers Based on Pharmaceutically Functionalized Monomeric Choline Ionic Liquid for Delivery of p-Aminosalicylate. Pharmaceutics 2023, 15, 860. [Google Scholar] [CrossRef] [PubMed]
- Niesyto, K.; Łyżniak, W.; Skonieczna, M.; Neugebauer, D. Biological In Vitro Evaluation of PIL Graft Conjugates: Cytotoxicity Characteristics. Int. J. Mol. Sci. 2021, 22, 7741. [Google Scholar] [CrossRef] [PubMed]
- Niesyto, K.; Skonieczna, M.; Adamiec-Organiściok, M.; Neugebauer, D. Toxicity evaluation of choline ionic liquid-based nanocarriers of pharmaceutical agents for lung treatment. J. Biomed. Mater. Res. B Appl. Biomater. 2023, 111, 1374–1385. [Google Scholar] [CrossRef]
- Ghatak, C.; Rao, V.G.; Mandal, S.; Ghosh, S.; Sarkar, N. An Understanding of the Modulation of Photophysical Properties of Curcumin inside a Micelle Formed by an Ionic Liquid: A New Possibility of Tunable Drug Delivery System. J. Phys. Chem. B 2012, 116, 3369–3379. [Google Scholar] [CrossRef]
- Kurnik, I.S.; D’Angelo, N.A.; Mazzola, P.G.; Chorilli, M.; Kamei, D.T.; Pereira, J.F.B.; Vicente, A.A.; Lopes, A.M. Polymeric micelles using cholinium-based ionic liquids for the encapsulation and release of hydrophobic drug molecules. Biomater. Sci. 2021, 9, 2183–2196. [Google Scholar] [CrossRef]
- Ali, M.K.; Moshikur, R.M.; Wakabayashi, R.; Moniruzzaman, M.; Goto, M. Biocompatible Ionic Liquid-Mediated Micelles for Enhanced Transdermal Delivery of Paclitaxel. ACS Appl. Mater. Interfaces 2021, 13, 19745–19755. [Google Scholar] [CrossRef]
- Lu, B.; Li, Y.; Wang, Z.; Wang, B.; Pan, X.; Zhao, W.; Ma, X.; Zhang, J. A dual responsive hyaluronic acid graft poly(ionic liquid) block copolymer micelle for an efficient CD44-targeted antitumor drug delivery. New J. Chem. 2019, 43, 12275–12282. [Google Scholar] [CrossRef]
- Lu, B.; Zhou, G.; Xiao, F.; He, Q.; Zhang, J. Stimuli-responsive poly(ionic liquid) nanoparticles for controlled drug delivery. J. Mater. Chem. B 2020, 8, 7994–8001. [Google Scholar] [CrossRef] [PubMed]
- Mahajan, S.; Sharma, R.; Mahajan, R.K. An Investigation of Drug Binding Ability of a Surface Active Ionic Liquid: Micellization, Electrochemical, and Spectroscopic Studies. Langmuir 2012, 28, 17238–17246. [Google Scholar] [CrossRef]
- Moniruzzaman, M.; Tahara, Y.; Tamura, M.; Kamiya, N.; Goto, M. Ionic liquid-assisted transdermal delivery of sparingly soluble drugs. Chem. Comm. 2010, 46, 1452–1454. [Google Scholar] [CrossRef] [PubMed]
- Donald, P.R.; Diacon, A.H. Para-aminosalicylic acid: The return of an old friend. Lancet Infect. Dis. 2015, 15, 1091–1099. [Google Scholar] [CrossRef]
- Minato, Y.; Thiede, J.M.; Kordus, S.L.; McKlveen, E.J.; Turman, B.J.; Baughn, A.D. Mycobacterium tuberculosis Folate Metabolism and the Mechanistic Basis for para-Aminosalicylic Acid Susceptibility and Resistance. Antimicrob. Agents Chemother. 2015, 59, 5097–5106. [Google Scholar] [CrossRef]
- Campregher, C.; Gasche, C. Aminosalicylates. Best Pract. Res. Clin. Gastroenterol. 2011, 25, 535–546. [Google Scholar] [CrossRef]








