Multi-Probing Opportunistic Routing in Buffer-Constrained Wireless Sensor Networks
Abstract
1. Introduction
1.1. Motivations
1.2. Contributions
- We develop a general multi-probing opportunistic routing scheme for decentralized WSNs under realistic buffer space constraints. The proposed design jointly integrates a structured buffer space management mechanism, a cell-partitioned contention-based channel access strategy, and a two-hop relaying routing algorithm with sequential multi-probing capability. By allowing a transmitter to probe up to neighboring devices upon acquiring channel access, the scheme significantly mitigates transmission opportunity waste caused by buffer unavailability and dynamic neighborhood variations. The overall design enables more efficient utilization of scarce wireless transmission opportunities and improves end-to-end data delivery performance in highly dynamic WSNs.
- We establish a rigorous analytical framework to characterize the stochastic buffer evolution induced by the proposed routing scheme. By leveraging queueing theory and Markov chain modeling, we derive the steady-state distribution of buffer occupancy and tractable expressions for fundamental performance metrics, including per-flow throughput and expected end-to-end delay. The proposed analysis provides a systematic understanding of how mobility, buffer constraint, and probing depth jointly shape network performance.
- We conduct extensive network simulations to validate the accuracy of the theoretical performance modeling and to comprehensively investigate the performance behaviors of the proposed multi-probing opportunistic routing scheme. The numerical results provide valuable insights into the impacts of system parameters on network performance, offering practical guidelines for the configuration and operation of buffer-constrained WSNs.
1.3. Paper Organization
2. Related Work
3. Network Model and Performance Metrics
3.1. Network Model
3.2. Performance Metrics
4. Multi-Probing Opportunistic Routing Scheme
4.1. Buffer Space Management
4.2. Channel Access Control
4.3. Routing Algorithm
| Procedure 1 Source-to-destination (S-D) operation |
|
| Procedure 2 Source-to-relay (S-R) operation |
|
| Procedure 3 Relay-to-destination (R-D) operation |
|
| Algorithm 1 Multi-Probing Two-hop Relaying Opportunistic Routing Algorithm (MP-2HROR) |
|
5. Theoretical Performance Evaluation
