The Role of Virtual Reality on Parkinson’s Disease Management: A Bibliometric and Content Analysis
Abstract
1. Introduction
2. Methods
2.1. Data Sources and Search Strategy
2.2. Data Extraction and Analysis
3. Results
3.1. Publication Outputs and Growth Trend
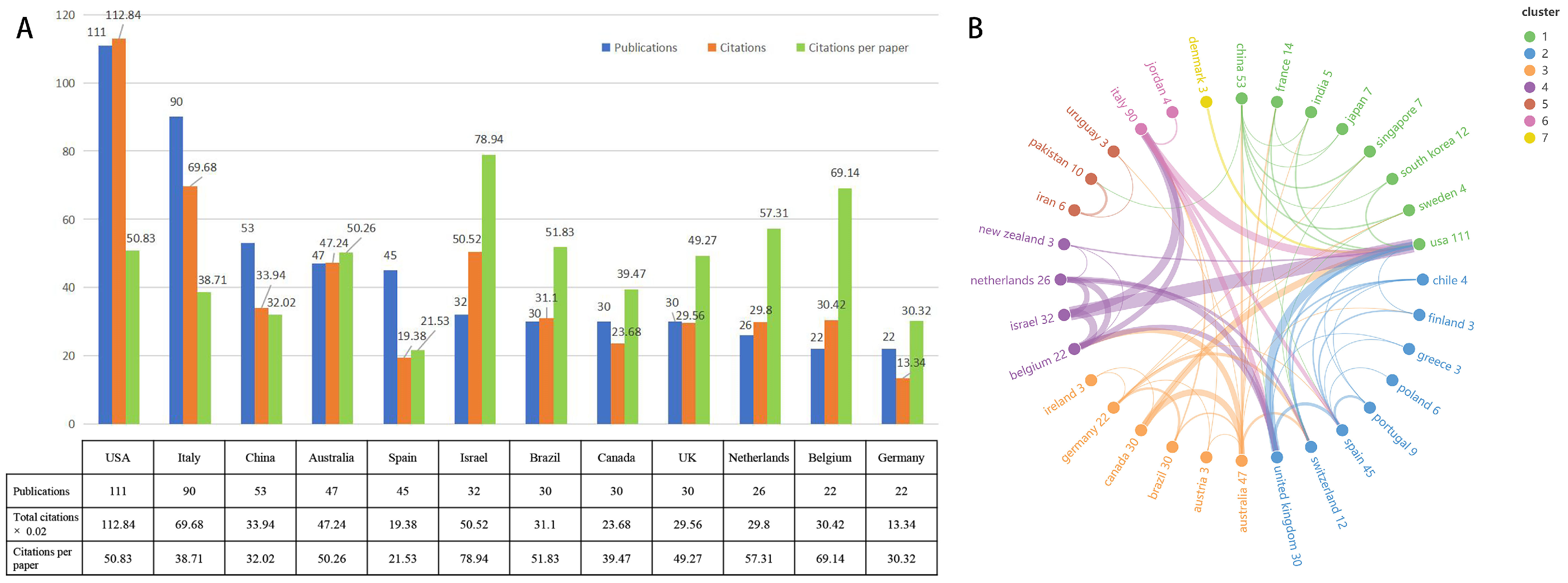
3.2. National Distribution of Publications
3.3. Institutional Contributions
3.4. Author Analysis
3.5. Journal Characteristic
3.6. Analysis of Highly Cited Studies
3.7. Analysis of Keywords
4. Discussion
4.1. Overview of the Results
4.2. Keyword and Trend Analysis
4.3. Mechanisms Underlying VR-Based Rehabilitation
4.4. Summary of VR Intervention on PD
4.5. Strength and Limitations
5. Conclusions
Supplementary Materials
Author Contributions
Funding
Data Availability Statement
Conflicts of Interest
Abbreviations
| VR | Virtual Reality |
| PD | Parkinson’s Disease |
| WoSCC | Web of Science Core Collection |
| SCIE | Science Citation Index Expanded |
| WoS | Web of Science |
| TC | Total Citations |
| FOG | Freezing of Gait |
| JCR | Journal Citation Reports |
| OA | Open Access Journal |
| RCT | Randomized Controlled Trial |
| LLR | Logarithmic Likelihood Ratio |
| IF | Impact Factor |
| rTMS | Repetitive Transcranial Magnetic Stimulation |
References
- The Lancet. What next in Parkinson’s disease? Lancet 2024, 403, 219. [Google Scholar] [CrossRef] [PubMed]
- Sveinbjornsdottir, S. The clinical symptoms of Parkinson’s disease. J. Neurochem. 2016, 139 (Suppl. S1), 318–324. [Google Scholar] [CrossRef] [PubMed]
- Allen, N.E.; Song, J.; Paul, S.S.; Smith, S.; O’Duffy, J.; Schmidt, M.; Love, R.; Sherrington, C.; Canning, C.G. An interactive videogame for arm and hand exercise in people with Parkinson’s disease: A randomized controlled trial. Park. Relat. Disord. 2017, 41, 66–72. [Google Scholar] [CrossRef] [PubMed]
- Lee, N.Y.; Lee, D.K.; Song, H.S. Effect of virtual reality dance exercise on the balance, activities of daily living, and depressive disorder status of Parkinson’s disease patients. J. Phys. Ther. Sci. 2015, 27, 145–147. [Google Scholar] [CrossRef] [PubMed]
- Fox, S.H.; Katzenschlager, R.; Lim, S.Y.; Barton, B.; de Bie, R.M.A.; Seppi, K.; Coelho, M.; Sampaio, C. International Parkinson and movement disorder society evidence-based medicine review: Update on treatments for the motor symptoms of Parkinson’s disease. Mov. Disord. 2018, 33, 1248–1266. [Google Scholar] [CrossRef]
- Kim, Y.; Lai, B.; Mehta, T.; Thirumalai, M.; Padalabalanarayanan, S.; Rimmer, J.H.; Motl, R.W. Exercise Training Guidelines for Multiple Sclerosis, Stroke, and Parkinson Disease: Rapid Review and Synthesis. Am. J. Phys. Med. Rehabil. 2019, 98, 613–621. [Google Scholar] [CrossRef]
- Rizzo, A.; Shilling, R. Clinical Virtual Reality tools to advance the prevention, assessment, and treatment of PTSD. Eur. J. Psychotraumatol. 2017, 8, 1414560. [Google Scholar] [CrossRef]
