Abstract
The objective of this review is to list the structures composed of a pyridopyrimidine moiety which have shown a therapeutic interest or have already been approved for use as therapeutics. We consider all the synthetic protocols to prepare these pyridopyrimidine derivatives. The review is organized into four sections, successively pyrido[2,3-d]pyrimidines, pyrido[3,4-d]pyrimidines, pyrido[4,3-d]pyrimidines and pyrido[3,2-d]pyrimidines. For each compound we present the biological activity and the synthetic route reported. To produce this manuscript, the bibliographic research was done using Reaxys and Scifinder for each kind of pyridopyrimidine.
1. Introduction: Pyridopyrimidines and Their Scaffold
Depending on where the nitrogen atom is located in pyridine, we can find four possible skeletons for the heterocyclic combination of pyrimidine and pyridine rings (Figure 1). Pyridopyrimidines and other N-heterocycles are of great interest due to their biological potential. The pyridopyrimidine moiety is present in relevant drugs and, in recent years, it has been studied in the development of new therapies, as evidenced by numerous publications, studies and clinical trials [,,].

Figure 1.
Various pyridopyrimidine structures types.
The various pyridopyrimidines are used on several therapeutic targets. We consider all the synthetic protocols to prepare these pyridopyrimidine derivatives which have shown a therapeutic interest or have been approved for use as therapeutics according to bibliographic research conducted on Reaxys and Scifinder. Among them, we can mention in Figure 2 palbociclib and dilmapimod.

Figure 2.
Examples of interesting molecules. Palbociclib: breast cancer drug developed by Pfizer and Dilmapimod: potential activity against rheumatoid arthritis.
Those most frequently mentioned biological targets of pyrido[2,3-d]pyrimidine derivatives are dihydrofolate reductase (DHFR), some kinases, such as the tyrosine-protein kinase transforming protein Abl or MAP kinases, and the biotin carboxylase.
Dihydrofolate reductase (DHFR) catalyzes the reduction of dihydrofolate to tetrahydrofolate which is essential for the action of folate-dependent enzymes and then for DNA synthesis and methylation reactions. This enzyme is very important for converting the inactive form of folic acid into an active form, which is crucial to make some building blocks required for DNA production. By inhibiting this enzyme, the drug affects the capacity of cells to repair and replicate. The pyridopyrimidine drug inhibits DHFR with high affinity, thereby reducing the quantity of tetrahydrofolate necessary for the synthesis of pyrimidine and purine. Therefore, the synthesis of RNA and DNA is stopped, and the cancer cells die [,]. Inhibitors of this enzyme are studied and used in the treatment of several diseases such as psoriasis and autoimmune rhumatoid arthritis, to name but two. A fuller list can be found in [,].
Kinases or protein kinases are the generic names of enzymes involved in the signaling pathways that preside over a large number of cellular functions and are involved in various pathologies, including cancerous pathologies [,,,]. For example, tyrosine protein kinase plays a role in many key processes linked to cell growth and survival.
Pyridopyrimidines are kinase inhibitors and act by competition on the active site or at an allosteric site. Various tyrosine kinase inhibitors, called tyrphostines (e.g., imatinib, gefitinib, sunitinib), which act selectively on one or more receptors with tyrosine kinase activity, are used to treat some specific forms of cancer.
While many inhibitors have already showed great therapeutic potential, intensive research effort is currently underway to discover new molecules able to interact with protein kinases for use in therapy.
Biotin dependent carboxylases can be found in numerous species of fungi, bacteria, plants and, of course, animals and humans. They play an important role in various metabolisms such as fatty acids [], carbohydrates and amino acids, but also assimilation [,,,,,,] and fixation []. Biotin dependent carboxylases contain acetyl-CoA carboxylase (ACC), propionyl-CoA carboxylase (PCC), 3-methylcrotonyl-CoA carboxylase (MCC), geranyl-CoA carboxylase (GCC), pyruvate carboxylase (PC), and urea carboxylase (UC). Due to their activity, they are mainly involved in diseases such as type 2 diabetes, obesity and microbial infection []. ACC catalyzes the carboxylation of acetyl-CoA to form malonyl-CoA, which is an intermediate substrate. Over the years, ACC inhibitors have attracted great attention in the development of treatments for various human diseases, including microbial infections, metabolic syndrome, obesity, diabetes and cancer [,].
2. Pyridopyrimidines: Therapeutic Potential and Synthesis
In this section, we describe, for each compound mentioned, the biological activity and the synthetic route reported. The 24 compounds described herein are presented according to the type of pyridopyrimidines (pyrido[2,3-d]pyrimidine, pyrido[3,4-d]pyrimidine, pyrido[4,3-d]pyrimidine and pyrido[3,2-d]pyrimidine). For each compound described, the target is indicated and some additional information has been added if different from that mentioned in the introduction.
2.1. Pyrido[2,3-d]pyrimidine
The study starts with some interesting pyrido[2,3-d]pyrimidines. The first one is 5-methyl-6-([methyl(3,4,5-trimethoxyphenyl)amino]methyl)pyrido[2,3-d]pyrimidine-2,4-diamine (Table 1, entry 1) which has been described to have DHFR dihydrofolate as the target [].
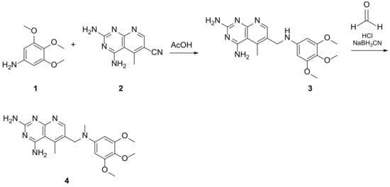
Kisliuk et al. described, in 1993, the synthesis of pyrido[2,3-d]pyrimidine-2,4-diamine (4). The reductive condensation of 6-cyano-5-methyl-pyrido[2,3-d]pyrimidine-2,4-diamine (2) with 3,4,5-trimethoxyaniline (1) in the presence of Raney Ni 70% in acetic acid gave the precursor 3 which underwent methylation at the N10 position by reductive alkylation with formaldehyde and sodium cyanoborohydride (Scheme 1) [].

Scheme 1.
Synthesis of pyrido[2,3-d]pyrimidine-2,4-diamine (4) by Kisliuk et al. [].
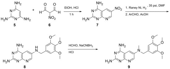
Kisliuk et al. also developed another strategy to synthesize pyrido[2,3-d] pyrimidine-2,4-diamines as compound 9 (Scheme 2, Table 1, entry 2). Starting from 2,4,6-triaminopyrimidine (5) with the sodium salt of nitromalonaldehyde, they obtained in a single step the 2,4-diamino-6-nitropyrido [2,3-d]pyrimidine (7) which was then reduced to its corresponding 6-amino analogue using Raney Ni in DMF. The reductive amination with various aldehydes (ArCHO, in this case 3,4,5-trimethoxybenzaldehyde) provided the desired product 8. In the last step, 8 was N-methylated by treatment with formaldehyde in the presence of sodium cyanoborohydride [] (Scheme 2). An analog compound (Table 1, entry 3) was obtained following the same synthetic pathway (Scheme 2) using 3,5-dimethoxybenzaldehyde.

Scheme 2.
Synthesis of pyrido[2,3-d]pyrimidine-2,4-diamine (9) by Kisliuk et al. [].
In 2008, Queener et al. synthesized 12 starting from 2,4-diamino-6-nitroquinazoline 7 which underwent reduction with hydrogen and Raney nickel at 30-35 psi, providing the desired 2,4,6-triaminoquinazoline (10) (Scheme 3). Then, as described above, the 2,5-dimethoxybenzaldehyde ArCHO was added to generate the N9-H precursor 11. The following step was a reductive N9-alkylation using sodium cyanoborohydride which afforded the final compound []. In this study, Queener et al. conducted a biological evaluation of this compound 12 (Scheme 3, Table 1, entry 4) as a lipophilic inhibitor of dihydrofolate reductase.

Scheme 3.
Synthesis of N6-[(2,5-dimethoxyphenyl)methyl]-N6-methylpyrido[2,3-d]pyrimidine-2,4,6-triamine (12) by Queener et al. [].
Piritrexim (PTX) (Scheme 4 and Scheme 5, Table 1, entry 5) is a synthetic antifolate first synthesized by Grivsky, Sigel et al. [] with anti-parasitic, anti-psoriatic and anti-tumor properties. Piritrexim inhibited dihydrofolate reductase (DHFR) and also showed good antitumor effects on the carcinosarcoma in rats. An advantage of this compound compared to some analogues is that it does not have effects as an inhibitor of histamine metabolism, reducing the potential risk of side reactions on metabolism. Its degree of lipophilicity, i.e., the affinity of this drug for a lipid environment, allows it to diffuse easily into the cells. The various therapeutical activities listed for piritrexim are on melanoma and urothelial cancer, and promising results in head and neck cancer were already obtained in combination with other molecules [].

Scheme 4.
Synthesis of 6-[(2,5-dimethoxyphenyl)methyl]-5-methylpyrido[2,3-d]pyrimidine-2,4-diamine (18) by Grivsky, Sigel et al. [].