5.1. Source Buffer Occupancy State Distribution
5.2. Relay Buffer Occupancy State Distribution
- No change (): neither a new relay packet arrives nor an existing relay packet departs;
- Increment (), for : another node successfully delivers a packet to , and the packet is admitted into the relay buffer;
- Decrement (), for : node successfully forwards an HoL packet from one of its relay queues to its corresponding destination.
- (1)
- Upward Transition Probability
- (2)
- Downward Transition Probability
- (3)
- Self-Transition Probability
| Algorithm 2 Fixed Point Iteration |
|
5.3. Fundamental Performance Metrics Derivation
5.3.1. Per-Flow Throughput
5.3.2. Expected E2E Delay
6. Simulation Results
6.1. Simulation Settings
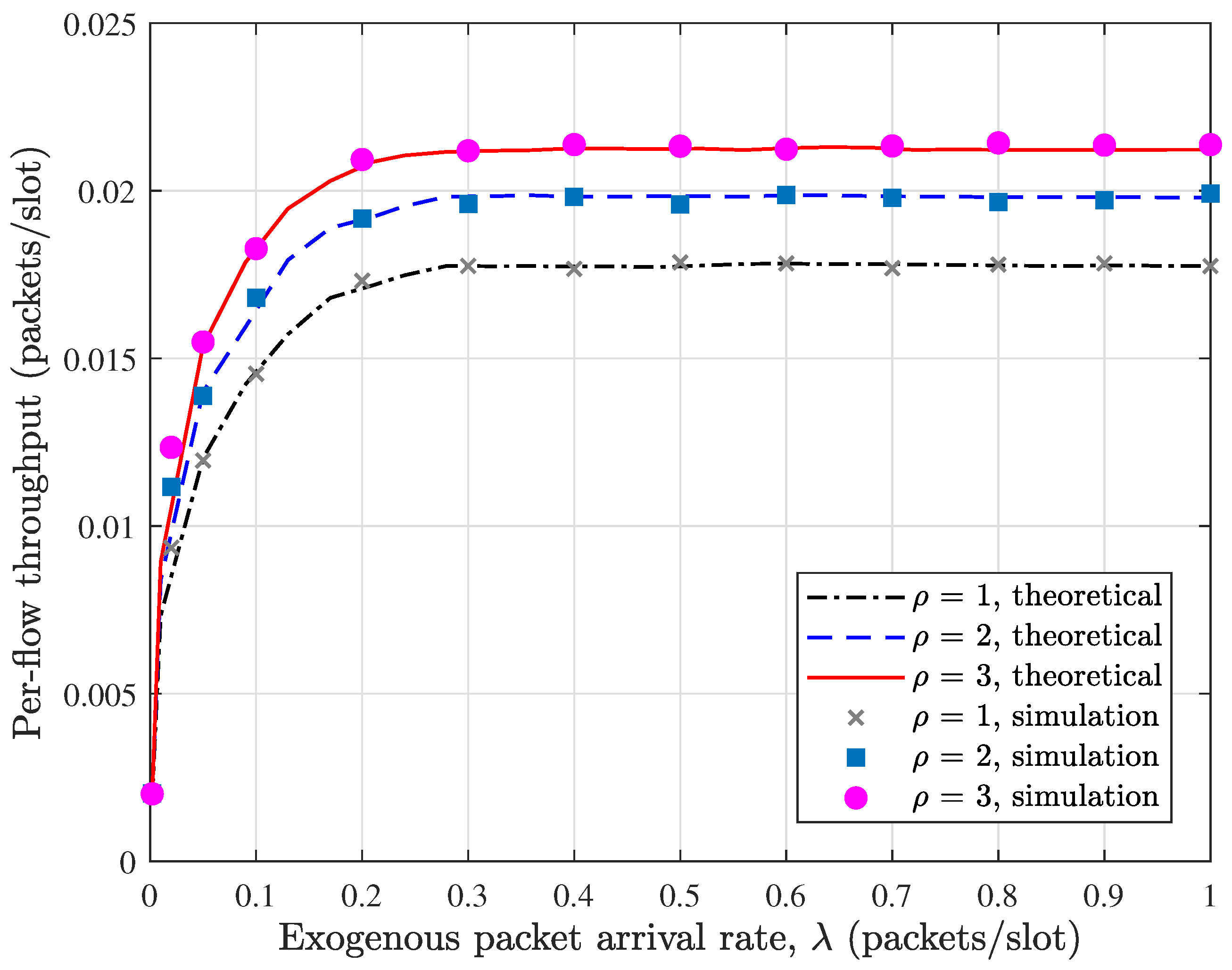
6.2. Validation
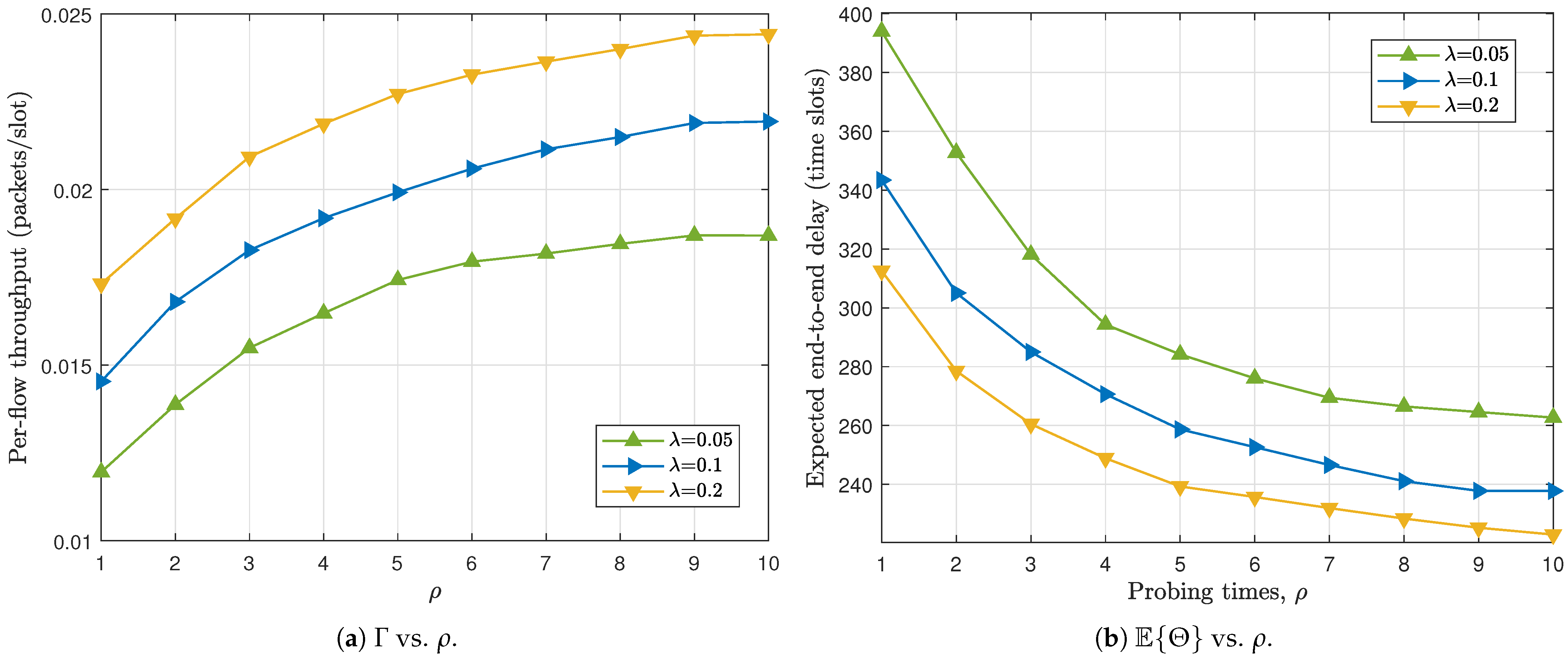
6.3. Performance Discussions
7. Conclusions
Author Contributions
Funding
Data Availability Statement
Conflicts of Interest
References
- Landaluce, H.; Arjona, L.; Perallos, A.; Falcone, F.; Angulo, I.; Muralter, F. A review of IoT sensing applications and challenges using RFID and wireless sensor networks. Sensors 2020, 20, 2495. [Google Scholar] [CrossRef]
- Nurlan, Z.; Zhukabayeva, T.; Othman, M.; Adamova, A.; Zhakiyev, N. Wireless sensor network as a mesh: Vision and challenges. IEEE Access 2022, 10, 46–67. [Google Scholar]
- Tabella, G.; Paltrinieri, N.; Cozzani, V.; Rossi, P.S. Wireless sensor networks for detection and localization of subsea oil leakages. IEEE Sens. J. 2021, 21, 10890–10904. [Google Scholar]
- Chakchouk, N. A Survey on Opportunistic Routing in Wireless Communication Networks. IEEE Commun. Surv. Tutor. 2015, 17, 2214–2241. [Google Scholar] [CrossRef]
- Mhemed, R.; Phillips, W.; Comeau, F.; Aslam, N. Void avoiding opportunistic routing protocols for underwater wireless sensor networks: A survey. Sensors 2022, 22, 9525. [Google Scholar] [CrossRef]
- Farooq, M.U.; Wang, X.; Hawbani, A.; Zhao, L.; Al-Dubai, A.; Busaileh, O. SDORP: SDN based opportunistic routing for asynchronous wireless sensor networks. IEEE Trans. Mob. Comput. 2023, 22, 4912–4929. [Google Scholar]
- Wang, X.; Zhou, W.; Hawbani, A.; Liu, P.; Zhao, L.; Alsamhi, S.H. A dynamic opportunistic routing protocol for asynchronous duty-cycled WSNs. IEEE Trans. Sustain. Comput. 2023, 8, 314–327. [Google Scholar] [CrossRef]
