Next Article in Journal
Seismic Risk Classification of Building Clusters Using MST Clustering and UAV Remote Sensing
Previous Article in Journal
Enhanced Pure Pursuit Path Tracking Algorithm for Mobile Robots Optimized by NSGA-II with High-Precision GNSS Navigation
Previous Article in Special Issue
Enhancement of Roll-to-Roll Gravure-Printed Cantilever Touch Sensors via a Transferring and Bonding Method
 
 
Font Type:
Arial Georgia Verdana
Font Size:
Aa Aa Aa
Line Spacing:
Column Width:
Background:
Article

Estimation of the Measurement Accuracy of Wireless Passive Resonance Sensors

1
Laboratory for Electrical Instrumentation and Embedded Systems, Faculty of Engineering, University of Freiburg, 79110 Freiburg, Germany
2
RSSI GmbH, Bürgermeister-Graf-Ring 1, 82538 Geretsried, Germany
3
School of Integrated Circuits, Huazhong University of Science and Technology, Wuhan 430074, China
*
Author to whom correspondence should be addressed.
Sensors 2025, 25(3), 747; https://doi.org/10.3390/s25030747
Submission received: 25 November 2024 / Revised: 8 January 2025 / Accepted: 22 January 2025 / Published: 26 January 2025
(This article belongs to the Special Issue Feature Papers in Physical Sensors 2024)

Abstract

Resonators are passive devices that respond to an excitation signal by oscillating at their natural frequency with exponentially decreasing amplitudes. Physical, chemical and electrical variables can modify the natural frequencies of resonators. If resonators are connected to antennas or other transducers that couple into a communication channel, they enable purely passive sensors that can be read wirelessly. In this manuscript, we use maximum likelihood estimation to analyze the measurement accuracy that can be achieved by the wireless readout of passive resonant sensors as a function of the read signal, the stimulation power and noise figure of the reader, the distance and transducer gain of the transmission channel, and the natural frequency and quality factor of the resonant passive sensor. The Crámer–Rao lower bound characterizes the minimum variance of the natural frequency and decay constant of the resonator. We show the derivation of the Crámer–Rao lower bounds from the Fisher information matrix based on a maximum likelihood estimation of discrete-time samples of an exponentially decaying phasor. This theoretical lower limit of accuracy is almost achieved by an iterative algorithm that approximates the maximum of the measured resonator spectrum with a Lorentz curve.

1. Introduction

Sensors are essential parts of any control system. Wireless sensors, called transponders, are used at moving or rotating control points, on or in living beings, and in situations where wiring would be expensive. Passive transponders are used in applications where traditional battery, RFID or energy harvesting-based radio technology cannot be operated or only at high operating costs. Chipless passive transponders require neither a battery nor an integrated circuit. Such a transponder system consists of two parts, a reading unit and passive transponders that act as cooperative targets. Both parts are connected by transducers via a wireless connection, for example a radio, inductive, capacitive or ultrasonic connection, as shown in Figure 1. To stimulate the passive transponders, the reader sends a read signal to the transponder nodes via the communication channel.
Three types of chipless passive transponders are described in the literature: delay lines, resonators and mixer types [1]. This contribution focuses on resonators with a high quality factor Q, where the quantity being measured changes the resonant frequency of the resonator. The read signal stimulates an oscillation in the resonator, which decays exponentially after the read signal is switched off. A part of the energy stored in the oscillation is sent back to the reader as a backscatter signal, where it is received, sampled and evaluated. The resonant frequency can be extracted if the decay time of the oscillation is long enough to separate it in time domain from the read signal and some ambient echoes in the wireless transmission channel. Mixer types sometimes mix the read frequency down to an intermediate frequency, which then also excites a resonator [2,3].
So far, ceramic dielectric resonators [2,4], bulk [5,6] and surface acoustic wave resonators (SAWs) [1,7,8,9,10,11], HF cavity resonators [12,13], LC resonators [14,15,16], coplanar resonators [4,17], spiral resonators [18], and air-filled substrate-integrated waveguide resonators [19] are presented in the scientific literature for wireless temperature [6,11], pressure [1], blood pressure [20], torque [7,21], strain [4,10,12,19], transient load [9], vibration [22], mass flow [4], corrosion of steel [23], pH value [16], and food quality [24] measurements together with other physical parameters. The review [25] provides a good overview of the current state of research, development and applications of wireless resonance sensors and [26,27] of the subset of passive LC wireless sensors.
Due to the low complexity of chipless passive transponders, which enable operation without batteries or electronic circuits, the instrumentation technology is assessed as maintenance-free, robust and suitable for use in harsh environments. Systems using chipless passive transponders usually surpass the read distance of RFID-based transponder systems by far, since they are linear time-invariant systems where the read distance is limited only by the receiver noise, which blocks detection of the response signal from distances beyond the maximum read distance.
There are three types of error sources: systematic errors, statistical errors and unknown systematic errors [28]. This manuscript addresses the evaluation of noisy exponentially decaying complex exponential functions, where the noise is assumed to be Gaussian distributed and distortion-free. In addition, linear, time-invariant transmission channels without interference from other transmitters as well as linear and time-invariant transponders with constant natural frequencies are assumed. Due to the linear, time-invariant characteristics of the transducer and the resonator, a capacitive or inductive load on the transducer can pull the natural frequency of the resonator and thus distort the measurement result [27]. In the case of non-time-invariant transmission channels, for example if the distance between the reader and transponder varies, in the case of temporary shadowing, or if stochastic interference occurs, more complex methods, as described in [29,30], must be combined with the algorithms presented here.
Y.-X. Yao and S. M. Pandit were the first to calculate the theoretical lower bounds, so-called Crámer–Rao lower bounds, for the parameters of a sampled exponential decaying complex phasor in noise based on a maximum likelihood estimation [31]. Based on their results, this manuscript calculates a theoretical lower limit of the measurement accuracy of a wireless readout of a passive transponder system using resonant sensor nodes.
There is an increasing number of publications on extracting the resonance frequency and quality factor of a noisy complex exponential function with exponentially decreasing amplitude. Examples are a numerical fit of Lorentz curves to the measurement data [9,32], a frequency estimation based on linear prediction and singular value decomposition [33,34], or super-resolution based methods [35]. An overview and performance comparison of some concepts can be found in [27,36,37]. Using sin ( x ) / x interpolation, analytic solutions for some frequency estimators were presented [38]. What is still missing, however, is an analysis that allows to predict the theoretically possible measurement accuracy based solely on the physical and electrical parameters of the measuring system. By comparing this theoretical measurement accuracy with the actual one, the performance of the measurement system can be assessed qualitatively and quantitatively. In addition, it can be predicted which measurement accuracy can be expected at which distance.
E. Aboutanios presented an iterative, high-performance algorithm which approximates the points around the maximum of the measured spectrum by a Lorentz curve, thereby reaching an accuracy of the Crámer–Rao lower bounds [39,40]. Using this algorithm, several examples of the achievable accuracy are shown for wireless readout of resonators of different quality factors in typical ISM (Industrial, Scientific, Medical, ISM) [41] and SRD (Short-Range Device, SRD) [42] bands as a function of read distance or signal-to-noise ratio.
The manuscript begins by presenting a mathematical model of a noisy discrete-time complex signal with exponentially decaying amplitude. When reading a passive resonator remotely, the initial signal-to-noise and interference ratio results from the radar parameters’ transmission power, gain of the transducer to the transmission medium, reading distance and stimulation duration as well as from the transponder parameters’ resonance frequency, quality factor and impedance matching of the resonator to the transducer. The equations for the maximum likelihood estimation of the parameters of the exponentially decaying discrete-time signal and their Crámer–Rao lower bounds are then formulated. An iterative numerical algorithm for determining these parameters is also presented, and its performance is compared with the theoretical lower bounds.
All visualizations of the formulas and the numerical simulations were carried out using MATLAB, Version 9.13.0 [43].

2. Signal-to-Noise and Interference Ratio by a High-Q Resonator as Cooperative Target

To calculate the maximum achievable measurement accuracy of a passive transponder system using high-Q resonant sensors, we need the signal-to-noise ratio of the received signal in the reader. In this section, we first calculate the signal power of the signal backscattered by the passive transponder, which is received and sampled in the reader, using the radar equation and Friis’ law [44]. The noise power contained in the signal is then calculated as thermal noise. At the end of the section, the elimination of interference caused by waves backscattered elsewhere in the transmission channel is discussed.

2.1. Signal Power

Various radar techniques for readers for passive chipless transponders have been presented in the literature such as time domain sampling, frequency domain sampling and hybrids [45,46,47,48]. The highest signal-to-noise ratio and thus the highest measurement accuracy of the frequency is obtained by the reading device sending out a CW signal with a carrier frequency ω = 2 π f very close to the natural frequency of the resonator as the read signal and sampling the decaying resonator signal after switching off the stimulation.
The reader transmits this signal with a power P t ( t ) which is sent via a transducer, e.g., an antenna with the gain g t over a wireless channel. Electromagnetic or acoustic channels have been used as wireless channels for the far-field transmission of the read and the backscattered decaying signal [5,6]. The transponder receives a fraction P r ( t ) of the emitted signal at a distance R > λ , where λ is the wavelength in the transmission channel. If the transponder’s transducer gain is given by g r , then P r is ideally given by the Friis equation [44]
P r = P t · g t · g r · λ 4 π R 2 .
An additional propagation loss L a might be caused by absorption of the wave in the media [9]. The absorption per unit distance is given by an absorption coefficient of the media α m . The received power P r is then given by
P r = P t · g t · g r · e α m R λ 4 π R 2 .
The transmission of signals between the reader and the passive transponder does not correspond to free space propagation if the signals at the receiver are changed by superimposing signal components reflected in the transmission channel. If the quality of the resonator is significantly higher than the quality of the transmission channel and neither the mutual arrangement nor the distance between reader and transponder changes during communication, a constant effective distance can be specified with which the received power can be determined according to Equations (1) or (2). The effective distance sometimes differs from the geometric distance.
The signal s l o a d ( t ) at the feed point of the transponder antenna can be written through
s l o a d ( t ) = P r · e j ( ω t + φ 0 ) ,
where the phase shift φ 0 is given by the delay caused by the transmission between the reader and transponder.
H R ω describes the response of the resonator loaded with the impedance of the transducer by a signal at the frequency ω . The total received power P r is absorbed by the resonator when the source resistance of the transducer is matched to the impedance of the resonator at resonance and when the carrier frequency of the read signal is close to the natural frequency of the resonator. The resonator then begins to oscillate in a forced oscillation.
Incomplete matching of the antenna to the resonator reduces the power transfer twice, during stimulation from the antenna into the resonator and during decay from the resonator to the antenna, H R ω thereby is reduced by the mismatch loss. The damping constant α of free oscillation lengthens slightly in this case because the resonator is operated somewhere between open and loaded.
The vibration characteristics of the resonator is described by the natural angular frequency of the undamped oscillation ω 0 = 2 π f 0 and the loaded quality factor Q, which gives the damping constant α of free oscillation
α = ω 0 2 Q = π f 0 Q .
The natural angular frequency of the damped oscillation ω d = 2 π f d is given by
ω d = ω 0 2 α 2 .
After the load time t l o a d , the stimulation signal is switched off, and the oscillation will decay at its damped natural angular frequency ω d with the signal s d e c a y ( t ) , which will start at the power P d e c a y [49]
s d e c a y ( t ) = P d e c a y · e α + j ω d t t l o a d + j φ 1 .
The accumulated phase shift φ 1 and the power P d e c a y at the start are given by
φ 1 = φ 0 + ω t l o a d
P d e c a y = P r H R 2 ω 1 e j ω d j ω α t l o a d 2 .
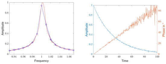
In Figure 2, the dashed lines in blue show the function of time during which the stimulation signal is provided by the antenna due to the picked-up read signal and in a solid black line the oscillation which is built up in the resonator. The amplitude of the excitation signal is normalized to one in the image. The frequency of the excitation and the decaying resonator is plotted in f / f 0 and the time in t · f 0 . The stimulation signal stops at t l o a d and the oscillation decays. The signal of the decaying resonator is divided between the source impedance of the antenna and the internal resistance of the resonator.
Near resonance, i.e., ω ω d , the term 1 e j ω d j ω α t l o a d increases for α t l o a d < 1 linear with t l o a d and approaches 1 for α t l o a d > π . The decaying oscillation in Equation (6) supplies the response signal, whereby, if matched ( H R ω = 1 ), half of the power is dissipated in the internal resistor of the resonator and half is coupled to the transducer and sent out as a backscattered wave with power P b a c k s c a t t e r e d to the reading device:
P b a c k s c a t t e r e d = 1 2 · P d e c a y
This signal again propagates through the media back to the reader. The reader, at the distance R, picks up a fraction s i n ( t ) of the backscattered signal, which will start at the power P i n
s i n ( t ) = P i n · e α + j ω d t t l o a d + j φ 2
P i n = P b a c k s c a t t e r e d · g t · g r · e α m R · λ 4 π R 2 = 1 2 · P r H R 2 ω 1 e j ω d j ω α t l o a d 2 · g t · g r · e α m R · λ 4 π R 2 = 1 2 · P t · g t 2 · g r 2 · e 2 α m R · λ 4 π R 4 · H R 2 ω · 1 e j ω d j ω α t l o a d 2 .
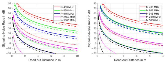
Figure 3 shows the initial received power P i n at the end of stimulation in the reader for ISM [41] and SRD [42] bands that are often used to read passive resonant transponders. The initial received powers are independent of the quality factor Q of the resonator. Free space electromagnetic propagation was assumed with P t = 10 m W , g t = g r = 2 , α m = 0 , H R ω = 1 , i.e., an stimulation at resonance frequency, and α · t l o a d = π , i.e., an excitation via Q oscillations. The curves are shown from a distance between the reader and transponder of R λ .
The phase shift φ 2 in Equation (10) results from the delay caused by the transmission from the reader to the transponder due to the stimulation time t l o a d and by the re-transmission from the transponder to the reader.
For electromagnetic waves in the UHF and VHF range, α m 0 . If the stimulation time t l o a d is in the order or larger than Q / f 0 , then the resonator is maximally stimulated and we can neglect the phase shift due to the interference between the forced oscillation and the natural oscillation in the resonator [49]. If further, the antenna is matched to the impedance of the resonator at resonant frequency, and the interrogation frequency is close to the natural frequency, i.e., H R ( ω ) 1 , then Equation (11) simplifies to
P i n 1 2 · P t · g t 2 · g r 2 · λ 4 π R 4 .

