Preliminary Biological Activity Screening of Plectranthus spp. Extracts for the Search of Anticancer Lead Molecules
Abstract
1. Introduction
2. Results and Discussion
3. Materials and Methods
3.1. Plant Material
Extraction Procedure
3.2. Phytochemical Study of P. Hadiensis
3.2.1. HPLC-DAD Fingerprint Analysis
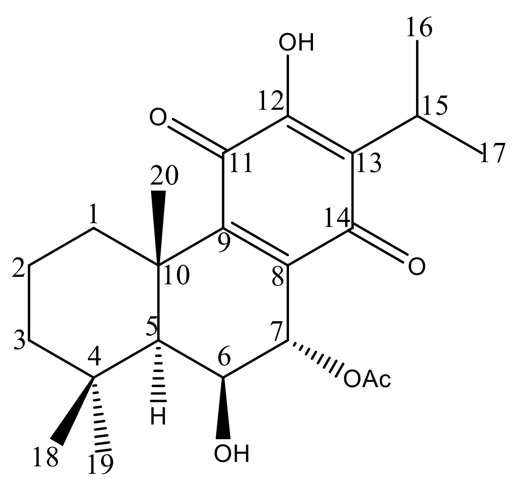
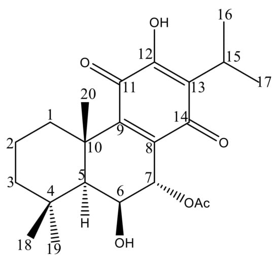
3.2.2. Isolation and Structural Characterization of 7α-Acetoxy-6β-Hydroxyroyleanone
3.3. DPPH Radical Scavenging Assay
3.4. Antimicrobial Screening Assays
3.4.1. Microorganism Used
3.4.2. Well Diffusion Method
3.4.3. Minimum Inhibitory Concentration (MIC) and Minimum Bactericidal Concentration (MBC)/ Minimum Fungicidal Concentration (MFC)
3.5. Evaluation of General Toxicity on Artemia salina Model
3.6. Cytotoxicity Screening Assays
3.6.1. Cells and Cell Culture
3.6.2. Sulphorhodamine Assay
3.6.3. MTT Assay
3.7. Statistical Analysis
4. Conclusions
Supplementary Materials
Author Contributions
Funding
Data Availability Statement
Acknowledgments
Conflicts of Interest
References
- Wu, C.; Lee, S.L.; Taylor, C.; Li, J.; Chan, Y.M.; Agarwal, R.; Temple, R.; Throckmorton, D.; Tyner, K. Scientific and Regulatory Approach to Botanical Drug Development: A U.S. FDA Perspective. J. Nat. Prod. 2020, 83, 552–562. [Google Scholar] [CrossRef] [PubMed]
- Newman, D.J.; Cragg, G.M. Natural Products as Sources of New Drugs over the Nearly Four Decades from 01/1981 to 09/2019. J. Nat. Prod. 2020, 83, 770–803. [Google Scholar] [CrossRef]
- World Health Organization (WHO). Fact Sheet on Cancer. Available online: https://www.who.int/news-room/fact-sheets/detail/cancer (accessed on 5 February 2021).
