Validity of Coupling TRACAB’s Gen5 and Mediacoach Systems to Calculate Accelerations and Decelerations in Professional Football
Abstract
1. Introduction
2. Methods
2.1. Participants
2.2. Study Design
2.3. ACCs and DECs Obtained with GPS-IMU Devices
2.4. ACCs and DECs Obtained with Video Tracking
2.5. Statistical Analyses
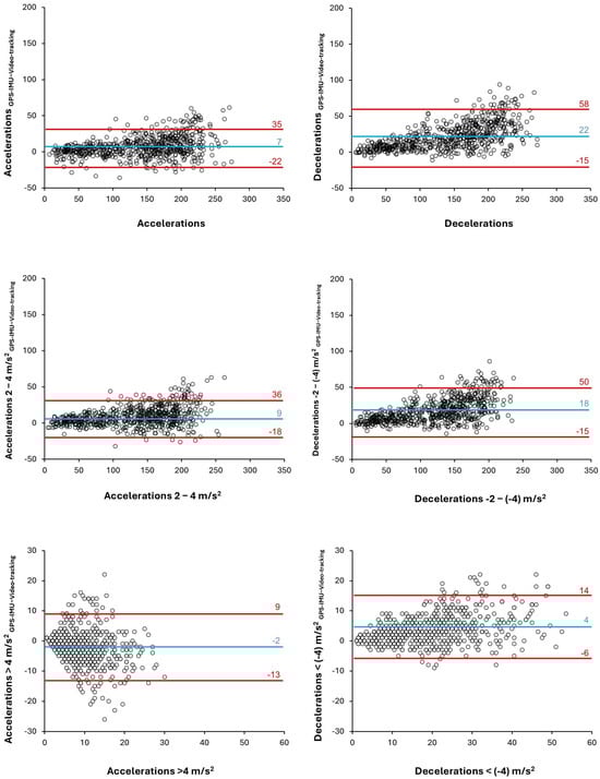
3. Results
4. Discussion
Author Contributions
Funding
Institutional Review Board Statement
Informed Consent Statement
Data Availability Statement
Acknowledgments
Conflicts of Interest
References
- Moreno-Perez, V.; Campos-Vazquez, M.A.; Toscano, J.; Sotos-Martinez, V.J.; López-Del Campo, R.; Resta, R.; Del Coso, J. Influence of the Weekly and Match-Play Load on Muscle Injury in Professional Football Players. Int. J. Sports Med. 2022, 43, 783–790. [Google Scholar] [CrossRef]
- Baptista, I.; Johansen, D.; Seabra, A.; Pettersen, S.A. Position Specific Player Load during Match-Play in a Professional Football Club. PLoS ONE 2018, 13, e0198115. [Google Scholar] [CrossRef] [PubMed]
- González-Rodenas, J.; Ferrandis, J.; Moreno-Pérez, V.; Campo, R.L.; Resta, R.; Coso, J. Effect of the Phase of the Season and Contextual Variables on Match Running Performance in Spanish LaLiga Football Teams. Biol. Sport. 2024, 41, 101–108. [Google Scholar] [CrossRef]
- Gualtieri, A.; Rampinini, E.; Dello Iacono, A.; Beato, M. High-Speed Running and Sprinting in Professional Adult Soccer: Current Thresholds Definition, Match Demands and Training Strategies. A Systematic Review. Front. Sports Act. Living 2023, 5, 1116293. [Google Scholar] [CrossRef] [PubMed]
- Harper, D.J.; McBurnie, A.J.; Santos, T.D.; Eriksrud, O.; Evans, M.; Cohen, D.D.; Rhodes, D.; Carling, C.; Kiely, J. Biomechanical and Neuromuscular Performance Requirements of Horizontal Deceleration: A Review with Implications for Random Intermittent Multi-Directional Sports. Sports Med. 2022, 52, 2321–2354. [Google Scholar] [CrossRef]
- Akenhead, R.; Harley, J.A.; Tweddle, S.P. Examining the External Training Load of an English Premier League Football Team With Special Reference to Acceleration. J. Strength Cond. Res. 2016, 30, 2424–2432. [Google Scholar] [CrossRef] [PubMed]
- Oliva-Lozano, J.M.; Fortes, V.; Krustrup, P.; Muyor, J.M. Acceleration and Sprint Profiles of Professional Male Football Players in Relation to Playing Position. PLoS ONE 2020, 15, e0236959. [Google Scholar] [CrossRef]
- Silva, H.; Nakamura, F.Y.; Bajanca, C.; Serpiello, F.R.; Pinho, G.; Marcelino, R. Acceleration and Deceleration Demands of Different Soccer Training Drills and Competitive Matches. Ger. J. Exerc. Sport Res. 2024, 1–9. [Google Scholar] [CrossRef]
