Synthesis and Antiproliferative Evaluation of 3-Chloroazetidin-2-ones with Antimitotic Activity: Heterocyclic Bridged Analogues of Combretastatin A-4
Abstract
1. Introduction
2. Results and Discussion
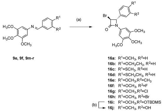
2.1. Chemistry
2.2. Biochemical Results
2.2.1. Activity of β-Lactam Compounds in MCF-7 Human Breast Cancer Cell Line
2.2.2. Antiproliferative Activity of Selected β-Lactam Compounds in the MDA-MB-231, Hs578T and Hs578Ts(i)8 Triple Negative Breast Cancer Cell Lines
2.2.3. Antiproliferative Activity of Selected β-Lactam Compounds in Multiple Myeloma (U266), Acute Myeloid Leukaemia (HL60) and Colon Cancer (HT-29 and SW480) Cell Lines
2.2.4. NCI Cell Line Screening for β-Lactam Compounds 10e, 11n and 16d
2.2.5. Antiproliferative Activity of β-Lactam Compound 10n in Non-Carcinogenic Human Cells
2.2.6. β-Lactam Compound 10n Induces Cell Cycle Arrest and Apoptosis in MCF-7 Cells
2.2.7. Effects of Compound 10n on Tubulin Polymerisation in MCF-7 Cells
2.2.8. Effects of Compound 10n on Expression Levels of Apoptosis-Associated Proteins Bax, Bcl-2 and Mcl-1 in MCF-7 Cells
2.3. Computational Modelling of β-Lactam Compounds 10n, 11n and 14b
3. Materials and Methods
3.1. Chemistry
3.1.1. General Method 1A: PREPARATION of Imines with Ethanol as Solvent (9k, 9l, 9t–v):
2-Methoxy-5-[(3,4,5-trimethoxyphenylimino)methyl]phenol (9k)
[3-(Tert-butyldimethylsilanyloxy)-4-methoxybenzylidene](3,4,5-trimethoxyphenyl)amine (9l)
(E)-N-(4-Methoxyphenyl)-1-(3,4,5-trimethoxyphenyl)methanimine (9t)
(E)-N-(4-Ethoxyphenyl)-1-(3,4,5-trimethoxyphenyl)methanimine (9u)
(E)-N-(4-(Methylthio)phenyl)-1-(3,4,5-trimethoxyphenyl)methanimine (9v)
3.1.2. General Method IB: Schiff Base Preparation with Water as a Solvent (9w, 9x)
(E)-N-(3,5-Dimethoxyphenyl)-1-(4-methoxyphenyl)methanimine (9w)
(E)-N-(3,5-Dimethoxyphenyl)-1-(4-ethoxyphenyl)methanimine (9x)
3.1.3. General Method II: Preparation of 3-Chloroazetidin-2-ones, 3,3-Dichloroazetidin-2-ones, 3-Bromoazetidin-2-ones (10a–o, 11a–o, 12a–c, 13a–c, 14a, 14b, 15a, 15b, 16a–h)
3-Chloro-1-(3,4,5-trimethoxyphenyl)-4-phenylazetidin-2-one (10a)
3-Chloro-4-(4-chlorophenyl)-1-(3,4,5-trimethoxyphenyl)azetidin-2-one (10b)
4-(4-Bromophenyl)-3-chloro-1-(3,4,5-trimethoxyphenyl)azetidin-2-one (10c)
3-Chloro-1-(3,4,5-trimethoxyphenyl)-4-(4-nitrophenyl)azetidin-2-one (10d)
Cis-3-chloro-1-(3,4,5-trimethoxyphenyl)-4-(4-methoxyphenyl) azetidin-2-one (10e cis)
Trans-3-chloro-1-(3,4,5-trimethoxyphenyl)-4-(4-methoxyphenyl) azetidin-2-one (10e trans)
3-Chloro-1-(3,4,5-trimethoxyphenyl)-4-(4-phenoxyphenyl)azetidin-2-one (10g)
4-(4-Benzyloxyphenyl)-3-chloro-1-(3,4,5-trimethoxyphenyl)azetidin-2-one (10h)
3-Chloro-1-(3,4,5-trimethoxyphenyl)-4-(naphthalen-1-yl)azetidin-2-one (10j)
3-Chloro-1-(3,4,5-trimethoxyphenyl)-4-(naphthalen-2-yl)azetidin-2-one (10k)
3-Chloro-4-(4-methoxy-3-nitrophenyl)-1-(3,4,5-trimethoxyphenyl) azetidin-2-one (10m)
3-Chloro-4-(3-hydroxy-4-methoxy-phenyl)-1-(3,4,5-trimethoxyphenyl)azetidin-2-one (10n)
3,3-Dichloro-1-(3,4,5-trimethoxyphenyl)-4-phenylazetidin-2-one (11a)
3,3-Dichloro-4-(4-chlorophenyl)-1-(3,4,5-trimethoxyphenyl)azetidin-2-one (11b)
4-(4-Bromophenyl)-3,3-dichloro-1-(3,4,5-trimethoxyphenyl)azetidin-2-one (11c)
3,3-Dichloro-1-(3,4,5-trimethoxyphenyl)-4-(4-nitrophenyl)azetidin-2-one (11d)
3,3-Dichloro-1-(3,4,5-trimethoxyphenyl)-4-(4-phenoxyphenyl)azetidin-2-one (11g)
4-(4-Benzyloxyphenyl)-3,3-dichloro-1-(3,4,5-trimethoxyphenyl) azetidin-2-one (11h)
3,3-Dichloro-1-(3,4,5-trimethoxyphenyl)-4-(naphthalen-1-yl)azetidin-2-one (11j)
3,3-Dichloro-1-(3,4,5-trimethoxyphenyl)-4-(naphthalen-2-yl)azetidin-2-one (11k)
3,3-Dichloro-4-(4-methoxy-3-nitrophenyl)-1-(3,4,5-trimethoxyphenyl) azetidin-2-one (11m)
3,3-Dichloro-4-(3-hydroxy-4-methoxyphenyl)-1-(3,4,5-trimethoxyphenyl)azetidin-2-one (11n)
3-Chloro-1-(4-methoxyphenyl)-4-(3,4,5-trimethoxyphenyl)azetidin-2-one (12a)
3-Chloro-1-(4-ethoxyphenyl)-4-(3,4,5-trimethoxyphenyl)azetidin-2-one (12b)
3-Chloro-1-(4-(methylthio)phenyl)-4-(3,4,5-trimethoxyphenyl) azetidin-2-one (12c)
3,3-Dichloro-4-(3,4,5-trimethoxyphenyl)-1-(4-methoxyphenyl)azetidin-2-one (13a)
3,3-Dichloro-1-(4-ethoxyphenyl)-4-(3,4,5-trimethoxyphenyl)azetidin-2-one (13b)
3,3-Dichloro-1-(4-(methylthio)phenyl)-4-(3,4,5-trimethoxyphenyl) azetidin-2-one (13c)
3-Chloro-1-(3,5-dimethoxyphenyl)-4-(4-methoxyphenyl)azetidin-2-one (14a)
3-Chloro-1-(3,5-dimethoxyphenyl)-4-(4-ethoxyphenyl)azetidin-2-one (14b)
3,3-Dichloro-1-(3,5-dimethoxyphenyl)-4-(4-methoxyphenyl)azetidin-2-one (15a)
3,3-Dichloro-1-(3,5-dimethoxyphenyl)-4-(4-ethoxyphenyl)azetidin-2-one (15b)
3-Bromo-4-(4-methoxyphenyl)-1-(3,4,5-trimethoxyphenyl)azetidin-2-one (16a)
3-Bromo-4-(4-ethoxyphenyl)-1-(3,4,5-trimethoxyphenyl)azetidin-2-one (16b)
3-Bromo-4-(4-(methylthio)phenyl)-1-(3,4,5-trimethoxyphenyl)azetidin-2-one (16c)
3-Bromo-4-(4-(ethylthio)phenyl)-1-(3,4,5-trimethoxyphenyl)azetidin-2-one (16d)
3-Bromo-4-(4-methoxy-3-methylphenyl)-1-(3,4,5-trimethoxyphenyl) azetidin-2-one (16e)
3-Bromo-4-(3-fluoro-4-methoxyphenyl)-1-(3,4,5-trimethoxyphenyl) azetidin-2-one (16f)
3-Bromo-4-(3-chloro-4-methoxyphenyl)-1-(3,4,5-trimethoxyphenyl) azetidin-2-one (16g)
3-Bromo-4-(3-bromo-4-methoxyphenyl)-1-(3,4,5-trimethoxyphenyl) azetidin-2-one (16h)
3-Bromo-4-(3-(tert-butyldimethylsilyl)-4-methoxyphenyl)-1-(3,4,5-trimethoxyphenyl)azetidin-2-one (16i)
3-Bromo-4-(3-hydroxy-4-methoxyphenyl)-1-(3,4,5-trimethoxyphenyl) azetidin-2-one (16j)
3.1.4. 5-(3,3-Dichloro-1-(3,4,5-trimethoxyphenyl)-4-oxoazetidin-2-yl)-2-methoxyphenyl dibenzyl phosphate (17)
3.1.5. 5-(3,3-Dichloro-1-(3,4,5-trimethoxyphenyl)-4-oxoazetidin-2-yl)-2-methoxyphenyl dihydrogen phosphate (18)
3.2. Stability Study for Compound 16a
3.3. Biochemical Evaluation of Activity
3.3.1. Cell Culture
3.3.2. Cell Viability Assay
3.3.3. Lactate Dehydrogenase Assay for Cytotoxicity
3.3.4. Cell Cycle Analysis
3.3.5. Annexin V/PI Apoptotic Assay
3.3.6. In Vitro Tubulin Polymerisation Assay