- Liao, Y.Y.; Yang, Y.R.; Cheng, S.J.; Wu, Y.R.; Fuh, J.L.; Wang, R.Y. Virtual Reality-Based Training to Improve Obstacle-Crossing Performance and Dynamic Balance in Patients With Parkinson’s Disease. Neurorehabilit. Neural Repair 2015, 29, 658–667. [Google Scholar] [CrossRef]
- Johnson, D.; Deterding, S.; Kuhn, K.A.; Staneva, A.; Stoyanov, S.; Hides, L. Gamification for health and wellbeing: A systematic review of the literature. Internet Interv. 2016, 6, 89–106. [Google Scholar] [CrossRef]
- Lledó, L.D.; Díez, J.A.; Bertomeu-Motos, A.; Ezquerro, S.; Badesa, F.J.; Sabater-Navarro, J.M.; García-Aracil, N. A Comparative Analysis of 2D and 3D Tasks for Virtual Reality Therapies Based on Robotic-Assisted Neurorehabilitation for Post-stroke Patients. Front. Aging Neurosci. 2016, 8, 205. [Google Scholar] [CrossRef]
- Feng, H.; Li, C.; Liu, J.; Wang, L.; Ma, J.; Li, G.; Gan, L.; Shang, X.; Wu, Z. Virtual Reality Rehabilitation Versus Conventional Physical Therapy for Improving Balance and Gait in Parkinson’s Disease Patients: A Randomized Controlled Trial. Med. Sci. Monit. Int. Med. J. Exp. Clin. Res. 2019, 25, 4186–4192. [Google Scholar] [CrossRef] [PubMed]
- Cikajlo, I.; Peterlin Potisk, K. Advantages of using 3D virtual reality based training in persons with Parkinson’s disease: A parallel study. J. Neuroeng. Rehabil. 2019, 16, 119. [Google Scholar] [CrossRef] [PubMed]
- Maggio, M.G.; Luca, A.; Cicero, C.E.; Calabrò, R.S.; Drago, F.; Zappia, M.; Nicoletti, A. Effectiveness of telerehabilitation plus virtual reality (Tele-RV) in cognitive e social functioning: A randomized clinical study on Parkinson’s disease. Park. Relat. Disord. 2024, 119, 105970. [Google Scholar] [CrossRef] [PubMed]
- Isernia, S.; Di Tella, S.; Pagliari, C.; Jonsdottir, J.; Castiglioni, C.; Gindri, P.; Salza, M.; Gramigna, C.; Palumbo, G.; Molteni, F.; et al. Effects of an Innovative Telerehabilitation Intervention for People With Parkinson’s Disease on Quality of Life, Motor, and Non-motor Abilities. Front. Neurol. 2020, 11, 846. [Google Scholar] [CrossRef]
- Wang, B.; Shen, M.; Wang, Y.X.; He, Z.W.; Chi, S.Q.; Yang, Z.H. Effect of virtual reality on balance and gait ability in patients with Parkinson’s disease: A systematic review and meta-analysis. Clin. Rehabil. 2019, 33, 1130–1138. [Google Scholar] [CrossRef]
- van Raan, A. Measuring Science: Basic Principles and Application of Advanced Bibliometrics. In Springer Handbook of Science and Technology Indicators; Glänzel, W., Moed, H.F., Schmoch, U., Thelwall, M., Eds.; Springer International Publishing: Cham, Switzerland, 2019; pp. 237–280. [Google Scholar] [CrossRef]
- Gourlay, D.; Lun, K.C.; Liya, G. Virtual reality and telemedicine for home health care. Comput. Graph. 2000, 24, 695–699. [Google Scholar] [CrossRef]
