Experimental Investigations on the Repeatability of the Fire-Resistance Testing of Electric Vehicle Post-Crash Safety Procedures
Abstract
1. Introduction
- Temperature Sensors: Devices such as thermocouples, resistance temperature detectors (RTDs), and infrared sensors monitor cell temperatures in real time. Advanced methods include embedding fiber Bragg grating (FBG) sensors within battery cells to detect internal temperature variations, providing early warning of potential thermal runaway events [14].
- Gas Sensors: These sensors detect the emission of gases like carbon dioxide and volatile organic compounds (VOCs) during the early stages of thermal runaway. Monitoring gas concentrations within the battery pack enables prompt detection of faults, enhancing safety measures [15].
- Pressure Sensors: These sensors identify swelling or venting events caused by gas generation within the battery cell, which can be indicative of thermal runaway progression [16].
- The battery can re-fire multiple days or weeks after the accident due to slow heat transfer to adjacent modules or cells [17].
- Battery fires are easily spread to nearby structures or vehicles due to their intensity—primarily due to jet flames, explosions, and other flaming components being projected at nearby ignitable objects [1].
Test Method Under Investigation
- The test must be carried out in an ambient temperature of at least 20 °C.
- Wind speed must be limited to 2.5 km/h measured over the fire source.
- The flame source horizontal dimensions must be larger than the specimen by 20–50 cm.
- Positive-ignition fuel needs to be used as a fire source.
- The tested specimen must be set at 0.5 m height from the fire source.
2. Experimental Setup and Instrumentation
3. Statistical Data Analysis
4. Results and Discussion
4.1. Exposure Conditions
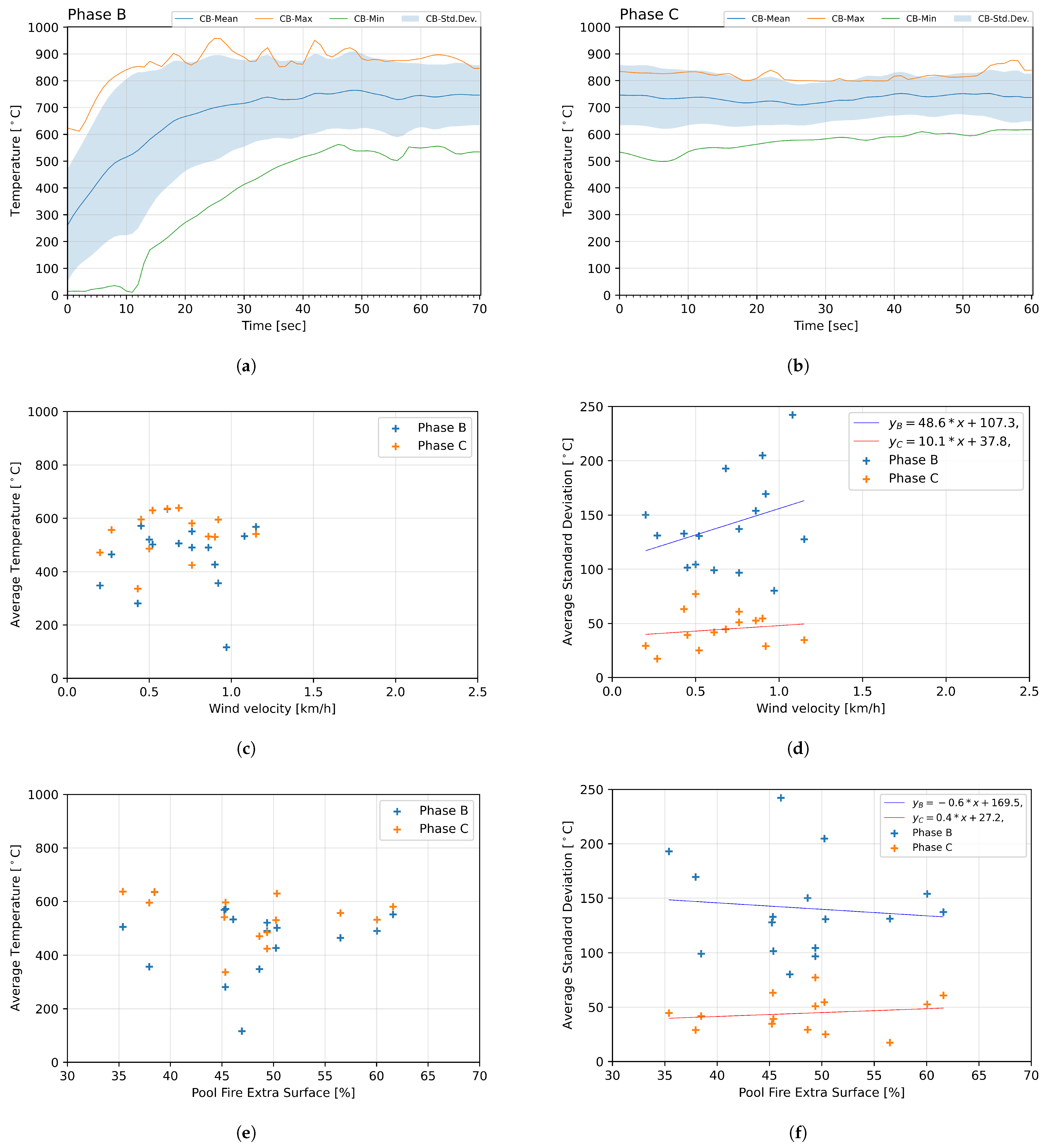
4.2. Influence of the Wind Speed and Pan-Coverage Ratio
4.3. Ambient Conditions and Fuel Temperature
4.4. Discussion on the Test Method
5. Limitations
6. Conclusions
Author Contributions
Funding
Institutional Review Board Statement
Informed Consent Statement
Data Availability Statement
Conflicts of Interest
Abbreviations
| EV | Electric vehicle |
| REESS, RESS | Rechargeable energy storage system |