2.2. Interference Due to Environmental Echoes

After switching off the read signal, the reader receives the signals not only from the decaying oscillation of the resonators but also from a variety of other echoes from the environment. A wireless measurement of the natural frequency of a resonant passive transponder is only possible if the decaying signal by the resonator lasts significantly longer than all ambient echoes picked up by the reader. Transducers with high directivity help to suppress ambient echoes, but they require precise alignment and limit the read area. The signals of the decaying oscillation of the resonator can be separated in the reader if the quality factor of the resonator is significantly higher than the equivalent quality factor of the power delay profile of the transmission channel.
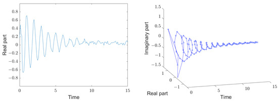
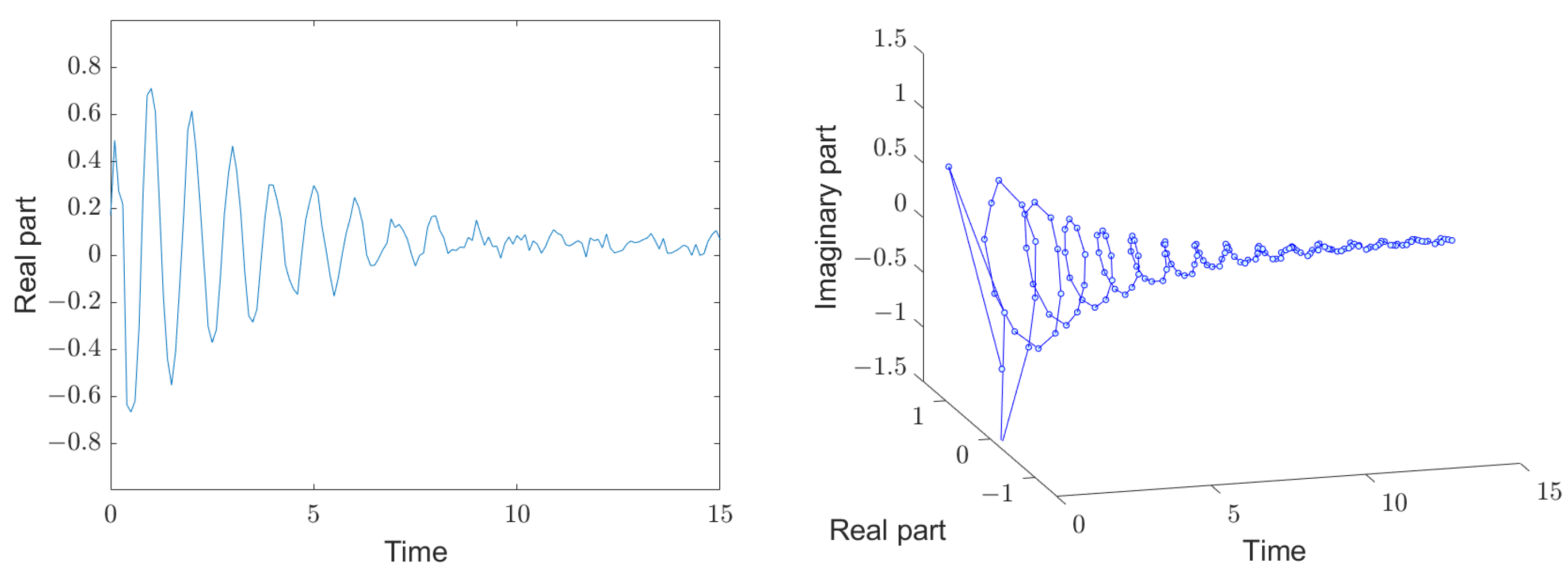
Figure 4 shows schematically an input signal in the reader after the end of the stimulation signal as a function of time. The left diagram shows the real part of the sampled values and the diagram to the right shows both the real and imaginary part. For signal processing, only sampled values according to the sampling theorem are relevant, i.e., two samples per oscillation. For a better overview, 10 samples per oscillation are shown here and they are also connected. The first samples are dominated by stochastic ambient echoes, which, however, soon fade away. As the process progresses, the signals from the decaying resonator stand out from the noise. After about 10 oscillations, these usable signals disappear into the noise. The quality factor of the oscillator in this schematic drawing is 10 and the signal-to-noise ratio at t = 0 is 20 dB.
Ambient echoes would cause a systematic error in the evaluation of the resonance frequency, which cannot be eliminated later. Also, averaging would not lower this systematic error. Therefore, the ambient echoes must be eliminated by a time gate t g a t e before the resonator signal is analyzed by the reader unit.
Choosing this time gate is relevant. If the time gate is set too short, systematic measurement errors result. If it is set too long, only an unnecessarily decayed signal is available for evaluation and the measurement accuracy suffers. In some applications, the power delay profile of the transmission channel can be measured before deploying the passive transponder. A method for adjusting the time window is suggested in Section 4.4.
Due to the exponentially decaying oscillation, the time gate results in a further attenuation of the initial power P i n that can be analyzed in the reading device to P g a t e d with
P g a t e d = 1 2 · P t · g t 2 · g r 2 · e 2 α t g a t e · e 2 α m R · λ 4 π R 4 · H R 2 ω · 1 e j ω d j ω α t l o a d 2 .
It describes the link budget when reading a cooperative resonant passive target by a radar system. The term 1 e j ω d j ω α t l o a d 2 describes the state of the loading of the resonator after the loading time t l o a d ; H R 2 represents the results of both the matching of the readout frequency ω to the natural frequency ω d and the electrical matching of the impedance of the transducer to the resonator. λ 4 π R 4 gives the geometrical spread of the readout signal and the response signal, e 2 α m R a possible viscose damping of the signal along the distance R in the transmission medium, e 2 α t g a t e the decaying of the resonator signal due to the waiting time t g a t e until all strong environmental echoes have died out, and g t and g r the gain of the transducers to couple into the transmission medium. If a bi-static setup is applied, g t 2 or g r 2 has to be replaced by g t 1 · g t 2 or g r 1 · g r 2 , respectively.
The decay of the ambient echoes usually can be characterized by a quality factor, Q t c . The above equation can be rewritten with the help of Q t c as
P g a t e d = e 2 π Q t c Q · P i n .
Figure 5 shows the start of the received power P g a t e d , which is still present in the reader after the time gate in order to eliminate ambient echoes before the start of sampling. This power level then decreases according to the quality factor of the resonator. The excitation setup and the colors for the frequency bands were selected as in Figure 3. The remaining power for resonators with a quality factor of 10 is shown in dotted lines, for resonators with a quality factor of 100 in dashed lines, and for resonators with a quality factor of 1000 in solid lines. The quality factor of the transmission channel Q t c was set to 15. The signals from the resonators with a quality factor of 10 are strongly attenuated by the time gate, while the signals from the resonators with a quality of 100 or 1000 were hardly reduced.
The signal with power P g a t e d in Equation (13) usually is boosted with a low-noise amplifier and then mixed down to baseband with the actual local oscillator signal and sampled. Depending on the distance between the stimulating frequency ω and the natural frequency of the resonator ω d , the down mixed signal only shows a few oscillations before it disappears into noise.

2.3. Noise Power

The thermal environment of the resonator has the temperature ϑ and therefore emits thermal noise. The noise power N p within the receiver bandwidth B, which is received in addition to the resonator signal, is given by k B ϑ B , where k B is the Boltzmann constant. The low-noise amplifier increases this noise power by the factor F L N A . This results in a total noise power N p of
N p = F L N A k B ϑ B .
The carrier frequency of the Lorentz curve can only be determined correctly if the entire spectrum of the Lorentz curve is contained in the analyzed frequency range. Each windowing of the Lorentz curve changes the decay constant and also shifts the apparent carrier frequency. For example, if the carrier frequency is outside the resolved frequency band, the signal processing cannot determine the correct frequency. The receiver bandwidth B, thus, must be larger than the resonance bandwidth of the resonator to resolve the decaying resonance
B > f 0 Q .
A measurement bandwidth of approximately three to four times this minimum bandwidth would be optimal for a maximum signal-to-noise ratio. However, in order to reliably detect the shift in the center frequency, a larger bandwidth than this minimum usually must be sampled, for example 0.5 % to 1 % f 0 . In the ISM and SRD frequency bands, the bandwidth is restricted by legal requirements.
The receiver bandwidth relevant for the noise power results from the sampling frequency f s or the sampling interval T of the receiver
B = 1 2 f s = 1 2 T .
In order to minimize the noise power in the sampled signal, the received signal is limited to the minimum bandwidth of 0.5 f s before sampling. If the bandwidth of the signal is lowered below the value given in Equation (17), we call the signal over-sampled. The over-sampled content of the signal contains no additional information, and we can reduce in the following analysis the sampling frequency to half of the bandwidth.
After data collection is complete, usually a new measurement can be started. If neither the measured value, i.e., the desired resonance frequency, nor the transmission channel changes, either the extracted resonance frequencies can be averaged or, in some cases, the individual complex sample values also can be averaged coherently to lower the equivalent noise bandwidth B.
If the noise can be described by a mean-free Gaussian process, it is completely characterized by the variance σ n 2 , where
σ n 2 = N p .
Since the amplitude of the exponentially decaying resonator signal decreases with time, the signal-to-noise ratio becomes time-dependent. However, we can define the initial signal-to-noise ratio η as the ratio of the initial signal power P g a t e d to the noise floor N p , which is given by
η = P g a t e d N p = P g a t e d σ n 2 .
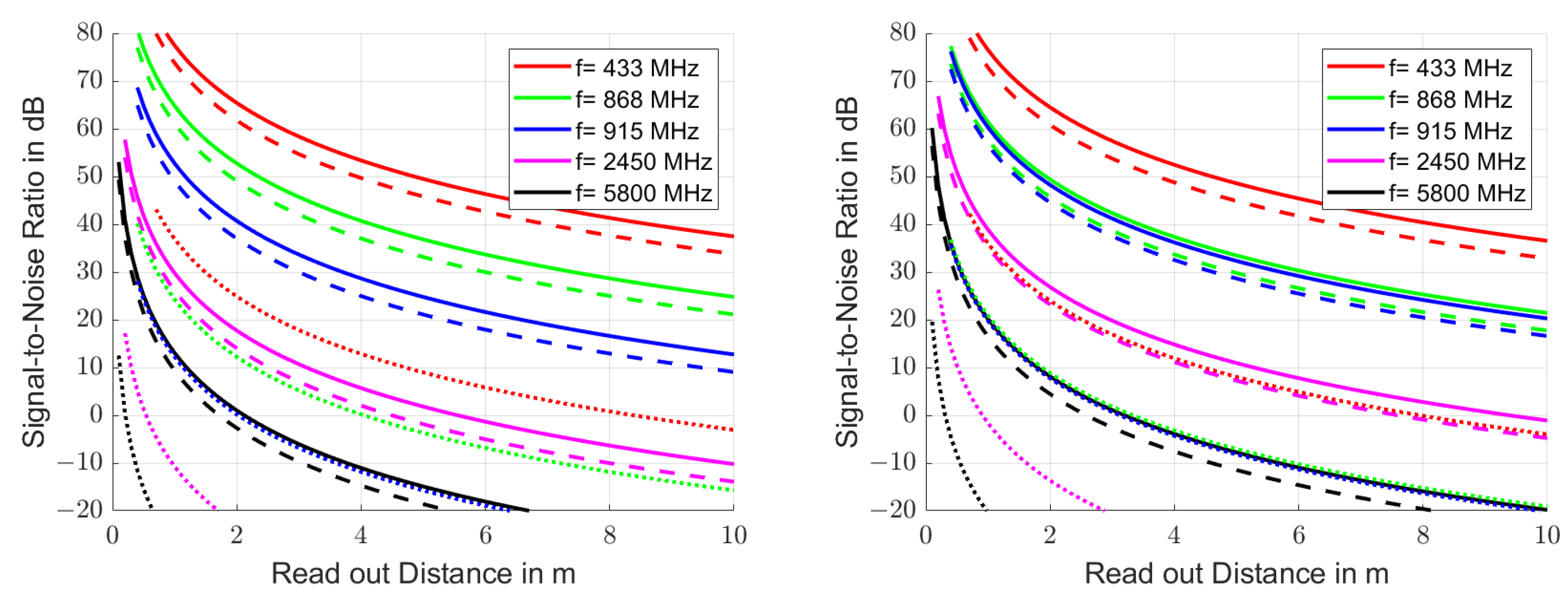
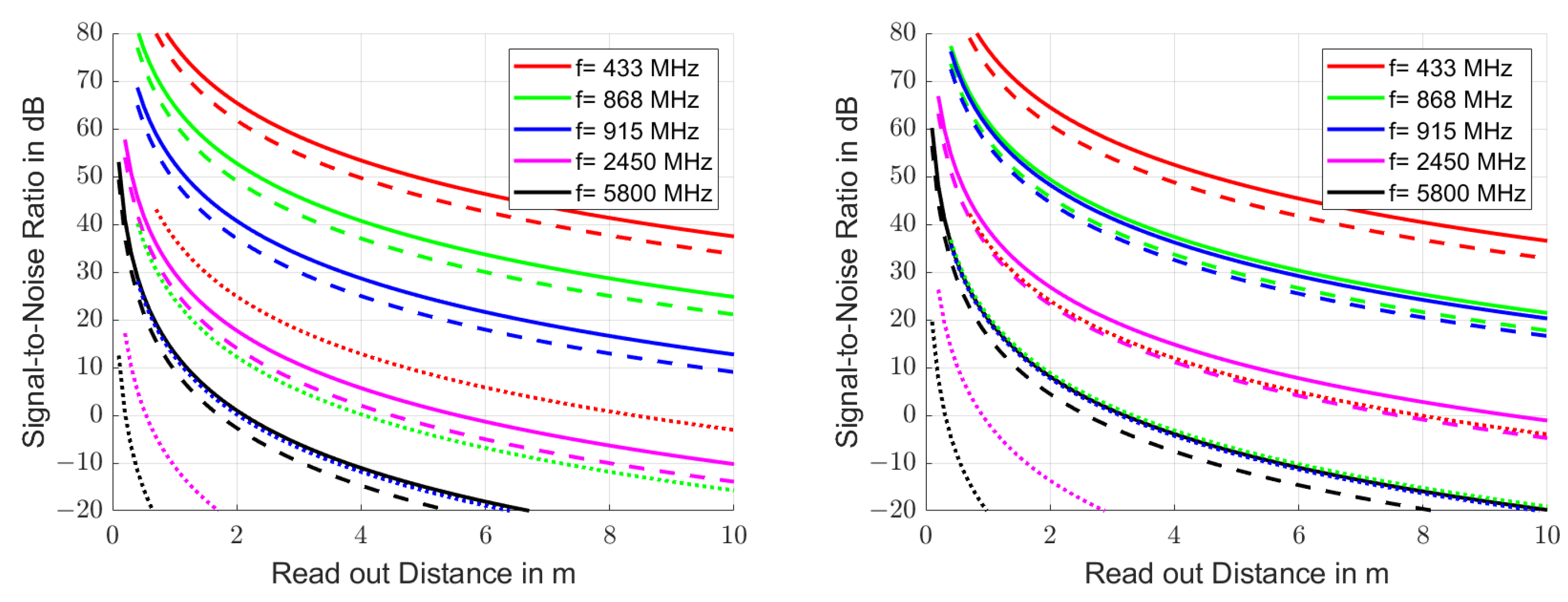
Figure 6 shows the initial signal-to-noise ratio η in the reader after the time gate for the same frequency ranges and resonator qualities as in Figure 5. The noise bandwidths used in the left graph were 1.75 MHz for the 433 MHz band, 2 MHz for the 868 MHz band, 26 MHz for the 915 MHz band, 100 MHz for the 2.45 GHz band and 150 MHz for the 5.8 GHz band. However, sampling the same relative bandwidths B = 0.5 % f 0 results in the graph to the right with significant improvements in the signal-to-noise ratio at the wide bands 915 MHz, 2450 MHz and 5800 MHz.

2.4. Sampling

The results of the Crámer–Rao lower bound calculations depend on an agreement on the starting time of the samples, as this changes the phases. There are two special time frames: either the samples are taken symmetrical to t = 0 , or sampling starts at t = 0 . The second choice seems to best fit for an exponentially decaying signal. Therefore, we shift the time frame to start sampling at t = 0 . The analogue mixed down signal s m d ( t ) is then given by
s m d ( t ) = P g a t e d · e α + j ω d j ω t + j φ 3 ,
with P g a t e d given in Equation (13). Downconversion reduces the number of oscillations in the signal, but α is preserved.
If we neglect the phase shift due to the interference between the forced oscillation and the natural oscillation in the resonator, the phase shift φ 3 of the mixed down analog signal compared to the local oscillator of the reader is given by
φ 3 = ω + ω d R c + ω ω d t g a t e .
Since R and ω d are unknown, φ 3 is also unknown. In order to simplify the following formulas a bit, we introduce the following abbreviations
b ˜ = P g a t e d , ω ˜ = ω d ω , φ ˜ = φ 3 .
The exponentially decaying signal then can be written as
s m d t = b ˜ e α + j ω ˜ t + j φ ˜ .
This signal is completely described by four variables that can be combined into a state vector χ , which is given by
χ = ω ˜ φ ˜ α b ˜ .
Two variables, ω ˜ and φ ˜ , describe the phase and two, α and b ˜ , the amplitude of the decaying phasor, with one variable each characterizing the change over time ( ω ˜ and α ) and one variable ( φ ˜ and b ˜ ) the initial state. The sampling delivers the discrete-time signal s n , where n is the index of an element.
s n = s m d t n = b ˜ e α + j ω ˜ t n + j φ ˜ = b ˜ e α + j ω ˜ n · T + j φ ˜ , for n = 0 , 1 N 1 .
In addition to s n , the sampled complex signal z n contains noise n n . The average noise power is given by Equation (15). The sampled common signal z n is given by
z n = s n + n n .

3. Crámer–Rao Lower Bounds for Exponentially Decaying Phasors

Due to the noise, only an estimate for χ can be determined. For any given estimate of the state vector χ , we can calculate the resulting estimates μ n for the sampled signals z n at times n · T :
μ n = b ˜ e n · α + j ω ˜ T + j φ ˜ .

