Abstract
This review concerns the synthesis and biological activities of pyrazino[1,2-a]indoles and pyrazino[1,2-a]indol-1-ones reported since 1997 and the discovery of biological activity of pyrazinoindole derivatives. In the first part, we first presented the synthetic routes that have been reported from a methodological point of view to access the pyrazinoindole unit according to cyclization reactions using or not using metal catalysts. Then, syntheses and neuropsychiatric, auto-immune, anti-infectious and anti-cancer properties of pyrazinoindoles were detailed. In the second part, we first reported the main accesses to pyrazinoindol-1-one substrates according to Michael reactions, metal-catalyzed and metal-free cyclization reactions. The syntheses and anti-cancer, anti-infectious, anti-allergenic and neuropsychiatric properties of pyrazinoindolones were next described and discussed.
1. Introduction
The pyrazino[1,2-a]indole unit is a tricyclic aromatic nucleus combining an indole and a pyrazine linked by the N5 and C9a atoms (Figure 1).
Figure 1.
Targets of this review and selection of biologically active tetrahydro-pyrazino[1,2-a]indoles 1a, 2a and dihydro-pyrazino[1,2-a]indol-1-ones 3a, 4a.
The access to this substituted aromatic nucleus has been well studied since 1997 by the chemist community from a synthetic point of view and for its potential in medicinal chemistry [1,2]. In parallel, structural modifications of the pyrazino[1,2-a]indole nucleus showed that (3,4-dihydro)pyrazino[1,2-a]indoles (type A) and (3,4-dihydro)-pyrazino[1,2-a]indol-1-ones (type B) were efficient pharmacophores used in a variety of diseases. To illustrate, 3,4-dihydropyrazinoindoles 1 [3] and 2 [4] (type A) have been showed to be effective at melatonin and adenosine receptors, while 3,4-dihydropyrazinoindol-1-ones 3 [5] and 4 [6] (type B) have been studied for their anti-viral and anti-allergenic activities, respectively. This review, which follows recent papers from our group dealing with the synthesis of indole-fused heterocycles such as pyrido[1,2-a]indoles [7] and oxazino[4,3-a]indoles [8] is divided into two parts. First, we compiled the recent syntheses and biological activities of pyrazinoindoles A and then discussed on the biological properties of pyrazinoindol-1-ones B and on their preparation. It should be noted that patents dealing with this subject have not been mentioned in this review. Each part is preceded by a short introduction dealing with recent synthetic accesses to these types of heterocycles that have not been studied biologically.
2. Pyrazinoindoles A: Synthesis and Biological Properties
2.1. Recent Synthetic Approaches to Variously Substituted Pyrazinoindoles and 3,4-Dihydropyrazinoindoles
The creation of the pyrazino[1,2-a]indole nucleus was mainly achieved by cyclizing indole having various groups (CHO, ketone, imine, nitrile, etc.) on C2 with a nucleophile linked to the indole nitrogen atom, thus creating the pyrazino C-ring (Scheme 1). For example, 2-substituted-1-(prop-2-yn-1-yl)-1H-indoles 5, 7, 9, 11, 13 transformed into pyrazinoindoles 6, 8, 10, 12 and 14 respectively by intramolecular cyclization using NH3 in MeOH, [9,10] DBU under microwave irradiation, [11] AuCl3 [12] as triple bond activator, Ni(OAc)2 in the presence of hydroxylamine [13] or NaH in DMF [14].
Scheme 1.
Synthesis of pyrazinoindoles.
The C-ring of the pyrazino[1,2-a]indole system has been also built by alcoholate promoted cyclization of indolodinitrile compound 15 [15] and by Curtius reaction using Morita–Baylis–Hillman derivatives 17 [16] with good to excellent yields.
The synthesis of variously substituted pyrazinoindoles having a saturated C-ring has been more studied than that of their aromatic counterparts, probably because these compounds offer more functional diversity such as diastereoselective accesses, but mainly because they have shown superior efficacy in medicinal chemistry. Among the simplest reactions described to prepare these compounds was the one proposed by Katritzky, who used a cycloaddition reaction between a N-ethylamine-indole 19 and formaldehyde in the presence of benzotriazole (Bt) (Scheme 2). A subsequent nucleophilic substitution reaction of the benzotriazole gives rise to various N-substituted pyrazinoindoles 20 [17]. N-ethylamine-indoles 19 also reacted, in a complementary approach, with aldehydes and Bt in the presence of Lewis acids to give C1-substituted pyrazinoindoles 21 [18].
Scheme 2.
Synthesis of 1,2,3,4-tetrahydro-pyrazinoindoles.
A Ugi-azide four component approach was recently published to prepare a series of N-substituted pyrazinoindoles 23 having on C1 a substituted tetrazole ring [19]. Leighton et al. proposed highly enantioselective iso-Pictet–Spengler reactions using the condensation of 2-(1H-indol-1-yl)ethanamine 24 with a variety of α-ketoamides, followed by the addition of a commercially available chiral silicon Lewis acid (L*) to give 1,1-disubstituted-tetrahydropyrazino[1,2-a]indoles 25 with good yields (55–90%) and high enantioselectivity (ee = 86–96%) [20]. Guinchard et al. also reported an Au(I)-catalyzed Pictet–Spengler reaction to prepare a variety of complex heterocyclic compounds including tetrahydro-pyrazinoindoles with good yields ranging from 43 to 93% [21]. In 2021, Lacour et al. reported that N-sulfonyltriazoles 26 and imidazolines 27 reacted under rhodium catalysis to give a variety of hexahydro-pyrazinoindoles 28 with excellent yields easily transformed in tetrahydropyrazinoindoles 29 after a welcome rearrangement in triflic acid TfOH [22]. Ghorai et al. reported in 2018 of an elegant synthesis of 1,3-disubstituted 1,2,3,4-tetrahydropyrazino[1,2-a]indoles 32 with excellent stereoselectivity (de, ee >99%) via base-mediated ring opening of chiral aziridines 31 with skatoles 30 followed by BF3-OEt2 catalyzed Pictet–Spengler reaction [23]. Chandra group reported synthesis of di-substituted pyrazinoindol-4-ones 34 with an excellent diastereoselectivity (>99%) via a Pictet–Spengler reaction by mixing 3-substituted-N-acylindoles 33 and aromatic aldehydes in the presence of hexafluoroisopropanol (HFIP) under microwave irradiation [24].
After this overview of recent methodologies giving access to type-A heterocycles, we will now examine the synthesis of biologically active pyrazino[1,2-a]indoles which will be classified by their biological activities.
2.2. Biologically Active Pyrazino[1,2-a]indoles
2.2.1. Neuropsychiatric Properties
Bos et al., in a program dedicated to the discovery of novel drugs for the treatment of neuropsychiatric disorders, synthesized a variety of pyrazino[1,2-a]indoles 36a–f which were found as partial agonist ligands at the 5HT2C receptor (Scheme 3) [25].
Scheme 3.
Synthesis of tetrahydro-pyrazinoindoles 36 and their binding data at the 5HT2C receptor subtype.
Pyrazinoindole derivatives 36a–f were prepared according to a N-alkylation/cyclization/reduction sequence of indoles 35 having an ester function on C2 [25]. Pyrazinoindoles 36 were found to be partial agonists at the 5HT2C receptor subtype binding with a higher affinity than for 5HT2A receptors. Best affinities for 5HT2C receptor were observed for 10-methoxy-pyrazinoindoles having on 6, 7, 8 or 9-position of the A-ring bulky atoms (F < Me < Cl < Br). In animals, 36d showed a 30-fold selectivity for 5HT2C receptors compared to 5HT2A receptors and an only 3-fold selectivity compared to 5HT1A receptors. In vivo results (rats and monkeys) also demonstrated that pyrazinoindole 36d had a promising therapeutic potential for the treatment of various psychiatric disorders, such as obsessive-compulsive disorders, panic anxiety or depression.