- Holden, M.K. Virtual environments for motor rehabilitation. Cyberpsychol. Behav. 2005, 8, 187–211; discussion 189–212. [Google Scholar] [CrossRef]
- Mirelman, A.; Maidan, I.; Herman, T.; Deutsch, J.E.; Giladi, N.; Hausdorff, J.M. Virtual reality for gait training: Can it induce motor learning to enhance complex walking and reduce fall risk in patients with Parkinson’s disease? J. Gerontol. Ser. A Biol. Sci. Med. Sci. 2011, 66, 234–240. [Google Scholar] [CrossRef]
- Mirelman, A.; Rochester, L.; Maidan, I.; Del Din, S.; Alcock, L.; Nieuwhof, F.; Rikkert, M.O.; Bloem, B.R.; Pelosin, E.; Avanzino, L.; et al. Addition of a non-immersive virtual reality component to treadmill training to reduce fall risk in older adults (V-TIME): A randomised controlled trial. Lancet 2016, 388, 1170–1182. [Google Scholar] [CrossRef]
- Mirelman, A.; Bonato, P.; Camicioli, R.; Ellis, T.D.; Giladi, N.; Hamilton, J.L.; Hass, C.J.; Hausdorff, J.M.; Pelosin, E.; Almeida, Q.J. Gait impairments in Parkinson’s disease. Lancet Neurol. 2019, 18, 697–708. [Google Scholar] [CrossRef]
- Pompeu, J.E.; Mendes, F.A.; Silva, K.G.; Lobo, A.M.; Oliveira Tde, P.; Zomignani, A.P.; Piemonte, M.E. Effect of Nintendo Wii™-based motor and cognitive training on activities of daily living in patients with Parkinson’s disease: A randomised clinical trial. Physiotherapy 2012, 98, 196–204. [Google Scholar] [CrossRef] [PubMed]
- Iskander, M.; Ogunsola, T.; Ramachandran, R.; McGowan, R.; Al-Aswad, L.A. Virtual Reality and Augmented Reality in Ophthalmology: A Contemporary Prospective. Asia Pac. J. Ophthalmol. 2021, 10, 244–252. [Google Scholar] [CrossRef] [PubMed]
- Raji, M.A.; Olodo, H.B.; Oke, T.T.; Addy, W.A.; Ofodile, O.C.; Oyewole, A.T. Business strategies in virtual reality: A review of market opportunities and consumer experience. Int. J. Manag. Entrep. Res. 2024, 6, 722–736. [Google Scholar] [CrossRef]
- Guo, Q.F.; He, L.; Su, W.; Tan, H.X.; Han, L.Y.; Gui, C.F.; Chen, Y.; Jiang, H.H.; Gao, Q. Virtual reality for neurorehabilitation: A bibliometric analysis of knowledge structure and theme trends. Front. Public Health 2022, 10, 1042618. [Google Scholar] [CrossRef]
- Bluett, B.; Bayram, E.; Litvan, I. The virtual reality of Parkinson’s disease freezing of gait: A systematic review. Park. Relat. Disord. 2019, 61, 26–33. [Google Scholar] [CrossRef]
- Matar, E.; Shine, J.M.; Gilat, M.; Ehgoetz Martens, K.A.; Ward, P.B.; Frank, M.J.; Moustafa, A.A.; Naismith, S.L.; Lewis, S.J.G. Identifying the neural correlates of doorway freezing in Parkinson’s disease. Hum. Brain Mapp. 2019, 40, 2055–2064. [Google Scholar] [CrossRef]