3.1. Maximum Likelihood Estimation of χ and σ n

If the noise is Gaussian distributed, with mean μ n and variance σ n 2 , the probability density function f z n ; χ of a single sample point can be modeled as
f z n ; χ = 1 2 π σ n 2 e 1 2 σ n 2 z n μ n 2 .
f z n ; χ gives the probability of measuring z n if μ n was the true value. Obviously, f z n ; χ is maximal when μ n = z n . Now, we adapt our analytical signal, which is described by the four parameters in the state vector χ , to the measurement points in such a way that the deviation of the measurement points from the analytic signal corresponds to the narrowest possible Gaussian distribution. This is accomplished by multiplying all probability density functions of all linearly independent samples in the measurement vector, yielding the joint probability density function f ( z ; χ ) , also called the likelihood function, and finding the global maximum of this function,
f ( z ; χ ) = n = 0 N 1 f z n ; χ = 1 2 π σ n 2 N e 1 2 σ n 2 n = 0 N 1 z n μ n 2 .
The assumption that the noise is linearly independent for each sample and for the real and imaginary components applies when the sampling frequency corresponds to the Nyquist frequency and when interference from spurious reflections and crosstalk between I and Q channels are negligible.
The maximum stays the same if we analyze the logarithm of Equation (29), since the logarithm is a monotonic function. This results in the so-called log-likelihood function
log ( f ( z ; χ ) ) = N log 2 π σ n 2 1 2 σ n 2 n = 0 N 1 z n μ n * z n μ n .
The best estimate of the variables in χ maximizes the probability that our measurements will turn out as we obtain them. In this case, they maximize f ( z ; χ ) in Equation (29) or (30) for a given measurement z n .
Of the five variables in the likelihood function, b ˜ , α , ω ˜ , φ ˜ and σ n , three ( b ˜ , φ ˜ and σ n ) can be calculated analytically from Equation (30) once α and ω ˜ are determined (see Appendix B).
For φ ˜ we get (see Appendix B.1, Equation (A43)):
φ ˜ = arg n = 0 N 1 z n e α n T e j ω ˜ n T
After multiplication of the measurement points by the phase factor e j ω ˜ n T , which removes the carrier frequency, all measuring points are distributed in a Gaussian shape around a certain phase angle. The best estimate for the initial phase φ ˜ is then the phase angle of the weighted sum of all measurement points without carrier frequency multiplied by the associated amplitude of the decaying resonator e α n T . This reduces the impact of noise, especially in the low useful signal region.
For b ˜ , we obtain (see Appendix B.2, Equation (A44)):
b ˜ = 1 e 2 α T 1 e 2 N α T · n = 0 N 1 z n e α n T e j ω ˜ n T
We remove the carrier frequency from the measurement points, multiply it by the associated amplitudes of the decaying resonator signal, analogous to a matched filter, and sum up all values. We divide the result by the analytically calculated sum of the sampled powers of a decaying resonator of the same quality factor that begins with amplitude 1.
Using the estimates for χ , we can calculate an estimate of the standard deviation of the Gaussian noise using the mean squared error between the measured signal and the estimates (see Appendix B.3, Equation (A47)).
σ n 2 = 1 2 N n = 0 N 1 | z n μ n | 2
However, to solve Equations (31), (32) and (33), the variables α and ω ˜ must be known. If we substitute Equation (31) and (32) into Equation (30), we obtain two remaining optimization equations with respect to ω ˜ and α (see Equation (A45))
ω ˜ , α n = 0 N 1 z n e α n T e j ω ˜ n T = 0
The above equation is unsuitable for analytical or numerical optimization. A well-suited approximation method for solving is discussed in Section 4.

3.2. Crámer–Rao Lower Bounds

Due to the finite sample with N noisy values, the parameters in χ can only be determined with a finite precision, the so-called asymptotic Crámer–Rao lower bounds. This case is analogous to the uncertainty in a mean value, which is calculated from a finite number of noisy constant measurement values.
The Crámer–Rao lower bounds are calculated using the Fisher information matrix J. In the case where we have additive white Gaussian noise, unbiased complex data and unknown real parameters in χ , the Fisher information matrix can be calculated using [50] (p. 49).
J i j χ = 2 N p R n = 0 N 1 μ n * χ i μ n χ j ,
with R x being the real part of x. Appendix A shows the calculation of the Fisher information matrix for the parameters in χ as well as its inverse matrix. The asymptotic Crámer–Rao lower bounds for the unknown parameters in χ are obtained from the main diagonal of J 1 χ . We obtain (see Equations (A37) and (A38)).
σ ω ˜ 2 = σ α 2 1 e 2 α N T 1 e 2 α T 3 2 T 2 η N 2 e 2 α N T 1 e 2 α T 2 + e 2 α T 1 e 2 α N T 2
σ b ˜ 2 b ˜ 2 = σ φ ˜ 2 1 e 2 α T 2 η 1 + e α 4 N + 2 T + 2 N 1 e α 2 N + 4 T + e α 2 N + 2 T + e 4 α T N 2 e 2 α N T 1 e 2 α T 2 + e 2 α T 1 e 2 α N T 2 .
Since ω is known exactly, the variance σ ω ˜ 2 is identical to the variance σ ω d 2 . The variances σ ω d 2 and σ α 2 can be rewritten as
σ ω d 2 = σ α 2 1 e 2 α T 3 2 T 2 e 2 α T η · r α N T ,
where r α N T is the residual of the above approximation with
r α N T = e 2 α T · 1 e 2 α N T N 2 e 2 α N T 1 e 2 α T 2 + e 2 α T 1 e 2 α N T 2 .

3.3. Limit Value for the Frequency Resolution σ ω ˜

Sampled signals with a finite spectrum that satisfy the Nyquist criterion are completely determined, and the parameters of the signal, such as the carrier frequency, can therefore be estimated without errors. If a noise component is added to the signal, the signal can no longer be separated from the noise even if the Nyquist criterion is met and the carrier frequency can only be estimated with a variance that depends on the signal-to-noise ratio. If the noise is Gaussian distributed and bias-free, the minimum variance approaches zero as the number of sample points approaches infinity. In this case, the signal can be completely separated from the noise component. However, with sampled, exponentially decaying phasors, the measurement accuracy approaches a finite limit value even with an infinite number of sampling points, since the useful signals disappear into the noise after a few time constants of the decay.
lim N r α N T = e 2 α T e 2 α T = 1
lim N σ ω d 2 = lim N σ α 2 1 e 2 α T 3 2 T 2 e 2 α T η
lim N σ b ˜ 2 b ˜ 2 = lim N σ φ ˜ 2 1 e 2 α T 2 η 1 + e 4 α T e 2 α T = 1 e 4 α T 2 η
If the measurement cycles of excitation of the resonator, scanning and evaluation of the decaying resonator signal are repeated several times, a measurement accuracy below any specified lower limit can still be achieved by averaging the results.
The residual r α N T very quickly approaches the limit value 1, as Figure 7 shows. As a result, the variance σ ω d 2 reaches its final value when the received signal is sampled along Q oscillations. In this case, α N T = π and r ( π ) 1 .
Figure 7 shows that the limit value specified in Equation (40) is nearly reached when α N T = π , i.e., after sampling of Q oscillations. σ ω d 2 increases significantly, or the resolution decreases significantly, when fewer than Q oscillations are sampled. However, a longer sampling does not increase the resolution but rather costs time that could possibly be used for another measurement cycle and subsequent averaging. In addition, it increases the noise energy in the signal, while the energy of the useful signal remains almost constant. There are two ways to solve this problem: either the signal is truncated after the time 0.85 1.0 · Q / f d or the signal is weighted with truncation as a special case of weighting.
An analysis in the Appendix C shows that an excitation and sampling time of 0.85 0.9 · Q / f d with a subsequent restart of the measurement and an averaging of the measurement results promises the lowest variance σ ω d 2 . The literature gives also 0.9 · Q / f d as the optimal length between improving resolution and reducing the impact of noise for a single signal to be analyzed [39]. However, the minimum toward longer stimulation and sampling times is very flat; the reduction in variance for a sampling time of 0.85 · Q / f d is less than 1% compared to stimulation and sampling of 1.0 · Q / f d . After complete loading and sampling, the oscillation can reduce the ripple in the spectrum that would be caused by a hard on/off cycle.

3.4. Relative Frequency Accuracy by a Wireless Readout of a High-Q Resonator

If we substitute the signal-to-noise ratio in Equations (19) and (13) into Equation (36) or (38), we obtain the Crámer–Rao lower bound for the natural frequency.
σ ω d 2 = σ α 2 1 e 2 α T 3 2 T 2 e 2 α T · 1 η · r α N T , with
1 η = F L N A k B ϑ f s P t · g t 2 · g r 2 · e 2 α t g a t e · e 2 α m R H R 2 ω · 1 e j ω d j ω α t l o a d 2 · 4 π R λ 4
and r α N T given in Equation (39). The relative frequency error σ f 0 / f 0 results from the above equations to
σ f 0 f 0 = 1 4 π 2 f 0 · σ ω d
Figure 8 shows the Crámer–Rao lower bound for the relative frequency error σ f 0 / f 0 that can be achieved in a single measurement for some selected ISM and SRD bands. For the left diagram, the maximum bandwidth in the frequency bands was used; in the right picture, a measurement bandwidth of 0.5 % f 0 was used. Resonators with quality factors of 10, 100 and 1000 were used in each frequency range.
The bandwidths of the resonators with a quality factor of 10 were wider than the permitted frequency bands and, therefore, these resonators were not taken into account. The frequency bands 433 MHz and 868 MHz were also too narrow for the resonators with a quality factor of 100. With a measurement bandwidth of 0.5 % f 0 , only the resonators with quality factor of 1000 could be read.
To analyze the influence of the quality factor on the lower Crámer–Rao bound for the relative frequency error σ f 0 / f 0 , a sweep on Q in Equation (45) was performed. Figure 9 shows the reduction in relative frequency error for one single readout cycle with increasing resonator quality factor. A readout distance R = 1 λ was assumed for the illustration. The displayed σ f 0 / f 0 must be multiplied by R / λ 2 in order to scale to a different read distance R. The diagrams start with the quality factor at which the resonance bandwidth fits into the ISM or SRD band. For a quality factor where the resonator bandwidth became smaller than one fifth of the assigned bandwidth, the sampled bandwidth was fixed at five times the resonator bandwidth.
Equations (38) and (39) can be further simplified if Q oscillations of the RF signal or Q · B / f 0 oscillations in the base band are sampled. In this case, we obtain α N T = π and r ( α N T ) 1 :
σ ω d 2 1 e 2 α T 3 2 T 2 e 2 α T · 1 η
Above approximation is shown by dotted lines in Figure 9.

4. Calculating the Natural Frequency of a Decaying Oscillator

Equations (29) or (30) contain five unknowns, the four parameters of χ and ω . Three of them, φ ˜ , b ˜ and ω , can be determined from Equation (30) using the maximum likelihood method once ω ˜ and α are known. However, ω ˜ and α must be determined numerically. Equations (29), (30), or (34) are completely unsuitable for numerical optimization.
The fastest and computationally most effective methods for accurately estimating the frequency of decaying exponentials in noise operate in the frequency domain and use the fast Fourier transformation (FFT). Rife and Boorstyn showed that the maximum likelihood frequency estimator for the decaying resonator signal in noise is given, just as in the case of an undamped sine wave, using the argument of the periodogram maximizer, i.e., looking for the parameter λ which provides the maximum in the discrete Fourier transform [50,51]:
f ^ M L = arg max λ Y λ , where Y λ = n = 0 N 1 w n e j 2 π n λ
To determine the carrier frequency and damping constant of a decaying oscillator, a two-stage procedure is proposed in the literature, which is analogous to the case of a constant oscillator oscillation. In a first search, the rough frequency position is narrowed down and, based on this, the exact frequency is determined in the second step.

4.1. Coarse Search for the Carrier Frequency

The coarse position of the carrier frequency is usually determined using the Fourier transformation. In Appendix C, it was found that a sampling over approximately Q f oscillations with a subsequent new start of the measurement and subsequent averaging of the complex samples in the time domain promises optimal resolution for a given measurement time. In this case, without zero padding, there is a step size of f Q in the frequency domain, i.e., a fairly coarse spectral resolution.
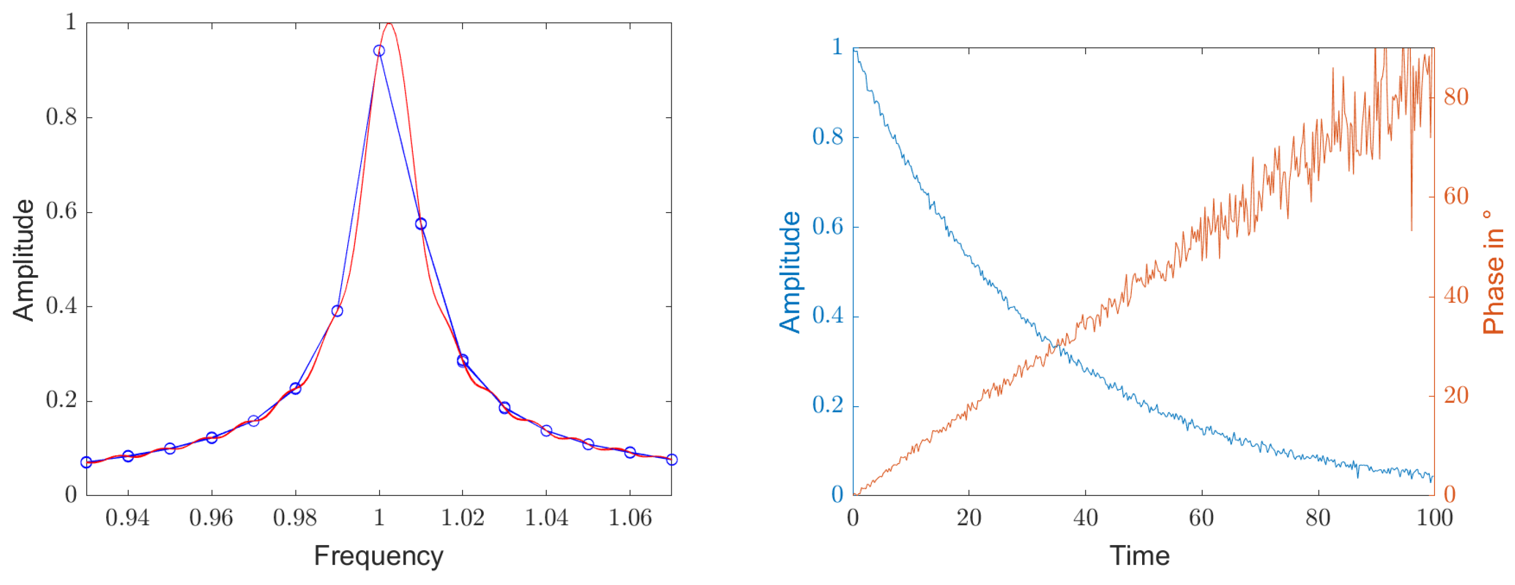
Since always Q f oscillations of a decaying exponential function with noise are sampled, the waveforms are similar in the time domain. Therefore, the main lobes are also similar in the frequency domain. Figure 10 shows on the left the distribution of the sampling points around the maximum as small blue circles when calculating the Fourier transform without zero padding. The red line was calculated with a zero padding of 10.
If the measurement signal is demodulated with the frequency of the maximum of the sampling points, which were calculated without zero padding via the Fourier transformation, a residual oscillation of up to ± 1 2 period remains. Figure 10 shows on the right the measured values in magnitude and phase that were demodulated with this coarse value for the carrier frequency. Since the actual frequency is about a quarter step size away from the maximum, a phase error of approximately 2 π 4 = 90 remains. The noise increases significantly when the signal from the decaying resonator slowly disappears into the noise.

