An Overview of Bioactive 1,3-Oxazole-Containing Alkaloids from Marine Organisms
Abstract
:1. Introduction
2. Peptides
2.1. Linear Peptides
2.2. Monocyclic Peptides
2.2.1. Pentapeptides
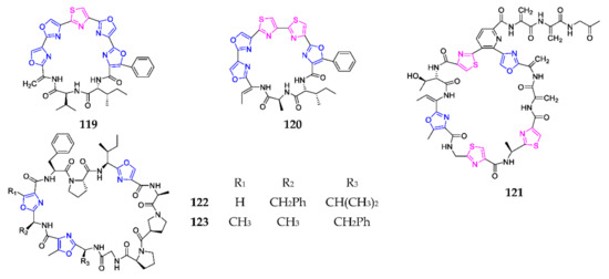
2.2.2. Hexapeptides
2.2.3. Heptapeptides
2.2.4. Octapeptides
2.2.5. Other Monocyclic Peptides
2.3. Bicyclic Peptides
2.4. Depsipeptides
3. Macrolides
3.1. Endocyclic Oxazoles
3.1.1. Mono-Oxazole Macrolides
3.1.2. Dioxazole Macrolides
3.1.3. Trioxazole Macrolides
3.2. Exocyclic Oxazoles
4. Polyketides
4.1. Mono-Oxazole Polyketides
4.2. Dioxazole Polyketides
5. Benzoxazoles
6. Conclusions
Supplementary Materials
Author Contributions
Funding
Institutional Review Board Statement
Informed Consent Statement
Data Availability Statement
Conflicts of Interest
Abbreviations
| ADP | Adenosine diphosphate |
| Ala | Alanine |
| Anti-MRSA | Anti-methicillin-resistant Staphylococcus aureus |
| Asp | Aspartate |
| ATP | Adenosine triphospha |
| BGC | Biosynthetic gene cluster |
| Cys | Cysteine |
| DCM | Dichloromethane |
| DPPH | 1,1-Diphenyl-2-picrylhydrazyl |
| ECE | Endothelin-converting enzyme |
| ED50 | Median effective dose |
| FMN | Flavin mononucleotide |
| FMNH2 | Flavin mononucleotide reduced |
| Glu | Glutamic acid |
| Gly | Glycine |
| IC50 | Half maximal inhibitory concentration |
| Ile | Isoleucine |
| LC50 | Median lethal concentration |
| MIC | Minimum inhibitory concentration |
| NMR | Nuclear magnetic resonance |
| NCI | National Cancer Institute |
| OSMAC | One strain many compounds |
| Phe | Phenylalanine |
| PKS | Polyketide synthase |
| Pro | Proline |
| SAR | Structure-activity relationship |
| S. aureu | Staphylococcus aureus |
| Tyr | Tyrosine |
| Val | Valine |
References
- Chiacchio, M.A.; Lanza, G.; Chiacchio, U.; Giofrè, S.; Romeo, R.; Iannazzo, D.; Legnani, L. Oxazole-based compounds as anticancer agents. Curr. Med. Chem. 2020, 26, 7337–7371. [Google Scholar] [CrossRef] [PubMed]
- Zhang, H.Z.; Zhao, Z.L.; Zhou, C.H. Recent advance in oxazole-based medicinal chemistry. Eur. J. Med. Chem. 2018, 144, 444–492. [Google Scholar] [CrossRef]
- Zhang, Y.X.; Hou, S.Y.; Zhang, M.Y.; Wu, Y.Y. Research progress in biosynthesis of five-membered heterocyclic rings in natural products. J. Microbiol. 2019, 39, 1–12. (In Chinese) [Google Scholar]
- Kakkar, S.; Narasimhan, B. A comprehensive review on biological activities of oxazole derivatives. BMC Chem. 2019, 13, 1–24. [Google Scholar] [CrossRef] [Green Version]
- Mhlongo, J.T.; Brasil, E.; De La Torre, B.G.; Albericio, F. Naturally occurring oxazole-containing peptides. Mar. Drugs 2020, 18, 203. [Google Scholar] [CrossRef]
- N’Diaye, I.; Guella, G.; Chiasera, G.; Mancini, I.; Pietra, F. Almazole A and almazole B, unusual marine alkaloids of an unidentified red seaweed of the family delesseriaceae from the coasts of Senegal. Tetrahedron Lett. 1994, 35, 4827–4830. [Google Scholar] [CrossRef]
- Guella, G.; Mancini, I.; Pietra, F. Almazole C, a new indole alkaloid bearing an unusually 2,5-disubstituted oxazole moiety, and its putative biogenetic peptidic precursors, from a Senegalese delesseriacean seaweed. Helvetica Chimica Acta 1994, 77, 1999–2006. [Google Scholar] [CrossRef]
- N’Diaye, I.; Guella, G.; Mancini, I.; Pietra, F. Almazole D. a new type of antibacterial 2,5-disubstituted oxazolic dipeptide from a red alga of the coast of Senegal. Tetrahedron Lett. 1996, 37, 3049–3050. [Google Scholar] [CrossRef]
- Molina, P.; Fresneda, P.; Castañeda, M.; Blug, M. Iminophosphorane-based preparation of 2,5-disubstituted oxazole derivatives: Synthesis of the marine alkaloid almazole C. Synlett 2007, 2007, 324–326. [Google Scholar] [CrossRef]
- Miyake, F.; Hashimoto, M.; Tonsiengsom, S.; Yakushijin, K.; Horne, D.A. Synthesis of 5-(3-indolyl)oxazole natural products. Structure revision of almazole D. Tetrahedron 2010, 66, 4888–4893. [Google Scholar] [CrossRef]
- Shin, H.J.; Jeong, H.S.; Lee, H.S.; Park, S.K.; Kim, H.M.; Kwon, H.J. Isolation and structure determination of streptochlorin, an antiproliferative agent from a marine-derived Streptomyces sp. 04DH110. J. Microbiol. Biotechnol. 2007, 17, 1403–1406. [Google Scholar] [CrossRef]
- Takahashi, S.; Matsunaga, T.; Hasegawa, C.; Saito, H.; Fujita, D.; Kiuchi, F.; Tsuda, Y. Martefragin A, a novel indole alkaloid isolated from red alga, inhibits lipid peroxidation. Chem. Pharm. Bull. 1998, 46, 1527–1529. [Google Scholar] [CrossRef] [PubMed] [Green Version]
- Choi, I.K.; Shin, H.J.; Lee, H.S.; Kwon, H.J. Streptochlorin, a marine natural product, inhibits NF-κB activation and suppresses angiogenesis in vitro. J. Microbiol. Biotechnol. 2007, 17, 1338–1343. [Google Scholar] [PubMed]
- Zhang, M.Z.; Jia, C.Y.; Gu, Y.C.; Mulholland, N.; Turner, S.; Beattie, D.; Zhang, W.H.; Yang, G.F.; Clough, J. Synthesis and antifungal activity of novel indole-replaced streptochlorin analogues. Eur. J. Med. Chem. 2017, 126, 669–674. [Google Scholar] [CrossRef]
- Mueller, L.G., Jr.; Chao, A.; Alwedi, E.; Natrajan, M.; Fleming, F.F. Oxazole synthesis by sequential asmic-ester condensations and sulfanyl-lithium exchange-trapping. Org. Lett. 2021, 23, 1500–1503. [Google Scholar] [CrossRef] [PubMed]
- Nishida, A.; Fuwa, M.; Fujikawa, Y.; Nakahata, E.; Furuno, A.; Nakagawa, M. First total synthesis of martefragin A, a potent inhibitor of lipid peroxidation isolated from sea alga. Tetrahedron Lett. 1998, 39, 5983–5986. [Google Scholar] [CrossRef]