3.3.7. Colchicine Binding-Site Assay
3.3.8. Immunofluorescence Assay
3.3.9. Western Blot Analysis
3.4. X-ray Crystallography
3.5. Computational Procedure for Molecular Docking
4. Conclusions
Supplementary Materials
Author Contributions
Funding
Institutional Review Board Statement
Informed Consent Statement
Data Availability Statement
Acknowledgments
Conflicts of Interest
Abbreviations
| ADC | Antibody-drug conjugate |
| ATR | Attenuated total reflection |
| CA-4 | Combretastatin A-4 |
| DAMA | N-deacetyl-N-(2-mercaptoacetyl)colchicine |
| DBU | 1,8-Diazabicyclo[5.4.0]undec-7-ene |
| DCM | Dichloromethane |
| DEPT | Distortionless Enhancement by Polarisation Transfer |
| DMEM | Dulbecco’s Mod |
| DMSO | Dimethylsulfoxide |
| ECACC | European Collection of Animal Cell Cultures |
| EGFR | Epidermal growth factor receptor |
| ER | Estrogen receptor |
| FACS | Fluorescence activated cell sorting |
| FBS | Foetal bovine serum |
| GI50 | 50% Growth inhibitory concentration |
| HER2 | Human epidermal growth factor receptor 2 |
| HDBC | Hormone-dependent breast cancer |
| HR | Hormone receptor |
| IC50 | Half-maximal inhibitory concentration |
| LC50 | Median lethal concentration |
| MDR | Multidrug resistant |
| MEM | Minimum essential media |
| MTA | Microtubule-targeting agent |
| NCI | National Cancer Institute |
| NMR | Nuclear magnetic resonance |
| NSCLC | Non-small-cell lung cancer |
| PBS | Phosphate buffered saline |
| PBST | Phosphate buffered Saline with Tween® 20 |
| PI | Propidium iodide |
| PIK3 | Phosphatidylinositol-4,5-Bisphosphate 3-Kinase |
| PR | Progesterone receptor |
| SERM | Selective estrogen receptor modulator |
| t-BAF | tert-Butylammonium fluoride |
| TBDMSCl | tertButyldimethylsilyl chloride |
| TGI | Total growth inhibitory concentration |
| THF | Tetrahydrofuran |
| TLC | Thin layer chromatography |
| TNBC | Triple-negative breast cancer |
| TPSA | Topological polar surface area |
| VDA | Vascular targeting agent |
References
- Steinmetz, M.O.; Prota, A.E. Microtubule-Targeting Agents: Strategies to Hijack the Cytoskeleton. Trends Cell Biol. 2018, 28, 776–792. [Google Scholar] [CrossRef]
- Kaul, R.; Risinger, A.L.; Mooberry, S.L. Microtubule-Targeting Drugs: More than Antimitotics. J. Nat. Prod. 2019, 82, 680–685. [Google Scholar] [CrossRef]
- Khongorzul, P.; Ling, C.J.; Khan, F.U.; Ihsan, A.U.; Zhang, J. Antibody–Drug Conjugates: A Comprehensive Review. Mol. Cancer Res. 2019, 18, 3–19. [Google Scholar] [CrossRef]
- Prota, A.E.; Bargsten, K.; Díaz, J.F.; Marsh, M.; Cuevas, C.; Liniger, M.; Neuhaus, C.; Andreu, J.M.; Altmann, K.-H.; Steinmetz, M.O. A new tubulin-binding site and pharmacophore for microtubule-destabilizing anticancer drugs. Proc. Natl. Acad. Sci. USA 2014, 111, 13817–13821. [Google Scholar] [CrossRef]
- Guo, H.; Li, X.; Guo, Y.; Zhen, L. An overview of tubulin modulators deposited in protein data bank. Med. Chem. Res. 2019, 28, 927–937. [Google Scholar] [CrossRef]
- Ravelli, R.; Gigant, B.; Curmi, P.A.; Jourdain, I.; Lachkar, S.; Sobel, A.; Knossow, M. Insight into tubulin regulation from a complex with colchicine and a stathmin-like domain. Nature 2004, 428, 198–202. [Google Scholar] [CrossRef]
- Slobodnick, A.; Shah, B.; Krasnokutsky, S.; Pillinger, M.H. Update on colchicine, 2017. Rheumatology 2018, 57, i4–i11. [Google Scholar] [CrossRef]
- Gracheva, I.A.; Shchegravina, E.S.; Schmalz, H.-G.; Beletskaya, I.P.; Fedorov, A.Y. Colchicine Alkaloids and Synthetic Analogues: Current Progress and Perspectives. J. Med. Chem. 2020, 63, 10618–10651. [Google Scholar] [CrossRef]
- Majcher, U.; Klejborowska, G.; Kaik, M.; Maj, E.; Wietrzyk, J.; Moshari, M.; Preto, J.; Tuszynski, J.A.; Huczyński, A. Synthesis and Biological Evaluation of Novel Triple-Modified Colchicine Derivatives as Potent Tubulin-Targeting Anticancer Agents. Cells 2018, 7, 216. [Google Scholar] [CrossRef]
- Greene, L.M.; Meegan, M.J.; Zisterer, D.M. Combretastatins: More than just vascular targeting agents? J. Pharmacol. Exp. Ther. 2015, 355, 212–227. [Google Scholar] [CrossRef]
- Pettit, G.R.; Singh, S.B.; Hamel, E.; Lin, C.M.; Alberts, D.S.; Garcia-Kendal, D. Isolation and structure of the strong cell growth and tubulin inhibitor combretastatin A-4. Cell. Mol. Life Sci. 1989, 45, 209–211. [Google Scholar] [CrossRef]
- Chase, D.M.; Chaplin, D.J.; Monk, B.J. The development and use of vascular targeted therapy in ovarian cancer. Gynecol. Oncol. 2017, 145, 393–406. [Google Scholar] [CrossRef]
- Grisham, R.; Ky, B.; Tewari, K.S.; Chaplin, D.J.; Walker, J. Clinical trial experience with CA-4P anticancer therapy: Focus on efficacy, cardiovascular adverse events, and hypertension management. Gynecol. Oncol. Res. Pract. 2018, 5, 1. [Google Scholar] [CrossRef]
- Karatoprak, G.; Akkol, E.K.; Genç, Y.; Bardakci, H.; Yücel, C.; Sobarzo-Sánchez, E. Combretastatins: An Overview of Structure, Probable Mechanisms of Action and Potential Applications. Molecules 2020, 25, 2560. [Google Scholar] [CrossRef] [PubMed]
- Zhang, Y.; Zhang, Q.; Wei, F.; Liu, N. Progressive study of effects of erianin on anticancer activity. OncoTargets Ther. 2019, 12, 5457–5465. [Google Scholar] [CrossRef]
- Pettit, G.R.; Toki, B.; Herald, D.L.; Verdier-Pinard, P.; Boyd, M.R.; Hamel, E.; Pettit, R.K. Antineoplastic Agents. 379. Synthesis of Phenstatin Phosphate. J. Med. Chem. 1998, 41, 1688–1695. [Google Scholar] [CrossRef]
- Hamze, A.; Alami, M.; Provot, O. Developments of isoCombretastatin A-4 derivatives as highly cytotoxic agents. Eur. J. Med. Chem. 2020, 190, 112110. [Google Scholar] [CrossRef]
- Aprile, S.; Del Grosso, E.; Tron, G.C.; Grosa, G. In vitro metabolism study of combretastatin A-4 in rat and human liver mi-crosomes. Drug Metab. Dispos. 2007, 35, 2252–2261. [Google Scholar] [CrossRef]
- Gaspari, R.; Prota, A.E.; Bargsten, K.; Cavalli, A.; Steinmetz, M.O. Structural Basis of cis - and trans -Combretastatin Binding to Tubulin. Chem 2017, 2, 102–113. [Google Scholar] [CrossRef]