Scheme 5.
Synthesis of 6-[(2,5-dimethoxyphenyl)methyl]-5-methylpyrido[2,3-d]pyrimidine-2-amine (28) by Chan and Rosowsky [].
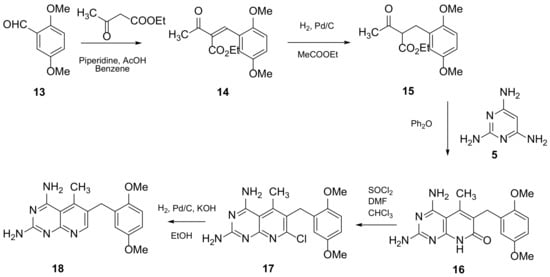
The reaction of 2,5-dimethoxybenzaldehyde (13) with ethyl acetoacetate in refluxing benzene in the presence of a mixture of piperidine and glacial acetic acid led to ethyl α-acetyl-β-(2,5-dimethoxyphenyl)acrylate (14). The latter is then hydrogenated using 5% Pd/C as a catalyst to yield the desired ethyl α-acetyl-(2,5-dimethoxyphenyl)propionate (15). Then, 15 was condensed with 2,4.6-triaminopyrimidine in a diphenyl ether at 195–230 °C. The 2,4-diamino-7,8-dihydro-6-(2,5-dimethoxybenzyl)-5-methyl-7-oxopyrido[2,3-d]pyrimidine (16) obtained was treated with a 1:1 complex of N,N-dimethylformamide thionyl chloride to give the expected 7-chloro-6-[(2,5-dimethoxyphenyl)methyl]-5-methylpyrido[2,3-d]pyrimidine-2,4-diamine (17). The desired PTX 18 was obtained by the hydrogenolyzation of 17 using Pd/C in the presence of potassium hydroxide (Scheme 4) [].
Chan and Rosowsky reported the synthesis of PTX using the condensation of 4,4-dimethoxy-2-butanone with malononitrile to obtain the ylidenemalononitrile 21 which was cyclized into 2-amino-4-methyl-3-carbonitrilepyridine (22) using ammonia in methanol. The halogenation of 22 with N-bromosuccinimide in DMF gave the 5-bromo derivative 23. The reaction of 23 in dry THF with 2,5-dimethoxybenzyl- zinc chloride and CH2Cl2 [PdCl2(dppf).CH2Cl2] provided 2-amino-5-(2,5-dimethoxybenzyl)-4-methyl-3-carbonitrilepyridine (25). Subsequently, the nonaqueous diazotization of 25 with t-BuONO and SbBr3 in CH2Br2 gave the bromo nitrile intermediate 26, which was successfully reacted with guanidine to afford 6-[(2,5-dimethoxyphenyl)methyl]-5-methylpyrido[2,3-d]pyrimidine-2-amine (28) (Scheme 5) [].
A.M. Doherty et al. [] previously reported the identification of a lead, 2-amino-6-(2,6-dichlorophenyl)-8-methyl-8H-pyrido[2,3-d]pyrimidin-7-one, as a good inhibitor of PDGFr (platelet-derived growth factor) or FGFr (fibroblast growth factor) tyrosine kinase []. Tyrosine kinases are enzymes that catalyze a specific phosphorylation of tyrosine residues on proteins. These enzymes are implicated in diverse mechanisms in cell life. Finding selective inhibitors of such enzymes may make it possible to fight against angiogenesis, restenosis atherosclerosesis and tumor growth. A library of compounds was synthesized and tested. The synthetic pathway used to obtain these interesting core structures was applied to the 6-(2,6-dichlorophenyl)-2-{[3-(hydroxymethyl)phenyl]amino}-8-ethyl-7H,8H-pyrido[2,3-d]pyrimidin-7-one (43) and is depicted in Scheme 6 (Table 1, entry 6). Biological tests carried out on the library of compounds obtained showed that the activity of derivatives bearing an ethyl group on N8 was four-fold better than for N8-methylated analogues.

Scheme 6.
Synthesis of 6-(2,6-dichlorophenyl)-2-([3-(hydroxymethyl)phenyl]amino)-8-ethyl-7H,8H-pyrido[2,3-d]pyrimidin-7-one (43) [].
PD-173955 (6-(2,6-dichlorophenyl)-8-methyl-2-([3-(methylsulfanyl)phenyl]amino)-7H,8H-pyrido [2,3-d]pyrimidin-7-one (47) (Scheme 7, Table 1, entry 7) is another example of this family of pyrido[2,3-d]pyrimidines. It is known to target the ephrin receptor (EPH) family of proteins that are overexpressed in some cancers []. This compound, 47, was easily obtained from previously synthesized starting material by a reaction with 3-methylthio-aniline in the presence of camphorsulfonic acid in isopropylalcohol.

Scheme 7.
Synthesis of 6-(2,6-dichlorophenyl)-8-methyl-2-([3-(methylsulfanyl)phenyl]amino)-7H,8H-pyrido [2,3-d]pyrimidin-7-one (47), PD-173955 [].
Mitogen-activated protein kinase 14 (also known as p38-α) is an enzyme encoded by the MAPK14 gene in humans. P38 mitogen-activated protein kinase is a type of mitogen-activated protein kinase (MAPK) that can respond to stress stimuli (such as cytokines, ultraviolet radiation, heat shock and osmotic shock), and is involved in cell differentiation, apoptosis and autophagy. Recent data have shown that the p38 stress MAPK pathway may regulate Ras-dependent and independent proliferation, transformation, invasion and cell death through isoform-specific mechanisms, thereby playing a role in suppressing cancer [,].
The synthesis of kinase inhibitors such as 6-(2,4-difluorophenoxy)-8-methyl-2-[(oxan-4-yl)amino]-7H,8H-pyrido[2,3-d]pyrimidin-7-one (58) (Scheme 8, Table 1, entry 8) was performed via the following 6 step synthetic pathway using substituted 2,4-difluorophenol obtained beforehand, according to sequence 1 [].

Scheme 8.
Synthesis of 6-(2,4-difluorophenoxy)-8-methyl-2-[(oxan-4-yl)amino]-7H,8H-pyrido[2,3-d]pyrimidin-7-one (58) [].
TAK-733 (Scheme 9, Table 1, entry 9) exhibits potent enzymatic and cell activity against a constitutively active MEK enzyme and against ERK phosphorylation in cells. TAK-733 demonstrates broad activity in most melanoma cell lines and has been used to study advanced metastatic melanoma and advanced non-hematological malignancies [,,].

Scheme 9.
Synthesis of 3-[(2R)-2,3-dihydroxypropyl]-6-fluoro-5-[(2-fluoro-4-iodophenyl)amino]-8-methyl-3H,4H,7H,8H-pyrido[2,3-d]pyrimidine-4,7-dione (72) [].
Li et al. [] reported the development of an efficient approach to achieve TAK-733 using fewer steps and with higher yields. A polysubstituted fluoropyridone 64 was produced in one pot via a three-step cascade reaction: condensation between α-fluoromalonate and malononitrile, methyl amide formation, and intramolecular cyclization. Hydroxyl functionality chlorination and cyclization with formic acid afforded the pyridopyrimidone 67. Ensuing N-alkylation with the nosylate of (R)-glycerol acetonide and chlorine displacement with 2-fluoro-4-iodoaniline was successfully achieved. The final step consisted of the acid-catalyzed deprotection of the acetonide functionality to afford the pyrido[2,3-d]pyrimidine-4,7-dione 72 (Scheme 9) [].
Palbociclib (88 in Scheme 10, Table 1, entry 10) is a breast cancer drug developed by Pfizer. This is a piperazine pyridopyrimidine that plays a role in the cell cycle mechanism. Pyridopyrimidine referenced as a second-generation cyclin-dependent kinase inhibitor. It can be used as an endocrine-based chemotherapy drug in combination with other anti-tumor drugs to treat HER2-negative and HR-positive advanced or metastatic breast cancer.