Imidazoline receptors exist in two forms, I1 and I2, for which there are very few ligands that are selective for one of the two forms. As a result, it is very difficult to assign a well-defined role to them even though I2 receptors have been described as involved in a variety of CNS disorders. Tetrahydro-pyrazinoindoles 37a–c were evaluated by Glennon group for their potential as I2 imidazoline receptor ligands [26] due to their resemblance to β-carbolines [27] and imidazo-pyridoindoles (Figure 2) [28].
Figure 2.
Tetrahydro-pyrazinoindoles 37 and their binding data at I2 and α-adrenergic receptors.
Remarkably, 8-methoxypyrazinoindole 37c binds to I2 receptors with high affinity (Ki = 6.2 nM) and has a 1500-fold selectivity for I2 receptors compared to α2-adrenergic receptors (Ki = 9550 nM) and a 1000-fold selectivity for I1 receptors. A similar high selectivity for 37c was also observed towards I2 receptors compared to serotonin 5HT2A and 5HT2C receptors.
Zlotos et al. synthesized a series of C1-substituted tetrahydro-pyrazinoindoles 1 and 39 as novel potent melatoninergic ligands from 38 in 4 steps (Scheme 4) [3].
Scheme 4.
Synthesis of tetrahydro-pyrazinoindoles 1 and 39.
The affinity of pyrazinoindoles 1, 39a,b for human MT1 and MT2 melatonin receptors in Chinese Hamster Ovary (CHO) cells was measured by competition binding analysis using 2-[125I]-iodomelatonin. The most active compound 39a was found to be an interesting ligand for MT1 and MT2 receptors with excellent affinity, but with no subtype selectivity (MT1: Ki = 6.6 nM; MT2: Ki = 6.9 nM, respectively). This tetrahydro-pyrazinoindole compound was found to be a partial agonist at MT1 receptors and possessed no intrinsic activity at MT2 receptors. It is noteworthy that the treatment of pyrazinoindole 7 (R = H) with MeI gave the corresponding N-dimethyliodonium salt which was found to displace [3H]-cytisine from the nicotinic binding sites on rat cerebral cortex and was revealed to be a nicotinic agonist ligand [29].
2.2.2. Auto-Immune Properties
Among the C1-substituted pyrazinoindoles, we can cite the work of Buzard et al. who prepared a series of C3-tetrahydro-pyrazinoindoles 42 from the same precursor 41 resulting from an intramolecular Michael reaction carried out on mesylate 40 in the presence of NH3 (Scheme 5) [30]. In a previous work, Buzard et al. showed that some cyclopenta[b]indoles were very potent agonists of the sphingosine 1-phosphate (S1P1) receptor that could be used for the treatment of certain autoimmune diseases [31]. Due to the structural resemblance to these indoles, a series of tricyclic analogues (pyridoindoles, oxazinoindoles and pyrazinoindoles) were designed, synthesized, and evaluated. Pyridoindoles proved to be the most promising compounds in this series of fused-indole compounds, even if pyrazinoindoles 42a–d, prepared from 41 in four steps (N-Boc protection, O-debenzylation, O-functionalization with various benzyl chlorides and t-Butylester hydrolysis) showed interesting activities as S1P1 receptor agonists with nanomolar EC50 values. For the treatment of autoimmune disease as rheumatoid arthritis, Hill et al. synthesized a pyrazinoindole derivative having on C10 a substituted maleimide nucleus which was unfortunately found to be poorly active as protein kinase C inhibitor (IC50 = 540 nM) [32].
Scheme 5.
Synthesis of tetrahydro-pyrazinoindole 41 and human S1P1 cAMP EC50 values of derivatives 42a–d.
2.2.3. Anti-Bacterial and Anti-Fungal Properties
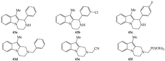
A series of 15 pyrazinoindoles 43 were prepared according to Refs. [17,18] (see Scheme 2) by Verma group and evaluated for their anti-bacterial properties (Table 1) [33]. The in vitro antibacterial activity was evaluated by disc diffusion assay (DDA) using pathogenic strains of Staphylococcus aureus, Salmonella typhi, Streptomyces thermonitrificans, Pseudomonas aeruginosa and Escherichia coli. It was demonstrated that 43a was only active on P. aeruginosa and, similarly, a significant activity on P. aeruginosa and S. thermonitrificans was noticed with 43b. Pyrazinoindoles 43c–e were found to be active against all tested strains but with a relatively modest efficacy when compared with gentamycin. From these results, it seems that the presence of substituents on the nitrogen atom of pyrazinoindoles is deleterious for a satisfactory anti-bacterial activity. Pyrazinoindoles having an aromatic C-ring were not active against all tested strains.
Table 1.
Anti-bacterial properties of tetrahydro-pyrazinoindoles 43a–f.
Tetrahydro-pyrazinoindoles 43 were also evaluated for their anti-fungal activity against Aspergillus flavus, Aspergillus fumigatus, Aspergillus. niger and Candida albicans (Table 2) [34]. The anti-Aspergillus activity was evaluated by disc diffusion assay (DDA) and the anti-Candida activity was investigated by microbroth dilution assay. The more active tetrahydro-pyrazinoindoles 43 presented in Table 2 displayed a mild to moderate anti-fungal activity, even if these pyrazinoindoles were found to be, in vitro, less cytotoxic than Amphotericin B when used at high concentrations. SARs with compounds 43 were similar for both anti-bacterial and anti-fungal activities.
Table 2.
Anti-fungal properties of tetrahydro-pyrazinoindoles 43g–I and 43c.
2.2.4. Anti-Arrhythmic, Anti-Lipolytic, Neuro- and Cardio-Protective Properties
In a program dedicated to the discovery of ligands able to activate the A1AR adenosine receptor, Romagnoli et al. proposed some derivatizations on PD81,723, an allosteric modulator acting at the A1AR receptor, enhancing the functional effects of adenosine receptor subtype (Scheme 6) [4].
Scheme 6.
Synthesis of tetrahydro-pyrazinoindoles 2, 46a–c and effect in cAMP assay in hA1CHO cells.
Thus, pyrazinoindoles 2, 46a–d were synthesized from dibromothiophene 45 and 8-substituted pyrazinoindoles 44 in 3 steps (SN2 reaction, debromination, phthalimide hydrolysis). Pyrazinoindoles 2, 46a–c were next evaluated in a functional assay for their ability to inhibit forskolin stimulated cAMP production via the hA1-AR in intact Chinese hamster ovary (CHO) cells. The four pyrazinoindoles 2, 46a–c were found to be significantly more active than the reference PD 81,723. The best compound 8-fluorated pyrazinoindole 46a inhibited the percentage of cAMP production by 69% vs. 18% for PD 81,723. It was also shown that these derivatives significantly inhibited antagonist binding at the hA1AR, hA2AR or hA3AR receptors.
2.2.5. Anti-Cancer Properties
Romagnoli et al. studied in 2009 the antiproliferative properties of a series of pyrazinoindoles 17 which were prepared from the reduction/cyclization of N-cyanomethyl derivatives 47 followed by an oxidation reaction using MnO2 (Scheme 7) [35].
Scheme 7.
Synthesis and anti-cancer properties of a selection of pyrazinoindoles 49a–c.
It was shown that pyrazinoindole 49a was the more cytotoxic derivative against human leukemia K562 cancer cells with a promising IC50 value of 0.07 μM. However, this strong cytotoxicity was not observed in other cell lines such as murine leukemia (L1210), murine mammary carcinoma (FM3A), human T-lymphoblastoid (Molt/4 and CEM) and human cervical carcinoma (HeLa) cells with IC50 values superior to 20 μM.