- Gandolfi, M.; Geroin, C.; Dimitrova, E.; Boldrini, P.; Waldner, A.; Bonadiman, S.; Picelli, A.; Regazzo, S.; Stirbu, E.; Primon, D.; et al. Virtual Reality Telerehabilitation for Postural Instability in Parkinson’s Disease: A Multicenter, Single-Blind, Randomized, Controlled Trial. BioMed Res. Int. 2017, 2017, 7962826. [Google Scholar] [CrossRef]
- Killane, I.; Fearon, C.; Newman, L.; McDonnell, C.; Waechter, S.M.; Sons, K.; Lynch, T.; Reilly, R.B. Dual Motor-Cognitive Virtual Reality Training Impacts Dual-Task Performance in Freezing of Gait. IEEE J. Biomed. Health Inform. 2015, 19, 1855–1861. [Google Scholar] [CrossRef]
- Plotnik, M.; Shema, S.; Dorfman, M.; Gazit, E.; Brozgol, M.; Giladi, N.; Hausdorff, J.M. A motor learning-based intervention to ameliorate freezing of gait in subjects with Parkinson’s disease. J. Neurol. 2014, 261, 1329–1339. [Google Scholar] [CrossRef]
- Harris, D.M.; Rantalainen, T.; Muthalib, M.; Johnson, L.; Teo, W.P. Exergaming as a Viable Therapeutic Tool to Improve Static and Dynamic Balance among Older Adults and People with Idiopathic Parkinson’s Disease: A Systematic Review and Meta-Analysis. Front. Aging Neurosci. 2015, 7, 167. [Google Scholar] [CrossRef]
- Stożek, J.; Rudzińska, M.; Pustułka-Piwnik, U.; Szczudlik, A. The effect of the rehabilitation program on balance, gait, physical performance and trunk rotation in Parkinson’s disease. Aging Clin. Exp. Res. 2016, 28, 1169–1177. [Google Scholar] [CrossRef] [PubMed]
- Robles-García, V.; Corral-Bergantiños, Y.; Espinosa, N.; García-Sancho, C.; Sanmartín, G.; Flores, J.; Cudeiro, J.; Arias, P. Effects of movement imitation training in Parkinson’s disease: A virtual reality pilot study. Park. Relat. Disord. 2016, 26, 17–23. [Google Scholar] [CrossRef] [PubMed]
- Wright, W.G.; McDevitt, J.; Tierney, R.; Haran, F.J.; Appiah-Kubi, K.O.; Dumont, A. Assessing subacute mild traumatic brain injury with a portable virtual reality balance device. Disabil. Rehabil. 2017, 39, 1564–1572. [Google Scholar] [CrossRef]
- Özgönenel, L.; Çağırıcı, S.; Çabalar, M.; Durmuşoğlu, G. Use of Game Console for Rehabilitation of Parkinson’s Disease. Balk. Med. J. 2016, 33, 396–400. [Google Scholar] [CrossRef]
- Shen, X.; Wong-Yu, I.S.; Mak, M.K. Effects of Exercise on Falls, Balance, and Gait Ability in Parkinson’s Disease: A Meta-analysis. Neurorehabilit. Neural Repair 2016, 30, 512–527. [Google Scholar] [CrossRef]
- Morris, M.E.; Martin, C.L.; Schenkman, M.L. Striding out with Parkinson disease: Evidence-based physical therapy for gait disorders. Phys. Ther. 2010, 90, 280–288. [Google Scholar] [CrossRef]
- Hussain, F.; Farooqui, S.; Khan, A.A.; Khan, M.U.; Khan, M.A.; Hasan, A. Effects of nonimmersive virtual reality using Wii-Fit exercises on balance and cognition in Parkinson disease: A meta-analysis. Medicine 2024, 103, e38940. [Google Scholar] [CrossRef]