- Guella, G.; N’Diaye, I.; Fofana, M.; Mancini, I. Isolation, synthesis and photochemical properties of almazolone, a new indole alkaloid from a red alga of Senegal. Tetrahedron 2006, 62, 1165–1170. [Google Scholar] [CrossRef]
- Schneider, Y.; Jenssen, M.; Isaksson, J.; Hansen, K.O.; Andersen, J.H.; Hansen, E.H. Bioactivity of serratiochelin A, a sidero-phore isolated from a co-culture of Serratia sp. and Shewanella sp. Microorganisms 2020, 8, 1042. [Google Scholar] [CrossRef]
- Motohashi, K.; Takagi, M.; Shin-Ya, K. Tetrapeptides possessing a unique skeleton, JBIR-34 and JBIR-35, isolated from a sponge-derived actinomycete, Streptomyces sp. Sp080513GE-23. J. Nat. Prod. 2010, 73, 226–228. [Google Scholar] [CrossRef]
- Muliandi, A.; Katsuyama, Y.; Sone, K.; Izumikawa, M.; Moriya, T.; Hashimoto, J.; Kozone, I.; Takagi, M.; Shin-Ya, K.; Ohnishi, Y. Biosynthesis of the 4-methyloxazoline-containing nonribosomal peptides, JBIR-34 and -35, in Streptomyces sp. Sp080513GE-23. Chem. Biol. 2014, 21, 923–934. [Google Scholar] [CrossRef] [Green Version]
- Nielsen, A.; Mansson, M.; Wietz, M.; Varming, A.N.; Phipps, R.K.; Larsen, T.O.; Gram, L.; Ingmer, H. Nigribactin, a novel siderophore from Vibrio nigripulchritudo, modulates Staphylococcus aureus virulence gene expression. Mar. Drugs 2012, 10, 2584–2595. [Google Scholar] [CrossRef] [PubMed]
- Rudi, A.; Stein, Z.; Green, S.; Goldberg, I.; Kashman, Y.; Benayahu, Y.; Schleyer, M. Phorbazoles A-D, novel chlorinated phenylpyrrolyloxazoles from the marine sponge phorbas aff. clathrata. Tetrahedron Lett. 1994, 35, 2589–2592. [Google Scholar] [CrossRef]
- Guttormsen, Y.; Fairhurst, M.E.; Pandey, S.K.; Isaksson, J.; Haug, B.E.; Bayer, A. Total synthesis of phorbazole B. Molecules 2020, 25, 4848. [Google Scholar] [CrossRef] [PubMed]
- Nuzzo, G.; Ciavatta, M.L.; Kiss, R.; Mathieu, V.; Leclercqz, H.; Manzo, E.; Villani, G.; Mollo, E.; Lefranc, F.; D’Souza, L.; et al. Chemistry of the nudibranch Aldisa andersoni: Structure and biological activity of phorbazole metabolites. Mar. Drugs 2012, 10, 1799–1811. [Google Scholar] [CrossRef] [PubMed]
- Oku, N.; Adachi, K.; Matsuda, S.; Kasai, H.; Takatsuki, A.; Shizuri, Y. Ariakemicins A and B, novel polyketide-peptide antibi-otics from a marine gliding bacterium of the genus Rapidithrix. Org. Lett. 2008, 10, 2481–2484. [Google Scholar] [CrossRef] [PubMed]
- Hansen, K.; Andersen, J.H.; Bayer, A.; Pandey, S.K.; Lorentzen, M.; Jørgensen, K.B.; Sydnes, M.O.; Guttormsen, Y.; Baumann, M.; Koch, U.; et al. Kinase chemodiversity from the arctic: The breitfussins. J. Med. Chem. 2019, 62, 10167–10181. [Google Scholar] [CrossRef]
- Hanssen, K.; Schuler, B.; Williams, A.; Demissie, T.B.; Hansen, E.; Andersen, J.H.; Svenson, J.; Blinov, K.; Repisky, M.; Mohn, F.; et al. A combined atomic force microscopy and computational approach for the structural elucidation of breitfussin A and B: highly modified halogenated dipeptides from Thuiaria breitfussi. Angew. Chem. Int. Ed. 2012, 51, 12238–12241. [Google Scholar] [CrossRef] [PubMed]
- Pandey, S.K.; Guttormsen, Y.; Haug, B.E.; Hedberg, C.; Bayer, A. A concise total synthesis of breitfussin A and B. Org. Lett. 2014, 17, 122–125. [Google Scholar] [CrossRef]
- Kanoh, K.; Matsuo, Y.; Adachi, K.; Imagawa, H.; Nishizawa, M.; Shizuri, Y. Mechercharmycins A and B, cytotoxic substances from marine-derived Thermoactinomyces sp. YM3-251. J. Antibiot. 2005, 58, 289–292. [Google Scholar] [CrossRef] [Green Version]
- Zhang, J.; Polishchuk, E.A.; Chen, J.; Ciufolini, M.A. Development of an oxazole conjunctive reagent and application to the total synthesis of siphonazoles. J. Org. Chem. 2009, 74, 9140–9151. [Google Scholar] [CrossRef] [PubMed]
- Linder, J.; Moody, C.J. The total synthesis of siphonazole, a structurally unusual bis-oxazole natural product. Chem. Commun. 2007, 1508–1509. [Google Scholar] [CrossRef]
- Fukuhara, K.; Takada, K.; Okada, S.; Matsunaga, S. Nazumazoles A–C, cyclic pentapeptides dimerized through a disulfide bond from the marine sponge Theonella swinhoei. Org. Lett. 2015, 17, 2646–2648. [Google Scholar] [CrossRef]
- Fukuhara, K.; Takada, K.; Okada, S.; Matsunaga, S. Nazumazoles D–F, cyclic pentapeptides that inhibit chymotrypsin, from the marine sponge Theonella swinhoei. J. Nat. Prod. 2016, 79, 1694–1697. [Google Scholar] [CrossRef]
- Fusetani, N.; Sugawara, T.; Matsunaga, S.; Hirota, H. Orbiculamide A: A novel cytotoxic cyclic peptide from a marine sponge Theonella sp. J. Am. Chem. Soc. 1991, 113, 7811–7812. [Google Scholar] [CrossRef]
- Gunasekera, S.P.; Pomponi, S.A.; McCarthy, P. Discobahamins A and B, new peptides from the Bahamian deep water marine sponge Discodermia sp. J. Nat. Prod. 1994, 57, 79–83. [Google Scholar] [CrossRef] [PubMed]
- Degnan, B.M.; Hawkins, C.J.; Lavin, M.F.; McCaffrey, E.J.; Parry, D.L.; Watters, D.J. Novel cytotoxic compounds from the ascidian Lissoclinum bistratum. J. Med. Chem. 1989, 32, 1354–1359. [Google Scholar] [CrossRef] [PubMed]
- Perez, L.J.; Faulkner, D.J. Bistratamides E−J, modified cyclic hexapeptides from the Philippines ascidian Lissoclinum bistratum. J. Nat. Prod. 2003, 66, 247–250. [Google Scholar] [CrossRef] [PubMed]
- Biard, J.F.; Roussakis, C.; Kornprobst, J.M.; Gouiffes-Barbin, D.; Verbist, J.F.; Cotelle, P.; Foster, M.; Ireland, C.M.; Debitus, C. Bistramides A, B, C, D, and K: A new class of bioactive cyclic polyethers from Lissoclinum bistratum. J. Nat. Prod. 1994, 57, 1336–1345. [Google Scholar] [CrossRef]