- Harper, D.J.; Carling, C.; Kiely, J. High-Intensity Acceleration and Deceleration Demands in Elite Team Sports Competitive Match Play: A Systematic Review and Meta-Analysis of Observational Studies. Sports Med. 2019, 49, 1923–1947. [Google Scholar] [CrossRef]
- Cotteret, C.; González-de-la-Flor, Á.; Bermejo, J.P.; Polo, J.A.; Saiz, S.L.J. A Narrative Review of the Velocity and Acceleration Profile in Football: The Influence of Playing Position. Sports 2025, 13, 18. [Google Scholar] [CrossRef]
- Bradley, P.S.; Di Mascio, M.; Peart, D.; Olsen, P.; Sheldon, B. High-Intensity Activity Profiles of Elite Soccer Players at Different Performance Levels. J. Strength Cond. Res. 2010, 24, 2343–2351. [Google Scholar] [CrossRef]
- Marcelino, R.; Sampaio, J.; Amichay, G.; Gonçalves, B.; Couzin, I.D.; Nagy, M. Collective Movement Analysis Reveals Coordination Tactics of Team Players in Football Matches. Chaos Solitons Fractals 2020, 138, 109831. [Google Scholar] [CrossRef]
- Linke, D.; Link, D.; Lames, M. Football-Specific Validity of TRACAB’s Optical Video Tracking Systems. PLoS ONE 2020, 15, e0230179. [Google Scholar] [CrossRef] [PubMed]
- Taberner, M.; Allen, T.; O’Keefe, J.; Richter, C.; Cohen, D.; Harper, D.; Buchheit, M. Interchangeability of Optical Tracking Technologies: Potential Overestimation of the Sprint Running Load Demands in the English Premier League. Sci. Med. Footb. 2023, 7, 374–383. [Google Scholar] [CrossRef] [PubMed]
- Ellens, S.; Hodges, D.; McCullagh, S.; Malone, J.J.; Varley, M.C. Interchangeability of Player Movement Variables from Different Athlete Tracking Systems in Professional Soccer. Sci. Med. Footb. 2022, 6, 1–6. [Google Scholar] [CrossRef]
- Pons, E.; García-Calvo, T.; Resta, R.; Blanco, H.; del Campo, R.L.; García, J.D.; Pulido, J.J. A Comparison of a GPS Device and a Multi-Camera Video Technology during Official Soccer Matches: Agreement between Systems. PLoS ONE 2019, 14, e0220729. [Google Scholar] [CrossRef]
- Felipe, J.L.; Garcia-Unanue, J.; Viejo-Romero, D.; Navandar, A.; Sánchez-Sánchez, J. Validation of a Video-Based Performance Analysis System (Mediacoach®) to Analyze the Physical Demands during Matches in LaLiga. Sensors 2019, 19, 4113. [Google Scholar] [CrossRef]
- Pons, E.; García-Calvo, T.; Cos, F.; Resta, R.; Blanco, H.; López del Campo, R.; Díaz-García, J.; Pulido-González, J.J. Integrating Video Tracking and GPS to Quantify Accelerations and Decelerations in Elite Soccer. Sci. Rep. 2021, 11, 18531. [Google Scholar] [CrossRef]
- Soler, A.; Agulló, F.; Hernández-Davó, J.; Raya-González, J.; Del Coso, J.; González-Ródenas, J.; Moreno-Pérez, V. Influence of the External Workload on Calf Muscle Strain Injuries in Professional Football Players: A Pilot Study. Sports Health 2025, 17, 175–182. [Google Scholar] [CrossRef]