Scheme 10.
Synthesis of 6-acetyl-8-cyclopentyl-5-methyl-2-([5-(piperazin-1-yl)pyridin-2-yl]amino)-7H,8H-pyrido[2,3-d]pyrimidin-7-one (88), Palbociclib [].
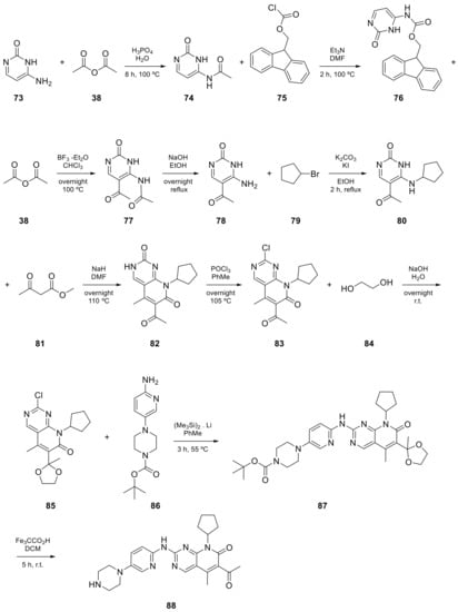
It was in the context of these treatments that Palbociclib was initially approved by the FDA in March 2015. The results of post-marketing reports and electronic health records, updated in April 2019, show its safety and clinical efficacy [,]. The target of Palbociclib is Cyclin-dependent kinase 4 and Cyclin-dependent kinase 6. Cyclin-dependent kinase (CDK) is a protein kinase characterized by the need for a separate subunit—cyclin—to provide a domain necessary for enzymatic activity. CDK plays an important role in the control of cell division and regulates transcription in response to a variety of extracellular and intracellular signals. The CDK inhibitor protein is a protein that inhibits CDK. Some of them act as tumor suppressor proteins. Cell cycle progression is delayed or stopped by cyclin-dependent kinase inhibitors. CDK4/6 inhibitors are a class of drugs that target specific enzymes, called CDK4 and CDK6. CDK4/6 inhibitors disrupt the signals that stimulate the proliferation of malignant (cancer) cells [,]. The synthesis of Palbociclib was reported by Chu et al. in 2020, as described in Scheme 10 [].
Vistusertib (99 in Scheme 11, Table 1, entry 11) is being studied for the treatment of advanced gastric adenocarcinoma []. Vistusertib or AZD2014 is a novel mTOR inhibitor. Meng et al. [] reported a synthesis of Vistusertib in 2019 from the 3-acetylbenzoic acid, which was transformed to methyl ester 91, and then treated with dimethylformamide dimethylacetal to furnish the enaminone 93. The enaminone heteroannulation reaction with 6-aminouracil was accomplished in acidic conditions to allow pyrido[2,3-d]pyrimidine 95. This compound was chlorinated with phosphorus oxychloride to obtain 2,4-dichloropyrido[2,3-d]pyrimidine 96. In the next stage, this team showed an improvement when they realized that xylene was the ideal solvent for the substitution reaction. In this way, Vistusertib was synthesized in one step. When potassium carbonate was used as the reaction accelerator, the intermediate was subjected to aminolysis in a 30% methylamine alcohol solution to obtain the final product 99 [].

Scheme 11.
Synthesis of 3-(2,4-bis[(3S)-3-methylmorpholin-4-yl]pyrido[2,3-d]pyrimidin-7-yl)-N-methylbenzamide (99) [].
Dilmapimod (110 in Scheme 12, Table 1, entry 12) has been used to study the treatment and diagnostic tests of nerve trauma, inflammation, pain, neuropathy, arthritis, rheumatoid disease and coronary heart disease. Dilmapimod (SB-681323) is a p38 MAP kinase inhibitor with potential use in inflammatory diseases such as RA (rheumatoid arthritis). Previous p38 MAP kinase inhibitors were hampered by hepatotoxicity during development [,]. The target of Dilmapimod is the Tumor necrosis factor/Interleukin-1 beta/Interleukin-6.

Scheme 12.
Synthesis of 8-(2,6-difluorophenyl)-2-[(1,3-dihydroxypropan-2-yl)amino]-4-(4-fluoro-2-methylphenyl)-7H,8H-pyrido[2,3-d]pyrimidin-7-one, Dilmapimod (110) [].
The Tumor Necrosis Factor (TNF) belongs to a family of numerous transmembrane proteins with a homologous TNF domain involved, in particular, in the inflammatory cascade and in other important biological events. As a pro-inflammatory cytokine, TNF may be implicated in various inflammation-related cancers. The most active tumor necrosis factor inhibitors (anti-TNF drugs) are monoclonal antibodies against TNF-α (TNFα). As the name suggests, TNF activates the immune system help to kill cancer cells. Recombinant TNF, administered by isolated limb perfusion, is a potent cause of endothelial cell death and subsequent tumor necrosis. TNF inhibitors are antibodies made from human or animal tissues in the laboratory. Once they are placed in blood, they cause a reaction in the immune system which prevents inflammation [,].
Interleukins regulate cell growth, differentiation and movement. They are especially important in stimulating immune responses (such as inflammation). Interleukin-1β is a form of interleukin 1, which is mainly made by one type of white blood cells (macrophages) and helps another type of white blood cells (lymphocytes) fight infection. Generally, interleukin 1 is responsible for the production of inflammation and the promotion of fever and sepsis. IL-1α inhibitors are under development to interrupt these processes and treat diseases. IL-6 is responsible for stimulating the synthesis of acute phase protein and the production of neutrophils in the bone marrow. It supports the growth of B cells and antagonizes regulatory T cells [,].
Voxtalisib (113 in Scheme 13, Table 1, entry 13) has been used in research treatment trials for cancer, melanoma, lymphoma, glioblastoma and breast cancer []. This drug acts as an inhhibitor of two targets, the kinase enzymes phosphatidylinositol-3-kinase PI3K and rapamycin mTOR. It could be used for the treatment of various types of cancer.

Scheme 13.
Synthesis of 2-amino-8-ethyl-4-methyl-6-(1H-pyrazol-5-yl)-7H,8H-pyrido[2,3-d]pyrimidin-7-one, Voxtalisib (123) [].
Romanelli et al. [] patented, in 2014, the synthesis of Voxtalisib following the synthetic pathway described in Scheme 13.
AZD8055 (134 in Scheme 14, Table 1, entry 14) has been used in treatment trials of cancer, lymphoma, solid tumors, malignant glioma and brainstem glioma []. AZD8055 is a selective ATP-competitive mTOR kinase inhibitor and inhibits cell proliferation and Pass et al. described its synthesis. 3S-Methylmorpholine was added successively at the C4 and then C2 positions of the trichloro intermediate 128 to give the chlorinated pyrido[2,3-d]pyrimidine 132 which was then reacted with a boronic ester using palladium coupling to achieve the final compound [].

Scheme 14.
Synthesis of (5-{2,4-bis[(3S)-3-methylmorpholin-4-yl]pyrido[2,3-d]pyrimidin-7-yl}-2-methoxyphenyl)methanol (134), AZD8055 [].
AMG-510 (150 in Scheme 15, Table 1, entry 15) is an experimental KRAS inhibitor that is under study for the treatment of KRAS G12C mutant non-small cell lung cancer, colorectal cancer and appendix cancer. AMG-510 is a KRAS inhibitor derived from acrylamide and developed by Amgen. It is currently undergoing clinical trials for solid tumors with KRAS G12C mutations. This mutation accounts for more than 50% of all KRAS mutations. It is the first experimental KRAS inhibitor [,]. The target is the GTPase KRas.

Scheme 15.
6-fluoro-7-(2-fluoro-6-hydroxyphenyl)-1-[4-methyl-2-(propan-2-yl)pyridin-3-yl]-4-[(2S)-2-methyl-4-(prop-2-enoyl)piperazin-1-yl]-1H,2H-pyrido[2,3-d]pyrimidin-2-one (150), AMG-510 [].
Like other members of the ras subfamily, the KRAS protein is a GTPase and an early participant in many signal transduction pathways. Due to the presence of an isoprene group at the C-terminus, KRAS is usually bound to the cell membrane. The KRAS gene provides instructions for the preparation of a protein called K-Ras, which is part of a signaling pathway called the RAS/MAPK pathway. This protein transmits signals from outside the cell to the nucleus. One of the most common mutations is KRAS G12C, which occurs in approximately 13% of NSCLC and 3–5% of CRC. Due to its unusual shape, mutant KRAS has long been known as a non-drug target. Compared with other proteins, the relatively smooth protein structure means that it is difficult to design inhibitors that bind to surface grooves, which has hindered the progress of drug development for many years [,].
In 2020, Parsons et al. [] patented their improvements in the synthesis of key intermediates of the AMG-510 KRAS G12C inhibitor, as described in Scheme 15. The synthesis is carried out in fifteen steps, one of the reagents having to be obtained beforehand according to sequence 1.
Zega et al. reported in 2012 the synthesis of 6-(2,6-dibromophenyl)pyrido[2,3-d]pyrimidine-2,7-diamine (159) (Scheme 16, Table 1, entry 16) which has biotin carboxylase as a biological target. They obtained 2,4-diamino-5-cyanopyrimidine 157 by condensation of guanidine nitrate with ethoxymethylenemalononitrile (156) in ethanol and sodium ethoxide, to achieve the free guanidine base. A Raney nickel catalyst in 98% formic acid as a solvent allowed the reduction of the cyano group. Then 2,4-diaminopyrimidine-5-carboxaldehyde 158 was condensed with benzylnitrile under basic conditions to yield 2,7-diaminopyridopyrimidine 159 (Scheme 16) [].

Scheme 16.
Synthesis of 6-(2,6-dibromophenyl)pyrido[2,3-d]pyrimidine-2,7-diamine (159) [].
Using the same protocol, the analogous 6-(2,6-dimethoxyphenyl)pyrido[2,3-d]pyrimidine-2,7-diamine (161) (Scheme 17, Table 1, entry 17) was efficiently synthesized, targeting the same biotin carboxylase [,].