- Foster, M.P.; Concepcion, G.P.; Caraan, G.B.; Ireland, C.M. Bistratamides C and D. Two new oxazole-containing cyclic hex-apeptides isolated from a Philippine Lissoclinum bistratum ascidian. J. Org. Chem. 1992, 57, 6671–6675. [Google Scholar] [CrossRef]
- Urda, C.; Fernández, R.; Rodríguez, J.; Pérez, M.; Jiménez, C.; Cuevas, C. Bistratamides M and N, oxazole-thiazole containing cyclic hexapeptides isolated from Lissoclinum bistratum interaction of Zinc (II) with bistratamide K. Mar. Drugs 2017, 15, 209. [Google Scholar] [CrossRef] [PubMed] [Green Version]
- Prinsep, M.R.; Moore, R.E.; Levine, I.A.; Patterson, G.M.L. Westiellamide, a bistratamide-related cyclic peptide from the Blue-Green Alga Westiellopsis prolifica. J. Nat. Prod. 1992, 55, 140–142. [Google Scholar] [CrossRef]
- Ogino, J.; Moore, R.E.; Patterson, G.M.; Smith, C.D. Dendroamides, new cyclic hexapeptides from a blue-green alga. Multi-drug-resistance reversing activity of dendroamide A. J. Nat. Prod. 1996, 59, 581–586. [Google Scholar] [CrossRef]
- Rudi, A.; Chill, L.; Aknin, M.; Kashman, Y. Didmolamide A and B, two new cyclic hexapeptides from the marine ascidian Didemnum molle. J. Nat. Prod. 2003, 66, 575–577. [Google Scholar] [CrossRef]
- Bertram, A.; Maulucci, N.; New, O.M.; Mohd Nor, S.M.; Pattenden, G. Synthesis of libraries of thiazole, oxazole and imidazole-based cyclic peptides from azole-based amino acids. A new synthetic approach to bistratamides and didmolamides. Org. Biomol. Chem. 2007, 5, 1541–1553. [Google Scholar] [CrossRef] [PubMed]
- Ojika, M.; Nemoto, T.; Nakamura, M.; Yamada, K. Dolastatin E, a new cyclic hexapeptide isolated from the sea hare Dolabella auricularia. Tetrahedron Lett. 1995, 36, 5057–5058. [Google Scholar] [CrossRef]
- Sone, H.; Kigoshi, H.; Yamada, K. Isolation and stereostructure of dolastatin I, a cytotoxic cyclic hexapeptide from the Japanese sea hare Dolabella auricularia. Tetrahedron 1997, 53, 8149–8154. [Google Scholar] [CrossRef]
- Nakamura, M.; Shibata, T.; Nakane, K.; Nemoto, T.; Ojika, M.; Yamada, K. Stereochemistry and total synthesis of dolastatin E. Tetrahedron Lett. 1995, 36, 5059–5062. [Google Scholar] [CrossRef]
- Kigoshi, H.; Yamada, S. Synthesis of dolastatin I, a cytotoxic cyclic hexapeptide from the sea hare Dolabella auricularia. Tetrahedron 1999, 55, 12301–12308. [Google Scholar] [CrossRef]
- Kehraus, S.; König, G.M.; Wright, A.D.; Woerheide, G. Leucamide A: a new cytotoxic heptapeptide from the Australian sponge Leucetta microraphis. J. Org. Chem. 2002, 67, 4989–4992. [Google Scholar] [CrossRef]
- Wang, W.L.; Yao, D.Y.; Gu, M.; Fan, M.Z.; Li, J.Y.; Xing, Y.C.; Nan, F.J. Synthesis and biological evaluation of novel bisheterocycle-containing compounds as potential anti-influenza virus agents. Bioorg. Med. Chem. Lett. 2005, 15, 5284–5287. [Google Scholar] [CrossRef]
- Wang, W.; Nan, F. First total synthesis of leucamide A. J. Org. Chem. 2003, 68, 1636–1639. [Google Scholar] [CrossRef] [PubMed]
- Rudi, A.; Aknin, M.; Gaydou, E.M.; Kashman, Y. Four new cytotoxic cyclic hexa- and heptapeptides from the marine ascidian Didemnum molle. Tetrahedron 1998, 54, 13203–13210. [Google Scholar] [CrossRef]
- Liu, Y.; He, P.; Zhang, Y.; Zhang, X.; Liu, J.; Du, Y. One-pot enantiomeric synthesis of thiazole-containing amino acids: Total synthesis of venturamides A and B. J. Org. Chem. 2018, 83, 3897–3905. [Google Scholar] [CrossRef] [PubMed]
- Banker, R.; Carmeli, S. Tenuecyclamides A−D, cyclic hexapeptides from the cyanobacterium Nostoc spongiaeforme var. tenue. J. Nat. Prod. 1998, 61, 1248–1251. [Google Scholar] [CrossRef] [PubMed]
- You, S.L.; Deechongkit, S.; Kelly, J.W. Solid-phase synthesis and stereochemical assignments of tenuecyclamides A-D employing heterocyclic amino acids derived from commercially available fmoc α-amino acids. Org. Lett. 2004, 6, 2627–2630. [Google Scholar] [CrossRef] [PubMed]
- Ziemert, N.; Ishida, K.; Quillardet, P.; Bouchier, C.; Hertweck, C.; deMarsac, N.T.; Dittmann, E. Microcyclamide biosynthesis in two strains of Microcystis aeruginosa: From structure to genes and vice versa. Appl. Environ. Microbiol. 2008, 74, 1791–1797. [Google Scholar] [CrossRef] [PubMed] [Green Version]
- Raveh, A.; Moshe, S.; Evron, Z.; Flescher, E.; Carmeli, S. Novel thiazole and oxazole containing cyclic hexapeptides from a waterbloom of the cyanobacterium Microcystis sp. Tetrahedron 2010, 66, 2705–2712. [Google Scholar] [CrossRef]
- Ishida, K.; Nakagawa, H.; Murakami, M. Microcyclamide, a cytotoxic cyclic hexapeptide from the cyanobacterium Microcystis aeruginosa. J. Nat. Prod. 2000, 63, 1315–1317. [Google Scholar] [CrossRef]
- Houssen, W.; Koehnke, J.; Zollman, D.; Vendome, J.; Raab, A.; Smith, M.; Naismith, J.; Jaspars, M. The discovery of new cyanobactins from Cyanothece PCC 7425 defines a new signature for processing of patellamides. ChemBioChem 2012, 13, 2683–2689. [Google Scholar] [CrossRef] [PubMed]
- Toske, S.G.; Fenical, W. Cyclodidemnamide: a new cyclic heptapeptide from the marine ascidian Didemnum Molle. Tetrahedron Lett. 1995, 36, 8355–8358. [Google Scholar] [CrossRef]
- Tan, L.T.; Williamson, R.T.; Gerwick, W.H.; Watts, K.S.; McGough, K.; Jacobs, R. cis,cis- and trans,trans-ceratospongamide, new bioactive cyclic heptapeptides from the Indonesian red alga Ceratodictyon spongiosum and symbiotic sponge Sigmadocia symbiotica. J. Org. Chem. 2000, 65, 419–425. [Google Scholar] [CrossRef] [PubMed]