| No | FM1(%) | DPn/DPM1 | Mn NMR (g/mol) | Mn SEC (g/mol) | ĐSEC |
|---|---|---|---|---|---|
| IA | 25 | 272/68 | 42,500 | 65,900 | 1.29 |
| IB | 42 | 133/56 | 25,800 | 67,300 | 1.25 |
| IC | 74 | 190/139 | 50,300 | 51,600 | 1.33 |
| ID | 93 | 279/261 | 86,500 | 212,200 | 1.55 |
| IIA | 18 | 390/71 | 46,700 | 47,900 | 1.12 |
| IIB | 26 | 203/52 | 26,900 | 22,400 | 1.26 |
| IIC | 45 | 497/224 | 73,800 | 67,700 | 1.96 |
| IID | 50 | 179/90 | 27,600 | 29,600 | 1.13 |
| IIE | 74 | 178/132 | 31,900 | 29,900 | 1.14 |
| No | CMC (mg/mL) | WCA (°) | DC (%) | Released Drug (%) | |||||
|---|---|---|---|---|---|---|---|---|---|
| Polymer Matrix | PASA Loaded | PASNa Loaded | PAS Anions in Polymer | PASA Loaded | PASNa Loaded | PASA | PASNa | ||
| IA | 0.03 | 48 | 51 | 53 | 24 | 99 | 23 | 100 | 100 |
| IB | 0.13 | 44 | 48 | 49 | 33 | 104 | 52 | 100 | 85.6 |
| IC | 0.16 | 42 | 47 | 48 | 42 | 44 | 28 | 100 | 87.6 |
| ID | 0.18 | 30 | 42 | 47 | 47 | 53 | 36 | 100 | 81.5 |
| IIA | 0.04 | 53 | - | 60 | 0 | - | 76 | - | 99.5 |
| IIB | 0.05 | 46 | 49 | 53 | 0 | 73 | 43 | 100 | 61.9 |
| IIC | 0.06 | 39 | - | 52 | 0 | - | 90 | - | 49.2 |
| IID | 0.07 | 35 | 44 | 50 | 0 | 100 | 83 | 100 | 49.2 |
| IIE | 0.13 | 34 | 43 | 48 | 0 | 100 | 96 | 100 | 61.9 |
Disclaimer/Publisher’s Note: The statements, opinions and data contained in all publications are solely those of the individual author(s) and contributor(s) and not of MDPI and/or the editor(s). MDPI and/or the editor(s) disclaim responsibility for any injury to people or property resulting from any ideas, methods, instructions or products referred to in the content. |
© 2023 by the authors. Licensee MDPI, Basel, Switzerland. This article is an open access article distributed under the terms and conditions of the Creative Commons Attribution (CC BY) license (https://creativecommons.org/licenses/by/4.0/).
Share and Cite
Keihankhadiv, S.; Neugebauer, D. Self-Assembling Polymers with p-Aminosalicylate Anions Supported by Encapsulation of p-Aminosalicylate for the Improvement of Drug Content and Release Efficiency. Pharmaceuticals 2023, 16, 1502. https://doi.org/10.3390/ph16101502
Keihankhadiv S, Neugebauer D. Self-Assembling Polymers with p-Aminosalicylate Anions Supported by Encapsulation of p-Aminosalicylate for the Improvement of Drug Content and Release Efficiency. Pharmaceuticals. 2023; 16(10):1502. https://doi.org/10.3390/ph16101502
Chicago/Turabian StyleKeihankhadiv, Shadi, and Dorota Neugebauer. 2023. "Self-Assembling Polymers with p-Aminosalicylate Anions Supported by Encapsulation of p-Aminosalicylate for the Improvement of Drug Content and Release Efficiency" Pharmaceuticals 16, no. 10: 1502. https://doi.org/10.3390/ph16101502
APA StyleKeihankhadiv, S., & Neugebauer, D. (2023). Self-Assembling Polymers with p-Aminosalicylate Anions Supported by Encapsulation of p-Aminosalicylate for the Improvement of Drug Content and Release Efficiency. Pharmaceuticals, 16(10), 1502. https://doi.org/10.3390/ph16101502