- McLoughlin, E.C.; O’Boyle, N.M. Colchicine-binding site inhibitors from chemistry to clinic: A review. Pharmaceuticals 2020, 13, 8. [Google Scholar] [CrossRef]
- La Regina, G.; Coluccia, A.; Naccarato, V.; Silvestri, R. Towards modern anticancer agents that interact with tubulin. Eur. J. Pharm. Sci. 2019, 131, 58–68. [Google Scholar] [CrossRef] [PubMed]
- Arnst, K.E.; Wang, Y.; Hwang, D.-J.; Xue, Y.; Costello, T.; Hamilton, D.; Chen, Q.; Yang, J.; Park, F.; Dalton, J.T.; et al. A Potent, Metabolically Stable Tubulin Inhibitor Targets the Colchicine Binding Site and Overcomes Taxane Resistance. Cancer Res. 2017, 78, 265–277. [Google Scholar] [CrossRef]
- Fu, D.-J.; Li, P.; Wu, B.-W.; Cui, X.-X.; Zhao, C.-B.; Zhang, S.-Y. Molecular diversity of trimethoxyphenyl-1,2,3-triazole hybrids as novel colchicine site tubulin polymerization inhibitors. Eur. J. Med. Chem. 2019, 165, 309–322. [Google Scholar] [CrossRef]
- Naret, T.; Khelifi, I.; Provot, O.; Bignon, J.; Levaique, H.; Dubois, J.; Souce, M.; Kasselouri, A.; Deroussent, A.; Paci, A.; et al. 1,1-Diheterocyclic Ethylenes Derived from Quinaldine and Carbazole as New Tubulin-Polymerization Inhibitors: Synthesis, Metabolism, and Biological Evaluation. J. Med. Chem. 2018, 62, 1902–1916. [Google Scholar] [CrossRef]
- Khelifi, I.; Pecnard, S.; Bernadat, G.; Bignon, J.; Levaique, H.; Dubois, J.; Provot, O.; Alami, M. Synthesis and Anticancer Properties of Oxazepines Related to Azaisoerianin and IsoCoQuines. ChemMedChem 2020, 15, 1571–1578. [Google Scholar] [CrossRef]
- A Phase i/ii Trial of Crolibulin (epc2407) Plus Cisplatin in Adults with Solid Tumors with a Focus on Anaplastic Thyroid Cancer (atc). Available online: https://clinicaltrials.gov/ct2/show/nct01240590 (accessed on 14 September 2021).
- Zhang, Z.; Wang, C.; Ma, L.; Jiang, X.; Wu, C.; Wang, Y.; Jiang, Y.; Zheng, W.; Yang, Y.; Ma, Y.; et al. Molecular mechanism of crolibulin in complex with tubulin provides a rationale for drug design. Biochem. Biophys. Res. Commun. 2019, 511, 381–386. [Google Scholar] [CrossRef]
- Wang, Y.; Zhang, H.; Gigant, B.; Yu, Y.; Wu, Y.; Chen, X.; Lai, Q.; Yang, Z.; Chen, Q.; Yang, J. Structures of a diverse set of colchicine binding site inhibitors in complex with tubulin provide a rationale for drug discovery. FEBS J. 2015, 283, 102–111. [Google Scholar] [CrossRef]
- Tonra, J.R.; Lloyd, G.K.; Mohanlal, R.; Huang, L. Plinabulin ameliorates neutropenia induced by multiple chemotherapies through a mechanism distinct from G-CSF therapies. Cancer Chemother. Pharmacol. 2019, 85, 461–468. [Google Scholar] [CrossRef]
- Blayney, D.W.; Zhang, Q.; Feng, J.; Zhao, Y.; Bondarenko, I.; Vynnychenko, I.; Kovalenko, N.; Nair, S.; Ibrahim, E.; Udovista, D.P.; et al. Efficacy of plinabulin vs pegfilgrastim for prevention of chemotherapy-induced neutropenia in adults with non-small cell lung cancer: A phase 2 randomized clinical trial. JAMA Oncol. 2020, 6, e204429. [Google Scholar] [CrossRef]
- Bohnacker, T.; Prota, A.E.; Beaufils, F.; Burke, J.E.; Melone, A.; Inglis, A.J.; Rageot, D.; Sele, A.M.; Cmiljanovic, V.; Cmiljanovic, N.; et al. Deconvolution of buparlisib’s mechanism of action defines specific pi3k and tubulin inhibitors for therapeutic intervention. Nat. Commun. 2017, 8, 14683. [Google Scholar] [CrossRef]
- Ward, R.A.; Fawell, S.; Floc’H, N.; Flemington, V.; McKerrecher, D.; Smith, P.D. Challenges and Opportunities in Cancer Drug Resistance. Chem. Rev. 2020, 121, 3297–3351. [Google Scholar] [CrossRef]
- O’Boyle, N.M.; Carr, M.; Greene, L.M.; Bergin, O.; Nathwani, S.M.; McCabe, T.; Lloyd, D.G.; Zisterer, D.M.; Meegan, M.J. Synthesis and Evaluation of Azetidinone Analogues of Combretastatin A-4 as Tubulin Targeting Agents. J. Med. Chem. 2010, 53, 8569–8584. [Google Scholar] [CrossRef] [PubMed]
- Malebari, A.M.; Fayne, D.; Nathwani, S.M.; O’Connell, F.; Noorani, S.; Twamley, B.; O’Boyle, N.M.; O’Sullivan, J.; Zisterer, D.M.; Meegan, M.J. Beta-lactams with antiproliferative and antiapoptotic activity in breast and chemoresistant colon cancer cells. Eur. J. Med. Chem. 2020, 189, 112050. [Google Scholar] [CrossRef] [PubMed]
- Wang, S.; Malebari, A.M.; Greene, T.F.; O’Boyle, N.M.; Fayne, D.; Nathwani, S.M.; Twamley, B.; McCabe, T.; Keely, N.O.; Zisterer, D.M.; et al. 3-Vinylazetidin-2-Ones: Synthesis, Antiproliferative and Tubulin Destabilizing Activity in MCF-7 and MDA-MB-231 Breast Cancer Cells. Pharmaceuticals 2019, 12, 56. [Google Scholar] [CrossRef] [PubMed]
- Carr, M.; Greene, L.M.; Knox, A.J.; Lloyd, D.G.; Zisterer, D.M.; Meegan, M.J. Lead identification of conformationally restricted beta-lactam type combretastatin analogues: Synthesis, antiproliferative activity and tubulin targeting effects. Eur. J. Med. Chem. 2010, 45, 5752–5766. [Google Scholar] [CrossRef]
- O’Boyle, N.M.; Greene, L.M.; Bergin, O.; Fichet, J.-B.; McCabe, T.; Lloyd, D.G.; Zisterer, D.M.; Meegan, M.J. Synthesis, evaluation and structural studies of antiproliferative tubulin-targeting azetidin-2-ones. Bioorganic Med. Chem. 2011, 19, 2306–2325. [Google Scholar] [CrossRef] [PubMed]
- Nathwani, S.M.; Hughes, L.; Greene, L.M.; Carr, M.; O’Boyle, N.M.; McDonnell, S.; Meegan, M.J.; Zisterer, D.M. Novel cis-restricted beta-lactam combretastatin A-4 analogues display anti-vascular and anti-metastatic properties in vitro. Oncol. Rep. 2013, 29, 585–594. [Google Scholar] [CrossRef]
- Fu, D.J.; Zhang, Y.F.; Chang, A.Q.; Li, J. Beta-lactams as promising anticancer agents: Molecular hybrids, structure activity relationships and potential targets. Eur. J. Med. Chem. 2020, 201, 112510. [Google Scholar] [CrossRef]
- Elmeligie, S.; Taher, A.T.; Khalil, N.A.; El-Said, A.H. Synthesis and cytotoxic activity of certain trisubstituted azetidin-2-one derivatives as a cis-restricted combretastatin A-4 analogues. Arch. Pharmacal Res. 2016, 40, 13–24. [Google Scholar] [CrossRef]