- Akenhead, R.; French, D.; Thompson, K.G.; Hayes, P.R. The Acceleration Dependent Validity and Reliability of 10 Hz GPS. J. Sci. Med. Sport 2014, 17, 562–566. [Google Scholar] [CrossRef]
- Bastida-Castillo, A.; Gómez-Carmona, C.D.; De La Cruz Sánchez, E.; Pino-Ortega, J. Comparing Accuracy between Global Positioning Systems and Ultra-Wideband-Based Position Tracking Systems Used for Tactical Analyses in Soccer. Eur. J. Sport. Sci. 2019, 19, 1157–1165. [Google Scholar] [CrossRef] [PubMed]
- Castellano, J.; Casamichana, D.; Calleja-González, J.; Román, J.S.; Ostojic, S.M.; Castellano, J.; Casamichana, D.; Calleja-González, J.; Román, J.S.; Ostojic, S.M. Reliability and Accuracy of 10 Hz GPS Devices for Short-Distance Exercise. J. Sports Sci. Med. 2011, 10, 233–234. [Google Scholar] [PubMed]
- González-Rodenas, J.; Moreno-Pérez, V.; Campo López-Del, R.L.D.; Resta, R.; Del Coso, J. Technical and Tactical Evolution of the Offensive Team Sequences in LaLiga between 2008 and 2021. Is Spanish Football Now a More Associative Game? Biol. Sport 2024, 41, 105–113. [Google Scholar] [CrossRef] [PubMed]
- González-Rodenas, J.; Ferrandis, J.; Moreno-Pérez, V.; López-Del Campo, R.; Resta, R.; Del Coso, J. Differences in Playing Style and Technical Performance According to the Team Ranking in the Spanish Football LaLiga. A Thirteen Seasons Study. PLoS ONE 2023, 18, e0293095. [Google Scholar] [CrossRef]
- González-Rodenas, J.; Moreno-Pérez, V.; Del Campo, R.L.; Resta, R.; Del Coso, J. Evolution of Tactics in Professional Soccer: An Analysis of Team Formations from 2012 to 2021 in the Spanish LaLiga. J. Hum. Kinet. 2023, 87, 207–216. [Google Scholar] [CrossRef]
- Lopez-Valenciano, A.; Garcia-Gómez, J.A.; López-Del Campo, R.; Resta, R.; Moreno-Perez, V.; Blanco-Pita, H.; Valés-Vázquez, Á.; Del Coso, J. Association between Offensive and Defensive Playing Style Variables and Ranking Position in a National Football League. J. Sports Sci. 2022, 40, 50–58. [Google Scholar] [CrossRef]
- Castellano, J.; Casamichana, D.; Campos-Vázquez, M.A.; Langarika-Rocafort, A. Interchangeability of Two Tracking Systems to Register Physical Demands in Football: Multiple Camera Video versus GPS Technology. Arch. Med. Deporte 2019, 36, 157–165. [Google Scholar]


| GPS-IMU | Video Tracking | ||||||||
|---|---|---|---|---|---|---|---|---|---|
| Variable | Mean | SD | Range | Mean | SD | Range | Absolute Diff (%) | p | d |
| Total ACCs | 144 | 67 | 5–301 | 137 | 60 | 9–281 | 5.0 ± 14.9 | <0.001 | 0.47 small |
| ACCs at 2–4 m/s2 | 136 | 63 | 2–294 | 127 | 58 | 8–262 | 7.1 ± 17.0 | <0.001 | 0.66 moderate |
| ACCs at >4 m/s2 | 9 | 6 | 1–27 | 11 | 7 | 1–36 | 20.5 ± 11.1 | <0.001 | 0.39 small |
| Total DECs | 152 | 72 | 6–309 | 131 | 61 | 6–267 | 16.6 ± 9.5 | <0.001 | 1.17 moderate |