- Zhang, X.; Zhang, S.; Yang, Y.; Wang, D.; Gao, H. Natural barrigenol–like triterpenoids: A comprehensive review of their contributions to medicinal chemistry. Phytochemistry 2019, 161, 41–74. [Google Scholar] [CrossRef] [PubMed]
- Alam, A.; Jaiswal, V.; Akhtar, S.; Jayashree, B.S.; Dhar, K.L. Isolation of isoflavones from Iris kashmiriana Baker as potential anti proliferative agents targeting NF-kappaB. Phytochemistry 2017, 136, 70–80. [Google Scholar] [CrossRef] [PubMed]
- Saksham Garg, A.R. A Current Perspective of Plants as an Antibacterial Agent: A Review. Curr. Pharm. Biotechnol. 2020, 21, 1588. [Google Scholar] [CrossRef] [PubMed]
- Arumugam, G.; Swamy, M.K.; Sinniah, U.R. Plectranthus amboinicus (Lour.) Spreng: Botanical, Phytochemical, Pharmacological and Nutritional Significance. Molecules 2016, 21, 369. [Google Scholar] [CrossRef] [PubMed]
- Al Musayeib, N.M.; Amina, M.; Al-Hamoud, G.A.; Mohamed, G.A.; Ibrahim, S.R.M.; Shabana, S. Plectrabarbene, a new abietane diterpene from plectranthus barbatus aerial parts. Molecules 2020, 25, 2365. [Google Scholar] [CrossRef] [PubMed]
- Garcia, C.; Silva, C.O.; Monteiro, C.M.; Nicolai, M.; Gonz, I.; Ana, M.D. Anticancer properties of the abietane diterpene 6,7-dehydroroyleanone obtained by optimized extraction. Future Med. Chem. 2018, 10. [Google Scholar] [CrossRef] [PubMed]
- Pereira, M.; Matias, D.; Pereira, F.; Reis, C.; Simões, M.F.; Rijo, P. Antimicrobial screening of Plectranthus madagascariensis and P. neochilus extracts. Biomed. Biopharm. Res. 2015, 12, 127–138. [Google Scholar] [CrossRef]
- Garcia, C.; Teodósio, C.; Oliveira, C.; Oliveira, C.; Díaz-Lanza, A.; Reis, C.; Duarte, N.; Rijo, P. Naturally Occurring Plectranthus-derived Diterpenes with Antitumoral Activities. Curr. Pharm. Des. 2019, 24, 4207–4236. [Google Scholar] [CrossRef]
- Abdissa, N.; Frese, M.; Sewald, N. Antimicrobial abietane-type diterpenoids from plectranthus punctatus. Molecules 2017, 22, 1919. [Google Scholar] [CrossRef]
- Pirttimaa, M.; Nasereddin, A.; Kopelyanskiy, D.; Kaiser, M.; Yli-Kauhaluoma, J.; Oksman-Caldentey, K.M.; Brun, R.; Jaffe, C.L.; Moreira, V.M.; Alakurtti, S. Abietane-Type Diterpenoid Amides with Highly Potent and Selective Activity against Leishmania donovani and Trypanosoma cruzi. J. Nat. Prod. 2016, 79, 362–368. [Google Scholar] [CrossRef]
- Isca, V.M.S.; Andrade, J.; Fernandes, A.S.; Paix, P.; Uriel, C.; Mar, A. In Vitro Antimicrobial Activity of Isopimarane-Type Diterpenoids. Molecules 2020, 25, 4250. [Google Scholar] [CrossRef]
- Mesquita, L.S.F.; Matos, T.S.; Do Nascimento Ávila, F.; Da Silva Batista, A.; Moura, A.F.; De Moraes, M.O.; Da Silva, M.C.M.; Ferreira, T.L.A.; Nascimento, N.R.F.; Monteiro, N.K.V.; et al. Diterpenoids from Leaves of cultivated Plectranthus ornatus. Planta Med. 2020. [Google Scholar] [CrossRef]
- Śliwiński, T.; Sitarek, P.; Skała, E.; Isca, V.M.S.; Synowiec, E.; Kowalczyk, T.; Bijak, M.; Rijo, P. Diterpenoids from Plectranthus spp. As potential chemotherapeutic agents via apoptosis. Pharmaceuticals 2020, 13, 123. [Google Scholar] [CrossRef]