| BESS | Battery energy storage system |
| ICE | Internal combustion vehicle |
| LIB | Lithium-ion battery |
| R100.02 | Regulation No. 100—Uniform provisions concerning the approval of vehicles with regard to specific requirements for the electric power train, amendments series .02 [26] |
| R100.03 | Regulation No. 100—Uniform provisions concerning the approval of vehicles with regard to specific requirements for the electric power train, amendments series .03 [27] |
| DUT | Device under test |
| RTD | Resistance temperature detectors |
| VOC | Volatile organic compounds |
| LPG | Liquefied petroleum gas |
| Fire engulfment of the specimen area | |
| Area of the pool fire | |
| Area of the surface area | |
| Mean value | |
| Temperature mean value | |
| Standard deviation value | |
| i | Thermocouples placement (CT, CB, LS, RS, FS or BS; see Figure 3) |
| j | Test number (1–16) (see Table 3) |
| t | Time of the test |
| p | Phase of the test (A, B or C) |
| Repeatability standard deviation of given thermocouple i in given phase p | |
| C | Test statistic (according to ISO 5725-2 series) |
| Critical value for statistical tests (according to ISO 5725-2 series) | |
| Quantile of the distribution | |
| v | Degrees of freedom |
| j | Number of tests |
References
- Mathieu, L. Electric Surge: Carmakers’ Electric Car Plans Across Europe 2019–2025; Report; European Federation for Transport and Environment AISBL: Brussels, Belgium, 2019. [Google Scholar]
- IEA. Global EV Outlook 2023; Report; International Energy Agency: Paris, France, 2023. [Google Scholar]
- Yang, Y.; Bremner, S.; Menictas, C.; Kay, M. Battery energy storage system size determination in renewable energy systems: A review. Renew. Sustain. Energy Rev. 2018, 91, 109–125. [Google Scholar] [CrossRef]
- Hamilton, J.; Walton, B.; Ringrow, J. Electric Vehicles—Setting a Course for 2030; Report; Deloitte: London, UK, 2020. [Google Scholar]
- IEA. Global EV Outlook 2020; Report; International Energy Agency: Paris, France, 2020. [Google Scholar]
- Sumwalt, R.L.; Langsberg, B.; Homendy, J.; Graham, M.; Chapman, T. Safety Report—Safety Risks to Emergency Responders from Lithium-Ion Battery Fires in Electric Vehicles; Report; National Tranportation Safety Board: Washington, DC, USA, 2020.