- Wasylyk, J.M.; Biskupiak, J.E.; Costello, C.E.; Ireland, C.M. Cyclic peptide structures from the tunicate Ceratodictyon spongiosum by FAB mass spectrometry. J. Org. Chem. 1983, 48, 4445–4449. [Google Scholar] [CrossRef]
- Degnan, B.M.; Hawkins, C.J.; Lavin, M.F.; McCaffrey, E.J.; Parry, D.L.; Brenk, A.L.V.D.; Watters, D.J. New cyclic peptides with cytotoxic activity from the ascidian Lissoclinum patella. J. Med. Chem. 1989, 32, 1349–1354. [Google Scholar] [CrossRef]
- Schmitz, F.J.; Ksebati, M.B.; Chang, J.S.; Wang, J.L.; Hossain, M.B.; Van der Helm, D.; Engel, M.H.; Serban, A.; Silfer, J.A. Cyclic peptides from the ascidian Lissoclinum patella: Conformational analysis of patellamide D by X-ray analysis and molecular modeling. J. Org. Chem. 1989, 54, 3463–3472. [Google Scholar] [CrossRef]
- Morris, L.A.; Bosch, J.K.V.D.; Versluis, K.; Thompson, G.S.; Jaspars, M. Structure determination and MSn analysis of two new lissoclinamides isolated from the Indo–Pacific ascidian Lissoclinum patella: NOE restrained molecular dynamics confirms the absolute stereochemistry derived by degradative methods. Tetrahedron 2000, 56, 8345–8353. [Google Scholar] [CrossRef]
- Hawkins, C.J.; Lavin, M.F.; Marshall, K.A.; van den Brenk, A.L.; Watters, D.J. Structure-activity relationships of the lissoclinaides: Cytotoxic cyclic peptides from the ascidian Lissoclinum patella. J. Med. Chem. 1990, 33, 1634–1638. [Google Scholar] [CrossRef] [PubMed]
- Ireland, C.; Scheuer, P.J. Ulicyclamide and ulithiacyclamide, two new small peptides from a marine tunicate. J. Am. Chem. Soc. 1980, 102, 5688–5691. [Google Scholar] [CrossRef]
- Wipf, P.; Fritch, P.C.; Geib, S.J.; Sefler, A.M. Conformational studies and structure-activity analysis of lissoclinamide 7 and related cyclopeptide alkaloids. J. Am. Chem. Soc. 1998, 120, 4105–4112. [Google Scholar] [CrossRef]
- Dalisay, D.S.; Rogers, E.W.; Edison, A.; Molinski, T.F. Structure elucidation at the nanomole scale. 1. Trisoxazole macrolides and thiazole-containing cyclic peptides from the nudibranch Hexabranchus sanguineus. J. Nat. Prod. 2009, 72, 732–738. [Google Scholar] [CrossRef] [PubMed] [Green Version]
- Singh, E.K.; Ramsey, D.M.; McAlpine, S.R. Total synthesis of trans,trans-sanguinamide B and conformational isomers. Org. Lett. 2012, 14, 1198–1201. [Google Scholar] [CrossRef]
- Erickson, K.L.; Gustafson, K.R.; Milanowski, D.J.; Pannell, L.K.; Klose, J.R.; Boyd, M.R. Myriastramides A–C, new modified cyclic peptides from the Philippines marine sponge Myriastra clavosa. Tetrahedron 2003, 59, 10231–10238. [Google Scholar] [CrossRef]
- Guan, L.L.; Sera, Y.; Adachi, K.; Nishida, F.; Shizuri, Y. Isolation and evaluation of nonsiderophore cyclic peptides from ma-rine sponges. Biochem. Biophys. Res. Commun. 2001, 283, 976–981. [Google Scholar] [CrossRef]
- Sera, Y.; Adachi, K.; Fujii, K.; Shizuri, Y. Isolation of haliclonamides: New peptides as antifouling substances from a marine sponge species, Haliclona. Mar. Biotechnol. 2002, 4, 441–446. [Google Scholar] [CrossRef] [PubMed]
- Festa, C.; De Marino, S.; D’Auria, M.V.; Monti, M.C.; Bucci, M.; Vellecco, V.; Debitus, C.; Zampella, A. Anti-inflammatory cyclopeptides from the marine sponge Theonella swinhoei. Tetrahedron 2012, 68, 2851–2857. [Google Scholar] [CrossRef]
- Asano, A.; Yamada, T.; Taniguchi, T.; Sasaki, M.; Yoza, K.; Doi, M. Ascidiacyclamides containing oxazoline and thiazole motifs assume square conformations and show high cytotoxicity. J. Pept. Sci. 2018, 24, 3120. [Google Scholar] [CrossRef] [PubMed]
- Fu, X.; Do, T.; Schmitz, F.J.; Andrusevich, V.; Engel, M.H. New cyclic peptides from the ascidian Lissoclinum patella. J. Nat. Prod. 1998, 61, 1547–1551. [Google Scholar] [CrossRef]
- Fu, X.; Su, J.Y.; Zeng, L.M. Prepatellamide A, a new cyclic peptide from the ascidian Lissoclinum patella. Sci. China Ser. B 2000, 43, 643–648. [Google Scholar] [CrossRef]
- Sesin, D.F.; Gaskell, S.J.; Ireland, C.M. The chemistry of Lissoclinum patella. Bull. Soc. Chim. Belq. 1986, 95, 853–867. [Google Scholar] [CrossRef]
- Nam, S.J.; Kauffman, C.; Jensen, P.R.; Moore, C.E.; Rheingold, A.L.; Fenical, W. Actinobenzoquinoline and actinophenanthrolines A–C, unprecedented alkaloids from a marine actinobacterium. Org. Lett. 2015, 17, 3240–3243. [Google Scholar] [CrossRef]
- In, Y.; Doi, M.; Inoue, M.; Ishida, T.; Hamada, Y.; Shioiri, T. Patellamide A, a cytotoxic cyclic peptide from the ascidian Lissoclinum patella. Acta Crystallogr. C 1994, 50, 432–434. [Google Scholar] [CrossRef]
- Ireland, C.M.; Durso, A.R.; Newman, R.A.; Hacker, M.P. Antineoplastic cyclic peptides from the marine tunicate Lissoclinum patella. J. Org. Chem. 1982, 47, 1807–1811. [Google Scholar] [CrossRef]
- Williams, A.B.; Jacobs, R.S. A marine natural product, patellamide D, reverses multidrug resistance in a human leukemic cell line. Cancer Lett. 1993, 71, 97–102. [Google Scholar] [CrossRef]
- McDonald, L.A.; Ireland, C.M. Patellamide E: a new cyclic peptide from the ascidian Lissoclinum patella. J. Nat. Prod. 1992, 55, 376–379. [Google Scholar] [CrossRef] [PubMed]
- Rashid, M.A.; Gustafson, K.R.; Cardellina, J.H.; Boyd, M.R. Patellamide F, a new cytotoxic cyclic peptide from the colonial ascidian Lissoclinum patella. J. Nat. Prod. 1995, 58, 594–597. [Google Scholar] [CrossRef] [PubMed]