Scheme 17.
Synthesis of 6-(2,6-dimethoxyphenyl)pyrido[2,3-d]pyrimidine-2,7-diamine (161) [,].
Yoneda et al. reported in 1990 the first total synthesis of the coenzyme factor 420, the (2S)-2-[(4S)-4-carboxy-4-[(2S)-2-([hydroxy(([(2R,3S,4S)-2,3,4-trihydroxy-5-(8-hydroxy-2,4-dioxo-2H,3H,4H,10H-pyrimido[4,5-b]quinolin-1-yl)pentyl]oxy))phosphoryl]oxy)propanamido]butanamido]pentanedioic acid (179 in Scheme 18, Table 1, entry 18). This team’s approach consisted of using two routes without the need to protect functional groups. The desired product was attained by the creation of a phosphotriester bond concerning a protected 8-hydroxy-10-o-ribityl-5-deazaisoalloxazine moiety and a peptide moiety, (l-lactoyl-y-l-glutamyl)-l-glutamic acid tribenzyl ester, by the phosphite triester method using 2,2,2-trichloroethyl phosphorodichloridite, followed by consecutive deprotection methods (Scheme 18) [].


Scheme 18.
(2S)-2-[(4S)-4-carboxy-4-[(2S)-2-([hydroxy(([(2R,3S,4S)-2,3,4-trihydroxy-5-(8-hydroxy-2,4-dioxo-2H,3H,4H,10H-pyrimido[4,5-b]quinolin-1-yl)pentyl]oxy))phosphoryl]oxy)propanamido]butanamido]pentanedioic acid (179) [].
2.2. Pyrido[3,4-d]pyrimidine
This class of pyridopyrimidine is mainly referenced with kinase activity. The first example mentioned herein is Tarloxotinib (194 in Scheme 19). It is being studied in the clinical trial NCT03743350 (NSCLC exon 20 or HER2 activating mutation) []. This molecule is a kinase inhibitor targeting all members of the HER family, with a novel mechanism of action. It is a hypoxia-activated prodrug that releases an active metabolite irreversibly targeting the kinase. The goal is to inhibit only HER kinases in tumor cells. Tarloxotinib is a Pan-HER kinase inhibitor.

Scheme 19.
[(2E)-3-({4-[(3-bromo-4-chlorophenyl)amino]pyrido[3,4-d]pyrimidin-6-yl}carbamoyl)prop-2-en-1-yl]dimethyl[(1-methyl-4-nitro-1H-imidazol-5-yl)methyl]azanium (194) [].
Carlin et al. [] patented in 2015 the preparation of 4-anilinopyrido[3,4-d]pyrimidine prodrugs (Scheme 19, Table 1, entry 19) as kinase inhibitors useful for cancer treatment. The procedure is described in Scheme 19 with classical synthetic methodologies affording the expected compound 194 in twelve steps.
The second example is the BOS172722 derivative (200 in Scheme 20, Table 1, entry 20). This compound, in combination with paclitaxel, was tested in vivo for the treatment of triple hormone receptor-negative breast cancer demonstrating a promising synergy. This selective monopolar spindle 1 (Mps1) kinase inhibitor has been identified as a potential anti-cancer agent because it is involved in the division of cancer cells. This is, therefore, an attractive target for cancer therapy [,]. It has the dual specificity protein kinase TTK as the target.

Scheme 20.
N8-(2,2-dimethylpropyl)-N2-[2-ethoxy-4-(4-methyl-4H-1,2,4-triazol-3-yl)phenyl]-6-methylpyrido[3,4-d]pyrimidine-2,8-diamine (200), BOS172722 [].
Monopolar spindle 1 (Mps1/TTK) is a conserved serine/threonine kinase from yeast to humans. It has been shown to be a key kinase that activates the spindle assembly checkpoint (SAC) to ensure the proper distribution of chromosomes to progeny cells. It is also one of the main components of SAC, which can ensure that the cells do not develop from mid-term to late-term until the boom is properly connected to the microtubules and proper tension is applied to the mid-term plate. Cancer cells rely heavily on MPS1 to cope with the abnormal number of chromosomes in aneuploidy caused by MPS1. It has been found that this kinase is upregulated in many types of tumors. Mps1 is an attractive oncology target because of its high expression level in cancer cells and the correlation between its expression level and the histological grade of the cancer. Based on the kinase profile, the compounds selectively inhibit MPS1 and reduce the phosphorylation of MPS1 and Phospho-HH3 signaling, successfully [,].
2.3. Pyrido[4,3-d]pyrimidine
Trametinib (209 in Scheme 21, Table 1, entry 21) is a kinase inhibitor used for specific types of melanoma. This compound, associated with other molecules such as Dabrafenib (Tafilnar) and/or Mekinist (trametinib), has been approved by the FDA in particular for the treatment of degenerative thyroid cancer (ATC) [,].

Scheme 21.
Synthesis of N-(3-(3-cyclopropyl-5-[(2-fluoro-4-iodophenyl)amino]-6,8-dimethyl-2,4,7-trioxo-1H,2H,3H,4H,6H,7H-pyrido[4,3-d]pyrimidin-1-yl)phenyl)acetamid, Trametinib (209) [].
Trametinib has a dual specificity mitogen-activated protein kinase kinase 1/Dual specificity mitogen-activated protein kinase kinase 2 target.
MEK1 and MEK2 are dual-specificity kinases that activate ERK1 and ERK2 by phosphorylating them at preserved threonine and tyrosine residues in the T-E-Y motif found in their activation loop. MEK inhibitors are drugs that inhibit mitogen-activated protein kinase MEK1 and/or MEK2. They can be useful to influence the MAPK/ERK pathway, which is often intense in some types of cancer. MEK inhibitors bind to and inhibit MEK by inhibiting MEK-dependent cell signaling. This inhibition leads to cell death and tumor growth inhibition. They are allosteric inhibitors of MEK binding that inhibit either MEK1 itself or both MEK1 and MEK2 [].
Shi et al. [] patented the synthesis of Trametinib in 2019 as follows (Scheme 21).
2.4. Pyrido[3,2-d]pyrimidine
Seletalisib (229 in Scheme 22, Table 1, entry 22) is a novel small-molecule inhibitor of PI3Kδ that was evaluated in clinical assays to study the treatment and basic science of Primary Sjogren’s Syndrome []. This molecule is an ATP-competitive and highly selective PI3Kδ inhibitor. Phosphoinositide 3-kinases (PI3K) are enzymes regulating cellular survival, development, and function. They play a key role in immune cell development and function.

Scheme 22.
Synthesis of 3-[8-chloro-3-[(1R)-2,2,2-trifluoro-1-([pyrido[3,2-d]pyrimidin-4-yl]amino)ethyl]quinolin-2-yl]pyridin-1-ium-1-olate (229) [].
Le Meur et al. [] patented the synthesis of Seletalisib 229 following the procedure summarized in Scheme 22, and described crystalline forms for the treatment of various pathologies.
In the clinical trial of safety, tolerability and antiviral activity in virally suppressed adults with chronic hepatitis B, Selgantolimod 233 (Scheme 23, Table 1, entry 23) is being studied []. Chronic hepatitis B (CHB) is associated with a dysfunction of the immune response implicating toll-like receptor 8 (TLR8). Therefore, synthesizing a selective TLR8 agonist could be an effective treatment option [].

Scheme 23.
(2S)-2-([2-amino-7-fluoropyrido[3,2-d]pyrimidin-4-yl]amino)-2-methylhexan-1-ol (233) [].
Vieira et al. patented in 2020 the preparation of solid forms of (R)-2-[(2-amino-7-fluoropyrido[3,2-d]pyrimidin-4-yl)amino]-2-methylhexan-1-ol (233) as toll-like receptor modulators, as described in Scheme 23 [].
Benkovic et al. presented the synthesis of β-DADF (238 in Scheme 24, Table 1, entry 24) through an approach focused on a coupling reaction of the appropriately protected 5-iodoimidazole nucleoside 234 and 10-acryloyl folate derivative 235, catalyzed by bis(benzonitrile)palladium chloride to afford compound 237. 5′-Acetate was removed with sodium ethoxide, and 5′-OH phosphorylation was completed performing phosphoramidite procedures to obtain 238. Acetonide removal was achieved with 50% TFA/H2O, followed by debenzylation with H2 on 10% Pd/C. The simultaneous saponification of ethyl and pivalate esters with 0.1 N NaOH finally gave β-DADF 239 []. This compound targets the bifunctional purine biosynthesis protein PURH, an enzyme catalyzing the last two steps in de novo purine biosynthesis [].