- Garcia, C.; Ntungwe, E.; Rebelo, A.; Bessa, C.; Stankovic, T.; Dinic, J.; Díaz-Lanza, A.; Reis, C.P.; Roberto, A.; Pereira, P.; et al. Parvifloron D from Plectranthus strigosus: Cytotoxicity screening of Plectranthus spp. extracts. Biomolecules 2019, 9, 616. [Google Scholar] [CrossRef]
- Cretton, S.; Saraux, N.; Monteillier, A.; Righi, D.; Marcourt, L.; Genta-Jouve, G.; Wolfender, J.L.; Cuendet, M.; Christen, P. Anti-inflammatory and antiproliferative diterpenoids from Plectranthus scutellarioides. Phytochemistry 2018, 154, 39–46. [Google Scholar] [CrossRef]
- Simões, M.F.; Rijo, P.; Duarte, A.; Barbosa, D.; Matias, D.; Delgado, J.; Cirilo, N.; Rodríguez, B. Two new diterpenoids from Plectranthus species. Phytochem. Lett. 2010, 3, 221–225. [Google Scholar] [CrossRef]
- Mothana, R.A.; Al-Said, M.S.; Al-Musayeib, N.M.; El Gamal, A.A.; Al-Massarani, S.M.; Al-Rehaily, A.J.; Abdulkader, M.; Maes, L. In vitro antiprotozoal activity of abietane diterpenoids isolated from Plectranthus barbatus andr. Int. J. Mol. Sci. 2014, 15, 8360–8371. [Google Scholar] [CrossRef]
- Matias, D.; Nicolai, M.; Saraiva, L.; Pinheiro, R.; Faustino, C.; Diaz Lanza, A.; Pinto Reis, C.; Stankovic, T.; Dinic, J.; Pesic, M.; et al. Cytotoxic Activity of Royleanone Diterpenes from Plectranthus madagascariensis Benth. ACS Omega 2019, 4, 8094–8103. [Google Scholar] [CrossRef]
- Garcia, C.; Isca, V.M.S.; Pereira, F.; Monteiro, C.M.; Ntungwe, E.; Sousa, F.; Dinic, J.; Holmstedt, S.; Roberto, A.; Díaz-Lanza, A.; et al. Royleanone Derivatives from Plectranthus spp. as a Novel Class of P-Glycoprotein Inhibitors. Front. Pharmacol. 2020, 11, 1711. [Google Scholar] [CrossRef]
- Isca, V.M.S.; Ferreira, R.J.; Garcia, C.; Monteiro, C.M.; Dinic, J.; Holmstedt, S.; André, V.; Pesic, M.; Dos Santos, D.J.V.A.; Candeias, N.R.; et al. Molecular Docking Studies of Royleanone Diterpenoids from Plectranthus spp. as P-Glycoprotein Inhibitors. ACS Med. Chem. Lett. 2020, 11, 839–845. [Google Scholar] [CrossRef]
- Isca, V.M.S.; Sencanski, M.; Filipovic, N.; Dos Santos, D.J.V.A.; Gašparović, A.Č.; Saraíva, L.; Afonso, C.A.M.; Rijo, P.; García-Sosa, A.T. Activity to breast cancer cell lines of different malignancy and predicted interaction with protein kinase C isoforms of royleanones. Int. J. Mol. Sci. 2020, 21, 3671. [Google Scholar] [CrossRef]
- Saraiva, N.; Costa, J.G.; Reis, C.; Almeida, N.; Rijo, P.; Fernandes, A.S. Anti-migratory and pro-apoptotic properties of parvifloron d on triple-negative breast cancer cells. Biomolecules 2020, 10, 158. [Google Scholar] [CrossRef]
- Padmapriya, R.; Ashwini, S.; Raveendran, R. In vitro antioxidant and cytotoxic potential of different parts of Tephrosia purpurea. Res. Pharm. Sci. 2017, 12, 31–37. [Google Scholar] [CrossRef]
- Rijo, P.; Batista, M.; Matos, M.; Rocha, H.; Jesus, S.; Simões, M.F. Screening of antioxidant and antimicrobial activities on Plectranthus spp. extracts. Biomed. Biopharm. Res. 2012, 9, 225–235. [Google Scholar] [CrossRef]
- Andrade, J.M.; Domínguez-Martín, E.M.; Nicolai, M.; Faustino, C.; Rodrigues, L.M.; Rijo, P. Screening the dermatological potential of plectranthus species components: Antioxidant and inhibitory capacities over elastase, collagenase and tyrosinase. J. Enzym. Inhib. Med. Chem. 2021, 36, 257–269. [Google Scholar] [CrossRef]