- Schmidt, E.W.; Nelson, J.T.; Rasko, D.A.; Sudek, S.; Eisen, J.A.; Haygood, M.G.; Ravel, J. Patellamide A and C biosynthesis by a microcin-like pathway in Prochloron didemni, the cyanobacterial symbiont of Lissoclinum patella. Proc. Natl. Acad. Sci. USA 2005, 102, 7315–7320. [Google Scholar] [CrossRef] [Green Version]
- Martin, J.; Sousa, T.D.S.; Crespo, G.; Palomo, S.; González, I.; Tormo, J.R.; De La Cruz, M.; Anderson, M.; Hill, R.T.; Vicente, F.; et al. Kocurin, the true structure of PM181104, an anti-methicillin-resistant Staphylococcus aureus (MRSA) thiazolyl peptide from the marine-derived bacterium Kocuria palustris. Mar. Drugs 2013, 11, 387–398. [Google Scholar] [CrossRef] [PubMed] [Green Version]
- Linares-Otoya, L.; Linares-Otoya, V.; Armas-Mantilla, L.; Blanco, C.; Crüsemann, M.; Ganoza-Yupanqui, M.L.; Campos-Florián, J.V.; König, G.M.; Schäberle, T.F. Identification and heterologous expression of the kocurin biosynthetic gene cluster. Microbiology 2017, 163, 1409–1414. [Google Scholar] [CrossRef] [PubMed]
- Matsuo, Y.; Kanoh, K.; Yamori, T.; Kasai, H.; Katsuta, A.; Adachi, K.; Shin-Ya, K.; Shizuri, Y. Urukthapelstatin A, a novel cytotoxic substance from marine-derived Mechercharimyces asporophorigenens YM11-542. I. Fermentation, isolation and biological activities. J. Antibiot. 2007, 60, 251–255. [Google Scholar] [CrossRef] [PubMed] [Green Version]
- Schwenk, S.; Ronco, C.; Oberheide, A.; Arndt, H.D. Biomimetic synthesis of urukthapelstatin A by Aza-Wittig ring contraction. Eur. J. Org. Chem. 2016, 2016, 4795–4799. [Google Scholar] [CrossRef]
- Oberheide, A.; Schwenk, S.; Ronco, C.; Semmrau, L.M.; Görls, H.; Arndt, H.-D. Synthesis, structure, and cytotoxicity of urukthapelstatin A polyazole cyclopeptide analogs. Eur. J. Org. Chem. 2019, 2019, 4320–4326. [Google Scholar] [CrossRef]
- Engelhardt, K.; Degnes, K.F.; Zotchev, S.B. Isolation and characterization of the gene cluster for biosynthesis of the thiopeptide antibiotic TP-1161. Appl. Environ. Microbiol. 2010, 76, 7093–7101. [Google Scholar] [CrossRef] [PubMed] [Green Version]
- Engelhardt, K.; Degnes, K.F.; Kemmler, M.; Bredholt, H.; Fjærvik, E.; Klinkenberg, G.; Sletta, H.; Ellingsen, T.E.; Zotchev, S.B. Production of a new thiopeptide antibiotic, TP-1161, by a marine Nocardiopsis species. Appl. Environ. Microbiol. 2010, 76, 4969–4976. [Google Scholar] [CrossRef] [PubMed] [Green Version]
- Nogle, L.M.; Marquez, A.B.L.; Gerwick, W.H. Wewakazole, a novel cyclic dodecapeptide from a Papua new guinea Lyngbya majuscula. Org. Lett. 2002, 5, 3–6. [Google Scholar] [CrossRef]
- Long, B.; Zhang, J.; Tang, X.; Wu, Z. Total synthesis of wewakazole B. Org. Biomol. Chem. 2016, 14, 9712–9715. [Google Scholar] [CrossRef]
- Lindquist, N.; Fenical, W.; Van Duyne, G.D.; Clardy, J. Isolation and structure determination of diazonamides A and B, unusual cytotoxic metabolites from the marine ascidian Diazona chinensis. J. Am. Chem. Soc. 1991, 113, 2303–2304. [Google Scholar] [CrossRef]
- Fernández, R.; Martín, M.J.; Rodríguez-Acebes, R.; Reyes, F.; Francesch, A.; Cuevas, C. Diazonamides C–E, new cytotoxic metabolites from the ascidian Diazona sp. Tetrahedron Lett. 2008, 49, 2283–2285. [Google Scholar] [CrossRef]
- Nicolaou, K.C.; Chen, D.Y.-K.; Huang, X.; Ling, T.; Bella, M.; Snyder, S.A. Chemistry and biology of diazonamide A: First total synthesis and confirmation of the true structure. J. Am. Chem. Soc. 2004, 126, 12888–12896. [Google Scholar] [CrossRef]
- Williams, D.E.; Moore, R.E.; Paul, V.J. The structure of ulithiacyclamide B. Antitumor evaluation of cyclic peptides and macrolides from Ceratodictyon spongiosum. J. Nat. Prod. 1989, 52, 732–739. [Google Scholar] [CrossRef] [PubMed]
- Komatsu, N.; Nakauch, H.; Miwa, A.; Ishihara, T.; Eguchi, M.; Moroi, M.; Okada, M.; Sato, Y.; Wada, H.; Yawata, Y.; et al. Establishment and characterization of a human leukemic cell line with megakaryocytic features: Dependency on granulocyte-macrophage colony-stimulating factor, interleukin 3, or erythropoietin for growth and survival. Cancer Res. 1991, 51, 341–348. [Google Scholar] [CrossRef]
- Degruyter, J.N.; Maio, W.A. The taumycin A macrocycle: Asymmetric total synthesis and revision of relative stereochemistry. Org. Lett. 2014, 16, 5196–5199. [Google Scholar] [CrossRef] [PubMed] [Green Version]
- Tada, H.; Tozyo, T.; Terui, Y.; Hayashi, F. Discokiolides. Cytotoxic cyclic depsipeptides from the marine sponge Discodermia kiiensis. Chem. Lett. 1992, 21, 431–434. [Google Scholar] [CrossRef]
- Molinski, T.F. Absolute configuration of phorboxazoles A and B from the marine sponge, Phorbas sp. 2. C43 and complete stereochemistry. Tetrahedron Lett. 1996, 37, 7879–7880. [Google Scholar] [CrossRef]
- Dalisay, D.S.; Molinski, T.F. Structure elucidation at the nanomole scale. 2. Hemi-phorboxazole A from Phorbas sp. Org. Lett. 2009, 11, 1967–1970. [Google Scholar] [CrossRef]
- Sandler, J.S.; Colin, P.L.; Kelly, M.; Fenical, W. Cytotoxic macrolides from a new species of the deep-water marine sponge Leiodermatium. J. Org. Chem. 2006, 71, 7245–7251. [Google Scholar] [CrossRef] [PubMed]
- Bishara, A.; Rudi, A.; Aknin, M.; Neumann, D.; Ben-Califa, N.; Kashman, Y. Salarin C, a new cytotoxic sponge-derived nitrogenous macrolide. Tetrahedron Lett. 2008, 49, 4355–4358. [Google Scholar] [CrossRef]
- Bishara, A.; Rudi, A.; Aknin, M.; Neumann, D.; Ben-Califa, N.; Kashman, Y. Salarins D–J, seven new nitrogenous macrolides from the Madagascar sponge Fascaplysinopsis sp. Tetrahedron 2010, 66, 4339–4345. [Google Scholar] [CrossRef]