4.2. Fine Search for the Carrier Frequency

Without zero padding, the width of the main lobe in the frequency domain is about two step sizes, and the points to the left and right of the maximum are approximately at the height of the 3 dB points. As a result, the Lorentz curve around the resonance frequency is quite poorly resolved for an exact determination of the maximum. In addition, the Lorentz curve can not be approximated with a parabolic approximation using the three points around the maximum, which is to be expected from Figure 10 on the left, but it can be seen clearly in Figure 11.
To achieve a resolution close to Crámer–Rao’s lower bound, we need to fit the sample values in the frequency domain around the maximum with a Lorentz curve. In [39,40], Elias Aboutanios presents an iterative algorithm for the extremely efficient and highly accurate calculation of the maximum of an approximated Lorentz curve. The algorithm uses two DFT values that must have a mutual frequency separation of 1 FFT step size and that must be above and below the maximum. In Appendix E, we deduce the algorithm.
The discrete Fourier coefficients S k in the frequency domain are calculated from the sample values s n with
S k = n = 0 N 1 s n e j 2 π n k N
Let m be the index of the maximum of the Fourier coefficients, corresponding to a frequency f o l d , with
f o l d = m N T .
Then, we need the DTF components for k = m ± 1 2 . Half-step sizes in the frequency domain can be achieved either by zero padding N points before calculating a FFT or by evaluating the DFT, Equation (48), for k = m ± 1 2 . We obtain S m 1 2 and S m + 1 2 , and we define
h = 1 2 S m + 1 2 + S m 1 2 S m + 1 2 S m 1 2
An improved estimate of the resonance frequency f u p d a t e d , as well as an estimate of the damping constant α , is then given by
f u p d a t e d = f o l d + R h N T
α = 2 π N T I h ,
with R h and I h being the real and imaginary part of h.
Based on this improved estimate for the resonance frequency, we can now use the discrete Fourier transformation (DTF) in Equation (48) to calculate the two Fourier coefficients half a step size from the improved estimate to the left and right
S m + R h ± 1 2 = n = 0 N 1 s n e j 2 π n m + R h 1 2 N
and thus run the optimization again.
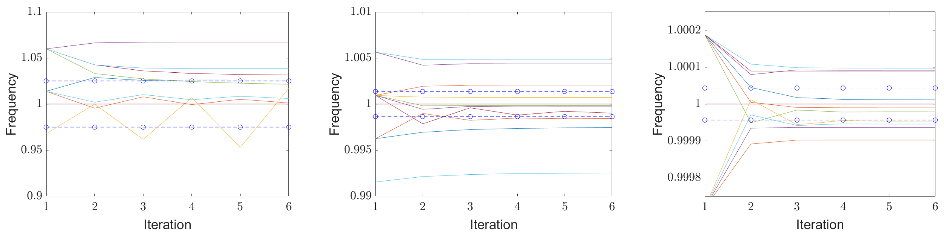
Figure 12 shows three examples of the convergence of Aboutanio’s algorithm (Equations (50) and (51)) for three different signal-to-noise ratios. For the simulation, we calculated the complex values in Matlab [43] for a phasor with a center frequency of 1, a quality factor of 100.23 to avoid a period in the sampled signal, and a given starting phase. The sampling times were chosen to t i = i · 0.35 , i = 1   N until t = 1.0633 · Q / f 0 is reached, which defines N. We then added complex noise according to the signal-to-noise level under study. A new noise signal was generated with each run. The following fast Fourier transform was performed with a zero padding of N points. The frequency of the maximum of the amplitude was taken as the first estimate of the natural frequency, and the values to the left and right of it were used for the improvement algorithm in Equations (50) and (51). The resulting improved natural frequency was taken as the new center, and the values of the left and right frequency points half a FFT step size apart were calculated using the DFT in Equation (48). This was repeated five times, and the updated natural frequencies were plotted along with ± 1 σ of the Crámer–Rao lower bound, which is shown in dashed lines. The estimated center frequencies start on the left with the frequency of the sampling point of the maximum of the spectrum calculated with a zero padding of N points and then converge very quickly to the best estimate for that dataset. According to the definition shown in Equation (19), the signal-to-noise ratio is 20 dB for the left graph, 10 dB for the middle one and 0 dB for the right one. Ten examples are shown for each signal-to-noise value. Note the different scaling of the ordinates of the graphs.
Figure 13 shows the histograms for the simulations shown in Figure 12 for 2000 runs each. The signal-to-noise ratios again are 20 dB (left), 10 dB (middle) and 0 dB (right). In addition, the normalized Gaussian of the corresponding Crámer–Rao lower bound is shown. Depicted is an area of ± 6 σ of the Crámer–Rao lower bound, which leads to a different abscissa scaling.
The histograms show a somewhat broader distribution function than the analytical Gaussian distributions; in particular, there are missing entries near the mean value, but there is a clear excess of entries in the outer ranges. This behavior can be seen very clearly in the comparison of the cumulative density functions in Figure 14. The signal-to-noise ratios again are 20 dB (left), 10 dB (middle) and 0 dB (right).

4.3. Weighting for Improving the Signal-to-Noise Ratio

The algorithm works correctly even with low-quality factors, as long as the maximum in the frequency domain is dominated by the signal of the decaying resonator. If noise, interference, and aliasing signals become too strong, a noise peak might overpower the resonant signal and, therefore, lead to incorrect results. One way to maximize the signal to noise energy is to cut off the sampled signal at Q / f d or to stop sampling there.
The amplitude of the spectrum exactly at resonance frequency is (see Equation (A52))
S ( f 0 ) = n = 0 N 1 s n = b ˜ e j φ ˜ 1 e α N T 1 e α T .
The exponential function in the numerator is very small and so is the exponent in the denominator. The amplitude at resonance frequency can therefore be approximated as
| S ( f 0 ) | b ˜ α T = b ˜ Q π f 0 T = b ˜ Q 2 π .
Figure 15 shows the detection probability of the algorithm as a function of the signal-to-noise ratio with 5000 simulations each. A correct detection was assumed if the calculated natural frequency was within an interval of ± 6 σ around the actual natural frequency. The left chart is calculated for a resonator quality factor of 10, the middle for 100 and the right for 1000.
The curves do not scale, as suggested in Equation (55), with Q 2 · η , i.e., the same detection probabilities arise for the same Q 2 · η product but with Q 0.75 · η . This effect is caused by the usage of different sample lengths chosen to Q / f d . Thus, the noise energy scales from one graph to another by a factor of 10. If we take this into account, the curves scale with Q 1.75 · η , which is quite similar to Equation (55).
The curves do not go to zero even at a very low signal-to-noise ratio, especially on the graph with a quality factor of 10, as there remains a finite probability that a maximum noise peak occurs within ± 6 σ around the actual resonance frequency. For Q 0.75 · η 6 , the detection probability reaches 50%, and for Q 0.75 · η 50 , it approaches to 100%.
Figure 16 shows the convergence of 10 runs at signal-to-noise ratios where the detection probabilities are only 80%. In the left diagram, the signal-to-noise ratio is 3.9 dB for signals from resonators with a quality factor of 10, in the middle −4.2 dB for a resonator with a quality factor of 100 and on the right −12.85 dB for a resonator with a quality factor of 1000. Typically, eight trajectories can be seen. In dashed lines, ± 1 σ of the Crámer–Rao lower bound is shown.
The convergence of the algorithm decreases as the length of the sampling length increases above Q / f d . Figure 17 shows on the left the convergence as a function of the sample length for every 5000 runs. The quality factor of the resonator is 100 and the initial signal-to-noise ratio is 0 dB. For this combination, the middle graph in Figure 15 shows a detection probability of 100% for a sampling length of 1 · Q / f d . The sample length here is increased from 1 · Q / f d to 20 · Q / f d , which reduces the probability of success from 100% to 20%.
There are still some hits within 1 σ f d , but only 20%. Figure 17 shows on the right the histogram around the correct natural frequency for 5000 runs with a sample length of 20 · Q / f d . The 1 σ probability distribution of the Crámer–Rao lower bound is also shown.
The impact of noise can be significantly reduced by weighting the signal in the time domain with an exponentially decaying window, which is similar to Equations (31) and (32) [52], see also Appendix D. As a result, the noise terms become correlated but remain mean-free.
For this purpose, in a first step, the noisy natural frequency f d and damping term α are determined from the unweighted time domain signal, and in a second analysis step, the measurement signal z n is weighted with the function e n · γ · α T , resulting in w n . Using this new time domain signal, the natural frequency and damping constant are determined again. Aboutanios gives for the weight factor γ an approximation [52]
w n = z n e n · γ · α T , with γ = 0.02 α N T 2 + 0.02 α N T + 0.39 for 0 < α N T 3 1 1.08 e 0.41 α N T 0.07 e 0.08 α N T for α N T > 3 .
Figure 18 shows γ on the left as a function of α N T . When this weighting function is applied to the signal used in the center plot of Figure 17, i.e., on the decay signal of a resonator with a quality factor of 100 and an initial signal-to-noise ratio of 0 dB, the detection probability remains constant at 100% for all sample lengths from 1 · Q / f d to 50 · Q / f d .
Even for the sample length of 1 · Q / f d , the weighting improves the detection probability at low signal-to-noise ratios, as can be seen in the right diagram of Figure 18. The red line is identical to the middle curve in Figure 15 and shows the detection probability of the algorithm for an unweighted signal as a function of the signal-to-noise ratio for a resonator signal with a quality factor of 100. The blue line uses the same signals but applies the weighting function of Equation (56). This shifts the detection probability by approximately 3 dB to lower signal-to-noise ratios.
If the measurement data are weighted according to the weight function in Equation (56), the resulting distribution of the simulation results corresponds to the Gaussian functions of the Crámer–Rao lower bound. Figure 19 shows the cumulative distribution functions along with the corresponding Gaussian functions for 5000 simulations of a resonator signal with a quality of 100 and signal-to-noise ratios of 20 dB (left), 10 dB (middle), and 0 dB (right). The curves are so close together that they can hardly be distinguished.

4.4. Detection of the Ambient Echoes of the Transmission Channel

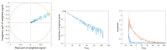
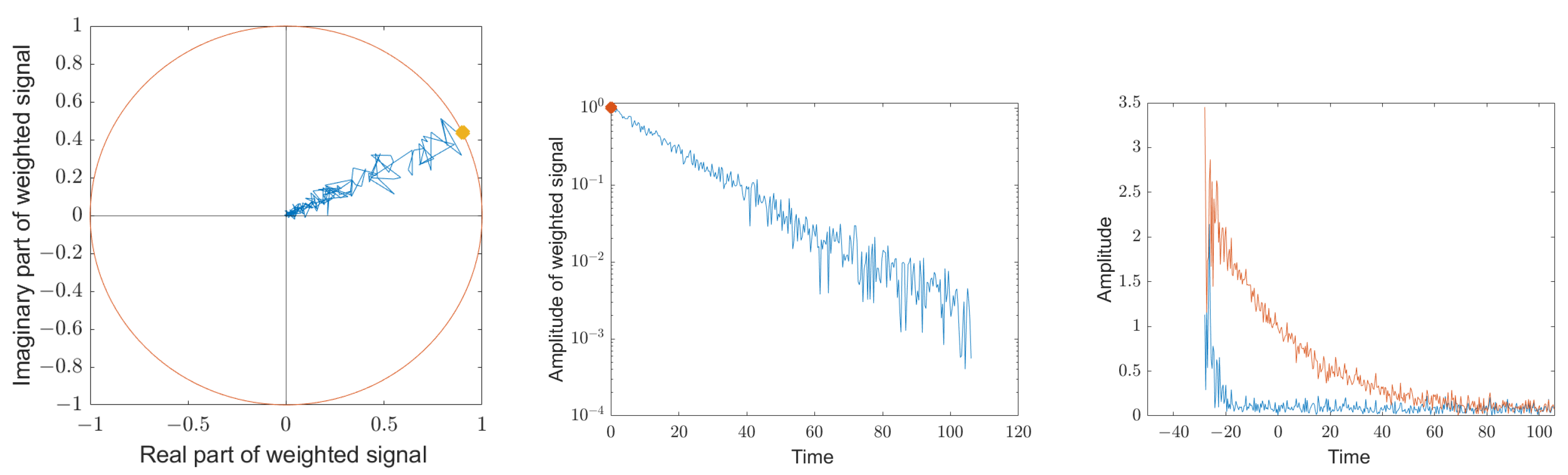
After the natural angular frequency ω ˜ and the decay constant α are determined using Equations (51) and (52), the phase angle φ ˜ and the amplitude b ˜ at t = 0 can be calculated by Equations (31) and (32). For this purpose, the natural frequency in the individual sampling points z n is eliminated by multiplying with e j ω ˜ n T , and the influence of noise is reduced by weighting with e α n T . All data are then added up. The phase of this sum gives the phase angle φ ˜ at t = 0 . The amplitude b ˜ at t = 0 is obtained by normalizing the amplitude of this sum with the amplitude of a corresponding geometric series with a starting amplitude of 1. Figure 20 shows on the left the phase angles of the individual sampling points z n with the natural frequency eliminated and weighted with e α n T . In addition, the phase angle φ ˜ is displayed. The middle graph shows the associated amplitudes of the individual sample points z n on a logarithmic scale along with b ˜ .
After all four variables of the state vector χ have been determined, and the resulting estimates μ n for the sampled signals z n at times n · T can be calculated according to Equation (27) and with these, using Equation (33), the noise components together with the echoes in the transmission channel. Figure 20 shows on the right in red the noisy signal of the decaying resonator with a signal-to-noise ratio of 20 dB together with the echoes in the transmission channel. In order to eliminate these echoes, the signal was only evaluated from t = 0 . For the curve shown in blue, the estimated values μ n were subtracted from the measurement values z n . The ambient echoes and noises remain.
Since the echoes in the transmission channel are systematic and do not change between individual readings, they add up coherently. If several measurement signals are summed up, in which the estimated values of the decaying resonator have been subtracted, the echoes of the transmission channel stand out clearly from the noise. Figure 21 shows the coherent sum of 50 signals with subtracted estimated values, on the left in linear scale and on the right in logarithmic scale. The systematic interference signals disappear into the noise at t = 15 , and the signal evaluation could be started earlier by this interval, resulting in a higher resolution.

5. Summary and Outlook

The accuracy of a remote readout of a passive resonator depends sensitively on the initial signal-to-noise and interference ratios as well as the decay constant of the signal. This manuscript is limited to linear, time-invariant transmission channels without interference from other transmitters, linear, time-invariant transponders with constant resonance frequency, and Gaussian distributed, bias-free measurement uncertainties. For such a system, we showed the dependence of the initial signal-to-noise and interference ratio on the radar parameters’ transmission power, gain of the transducer to the transmission medium, reading distance and stimulation duration as well as on the passive transponder parameters’ resonance frequency, quality factor and impedance matching of the resonator to the transducer. The equations for the maximum likelihood estimation of the parameters of the exponentially decaying discrete-time signal and their Crámer–Rao lower bounds were presented. A stimulation and sampling time of approximately Q / f d for a single remote reading of the passive resonator promises the highest measurement resolution when subsequently averaged over multiple measurements. An iterative numerical algorithm enables an accuracy in determining the resonator parameters’ natural frequency and decay constant down to the Crámer–Rao limit. With these parameters, the systematic interference caused by echoes in the transmission medium could be determined.
The algorithm described in this manuscript allows to minimize the statistical errors in a wireless reading of a passive resonant transponder. Systematic errors, such as a pull in the resonance frequency due to external capacitive or inductive loads on the transducer, interference caused by stochastic jamming, shadowing or crosstalk in the reader, and time-varying transmission channels due to movements or rotations must be evaluated using more advanced algorithms [27,29,30].
The presented analysis allows a comparison between the theoretically possible measurement accuracy and an actual one of any experimental or commercial system based solely on the physical and electrical parameters of the measurement system. This comparison allows the qualitative and quantitative assessment of the performance of the system and shows any potential for optimization. It also allows the prediction of the measurement accuracy which can be expected at a given distance or what minimum resonator quality is required for a given measurement distance and a given measurement accuracy.

Author Contributions

Conceptualization, L.M.R., T.A., T.S., T.O., W.L. and S.J.R.; Methodology, L.M.R., T.A., T.O. and S.J.R.; Software, L.M.R.; Validation, L.M.R.; Formal analysis, L.M.R. and T.A.; Investigation, L.M.R., T.A. and T.O.; Resources, L.M.R., W.L. and S.J.R.; Data curation, L.M.R.; Writing—original draft, L.M.R.; Writing—review & editing, L.M.R., T.S., T.O. and W.L.; Visualization, L.M.R., T.A. and T.S.; Supervision, L.M.R.; Project administration, L.M.R.; Funding acquisition, L.M.R. and S.J.R. All authors have read and agreed to the published version of the manuscript.

Funding

This research received no external funding.

Institutional Review Board Statement

Not applicable.