Scheme 24.
Synthesis of (2S)-2-((4-[(2E)-N-((2-amino-4-oxo-1H,4H-pyrido[3,2-d]pyrimidin-6-yl)methyl)-3-{4-carbamoyl-1-[(2R,3R,4S,5R)-3,4-dihydroxy-5-[(phosphonooxy)methyl]oxolan-2-yl]-1H-imidazol-5-yl)prop-2-enamido]phenyl)formamido)pentanedioic acid (238) [].
All compounds described herein with their target were listed below (Table 1).

Table 1.
The 24 pyridopyrimidines described in the review.
Table 1.
The 24 pyridopyrimidines described in the review.
Entry | Structure | Name | Target | Ref. |
---|---|---|---|---|
Pyrido[2,3-d]pyrimidine | ||||
1 | ![]() | 5-methyl-6-([methyl(3,4,5-trimethoxyphenyl)amino]methyl)pyrido[2,3-d]pyrimidine-2,4-diamine | DHFR Dihydrofolate reductase | [,,] |
2 | ![]() | N6-methyl-N6-[(3,4,5-trimethoxyphenyl)methyl]pyrido[2,3-d]pyrimidine-2,4,6-triamine | DHFR Dihydrofolate reductase | [] |
3 | ![]() | N6-[(3,5-dimethoxyphenyl)methyl]-N6-methylpyrido[2,3-d]pyrimidine-2,4,6-triamine, | DHFR Dihydrofolate reductase | [] |
4 | ![]() | N6-[(2,5-dimethoxyphenyl)methyl]-N6-methylpyrido[2,3-d]pyrimidine-2,4,6-triamine | DHFR Dihydrofolate reductase | [] |
5 | ![]() PIRITREXIM | 6-[(2,5-dimethoxyphenyl)methyl]-5-methylpyrido[2,3-d]pyrimidine-2,4-diamine | DHFR Dihydrofolate reductase | [,,] |
6 | ![]() | 6-(2,6-dichlorophenyl)-2-([3-(hydroxymethyl)phenyl]amino)-8-ethyl-7H,8H-pyrido[2,3-d]pyrimidin-7-one | Tyrosine kinase activity | [,] |
7 | ![]() PD-173955 | 6-(2,6-dichlorophenyl)-8-methyl-2-([3-(methylsulfanyl)phenyl]amino)-7H,8H-pyrido[2,3-d]pyrimidin-7-one | Kinase activity: Tyrosine-protein kinase transforming protein Abl | [] |
8 | ![]() | 6-(2,4-difluorophenoxy)-8-methyl-2-[(oxan-4-yl)amino]-7H,8H-pyrido[2,3-d]pyrimidin-7-one | Kinase activity: Mitogen-activated protein kinase 14 | [,,] |
9 | ![]() TAK-733 | 3-[(2R)-2,3-dihydroxypropyl]-6-fluoro-5-[(2-fluoro-4-iodophenyl)amino]-8-methyl-3H,4H,7H,8H-pyrido[2,3-d]pyrimidine-4,7-dione | Kinase activity: Against MEK and ERK | [,,,] |
10 | ![]() Palbociclib | 6-acetyl-8-cyclopentyl-5-methyl-2-([5-(piperazin-1-yl)pyridin-2-yl]amino)-7H,8H-pyrido[2,3-d]pyrimidin-7-one | Kinase activity: Cyclin-dependent kinase 4/Cyclin-dependent kinase 6 Breast cancer drug | [,,,,] |
11 | ![]() Vistusertib | 3-(2,4-bis[(3S)-3-methylmorpholin-4-yl]pyrido[2,3-d]pyrimidin-7-yl)-N-methylbenzamide | Kinase activity: Vistusertib (AZD2014) is a novel mTOR inhibitor | [,] |
12 | ![]() Dilmapimod (SB-681323) | 8-(2,6-difluorophenyl)-2-[(1,3-dihydroxypropan-2-yl)amino]-4-(4-fluoro-2-methylphenyl)-7H,8H-pyrido[2,3-d]pyrimidin-7-one | Kinase activity: P38 MAPK inhibitor, Tumor necrosis factor/Interleukin-1 beta/Interleukin-6. Potential activity against rheumatoid arthritis | [,,,,,,] |
13 | ![]() Voxtalisib | 2-amino-8-ethyl-4-methyl-6-(1H-pyrazol-5-yl)-7H,8H-pyrido[2,3-d]pyrimidin-7-one | Kinase activity: PI3K/mTOR Inhibitor | [,] |
14 | ![]() AZD8055 | (5-(2,4-bis[(3S)-3-methylmorpholin-4-yl]pyrido[2,3-d]pyrimidin-7-yl)-2-methoxyphenyl)methanol | Kinase activity: Selective ATP-competitive mTOR kinase inhibitor. Induction of MEK/ERK | [,] |
15 | ![]() AMG-510 | 6-fluoro-7-(2-fluoro-6-hydroxyphenyl)-1-[4-methyl-2-(propan-2-yl)pyridin-3-yl]-4-[(2S)-2-methyl-4-(prop-2-enoyl)piperazin-1-yl]-1H,2H-pyrido[2,3-d]pyrimidin-2-one | Kinase Activity: KRAS inhibitor implicated in the RAS/MAPK pathway GTPase KRas | [,,,,] |
16 | ![]() | 6-(2,6-dibromophenyl)pyrido[2,3-d]pyrimidine-2,7-diamine | Biotin carboxylase | [] |
17 | ![]() | 6-(2,6-dimethoxyphenyl)pyrido[2,3-d]pyrimidine-2,7-diamine | Biotin carboxylase | [,] |
18 | ![]() | (2S)-2-[(4S)-4-carboxy-4-[(2S)-2-([hydroxy(([(2R,3S,4S)-2,3,4-trihydroxy-5-(8-hydroxy-2,4-dioxo-2H,3H,4H,10H-pyrimido[4,5-b]quinolin-10-yl)pentyl]oxy))phosphoryl]oxy)propanamido]butanamido]pentanedioic acid | Methanobacterium redox coenzyme Factor 420 (F420) | [] |
Pyrido[3,4-d]pyrimidine | ||||
19 | ![]() Tarloxotinib | [(2E)-3-((4-[(3-bromo-4-chlorophenyl)amino]pyrido[3,4-d]pyrimidin-6-yl)carbamoyl)prop-2-en-1-yl]dimethyl[(1-methyl-4-nitro-1H-imidazol-5-yl)methyl]azanium | Kinase Activity: Pan-HER kinase inibitor | [] |
20 | ![]() BOS172722 | N8-(2,2-dimethylpropyl)-N2-[2-ethoxy-4-(4-methyl-4H-1,2,4-triazol-3-yl)phenyl]-6-methylpyrido[3,4-d]pyrimidine-2,8-diamine | Kinase Activity: Dual specificity protein kinase TTK | [,,,] |
Pyrido[4,3-d]pyrimidine | ||||
21 | ![]() Trametinib | N-(3-(3-cyclopropyl-5-[(2-fluoro-4-iodophenyl)amino]-6,8-dimethyl-2,4,7-trioxo-1H,2H,3H,4H,6H,7H-pyrido[4,3-d]pyrimidin-1-yl)phenyl)acetamide | Dual specificity mitogen-activated protein kinase kinase 1/Dual specificity mitogen-activated protein kinase kinase 2 | [,,,] |
Pyrido[3,2-d]pyrimidine | ||||
22 | ![]() Seletalisib | 3-(8-chloro-3-[(1R)-2,2,2-trifluoro-1-((pyrido[3,2-d]pyrimidin-4-yl)amino)ethyl]quinolin-2-yl)pyridin-1-ium-1-olate | selective PI3Kδ inhibitor | [,] |
23 | ![]() | (2S)-2-((2-amino-7-fluoropyrido[3,2-d]pyrimidin-4-yl)amino)-2-methylhexan-1-ol | Chronic hepatitis B TLR8 receptor | [,] |
24 | ![]() β-DADF | (2S)-2-((4-[(2E)-N-((2-amino-4-oxo-1H,4H-pyrido[3,2-d]pyrimidin-6-yl)methyl)-3-(4-carbamoyl-1-[(2R,3R,4S,5R)-3,4-dihydroxy-5-[(phosphonooxy)methyl]oxolan-2-yl]-1H-imidazol-5-yl)prop-2-enamido]phenyl)formamido)pentanedioic acid | Bifunctional purine biosynthesis protein PURH | [,] |
3. Conclusions
Herein we have summarized some pyridopyrimidines (Table 1) that have a real therapeutic potential. Their biological activity and synthetic pathways are described. This review shows the interest of this heterocycle family and its high representativity in the drugs on the market or in the process of being marketed. It is, therefore, always interesting to highlight new access routes to these molecules of interest.
Author Contributions
Conceptualization and methodology, J.F.C., T.B. and S.B.-R.; investigation and data curation, J.F.C.; writing—original draft preparation, J.F.C.; writing—review and editing, T.B. and S.B.-R.; supervision, project administration and funding acquisition, T.B. and S.B.-R. All authors have read and agreed to the published version of the manuscript.
Funding
This research received no external funding.
Institutional Review Board Statement
Not applicable.
Informed Consent Statement
Not applicable.
Conflicts of Interest
The authors declare no conflict of interest.
References
- Yadav, P.; Shah, K. An overview on synthetic and pharmaceutical prospective of pyrido[2,3-d]pyrimidines scaffold. Chem. Biol. Drug Des. 2021, 3, 633–648. [Google Scholar] [CrossRef] [PubMed]