In view of preparing pyrazinoindoles 51 as anti-cancer agents, Kumar et al. mixed N-propargyl indoles 50 having an aldehyde function on C2 with (2-aminophenyl)methanol derivatives in the presence of a catalytic amount of AgNO3 (Scheme 8) [36]. After the reaction of δ-alkynyl aldehydes and nucleophilic anilines, the alcohol function adds on the imine thus creating a second bond (C-O). The third bond creation (C-N) of this process occurs with the nitrogen atom of the imine which reacts with the alkyne triple bond activated by AgNO3 in a 6-exo-dig manner (76–84%).
Scheme 8.
Synthesis of pyrazinoindoles 51 and their IC50 values against three human cancer cell lines.
Pyrazinoindoles 51 were next evaluated against 3 cancer cell lines (K562 leukemia cells, BT-474 human breast cells; MCF-7 breast cancer cells). As it can be seen in Scheme 8, the more cytotoxic compound was 51a against K562 and BT-474 cancer cells. This pyrazinoindole was significantly more active than 4OH-tamoxifene, used as reference compound, against K562 and BT-474 cells but displayed a lower IC50 value against MCF-7 cancer cells. This result is interesting as 51a exhibited maximum cytotoxicity in p53-deficient cell lines K562 and BT-474 cells but not in p53 wildtype MCF-7 cells. It would certainly be interesting to perform SARs on these structures and to evaluate them on a panel of human cancer lines resistant to the usual treatments.
After discussing the syntheses of pyrazinoindoles of type A and their biological activities, we will now detail the access to pyrazinoindol-1-ones B which have been more studied than pyrazinoindoles, probably because they are active on a larger number of biological targets.
3. Pyrazinoindol-1-Ones B: Synthesis and Biological Properties
3.1. Recent Synthetic Approaches to Variously Substituted Pyrazinoindol-1-Ones of Type B
One of the easiest methods to prepare tetrahydro-pyrazinoindol-1-one derivatives 54 was proposed by Chen and Xiao group in 2011 [37]. In the presence of vinylsulfonium salt 53, the authors showed that variety of (1H-indol-2-yl)methanols were transformed with high yields into corresponding oxazinoindoles usable in medicinal chemistry [38]. It was next demonstrated that this easy-to-implement process was efficiently transposed to the synthesis of tetrahydro-pyrazinoindoles 54a,b by replacing (1H-indol-2-yl)methanols, as nucleophiles, by indole-2-carboxamides 52a,b (Scheme 9). The reaction proceeds via a Michael addition of the indole nitrogen anion on the electrophilic sulfonium salt followed by a SN2 substitution of the amide group, after prototropy, to give the expected pyrazino[1,2-a]indol-1-ones 54a,b in excellent yields together with Ph2S.
Scheme 9.
Synthesis of pyrazinoindolones 54a,b.
The Michael reaction was also applied few years after by Bagnoli et al. under same conditions using secondary amides and vinylselenones (Scheme 10) [39].
Scheme 10.
Synthesis of pyrazinoindolones 61 and selected examples.
As it can be seen with 61a and 61b, electron-donating and electron-withdrawing groups are welcome on the indole nucleus. It should be noticed that pyrazinoindoles having on C4 alkyl substituents (hexyl, butyl, methyl) were obtained in moderate to good yields (40–70%, e.g., 61d 50%), probably due to steric hindrance considerations. Lastly, the reactivity of primary amides with vinylselenones was not studied under these conditions in this work.
Another aza-Michael version was proposed by the team of Bandini and Umani-Ronchi who considered the intramolecular cyclization of compounds 62 to give pyrazinoindol-1-ones 63 (Scheme 11) [40].
Scheme 11.
Synthesis of pyrazinoindolones 63 and selected examples.
After a base and solvent screening study, it was demonstrated that the best combination is usage of K2CO3 (10 mol%) and DMSO as the solvent. Electron-donating and electron-withdrawing substituents on the indole led to desired pyrazinoindoles with comparable yields. The presence of aromatic substituents (phenyl, naphtyl) on the C3 position of indoles 62 did not affect the outcome of the cyclization reaction (e.g., 63d 80%). Finally, enantiometric pure acrylate containing a (S)-phenylethylamine unit gave the expected pyrazinoindole 63c in a good yield but with a modest diastereoselectivity.
In addition to Michael addition reactions giving access to pyrazinoindolones, methods using catalytic amounts of organopalladium catalyst have been described to prepare these substrates. For example, the group of Broggini studied the cyclization reactions of a variety of indoylallylamines 64 in the presence of PdCl2(MeCN)2 and CuCl2 [41] to produce pyrazinoindolones 66 or with Pd(OAc)2, Na2CO3, and Bu4NCl to give pyrazinoindolones 65 [42] (Scheme 12).
Scheme 12.
Synthesis of pyrazinoindolones 65 and 66 and selected examples.
The reaction producing 66 starts by the halogenation of the indoyl C3-position by CuX2 without involvement of the palladium catalyst. Then, an amino-palladation of the olefins π-bond occurs followed by a chlorine transfer on the Pd-species to give pyrazinoindolones 66 rather than β-hydride elimination products. This domino process, which allows the synthesis of di-halogenated pyrazinoindolones in very good yields, seems to be very suitable for the synthesis of complex and functionalized pyrazinoindolones. Broggini et al. also reported the synthesis of pyrazinoindolones 68 by using palladium-catalyzed cyclization of N-allylindoles 67 in the presence of Pd(OAc)2 as catalyst, Na2CO3 as base, benzoquinone as oxidant, and tetra-butyl ammonium chloride as additive in DMF (Scheme 13) [43].
Scheme 13.
Synthesis of pyrazinoindolones 68 and selected examples.
Wolfe et al. proposed later an extension of this amino-palladation method by adding aromatic bromides to the re-examined reaction medium (Scheme 14) [44]. In this process, the catalytic cycle is initiated by oxidative addition of the Ar-Br on Pd(0) and, the resulting Pd(II) species coordinated the alkene double bond. After deprotonation of the amide, an amino-palladation occurred to give, after reductive elimination, 70 and regeneration of the Pd(0) catalyst.
Scheme 14.
Synthesis of pyrazinoindolones 70 and selected examples.
Laliberté et al. prepared a series of pyrazinoindolones 73 with good yields arising from the Pd-coupling reaction between indole-hydroxamates 71 and electrophilic (Z)-but-2-ene (1,4-biscarbonate) 72 (Scheme 15) [45].
Scheme 15.
Synthesis of pyrazinoindolones 73 and selected examples.
Electron-rich and electron-poor substituents are well tolerated at each position of the indole ring and gave the expected pyrazinoindoles in comparable yields. The R1 substituent of the hydroxamate was studied and when R1 = Bn, i-Pr, and t-Bu, the pyrazinoindolones were obtained in 72–81% yields, whereas with R1 = Me, the reaction is somewhat less efficient (58%). It would be interesting to study a chiral version of this reaction using suitable ligands to observe their effects on enantioselectivity.
A chiral elegant access to various nitrogen-containing heterocycles was proposed by B. Trost during the transformation of vinyl aziridines with indoles and pyrroles (Scheme 16) [46]. Among the heterocycles evaluated as nucleophiles (pyrroles and indoles) in the presence of vinyl aziridines, it was showed that the use of Pd2(dba)3⋅CHCl3 with the chiral ligand L* in dichloroethane (DCE) provided access to the N-alkylation products in excellent yields and enantiomeric excesses in a regioselective manner. When these experimental conditions were applied to indolyl-methylcarboxylate 74 in the presence of vinylaziridines 75a,b, pyrazinoindolones 76a,b were obtained in good yields with excellent enantiomeric excess after opening of the aziridine followed by cyclization.