- Xian, J.; Wu, H.; Mei, X.; Chen, X.; Yang, Y. Low-delay and energy-efficient opportunistic routing for maritime search and rescue wireless sensor networks. Remote Sens. 2022, 14, 5178. [Google Scholar]
- Zhu, R.; Boukerche, A.; Chen, Y.; Yang, Q. A reliable cluster-based opportunistic routing protocol for underwater wireless sensor networks. Comput. Netw. 2024, 251, 110622. [Google Scholar]
- Lata, A.A.; Kang, M.; Shin, S. FCM-OR: A local density-aware opportunistic routing protocol for energy-efficient wireless sensor networks. Electronics 2025, 14, 1841. [Google Scholar]
- Wang, Y.; Xia, N.; Yin, Y.; Wei, S. Bargaining Game-Based Opportunistic Routing Protocol for Underwater Sensor Networks. IEEE Trans. Commun. 2025, 73, 10290–10304. [Google Scholar] [CrossRef]
- Rani, S.; Koundal, D.; Kavita, F.; Ijaz, M.F.; Elhoseny, M.; Alghamdi, M.I. An optimized framework for WSN routing in the context of industry 4.0. Sensors 2021, 21, 6474. [Google Scholar] [CrossRef]
- Almesaeed, R.; Jedidi, A. Dynamic directional routing for mobile wireless sensor networks. Ad Hoc Netw. 2021, 110, 102301. [Google Scholar] [CrossRef]
- Jurado-Lasso, F.F.; Clarke, K.; Cadavid, A.N.; Nirmalathas, A. Energy-aware routing for software-defined multihop wireless sensor networks. IEEE Sensors J. 2021, 21, 10174–10182. [Google Scholar] [CrossRef]
- SureshKumar, K.; Vimala, P. Energy efficient routing protocol using exponentially-ant lion whale optimization algorithm in wireless sensor networks. Comput. Netw. 2021, 197, 108250. [Google Scholar] [CrossRef]
- Shah, S.M.; Sun, Z.; Zaman, K.; Hussain, A.; Ullah, I.; Ghadi, Y.Y.; Khan, M.A.; Nasimov, R. Advancements in neighboring-based energy-efficient routing protocol (NBEER) for underwater wireless sensor networks. Sensors 2023, 23, 6025. [Google Scholar] [CrossRef]
- Wang, H.; Liu, K.; Wang, C.; Hu, H. Energy-efficient, cluster-based routing protocol for wireless sensor networks using fuzzy logic and quantum annealing algorithm. Sensors 2024, 24, 4105. [Google Scholar] [CrossRef]
- Zhang, W.; Lan, Y.; Lin, A.; Xiao, M. An adaptive clustering routing protocol for wireless sensor networks based on a novel memetic algorithm. IEEE Sens. J. 2025, 25, 8929–8941. [Google Scholar] [CrossRef]
- Vikas; Wahi, C.; Sagar, B.B.; Manjul, M. Trusted Energy-Aware Hierarchical Routing (TEAHR) for Wireless Sensor Networks. Sensors 2025, 25, 2519. [Google Scholar] [CrossRef]