- Ndjoubi, K.O.; Sharma, R.; Badmus, J.A.; Jacobs, A.; Jordaan, A.; Marnewick, J.; Warner, D.F.; Hussein, A.A. Antimycobacterial, Cytotoxic, and Antioxidant Activities of Abietane Diterpenoids Isolated from Plectranthus madagascariensis. Plants 2021, 10, 175. [Google Scholar] [CrossRef]
- Matias, D.; Nicolai, M.; Fernandes, A.S.; Saraiva, N.; Almeida, J.; Saraiva, L.; Faustino, C.; Díaz-Lanza, A.M.; Reis, C.P.; Rijo, P. Comparison study of different extracts of Plectranthus madagascariensis, P. neochilus and the rare P. porcatus (lamiaceae): Chemical characterization, antioxidant, antimicrobial and cytotoxic activities. Biomolecules 2019, 9, 179. [Google Scholar] [CrossRef]
- Ntungwe, N.E.; Marçalo, J.; Garcia, C.; Reis, C.; Teodósio, C.; Oliveira, C.; Oliveira, C.; Roberto, A. Biological activity screening of seven Plectranthus species. J. Biomed. Biopharm. Res. 2017, 14, 95–108. [Google Scholar] [CrossRef]
- Mogana, R.; Adhikari, A.; Tzar, M.N.; Ramliza, R.; Wiart, C. Antibacterial activities of the extracts, fractions and isolated compounds from Canarium patentinervium miq. Against bacterial clinical isolates. BMC Complement. Med. Ther. 2020, 20, 55. [Google Scholar] [CrossRef] [PubMed]
- Ntungwe, N.E.; Domínguez-Martín, E.M.; Roberto, A.; Tavares, J.; Isca, V.M.S.; Pereira, P.; Cebola, M.-J.; Rijo, P. Artemia species: An Important Tool to Screen General Toxicity Samples. Curr. Pharm. Des. 2020, 26, 2892–2908. [Google Scholar] [CrossRef] [PubMed]
- Srisawat, T.; Chumkaew, P.; Heed-Chim, W.; Sukpondma, Y.; Kanokwiroon, K. Phytochemical screening and cytotoxicity of crude extracts of vatica diospyroides Symington type LS. Trop. J. Pharm. Res. 2013, 12, 71–76. [Google Scholar] [CrossRef]
- Kathryn, J.; Sireesha, V.; Stanley, L. Triple Negative Breast Cancer Cell Lines: One Tool in the Search for Better Treatment of Triple Negative Breast Cancer. Breast Dis. 2012, 32, 35–48. [Google Scholar] [CrossRef]
- Burmistrova, O.; Simões, M.F.; Rijo, P.; Quintana, J.; Bermejo, J.; Estévez, F. Antiproliferative activity of abietane diterpenoids against human tumor cells. J. Nat. Prod. 2013, 76, 1413–1423. [Google Scholar] [CrossRef]
- Bernardes, C.E.S.; Garcia, C.; Pereira, F.; Mota, J.; Pereira, P.; Cebola, M.J.; Reis, C.P.; Correia, I.; Piedade, M.F.M.; Minas Da Piedade, M.E.; et al. Extraction Optimization and Structural and Thermal Characterization of the Antimicrobial Abietane 7α-Acetoxy-6β-hydroxyroyleanone. Mol. Pharm. 2018, 15, 1412–1419. [Google Scholar] [CrossRef]
- Abdel-Mogib, M.; Albar, H.A.; Batterjee, S.M. Chemistry of the genus Plectranthus. Molecules 2002, 7, 271–301. [Google Scholar] [CrossRef]
- Sitarek, P.; Toma, M.; Ntungwe, E.; Kowalczyk, T.; Skała, E.; Wieczfinska, J.; Śliwiński, T.; Rijo, P. Insight the biological activities of selected abietane diterpenes isolated from Plectranthus spp. Biomolecules 2020, 10, 194. [Google Scholar] [CrossRef]
- The Plant List. Version 1.1. 2013. Available online: http://www.theplantlist.org/ (accessed on 1 January 2021).