Informed Consent Statement

Not applicable.

Data Availability Statement

The data presented in this study and the corresponding MATLAB codes are available on request from the corresponding author.

Acknowledgments

The authors thank the re-viewers and staff of MDPI for their valuable advice on improving the manuscript.

Conflicts of Interest

Author Thomas Ostertag is employed by the RSSI GmbH and offers various commercial products for wireless interrogation of SAW sensors. The remaining authors declare that the research was conducted in the absence of any commercial or financial relationships. That could be construed as a potential conflict of interest.

Appendix A. Calculation of the Fischer Information Matrix and Its Inverse

The lower Crámer–Rao bounds are calculated using the Fisher information matrix J. In the case where we have additive white Gaussian noise, unbiased complex data and unknown real parameters in χ , the Fisher information matrix can be calculated using [50] (p. 49).
J i j χ = 2 N p R n = 0 N 1 μ n * χ i μ n χ j
with
μ n = b ˜ e n · α + j ω ˜ T + j φ ˜ , χ = ω ˜ φ ˜ α b ˜ ,
and R x being the real part of x. The partial derivatives with respect to the variables in χ are
μ n ω ˜ = j n T b ˜ e α + j ω ˜ n T + j φ ˜ μ n φ ˜ = j b ˜ e α + j ω ˜ n T + j φ ˜ μ n α = n T b ˜ e α + j ω ˜ n T + j φ ˜ μ n b ˜ = e α + j ω ˜ n T + j φ ˜
Using these partial derivatives, we obtain for the Fisher information matrix
J 11 = 2 N p R n = 0 N 1 μ n * ω ˜ μ n ω ˜ = 2 N p R n = 0 N 1 j n T b ˜ e α j ω ˜ n T j φ ˜ j n T b ˜ e α + j ω ˜ n T + j φ ˜ = 2 N p R n = 0 N 1 n 2 T 2 b ˜ 2 e 2 α n T = 2 T 2 b ˜ 2 N p n = 0 N 1 n 2 e 2 α n T = 2 T 2 b ˜ 2 N p R
J 12 = J 21 = 2 N p R n = 0 N 1 μ n * ω ˜ μ n φ ˜ = 2 N p R n = 0 N 1 j n T b ˜ e α j ω ˜ n T j φ ˜ j b ˜ e α + j ω ˜ n T + j φ ˜ = 2 N p R n = 0 N 1 n T b ˜ 2 e 2 α n T = 2 T b ˜ 2 N p n = 0 N 1 n e 2 α n T = 2 T b ˜ 2 N p Q
J 13 = J 31 = 2 N p R n = 0 N 1 μ n * ω ˜ μ n α = 2 N p R n = 0 N 1 j n T b ˜ e α j ω n T j φ ˜ n T b ˜ e α + j ω ˜ n T + j φ ˜ = 2 N p R n = 0 N 1 j n 2 T 2 b ˜ 2 e 2 α n T = 2 T 2 b ˜ 2 N p R j R = 0
J 14 = J 41 = 2 N p R n = 0 N 1 μ n * ω ˜ μ n b ˜ = 2 N p R n = 0 N 1 j n T b ˜ e α j ω ˜ n T j φ ˜ e α + j ω ˜ n T + j φ ˜ = 2 N p R n = 0 N 1 j n T b ˜ e 2 α n T = 2 T b ˜ N p R j Q = 0
J 22 = 2 N p R n = 0 N 1 μ n * φ ˜ μ n φ ˜ = 2 N p R n = 0 N 1 j b ˜ e α j ω ˜ n T j φ ˜ j b ˜ e α + j ω ˜ n T + j φ ˜ = 2 b ˜ 2 N p n = 0 N 1 e 2 α n T = 2 b ˜ 2 N p P
J 23 = J 32 = 2 N p R n = 0 N 1 μ n * φ ˜ μ n α = 2 N p R n = 0 N 1 j b ˜ e α j ω ˜ n T j φ ˜ n T b ˜ e α + j ω ˜ n T + j φ ˜ = 2 N p R n = 0 N 1 j n T b ˜ 2 e 2 α n T = 2 T b ˜ 2 N p R j Q = 0
J 24 = J 42 = 2 N p R n = 0 N 1 μ n * φ ˜ μ n b ˜ = 2 N p R n = 0 N 1 j b ˜ e α j ω ˜ n T j φ ˜ e α + j ω ˜ n T + j φ ˜ = 2 N p R n = 0 N 1 j b ˜ e 2 α n T = 2 b ˜ N p R j P = 0
J 33 = 2 N p R n = 0 N 1 μ n * α μ n α = 2 N p R n = 0 N 1 n T b ˜ e α j ω ˜ n T j φ ˜ n T b ˜ e α + j ω ˜ n T + j φ ˜ = 2 N p R n = 0 N 1 n 2 T 2 b ˜ 2 e 2 α n T = 2 T 2 b ˜ 2 N p n = 0 N 1 n 2 e 2 α n T = 2 T 2 b ˜ 2 N p R
J 34 = J 43 = 2 N p R n = 0 N 1 μ n * α μ n b ˜ = 2 N p R n = 0 N 1 n T b ˜ e α j ω ˜ n T j φ ˜ e α + j ω ˜ n T + j φ ˜ = 2 N p R n = 0 N 1 n T b ˜ e 2 α n T = 2 T b ˜ N p n = 0 N 1 n e 2 α n T = 2 T b ˜ N p Q
J 44 = 2 N p R n = 0 N 1 μ n * b ˜ μ n b ˜ = 2 N p R n = 0 N 1 e α j ω ˜ n T j φ ˜ e α + j ω ˜ n T + j φ ˜ = 2 N p R n = 0 N 1 e 2 α n T = 2 N p P
J χ = 2 N p T 2 b ˜ 2 R T b ˜ 2 Q 0 0 T b ˜ 2 Q b ˜ 2 P 0 0 0 0 T 2 b ˜ 2 R T b ˜ Q 0 0 T b ˜ Q P
The matrix J consists of two 2 × 2 submatrices, A 1 and A 2 , each of which can be inverted on its own:
A = A 1 0 0 A 2 A 1 = A 1 1 0 0 A 2 1
The inverse of a 2 × 2 matrix A is given by
A = a 11 a 12 a 21 a 22 A 1 = 1 a 11 a 22 a 21 a 12 a 22 a 12 a 21 a 11
We obtain for A 1
A 1 1 = 1 T 2 b ˜ 4 P R T 2 b ˜ 4 Q 2 b ˜ 2 P T b ˜ 2 Q T b ˜ 2 Q T 2 b ˜ 2 R = 1 T 2 b ˜ 2 P R Q 2 P T Q T Q T 2 R
And for A 2
A 2 1 = 1 T 2 b ˜ 2 P R T 2 b ˜ 2 Q 2 P T b ˜ Q T b ˜ Q T 2 b ˜ 2 R = 1 T 2 b ˜ 2 P R Q 2 P T b ˜ Q T b ˜ Q T 2 b ˜ 2 R
This results for the inverse Fisher information matrix in
J 1 χ = N p 2 T 2 b ˜ 2 P R Q 2 P T Q 0 0 T Q T 2 R 0 0 0 0 P T b ˜ Q 0 0 T b ˜ Q T 2 b ˜ 2 R
The asymptotic Crámer–Rao lower bounds for the unknown parameters in χ can be obtained from the main diagonal of J 1 χ
σ ω ˜ 2 P N p 2 T 2 b ˜ 2 P R Q 2
σ φ ˜ 2 T 2 R N p 2 T 2 b ˜ 2 P R Q 2
σ α 2 P N p 2 T 2 b ˜ 2 P R Q 2
σ b ˜ 2 T 2 b ˜ 2 R N p 2 T 2 b ˜ 2 P R Q 2
Using the definition of the initial signal-to-noise ratio η from Equation (19), we obtain
σ ω ˜ 2 P 2 T 2 η P R Q 2
σ φ ˜ 2 R 2 η P R Q 2
σ α 2 P 2 T 2 η P R Q 2
σ b ˜ 2 N p R 2 P R Q 2
Now, the intermediate variables P, Q and R have to be calculated. The following formulas (for q 1 ) are used for this purpose
k = 0 n q k = 1 q n + 1 1 q
k = 0 n k q k = k = 0 n q d d q q k = q d d q k = 0 n q k = q d d q 1 q n + 1 1 q = q 1 q n + 1 q n 1 q n + 1 1 1 q 2 = q n + 1 q n + n + 1 q n + 1 q n + 1 + 1 1 q 2 = n q n + 2 n + 1 q n + 1 + q 1 q 2
k = 0 n k 2 q k = k = 0 n q d d q q d d q q k = q d d q q d d q k = 0 n q k = q d d q n q n + 2 n + 1 q n + 1 + q 1 q 2 = q 1 q 2 n n + 2 q n + 1 n + 1 2 q n + 1 + 2 n q n + 2 n + 1 q n + 1 + q 1 q 1 q 4 = q 1 q n n + 2 q n + 1 n + 1 2 q n + 1 + 2 n q n + 2 n + 1 q n + 1 + q 1 q 3 = q 1 q 3 n n + 2 q n + 1 n + 1 2 q n + 1 n n + 2 q n + 2 + n + 1 2 q n + 1 q + 2 n q n + 2 2 n + 1 q n + 1 + 2 q = q n 2 q n + 2 + 2 n 2 + 2 n 1 q n + 1 n + 1 2 q n + q + 1 1 q 3 = n 2 q n + 3 2 n 2 + 2 n 1 q n + 2 + n + 1 2 q n + 1 q 2 q q 1 3
This results for P , Q , and R in
P = n = 0 N 1 e 2 α n T = 1 e 2 α N T 1 e 2 α T
Q = n = 0 N 1 n e 2 α n T = N 1 e 2 α N + 1 T N e 2 α N T + e 2 α T 1 e 2 α T 2
R = n = 0 N 1 n 2 e 2 α n T = 1 e 2 α T 1 3 N 1 2 e 2 α N + 2 T 2 N 1 2 + 2 N 1 1 e 2 α N + 1 T + N 2 e 2 α N T e 4 α T e 2 α T = N 1 2 e 2 α N + 2 T 2 N 2 2 N 1 e 2 α N + 1 T + N 2 e 2 α N T e 4 α T e 2 α T e 2 α T 1 3
P R = e 2 α N T 1 e 2 α T 1 e 2 α T 1 3 N 1 2 e 2 α N + 2 T 2 N 2 2 N 1 e 2 α N + 1 T + N 2 e 2 α N T e 4 α T e 2 α T = e 2 α N T 1 e 2 α T 1 4 N 1 2 e 2 α N + 2 T 2 N 2 2 N 1 e 2 α N + 1 T + N 2 e 2 α N T e 4 α T e 2 α T = 1 1 e 2 α T 4 N 1 2 e α 4 N + 4 T 2 N 2 2 N 1 e α 4 N + 2 T + N 2 e 4 α N T e α 2 N + 4 T e α 2 N + 2 T N 2 2 N + 1 e α 2 N + 4 T + 2 N 2 2 N 1 e α 2 N + 2 T N 2 e 2 α N T + e 4 α T + e 2 α T = 1 1 e 2 α T 4 N 1 2 e α 4 N + 4 T 2 N 2 2 N 1 e α 4 N + 2 T + N 2 e 4 α N T N 2 2 N + 2 e α 2 N + 4 T + 2 N 2 2 N 2 e α 2 N + 2 T N 2 e 2 α N T + e 4 α T + e 2 α T
Q 2 = N 1 e 2 α N + 1 T N e 2 α N T + e 2 α T 1 e 2 α T 2 N 1 e 2 α N + 1 T N e 2 α N T + e 2 α T 1 e 2 α T 2 = 1 1 e 2 α T 4 N 1 2 e α 4 N + 4 T N N 1 e α 4 N + 2 T + N 1 e α 2 N + 4 T N N 1 e α 4 N + 2 T + N 2 e 4 α N T N e α 2 N + 2 T + N 1 e α 2 N + 4 T N e α 2 N + 2 T + e 4 α T = 1 1 e 2 α T 4 N 1 2 e α 4 N + 4 T 2 N N 1 e α 4 N + 2 T + 2 N 1 e α 2 N + 4 T + N 2 e 4 α N T 2 N e α 2 N + 2 T + e 4 α T
P R Q 2 = 1 1 e 2 α T 4 N 1 2 e α 4 N + 4 T 2 N 2 2 N 1 e α 4 N + 2 T + N 2 e 4 α N T N 2 2 N + 2 e α 2 N + 4 T + 2 N 2 2 N 2 e α 2 N + 2 T N 2 e 2 α N T + e 4 α T + e 2 α T 1 1 e 2 α T 4 N 1 2 e α 4 N + 4 T 2 N N 1 e α 4 N + 2 T + 2 N 1 e α 2 N + 4 T + N 2 e 4 α N T 2 N e α 2 N + 2 T + e 4 α T = 1 1 e 2 α T 4 e α 4 N + 2 T N 2 e α 2 N + 4 T + 2 N 2 2 e α 2 N + 2 T N 2 e 2 α N T + e 2 α T = N 2 e 2 α N T e 4 α T 2 e 2 α T + 1 + e 2 α T 1 2 e 2 α N T + e 4 α N T 1 e 2 α T 4 = N 2 e 2 α N T 1 e 2 α T 2 + e 2 α T 1 e 2 α N T 2 1 e 2 α T 4
If we insert this result into the formulas for the Crámer–Rao bounds, we obtain
σ ω ˜ 2 = σ α 2 P 2 T 2 η P R Q 2 = 1 2 T 2 η 1 e 2 α N T 1 e 2 α T 1 e 2 α T 4 N 2 e 2 α N T 1 e 2 α T 2 + e 2 α T 1 e 2 α N T 2 = 1 e 2 α N T 1 e 2 α T 3 2 T 2 η N 2 e 2 α N T 1 e 2 α T 2 + e 2 α T 1 e 2 α N T 2
σ b ˜ 2 b ˜ 2 = σ φ ˜ 2 R 2 η P R Q 2 = e 2 α T 1 4 2 η N 2 e 2 α N T 1 e 2 α T 2 + e 2 α T 1 e 2 α N T 2 e 2 α T 1 3 · N 1 2 e 2 α N + 2 T 2 N 2 2 N 1 e 2 α N + 1 T + N 2 e 2 α N T e 4 α T e 2 α T = 1 e 2 α T 2 η N 2 e 2 α N T 1 e 2 α T 2 + e 2 α T 1 e 2 α N T 2 · N 2 e α 2 N + 4 T + 2 N e α 2 N + 4 T e α 2 N + 4 T + 2 N 2 e α 2 N + 2 T 2 N e α 2 N + 2 T e α 2 N + 2 T N 2 e 2 α N T + e 4 α T + e 2 α T = 1 e 2 α T 2 η N 2 e 2 α N T 1 e 2 α T 2 + e 2 α T 1 e 2 α N T 2 · N 2 e 2 α N T e 4 α T 2 e 2 α T + 1 + e 2 α T 1 2 e 2 α N T + e 4 α N T + 2 e α 2 N + 2 T e α 4 N + 2 T + 2 N e α 2 N + 4 T e α 2 N + 4 T e α 2 N + 2 T + e 4 α T = 1 e 2 α T 2 η N 2 e 2 α N T 1 e 2 α T 2 + e 2 α T 1 e 2 α N T 2 · N 2 e 2 α N T 1 e 2 α T 2 + e 2 α T 1 e 2 α N T 2 + 2 e α 2 N + 2 T e α 4 N + 2 T + 2 N e α 2 N + 4 T e α 2 N + 4 T e α 2 N + 2 T + e 4 α T = 1 e 2 α T 2 η 1 + e α 4 N + 2 T + 2 N 1 e α 2 N + 4 T + e α 2 N + 2 T + e 4 α T N 2 e 2 α N T 1 e 2 α T 2 + e 2 α T 1 e 2 α N T 2

Appendix B. Maximum Likelihood Estimations of the Signal Parameters and Noise

To calculate the best estimates for the signal parameter and noise, we maximize the log-likelihood equation. Equation
log ( f ( z ; χ ) ) = N log σ n 2 2 π 1 2 σ n 2 n = 0 N 1 z n μ n * z n μ n
can be maximized with regard to χ
0 = χ N log ( σ n 2 2 π ) 1 2 σ n 2 n = 0 N 1 z n μ n * z n μ n = χ n = 0 N 1 z n μ n * z n μ n
In the last step, we truncated all parameters that do not depend on χ . The likelihood equation is maximized by minimizing the distance of μ from the measurements. Equation (27) can now be inserted into Equation (A40).
0 = χ n = 0 N 1 z n * z n z n * μ n z n μ n * + μ n * μ n = χ n = 0 N 1 2 · R z n μ n * + μ n * μ n = χ n = 0 N 1 2 · R z n b ˜ e n · α j ω ˜ T j φ ˜ + b ˜ e n · α j ω ˜ T j φ ˜ b ˜ e n · α + j ω ˜ T + j φ ˜ = χ R 2 b ˜ e j φ ˜ n = 0 N 1 z n e n · α j ω ˜ T + b ˜ 2 n = 0 N 1 e 2 n α T = χ 2 b ˜ · R e j φ ˜ n = 0 N 1 z n e α n T e j ω ˜ n T + b ˜ 2 1 e 2 N α T 1 e 2 α T
In the first sum of Equation (A41), analogous to a matched filter, we weight each measuring point with the amplitude of the decaying resonator and turn out the carrier frequency. Then, we rotate out the initial phase. If the parameters in χ are optimally chosen, the measuring points are then Gaussian distributed along the real axis.