- Yousif, M.N.M.; El-Gazzar, A.-R.B.A.; El-Enany, M.M. Synthesis and Biological Evaluation of Pyrido[2,3-d]pyrimidines. Mini Rev. Org. Chem. 2021, 1, 43–54. [Google Scholar] [CrossRef]
- Buron, F.; Mérour, J.Y.; Akssira, M.; Guillaumet, G.; Routier, S. Recent advances in the chemistry and biology of pyridopyrimidines. Eur. J. Med. Chem. 2015, 95, 76–95. [Google Scholar] [CrossRef] [PubMed]
- Schweitzer, B.I.; Dicker, A.P.; Bertino, J.R. Dihydrofolate reductase as a therapeutic target. FASEB J. 1990, 8, 2441–2452. [Google Scholar] [CrossRef] [PubMed]
- Raimondi, M.V.; Randazzo, O.; La Franca, M.; Barone, G.; Vignoni, E.; Rossi, D.; Collina, S. DHFR Inhibitors: Reading the Past for Discovering Novel Anticancer Agents. Molecules 2019, 6, 1140. [Google Scholar] [CrossRef]
- Gangjee, A.; Shi, J.; Queener, S.F.; Barrows, L.R.; Kisliuk, R.L. Synthesis of 5-methyl-5-deaza nonclassical antifolates as inhibitors of dihydrofolate reductases and as potential antipneumocystis, antitoxoplasma, and antitumor agents. J. Med. Chem. 1993, 36, 3437–3443. [Google Scholar] [CrossRef] [PubMed]
- Hawser, S.; Lociuro, S.; Islam, K. Dihydrofolate reductase inhibitors as antibacterial agents. Biochem. Pharm. 2006, 71, 941–948. [Google Scholar] [CrossRef] [PubMed]
- Cao, X.; Tanis, K.Q.; Koleske, A.J.; Colicelli, J. Enhancement of ABL kinase catalytic efficiency by a direct binding regulator is independent of other regulatory mechanisms. J. Biol. Chem. 2008, 283, 31401–31407. [Google Scholar] [CrossRef] [PubMed]
- Cosgrove, B.D.; Gilbert, P.M.; Porpiglia, E.; Mourkioti, F.; Lee, S.P.; Corbel, S.Y.; Llewellyn, M.E.; Delp, S.L.; Blau, H.M. Rejuvenation of the muscle stem cell population restores strength to injured aged muscles. Nat. Med. 2014, 20, 255–264. [Google Scholar] [CrossRef]
- Segalés, J.; Perdiguero, E.; Muñoz-Cánoves, P. Regulation of muscle stem cell functions: A focus on the p38 MAPK Signaling Pathway. Front. Cell Dev. Biol. 2016, 4, 91. [Google Scholar] [CrossRef]
- Orton, R.J.; Sturm, O.E.; Vyshemirsky, V.; Calder, M.; Gilbert, D.R.; Kolch, W. Computational modelling of the receptor-tyrosine-kinase-activated MAPK pathway. Biochem. J. 2005, 392, 249–261. [Google Scholar] [CrossRef] [PubMed]
- Wakil, S.J.; Stoops, J.K.; Joshi, V.C. Fatty acid synthesis and its regulation. Ann. Rev. Biochem. 1983, 52, 537–579. [Google Scholar] [CrossRef] [PubMed]
- Smejkalova, H.; Erb, T.J.; Fuchs, G. Methanol assimilation in methylobacterium extorquens AM1: Demonstration of all enzymes and their regulation. PLoS ONE 2010, 5, e13001. [Google Scholar] [CrossRef] [PubMed]
- Erb, T.J.; Berg, I.A.; Brecht, V.; Muller, M.; Fuchs, G.; Alber, B.E. Synthesis of C5-dicarboxylic acids from C2-units involving crotonyl-CoA carboxylase/reductase: The ethylmalonyl-CoA pathway. Proc. Natl. Acad. Sci. USA 2007, 104, 10631–10636. [Google Scholar] [CrossRef] [PubMed]
- Khomyakova, M.; Bukmez, O.; Thomas, L.K.; Erb, T.J.; Berg, I.A. A methylaspartate cycle in haloarchaea. Science 2011, 331, 334–337. [Google Scholar] [CrossRef] [PubMed]
- Alber, B.E. Biotechnological potential of the ethylmalonyl-CoA pathway. Appl. Microbiol. Biotechnol. 2011, 89, 17–25. [Google Scholar] [CrossRef] [PubMed]
- Heinzlmeir, S.; Kudlinzki, D.; Sreeramulu, S.; Klaeger, S.; Gande, S.L.; Linhard, V.; Wilhelm, M.; Qiao, H.; Helm, D.; Ruprecht, B.; et al. Chemical proteomics and structural biology define EPHA2 inhibition by clinical kinase drugs. ACS Chem. Biol. 2016, 11, 3400–3411. [Google Scholar] [CrossRef] [PubMed]
- Gangjee, A.; Adair, O.O.; Pagley, M.; Queener, S.F. N9-substituted 2,4-diaminoquinazolines: Synthesis and biological evaluation of lipophilic inhibitors of pneumocystis carinii and toxoplasma gondii dihydrofolate reductase. J. Med. Chem. 2008, 51, 6195–6200. [Google Scholar] [CrossRef]
- Gangjee, A.; Vasudevan, A.; Queener, S.F.; Kisliuk, R.L. 2,4-Diamino-5-deaza-6-substituted pyrido[2,3-d]pyrimidine antifolates as potent and selective nonclassical inhibitors of dihydrofolate reductases. J. Med. Chem. 1996, 39, 1438–1446. [Google Scholar] [CrossRef]
- Piper, J.R.; Johnson, C.A.; Krauth, C.A.; Carter, R.L.; Hosmer, C.A.; Queener, S.F.; Borotz, S.E.; Pfefferkorn, E.R. Lipophilic antifolates as agents against opportunistic infections. 1. Agents superior to trimetrexate and piritrexim against toxoplasma gondii and pneumocystis carinii in vitro evaluations. J. Med. Chem. 1996, 39, 1271–1280. [Google Scholar] [CrossRef] [PubMed]
- Chan, D.C.M.; Rosowsky, A. Synthesis of the lipophilic antifolate piritrexim via a palladium(0)-catalyzed cross-coupling reaction. J. Org. Chem. 2005, 70, 1364–1368. [Google Scholar] [CrossRef] [PubMed]
- Tong, L. Structure and function of biotin-dependent carboxylases. Cell. Mol. Life Sci. 2013, 5, 863–891. [Google Scholar] [CrossRef] [PubMed]
- Shivaiah, K.-K.; Upton, B.; Nikolau, B.J. Kinetic, structural, and mutational analysis of Acyl-CoA carboxylase from thermobifida fusca YX. Front. Mol. Biosci. 2021, 7, 615614. [Google Scholar] [CrossRef] [PubMed]
- Grivsky, E.M.; Lee, S.; Sigel, C.W.; Duch, D.S.; Nichol, C.A. Synthesis and antitumor activity of 2,4-diamino-6-(2,5-dimethoxybenzyl)-5-methylpyrido[2,3-d]pyrimidine. J. Med. Chem. 1980, 23, 327–329. [Google Scholar] [CrossRef] [PubMed]
- Blankley, C.J.; Boschelli, D.H.; Doherty, A.M.; Hamby, J.M.; Klutchko, S.; Panek, R.L. Preparation of Pyrido[2,3-d]pyrimidines for Inhibiting Protein Tyrosine Kinase Mediated Cellular Proliferation. U.S. Patent No. 5733914 A, 31 March 1998. [Google Scholar]
- Klutchko, S.R.; Hamby, J.M.; Boschelli, D.H.; Wu, Z.; Kraker, A.J.; Amar, M.; Hartl, B.G.; Shen, C.; Klohs, W.D.; Steinkampf, R.W.; et al. 2-Substituted aminopyrido-[2,3-d]pyrimidin-7(8H)-ones. Structure-Activity Relationships against selected tyrosine kinases and in vitro and in vivo anticancer activity. J. Med. Chem. 1998, 41, 3276–3292. [Google Scholar] [CrossRef]
- Wada, T.; Penninger, J.M. Mitogen-activated protein kinases in apoptosis regulation. Oncogene 2004, 23, 2838–2849. [Google Scholar] [CrossRef] [PubMed]
- Pearson, G.; Robinson, F.; Gibson, T.B.; Xu, B.; Karandikar, M.; Berman, K.; Cobb, M.H. Mitogen-activated protein (MAP) kinase pathways: Regulation and physiological functions. Endocr. Rev. 2001, 2, 153–183. [Google Scholar]