- Rijo, P.; Matias, D.; Fernandes, A.S.; Simões, M.F.; Nicolai, M.; Reis, C.P. Antimicrobial plant extracts encapsulated into polymeric beads for potential application on the skin. Polymers 2014, 6, 479–490. [Google Scholar] [CrossRef]
- CLSI Padronização dos Testes de Sensibilidade a Antimicrobianos por Disco-difusão. In Norma Aprovada—Oitava Edição; NCCLS: Wayne, PA, USA, 2003; Volume 23, ISBN 1-56238-485-6.
- Brandão, F.; Isabel, M.; Ramos, L.; Miyagusku, L. Antimicrobial activity of hydroalcoholic extracts from genipap, baru and taruma. Cienc. Rural 2017, 47, 6–11. [Google Scholar] [CrossRef]
- Leão, M.; Soares, J.; Gomes, S.; Raimundo, L.; Ramos, H.; Bessa, C.; Queiroz, G.; Domingos, S.; Pinto, M.; Inga, A.; et al. Enhanced cytotoxicity of prenylated chalcone against tumour cells via disruption of the p53-MDM2 interaction. Life Sci. 2015, 142, 60–65. [Google Scholar] [CrossRef]
- Soares, J.; Pereira, N.A.; Monteiro, Â.; Leão, M.; Bessa, C.; Dos Santos, D.J.; Raimundo, L.; Queiroz, G.; Bisio, A.; Inga, A.; et al. Oxazoloisoindolinones with in vitro antitumor activity selectively activate a p53-pathway through potential inhibition of the p53–MDM2 interaction. Eur. J. Pharm. Sci. 2015, 66, 138–147. [Google Scholar] [CrossRef]

| Scientific Name | Yield (% w/w) a | Antioxidant Activity b (%) | General Toxicity | |
|---|---|---|---|---|
| * Mortality (%) | LC50 (µg/mL) ** | |||
| P. swynnertonii S. Moore † | 3.89 | 20.24 ± 0.01 | 65.88 ± 5 | 0.036 ± 1.69 |
| P. ciliatus E. Mey † | 11.86 | 13.21 ± 0.01 | 60.14 ± 0.44 | 0.504 ± 1.13 |
| P. mutabilis Codd. † | 30.03 | 46.14 ± 0.02 | 51.50 ± 0. 07 | 0.984 ± 2.92 |
| P. hadiensis (Forssk.) Schweinf. Ex Sprenger † | 13.49 | 36.24 ± 0.04 | 43.65 ± 3.04 | 0.88 ± 4.87 |
| P. cylindraceus Hochst, ex Benth † | 9.68 | 19.19 ± 0.07 | 43.50 ± 5.66 | 0.55 ± 1.96 |
| P. lucidus (Benth.) Van Jaarsv. and T.J. Edwards † | 6.29 | 23.96 ± 0.09 | 38.81 ± 3.75 | 1.053 ± 4.61 |
| P. inflexus (Thunb.) Vahl ex Benth † | 10.97 | 0.16 ± 0.05 | 38.70 ± 3.35 | 0.986 ± 2.87 |
| P. lippio. Druce | 2.09 | 30.5 ± 0.14 | 24.70 ± 6.22 | N/A |
| P. crassus N.E.Br. † | 7.77 | 27.27 ± 0.01 | 31.16 ± 1.29 | N/A |
| P. mzimvubuensis Van Jaarsv. † | 7.79 | 22.47 ± 0.05 | 33.95 ± 1.63 | N/A |
| P. xerophylus Codd | 10.16 | 20.15 ± 0.02 | 30.48 ± 3.24 | N/A |
| P. welshii | 2.15 | 15.06 ± 0.03 | 23.71 ± 0.60 | N/A |
| P. petiolaris E. Mey ex Benth. | 11.07 | 14.45 ± 0.01 | 23.42 ± 4.15 | N/A |
| P. woodii Gürke | 8.51 | 13.04 ± 0.01 | 29.95 ± 6.01 | N/A |
| P. welwitschii (Briq. Codd) | 3.59 | 12.63 ± 0.03 | 25.17 ± 5.54 | N/A |
| P. spicatus E. Mey | 4.75 | 10.57 ± 0.02 | 27 ± 0.28 | N/A |