- Hajebrahimi, F.; Velioglu, H.A.; Bayraktaroglu, Z.; Helvaci Yilmaz, N.; Hanoglu, L. Clinical evaluation and resting state fMRI analysis of virtual reality based training in Parkinson’s disease through a randomized controlled trial. Sci. Rep. 2022, 12, 8024. [Google Scholar] [CrossRef]
- Cheng, T.C.; Huang, S.F.; Wu, S.Y.; Lin, F.G.; Lin, W.S.; Tsai, P.Y. Integration of Virtual reality into Transcranial Magnetic Stimulation Improves Cognitive Function in Patients with Parkinson’s Disease with Cognitive Impairment: A Proof-of-Concept Study. J. Park. Dis. 2022, 12, 723–736. [Google Scholar] [CrossRef]
- Triegaardt, J.; Han, T.S.; Sada, C.; Sharma, S.; Sharma, P. The role of virtual reality on outcomes in rehabilitation of Parkinson’s disease: Meta-analysis and systematic review in 1031 participants. Neurol. Sci. 2020, 41, 529–536. [Google Scholar] [CrossRef]
- Bissolotti, L.; Artiles-Sánchez, J.; Alonso-Pérez, J.L.; Fernández-Carnero, J.; Abuín-Porras, V.; Sinatti, P.; Villafañe, J.H. Virtual Reality-Based Assessment for Rehabilitation of the Upper Limb in Patients with Parkinson’s Disease: A Pilot Cross-Sectional Study. Medicina 2024, 60, 555. [Google Scholar] [CrossRef] [PubMed]
- Fernández-González, P.; Carratalá-Tejada, M.; Monge-Pereira, E.; Collado-Vázquez, S.; Sánchez-Herrera Baeza, P.; Cuesta-Gómez, A.; Oña-Simbaña, E.D.; Jardón-Huete, A.; Molina-Rueda, F.; Balaguer-Bernaldo de Quirós, C.; et al. Leap motion controlled video game-based therapy for upper limb rehabilitation in patients with Parkinson’s disease: A feasibility study. J. Neuroeng. Rehabil. 2019, 16, 133. [Google Scholar] [CrossRef] [PubMed]
- Hashemi, Y.; Taghizadeh, G.; Azad, A.; Behzadipour, S. The effects of supervised and non-supervised upper limb virtual reality exercises on upper limb sensory-motor functions in patients with idiopathic Parkinson’s disease. Hum. Mov. Sci. 2022, 85, 102977. [Google Scholar] [CrossRef]
- Maggio, M.G.; De Cola, M.C.; Latella, D.; Maresca, G.; Finocchiaro, C.; La Rosa, G.; Cimino, V.; Sorbera, C.; Bramanti, P.; De Luca, R.; et al. What About the Role of Virtual Reality in Parkinson Disease’s Cognitive Rehabilitation? Preliminary Findings From a Randomized Clinical Trial. J. Geriatr. Psychiatry Neurol. 2018, 31, 312–318. [Google Scholar] [CrossRef]
- Emmelkamp, P.M.G.; Meyerbröker, K. Virtual Reality Therapy in Mental Health. Annu. Rev. Clin. Psychol. 2021, 17, 495–519. [Google Scholar] [CrossRef]
- Ganjefar, S.; Sarajchi, M.H.; Hoseini, S.M.; Shao, Z. Lambert W Function Controller Design for Teleoperation Systems. Int. J. Precis. Eng. Manuf. 2019, 20, 101–110. [Google Scholar] [CrossRef]
- Pallavicini, F.; Pepe, A.; Clerici, M.; Mantovani, F. Virtual Reality Applications in Medicine During the COVID-19 Pandemic: Systematic Review. JMIR Serious Games 2022, 10, e35000. [Google Scholar] [CrossRef]