- Keri, G.; Oerfi, L.; Greff, Z.; Banhegyi, P.; Szantai-Kis, C.; Eros, D.; Zsakai, L.; Boros, S.; Breza, N. Novel Compounds as Kinase Inhibitors and Their Use for the Regulation of Fibrotic Cell Proliferation. HU Patent Application No. 2015000620 A2, 28 July 2017. [Google Scholar]
- Adjei, A.A.; LoRusso, P.; Ribas, A.; Sosman, J.A.; Pavlick, A.; Dy, G.K.; Zhou, X.; Gangolli, E.; Kneissl, M.; Faucette, S.; et al. A phase I dose-escalation study of TAK-733, an investigational oral MEK inhibitor, in patients with advanced solid tumors. Investig. New Drugs. 2017, 1, 47–58. [Google Scholar] [CrossRef]
- Dong, Q.; Dougan, D.R.; Gong, X.; Halkowycz, P.; Jin, B.; Kanouni, T.; O’Connell, S.M.; Scorah, N.; Shi, L.; Wallace, M.B.; et al. Discovery of TAK-733, a potent and selective MEK allosteric site inhibitor for the treatment of cancer. Bioorg. Med. Chem. Lett. 2011, 21, 1315–1319. [Google Scholar] [CrossRef] [PubMed]
- Micel, L.N.; Tentler, J.J.; Tan, A.C.; Selby, H.M.; Brunkow, K.L.; Robertson, K.M.; Lindsey Davis, S.; Klauck, P.J.; Pitts, T.M.; Gangolli, E.; et al. Antitumor activity of the MEK inhibitor TAK-733 against melanoma cell lines and patient-derived tumor explants. Mol. Cancer Ther. 2015, 14, 317–325. [Google Scholar] [CrossRef][Green Version]
- Zhao, Y.; Zhu, L.; Provencal, D.P.; Miller, T.A.; O’Bryan, C.; Langston, M.; Shen, M.; Bailey, D.; Sha, D.; Palmer, T.; et al. Process research and kilogram synthesis of an investigational, potent MEK inhibitor. Org. Process Res. Dev. 2012, 16, 1652–1659. [Google Scholar] [CrossRef]
- Finn, R.S.; Martin, M.; Rugo, H.S.; Jones, S.; Im, S.-A.; Gelmon, K.; Harbeck, N.; Lipatov, O.N.; Walshe, J.M.; Moulder, S.; et al. Palbociclib and letrozole in advanced breast cancer. N. Engl. J. Med. 2016, 20, 1925–1936. [Google Scholar] [CrossRef]
- Turner, N.C.; Ro, J.; André, F.; Loi, S.; Verma, S.; Iwata, H.; Harbeck, N.; Loibl, S.; Bartlett, C.H.; Zhang, K.; et al. PALOMA3 study group palbociclib in hormone-receptor-positive advanced breast cancer. N. Engl. J. Med. 2015, 3, 209–219. [Google Scholar] [CrossRef]
- Galbraith, M.D.; Bender, H.; Espinosa, J.M. Therapeutic targeting of transcriptional cyclin-dependent kinases. Transcription 2019, 2, 118–136. [Google Scholar] [CrossRef] [PubMed]
- Lim, S.; Kaldis, P. Cdks, cyclins and CKIs: Roles beyond cell cycle regulation. Development 2013, 15, 3079–3093. [Google Scholar] [CrossRef] [PubMed]
- Chu, D.; Zhang, Y.; Xie, X.; Fang, L. Preparation of Palbociclib Intermediate and Method for Synthesizing Palbociclib. CN Patent No. 111675660 A, 2020. [Google Scholar]
- Lee, J.; Kim, S.T.; Kim, K.; Lee, H.; Kozarewa, I.; Mortimer, P.G.S.; Odegaard, J.I.; Harrington, E.A.; Lee, J.; Lee, T.; et al. Tumor genomic profiling guides patients with metastatic gastric cancer to targeted treatment: The VIKTORY umbrella trial. Cancer Discov. 2019, 10, 1388–1405. [Google Scholar] [CrossRef] [PubMed]
- Shen, G.; Liu, M.; Lu, J.; Meng, T. Practical synthesis of vistusertib (AZD2014), an ATP competitive mTOR inhibitor. Tetrahedron Lett. 2019, 60, 151333. [Google Scholar] [CrossRef]
- Anand, P.; Shenoy, R.; Palmer, J.E.; Baines, A.J.; Lai, R.Y.K.; Robertson, J.; Bird, N.; Ostenfeld, T.; Chizh, B.A. Clinical trial of the p38 MAP kinase inhibitor dilmapimod in neuropathic pain following nerve injury. Eur. J. Pain. 2011, 10, 1040–1048. [Google Scholar] [CrossRef]
- Christie, J.D.; Vaslef, S.; Chang, P.K.; May, A.K.; Gunn, S.R.; Yang, S.; Hardes, K.; Kahl, L.; Powley, W.M.; Lipson, D.A.; et al. A randomized dose-escalation study of the safety and anti-inflammatory activity of the p38 mitogen-activated protein kinase inhibitor dilmapimod in severe trauma subjects at risk for acute respiratory distress syndrome. Crit. Care Med. 2015, 9, 1859–1869. [Google Scholar] [CrossRef] [PubMed]
- Ma, K.; Zhang, H.; Baloch, Z. Pathogenetic and therapeutic applications of tumor necrosis factor-α (TNF-α) in major depressive disorder: A systematic review. Int. J. Mol. Sci. 2016, 5, 733. [Google Scholar] [CrossRef] [PubMed]
- Vanamee, E.S.; Faustman, D.L. Structural principles of tumor necrosis factor superfamily signaling. Sci. Signal. 2018, 511, eaao4910. [Google Scholar] [CrossRef] [PubMed]
- Palomo, J.; Dietrich, D.; Martin, P.; Palmer, G.; Gabay, C. The interleukin (IL)-1 cytokine family--Balance between agonists and antagonists in inflammatory diseases. Cytokine 2015, 1, 25–37. [Google Scholar] [CrossRef] [PubMed]
- Rose-John, S. Interleukin-6 family cytokines. Cold Spring Harb. Perspect. Biol. 2018, 2, a028415. [Google Scholar] [CrossRef] [PubMed]
- Adams, J.L.; Boehm, J.C.; Hall, R.; Jin, Q.; Kasparec, J.; Silva, D.J.; Taggart, J.J. Preparation of 2,4,8-Trisubstituted-8H-pyrido[2,3-d]pyrimidin-7-ones as CSBP/RK/p38 Kinase Inhibitors. WO Patent No. 2002059083 A2, 1 August 2002. [Google Scholar]
- Mehnert, J.M.; Edelman, G.; Stein, M.; Camisa, H.; Lager, J.; Dedieu, J.-F.; Ghuysen, A.-F.; Sharma, J.; Liu, L.; LoRusso, P.M. A phase I dose-escalation study of the safety and pharmacokinetics of a tablet formulation of voxtalisib, a phosphoinositide 3-kinase inhibitor, in patients with solid tumors. Investig. New Drugs 2018, 1, 36–44. [Google Scholar] [CrossRef] [PubMed]
- Cai, T.; Zaks, T.; Romanelli, A. Compositions and Methods for Treating Cancer Using PI3K Inhibitor and Anti-CD19 Maytansinoid Immunoconjugate. WO Patent No. 2014058947 A1, 17 April 2014. [Google Scholar]
- Xu, D.-Q.; Toyoda, H.; Qi, L.; Morimoto, M.; Hanaki, R.; Iwamoto, S.; Komada, Y.; Hirayama, M. Induction of MEK/ERK activity by AZD8055 confers acquired resistance in neuroblastoma. Biochem. Biophys. Res. Commun. 2018, 3, 425–432. [Google Scholar] [CrossRef] [PubMed]
- Pike, K.G.; Malagu, K.; Hummersone, M.G.; Menear, K.A.; Duggan, H.M.E.; Gomez, S.; Martin, N.M.B.; Ruston, L.; Pass, S.L.; Pass, M. Optimization of potent and selective dual mTORC1 and mTORC2 inhibitors: The discovery of AZD8055 and AZD2014. Bioorg. Med. Chem. Lett. 2013, 23, 1212–1216. [Google Scholar] [CrossRef] [PubMed]
- Kettle, J.G.; Cassar, D.J. Covalent inhibitors of the GTPase KRAS G12C: A review of the patent literature. Expert. Opin. Ther Pat. 2020, 2, 103–120. [Google Scholar] [CrossRef] [PubMed]
- Yang, H.; Xiang, S.; Kazi, A.; Sebti, S.M. The GTPase KRAS suppresses the p53 tumor suppressor by activating the NRF2-regulated antioxidant defense system in cancer cells. J. Biol. Chem. 2020, 10, 3055–3063. [Google Scholar] [CrossRef] [PubMed]