Scheme 16.
Synthesis of optically active pyrazinoindolones 34a,b.
A single example of gold-promoted cyclization of N-propargylamidolindole 76 giving pyrazinoindolone 78a was proposed by A. Padwa (Scheme 17) [47]. In this reaction, the gold-catalyst (5 mol%) first activates the alkyne triple bond which is then attacked by the nucleophilic amide group. An additional hydration of the other triple bond could occur by re-using the gold-catalyst, to promote pyrazinoindolone 78a. It should be noted that it is also possible to access with low yields to N-substituted-3-methyl derivatives 78b–d by mixing N-propargyl-indole-2-carbaldehyde 77 in the presence of amines (MeNH2, BnNH2 and hexNH2) as nucleophiles and Cs2CO3 as a base without the need of any metal. The mechanism of this cyclization was discussed in detail by the authors [48].
Scheme 17.
Synthesis of pyrazinoindolone 78a–d.
The last example of this section concerns the synthesis of pyrazinoindolones 80 obtained in two steps from an Ugi condensation followed by a base-mediated cyclization on Ugi intermediates 79 (Scheme 18) [49].
Scheme 18.
Synthesis of pyrazinoindolones 80 and selected examples.
After this overview of the synthetic routes to pyrazinoindolones published from a methodological point of view, we will now list the main accesses to biologically active pyrazinoindolones.
3.2. Biologically Active Pyrazino[1,2-a]indol-1-ones
3.2.1. Anti-Cancer Properties
MAPK-activated protein kinase 2 (MAPK2), a serine/threonine-protein kinase known as the best understood downstream partner of p38 MAP kinase play an essential role in signal transduction pathways involved in cell proliferation, differentiation, and death. To prepare a series of MAPK Activated Protein Kinase 2 (MAPK2) inhibitors, Goldberg et al. used reductive conditions (H2/PtO2 or CoCl2/NaBH4) to indoyl-1-cyanomethyl derivatives 81 to afford, after cyclization, pyrazinoindolone platforms 82 (Scheme 19) [50]. Chemical modifications of the ethylester (3 steps) led to a series of twenty pyrazinoindolones 83 which were evaluated as MAPK2 inhibitors and best compounds are presented in Scheme 19. Pyrazinoindolones 83a and 83b were found to provide best combination of molecular, cellular, and physicochemical properties with nanomolar IC50 values. Pyrazinoindolone 83b was also found to have a negligible effect on a wide range of other kinases, showing selectivity, and its efficacy was also demonstrated through various in vitro and in vivo tests.
Scheme 19.
Synthesis of pyrazinoindolones 83 as MAPK2 inhibitors.
To counteract the deleterious effects of free radicals on DNA, which cause cancers, Bukhari et al. recently prepared and evaluated a small library of pyrazinoindoles 85 having on C3 benzyl substituents (Scheme 20) [51]. Pyrazinoindolones 85 which were found to be nontoxic against human mammary gland epithelial cells displayed a micromolar level of cytotoxicity against PC-3 prostate cancer cells, MCF-7 breast cancer cells, PaCa-2 pancreatic carcinoma cells, A-549 epithelial cancer cells and HT-29 colon cancer cells. It was shown that 85a–c exhibited a low influence on tubulin assembly but inhibited EGFR with IC50 values from 1.7 to 3.9 μM. These compounds were also found to be inhibitors of reactive oxygen species (ROS) and showed noticeable antioxidant activity. Histopathological and immunohistochemical studies showed that, when chlorpyrifos, a ROS enhancer, was associated to pyrazinoindolone 85b on the testis of male mice, testicular damage was significantly decreased.
Scheme 20.
Synthesis and evaluation of pyrazinoindolones 85 as anti-cancer agents.
Kwak group synthesized a wide range of enantiopure (R)- and (S)-3-substituted pyrazinoindolones 88 from an intramolecular Mitsunobu cyclization of 86 using DEAD, PPh3 in THF (Scheme 21) [52].
Scheme 21.
Synthesis and evaluation of optically active 3-substituted pyrazinoindolones 88.
Compounds 88 were evaluated for their anti-proliferative activity on MCF-7 breast cancer cells and on triple negative MDA-MB-468 breast cancer cells. It was showed that the stereochemistry on C3 has not a significant impact on the cytotoxicity. Interestingly, it was observed that the most cytotoxic compounds 88a–c presented in Scheme 21 were more effective than the reference compound gefinitib. Furthermore, when 88b was combined with gefinitib, a synergistic effect was observed, and the level of cytotoxicity was increased in the MDA-MB-468 cell line. Using Western blot analysis, the authors confirmed that best pyrazinoindolones inhibited phosphorylation of Akt signaling pathway in the MDA-MB-468 cell line.
In a work dedicated on the synthesis of Longamide B analogs, Fujimoto et al. prepared and evaluated C4-substituted pyrazinoindolone 90 as a potential inhibitor of indoleamine 2,3-dioxygenase 1 (IDO1, an enzyme overexpressed in certain cancers such as colon and stomach cancers (Scheme 22) [53].
Scheme 22.
Synthesis and evaluation of optically active pyrazinoindolone 48.
Compound 90 resulted from a nucleophilic reaction of methyl indole-carboxylate on 89 followed by protecting group removal and cyclization (80%; overall yield). The IDO1 inhibitory activity was evaluated at a concentration of 1 mM but, unfortunately, pyrazinoindolone 90 showed a poor IDO1 inhibitory activity (20%).
Boger et al. serendipitously prepared symmetrical diketopiperazine 92 by reacting indole-2-carboxylic acid 49 with 1-ethyl-3-(3-dimethylaminopropyl)carbodiimide (EDCI) in DMAP (Scheme 23) [54]. After Boc-deprotection of 92, a series of lactam derivatives was synthesized and evaluated against a mouse lymphocytic leukemia cell line (L1210) and the best compound 93a was found to be highly cytotoxic with a IC50 value of 34 nM.
Scheme 23.
Synthesis and cytotoxic properties of symmetrical and unsymmetrical diketopiperazines 95 and 95.
A few years later from the above-mentioned study, Montalbano et al., with the same reaction conditions, has synthesized various unsymmetrical diketopiperazines 95 with variable yields. Unfortunately, these derivatives exhibited modest cytotoxicity against a panel of 60 human cancer cell lines [55]. The group of Vigusin and Moody also prepared various pyrazinoindole-1,4-diones as gliotoxin analogues from the reaction of indole-2-carboxylic acid with sarcosine ethyl ester hydrochloride in the presence of EDCI (Scheme not shown). Unfortunately, pyrazinoindole-dione [56] compounds were found to be poorly active as inhibitors of farnesyltransferase (FTase) and geranylgeranyltransferase (GGTase I) [57].
Diketopiperazines have been isolated as secondary metabolites from the marine fungus Neosartorya pseudofischeri (Scheme 24) [58]. Of the five pyrazinoindole-diones isolated, only compound 97 was found to be cytotoxic against the human colon cancer lines HCT116 and RKO with IC50 values of 10 and 33 μM, respectively. Moreover, 97 was found to possess anti-bacterial activity and inhibited the growth of Staphylococcus aureus ATCC29213 and R3708 with MIC values of 283 and 70 μM.
Scheme 24.
Secondary metabolites 96–98 from the marine fungus Neosartorya pseudofischeri.