- Guo, Q.; Zhang, L.; Gui, C.; Chen, G.; Chen, Y.; Tan, H.; Su, W.; Zhang, R.; Gao, Q. Virtual Reality Intervention for Patients With Neck Pain: Systematic Review and Meta-analysis of Randomized Controlled Trials. J. Med. Internet Res. 2023, 25, e38256. [Google Scholar] [CrossRef]
- Alves, M.L.M.; Mesquita, B.S.; Morais, W.S.; Leal, J.C.; Satler, C.E.; Dos Santos Mendes, F.A. Nintendo Wii™ Versus Xbox Kinect™ for Assisting People With Parkinson’s Disease. Percept. Mot. Ski. 2018, 125, 546–565. [Google Scholar] [CrossRef]
- Albani, G.; Pedroli, E.; Cipresso, P.; Bulla, D.; Cimolin, V.; Thomas, A.; Mauro, A.; Riva, G. Visual Hallucinations as Incidental Negative Effects of Virtual Reality on Parkinson’s Disease Patients: A Link with Neurodegeneration? Park. Dis. 2015, 2015, 194629. [Google Scholar] [CrossRef]
- Deutsch, J.E.; Myslinski, M.J.; Kafri, M.; Ranky, R.; Sivak, M.; Mavroidis, C.; Lewis, J.A. Feasibility of virtual reality augmented cycling for health promotion of people poststroke. J. Neurol. Phys. Ther. JNPT 2013, 37, 118–124. [Google Scholar] [CrossRef] [PubMed]
- Groenveld, T.; Achttien, R.; Smits, M.; de Vries, M.; van Heerde, R.; Staal, B.; van Goor, H. Feasibility of Virtual Reality Exercises at Home for Post-COVID-19 Condition: Cohort Study. JMIR Rehabil. Assist. Technol. 2022, 9, e36836. [Google Scholar] [CrossRef] [PubMed]
- Brown, A.H.; Green, T. Virtual Reality: Low-Cost Tools and Resources for the Classroom. TechTrends 2016, 60, 517–519. [Google Scholar] [CrossRef]
- Cipresso, P.; Giglioli, I.A.C.; Raya, M.A.; Riva, G. The Past, Present, and Future of Virtual and Augmented Reality Research: A Network and Cluster Analysis of the Literature. Front. Psychol. 2018, 9, 2086. [Google Scholar] [CrossRef]







| Year | N | Mean TC per Art | Mean TC per Year | Year | N | Mean TC per Art | Mean TC per Year |
|---|---|---|---|---|---|---|---|
| 2000 | 1 | 8.00 | 0.31 | 2013 | 16 | 94.06 | 7.24 |
| 2001 | 1 | 76.00 | 3.04 | 2014 | 18 | 72.28 | 6.02 |
| 2002 | 2 | 30.00 | 1.25 | 2015 | 19 | 62.05 | 5.64 |
| 2003 | 0 | 0.00 | 0.00 | 2016 | 21 | 89.14 | 8.91 |
| 2004 | 0 | 0.00 | 0.00 | 2017 | 20 | 60.95 | 6.77 |
| 2005 | 1 | 728.00 | 34.67 | 2018 | 34 | 45.29 | 5.66 |
| 2006 | 3 | 59.67 | 2.98 | 2019 | 41 | 54.73 | 7.82 |
| 2007 | 1 | 44.00 | 2.32 | 2020 | 33 | 39.73 | 6.62 |
| 2008 | 2 | 115.50 | 6.42 | 2021 | 58 | 17.50 | 3.50 |
| 2009 | 2 | 35.00 | 2.06 | 2022 | 72 | 12.39 | 3.10 |
| 2010 | 5 | 41.60 | 2.60 | 2023 | 52 | 6.98 | 2.33 |
| 2011 | 7 | 80.00 | 5.33 | 2024 | 59 | 1.76 | 0.88 |
| 2012 | 7 | 66.29 | 4.74 |
| Rank | Author | Institution | Country | N | TC | Citations per Art | H Index |
|---|---|---|---|---|---|---|---|
| 1 | Lewis, Simon J.G. | The University of Sydney | Australia | 23 | 1074 | 46.70 | 74 |
| 2 | Hausdorff, Jeffrey M. | Tel Aviv University | Israel | 18 | 1821 | 101.17 | 107 |