- Banik, I.; Becker, F.F.; Banik, B.K. Stereoselective synthesis of beta-lactams with polyaromatic imines: Entry to new and novel anticancer agents. J. Med. Chem. 2003, 46, 12–15. [Google Scholar] [CrossRef]
- Yang, Z. Synthesis and In Vitro Biological Activity Evaluation of the Derivatives of Combretastatin A-4. Lett. Drug Des. Discov. 2006, 3, 544–546. [Google Scholar] [CrossRef]
- Borazjani, N.; Sepehri, S.; Behzadi, M.; Jarrahpour, A.; Rad, J.A.; Sasanipour, M.; Mohkam, M.; Ghasemi, Y.; Akbarizadeh, A.R.; Digiorgio, C.; et al. Three-component synthesis of chromeno beta-lactam hybrids for inflammation and cancer screening. Eur. J. Med. Chem. 2019, 179, 389–403. [Google Scholar] [CrossRef] [PubMed]
- Chimento, A.; Sala, M.; Gomez-Monterrey, I.M.; Musella, S.; Bertamino, A.; Caruso, A.; Sinicropi, M.S.; Sirianni, R.; Puoci, F.; Parisi, O.I.; et al. Biological activity of 3-chloro-azetidin-2-one derivatives having interesting antiproliferative activity on human breast cancer cell lines. Bioorganic Med. Chem. Lett. 2013, 23, 6401–6405. [Google Scholar] [CrossRef]
- Meenakshisundaram, S.; Manickam, S.; Vinayagam, V. Synthesis, antibacterial and anticancer activity of novel bisazetidinones. J. Chem. Pharm. Res. 2016, 8, 733–742. [Google Scholar]
- Mohamadzadeh, M.; Zarei, M. Anticancer activity and evaluation of apoptotic genes expression of 2-azetidinones containing anthraquinone moiety. Mol. Divers. 2020, 1–11. [Google Scholar] [CrossRef]
- Zhou, P.; Liu, Y.; Zhou, L.; Zhu, K.; Feng, K.; Zhang, H.; Liang, Y.; Jiang, H.; Luo, C.; Liu, M.; et al. Potent antitumor activities and structure basis of the chiral beta-lactam bridged analogue of combretastatin A-4 binding to tubulin. J. Med. Chem. 2016, 59, 10329–10334. [Google Scholar] [CrossRef]
- Zhou, P.; Liang, Y.; Zhang, H.; Jiang, H.; Feng, K.; Xu, P.; Wang, J.; Wang, X.; Ding, K.; Luo, C.; et al. Design, synthesis, biological evaluation and cocrystal structures with tubulin of chiral b-lactam bridged combretastatin a-4 analogues as potent antitumor agents. Eur. J. Med. Chem. 2018, 144, 817–842. [Google Scholar] [CrossRef] [PubMed]
- Tang, H.; Cheng, J.; Liang, Y.; Wang, Y. Discovery of a chiral fluorinated azetidin-2-one as a tubulin polymerisation inhibitor with potent antitumour efficacy. Eur. J. Med. Chem. 2020, 197, 112323. [Google Scholar] [CrossRef] [PubMed]
- Tripodi, F.; Pagliarin, R.; Fumagalli, G.; Bigi, A.; Fusi, P.; Orsini, F.; Frattini, M.; Coccetti, P. Synthesis and Biological Evaluation of 1,4-Diaryl-2-azetidinones as Specific Anticancer Agents: Activation of Adenosine Monophosphate Activated Protein Kinase and Induction of Apoptosis. J. Med. Chem. 2012, 55, 2112–2124. [Google Scholar] [CrossRef] [PubMed]
- Geesala, R.; Gangasani, J.K.; Budde, M.; Balasubramanian, S.; Vaidya, J.R.; Das, A. 2-Azetidinones: Synthesis and biological evaluation as potential anti-breast cancer agents. Eur. J. Med. Chem. 2016, 124, 544–558. [Google Scholar] [CrossRef]
- Khanam, R.; Kumar, R.; Hejazi, I.I.; Shahabuddin, S.; Meena, R.; Jayant, V.; Kumar, P.; Bhat, A.R.; Athar, F. Piperazine clubbed with 2-azetidinone derivatives suppresses proliferation, migration and induces apoptosis in human cervical cancer hela cells through oxidative stress mediated intrinsic mitochondrial pathway. Apoptosis Int. J. Program. Cell Death 2018, 23, 113–131. [Google Scholar] [CrossRef] [PubMed]
- Malashchuk, A.; Chernykh, A.V.; Hurmach, V.V.; Platonov, M.O.; Onopchenko, O.; Zozulya, S.; Daniliuc, C.G.; Dobrydnev, A.V.; Kondratov, I.S.; Moroz, Y.S.; et al. Synthesis, biological evaluation, and modeling studies of 1,3-disubstituted cyclobu-tane-containing analogs of combretastatin A4. J. Mol. Struct. 2020, 1210, 128025. [Google Scholar] [CrossRef]
- Fisher, J.F.; Mobashery, S. Beta-lactams against the fortress of the gram-positive staphylococcus aureus bacterium. Chem. Rev. 2021, 121, 3412–3463. [Google Scholar] [CrossRef] [PubMed]
- Deep, A.; Kumar, P.; Narasimhan, B.; Lim, S.M.; Ramasamy, K.; Mishra, R.K.; Mani, V. 2-azetidinone derivatives: Synthesis, antimicrobial, anticancer evaluation and qsar studies. Acta Pol. Pharm. 2016, 73, 65–78. [Google Scholar]
- Mishra, M.K.; Singh, V.N.; Ahmad, K.; Sharma, S. Synthesis and antimicrobial activities of some novel diastereoselective monocyclic cis-beta-lactams using 2-ethoxycarbonyl DCPN as a carboxylic acid activator. Mol. Divers 2020, 25, 2073–2087. [Google Scholar] [CrossRef]
- Mohamadzadeh, M.; Zarei, M.; Vessal, M. Synthesis, in vitro biological evaluation and in silico molecular docking studies of novel beta-lactam-anthraquinone hybrids. Bioorg. Chem. 2020, 95, 103515. [Google Scholar] [CrossRef]
- Walsh, O.; Meegan, M.; Prendergast, R.; Al Nakib, T. Synthesis of 3-acetoxyazetidin-2-ones and 3-hydroxyazetidin-2-ones with antifungal and antibacterial activity. Eur. J. Med. Chem. 1996, 31, 989–1000. [Google Scholar] [CrossRef]
- Chhajed, S.S.; Manisha, P.; Bastikar, V.; Animeshchandra, H.; Ingle, V.; Upasani, C.; Wazalwar, S.S. Synthesis and molecular modeling studies of 3-chloro-4-substituted-1-(8-hydroxy-quinolin-5-yl)-azetidin-2-ones as novel anti-filarial agents. Bioorganic Med. Chem. Lett. 2010, 20, 3640–3644. [Google Scholar] [CrossRef] [PubMed]
- Bhagat, S.; Sharma, N.; Chundawat, T.S. Synthesis of Some Salicylaldehyde-Based Schiff Bases in Aqueous Media. J. Chem. 2012, 2013, 1–4. [Google Scholar] [CrossRef]
- Ahmadi, R.; Ebrahimzadeh, M.A. Resveratrol—A comprehensive review of recent advances in anticancer drug design and development. Eur. J. Med. Chem. 2020, 200, 112356. [Google Scholar] [CrossRef]
- Elshaer, M.; Chen, Y.; Wang, X.J.; Tang, X. Resveratrol: An overview of its anti-cancer mechanisms. Life Sci. 2018, 207, 340–349. [Google Scholar] [CrossRef]
- Pecyna, P.; Wargula, J.; Murias, M.; Kucinska, M. More than Resveratrol: New Insights into Stilbene-Based Compounds. Biomolecules 2020, 10, 1111. [Google Scholar] [CrossRef]