3.2.2. Anti-Infectious Properties
Zoidis et al., in a program dedicated to the synthesis of novel indole-flutimide having activity against influenza PA endonuclease and Hepatitis C virus, prepared and evaluated five novel N-hydroxyimides 102 (Scheme 25) [59]. Intermediate O-benzyl-compounds 101 were easily obtained from the condensation of indoles 99 with O-benzyl hydroxylamine 100 in the presence of HOBt and EDCI. The authors demonstrated that incorporating the 2,6-diketopiperazine moiety of flutamide into the pharmacophore ring of indole, the resulting hydroxyimides 102 displayed potent inhibitory against influenza PA endonuclease with micromolar IC50 values. Compound 102a was found to be as potent as 2,4-dioxo-4-phenylbutanoic acid (DPBA), a known PAN inhibitor used as reference. Interestingly, hydroxyimide 102c showed notable anti-hepatitis C virus (HCV) activity (EC50 = 10.5 µM) in Huh5-2 cell line harboring the firefly luciferase-expressing subgenomic replicon of the HCV genotype 1b Con1 strain. These compounds were next evaluated by Tavis group as possible inhibitors of Hepatitis B virus but, unfortunately, were found to be ineffective [60].
Scheme 25.
Synthesis and evaluation of a selection of hydroxyimides 102 as antiviral compounds.
In 2005, Ivachtchenko and co-workers proposed an efficient three-component synthesis of 3-substituted pyrazinoindoles from a Ugi condensation of ketoacids with anilines and isonitriles [61]. This protocol was used a few years later by Yokokawa group in a program dedicated to the synthesis of dengue inhibitors, to prepare pyrazinoindolone 3 using ketoacid 103 with 3-thiomethylaniline 104 and isocyanide 105 (Scheme 26) [5].
Scheme 26.
Synthesis of a dengue inhibitor 3.
After a chiral separation, each enantiomer of 3 were evaluated separately in an A549 cell-based flavivirus immunodetection (CFI) assay. A marked difference in EC50 values was observed between the (3R) and (3S) enantiomers highlighting the importance of chirality in compound 3 for this type of tropical disease. In all DENV 1–4 serotypes, (3S)-3 was found to display very low EC50 values ranging from 0.01 to 0.09 μM and was found to be up to 50 times more effective than the (3R)-enantiomer.
3.2.3. Neuropsychiatric Properties
One of the oldest examples of biologically active pyrazinoindolone derivatives was reported in 1994 by Mokrosz et al. who synthetized a series of new antagonist ligands of 5-HT1A-, 5-HT2-, and D2-receptors (Scheme 27) [62].
Scheme 27.
Synthesis of 108a,b as 5-HT1A and 5-HT2 ligands.
A SN2 reaction between 3,4-dihydropyrazino[1,2-a]indol-1(2H)-one 106 and 1-aryl-4-chloropropylpiperazines 107 gave a rapid access to 108a and 108b with good yields (77% and 93%, respectively). As shown, pyrazinoindolones 108a and 108b displayed good affinities for 5-HT1A receptor with Ki values of 15 and 40 nM. It was also shown that 108a had a better affinity than 63b on 5-HT2 receptor. However, compound 108a did not show significant selectivity for 5-HT1A/5-HT2, and chemical transformations could perhaps overcome this problem. A decade after, Campiani et al. re-studied effects of pyrazinoindolone 108b on a variety of D1-3 dopamine, 5-HT1A serotonin, and alpha-noradrenaline receptor subtypes [63]. It was demonstrated that 108b showed D3 receptor sub-nanomolar affinity (KiD3 = 0.87 nM) with an excellent D2/D3 affinity ratio of 52 and a good D1/D3 affinity of 1801. This study demonstrated that pyrazinoindolone 108b represented a very promising lead for the generation of novel D2/D3 receptor ligands potentially active against cocaine craving.
3.2.4. Anti-Allergenic Properties
The last example of this review concerns the synthesis and the biological properties of a series of substituted pyrazinoindolones 4 and 112 which were evaluated as histamine H3 receptor inverse agonists (Scheme 28) [6].
Scheme 28.
Synthesis of pyrazinoindolones 4, 112, and affinity over histamine H3 receptor subtype.
Alkylation of 5-benzyloxy-1H-indole-2-carboxylic acid ethyl ester 109 with various 2,2-dioxo[1–3]oxathiazolidine-3-carboxylic acid tert-butyl esters 110 gave pyrazinoindolones 111 in high yields. In case of chiral 5-substituted sulfamidates 110, the alkylation reaction proceeded under inversion of configuration with an enantiomeric excess of more than 98% ee. After adequate transformations (O-debenzylation followed by Mitsonobu reaction), all compounds were tested in a functional GTPgS assay and were characterized as potent full inverse agonists at the human H3 receptor (hH3-R) with Ki values at a nanomolar level. It was shown that the introduction of a methyl substituent was interesting on C3 rather than on C4, and the 3-Me (S) analogue 112a displayed highest affinity with its enantiomer 112b. In general, most compounds 112 which showed moderate affinity against hH2 and hH4 receptors were selective against hH3 receptor subtype. Oral administration in rat showed that compound 4 was tolerated with no significant side-effects, was well absorbed, and penetrated in brain successfully.
4. Conclusions
In conclusion, it appears that the synthesis of pyrazinoindolones seems easier than that of their pyrazinoindole counterparts, probably because indole precursors bearing on C2 amides, esters or acid groups 2 are abundant and commercially available. Figure 3 highlights the various biological properties of tetrahydro-pyrazinoindoles, such as anti-fungal, anti-bacterial, anti-cancer, anti-arrhythmia, and others.
Figure 3.
Overview of tetrahydro-pyrazino[1,2-a]indoles having biological properties.
It would certainly be interesting to develop asymmetric pathways allowing access to C1-, C3- or C4-substituted compounds in an enantioselective manner to test their affinity and selectivity for the considered target(s).
For pyrazinoindol-1-one derivatives whose biological activities are grouped in Figure 4, some of these compounds with an extremely simple chemical structure have been shown to be biologically very active, especially as anti-cancer agents with nanomolar level of cytotoxicity.
Figure 4.
Overview of pyrazino[1,2-a]indol-1-ones having biological properties.
We now hope that all the observations reported in this review could open very interesting perspectives in medicinal chemistry (anti-cancer, anti-infectious, anti-allergenic, and others). These outlooks will quickly incite medicinal chemists to design new effective and selective ligands based on these types of chemical structures.
Author Contributions
Conceptualization, O.P.; writing—original draft preparation, O.P., C.T., and A.H.; writing review and editing, O.P., M.A., and A.H.; bibliography, O.P. and K.Z. All authors have read and agreed to the published version of the manuscript.
Funding
This research received no external funding.
Institutional Review Board Statement
Not applicable.
Informed Consent Statement
Not applicable.
Data Availability Statement
Data sharing not applicable.
Acknowledgments
The authors gratefully acknowledge support of this project by CNRS and Université Paris-Saclay. Kena Zhang thanks the CSC (Chinese Scholarship Council) for a Ph.D. funding.
Conflicts of Interest
The authors declare no conflict of interest.