| Positive control | N/A | 99.47 ± 0.10 | 98.89 ± 2.48 | N/A |
| DMSO | N/A | N/A | 21.87 ± 0.44 | N/A |
| Extracts | MIC (µg/mL) | MBC/MFC (µg/mL) | ||||
|---|---|---|---|---|---|---|
| S. aureus | MRSA | C. albicans | S. aureus | MRSA | C. albicans | |
| Positive Control | 3.91 | 1.95 | <0.48 | - | - | - |
| P. mutabilis | 31.25 | 31.25 | 125 | 250 | 250 | 125 |
| P. hadiensis | 15.62 | 3.91 | 62.5 | 250 | 250 | 62.5 |
| HCT116 * | H460 * | MCF-7 * | MDA-MB231S ** | |
|---|---|---|---|---|
| P. hadiensis | 3.45 ± 0.35 | 3.00 ± 0.10 | 2.90 ± 0.10 | 25.6 |
| P. ciliatus | 2.25 ± 0.75 | 6.45 ± 0.05 | 6.70 ± 0.30 | N/A |
| P. swynnertonii | 7.95 ± 0.35 | 13.50 ± 0.50 | 15.05 ± 0.02 | N/A |
| P. cylindraceus | 10.25 ± 0.75 | 12.50 ± 0.50 | 12.00 ± 1.00 | N/A |
| P. mutabilis | 28.00 ± 2.00 | 36.00 ± 2.00 | 35.00 ± 1.00 | N/A |
| Doxorubicin | 0.05 ± 3.24 | 0.29 ± 2.32 | 0.08 ± 4.10 | 0.07 ± 0.01 |
Publisher’s Note: MDPI stays neutral with regard to jurisdictional claims in published maps and institutional affiliations. |
© 2021 by the authors. Licensee MDPI, Basel, Switzerland. This article is an open access article distributed under the terms and conditions of the Creative Commons Attribution (CC BY) license (https://creativecommons.org/licenses/by/4.0/).
Share and Cite
Ntungwe, E.; Domínguez-Martín, E.M.; Teodósio, C.; Teixidó-Trujillo, S.; Armas Capote, N.; Saraiva, L.; Díaz-Lanza, A.M.; Duarte, N.; Rijo, P. Preliminary Biological Activity Screening of Plectranthus spp. Extracts for the Search of Anticancer Lead Molecules. Pharmaceuticals 2021, 14, 402. https://doi.org/10.3390/ph14050402
Ntungwe E, Domínguez-Martín EM, Teodósio C, Teixidó-Trujillo S, Armas Capote N, Saraiva L, Díaz-Lanza AM, Duarte N, Rijo P. Preliminary Biological Activity Screening of Plectranthus spp. Extracts for the Search of Anticancer Lead Molecules. Pharmaceuticals. 2021; 14(5):402. https://doi.org/10.3390/ph14050402
Chicago/Turabian StyleNtungwe, Epole, Eva María Domínguez-Martín, Catarina Teodósio, Silvia Teixidó-Trujillo, Natalia Armas Capote, Lucilia Saraiva, Ana María Díaz-Lanza, Noélia Duarte, and Patrícia Rijo. 2021. "Preliminary Biological Activity Screening of Plectranthus spp. Extracts for the Search of Anticancer Lead Molecules" Pharmaceuticals 14, no. 5: 402. https://doi.org/10.3390/ph14050402
APA StyleNtungwe, E., Domínguez-Martín, E. M., Teodósio, C., Teixidó-Trujillo, S., Armas Capote, N., Saraiva, L., Díaz-Lanza, A. M., Duarte, N., & Rijo, P. (2021). Preliminary Biological Activity Screening of Plectranthus spp. Extracts for the Search of Anticancer Lead Molecules. Pharmaceuticals, 14(5), 402. https://doi.org/10.3390/ph14050402