- Chen, R.-J.; Kuo, H.-C.; Cheng, L.-H.; Lee, Y.-H.; Chang, W.-T.; Wang, B.-J.; Wang, Y.-J.; Cheng, H.-C. Apoptotic and Nonapoptotic Activities of Pterostilbene against Cancer. Int. J. Mol. Sci. 2018, 19, 287. [Google Scholar] [CrossRef]
- Cooke, E.P.; Walsh, O.M.; Meegan, M.J. Reaction of mixed anhydrides with imines: Synthesis of 7-halogeno- and 7-azido-5-thia-1-azabicyclo[4.2.0]octan-8-ones and 7-halogeno- and 7-azido-5-oxa-1-azabicyclo[4.2.0]octan-8-ones. J. Chem. Res. Synop. 1994, 26, 470–471. [Google Scholar] [CrossRef]
- Jarrahpour, A.Z.; Zarei, M. Efficient one-pot synthesis of 2-azetidinones from acetic acid derivatives and imines using methox-ymethylene-n,n-dimethyliminium salt. Tetrahedron 2010, 66, 5017–5023. [Google Scholar] [CrossRef]
- Deketelaere, S.; Van Nguyen, T.; Stevens, C.V.; D’Hooghe, M. Synthetic approaches toward monocyclic 3-amino-beta-lactams. ChemistryOpen 2017, 6, 301–319. [Google Scholar] [CrossRef]
- Pandey, S.; Thakur, A.; Reshma; Bari, S.S.; Thapar, R. Studies towards synthesis and Lewis acid catalysed functionalization of 3-(4′-substitutedphenylthio)-azetidin-2-ones. J. Chem. Sci. 2020, 132, 1–11. [Google Scholar] [CrossRef]
- Spek, A.L.; Van Der Steen, F.H.; Jastrzebski, J.T.B.H.; Van Koten, G. trans-3-Amino-1-methyl-4-phenyl-2-azetidinone, C10H12N2O. Acta Crystallogr. Sect. C Cryst. Struct. Commun. 1994, 50, 1933–1935. [Google Scholar] [CrossRef]
- Kabak, M.; Senoz, H.; Elmali, A.; Adar, V.; Svoboda, I.; Dusek, M.; Fejfarova, K. Synthesis and X-ray crystal structure deter-mination of N-p-methylphenyl-4-benzoyl-3,4-diphenyl-2-azetidinone. Crystallogr. Rep. 2010, 55, 1220–1222. [Google Scholar] [CrossRef]
- Lara-Ochoa, F.; Espinosa-Pérez, G. A new synthesis of combretastatins A-4 and AVE-8062A. Tetrahedron Lett. 2007, 48, 7007–7010. [Google Scholar] [CrossRef]
- Casadei, M.A.; Inesi, A.; Moracci, F.M.; Occhialini, D. Electrochemical studies on b-lactams. Part 4. Electroacetylation of b-lactams. Tetrahedron 1989, 45, 6885–6890. [Google Scholar] [CrossRef]
- Decamps, S.; Sevaille, L.; Ongeri, S.; Crousse, B. Access to novel functionalized trifluoromethyl beta-lactams by ring expansion of aziridines. Org. Biomol. Chem. 2014, 12, 6345–6348. [Google Scholar] [CrossRef] [PubMed]
- Malebari, A.M.; Greene, L.M.; Nathwani, S.M.; Fayne, D.; O’Boyle, N.M.; Wang, S.; Twamley, B.; Zisterer, D.M.; Meegan, M.J. Beta-lactam analogues of combretastatin a-4 prevent metabolic inactivation by glucuronidation in chemoresistant HT-29 colon cancer cells. Eur. J. Med. Chem. 2017, 130, 261–285. [Google Scholar] [CrossRef]
- Su, M.; Huang, J.; Liu, S.; Xiao, Y.; Qin, X.; Liu, J.; Pi, C.; Luo, T.; Li, J.; Chen, X.; et al. The anti-angiogenic effect and novel mechanisms of action of Combretastatin A-4. Sci. Rep. 2016, 6, 28139. [Google Scholar] [CrossRef] [PubMed]
- Baell, J.B.; Nissink, J.W.M. Seven Year Itch: Pan-Assay Interference Compounds (PAINS) in 2017—Utility and Limitations. ACS Chem. Biol. 2017, 13, 36–44. [Google Scholar] [CrossRef] [PubMed]
- Yao, H.; He, G.; Yan, S.; Chen, C.; Song, L.; Rosol, T.J.; Deng, X. Triple-negative breast cancer: Is there a treatment on the horizon? Oncotarget 2017, 8, 1913–1924. [Google Scholar] [CrossRef] [PubMed]
- Cipriano, C.; Mesquita, A. Emerging Therapeutic Drugs in Metastatic Triple-Negative Breast Cancer. Breast Cancer Basic Clin. Res. 2021, 15. [Google Scholar] [CrossRef] [PubMed]
- Ma, M.; Sun, L.; Lou, H.; Ji, M. Synthesis and biological evaluation of Combretastatin A-4 derivatives containing a 3’-O-substituted carbonic ether moiety as potential antitumor agents. Chem. Central J. 2013, 7, 179. [Google Scholar] [CrossRef] [PubMed]
- Hughes, L.; Malone, C.; Chumsri, S.; Burger, A.M.; McDonnell, S. Characterisation of breast cancer cell lines and establishment of a novel isogenic subclone to study migration, invasion and tumourigenicity. Clin. Exp. Metastasis 2008, 25, 549–557. [Google Scholar] [CrossRef]
- Ma, J.; Wang, S.; Zhao, M.; Deng, X.-S.; Lee, C.-K.; Yu, X.-D.; Liu, B. Therapeutic potential of cladribine in combination with STAT3 inhibitor against multiple myeloma. BMC Cancer 2011, 11, 255. [Google Scholar] [CrossRef]
- Sengmany, S.; LeGall, E.; LeJean, C.; Troupel, M.; Nedelec, J. Straightforward three-component synthesis of diarylmethylpi-perazines and 1,2-diarylethylpiperazines. Tetrahedron 2007, 63, 3672–3681. [Google Scholar] [CrossRef]
- He, J.; Zhang, M.; Tang, L.; Liu, J.; Zhong, J.; Wang, W.; Xu, J.-P.; Wang, H.-T.; Li, X.-F.; Zhou, Z.-Z. Synthesis, Biological Evaluation, and Molecular Docking of Arylpyridines as Antiproliferative Agent Targeting Tubulin. ACS Med. Chem. Lett. 2020, 11, 1611–1619. [Google Scholar] [CrossRef] [PubMed]
- National Cancer Institute. Biological Testing Branch. Available online: https://dtp.Cancer.Gov (accessed on 15 September 2021).
- Yu, S.; Kim, T.; Yoo, K.H.; Kang, K. The T47D cell line is an ideal experimental model to elucidate the progesterone-specific effects of a luminal A subtype of breast cancer. Biochem. Biophys. Res. Commun. 2017, 486, 752–758. [Google Scholar] [CrossRef] [PubMed]
- Medarde, M.; Maya, A.B.; Pérez-Melero, C. Review ArticleNaphthalene Combretastatin Analogues: Synthesis, Cytotoxicity and Antitubulin Activity. J. Enzym. Inhib. Med. Chem. 2004, 19, 521–540. [Google Scholar] [CrossRef]
- Smith, S.M.; Wunder, M.B.; Norris, D.A.; Shellman, Y.G. A Simple Protocol for Using a LDH-Based Cytotoxicity Assay to Assess the Effects of Death and Growth Inhibition at the Same Time. PLoS ONE 2011, 6, e26908. [Google Scholar] [CrossRef] [PubMed]
- O’Boyle, N.M.; Carr, M.; Greene, L.M.; Keely, N.; Knox, A.; McCabe, T.; Lloyd, D.; Zisterer, D.M.; Meegan, M.J. Synthesis, biochemical and molecular modelling studies of antiproliferative azetidinones causing microtubule disruption and mitotic catastrophe. Eur. J. Med. Chem. 2011, 46, 4595–4607. [Google Scholar] [CrossRef]
- Cytoskeleton. Available online: www.Cytoskeleton.Com/tubulin-resources (accessed on 15 September 2021).