Appendix B.1. Maximum Likelihood Estimation for φ ˜

From Equation (A41), we obtain for φ ˜
φ ˜ 2 b ˜ · R e j φ ˜ n = 0 N 1 z n e α n T e j ω ˜ n T + b ˜ 2 1 e 2 N α T 1 e 2 α T = 0 φ ˜ R e j φ ˜ n = 0 N 1 z n e α n T e j ω ˜ n T = 0
To solve this, we separate the sum into magnitude and phase λ
n = 0 N 1 z n e α n T e j ω ˜ n T = n = 0 N 1 z n e α n T e j ω ˜ n T e j λ φ ˜ R e j φ ˜ n = 0 N 1 z n e α n T e j ω ˜ n T e j λ = 0 φ ˜ cos λ φ ˜ = 0 arg n = 0 N 1 z n e α n T e j ω ˜ n T = φ ˜
If ω and α are known, the best estimate for the initial phase φ ˜ is the phase angle of the weighted sum of the measurement points multiplied by the associated amplitude of the decaying resonator e a l p h a n T and multiplied by the phase factor e j ω ˜ n T , which rotates out the carrier frequency.

Appendix B.2. Maximum Likelihood Estimation for b ˜

If the initial phase φ ˜ was determined according to Equation (A43), it can be used in Equation (A41). Since φ ˜ compensates for the argument of the weighted sum of the measured values, the real part can be replaced by the amplitude of the sum:
b ˜ 2 b ˜ · n = 0 N 1 z n e α n T e j ω ˜ n T + b ˜ 2 1 e 2 N α T 1 e 2 α T = 0 2 n = 0 N 1 z n e α n T e j ω ˜ n T + 2 b ˜ 1 e 2 N α T 1 e 2 α T = 0
b ˜ 1 e 2 N α T 1 e 2 α T = n = 0 N 1 z n e α n T e j ω ˜ n T b ˜ = 1 e 2 α T 1 e 2 N α T · n = 0 N 1 z n e α n T e j ω ˜ n T
b ˜ can also be calculated according to the maximum likelihood algorithm once α and ω ˜ are known.
The results for φ ˜ and b ˜ can now be plugged into Equation (A41), and we obtain two remaining maximizations with respect to ω ˜ and α
ω ˜ , α 2 · n = 0 N 1 z n e α n T e j ω ˜ n T + b ˜ 1 e 2 N α T 1 e 2 α T = 0 ω ˜ , α n = 0 N 1 z n e α n T e j ω ˜ n T = 0

Appendix B.3. Maximum Likelihood Estimation for σn

If all parameters in χ are determined, σ n can also be calculated. Equation (A39) can be maximized with regard to σ n
σ n log ( f ( z ; χ ) ) = 0
by
0 = σ n N log ( σ n 2 2 π ) 1 2 σ n 2 n = 0 N 1 z n μ n * z n μ n = 2 N σ n + 1 σ n 3 n = 0 N 1 z n μ n * z n μ n = 2 N + 1 σ n 2 n = 0 N 1 z n μ n * z n μ n 2 N = 1 σ n 2 n = 0 N 1 z n μ n * z n μ n σ n 2 = 1 2 N n = 0 N 1 z n μ n * z n μ n

Appendix C. Optimum Timing Between Sampling and Averaging

Equation (43) gives the lower bound of the variance of the natural frequency of a wireless read resonator
σ ω d 2 = σ α 2 1 e 2 α T 3 2 T 2 e 2 α T · 1 η · r α N T , with 1 η = F L N A k B ϑ f s P t · g t 2 · g r 2 · e 2 α t g a t e · e 2 α m R H R 2 ω · 1 e j ω d j ω α t l o a d 2 · 4 π R λ 4
The measurement time for one single measurement cycle t c y c l consists of the stimulation time t l o a d , the waiting time until the ambient echoes have faded away t g a t e and the time for data acquisition t d a q = N · T :
t c y c l = t l o a d + t g a t e + t d a q
The number of averaging N A that can be performed in the total time available for the measurement t t o t a l is
N A = t t o t a l t c y c l .
With the help of these variables and ω ω d , we obtain the variance of the N A times averaged natural frequency σ ω d , N A 2 to
σ ω d , N A 2 = σ ω d 2 N A > t l o a d + t g a t e + t d a q · 1 e 2 α T 3 · r α N T 2 T 3 · e 2 α T · 1 e α t l o a d 2 · · F L N A k B ϑ t t o t a l · P t · g t 2 · g r 2 · e 2 α t g a t e · e 2 α m R H R 2 ω · 4 π R λ 4
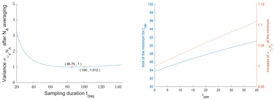
The second part of the above equation only scales the result and can be summarized into a constant. Figure A1 visualizes Equation (A50) for a resonator with a quality factor of 100 and a resonance frequency of 1 Hz. In the left graph, the quality factor of the communication channel was set to 10, i.e., t g a t e = 10 , and t l o a d = t d a q . We see a minimum in s i g m a ω d , N A after 85.75 oscillations, i.e., the oscillator was not fully charged, and sampling is stopped before the resonator has completely settled. The gain from starting a new measurement and then averaging the data results in slightly higher accuracy than fully exciting the oscillator and sampling the entire decay. However, the graph is very flat between 0.85 and 1.0 Q / f d and σ ω d , N A only differs by 1%. Fully loading and sampling the oscillation might lower Fresnel ripples in the spectrum.
In the right diagram of Figure A1, t g a t e was varied between 1 s and 40 s, i.e., the quality factor of the mobile channel was set between 1% and 40% of the quality factor of the resonator, and t l o a d = t d a q was left. The optimal time for t d a q slowly increases from 0.85 to 0.90 Q / f d as the length of t g a t e increases in order to increase the proportion of sampling in the total available time. As more time is lost due the gate, the averaged half width decreases.
Figure A1. Left chart: Normalized σ ω d , N A as a function of the sampling duration t d a q according to Equation (A50). The value of C / t t o t a l was set to 1, the natural frequency of the resonator is 1 Hz and its quality factor is 100. The quality factor of the communication channel was set to 10, i.e., t g a t e = 10 and t l o a d = t d a q . The right graph shows the shift in the optimal timing for the sampling period and the increase in the corresponding σ ω d , N A as a function of the length of the gate t g a t e .
Figure A1. Left chart: Normalized σ ω d , N A as a function of the sampling duration t d a q according to Equation (A50). The value of C / t t o t a l was set to 1, the natural frequency of the resonator is 1 Hz and its quality factor is 100. The quality factor of the communication channel was set to 10, i.e., t g a t e = 10 and t l o a d = t d a q . The right graph shows the shift in the optimal timing for the sampling period and the increase in the corresponding σ ω d , N A as a function of the length of the gate t g a t e .
Sensors 25 00747 g0a1

Appendix D. Weighting the Sampled Data to Reduce Noise

Equation (43) gives the lower bound of the variance of the natural frequency of a wireless read resonator
σ ω d 2 = σ α 2 1 e 2 α T 3 2 T 2 e 2 α T · 1 η · r α N T , with 1 η = F L N A k B ϑ f s P t · g t 2 · g r 2 · e 2 α t g a t e · e 2 α m R H R 2 ω · 1 e j ω d j ω α t l o a d 2 · 4 π R λ 4 r α N T = e 2 α T · 1 e 2 α N T N 2 e 2 α N T 1 e 2 α T 2 + e 2 α T 1 e 2 α N T 2
If more than Q / f d data are sampled, the signal energy only increases very little, while the noise energy continues to increase. To limit this increase, the time domain data can be weighted with an exponential function which can be given as a fraction w of α . This changes the lower bound to
σ ω d 2 = σ α 2 1 e 2 α · 1 + w T 3 2 T 2 e 2 α · 1 + w T · 1 η · r α · 1 + w N T , with 1 η = F L N A k B ϑ f s P t · g t 2 · g r 2 · e 2 α t g a t e · e 2 α m R H R 2 ω · 1 e j ω d j ω α t l o a d 2 · 4 π R λ 4 r α · 1 + w N T = e 2 α · 1 + w T · 1 e 2 α · 1 + w N T N 2 e 2 α · 1 + w N T 1 e 2 α · 1 + w T 2 + e 2 α · 1 + w T 1 e 2 α · 1 + w N T 2
The signal amplitude at the beginning of the sample remains the same, but the noise energy decreases to
n = 0 N 1 | n n | 2 = F L N A k B ϑ f s N 2 n = 0 N 1 e 2 w α n T = F L N A k B ϑ f s N 2 1 e 2 w α N T 1 e 2 w α T

Appendix E. Algorithm to Fit the Frequency Samples Around the Maximum with a Lorentz Curve

In order to achieve a resolution close to the Crámer–Rao lower bound, we have to fit the sample values in the frequency domain around the maximum with a Lorentz curve and then calculate the maximum from this analytically. Elias Aboutanios presents in [39] and [40], based on preliminary work by Bertocco and Quinn, which is an extremely efficient iterative algorithm to calculate the maximum of the approximate Lorentz curve from two DFT values. These values must lie on both sides of the maximum, and their distance must be one step size of the spectrum calculated using an FFT. Below, we will present a brief derivation of Aboutanios’ algorithm.
If we neglect noise, we can calculate analytically the Fourier coefficients S k in the frequency domain from sample values s n , as defined by Equation (25), with
S k = n = 0 N 1 s n e j 2 π n k N = n = 0 N 1 b ˜ e α + j ω ˜ n · T + j φ ˜ e j 2 π n k N = b ˜ e j φ ˜ n = 0 N 1 e α + j 2 π f k N T n T
= b ˜ e j φ ˜ 1 e α + j 2 π f k N T N T 1 e α T + j 2 π f T k N
S k 2 would be maximum if f = k N T . Let m be the index of the maximum of the Fourier coefficients; then, the best estimator of the resonance frequency is given by
f = m + δ N T , with 0.5 δ + 0.5
The maximum of the periodogram is less than half a step size away from m. If we insert this relation in Equation (A53), we obtain
S k = b ˜ e j φ ˜ 1 e α + j 2 π m + δ k N T N T 1 e α T + j 2 π m + δ k N = b ˜ e j φ ˜ 1 e α N T e + j 2 π m + δ k 1 e α T e + j 2 π m + δ k N
For k = m , we obtain
S m = b ˜ e j φ ˜ 1 e α N T e + j 2 π δ 1 e α T e + j 2 π δ N
Half-step sizes in the frequency domain can be achieved either by zero padding N points before a FFT or by evaluating the DFT, as shown in Equation (A52) for k = m ± 1 2 . We obtain for k = m + 1 2 in Equation (A55)
S m + 1 2 = b ˜ e j φ ˜ 1 e α N T e + j 2 π δ 1 2 1 e α T e + j 2 π δ 1 2 N = b ˜ e j φ ˜ 1 + e α N T e + j 2 π δ 1 e α T e + j 2 π δ 1 2 N ,
and for k = m 1 2 in Equation (A55)
S m 1 2 = b ˜ e j φ ˜ 1 e α N T e + j 2 π δ + 1 2 1 e α T e + j 2 π δ + 1 2 N = b ˜ e j φ ˜ 1 + e α N T e + j 2 π δ 1 e α T e + j 2 π δ + 1 2 N .
Using S m + 1 2 and S m 1 2 , we can define
h = 1 2 S m + 1 2 + S m 1 2 S m + 1 2 S m 1 2 = 1 2 1 + e α N T e + j 2 π δ 1 e α T e + j 2 π δ 1 2 N + 1 + e α N T e + j 2 π δ 1 e α T e + j 2 π δ + 1 2 N 1 + e α N T e + j 2 π δ 1 e α T e + j 2 π δ 1 2 N 1 + e α N T e + j 2 π δ 1 e α T e + j 2 π δ + 1 2 N = 1 2 1 e α T e + j 2 π δ + 1 2 N + 1 e α T e + j 2 π δ 1 2 N 1 e α T e + j 2 π δ + 1 2 N 1 e α T e + j 2 π δ 1 2 N = 1 2 2 e α T e + j 2 π δ + 1 2 N e α T e + j 2 π δ 1 2 N e α T e + j 2 π δ 1 2 N e α T e + j 2 π δ + 1 2 N = 1 2 2 e + α T e + j 2 π δ + 1 2 N e + j 2 π δ 1 2 N e + j 2 π δ 1 2 N e + j 2 π δ + 1 2 N
Since δ ± 1 2 N and α T 1 (when the quality factor of the resonator is high, i.e., Q 1 ), we expand the exponentials in series expansions, which we truncate after two elements:
h 1 2 2 1 + α T 1 + j 2 π δ + 1 2 N 1 + j 2 π δ 1 2 N 1 + j 2 π δ 1 2 N 1 + j 2 π δ + 1 2 N 1 2 2 α T j 4 π δ N j π N + j π N j π N j π N α T j 2 π δ N j 2 π N = j α T + 2 π δ N 2 π N h δ + j α N T 2 π
We obtain an improved estimate of the resonance frequency f u p d a t e d according to Equation (A54) as well as an estimate of the damping constant α
f u p d a t e d = m + R h N T , or f u p d a t e d = f o l d + R h N T
α = 2 π N T I h ,
with R h and I h x being the real and imaginary part of h.
Based on this improved estimate for the resonance frequency, we can now use the discrete Fourier transformation in Equation (A52) to calculate the two Fourier coefficients half a step size from the improved estimate to the left and right
S m + R h ± 1 2 = n = 0 N 1 s n e j 2 π n m + R h 1 2 N
and thus run the optimization again.