References
- Singh, A.; Mahapatra, S.; Sewariya, S.; Singh, N.; Singh, S.; Kumar, Y.; Bandichhor, R.; Chandra, R. A mini-review on the synthesis of pyrazinoindole: Recent progress and perspectives. Mini Rev. Org. Chem. 2021, 18, 504–514. [Google Scholar] [CrossRef]
- Sokolova, E.A.; Festa, A.A. Synthesis of pyrazino[1,2-a] indoles and indolo [1,2-a] quinoxalines (microreview). Chem. Heterocycl. Comp. 2016, 52, 219–221. [Google Scholar] [CrossRef]
- Markl, C.; Attia, M.I.; Julius, J.; Sehti, S.; Witt-Enderby, P.A.; Zlotos, D.P. Synthesis and pharmacological evaluation of 1,2,3,4-tetrahydropyrazino[1,2-a] indole and 2-[(phenylmethylamino)methyl]-1H-indole analogues as novel melatoninergic ligands. Bioorg. Med. Chem. 2009, 17, 4583–4594. [Google Scholar] [CrossRef] [PubMed]
- Romagnoli, R.; Baraldi, P.G.; Carrion, M.D.; Cara, C.L.; Salvador, M.K.; Preti, D.; Tabrizi, M.A.; Moorman, A.R.; Vincenzi, F.; Borea, P.A.; et al. Synthesis and biological effects of novel 2-amino-3-(4-chlorobenzoyl)-4-substituted thiophenes as allosteric enhancers of the A1 adenosine receptor. Eur. J. Med. Chem. 2013, 67, 409–427. [Google Scholar] [CrossRef] [PubMed]
- Kounde, C.S.; Yeo, H.Q.; Wang, Q.Y.; Wan, K.F.; Dong, H.; Karuna, R.; Dix, I.; Wagner, T.; Zou, B.; Simon, O. Discovery of 2-oxopiperazine dengue inhibitors by scaffold morphing of a phenotypic high-throughput screening hit. Bioorg. Med. Chem. Lett. 2017, 27, 1385–1389. [Google Scholar] [CrossRef] [PubMed]
- Richter, H.G.F.; Freichel, C.; Huwyler, J.; Nakagawa, T.; Nettekoven, M.; Plancher, J.-M.; Raab, S.; Roche, O.; Schuler, F.; Taylor, S.; et al. Discovery of potent and selective histamine H3 receptor inverse agonists based on the 3,4-dihydro-2H-pyrazino[1,2-a] indol-1-one scaffold. Bioorg. Med. Chem. Lett. 2010, 20, 5713–5717. [Google Scholar] [CrossRef]
- Yao, Y.; Alami, M.; Hamze, A.; Provot, O. Recent advances in the synthesis of pyrido[1,2-a] indoles. Org. Biomol. Chem. 2021, 19, 3509–3526. [Google Scholar] [CrossRef]
- Pecnard, S.; Hamze, A.; Pozzo, J.-L.; Alami, M.; Provot, O. Synthesis of oxazino[4,3-a] indoles and their applications. Eur. J. Med. Chem. 2021, 224, 113728. [Google Scholar] [CrossRef]
- Abbiati, G.; Arcadi, A.; Beccalli, E.; Rossi, E. Novel intramolecular cyclization of N-alkynyl heterocycles containing proximate nucleophiles. Tetrahedron Lett. 2003, 44, 5331–5334. [Google Scholar] [CrossRef]
- Abbiati, G.; Arcadi, A.; Bellinazzi, A.; Beccalli, E.; Rossi, E.; Zanzola, S. Intramolecular cyclization of δ-iminoacetylenes: A new entry to pyrazino[1,2-a] indoles. J. Org. Chem. 2005, 70, 4088–4095. [Google Scholar] [CrossRef]
- Festa, A.A.; Zalte, R.R.; Golantsov, N.E.; Varlamov, A.V.; Van der Eycken, E.V.; Voskressensky, L.G. DBU-catalyzed alkyne—Imidate cyclization toward 1-alkoxypyrazino[1,2-a] indole synthesis. J. Org. Chem. 2018, 83, 9305–9311. [Google Scholar] [CrossRef]
- Guven, S.; Ozer, M.S.; Kaya, S.; Menges, N.; Balci, M. Gold-catalyzed oxime–oxime rearrangement. Org. Lett. 2015, 17, 2660–2663. [Google Scholar] [CrossRef] [PubMed]
- Bi, H.Y.; Du, M.; Pan, C.X.; Xiao, Y.; Su, G.F.; Mo, D.L. Nickel(II)-catalyzed [5 + 1] annulation of 2-carbonyl-1-propargylindoles with hydroxylamine to synthesize pyrazino[1,2-a] indole-2-oxides in water. J. Org. Chem. 2019, 84, 9859–9868. [Google Scholar] [CrossRef]
- Basceken, S. Kaya, S.; Balci, M. Intramolecular gold-catalyzed and NaH-supported cyclization reactions of N-propargyl indole derivatives with pyrazole and pyrrole rings: Synthesis of pyrazolodiazepinoindole, pyrazolopyrazinoindole, and pyrrolopyrazinoindole. J. Org. Chem. 2015, 80, 12552–12561. [Google Scholar] [CrossRef] [PubMed]
- Festa, A.A.; Golantsov, N.E.; Storozhenko, O.A.; Shumsky, A.N.; Varlamov, A.V.; Voskressensky, L.G. Alcohol-initiated dinitrile cyclization in basic media: A route toward pyrazino [1,2-a] indole-3-amines. Synlett 2018, 29, 898–903. [Google Scholar]
- Nayak, M.; Pandey, G.; Batra, S. Synthesis of pyrrolo[1,2-a] pyrazines and pyrazino[1,2-a] indoles by curtius reaction in morita–baylis–hillman derivatives. Tetrahedron 2011, 67, 7563–7569. [Google Scholar] [CrossRef]
- Katritzky, A.R.; Verma, A.K.; He, H.Y.; Chandra, R. Novel synthesis of 1,2,3,4-tetrahydropyrazino[1,2-a] indoles. J. Org. Chem. 2003, 68, 4938–4940. [Google Scholar] [CrossRef]
- Tiwari, R.K.; Singh, J.; Singh, D.; Verma, A.K.; Chandra, R. Highly efficient one-pot synthesis of 1-substituted-1,2,3,4-tetrahydropyrazino [1,2-a] indoles. Tetrahedron 2005, 61, 9513–9518. [Google Scholar] [CrossRef]
- Salahi, S.; Ghandi, M.; Abbasi, A. An efficient ugi-azide four-component approach for the preparation of novel 1-(1H-tetrazol-5-yl)-10-chloro-1,2,3,4-tetrahydropyrazino[1,2-a] indoles. J. Heterocyclic Chem. 2019, 56, 1296–1305. [Google Scholar] [CrossRef]
- Schönherr, H.; Leighton, J.L. Direct and highly enantioselective iso-pictet-spengler reactions with α-ketoamides: Access to underexplored indole core structures. Org. Lett. 2012, 14, 2610–2613. [Google Scholar] [CrossRef]
- Milcendeau, P.; Zhang, Z.; Glinsky-Olivier, N.; van Elslande, E.; Guinchard, X. Au(I)-catalyzed pictet-spengler reactions all around the indole ring. J. Org. Chem. 2021, 86, 6406–6422. [Google Scholar] [CrossRef]
- Guarnieri-Ibáňez, A.; de Aguirre, A.; Besnard, C.; Poblador-Bahamonde, A.I.; Lacour, J. Regiodivergent synthesis of pyrazino-indolines vs. triazocines via α-imino carbenes addition to imidazolidines. Chem. Sci. 2021, 12, 1479–1485. [Google Scholar] [CrossRef]
- Wani, I.A.; Das, S.; Mondal, S.; Ghorai, M.K. Stereoselective construction of pyrazinoindoles and oxazinoindoles via ring-opening/pictet-spengler reaction of aziridines and epoxides with 3-methylindoles and carbonyls. J. Org. Chem. 2018, 83, 14553–14567. [Google Scholar] [CrossRef]