- Vitale, I.; Antoccia, A.; Cenciarelli, C.; Crateri, P.; Meschini, S.; Arancia, G.; Pisano, C.; Tanzarella, C. Combretastatin CA-4 and combretastatin derivative induce mitotic catastrophe dependent on spindle checkpoint and caspase-3 activation in non-small cell lung cancer cells. Apoptosis 2006, 12, 155–166. [Google Scholar] [CrossRef]
- O’Boyle, N.M.; Ana, G.; Kelly, P.M.; Nathwani, S.M.; Noorani, S.; Fayne, D.; Bright, S.A.; Twamley, B.; Zisterer, D.M.; Meegan, M.J. Synthesis and evaluation of antiproliferative microtubule-destabilising combretastatin A-4 piperazine conjugates. Org. Biomol. Chem. 2019, 17, 6184–6200. [Google Scholar] [CrossRef]
- Mc Gee, M.M. Targeting the Mitotic Catastrophe Signaling Pathway in Cancer. Mediat. Inflamm. 2015, 2015, 1–13. [Google Scholar] [CrossRef]
- Fortin, S.; Lacroix, J.; Côté, M.-F.; Moreau, E.; Petitclerc, E.C.; Gaudreault, R. Quick and Simple Detection Technique to Assess the Binding of Antimicrotubule Agents to the Colchicine-Binding Site. Biol. Proced. Online 2010, 12, 113–117. [Google Scholar] [CrossRef] [PubMed]
- Zhu, T.; Wang, S.-H.; Li, D.; Wang, S.-Y.; Liu, X.; Song, J.; Wang, Y.-T.; Zhang, S.-Y. Progress of tubulin polymerization activity detection methods. Bioorganic Med. Chem. Lett. 2021, 37, 127698. [Google Scholar] [CrossRef]
- Pena-Blanco, A.; Garcia-Saez, A.J. Bax, bak and beyond—Mitochondrial performance in apoptosis. FEBS J. 2018, 285, 416–431. [Google Scholar] [CrossRef] [PubMed]
- Kale, J.; Osterlund, E.J.; Andrews, D. BCL-2 family proteins: Changing partners in the dance towards death. Cell Death Differ. 2017, 25, 65–80. [Google Scholar] [CrossRef]
- Yamaguchi, R.; Lartigue, L.; Perkins, G. Targeting Mcl-1 and other Bcl-2 family member proteins in cancer therapy. Pharmacol. Ther. 2018, 195, 13–20. [Google Scholar] [CrossRef] [PubMed]
- Thomas, L.W.; Lam, C.; Edwards, S.W. Mcl-1; the molecular regulation of protein function. FEBS Lett. 2010, 584, 2981–2989. [Google Scholar] [CrossRef] [PubMed]
- Wei, Y.; Cao, Y.; Sun, R.; Cheng, L.; Xiong, X.; Jin, X.; He, X.; Lu, W.; Zhao, M. Targeting bcl-2 proteins in acute myeloid leu-kemia. Front. Oncol. 2020, 10, 584974. [Google Scholar] [CrossRef] [PubMed]
- McBride, A.; Houtmann, S.; Wilde, L.; Vigil, C.; Eischen, C.M.; Kasner, M.; Palmisiano, N. The Role of Inhibition of Apoptosis in Acute Leukemias and Myelodysplastic Syndrome. Front. Oncol. 2019, 9, 192. [Google Scholar] [CrossRef]
- Chemical Computing Group Inc. Molecular Operating Environment (MOE); Version 2019.01; Chemical Computing Group Inc.: Montreal, QC, Canada, 2019. [Google Scholar]
- Greene, T.F.; Wang, S.; Greene, L.M.; Nathwani, S.M.; Pollock, J.K.; Malebari, A.M.; McCabe, T.; Twamley, B.; O’Boyle, N.M.; Zisterer, D.M.; et al. Synthesis and biochemical evaluation of 3-phenoxy-1,4-diarylazetidin-2-ones as tubulin-targeting anti-tumor agents. J. Med. Chem. 2016, 59, 90–113. [Google Scholar] [CrossRef]
- Cushman, M.; Nagarathnam, D.; Gopal, D.; Chakraborti, A.K.; Lin, C.M.; Hamel, E. Synthesis and evaluation of stilbene and dihydrostilbene derivatives as potential anticancer agents that inhibit tubulin polymerization. J. Med. Chem. 1991, 34, 2579–2588. [Google Scholar] [CrossRef]
- Promega Corporation, Cytotox 96® Non-Radioactive Cytotoxicity Assay. Promega Cytotox 96 Non-Radioactive Cytotoxicity Assay Protocol. 2016. Available online: https://worldwide.Promega.Com/products/cell-health-assays/cell-viability-and-cytotoxicity-assays/cytotox-96-non_radioactive-cytotoxicity-assay/?Catnum=g1780 (accessed on 14 September 2021).
- Riccardi, C.; Nicoletti, I. Analysis of apoptosis by propidium iodide staining and flow cytometry. Nat. Protoc. 2006, 1, 1458–1461. [Google Scholar] [CrossRef]
- Vermes, I.; Haanen, C.; Reutelingsperger, C. Flow cytometry of apoptotic cell death. J. Immunol. Methods 2000, 243, 167–190. [Google Scholar] [CrossRef]
- Bruker Apex v2014. Bruker AXS Inc.: Madison, WI, USA.
- Sheldrick, G.M. SADABS. Bruker AXS Inc.: Madison, WI, USA; University of Göttingen: Göttingen, Germany, 2014. [Google Scholar]
- Sheldrick, G.M. Crystal structure refinement withSHELXL. Acta Crystallogr. Sect. C Struct. Chem. 2015, 71, 3–8. [Google Scholar] [CrossRef] [PubMed]
- Dolomanov, O.V.; Bourhis, L.J.; Gildea, R.; Howard, J.A.K.; Puschmann, H. OLEX2: A complete structure solution, refinement and analysis program. J. Appl. Crystallogr. 2009, 42, 339–341. [Google Scholar] [CrossRef]
- Omega 4.1.0.2: Openeye Scientific Software Inc. Available online: www.Eyesopen.Com (accessed on 14 September 2021).
- Hawkins, P.C.D.; Skillman, A.G.; Warren, G.L.; Ellingson, B.A.; Stahl, M.T. Conformer Generation with OMEGA: Algorithm and Validation Using High Quality Structures from the Protein Databank and Cambridge Structural Database. J. Chem. Inf. Model. 2010, 50, 572–584. [Google Scholar] [CrossRef]
- McGann, M. FRED Pose Prediction and Virtual Screening Accuracy. J. Chem. Inf. Model. 2011, 51, 578–596. [Google Scholar] [CrossRef] [PubMed]
- Sabizabulin for COVID-19. Available online: https://verupharma.com/pipeline/sabizabulin-for-covid-19/ (accessed on 29 September 2021).