- Kobayashi, J.; Kondo, K.; Ishibashi, M.; Walchli, M.R.; Nakamura, T. Theonezolide A: A novel polyketide natural product from the Okinawan marine sponge Theonella sp. J. Am. Chem. Soc. 1993, 115, 6661–6665. [Google Scholar] [CrossRef]
- Kondo, K.; Ishibashi, M.; Kobayashi, J. Isolation and structures of theonezolides B and C from the Okinawan marine sponge Theonella sp. Tetrahedron 1994, 50, 8355–8362. [Google Scholar] [CrossRef]
- Rho, M.C.; Park, Y.H.; Sasaki, S.; Ishibashi, M.; Kondo, K.; Kobayashi, J.; Ohizumi, Y. The mode of rabbit platelet shape change and aggregation induced by theonezolide-A, a novel polyketide macrolide, isolated from the Okinawan marine sponge Theonella sp. Can. J. Physiol. Pharmacol. 1996, 74, 193–199. [Google Scholar] [CrossRef] [PubMed]
- Petchprayoon, C.; Asato, Y.; Higa, T. Four new kabiramides from the Thai sponge, Pachastrissa nux. Heterocycles 2006, 69, 447. [Google Scholar] [CrossRef]
- Kobayashi, J.; Tsuda, M.; Fuse, H.; Sasaki, T.; Mikami, Y. Halishigamides A−D, new cytotoxic oxazole-containing metabolites from Okinawan sponge Halichondria sp. J. Nat. Prod. 1997, 60, 150–154. [Google Scholar] [CrossRef]
- Rashid, M.A.; Gustafson, K.R.; Cardellina, J.H.; Boyd, M.R. Mycalolides D and E, new cytotoxic macrolides from a collection of the stony coral Tubastrea faulkneri. J. Nat. Prod. 1995, 58, 1120–1125. [Google Scholar] [CrossRef]
- Klenchin, V.A.; Allingham, J.S.; King, R.; Tanaka, J.; Marriott, G.; Rayment, I. Trisoxazole macrolide toxins mimic the binding of actin-capping proteins to actin. Nat. Struct. Biol. 2003, 10, 1058–1063. [Google Scholar] [CrossRef] [PubMed]
- Roesener, J.A.; Scheuer, P.J. Ulapualide A and B, extraordinary antitumor macrolides from nudibranch eggmasses. J. Am. Chem. Soc. 1986, 108, 846–847. [Google Scholar] [CrossRef]
- Suo, R.; Takada, K.; Kohtsuka, H.; Ise, Y.; Okada, S.; Matsunaga, S. Miuramides A and B, trisoxazole macrolides from a Mycale sp. marine sponge that induce a protrusion phenotype in cultured mammalian cells. J. Nat. Prod. 2018, 81, 1108–1112. [Google Scholar] [CrossRef] [PubMed]
- Matsunaga, S.; Liu, P.; Celatka, C.A.; Panek, J.S.; Fusetani, N. Relative and absolute stereochemistry of mycalolides, bioactive macrolides from the marine sponge Mycale magellanica. J. Am. Chem. Soc. 1999, 121, 5605–5606. [Google Scholar] [CrossRef]
- Fusetani, N.; Yasumuro, K.; Matsunaga, S.; Hashimoto, K. Mycalolides A-C, hybrid macrolides of ulapualides and halichon-dramide, from a sponge of the genus Mycale. Tetrahedron Lett. 1989, 30, 2809–2812. [Google Scholar] [CrossRef]
- Kobayashi, J.; Murata, O.; Shigemori, H.; Sasaki, T. Jaspisamides A-C, new cytotoxic macrolides from the Okinawan sponge Jaspis sp. J. Nat. Prod. 1993, 56, 787–791. [Google Scholar] [CrossRef]
- Sirirak, T.; Kittiwisut, S.; Janma, C.; Yuenyongsawad, S.; Suwanborirux, K.; Plubrukarn, A. Kabiramides J and K, trisoxazole macrolides from the sponge Pachastrissa nux. J. Nat. Prod. 2011, 74, 1288–1292. [Google Scholar] [CrossRef] [PubMed]
- Youngsaye, W.; Lowe, J.T.; Pohlki, F.; Ralifo, P.; Panek, J.S. Total synthesis and stereochemical reassignment of (+)-neopeltolide. Angew. Chem. Int. Ed. 2007, 46, 9211–9214. [Google Scholar] [CrossRef]
- Custar, D.W.; Zabawa, T.P.; Hines, J.; Crews, C.M.; Scheidt, K.A. Total synthesis and structure-activity investigation of the marine natural product neopeltolide. J. Am. Chem. Soc. 2009, 131, 12406–12414. [Google Scholar] [CrossRef] [PubMed] [Green Version]
- D’Ambrosio, M.; Guerriero, A.; Debitus, C.; Pietra, F. Leucascandrolide A, a new type of macrolide: The first powerfully bio-active metabolite of calcareous sponges (Leucascandra caveolata, a new genus from the coral sea). Helv. Chim. Acta 1996, 79, 51–60. [Google Scholar] [CrossRef]
- Ulanovskaya, O.A.; Janjic, J.; Suzuki, M.; Sabharwal, S.S.; Schumacker, P.T.; Kron, S.J.; Kozmin, S.A. Synthesis enables identification of the cellular target of leucascandrolide A and neopeltolide. Nat. Chem. Biol. 2008, 4, 418–424. [Google Scholar] [CrossRef] [PubMed] [Green Version]
- Oku, N.; Takada, K.; Fuller, R.W.; Wilson, J.A.; Peach, M.L.; Pannell, L.K.; McMahon, J.B.; Gustafson, K.R. Isolation, structural elucidation, and absolute stereochemistry of enigmazole A, a cytotoxic phosphomacrolide from the Papua new guinea marine sponge Cinachyrella enigmatica. J. Am. Chem. Soc. 2010, 132, 10278–10285. [Google Scholar] [CrossRef] [Green Version]
- Sakurai, K.; Sakamoto, K.; Sasaki, M.; Fuwa, H. Unified total synthesis of (-)-enigmazole A and (-)-15-O-Methylenigmazole A. Chem. Asian. J. 2020, 15, 3494–3502. [Google Scholar] [CrossRef] [PubMed]
- Kato, Y.; Fusetani, N.; Matsunaga, S.; Hashimoto, K.; Fujita, S.; Furuya, T. Bioactive marine metabolites. Part 16. Calyculin A. A novel antitumor metabolite from the marine sponge Discodermia calyx. J. Am. Chem. Soc. 1986, 108, 2780–2781. [Google Scholar] [CrossRef]
- Matsunaga, S.; Wakimoto, T.; Fusetani, N. Isolation of four new calyculins from the marine sponge Discodermia calyx. J. Org. Chem. 1997, 62, 9388. [Google Scholar] [CrossRef]
- Matsunaga, S.; Fujiki, H.; Sakata, D.; Fusetani, N. ChemInform Abstract: Calyculins E, F, G, and H, Additional inhibitors of protein phosphatases 1 and 2A, from the marine sponge Discodermia calyx. Tetrahedron 2010, 22, 2999–3006. [Google Scholar] [CrossRef]