- Singh, A.; Singh, S.; Sewariya, S.; Singh, N.; Singh, P.; Kumar, A.; Bandichhor, R.; Chandra, R. Stereospecific N-acylation of indoles and corresponding microwave mediated synthesis of pyrazinoindoles using hexafluoroisopropanol. Tetrahedron 2021, 84, 132017. [Google Scholar] [CrossRef]
- Bos, M.; Jenck, F.; Martin, J.R.; Moreau, J.L.; Mutel, V.; Sleight, A.J.; Widmer, U. Synthesis, pharmacology and therapeutic potential of 10-methoxypyrazino[1,2-a] indoles, partial agonists at the 5HT2c receptor. Eur. J. Med. Chem. 1997, 32, 253–261. [Google Scholar] [CrossRef]
- Chang-Fong, J.; Tyacke, R.J.; Lau, A.; Westaway, J.; Hudson, A.L.; Glennon, R.A. Pyrazino [1,2-a] indoles as novel high-affinity and selective imidazoline I2 receptor ligands. Bioorg. Med. Chem. Lett. 2004, 14, 1003–1005. [Google Scholar] [CrossRef]
- Husbands, S.M.; Glennon, R.A.; Gorgerat, S.; Gough, R.; Tyacke, R.; Crosby, J.; Nutt, D.J.; Lewis, J.W.; Hudson, A.L. β-carboline binding to imidazoline receptors. Drug Alcohol Depend. 2001, 64, 203–208. [Google Scholar] [CrossRef]
- Glennon, R.A.; Grella, B.; Tyacke, R.J.; Lau, A.; Westaway, J.; Hudson, A.L. Binding of β-carbolines at imidazoline I2 receptors: A structure–affinity investigation. Bioorg. Med. Chem. Lett. 2004, 14, 999–1002. [Google Scholar] [CrossRef]
- Guandalini, L.; Martini, E.; Gualtieri, F.; Romanelli, M.N.; Varani, K. Design, synthesis and preliminary pharmacological evaluation of rigid analogues of the nicotinic agonist 1,1-dimethyl-4-phenylpiperazinium iodide (DMPP). Arkivoc 2004, 2004, 286–300. [Google Scholar] [CrossRef] [Green Version]
- Buzard, D.J.; Schrader, T.O.; Zhu, X.; Lehmann, J.; Johnson, B.; Kasem, M.; Kim, S.H.; Kawasaki, A.; Lopez, L.; Moody, J.; et al. Design and synthesis of new tricyclic indoles as potent modulators of the S1P1 receptor. Bioorg. Med. Chem. Lett. 2015, 25, 659–663. [Google Scholar] [CrossRef] [PubMed]
- Buzard, D.J.; Kim, S.H.; Lopez, L.; Kawasaki, A.; Zhu, X.; Moody, J.; Thoresen, T.; Calderon, I.; Ullman, B.; Han, S.; et al. Discovery of APD334: Design of a clinical stage functional antagonist of the sphingosine-1-phosphate-1 receptor. ACS Med. Chem. Lett. 2014, 5, 1313–1317. [Google Scholar] [CrossRef] [Green Version]
- Bit, R.A.; Davis, P.D.; Elliott, L.H.; Harris, W.; Hill, C.H.; Keech, E.; Kumar, H.; Lawton, G.; Maw, A.; Nixon, J.S.; et al. Inhibitors of protein kinase C. 3. Potent and highly selective bisindolylmaleimides by conformational restriction. J. Med. Chem. 1993, 36, 21–29. [Google Scholar] [CrossRef]
- Tiwari, R.K.; Singh, D.; Singh, J.; Yadav, V.; Pathak, A.K.; Dabur, R.; Chhillar, A.K.; Singh, R.; Sharma, G.L.; Chambra, R.; et al. Synthesis and antibacterial activity of substituted 1,2,3,4-tetrahydropyrazino [1,2-a] indoles. Bioorg. Med. Chem. Lett. 2006, 16, 413–416. [Google Scholar] [CrossRef]
- Tiwari, R.K.; Verma, A.K.; Chhillar, A.K.; Singh, D.; Singh, J.; Sankar, V.K.; Yadav, V.; Sharma, G.L.; Chandra, R. Synthesis and antibacterial activity of substituted 1,2,3,4-tetrahydropyrazino[1,2-a] indoles. Bioorg. Med. Chem. 2006, 14, 2747–2752. [Google Scholar] [CrossRef]
- Romagnoli, R.; Baraldi, P.G.; Carrion, M.D.; Cruz-Lopez, O.; Lopez Cara, C.; Preti, D.; Tabrizi, M.A. Balzarini, J.; Hamel, E.; Fabbri, E.; et al. Discovery of 8-methoxypyrazino [1,2-a] indole as a new potent antiproliferative agent against human leukemia K562 cells. A structure-activity relationship study. Lett. Drug Des. Discov. 2009, 6, 298–303. [Google Scholar] [CrossRef] [Green Version]
- Kumar, K.S.; Kumar, N.P.; Rajesham, B.; Kishan, G.; Akula, S.; Kancha, R.K. Silver-catalyzed synthesis of pyrrolopiperazine fused with oxazine/imidazole via a domino approach: Evaluation of anti-cancer activity. N. J. Chem. 2018, 42, 34–38. [Google Scholar] [CrossRef]
- An, J.; Chang, N.J.; Song, L.D.; Jin, Y. Ma, Y.Q.; Chen, J.R.; Xiao, W.J. Efficient and general synthesis of oxazino [4, 3-a] indoles by cascade addition-cyclization reactions of (1 H-indol-2-yl) methanols and vinyl sulfonium salts. Chem. Commun. 2011, 47, 1869–1871. [Google Scholar] [CrossRef] [PubMed]
- Pecnard, S.; Hamze, A.; Bignon, J.; Prost, B.; Deroussent, A.; Gallego-Yerga, L.; Peláez, R.; Paik, J.Y.; Diederich, M.; Alami, M.; et al. Anticancer properties of indole derivatives as IsoCombretastatin A-4 analogues. Eur. J. Med. Chem. 2021, 223, 113656. [Google Scholar] [CrossRef]
- Palomba, M.; Sancineto, L.; Marini, F.; Santi, C.; Bagnoli, L. A domino approach to pyrazino-indoles and pyrroles using vinyl selenones. Tetrahedron 2018, 74, 7156–7163. [Google Scholar] [CrossRef]
- Bandini, M.; Eichholzer, A.; Monari, M.; Piccinelli, F.; Umani-Ronchi, A. Versatile base-catalyzed route to polycyclic heteroaromatic compounds by intramolecular Aza-Michael addition. Eur. J. Org. Chem. 2007, 2007, 2917–2920. [Google Scholar] [CrossRef]
- Broggini, G.; Barbera, V.; Beccalli, E.M.; Borsini, E.; Galli, S.; Lanza, G.; Zecchi, G. Palladium(II)/copper halide/solvent combination for selective intramolecular domino reactions of indolecarboxylic acid allylamides: An unprecedented arylation/esterification sequence. Adv. Synth. Catal. 2012, 354, 159–170. [Google Scholar] [CrossRef]
- Abbiati, G.; Beccalli, E.M.; Broggini, G.; Zoni, C. Regioselectivity on the palladium-catalyzed intramolecular cyclization of indole derivatives. J. Org. Chem. 2003, 68, 7625–7628. [Google Scholar] [CrossRef]
- Abbiati, G.; Beccalli, E.; Broggini, G.; Martinelli, M.; Paladino, G. Pd-catalyzed cyclization of 1-allyl-2-indolecarboxamides by intramolecular amidation of unactivated ethylenic bond. Synlett 2006, 1, 0073–0076. [Google Scholar] [CrossRef]
- Boothe, J.B.; Shen, Y.; Wolfe, J.P. Synthesis of substituted γ-and δ-lactams via pd-catalyzed alkene carboamination reactions. J. Org. Chem. 2017, 82, 2777–2786. [Google Scholar] [CrossRef] [PubMed]