| 3 | Mirelman, Anat | Tel Aviv University | Israel | 17 | 1798 | 105.76 | 43 |
| 4 | Shine, James M. | The University of Sydney | Australia | 17 | 966 | 56.82 | 24 |
| 5 | Calabro, Rocco Salvatore | IRCCS Ctr Neurolesi Bonino Pulejo | Italy | 15 | 318 | 21.20 | 49 |
| 6 | Martens, Kaylena A. Ehgoetz | University of Waterloo | Canada | 14 | 467 | 33.36 | 24 |
| 7 | Riva, Giuseppe | IRCCS Istituto Auxologico Italiano | Italy | 14 | 327 | 23.36 | 70 |
| 8 | Nieuwboer, Alice | Catholic University of Leuven | Belgium | 12 | 1087 | 90.58 | 68 |
| 9 | Bastiaan Bloem | Radboud University Nijmegen | Netherlands | 12 | 928 | 77.33 | 103 |
| 10 | Giladi, Nir | Tel Aviv University | Israel | 11 | 1241 | 112.82 | 101 |
| 11 | Matar, Elie | The University of Sydney | Australia | 11 | 768 | 69.82 | 19 |
| 12 | Gilat, Moran | The University of Sydney | Australia | 11 | 654 | 59.45 | 28 |
| 13 | Pedroli, Elisa | IRCCS Istituto Auxologico Italiano | Italy | 11 | 254 | 23.09 | 24 |
| 14 | Baglio, Francesca | IRCCS Don Carlo Gnocchi Onlus | Italy | 10 | 161 | 16.10 | 29 |
| Rank | Journal | N | IF | JCR | OA | TC | Citations per Art |
|---|---|---|---|---|---|---|---|
| 1 | Journal of NeuroEngineering and Rehabilitation | 20 | 5.2 | Q1 | Yes | 966 | 20 |
| 2 | Frontiers in Neurology | 19 | 2.7 | Q2 | Yes | 512 | 19 |
| 3 | Sensors | 16 | 3.4 | Q2 | No | 309 | 16 |
| 4 | Parkinsonism & Related Disorders | 14 | 3.1 | Q2 | No | 638 | 14 |
| 5 | PLoS One | 14 | 2.9 | Q1 | Yes | 458 | 14 |
| 6 | Brain Sciences | 10 | 2.7 | Q3 | Yes | 77 | 10 |
| 7 | Frontiers in Human Neuroscience | 9 | 2.4 | Q2 | Yes | 311 | 9 |
| 8 | Gait & Posture | 9 | 2.2 | Q2 | No | 193 | 9 |
| 9 | Neurorehabilitation | 8 | 1.7 | Q2 | No | 233 | 8 |
| 10 | European Journal of Physical and Rehabilitation Medicine | 8 | 3.3 | Q1 | No | 229 | 8 |
| 11 | Scientific Reports | 8 | 3.8 | Q1 | Yes | 66 | 8 |
| Rank | Title | Author (Year) | Journal (IF) | Type | TC |
|---|---|---|---|---|---|
| 1 | Virtual environments for motor rehabilitation: Review | Holden (2005) | Cyberpsychology & Behavior (4.2) | Review | 728 |
| 2 | Exercise-enhanced neuroplasticity targeting motor and cognitive circuitry in Parkinson’s disease | Petzinger (2013) | Lancet Neurology (46.6) | Review | 514 |
| 3 | Gait impairments in Parkinson’s disease | Mirelman (2019) | Lancet Neurology (46.6) | Review | 404 |
| 4 | Effectiveness of home-based and remotely supervised aerobic exercise in Parkinson’s disease: a double-blind, randomised controlled trial | Van der Kolk (2019) | Lancet Neurology (46.6) | Article | 312 |
| 5 | Addition of a non-immersive virtual reality component to treadmill training to reduce fall risk in older adults (V-TIME): a randomised controlled trial | Mirelman (2016) | Lancet (98.4) | Article | 300 |