- Kehraus, S.; König, G.M.; Wright, A.D. A new cytotoxic calyculinamide derivative, geometricin A, from the Australian sponge Luffariella geometrica. J. Nat. Prod. 2002, 65, 1056–1058. [Google Scholar] [CrossRef] [PubMed]
- Matsunaga, S.; Wakimoto, T.; Fusetani, N.; Suganuma, M. Isolation of dephosphonocalyculin a from the marine sponge, Discodermia calyx. Tetrahedron Lett. 1997, 38, 3763–3764. [Google Scholar] [CrossRef]
- Fu, X.; Schmitz, F.J.; Kelly-Borges, M.; McCready, A.T.L.; Holmes, C.F.B. Clavosines A−C from the marine sponge Myriastra clavosa: Potent cytotoxins and inhibitors of protein phosphatases 1 and 2A. J. Org. Chem. 1998, 63, 7957–7963. [Google Scholar] [CrossRef]
- Hou, S.Y.; Zhang, M.Y.; Wang, H.D.; Zhang, Y.X. Characterization of the biosynthesis gene cluster and oxazole ring formation enzyme for inthomycins in Streptomyces sp. strain SYP-A7193. Appl. Environ. Microbiol. 2020, 86, 1–44. [Google Scholar] [CrossRef]
- Webb, M.R.; Donald, C.; Taylor, R.J.K. A general route to the Streptomyces-derived inthomycin family: the first synthesis of (+)-inthomycin B. Tetrahedron Lett. 2006, 47, 549–552. [Google Scholar] [CrossRef]
- Shin, J.; Lee, H.S.; Kim, J.-Y.; Shin, H.J.; Ahn, J.W.; Paul, V.J. New macrolides from the sponge Chondrosia corticata. J. Nat. Prod. 2004, 67, 1889–1892. [Google Scholar] [CrossRef]
- Higa, T.; Tanaka, J.I.; Kitamura, A.; Koyama, T.; Takahashia, M.; Uchida, T. Bioactive compounds from marine sponges. Pure Appl. Chem. 1994, 66, 2227–2230. [Google Scholar] [CrossRef]
- Ichiba, T.; Yoshida, W.Y.; Scheuer, P.J.; Higa, T.; Gravalos, D.G. Hennoxazoles, bioactive bisoxazoles from a marine sponge. J. Am. Chem. Soc. 1991, 113, 3173–3174. [Google Scholar] [CrossRef]
- Takaishi, S.; Tuchiya, N.; Sato, A.; Negishi, T.; Takamatsu, Y.; Matsushita, Y.; Watanabe, T.; Iijima, Y.; Haruyama, H.; Kinoshita, T.; et al. B-90063, a novel endothelin converting enzyme inhibitor isolated from a new marine bacterium, Blastobacter sp. SANK 71894. J. Antibiot. 1998, 51, 805–815. [Google Scholar] [CrossRef] [PubMed] [Green Version]
- Fernández, R.; Dherbomez, M.; Letourneux, Y.; Nabil, M.; Verbist, A.J.F.; Biard§, J.F. Antifungal metabolites from the marine sponge Pachastrissa sp.: New bengamide and bengazole derivatives. J. Nat. Prod. 1999, 62, 678–680. [Google Scholar] [CrossRef] [PubMed]
- Mulder, R.J.; Shafer, C.M.; Dalisay, D.S.; Molinski, T.F. Synthesis and structure–activity relationships of bengazole A analogs. Bioorganic Med. Chem. Lett. 2009, 19, 2928–2930. [Google Scholar] [CrossRef] [PubMed] [Green Version]
- Zhao, B.B.; Guo, H.J.; Liu, Y.; Luo, X.Y.; Yang, S.X.; Wang, Y.T.; Leng, X.; Mo, C.F.; Zou, Q. K313, a novel benzoxazole derivative, exhibits anti-inflammatory properties via inhibiting GSK3β activity in LPS-induced RAW264.7 macrophages. J. Cell Biochem. 2018, 119, 5382–5390. [Google Scholar] [CrossRef] [PubMed]
- Demmer, C.S.; Bunch, L. Benzoxazoles and oxazolopyridines in medicinal chemistry studies. Eur. J. Med. Chem. 2015, 97, 778–785. [Google Scholar] [CrossRef] [PubMed]
- Hwang, I.H.; Oh, J.; Zhou, W.; Park, S.; Kim, J.H.; Chittiboyina, A.; Ferreira, D.; Song, G.Y.; Oh, S.; Na, M.; et al. Cytotoxic activity of rearranged drimane meroterpenoids against colon cancer cells via down-regulation of β-catenin expression. J. Nat. Prod. 2015, 78, 453–461. [Google Scholar] [CrossRef] [PubMed]
- Wang, J.; Mu, F.R.; Jiao, W.-H.; Huang, J.; Hong, L.L.; Yang, F.; Xu, Y.; Wang, S.P.; Sun, F.; Lin, H.W. Meroterpenoids with protein tyrosine phosphatase 1B inhibitory activity from a Hyrtios sp. marine sponge. J. Nat. Prod. 2017, 80, 2509–2514. [Google Scholar] [CrossRef] [PubMed]
- Daletos, G.; deVoogd, N.J.; Müller, W.E.G.; Wray, V.; Lin, W.; Feger, D.; Kubbutat, M.; Aly, A.H.; Proksch, P. Cytotoxic and protein kinase inhibiting nakijiquinones and nakijiquinols from the sponge Dactylospongia metachromia. J. Nat. Prod. 2014, 77, 218–226. [Google Scholar] [CrossRef]
- Ovenden, S.P.B.; Nielson, J.L.; Liptrot, C.H.; Willis, R.H.; Tapiolas, D.M.; Wright, A.D.; Motti, C.A. Sesquiterpene benzoxazoles and sesquiterpene quinones from the marine sponge Dactylospongia elegans. J. Nat. Prod. 2011, 74, 65–6810. [Google Scholar] [CrossRef]
- Takeda, Y.; Nakai, K.; Narita, K.; Katoh, T. A novel approach to sesquiterpenoid benzoxazole synthesis from marine sponges: Nakijinols A, B and E–G. Org. Biomol. Chem. 2018, 16, 3639–3647. [Google Scholar] [CrossRef]
- Sun, M.; Zhang, X.; Hao, H.; Li, W.; Lu, C. Nocarbenzoxazoles A-G, benzoxazoles produced by halophilic Nocardiopsis lucen-tensis DSM 44048. J. Nat. Prod. 2015, 78, 2123–2127. [Google Scholar] [CrossRef] [PubMed]
- Kim, T.; Lee, S.A.; Noh, T.; Choi, P.; Choi, S.J.; Song, B.G.; Kim, Y.; Park, Y.T.; Huh, G.; Kim, Y.J.; et al. Synthesis, structure revision, and cytotoxicity of nocarbenzoxazole G. J. Nat. Prod. 2019, 82, 1325–1330. [Google Scholar] [CrossRef] [PubMed]
- Venkateswarlu, Y.; Reddy, N.S.; Ramesh, P.; Rao, J.V. Coixol: A bioactive principle from a marine sponge Oceanapia sp. Biochem. Syst. Ecol. 1999, 27, 519–520. [Google Scholar] [CrossRef]
- Rodríguez, I.I.; Rodríguez, A.D. Homopseudopteroxazole, a new antimycobacterial diterpene alkaloid from Pseudopterogorgia elisabethae. J. Nat. Prod. 2003, 66, 855–857. [Google Scholar] [CrossRef]
- Rodriguez, A.D.; Ramıirez, C.; Rodriguez, I.I.; Gonzalez, E. Novel antimycobacterial benzoxazole alkaloids, from the west Indian sea whip Pseudopterogorgia elisabethae. Org. Lett. 1999, 1, 527–530. [Google Scholar] [CrossRef]