| DECs at −2–[−4] m/s2 | 131 | 62 | 5–268 | 113 | 53 | 4–232 | 15.8 ± 10.9 | <0.001 | 1.08 moderate |
| DECs at <−4 m/s2 | 22 | 12 | 1–58 | 18 | 10 | 1–52 | 21.9 ± 13.2 | <0.001 | 0.80 moderate |
| Variable | RMSE | SEE | TEE | SMB | R2 | ICC | LoA |
|---|---|---|---|---|---|---|---|
| Total ACCs | 16.1 | 16.1 | 11.4 | 0.1 | 0.954 <0.001 | 0.974 <0.001 | 6.8 ± 28.5 |
| ACCs at 2–4 m/s2 | 16.3 | 16.3 | 11.5 | 0.6 | 0.956 <0.001 | 0.975 <0.001 | 9.0 ± 26.7 |
| ACCs at >4 m/s2 | 6.1 | 6.1 | 4.3 | 0.0 | 0.338 <0.001 | 0.571 <0.001 | −2.2 ± 11.1 |
| Total DECs | 28.5 | 28.6 | 20.2 | 0.3 | 0.950 <0.001 | 0.961 <0.001 | 21.7 ± 36.7 |
| DECs at −2–[−4] m/s2 | 24.2 | 24.3 | 17.1 | 0.6 | 0.944 <0.001 | 0.959 <0.001 | 17.8 ± 32.3 |
| DECs at <−4 m/s2 | 6.3 | 6.3 | 1.5 | 0.1 | 0.838 <0.001 | 0.902 <0.001 | 3.9 ± 9.6 |
Disclaimer/Publisher’s Note: The statements, opinions and data contained in all publications are solely those of the individual author(s) and contributor(s) and not of MDPI and/or the editor(s). MDPI and/or the editor(s) disclaim responsibility for any injury to people or property resulting from any ideas, methods, instructions or products referred to in the content. |
© 2025 by the authors. Licensee MDPI, Basel, Switzerland. This article is an open access article distributed under the terms and conditions of the Creative Commons Attribution (CC BY) license (https://creativecommons.org/licenses/by/4.0/).
Share and Cite
González-Rodenas, J.; Nevado, F.; López-Del Campo, R.; Soler-Aguinaga, A.; Agulló, F.; Moreno-Pérez, V.; Del Coso, J. Validity of Coupling TRACAB’s Gen5 and Mediacoach Systems to Calculate Accelerations and Decelerations in Professional Football. Sensors 2025, 25, 1804. https://doi.org/10.3390/s25061804
González-Rodenas J, Nevado F, López-Del Campo R, Soler-Aguinaga A, Agulló F, Moreno-Pérez V, Del Coso J. Validity of Coupling TRACAB’s Gen5 and Mediacoach Systems to Calculate Accelerations and Decelerations in Professional Football. Sensors. 2025; 25(6):1804. https://doi.org/10.3390/s25061804
Chicago/Turabian StyleGonzález-Rodenas, Joaquín, Fabio Nevado, Roberto López-Del Campo, Aitor Soler-Aguinaga, Fidel Agulló, Víctor Moreno-Pérez, and Juan Del Coso. 2025. "Validity of Coupling TRACAB’s Gen5 and Mediacoach Systems to Calculate Accelerations and Decelerations in Professional Football" Sensors 25, no. 6: 1804. https://doi.org/10.3390/s25061804
APA StyleGonzález-Rodenas, J., Nevado, F., López-Del Campo, R., Soler-Aguinaga, A., Agulló, F., Moreno-Pérez, V., & Del Coso, J. (2025). Validity of Coupling TRACAB’s Gen5 and Mediacoach Systems to Calculate Accelerations and Decelerations in Professional Football. Sensors, 25(6), 1804. https://doi.org/10.3390/s25061804