| Identification Code | 9o | 10e | 10o/16g | 11o |
|---|---|---|---|---|
| CCDC number | 2077515 | 2077516 | 2077517 | 2077518 |
| Empirical formula | C18H21NO3S | C19H20ClNO5 | C19H19Br0.25Cl1.75NO5 | C20H21Cl2NO5 |
| M (g/mol) | 331.42 | 377.81 | 423.37 | 426.28 |
| T (K) | 100(2) | 93(2) | 100(2) | 100(2) |
| Crystal System | monoclinic | monoclinic | monoclinic | orthorhombic |
| SG | P21/c | P21/n | P21/n | Pbca |
| a (Å) | 12.3686(4) | 10.138(2) | 10.3414(3) | 11.2765(7) |
| b (Å) | 10.1330(3) | 9.840(2) | 10.0786(3) | 12.5130(6) |
| c (Å) | 13.8346(5) | 18.357(4) | 17.9994(6) | 27.9482(15) |
| α (°) | 90 | 90 | 90 | 90 |
| β (°) | 100.7347(12) | 95.46(3) | 96.2023(15) | 90 |
| γ (°) | 90 | 90 | 90 | 90 |
| V (Å3) | 1703.56(10) | 1822.9(6) | 1865.04(10) | 3943.6(4) |
| Z | 4 | 4 | 4 | 8 |
| Dcalc (g/cm3) | 1.292 | 1.377 | 1.508 | 1.436 |
| μ (mm−1) | 0.204 | 0.239 | 0.879 | 0.361 |
| F(000) | 704.0 | 792.0 | 874.0 | 1776.0 |
| Crystal size (mm3) | 0.162 × 0.08 × 0.05 | 0.320 × 0.280 × 0.260 | 0.38 × 0.36 × 0.12 | 0.38 × 0.06 × 0.05 |
| Radiation | Mo Kα (λ = 0.71073) | Mo Kα (λ = 0.71073) | Mo Kα (λ = 0.71073) | Mokα (λ = 0.71073) |
| Reflections collected | 54356 | 16596 | 20607 | 11396 |
| Independent reflections | 3907 Rint = 0.0396 Rsigma = 0.0188 | 4026 Rint = 0.0226 Rsigma = 0.0175 | 4649 Rint = 0.0439 Rsigma = 0.0369 | 3614 Rint = 0.0534 Rsigma = 0.0648 |
| Data/restraints/parameters | 3907/0/212 | 4026/0/235 | 4649/8/251 | 3614/1/246 |
| Goodness-of-fit on F2 (S) | 1.049 | 1.079 | 1.036 | 1.078 |
| Final R indexes (I ≥ 2σ (I)) * | R1 = 0.0430, wR2 = 0.1126 | R1 = 0.0364, wR2 = 0.0877 | R1 = 0.0313, wR2 = 0.0741 | R1 = 0.0525, wR2 = 0.1026 |
| Final R indexes (all data) | R1 = 0.0565, wR2 = 0.1207 | R1 = 0.0373, wR2 = 0.0882 | R1 = 0.0441, wR2 = 0.0795 | R1 = 0.0779, wR2 = 0.1126 |
| Largest diff. peak/hole/e Å−3 | 0.66/−0.55 | 0.35/−0.25 | 0.35/−0.38 | 0.30/−0.45 |
| Compound | ![]() | Ring Plane Normal AB Angle (°) | Ring Plane Normal BC Angle (°) | Ring Plane Normal AC Angle (°) | Ring A to Central Torsion (°) a | Ring B to Central Torsion (°) b | Ring AB Torsion (°) c | Ring BC Torsion (°) d |
|---|---|---|---|---|---|---|---|---|
| 10e | R1=Cl, R3=R3=H | 81.20(5) | 71.33(6) | 20.68(6) | −24.7(2) | 168.6(1) | −60.7(2) | 116.0(1) |
| 10o | R1=R3=Cl, R2=H | 91.49(5) | 80.74(7) | 159.88(6) | 27.8(2) | −156.7(1) | 62.7(2) | −112.0(3) |
| 11o | R1=R2=Cl, R3=CH3 | 91.7(1) | 103.7(1) | 17.3(1) | −15.3(4) | 160.6(4) | −68.9(4) | 139.5(3) |
| 16g | R1=Br, R2=H, R3=Cl | 91.49(5) | 80.74(7) | 159.88(6) | 27.8(2) | −156.7(1) | 62.7(2) | −110.3(4) |
| Compound a | Compound Number | IC50, µM (MCF-7, 72 h) b,f | LogP e | |
|---|---|---|---|---|
![]() | 10a | R1=R2=R3=H | 23.450 ± 2.80 | 3.48 |
| 10b | R1=Cl, R2=R3=H | 1.298 ± 0.17 | 4.20 | |
| 10c | R1=Br, R2=R3=H | 0.506 ± 0.11 | 4.35 | |
| 10d | R1=NO2. R2=R3=H | 4.366 ± 0.61 | 3.23 | |
| 10e cis | R1=OCH3, R2=R3=H(cis) | 0.317 ± 0.04 | 3.40 | |
| 10e trans g | R1=OCH3, R2=R3=H(trans) | 0.034 ± 0.004 | 3.40 | |
| 10f g | R1=OCH2CH3, R2=R3=H | 0.130 ± 0.017 | 3.93 | |
| 10g | R1=OC6H5, R2=R3=H | 64.070 ± 7.30 | 5.58 | |
| 10h | R1=OCH2C6H5, R2=R3=H | 59.910 ± 6.99 | 5.17 | |
| 10ig | R1=SCH3, R2=R3=H | 0.073 ± 0.004 | 4.04 | |
| 10j | R2R3=CH=CH-CH=CH, R1=H | 14.660 ± 2.26 | 4.66 | |
| 10k | R1R2=CH=CH-CH=CH, R3=H | 0.202 ± 0.015 | 4.66 | |
| 10m | R1=OCH3, R2=NO2, R3=H | 3.088 ± 0.41 | 3.17 | |
| 10n | R1=OCH3, R2=OH, R3=H | 0.0175 ± 0.009 | 2.67 | |
| 10o h | R1=OCH3, R2=Cl, R3=H | 0.433 ± 0.050 | 4.03 | |
![]() | 11a | R1=R2=R3=H | 37.220 ± 3.21 | 4.67 |
| 11b | R1=Cl, R2=R3=H | 12.830 ± 1.08 | 5.38 | |
| 11c | R1=Br, R2=R3=H | 18.160 ± 1.83 | 5.53 | |
| 11d | R1=NO2, R2=R3=H | 61.640 ± 7.61 | 4.41 | |
| 11e g | R1=OCH3, R2=R3=H | 0.119 ± 0.012 | 4.59 | |
| 11f g | R1=OCH2CH3, R2=R3=H | 0.164 ± 0.015 | 5.11 | |
| 11g | R1=OC6H5, R2=R3=H | 62.310 ± 10.2 | 6.77 | |
| 11h | R1=OCH2C6H5, R2=R3=H | 36.340 ± 3.68 | 6.35 | |
| 11i g | R1=SCH3, R2=R3=H | 0.291 ± 0.030 | 5.23 | |
| 11j | R2R3=CH=CH-CH=CH, R1=H | 7.990 ± 0.70 | 5.84 | |
| 11k | R1R2=CH=CH-CH=CH, R3=H | 0.322 ± 0.04 | 5.84 | |
| 11m | R1=OCH3, R2=NO2, R3=H | 0.353 ± 0.04 | 4.35 | |
| 11n | R1=OCH3, R2=OH, R3=H | 0.031 ± 0.004 | 3.85 | |
| 11o h | R1=OCH3, R2=CH3, R3=H | 0.747 ± 0.060 | 5.09 | |
| 18 | R1=OCH3, R2=OP(O)(OH)2, R3=H | 0.077 ± 0.01 | 2.80 | |
![]() | 12a | R1=OCH3, | 14.810 ± 1.58 | 3.40 |
| 12b | R1=OCH2CH3 | 25% (10 μM) c | 3.93 | |
| 12c | R1=SCH3 | 10% (10 μM) c | 4.04 | |
![]() | 13a | R1=OCH3 | 45.9 ± 6.73 | 4.59 |
| 13b | R1=OCH2CH3, | 40% (10 μM)c | 5.11 | |
| 13c | R1=SCH3, | 20% (10 μM)c | 5.23 | |
![]() | 14a | R1=OCH3 | 0.680 ± 0.160 | 4.11 |
| 14b | R1=OCH2CH3 | 0.045 ± 0.01 | 4.64 | |
![]() | 15a | R1=OCH3 | 6.612 ± 2.00 | 5.29 |
| 15b | R1=OCH2CH3 | 0.273 ± 0.010 i | 5.82 | |
![]() | 16a | R1=OCH3, R2=H | 0.579 ± 0.030 i | 3.54 |
| 16b | R1=OCH2CH3, R2=H | 1.144 ± 0.300 i | 4.07 | |
| 16c | R1= SCH3, R2=H | 0.613 ± 0.040 i | 4.18 | |
| 16d | R1=SCH2CH3, R2=H | 1.100 ± 0.1 i | 4.71 | |
| 16e | R1=OCH3, R2= CH3 | 0.525 ± 0.03 | 4.04 | |
| 16f | R1=OCH3, R2=F | 0.390 ± 0.03 i | 3.63 | |
| 16g | R1=OCH3, R2=Cl | 0.472 ± 0.20 i | 4.16 | |
| 16h | R1=OCH3, R2=Br | 0.620 ± 0.040 i | 4.32 | |
| 16j | R1=OCH3, R2=OH | 40% (10 μM) c,i | 2.80 | |
![]() | 2a | CA-4 | 0.0039 ± 0.00032 d | 3.32 |
| Compound Number | Antiproliferative Activity a,b IC50 (µM) MDA-MB-231, 72 h |
|---|---|
| 10e | 0.0686 |
| 10f | 0.078 ± 0.008 |
| 10k | 0.205 ± 0.034 |
| 11e | 0.297 ± 0.04 |