| 6 | A meta-analysis and systematic literature review of virtual reality rehabilitation programs | Howard (2017) | Computers in Human Behavior (9.0) | Review | 277 |
| 7 | Virtual reality for gait training: can it induce motor learning to enhance complex walking and reduce fall risk in patients with Parkinson’s disease? | Mirelman (2011) | Journal of Gerontology Series A Biological Sciences and Medical Sciences (4.3) | Article | 265 |
| 8 | Rehabilitation for Parkinson’s disease: Current outlook and future challenges | Abbruzzese (2016) | Parkinsonism & Related Disorders (3.1) | Article | 263 |
| 9 | The role of exergaming in Parkinson’s disease rehabilitation: a systematic review of the evidence | Barry (2014) | Journal of NeuroEngineering and Rehabilitation (5.2) | Review | 234 |
| 10 | Effect of Nintendo Wii™-based motor and cognitive training on activities of daily living in patients with Parkinson’s disease: a randomised clinical trial | Pompeu (2012) | Physiotherapy (3.1) | Article | 230 |
| Category Description | Discussion of Results |
|---|---|
| Basic Information Analysis | |
| Phases of Research |
|
| Geographical and Institutional Insights |
|
| Publication Analysis |
|
| Key Research Themes | |
| FOG |
|
| Balance and Posture Control |
|
| Cognitive Function |
|
| Upper Limb Motor Function |
|
Disclaimer/Publisher’s Note: The statements, opinions and data contained in all publications are solely those of the individual author(s) and contributor(s) and not of MDPI and/or the editor(s). MDPI and/or the editor(s) disclaim responsibility for any injury to people or property resulting from any ideas, methods, instructions or products referred to in the content. |
© 2025 by the authors. Licensee MDPI, Basel, Switzerland. This article is an open access article distributed under the terms and conditions of the Creative Commons Attribution (CC BY) license (https://creativecommons.org/licenses/by/4.0/).
Share and Cite
Wu, Q.; Qiu, M.; Liu, X.; He, W.; Yang, T.; Jia, C. The Role of Virtual Reality on Parkinson’s Disease Management: A Bibliometric and Content Analysis. Sensors 2025, 25, 1432. https://doi.org/10.3390/s25051432
Wu Q, Qiu M, Liu X, He W, Yang T, Jia C. The Role of Virtual Reality on Parkinson’s Disease Management: A Bibliometric and Content Analysis. Sensors. 2025; 25(5):1432. https://doi.org/10.3390/s25051432
Chicago/Turabian StyleWu, Qiang, Mengli Qiu, Xiaomei Liu, WanJiaAaron He, Ting Yang, and Chengsen Jia. 2025. "The Role of Virtual Reality on Parkinson’s Disease Management: A Bibliometric and Content Analysis" Sensors 25, no. 5: 1432. https://doi.org/10.3390/s25051432
APA StyleWu, Q., Qiu, M., Liu, X., He, W., Yang, T., & Jia, C. (2025). The Role of Virtual Reality on Parkinson’s Disease Management: A Bibliometric and Content Analysis. Sensors, 25(5), 1432. https://doi.org/10.3390/s25051432