- Georgantea, P.; Ioannou, E.; Evain-Bana, E.; Bagrel, D.; Martinet, N.; Vagias, C.; Roussis, V. Sesquiterpenes with inhibitory activity against CDC25 phosphatases from the soft coral Pseudopterogorgia rigida. Tetrahedron 2016, 72, 3262–3269. [Google Scholar] [CrossRef]
- McCulloch, M.W.B.; Berrue, F.; Haltli, B.; Kerr, R.G. One-Pot syntheses of pseudopteroxazoles from pseudopterosins: A rapid route to non-natural congeners with improved antimicrobial activity. J. Nat. Prod. 2011, 74, 2250–2256. [Google Scholar] [CrossRef]
- Zhang, X.; Fang, X.; Xu, M.; Lei, Y.; Wu, Z.; Hu, X. Enantioselective total synthesis of pseudopteroxazole and ileabethoxazole. Angew. Chem. Int. Ed. 2019, 58, 7845–7849. [Google Scholar] [CrossRef]
- Genta-Jouve, G.; Francezon, N.; Puissant, A.; Auberger, P.; Vacelet, J.; Pérez, T.; Fontana, A.; Al Mourabit, A.; Thomas, O.P. Structure elucidation of the new citharoxazole from the Mediterranean deep-sea sponge Latrunculia (Biannulata) citharistae. Magn. Reson. Chem. 2011, 49, 533–536. [Google Scholar] [CrossRef] [PubMed]
- Julianti, E.; Lee, J.H.; Liao, L.; Park, W.; Park, S.; Oh, D.C.; Oh, K.B.; Shin, J. New polyaromatic metabolites from a marine-derived fungus Penicillium sp. Org. Lett. 2013, 15, 1286–1289. [Google Scholar] [CrossRef] [PubMed]
- Takahashi, Y.; Kubota, T.; Shibazaki, A.; Gonoi, T.; Fromont, J.; Kobayashi, J. Nakijinamines C-E, new heteroaromatic alkaloids from the sponge Suberites species. Org. Lett. 2011, 13, 3016–3019. [Google Scholar] [CrossRef] [PubMed]
- Hohmann, C.; Schneider, K.; Bruntner, C.; Irran, E.; Nicholson, G.; Bull, A.T.; Jones, A.L.; Brown, R.; Stach, J.E.M.; Goodfellow, M.; et al. Caboxamycin, a new antibiotic of the benzoxazole family produced by the deep-sea strain Streptomyces sp. NTK 937. J. Antibiot. 2009, 62, 99–104. [Google Scholar] [CrossRef] [PubMed] [Green Version]
- Tagawa, Y.; Koba, H.; Tomoike, K.; Sumoto, K. Synthesis of caboxamycin and its derivatives using eco-friendly oxidation. Heterocycles 2011, 83, 867. [Google Scholar] [CrossRef]
- Losada, A.A.; Cano-Prieto, C.; Garcia-Salcedo, R.; Brana, A.F.; Mendez, C.; Salas, J.A.; Olano, C. Caboxamycin biosynthesis pathway and identification of novel benzoxazoles produced by cross-talk in Streptomyces sp. NTK 937. Microb. Biotechnol. 2017, 10, 873–885. [Google Scholar] [CrossRef] [PubMed]
- Dattelbaum, J.D.; Singh, A.J.; Field, J.J.; Miller, J.H.; Northcote, P.T. The nitrogenous hamigerans: Unusual amino acid-derivatized aromatic diterpenoid metabolites from the New Zealand marine sponge Hamigera tarangaensis. J. Org. Chem. 2015, 80, 304–312. [Google Scholar] [CrossRef] [PubMed]
- Liu, L.L.; Xu, Y.; Han, Z.; Li, Y.X.; Lu, L.; Lai, P.Y.; Zhong, J.L.; Guo, X.R.; Zhang, X.X.; Qian, P.Y. Four new antibacterial xanthones from the marine-derived actinomycetes Streptomyces caelestis. Mar. Drugs 2012, 10, 2571–2583. [Google Scholar] [CrossRef] [PubMed] [Green Version]
- Susic, D.; Djordjevic, N.; Kentera, D. Hemodynamic effects of two ergot derivatives in the conscious spontaneously hyper-tensive rat. Pharmacology 1984, 29, 215–223. [Google Scholar] [CrossRef] [PubMed]
- Zhang, H.; Zhao, Z.; Wang, H. Cytotoxic natural products from marine sponge-derived microorganisms. Mar. Drugs 2017, 15, 68. [Google Scholar] [CrossRef] [PubMed] [Green Version]
- Kamat, S.; Kumari, M.; Taritla, S.; Jayabaskaran, C. Endophytic fungi of marine alga from Konkan coast, India—A rich source of bioactive material. Front. Mar. Sci. 2020, 7, 1–16. [Google Scholar] [CrossRef]
- Chen, S.; Cai, R.; Liu, Z.; Cui, H.; She, Z. Secondary metabolites from mangrove-associated fungi: Source, chemistry and bioactivities. Nat. Prod. Rep. 2021. [Google Scholar] [CrossRef] [PubMed]
- Ramesh, C.; Tulasi, B.R.; Raju, M.; Thakur, N.; Dufosse, L. Marine natural products from tunicates and their associated mi-crobes. Mar. Drugs 2021, 19, 308. [Google Scholar] [CrossRef] [PubMed]
- Atanasov, A.G.; Zotchev, S.B.; Dirsch, V.M.; the International Natural Product Sciences Taskforce; Supuran, C.T. Natural products in drug discovery: Advances and opportunities. Nat. Rev. Drug Discov. 2021, 20, 200–216. [Google Scholar] [CrossRef] [PubMed]



















Publisher’s Note: MDPI stays neutral with regard to jurisdictional claims in published maps and institutional affiliations. |
© 2021 by the authors. Licensee MDPI, Basel, Switzerland. This article is an open access article distributed under the terms and conditions of the Creative Commons Attribution (CC BY) license (https://creativecommons.org/licenses/by/4.0/).
Share and Cite
Chen, J.; Lv, S.; Liu, J.; Yu, Y.; Wang, H.; Zhang, H. An Overview of Bioactive 1,3-Oxazole-Containing Alkaloids from Marine Organisms. Pharmaceuticals 2021, 14, 1274. https://doi.org/10.3390/ph14121274
Chen J, Lv S, Liu J, Yu Y, Wang H, Zhang H. An Overview of Bioactive 1,3-Oxazole-Containing Alkaloids from Marine Organisms. Pharmaceuticals. 2021; 14(12):1274. https://doi.org/10.3390/ph14121274
Chicago/Turabian StyleChen, Jinyun, Sunyan Lv, Jia Liu, Yanlei Yu, Hong Wang, and Huawei Zhang. 2021. "An Overview of Bioactive 1,3-Oxazole-Containing Alkaloids from Marine Organisms" Pharmaceuticals 14, no. 12: 1274. https://doi.org/10.3390/ph14121274
APA StyleChen, J., Lv, S., Liu, J., Yu, Y., Wang, H., & Zhang, H. (2021). An Overview of Bioactive 1,3-Oxazole-Containing Alkaloids from Marine Organisms. Pharmaceuticals, 14(12), 1274. https://doi.org/10.3390/ph14121274