| 11f | 0.389 ± 0.05 |
| 11n | 0.0316 |
| CA-4 c | 0.043 |
| Compound | MCF-7 IC50 (μM) a | HL-60 IC50 (μM) a | U266 IC50 (μM) a | SW480 IC50 (μM) a | HT-29 IC50 (μM) a |
|---|---|---|---|---|---|
| 10e | 0.056 ± 0.007 | 0.161 ± 0.020 | 0.077 ± 0.02 | 0.055 ± 0.004 | 0.135 ± 0.060 |
| 10n | 0.017 ± 0.009 | 0.010 ± 0.008 | 0.031 ± 0.01 | 0.037 ± 0.005 | 0.631 ± 0.030 |
| 11n | 0.031 ± 0.004 | 0.016 ± 0.005 | nd c | 0.044 ± 0.008 | 0.941 ± 0.060 |
| CA-4 | 0.0039 ± 0.00032 b | 0.0019 ± 0.0005 | 0.035 ± 0.01 | 0.003 ± 0.0008 | 4.165 ± 0.1 |
| Cell Line | Compound 10e | Compound 11n | Compound 16d | |
|---|---|---|---|---|
| GI50 (μM) b,c | GI50 (μM) b,d | GI50 (μM) b,e,j | ||
| NSC Lung Cancer | A549/ATCC | 0.0785 | 0.0382 | 0.598 |
| EKVX | 0.0694 | 0.0464 | 0.639 | |
| HOP-62 | 0.0538 | 0.0350 | 0.336 | |
| HOP-92 | Nd f | Nd f | 0.443 | |
| NCI-H226 | 0.0557 | 0.0368 | 3.11 | |
| NCI-H23 | 0.0312 | 0.0242 | 0.478 | |
| NCI-H332M | 0.962 | Nd f | 7.37 | |
| NCI-H460 | 0.306 | 0.0354 | 0.539 | |
| NCI-H552 | 0.0207 | 0.0164 | 0.158 | |
| Colon Cancer | COLO205 | 0.0492 | 2.91 | 0.230 |
| HCT-2998 | 0.0804 | 0.0534 | 0.673 | |
| HCT-116 | 0.0397 | 0.0328 | 0.222 | |
| HCT-15 | 0.0504 | 0.0383 | 0.210 | |
| HT29 | 0.0292 | 2.78 | 0.351 | |
| KM12 | 0.0393 | 0.0318 | 0.202 | |
| SW-620 | 0.0432 | 0.0376 | 0.236 | |
| CNS Cancer | SF-268 | 0.158 | 0.0514 | 1.18 |
| SF295 | 0.0254 | 0.0387 | 0.0870 | |
| SF539 | Nd f | Nd f | 0.161 | |
| SNB-19 | 0.0746 | 0.0457 | 0.440 | |
| SNB-75 | 0.0382 | 0.0199 | 0.509 | |
| U251 | 0.0370 | 0.0325 | 0.345 | |
| Prostate cancer | PC-3 | 0.0441 | 0.0353 | 0.297 |
| DU-145 | 0.0446 | 0.0359 | 0.349 | |
| Melanoma | LOX IMV1 | 0.0676 | 0.0415 | 0.834 |
| MALME-3M | 0.0884 | 0.0685 | 11.3 | |
| M14 | 0.0396 | 0.0313 | 0.128 | |
| MDA-MB-435 | 0.0226 | 0.0202 | 0.0377 | |
| SK-MEL-2 | 0.0450 | 0.0316 | 0.484 | |
| SK-MEL-28 | 0.0696 | 0.0629 | 1.94 | |
| SK-MEL-5 | 0.0312 | 0.0225 | 0.0861 | |
| UACC-257 | 23.3 | 0.158 | 14.3 | |
| UACC-62 | 0.0518 | 0.0422 | 0.0972 | |
| IGROV1 | 0.0580 | 0.0445 | 0.0630 | |
| OVCAR-3 | 0.0241 | 0.0244 | 0.109 | |
| Ovarian Cancer | OVCAR-4 | 0.106 | 0.0741 | 1.43 |
| OVCAR-5 | 0.0806 | 0.312 | 0.431 | |
| OVCAR-8 | Nd f | Nd f | 0.403 | |
| NCI/ADR-RES | 0.0353 | 0.0265 | 0.125 | |
| SK-OV-3 | 0.182 | 0.0254 | 0.392 | |
| 786-0 | 0.0694 | 0.0412 | 0.340 | |
| A498 | 0.0271 | 0.0226 | 0.103 | |
| ACHN | 0.0971 | 0.0511 | Nd f | |
| Renal Cancer | CAKI-1 | 0.122 | 0.126 | Nd f |
| RXF 393 | 0.0271 | 0.0300 | 0.170 | |
| SN12C | 0.0837 | 0.0446 | 0.925 | |
| TK-10 | 0.0922 | 0.126 | 14.3 | |
| UO-31 | 0.0644 | 0.0821 | 0.342 | |
| MCF-7 | 0.0343 | 0.0310 | 0.0447 | |
| Breast Cancer | MDA-MB-231/ATCC | 0.0686 | 0.0316 | 0.488 |
| HS 578T | 0.0553 | 0.0428 | 0.229 | |
| BT-549 | 0.174 | 0.0397 | 0.525 | |
| T-47D | 15.8 | 11.6 | 16.9 | |
| MDA-MB-468 | 0.0508 | 0.0226 | 0.154 | |
| MID GI50 g | 0.0741 | 0.0537 | 0.407 | |
| MID TGI h | 23.4 | 10.7 | 10.0 | |
| MID LC50 i | 81.3 | 91.2 | 83.2 |
| Compound | NCI Ref. No | Structure | GI50 (nM) a | TGI (µM) b | LC50 (µM) a |
|---|---|---|---|---|---|
| 10e | D-762040 | ![]() | 74.13 | 10.72 | 91.20 |
| 11n | D-762041 | ![]() | 53.70 | 10.00 | 83.18 |
| 16d | S-792961 | ![]() | 407 | 23.44 | 81.28 |
| 2a CA-4 | D-613729 | ![]() | 99.30 | 10.30 | 85.50 |
| Compound Number | MCF-7 IC50 (µM) a | MDA-MB-231 IC50 (µM) a | Vmax at 10 µM (mOD/min) b | Fold-Reduction c |
|---|---|---|---|---|
| 10e | 0.034 ± 0.004 | 0.0686 | 0.0039 | 1.8 |
| 11n | 0.031 ± 0.005 | 0.0316 | 0.0041 | 1.7 |
| CA-4 | 0.0039 ± 0.00032 | 0.043 | 0.0022 | 6.3 |
Publisher’s Note: MDPI stays neutral with regard to jurisdictional claims in published maps and institutional affiliations. |
© 2021 by the authors. Licensee MDPI, Basel, Switzerland. This article is an open access article distributed under the terms and conditions of the Creative Commons Attribution (CC BY) license (https://creativecommons.org/licenses/by/4.0/).
Share and Cite
Malebari, A.M.; Wang, S.; Greene, T.F.; O’Boyle, N.M.; Fayne, D.; Khan, M.F.; Nathwani, S.M.; Twamley, B.; McCabe, T.; Zisterer, D.M.; et al. Synthesis and Antiproliferative Evaluation of 3-Chloroazetidin-2-ones with Antimitotic Activity: Heterocyclic Bridged Analogues of Combretastatin A-4. Pharmaceuticals 2021, 14, 1119. https://doi.org/10.3390/ph14111119
Malebari AM, Wang S, Greene TF, O’Boyle NM, Fayne D, Khan MF, Nathwani SM, Twamley B, McCabe T, Zisterer DM, et al. Synthesis and Antiproliferative Evaluation of 3-Chloroazetidin-2-ones with Antimitotic Activity: Heterocyclic Bridged Analogues of Combretastatin A-4. Pharmaceuticals. 2021; 14(11):1119. https://doi.org/10.3390/ph14111119
Chicago/Turabian StyleMalebari, Azizah M., Shu Wang, Thomas F. Greene, Niamh M. O’Boyle, Darren Fayne, Mohemmed Faraz Khan, Seema M. Nathwani, Brendan Twamley, Thomas McCabe, Daniela M. Zisterer, and et al. 2021. "Synthesis and Antiproliferative Evaluation of 3-Chloroazetidin-2-ones with Antimitotic Activity: Heterocyclic Bridged Analogues of Combretastatin A-4" Pharmaceuticals 14, no. 11: 1119. https://doi.org/10.3390/ph14111119
APA StyleMalebari, A. M., Wang, S., Greene, T. F., O’Boyle, N. M., Fayne, D., Khan, M. F., Nathwani, S. M., Twamley, B., McCabe, T., Zisterer, D. M., & Meegan, M. J. (2021). Synthesis and Antiproliferative Evaluation of 3-Chloroazetidin-2-ones with Antimitotic Activity: Heterocyclic Bridged Analogues of Combretastatin A-4. Pharmaceuticals, 14(11), 1119. https://doi.org/10.3390/ph14111119