References

  1. Reindl, L.; Scholl, G.; Ostertag, T.; Scherr, H.; Wolff, U.; Schmidt, F. Theory and application of passive saw radio transponders as sensors. IEEE Trans. Ultrason. Ferroelectr. Freq. Control. 1998, 45, 1281–1292. [Google Scholar] [CrossRef] [PubMed]
  2. Kenji, I. Remote Measuring Thermometer. Patent JP000S60 203 828A, 15 October 1985. Available online: https://depatisnet.dpma.de/DepatisNet/depatisnet?action=pdf&docid=JP000S60203828A&xxxfull=1 (accessed on 14 February 2024).
  3. Ostertag, T.; Reindl, L.; Ruile, W.; Scholl, G. Sensor System. Patent EP 677 752, 27 June 2001. Available online: https://depatisnet.dpma.de/DepatisNet/depatisnet?action=pdf&docid=EP000000677752B1&xxxfull=1 (accessed on 14 February 2024).
  4. Schueler, M.; Mandel, C.; Puentes, M.; Jakoby, R. Metamaterial inspired microwave sensors. IEEE Microw. Mag. 2012, 13, 57–68. [Google Scholar] [CrossRef]
  5. Takeshi, O. Non-Contact Temperature//Pressure Detection Method by Ultrasonic Wave. Patent JP000H01 119 729A, 11 May 1989. Available online: https://depatisnet.dpma.de/DepatisNet/depatisnet?action=pdf&docid=JP000H01119729A&xxxfull=1 (accessed on 14 February 2024).
  6. Schaechtle, T.; Aftab, T.; Reindl, L.M.; Rupitsch, S.J. Wireless passive sensor technology through electrically conductive media over an acoustic channel. Sensors 2023, 23, 2043. [Google Scholar] [CrossRef] [PubMed]
  7. Lonsdale, A.; Lonsdale, B. Method and Apparatus for Measuring. Strain. Patent US5 585 571, 17 December 1969. Available online: https://depatisnet.dpma.de/DepatisNet/depatisnet?action=pdf&docid=US000005585571A&xxxfull=1 (accessed on 14 February 2024).
  8. Buff, W.; Klett, S.; Rusko, M.; Ehrenpfordt, J.; Goroli, M. Passive remote sensing for temperature and pressure using saw resonator devices. IEEE Trans. Ultrason. Ferroelectr. Freq. Control. 1998, 45, 1388–1392. [Google Scholar] [CrossRef]
  9. Varshney, P.; Panwar, B.S.; Rathore, P.; Ballandras, S.; François, B.; Martin, G.; Friedt, J.-M.; Rétornaz, T. Theoretical and experimental analysis of high q saw resonator transient response in a wireless sensor interrogation application. In Proceedings of the 2012 IEEE International Frequency Control Symposium Proceedings, Baltimore, MD, USA, 21–24 May 2012; pp. 1–6. [Google Scholar]
  10. Jeltiri, P.; Al-Mahmoud, F.; Boissière, R.; Paulmier, B.; Makdissy, T.; Elmazria, O.; Nicolay, P.; Hage-Ali, S. Wireless strain and temperature monitoring in reinforced concrete using surface acoustic wave sensors. IEEE Sens. Lett. 2023, 7, 2504304. [Google Scholar] [CrossRef]
  11. Cunha, M.P.D. High-temperature harsh-environment saw sensor technology. In Proceedings of the 2023 IEEE International Ultrasonics Symposium (IUS), Montreal, QC, Canada, 3–8 September 2023; pp. 1–10. [Google Scholar]
  12. Thomson, D.J.; Card, D.; Bridges, G.E. Rf cavity passive wireless sensors with time-domain gating-based interrogation for shm of civil structures. IEEE Sens. J. 2009, 9, 1430–1438. [Google Scholar] [CrossRef]
  13. Chuang, J.; Thomson, D.J.; Bridges, G.E. Embeddable wireless strain sensor based on resonant rf cavities. Rev. Sci. Instruments 2005, 76, 094703. [Google Scholar] [CrossRef]
  14. Mackay, R.S.; Jacobson, B. Endoradiosonde. Nature 1957, 179, 1239–1240. [Google Scholar] [CrossRef]
  15. Nopper, R.; Has, R.; Reindl, L. A wireless sensor readout system—Circuit concept, simulation, and accuracy. IEEE Trans. Instrum. Meas. 2011, 60, 2976–2983. [Google Scholar] [CrossRef]
  16. Bhadra, S.; Tan, D.S.Y.; Thomson, D.J.; Freund, M.S.; Bridges, G.E. A wireless passive sensor for temperature compensated remote ph monitoring. IEEE Sens. J. 2013, 13, 2428–2436. [Google Scholar] [CrossRef]
  17. Weng, Y.F.; Cheung, S.W.; Yuk, T.I.; Liu, L. Design of chipless uwb rfid system using a cpw multi-resonator. IEEE Antennas Propag. Mag. 2013, 55, 13–31. [Google Scholar] [CrossRef]
  18. Dominic, D.; Krafft, S.; Safdari, N.; Bhadra, S. Multiresonator-based printable chipless rfid for relative humidity sensing. Proceedings 2017, 1, 367. [Google Scholar] [CrossRef]
  19. Amirkabiri, A.; Idoko, D.; Bridges, G.E.; Kordi, B. Contactless air-filled substrate-integrated waveguide (claf-siw) resonator for wireless passive temperature sensing. IEEE Trans. Microw. Theory Tech. 2022, 70, 3724–3731. [Google Scholar] [CrossRef]
  20. Zou, L.; McLeod, C.; Bahmanyar, M.R. Wireless interrogation of implantable SAW sensors. IEEE Trans. Biomed. Eng. 2019, 67, 1409–1417. [Google Scholar] [CrossRef]
  21. Beckley, J.; Kalinin, V.; Lee, M.; Voliansky, K. Non-contact torque sensors based on saw resonators. In Proceedings of the 2002 IEEE International Frequency Control Symposium and PDA Exhibition (Cat. No.02CH37234), New Orleans, LA, USA, 31 May 2002; pp. 202–213. [Google Scholar]
  22. Merkulov, A.A.; Ignat’ev, N.O.; Shvetsov, A.S.; Zhgoon, S.A.; Lipshits, K.E. Optimization of interrogation signal for saw-resonator-based vibration sensor. In Proceedings of the 2022 4th International Youth Conference on Radio Electronics, Electrical and Power Engineering (REEPE), Moscow, Russia, 17–19 March 2022; pp. 1–6. [Google Scholar]
  23. Bhadra, S.; Thomson, D.J.; Bridges, G.E. A wireless embedded passive sensor for monitoring the corrosion potential of reinforcing steel. Smart Mater. Struct. 2013, 22, 075019. [Google Scholar] [CrossRef]
  24. Raju, R.; Bridges, G.E.; Bhadra, S. Wireless passive sensors for food quality monitoring: Improving the safety of food products. IEEE Antennas Propag. Mag. 2020, 62, 76–89. [Google Scholar] [CrossRef]
  25. Hallil, H.; Dejous, C.; Hage-Ali, S.; Elmazria, O.; Rossignol, J.; Stuerga, D.; Talbi, A.; Mazzamurro, A.; Joubert, P.-Y.; Lefeuvre, E. Passive Resonant Sensors: Trends and Future Prospects. IEEE Sens. J. 2021, 21, 12618–12632. [Google Scholar] [CrossRef]
  26. Huang, Q.-A.; Dong, L.; Wang, L.-F. LC Passive Wireless Sensors Toward a Wireless Sensing Platform: Status, Prospects, and Challenges. IEEE JMEMS 2016, 25, 822–841. [Google Scholar] [CrossRef]
  27. Masud, M.; Vazquez, P.; Rehman, M.R.U.; Elahi, A.; Wijns, W.; Shahzad, A. Measurement Techniques and Challenges of Wireless LC Resonant Sensors: A Review. IEEE Access 2023, 11, 95235–95252. [Google Scholar] [CrossRef]
  28. JCGM GUM-1:2023; BIPM and IEC and IFCC and ILAC and ISO and IUPAC and IUPAP and OIML Guide to the Expression of Uncertainty in Measurement. Joint Committee for Guides in Metrology. Bureau International des Poids et Mesures: Sèvres Cedex, France, 2008. Available online: http://www.bipm.org/utils/common/documents/jcgm/JCGM_100_2008_E.pdf (accessed on 24 November 2024).
  29. Liu, B.; Han, T.; Zhang, C. Error correction method for passive and wireless resonant SAW temperature sensor. IEEE Sens. J. 2015, 15, 3608–3614. [Google Scholar] [CrossRef]
  30. Liu, B.; Tang, P. A context-aware frequency estimation method for wireless passive resonant SAW sensors. Sens. Rev. 2017, 37, 458–467. [Google Scholar] [CrossRef]
  31. Yao, Y.-X.; Pandit, S.M. Crámer-Rao Lower Bounds for a damped sinusoidal process. IEEE Trans. Signal Process. 1995, 43, 878–885. [Google Scholar]
  32. Niedermayer, A.O.; Voglhuber-Brunnmaier, T.; Sell, J.; Jakoby, B. Methods for the robust measurement of the resonant frequency and quality factor of significantly damped resonating devices. Meas. Sci. Technol. 2012, 23, 878–885. [Google Scholar] [CrossRef]
  33. Kumaresan, R.; Tufts, D.W. Estimating the parameters of exponentially damped sinusoids and pole-zero modeling in noise. IEEE Trans. ASSP 1982, 30, 833–840. [Google Scholar] [CrossRef]
  34. Liu, B.; Zhang, C.; Ji, X.; Chen, J.; Han, T. An Improved Performance Frequency Estimation Algorithm for Passive Wireless SAW Resonant Sensors. Sensors 2014, 14, 22261–22273. [Google Scholar] [CrossRef]
  35. Liu, B. Super-resolution measurement method for passive wireless resonant surface acoustic wave sensor. Sens. Rev. 2017, 40, 107–111. [Google Scholar] [CrossRef]
  36. Zielinski, T.P.; Duda, K. Frequency and damping estimation methods—An overview. Metrol. Meas. Syst. 2011, 18, 505–528. [Google Scholar] [CrossRef]
  37. Kalinin, V. Comparison of frequency estimators for interrogation of wireless resonant SAW sensors. In Proceedings of the 2015 Joint Conference of the IEEE International Frequency Control Symposium & the European Frequency and Time Forum, Denver, CO, USA, 12–16 April 2015; pp. 498–503. [Google Scholar]
  38. Liao, J.-R.; Lo, S. Analytical solutions for frequency estimators by interpolation of DFT coefficients. Signal Process. 2014, 100, 93–100. [Google Scholar] [CrossRef]
  39. Aboutanios, E. Estimation of the frequency and decay factor of a decaying exponential in noise. IEEE Trans. Signal Process. 2010, 58, 501–509. [Google Scholar] [CrossRef]
  40. Aboutanios, E. Estimating the parameters of sinusoids and decaying sinusoids in noise. IEEE Instrum Meas Mag. 2011, 14, 8–14. [Google Scholar] [CrossRef]
  41. ITU Radio Regulations 2020, CHAPTER II—Frequencies, ARTICLE 5 Frequency Allocations, Section IV—Table of Frequency Allocations. Available online: https://search.itu.int/history/HistoryDigitalCollectionDocLibrary/1.44.48.en.101.pdf (accessed on 31 December 2024).
  42. Short Range Device Information ERC Recommendation 70-03. Available online: https://efis.cept.org/sitecontent.jsp?sitecontent=srd_regulations (accessed on 31 December 2024).
  43. MathWorks Inc. Matlab Version: 9.13.0 (r2022b); MathWorks: Natick, MA, USA, 2022; Available online: https://www.mathworks.com (accessed on 14 February 2024).
  44. Friis, H.T. A Note on a Simple Transmission Formula. Proc. IRE 1946, 34, 254–256. [Google Scholar] [CrossRef]
  45. Wen, Y.; Li, P.; Yang, J.; Zheng, M. Detecting and Evaluating the Signals of Wirelessly Interrogational Passive SAW Resonator Sensors. IEEE Sens. J. 2004, 4, 828–836. [Google Scholar] [CrossRef]
  46. Krishnamurthy, S.; Bazuin, B.J.; Atashbar, M.Z. Wireless saw sensors reader: Architecture and design. In Proceedings of the 2005 IEEE International Conference on Electro Information Technology, Lincoln, NE, USA, 22–25 May 2005; p. 6. [Google Scholar]
  47. Scheiblhofer, S.; Schuster, S.; Stelzer, A. Modeling and performance analysis of saw reader systems for delay-line sensors. IEEE Trans. Ultrason. Ferroelectr. Freq. Control. 2009, 56, 2292–2303. [Google Scholar] [CrossRef]
  48. Lurz, F.; Ostertag, T.; Scheiner, B.; Weigel, R.; Koelpin, A. Reader architectures for wireless surface acoustic wave sensors. Sensors 2018, 18, 1734. [Google Scholar] [CrossRef] [PubMed]
  49. Reindl, L.M.; Aftab, T.; Gidion, G.; Ostertag, T.; Luo, W.; Rupitsch, S.J. Optimal Excitation and Readout of Resonators Used as Wireless Passive Sensors. Sensors 2024, 24, 1323. [Google Scholar] [CrossRef] [PubMed]
  50. Kay, S.M. Fundamentals of Statistical Signal Processing: Estimation Theory; Prentice Hall: Englewood Cliffs, NJ, USA, 1993. [Google Scholar]
  51. Rife, D.; Boorstyn, R. Single tone parameter estimation from discrete-time observations. IEEE Trans. Inf. Theory 1974, 20, 591–598. [Google Scholar] [CrossRef]
  52. Aboutanios, E.; Ye, S. Efficient iterative estimation of the parameters of a damped complex exponential in noise. IEEE Signal Process. Lett. 2014, 21, 975–979. [Google Scholar]
Figure 1. Schematic of the operation of a transponder system using passive resonant sensors: A reader sends a read signal (blue arrow to the right) to the sensor node over a wireless channel. This signal is received there and then stored in an oscillation in the resonator. When the read signal is switched off, the oscillation resonates with an exponentially decreasing amplitude at a frequency, which is modified by the quantity to be measured. A part of the stored energy is sent back to the reader as a backscatter signal (blue arrow to the left). There, it is received, sampled and evaluated.
Figure 1. Schematic of the operation of a transponder system using passive resonant sensors: A reader sends a read signal (blue arrow to the right) to the sensor node over a wireless channel. This signal is received there and then stored in an oscillation in the resonator. When the read signal is switched off, the oscillation resonates with an exponentially decreasing amplitude at a frequency, which is modified by the quantity to be measured. A part of the stored energy is sent back to the reader as a backscatter signal (blue arrow to the left). There, it is received, sampled and evaluated.
Sensors 25 00747 g001
Figure 2. Schematic representation of the stimulation signal s l o a d ( t ) delivered from the antenna to the resonator and the stored oscillation s d e c a y in the resonator. The amplitude and frequency of the excitation signal were normalized to one, which is the time to t · f 0 . The resonator in this example has a quality factor of 10. Shown is the real part of s l o a d ( t ) and s d e c a y . The stimulation signal stops at t l o a d , and the oscillation decays. Half of the signal from the decaying resonator is applied to the source impedance of the antenna, the other half to the internal resistance of the resonator. The figure is taken from [49].
Figure 2. Schematic representation of the stimulation signal s l o a d ( t ) delivered from the antenna to the resonator and the stored oscillation s d e c a y in the resonator. The amplitude and frequency of the excitation signal were normalized to one, which is the time to t · f 0 . The resonator in this example has a quality factor of 10. Shown is the real part of s l o a d ( t ) and s d e c a y . The stimulation signal stops at t l o a d , and the oscillation decays. Half of the signal from the decaying resonator is applied to the source impedance of the antenna, the other half to the internal resistance of the resonator. The figure is taken from [49].
Sensors 25 00747 g002
Figure 3. Typical reception power P i n in the reader when reading passive resonant transponders. Electromagnetic propagation in free space was assumed ( α m = 0 ). The transmission power P t is 10 mW, the antennas radiate into the half-space ( g t = g r = 2 ) and the stimulation was carried out at resonance frequency ( H R ω = 1 ) over the duration of Q oscillations ( α · t l o a d = π ). The curves are drawn from top to bottom for the frequencies 433 MHz (red line), 868 MHz (green line), 915 MHz (blue line), 2.45 GHz (magenta line) and 5.8 GHz (black line) starting from a distance of 1 λ .
Figure 3. Typical reception power P i n in the reader when reading passive resonant transponders. Electromagnetic propagation in free space was assumed ( α m = 0 ). The transmission power P t is 10 mW, the antennas radiate into the half-space ( g t = g r = 2 ) and the stimulation was carried out at resonance frequency ( H R ω = 1 ) over the duration of Q oscillations ( α · t l o a d = π ). The curves are drawn from top to bottom for the frequencies 433 MHz (red line), 868 MHz (green line), 915 MHz (blue line), 2.45 GHz (magenta line) and 5.8 GHz (black line) starting from a distance of 1 λ .
Sensors 25 00747 g003
Figure 4. Schematic representation of the complex input signals of the reader, real part on the left and real and imaginary parts on the right, both as a function of time. Frequency and time are scaled as in Figure 2. Initially, the ambient echoes are larger than the resonator’s decaying signal, but they have a smaller quality factor and soon disappear. In the next phase, the resonator signals dominate, which later also disappear into the noise. The resonator in this schematic has a quality factor of 10.
Figure 4. Schematic representation of the complex input signals of the reader, real part on the left and real and imaginary parts on the right, both as a function of time. Frequency and time are scaled as in Figure 2. Initially, the ambient echoes are larger than the resonator’s decaying signal, but they have a smaller quality factor and soon disappear. In the next phase, the resonator signals dominate, which later also disappear into the noise. The resonator in this schematic has a quality factor of 10.
Sensors 25 00747 g004
Figure 5. Remaining initial power level P g a t e d in the reader when reading passive resonant transponders with a quality factor of 10, 100 and 1000 after a time gate to eliminate ambient echoes. The quality factor of the transmission channel was set to 15. There are three curves for each of the frequencies 433 MHz (red line), 868 MHz (green line), 915 MHz (blue line), 2.45 GHz (magenta line) and 5.8 GHz (black line) for the resonator quality factors of 1000 (solid line), 100 (dashed line) and 10 (dotted line). All other parameters correspond to those in Figure 3.
Figure 5. Remaining initial power level P g a t e d in the reader when reading passive resonant transponders with a quality factor of 10, 100 and 1000 after a time gate to eliminate ambient echoes. The quality factor of the transmission channel was set to 15. There are three curves for each of the frequencies 433 MHz (red line), 868 MHz (green line), 915 MHz (blue line), 2.45 GHz (magenta line) and 5.8 GHz (black line) for the resonator quality factors of 1000 (solid line), 100 (dashed line) and 10 (dotted line). All other parameters correspond to those in Figure 3.
Sensors 25 00747 g005
Figure 6. Remaining signal-to-noise ratio η in the reader after the time gate at the start of the sampling. The same frequency ranges and resonator qualities were used as in Figure 5. The noise bandwidths in the left graph were selected according to the regulations for the ISM [41] and SRD [42] bands, to 1.75 MHz for the 433 MHz band (red line), 2 MHz for the 868 MHz band (green line), 26 MHz for the 915 MHz band (blue line), 100 MHz for the 2.45 GHz band (magenta line) and 150 MHz for the 5.8 GHz band (black line). The resonator quality factors used were 1000 (solid line), 100 (dashed line) and 10 (dotted line). In the right graph, constant relative bandwidths of 0.5 % of the carrier frequency are assumed. All other parameters correspond to those in Figure 3.
Figure 6. Remaining signal-to-noise ratio η in the reader after the time gate at the start of the sampling. The same frequency ranges and resonator qualities were used as in Figure 5. The noise bandwidths in the left graph were selected according to the regulations for the ISM [41] and SRD [42] bands, to 1.75 MHz for the 433 MHz band (red line), 2 MHz for the 868 MHz band (green line), 26 MHz for the 915 MHz band (blue line), 100 MHz for the 2.45 GHz band (magenta line) and 150 MHz for the 5.8 GHz band (black line). The resonator quality factors used were 1000 (solid line), 100 (dashed line) and 10 (dotted line). In the right graph, constant relative bandwidths of 0.5 % of the carrier frequency are assumed. All other parameters correspond to those in Figure 3.
Sensors 25 00747 g006
Figure 7. Left chart: reduction in the residual r α N T according to Equation (39), right chart: increase in the resulting measurement resolution, both graphs as a function of α N T . A resonator signal with a quality factor of 3 and a sampling of 2 samples per oscillation was used.
Figure 7. Left chart: reduction in the residual r α N T according to Equation (39), right chart: increase in the resulting measurement resolution, both graphs as a function of α N T . A resonator signal with a quality factor of 3 and a sampling of 2 samples per oscillation was used.
Sensors 25 00747 g007
Figure 8. Crámer–Rao lower bound for the relative frequency error σ f 0 f 0 as a function of the readout distance. The same frequency ranges, resonator quality factors and noise bandwidth as in Figure 6 were used in the left diagram, in the right graph, constant relative bandwidths of 0.5 % of the carrier frequency are assumed. All other parameters correspond to those in Figure 3.
Figure 8. Crámer–Rao lower bound for the relative frequency error σ f 0 f 0 as a function of the readout distance. The same frequency ranges, resonator quality factors and noise bandwidth as in Figure 6 were used in the left diagram, in the right graph, constant relative bandwidths of 0.5 % of the carrier frequency are assumed. All other parameters correspond to those in Figure 3.
Sensors 25 00747 g008
Figure 9. Relative frequency error σ f 0 / f 0 for one readout cycle as a function of the quality factor of a resonator in selected ISM or SRD bands. The read distance R is set to R = 1 λ . The diagrams start with the quality factor at which the resonance bandwidth fits into the assigned band. The resonator was stimulated and recorded for the time of Q oscillations. For quality factors where the resonator bandwidth became smaller than one fifth of the assigned bandwidth, the sampled bandwidth was limited to five times the resonator bandwidth. All other parameters correspond to those in Figure 3. The approximation in Equation (46) is also shown in the dotted lines.
Figure 9. Relative frequency error σ f 0 / f 0 for one readout cycle as a function of the quality factor of a resonator in selected ISM or SRD bands. The read distance R is set to R = 1 λ . The diagrams start with the quality factor at which the resonance bandwidth fits into the assigned band. The resonator was stimulated and recorded for the time of Q oscillations. For quality factors where the resonator bandwidth became smaller than one fifth of the assigned bandwidth, the sampled bandwidth was limited to five times the resonator bandwidth. All other parameters correspond to those in Figure 3. The approximation in Equation (46) is also shown in the dotted lines.
Sensors 25 00747 g009
Figure 10. Left: Detail enlargement of the peak in the frequency domain that was calculated via Fourier transformation of the signal of a decaying resonator over Q f oscillations. The initial signal-to-noise ratio is 40 dB. The blue circles represent the sample values for a calculation without zero padding. The red line was calculated with a zero padding of 10. The center frequency is marked with a small cross. The slight ripple results from the truncation of the exponential function. Right: Measurement signal in magnitude and phase that was demodulated with the frequency of the coarse resolved maximum in the left spectrum without zero padding. Since the actual frequency is about a quarter step size apart from the maximum, a phase error of 90° remains.
Figure 10. Left: Detail enlargement of the peak in the frequency domain that was calculated via Fourier transformation of the signal of a decaying resonator over Q f oscillations. The initial signal-to-noise ratio is 40 dB. The blue circles represent the sample values for a calculation without zero padding. The red line was calculated with a zero padding of 10. The center frequency is marked with a small cross. The slight ripple results from the truncation of the exponential function. Right: Measurement signal in magnitude and phase that was demodulated with the frequency of the coarse resolved maximum in the left spectrum without zero padding. Since the actual frequency is about a quarter step size apart from the maximum, a phase error of 90° remains.
Sensors 25 00747 g010
Figure 11. Detailed enlargement of the peak in the frequency domain, which was calculated by Fourier transforming the signal of a decaying resonator for Q f oscillations. The initial signal-to-noise ratio is 40 dB. The blue line connects the samples which were calculated without zero padding. The circles mark the maximum and its left and right sampling points. The dashed black line is a parabola approximation through these 3 points. The red line was calculated with a zero padding of 20 times the number of points. The actual resonance frequency and the maximum of the parabola are marked with small crosses.
Figure 11. Detailed enlargement of the peak in the frequency domain, which was calculated by Fourier transforming the signal of a decaying resonator for Q f oscillations. The initial signal-to-noise ratio is 40 dB. The blue line connects the samples which were calculated without zero padding. The circles mark the maximum and its left and right sampling points. The dashed black line is a parabola approximation through these 3 points. The red line was calculated with a zero padding of 20 times the number of points. The actual resonance frequency and the maximum of the parabola are marked with small crosses.
Sensors 25 00747 g011
Figure 12. Convergence of above algorithm for 20 dB (left), 10 dB (middle) and 0 dB (right) signal-to-noise ratio according to Equation (19). The resonator has a center frequency of 1 and a quality of 100. ± 1 σ of the Crámer–Rao lower bound is shown in blue dashed lines. The estimated center frequencies start on the left at the nearest sampling point of the spectrum calculated via FFT and then converge very quickly to the best estimate for this data set. Each time, 10 examples with varied noise are shown. Note the different scaling of the ordinates of the graphs.
Figure 12. Convergence of above algorithm for 20 dB (left), 10 dB (middle) and 0 dB (right) signal-to-noise ratio according to Equation (19). The resonator has a center frequency of 1 and a quality of 100. ± 1 σ of the Crámer–Rao lower bound is shown in blue dashed lines. The estimated center frequencies start on the left at the nearest sampling point of the spectrum calculated via FFT and then converge very quickly to the best estimate for this data set. Each time, 10 examples with varied noise are shown. Note the different scaling of the ordinates of the graphs.
Sensors 25 00747 g012
Figure 13. Histogram of 5000 runs of the simulations shown in Figure 12, plotted against ± 6 σ of the Crámer–Rao lower bound. The signal-to-noise ratios again are 20 dB (left), 10 dB (middle) and 0 dB (right). The normalized Gaussian functions of the corresponding Crámer–Rao lower bounds are also shown in red.
Figure 13. Histogram of 5000 runs of the simulations shown in Figure 12, plotted against ± 6 σ of the Crámer–Rao lower bound. The signal-to-noise ratios again are 20 dB (left), 10 dB (middle) and 0 dB (right). The normalized Gaussian functions of the corresponding Crámer–Rao lower bounds are also shown in red.
Sensors 25 00747 g013
Figure 14. Cumulative density functions in blue of the 5000 simulation runs shown in Figure 13 together with the cumulative density functions of the corresponding Gaussians in red. The signal-to-noise ratios again are 20 dB (left), 10 dB (middle) and 0 dB (right).
Figure 14. Cumulative density functions in blue of the 5000 simulation runs shown in Figure 13 together with the cumulative density functions of the corresponding Gaussians in red. The signal-to-noise ratios again are 20 dB (left), 10 dB (middle) and 0 dB (right).
Sensors 25 00747 g014
Figure 15. Probability that the algorithms in Equation (50) to Equation (53) result within an interval of ± 6 σ at the actual resonant frequency depicted as a function of the signal-to-noise ratio for a resonator with quality factors of 10 (red line), 100 (blue line) and 1000 (black line).
Figure 15. Probability that the algorithms in Equation (50) to Equation (53) result within an interval of ± 6 σ at the actual resonant frequency depicted as a function of the signal-to-noise ratio for a resonator with quality factors of 10 (red line), 100 (blue line) and 1000 (black line).
Sensors 25 00747 g015
Figure 16. Convergence trajectories for each of the 10 runs at signal-to-noise powers where the detection probabilities are only 80% for a resonator with quality factors of 10 (left), 100 (middle) and 300 (right). ± 1 σ of the Crámer–Rao lower bound is again shown in blue dashed lines.
Figure 16. Convergence trajectories for each of the 10 runs at signal-to-noise powers where the detection probabilities are only 80% for a resonator with quality factors of 10 (left), 100 (middle) and 300 (right). ± 1 σ of the Crámer–Rao lower bound is again shown in blue dashed lines.
Sensors 25 00747 g016
Figure 17. Left: Reduction in the convergence behavior of the algorithm as a function of the sample length for sample lengths between 1 · Q / f d and 20 · Q / f d . The quality factor of the resonator signal is 100 and the initial signal-to-noise ratio is 0 dB. The probability of convergence of the algorithm decreases as the sample length increases from 100% to 20%. The right graph shows for the sample length of 20 · Q / f d the few remaining correct detections of the natural frequency for 5000 runs.
Figure 17. Left: Reduction in the convergence behavior of the algorithm as a function of the sample length for sample lengths between 1 · Q / f d and 20 · Q / f d . The quality factor of the resonator signal is 100 and the initial signal-to-noise ratio is 0 dB. The probability of convergence of the algorithm decreases as the sample length increases from 100% to 20%. The right graph shows for the sample length of 20 · Q / f d the few remaining correct detections of the natural frequency for 5000 runs.
Sensors 25 00747 g017
Figure 18. The left diagram shows the weighting coefficient γ according to Equation (56) as a function of α N T . The improvement in the convergence probability of the algorithm by the weighting function is shown in the right diagram for a resonator signal with a quality factor of 100 and an initial signal-to-noise ratio of 0 dB. The red line was calculated without weighting and the blue line with weighting. The detection probability shifts by approximately 3 dB to lower signal-to-noise ratios.
Figure 18. The left diagram shows the weighting coefficient γ according to Equation (56) as a function of α N T . The improvement in the convergence probability of the algorithm by the weighting function is shown in the right diagram for a resonator signal with a quality factor of 100 and an initial signal-to-noise ratio of 0 dB. The red line was calculated without weighting and the blue line with weighting. The detection probability shifts by approximately 3 dB to lower signal-to-noise ratios.
Sensors 25 00747 g018
Figure 19. Cumulative density functions from 5000 simulation runs using the weighting function Equation (56) together with the cumulative density functions of the corresponding Gaussian functions. All other parameters correspond to those in Figure 14. The curves are so close together that they can hardly be distinguished. The signal-to-noise ratios are again 20 dB (left), 10 dB (middle) and 0 dB (right).
Figure 19. Cumulative density functions from 5000 simulation runs using the weighting function Equation (56) together with the cumulative density functions of the corresponding Gaussian functions. All other parameters correspond to those in Figure 14. The curves are so close together that they can hardly be distinguished. The signal-to-noise ratios are again 20 dB (left), 10 dB (middle) and 0 dB (right).
Sensors 25 00747 g019
Figure 20. The left graph shows the remaining phase angles of the individual sampling points z n , where the natural frequency was eliminated by multiplying with e j ω ˜ n T and where the impact of noise was reduced by weighting with e α n T . In addition, the phase angle φ ˜ at t = 0 is plotted according to Equation (31). For the center graph, the amplitudes of the sample points weighted with e α n T were plotted together with the amplitude b ˜ at t = 0 calculated according to Equation (32). The noisy signal from the decaying resonator with a signal-to-noise ratio of 20 dB is shown in red on the right along with the echoes in the transmission channel. The blue curve shows the remaining signal when the estimated values μ n have been subtracted from the measured values z n .
Figure 20. The left graph shows the remaining phase angles of the individual sampling points z n , where the natural frequency was eliminated by multiplying with e j ω ˜ n T and where the impact of noise was reduced by weighting with e α n T . In addition, the phase angle φ ˜ at t = 0 is plotted according to Equation (31). For the center graph, the amplitudes of the sample points weighted with e α n T were plotted together with the amplitude b ˜ at t = 0 calculated according to Equation (32). The noisy signal from the decaying resonator with a signal-to-noise ratio of 20 dB is shown in red on the right along with the echoes in the transmission channel. The blue curve shows the remaining signal when the estimated values μ n have been subtracted from the measured values z n .
Sensors 25 00747 g020
Figure 21. Sum of the complex values of 50 measurement signals where the estimated values of the decaying resonator have been subtracted; on the left in linear scale and on the right in logarithmic scale. The systematic interference signals disappear into the noise at t = 15 , and the signal evaluation could be started earlier by this interval, resulting in a higher resolution.
Figure 21. Sum of the complex values of 50 measurement signals where the estimated values of the decaying resonator have been subtracted; on the left in linear scale and on the right in logarithmic scale. The systematic interference signals disappear into the noise at t = 15 , and the signal evaluation could be started earlier by this interval, resulting in a higher resolution.
Sensors 25 00747 g021
Disclaimer/Publisher’s Note: The statements, opinions and data contained in all publications are solely those of the individual author(s) and contributor(s) and not of MDPI and/or the editor(s). MDPI and/or the editor(s) disclaim responsibility for any injury to people or property resulting from any ideas, methods, instructions or products referred to in the content.