- Wu, H.; Han, X.; Zhu, H.; Chen, C.; Yang, B. An efficient opportunistic routing protocol with low latency for farm wireless sensor networks. Electronics 2022, 11, 1936. [Google Scholar] [CrossRef]
- Chaurasia, S.; Kumar, K. MOORP: Metaheuristic based optimized opportunistic routing protocol for wireless sensor network. Wirel. Pers. Commun. 2023, 132, 1241–1272. [Google Scholar] [CrossRef]
- Qaisar, M.U.F.; Wang, X.; Hawbani, A.; Khan, A.; Ahmed, A.; Wedaj, F.T.; Ullah, S. Toras: Trustworthy load-balanced opportunistic routing for asynchronous duty-cycled wsns. IEEE Syst. J. 2023, 17, 2259–2270. [Google Scholar] [CrossRef]
- Zhang, R.; Zhang, J.; Wang, Q.; Zhang, H. DOIDS: An intrusion detection scheme based on DBSCAN for opportunistic routing in underwater wireless sensor networks. Sensors 2023, 23, 2096. [Google Scholar] [CrossRef]
- Yan, B.; Li, J.; Zhang, T.; Qiu, Y. A Multilayer Energy-Balanced Opportunistic Routing Protocol for Underwater Optical Wireless Sensor Networks. IEEE Sens. J. 2024, 24, 23013–23024. [Google Scholar] [CrossRef]
- Zroug, S.; Kahloul, L.; Benharzallah, S.; Djouani, K. A hierarchical formal method for performance evaluation of WSNs protocol. Computing 2021, 103, 1183–1208. [Google Scholar] [CrossRef]
- Khalifeh, A.; Darabkh, K.A.; Khasawneh, A.M.; Alqaisieh, I.; Salameh, M.; AlAbdala, A.; Alrubaye, S.; Alassaf, A.; Al-HajAli, S.; Al-Wardat, R.; et al. Wireless sensor networks for smart cities: Network design, implementation and performance evaluation. Electronics 2021, 10, 218. [Google Scholar] [CrossRef]
- Behera, T.M.; Samal, U.C.; Mohapatra, S.K.; Khan, M.S.; Appasani, B.; Bizon, N.; Thounthong, P. Energy-efficient routing protocols for wireless sensor networks: Architectures, strategies, and performance. Electronics 2022, 11, 2282. [Google Scholar] [CrossRef]
- Arya, G.; Bagwari, A.; Chauhan, D.S. Performance analysis of deep learning-based routing protocol for an efficient data transmission in 5G WSN communication. IEEE Access 2022, 10, 9340–9356. [Google Scholar] [CrossRef]
- Rahman, T.; Ahmad, I.; Zeb, A.; Khan, I.; Ali, G.; ElAffendi, M. Performance evaluation of routing protocols for underwater wireless sensor networks. J. Mar. Sci. Eng. 2022, 11, 38. [Google Scholar] [CrossRef]
- Xu, C.; Song, S.; Liu, J.; Xu, Y.; Che, S.; Lin, B.; Xu, G. An efficient deployment scheme with network performance modeling for underwater wireless sensor networks. IEEE Internet Things J. 2024, 11, 8345–8359. [Google Scholar] [CrossRef]