- Wu, H.-Z.; Xiao, J.-Q.; Xiao, S.-S.; Cheng, Y. KRAS: A promising therapeutic target for cancer treatment. Curr. Top. Med. Chem. 2019, 23, 2081–2097. [Google Scholar] [CrossRef] [PubMed]
- Uprety, D.; Adjei, A.A. KRAS: From undruggable to a druggable cancer target. Cancer Treat. Rev. 2020, 89, 102070. [Google Scholar] [CrossRef] [PubMed]
- Parsons, A.T.; Cochran, B.M.; Powazinik, W., IV; Caporini, M.A. Improved Synthesis of Key Intermediates of KRAS G12C Inhibitor. WO Patent No. 2020102730 A1, 22 May 2020. [Google Scholar]
- Skedelj, V.; Arsovska, E.; Tomasic, T.; Kroflic, A.; Hodnik, V.; Hrast, M.; Bester-Rogac, M.; Anderluh, G.; Gobec, S.; Bostock, J.; et al. 6-Arylpyrido [2,3-d] pyrimidines as novel ATP-competitive inhibitors of bacterial D-alanine: D-alanine ligase. PLoS ONE 2012, 7, e39922. [Google Scholar] [CrossRef] [PubMed]
- Blankley, C.J.; Doherty, A.M.; Hamby, J.M.; Panek, R.L.; Schroeder, M.C.; Showalter, H.D.H.; Connolly, C. Preparation of 6-Arylpyrido[2,3-d]pyrimidines and Naphthyridines for Inhibiting Protein Tyrosine Kinase Mediated Cellular Proliferation. U.S. Patent No. 5733913 A, 31 March 1998. [Google Scholar]
- Kimachi, T.; Kawase, M.; Matsuki, S.; Tanaka, K.; Yoneda, F. First total synthesis of coenzyme factor 420. J. Chem. Soc. Perkin Trans. 1 1990, 2, 253–256. [Google Scholar] [CrossRef]
- Estrada-Bernal, A.; Le, A.T.; Doak, A.E.; Tirunagaru, V.G.; Silva, S.; Bull, M.R.; Smaill, J.B.; Patterson, A.V.; Kim, C.; Liu, S.V.; et al. Tarloxotinib Is a Hypoxia-Activated Pan-HER kinase inhibitor active against a broad range of HER-family oncogenes. Clin. Cancer Res. 2021, 5, 1463–1475. [Google Scholar] [CrossRef] [PubMed]
- Smaill, J.B.; Patterson, A.V.; Lu, G.-L.; Lee, H.H.; Ashoorzadeh, A.; Anderson, R.F.; Wilson, W.R.; Denny, W.A.; Hsu, H.-L.A.; Maroz, A.; et al. Preparation of 4-Anilinopyrido[3,4-d]pyridine Prodrugs as Kinase Inhibitors Useful for Treatment of Cancer. U.S Patent No. 9101632 B2, 11 August 2015. [Google Scholar]
- Woodward, H.L.; Innocenti, P.; Cheung, K.-M.J.; Hayes, A.; Roberts, J.; Henley, A.T.; Faisal, A.; Mak, G.W.-Y.; Box, G.; Westwood, I.M.; et al. Introduction of a methyl group curbs metabolism of pyrido[3,4-d]pyrimidine monopolar spindle 1 (MPS1) inhibitors and enables the discovery of the phase 1 clinical candidate N2-(2-ethoxy-4-(4-methyl-4 H-1,2,4-triazol-3-yl)phenyl)-6-methyl-N8-neopentylpyrido[3,4-d]pyrimidine-2,8-diamine (BOS172722). J. Med. Chem. 2018, 18, 8226–8240. [Google Scholar] [CrossRef]
- Anderhub, S.J.; Mak, G.W.-Y.; Gurden, M.D.; Faisal, A.; Drosopoulos, K.; Walsh, K.; Woodward, H.L.; Innocenti, P.; Westwood, I.M.; Naud, S.; et al. High proliferation rate and a compromised spindle assembly checkpoint confers sensitivity to the MPS1 inhibitor BOS172722 in triple-negative breast cancers. Mol. Cancer Ther. 2019, 10, 1696–1707. [Google Scholar] [CrossRef]
- Wang, S.; Zhang, M.; Liang, D.; Sun, W.; Zhang, C.; Jiang, M.; Liu, J.; Li, J.; Li, C.; Yang, X.; et al. Molecular design and anticancer activities of small-molecule monopolar spindle 1 inhibitors: A medicinal chemistry perspective. Eur. J. Med. Chem. 2019, 175, 247–268. [Google Scholar] [CrossRef] [PubMed]
- Kessler, A.F.; Feldheim, J.; Schmitt, D.; Feldheim, J.J.; Monoranu, C.M.; Ernestus, R.-I.; Löhr, M.; Hagemann, C. Monopolar spindle 1 kinase (MPS1/TTK) mRNA expression is associated with earlier development of clinical symptoms, tumor aggressiveness and survival of glioma patients. Biomedicines 2020, 7, 192. [Google Scholar] [CrossRef]
- Zeiser, R.; Andrlová, H.; Meiss, F. Trametinib (GSK1120212) recent results. Cancer Res. 2018, 211, 91–100. [Google Scholar] [CrossRef]
- Long, G.V.; Hauschild, A.; Santinami, M.; Atkinson, V.; Mandalà, M.; Chiarion-Sileni, V.; Larkin, J.; Nyakas, M.; Dutriaux, C.; Haydon, A.; et al. Adjuvant dabrafenib plus trametinib in stage III BRAF-mutated melanoma. N. Engl. J. Med. 2017, 19, 1813–1823. [Google Scholar] [CrossRef]
- McCubrey, J.A.; Steelman, L.S.; Chappell, W.H.; Abrams, S.L.; Wong, E.W.T.; Chang, F.; Lehmann, B.; Terrian, D.M.; Milella, M.; Tafuri, A.; et al. Roles of the Raf/MEK/ERK pathway in cell growth, malignant transformation and drug resistance. Biochim. Biophys. Acta 2007, 8, 1263–1284. [Google Scholar] [CrossRef]
- Wu, X.; Hai, W.; Shi, Z. Method for Synthesizing Trametinib for Treating Melanoma with Low Cost. CN Patent No. 109320513 A, 12 February 2019. [Google Scholar]
- Juarez, M.; Diaz, N.; Johnston, G.I.; Nayar, S.; Payne, A.; Helmer, E.; Cain, D.; Williams, P.; Devauchelle-Pensec, V.; Fisher, B.A.; et al. A phase 2 randomized, double-blind, placebo-controlled, proof-of-concept study of oral seletalisib in primary Sjögren’s syndrome. Rheumatology 2021, 3, 1364–1375. [Google Scholar] [CrossRef] [PubMed]
- Aerts, L.L.J.J.; Assaf, G.; Carly, N.E.; Cool, V.A.C.; Delatinne, J.-P.; Delhaye, L.J.W.; Kestemont, J.P.; Le Meur, S. Crystalline Forms of Seletalisib for Treatment of Inflammatory, Autoimmune, Cardiovascular, Neurodegenerative, Metabolic, Oncolologic, Nociceptive or Ophthalmic Conditions. WO Patent No. 2018219772 A1, 6 December 2018. [Google Scholar]
- Mackman, R.L.; Mish, M.; Chin, G.; Perry, J.K.; Appleby, T.; Aktoudianakis, V.; Metobo, S.; Pyun, P.; Niu, C.; Daffis, S.; et al. Discovery of GS-9688 (Selgantolimod) as a potent and selective oral toll-like receptor 8 agonist for the treatment of chronic hepatitis B. J. Med. Chem. 2020, 63, 10188–10203. [Google Scholar] [CrossRef] [PubMed]
- Asselin, S.M.; Badalov, P.R.; Morrison, H.G.; Regens, C.S.; Vieira, T. Preparation of Solid Forms of (R)-2-[(2-Amino-7-fluoropyrido[3,2-d]pyrimidin-4-yl)amino]-2-methylhexan-1-ol as Toll-Like Receptor Modulators. WO Patent No. 2020214663 A1, 22 October 2020. [Google Scholar]
- Wall, M.; Shim, J.H.; Benkovic, S.J. A multisubstrate adduct inhibitor of AICAR transformylase. J. Med. Chem. 1999, 42, 3421–3424. [Google Scholar] [CrossRef] [PubMed]
- Warren, M.S.; Mattia, K.M.; Marolewski, A.E.; Benkovic, S.J. The transformylase enzymes of de novo purine biosynthesis. Pure Appl. Chem. 1996, 68, 2029–2036. [Google Scholar] [CrossRef]
Publisher’s Note: MDPI stays neutral with regard to jurisdictional claims in published maps and institutional affiliations. |
© 2022 by the authors. Licensee MDPI, Basel, Switzerland. This article is an open access article distributed under the terms and conditions of the Creative Commons Attribution (CC BY) license (https://creativecommons.org/licenses/by/4.0/).