Share and Cite

MDPI and ACS Style

Reindl, L.M.; Aftab, T.; Schaechtle, T.; Ostertag, T.; Luo, W.; Rupitsch, S.J. Estimation of the Measurement Accuracy of Wireless Passive Resonance Sensors. Sensors 2025, 25, 747. https://doi.org/10.3390/s25030747

AMA Style

Reindl LM, Aftab T, Schaechtle T, Ostertag T, Luo W, Rupitsch SJ. Estimation of the Measurement Accuracy of Wireless Passive Resonance Sensors. Sensors. 2025; 25(3):747. https://doi.org/10.3390/s25030747

Chicago/Turabian Style

Reindl, Leonhard M., Taimur Aftab, Thomas Schaechtle, Thomas Ostertag, Wei Luo, and Stefan Johann Rupitsch. 2025. "Estimation of the Measurement Accuracy of Wireless Passive Resonance Sensors" Sensors 25, no. 3: 747. https://doi.org/10.3390/s25030747

APA Style

Reindl, L. M., Aftab, T., Schaechtle, T., Ostertag, T., Luo, W., & Rupitsch, S. J. (2025). Estimation of the Measurement Accuracy of Wireless Passive Resonance Sensors. Sensors, 25(3), 747. https://doi.org/10.3390/s25030747

Note that from the first issue of 2016, this journal uses article numbers instead of page numbers. See further details here.

Article Metrics

Back to TopTop