- Buyukates, B.; Soysal, A.; Ulukus, S. Scaling Laws for Age of Information in Wireless Networks. IEEE Trans. Wirel. Commun. 2021, 20, 2413–2427. [Google Scholar] [CrossRef]
- Zhong, X.; Ji, F.; Chen, F.; Guan, Q.; Yu, H. A New Acoustic Channel Interference Model for 3-D Underwater Acoustic Sensor Networks and Throughput Analysis. IEEE Internet Things J. 2020, 7, 9930–9942. [Google Scholar] [CrossRef]
- Kafaie, S.; Ahmed, M.H.; Chen, Y.; Dobre, O.A. Performance analysis of network coding with IEEE 802.11 DCF in multi-hop wireless networks. IEEE Trans. Mob. Comput. 2017, 17, 1148–1161. [Google Scholar] [CrossRef]
- Daduna, H. Queueing Networks with Discrete Time Scale: Explicit Expressions for the Steady State Behavior of Discrete Time Stochastic Networks; Springer: Berlin/Heidelberg, Germany, 2001. [Google Scholar]
- Granas, A.; Dugundji, J. Fixed Point Theory; Springer: New York, NY, USA, 2003. [Google Scholar]










Disclaimer/Publisher’s Note: The statements, opinions and data contained in all publications are solely those of the individual author(s) and contributor(s) and not of MDPI and/or the editor(s). MDPI and/or the editor(s) disclaim responsibility for any injury to people or property resulting from any ideas, methods, instructions or products referred to in the content. |
© 2026 by the authors. Licensee MDPI, Basel, Switzerland. This article is an open access article distributed under the terms and conditions of the Creative Commons Attribution (CC BY) license.
Share and Cite
Sun, N.; Cao, S.; Liu, X.; Gao, Y.; Xu, Y.; Liu, J. Multi-Probing Opportunistic Routing in Buffer-Constrained Wireless Sensor Networks. Sensors 2026, 26, 2295. https://doi.org/10.3390/s26082295
Sun N, Cao S, Liu X, Gao Y, Xu Y, Liu J. Multi-Probing Opportunistic Routing in Buffer-Constrained Wireless Sensor Networks. Sensors. 2026; 26(8):2295. https://doi.org/10.3390/s26082295
Chicago/Turabian StyleSun, Nannan, Shouxin Cao, Xiaoyuan Liu, Yue Gao, Yang Xu, and Jia Liu. 2026. "Multi-Probing Opportunistic Routing in Buffer-Constrained Wireless Sensor Networks" Sensors 26, no. 8: 2295. https://doi.org/10.3390/s26082295
APA StyleSun, N., Cao, S., Liu, X., Gao, Y., Xu, Y., & Liu, J. (2026). Multi-Probing Opportunistic Routing in Buffer-Constrained Wireless Sensor Networks. Sensors, 26(8), 2295. https://doi.org/10.3390/s26082295