- Laliberté, S.; Dornan, P.K.; Chen, A. Palladium-catalyzed double allylic alkylation of indole-2-hydroxamates: Easy access to pyrazino [1,2-a] indole derivatives. Tetrahedron Lett. 2010, 51, 363–366. [Google Scholar] [CrossRef]
- Trost, B.M.; Osipov, M.; Dong, G. Palladium-catalyzed dynamic kinetic asymmetric transformations of vinyl aziridines with nitrogen heterocycles: Rapid access to biologically active pyrroles and indoles. J. Am. Chem. Soc. 2010, 132, 15800–15807. [Google Scholar] [CrossRef] [PubMed] [Green Version]
- Verniest, G.; Padwa, A. Gold- and silver-mediated cycloisomerizations of N-propargylamides. Org. Lett. 2008, 10, 4379–4382. [Google Scholar] [CrossRef]
- Sari, O.; Seybek, A.F.; Kaya, S.; Menges, N.; Erdem, S.; Balci, M. Mechanistic insights into the reaction of N-propargylated pyrrole- and indole-carbaldehyde with ammonia, alkyl amines, and branched amines: A synthetic and theoretical investigation. Eur. J. Org. Chem. 2019, 2019, 5261–5274. [Google Scholar] [CrossRef]
- Mahdavi, M.; Hassanzadeh-Soureshjan, R.; Saeedi, M.; Ariafard, A.; BabaAhmadi, R.; Ranjbar, P.R.; Shafiee, A. Experimental and computational evidence for KOt-Bu-promoted synthesis of oxopyrazino[1,2-a] indoles. RSC Adv. 2015, 5, 101353. [Google Scholar] [CrossRef]
- Goldberg, D.R.; Choi, Y.; Cogan, D.; Corson, M.; DeLeon, R.; Gao, A.; Gruenbaum, L.; Hao, M.H.; Joseph, D.; Kashem, M.A.; et al. Pyrazinoindolone inhibitors of MAPKAP-K2. Bioorg. Med. Chem. Lett. 2008, 18, 938–941. [Google Scholar] [CrossRef]
- Youssif, B.G.M.; Abdelrahman, M.H.; Abdelgawad, M.A.; Ibrahim, H.M.; Salem, O.I.A.; Mohamed, L. Treambleau, M.F.A.; Bukhari, S.N.A. Design, synthesis, mechanistic and histopathological studies of small-molecules of novel indole-2-carboxamides and pyrazino[1,2-a] indol-1(2H)-ones as potential anticancer agents effecting the reactive oxygen species production. Eur. J. Med. Chem. 2018, 146, 260–273. [Google Scholar] [PubMed]
- Kim, Y.J.; Pyo, J.S.; Jung, Y.S.; Kwak, J.H. Design, synthesis, and biological evaluation of novel 1-oxo-1,2,3,4-tetrahydropyrazino[1,2-a] indole-3-carboxamide analogs in MCF-7 and MDA-MB-468 breast cancer cell lines. Bioorg. Med. Chem. Lett. 2017, 27, 607–611. [Google Scholar] [CrossRef]
- Shiokawa, Z.; Kashiwabara, E.; Yoshidome, D.; Fukase, K.; Inuki, S.; Fujimoto, Y. Discovery of a novel scaffold as an indoleamine 2,3-dioxygenase 1 (IDO1) inhibitor based on the pyrrolopiperazinone alkaloid, longamide, b. ChemMedChem 2016, 11, 2682–2689. [Google Scholar] [CrossRef] [PubMed]
- Boger, D.L.; Fink, B.E.; Hendrick, M.P. A new class of highly cytotoxic diketopiperazines. Bioorg. Med. Chem. Lett. 2000, 10, 1019–1020. [Google Scholar] [CrossRef]
- Parrino, B.; Spano, V.; Carbone, A.; Barraja, P.; Diana, P.; Cirrincione, G.; Montalbano, A. Synthesis of the new ring system bispyrido [4′,3′:4, 5] pyrrolo [1,2-a: 1′,2′-d] pyrazine and its deaza analogue. Molecules 2014, 19, 13342–13357. [Google Scholar] [CrossRef] [PubMed] [Green Version]
- Akeng’a, T.O.; Read, R.W. Synthesis of Indoles: Tetrahydropyrazino[1,2-a]indole-1,4-dione and Pyrazino[1,2-a]indole-6,13-diones from Piperazine-2,5-diones. S. Afr. J. Chem. 2005, 58, 93–97. [Google Scholar]
- Vigushin, D.M.; Brooke, G.; Coombes, R.C.; Moody, C.J. Pyrazino [1,2-a] indole-1, 4-diones, simple analogues of gliotoxin, as selective inhibitors of geranylgeranyltransferase I. Bioorg. Med. Chem. Lett. 2003, 13, 3661–3663. [Google Scholar] [CrossRef]
- Liang, W.L.; Le, X.; Li, H.J.; Yang, H.L.; Chen, J.X.; Xu, J.; Liu, H.L.; Wang, L.Y.; Wang, K.T.; Hu, K.C.; et al. Exploring the chemodiversity and biological activities of the secondary metabolites from the marine fungus Neosartorya pseudofischeri. Mar. Drugs 2014, 12, 5657–5676. [Google Scholar] [CrossRef] [Green Version]
- Zoidis, G.; Giannakopoulou, E.; Stevaert, A.; Frakolaki, E.; Myrianthopoulos, V.; Fytas, G.; Mavromara, P.; Mikros, E.; Bartenschlager, R.; Vassilaki, N.; et al. Novel indole–flutimide heterocycles with activity against influenza PA endonuclease and hepatitis C. virus. MedChemComm 2016, 7, 447–456. [Google Scholar] [CrossRef]
- Edwards, T.C.; Lomonosova, E.; Patel, J.A.; Li, Q.; Villa, J.A.; Gupta, A.K.; Morrison, L.A.; Bailly, F.; Cotelle, P.; Giannakopoulou, E.; et al. Inhibition of hepatitis B virus replication by N-hydroxyisoquinolinediones and related polyoxygenated heterocycles. Antiviral Res. 2017, 143, 205–217. [Google Scholar] [CrossRef]
- Ilyn, A.P.; Kuzovkova, J.A.; Potapov, V.V.; Shkirando, A.M.; Kovrigin, D.I.; Tkachenko, S.E.; Ivachtchenko, A. An efficient synthesis of novel heterocycle-fused derivatives of 1-oxo-1,2,3,4-tetrahydropyrazine using Ugi condensation. Tetrahedron Lett. 2005, 46, 881–884. [Google Scholar] [CrossRef]
- Mokrosz, J.L.; Duszynska, B.; Paluchowska, M. Structure-activity relationship studies of CNS agents, XV: N-[ω-(4-aryl-1-piperazinyl)alkyl]-2-oxo-1,2,3,4-tetrahydroquinolines and -4-oxo-1,2,3,4-tetrahydropyrazino[1,2-a] indoles: New, highly potent 5-HT1A ligands ωN-[ω-(4-aryl-1-piperazinyl)alkyl]-2-oxo-1,2,3,4-tetrahydrochinoline und -4-oxo-1,2,3,4-tetrahydropyrazino-[1,2-a] indole: Neue starke 5-HT1A Liganden. Arch. Pharm. 1994, 327, 529–531. [Google Scholar]
- Campiani, G.; Butini, S.; Trotta, F.; Fattorusso, C.; Catalanotti, B.; Aiello, F.; Gemma, S.; Nacci, V.; Novellino, E.; Stark, J.A.; et al. Synthesis and pharmacological evaluation of potent and highly selective D3 receptor ligands: Inhibition of cocaine-seeking behavior and the role of dopamine D3/D2 receptors. J. Med. Chem. 2003, 46, 3822–3839. [Google Scholar] [CrossRef] [PubMed]
Publisher’s Note: MDPI stays neutral with regard to jurisdictional claims in published maps and institutional affiliations. |
© 2021 by the authors. Licensee MDPI, Basel, Switzerland. This article is an open access article distributed under the terms and conditions of the Creative Commons Attribution (CC BY) license (https://creativecommons.org/licenses/by/4.0/).