- Lecocq, A.; Bertana, M.; Truchot, B.; Marlair, G. Comparison of the fire consequences of an electric vehicle and an internal combustion engine vehicle. In Proceedings of the International Conference on Fires in Vehicles-FIVE 2012, Chicago, IL, USA, 27–28 September 2012; pp. 183–193. [Google Scholar]
- Łebkowski, A. Electric vehicle fire extinguishing system. Przegląd Elektrotechniczny 2017, 93, 329–332. [Google Scholar]
- Paine, M.; Paine, D.; Ellway, J.; Newland, C.; Worden, S. Safety precautions and assessments for crashes involving electric vehicles. In Proceedings of the 11th International Technical Conference on Experimental Safety Vehicles, Washington, DC, USA, 12–15 May 1987. number 11-0107. [Google Scholar]
- Willstrand, O.; Bisschop, R.; Blomqvist, P.; Temple, A.; Anderson, J. Toxic Gases from Electric Vehicle Fires; Report; RISE Research Institutes of Sweden AB: Boras, Sweden, 2020. [Google Scholar]
- Tran, M.K.; Mevawalla, A.; Aziz, A.; Panchal, S.; Xie, Y.; Fowler, M. A review of lithium-ion battery thermal runaway modeling and diagnosis approaches. Processes 2022, 10, 1192. [Google Scholar] [CrossRef]
- Mao, Y.; Chen, Y.; Chen, M. Review of Flame Behavior and Its Suppression during Thermal Runaway in Lithium-Ion Batteries. Batteries 2024, 10, 307. [Google Scholar] [CrossRef]
- Darnikowski, D. Fire resistance test methods of battery energy storage systems (BESS): Analysis, comparison and prospects. In Selected Problems in Mechanical Engineering, 1st ed.; Mieloszyk, M., Ochrymiuk, T., Eds.; IMP Publishers: Gdansk, Poland, 2021; pp. 33–56. ISBN 978-83-66928-00-8. [Google Scholar]
- Kisseler, N.; Hoheisel, F.; Offermanns, C.; Frieges, M.; Heimes, H.; Kampker, A. Monitoring of Thermal Runaway in Commercial Prismatic High-Energy Lithium-Ion Battery Cells via Internal Temperature Sensing. Batteries 2024, 10, 41. [Google Scholar] [CrossRef]
- Cai, T.; Mohtat, P.; Stefanopoulou, A.G.; Siegel, J.B. Li-ion battery fault detection in large packs using force and gas sensors. IFAC-PapersOnLine 2020, 53, 12491–12496. [Google Scholar] [CrossRef]
- Yin, S.; Liu, J.; Cong, B. Review of thermal runaway monitoring, warning and protection technologies for lithium-ion batteries. Processes 2023, 11, 2345. [Google Scholar] [CrossRef]
- Mark, J. A Tesla Was in a Junkyard for Three Weeks. Then It Burst into Flames. 2022. Available online: https://www.washingtonpost.com/nation/2022/06/22/tesla-fire-sacramento/ (accessed on 28 July 2024).
- Larsson, F.; Andersson, P.; Blomqvist, P.; Mellander, B.E. Toxic fluoride gas emissions from lithium-ion battery fires. Sci. Rep. 2017, 7, 1–13. [Google Scholar] [CrossRef] [PubMed]
- Dorsz, A.; Lewandowski, M. Analysis of Fire Hazards Associated with the Operation of Electric Vehicles in Enclosed Structures. Energies 2022, 15, 11. [Google Scholar] [CrossRef]
- Brzezinska, D.; Bryant, P. Performance-Based Analysis in Evaluation of Safety in Car Parks under Electric Vehicle Fire Conditions. Energies 2022, 15, 649. [Google Scholar] [CrossRef]
- Ghiji, M.; Novozhilov, V.; Moinuddin, K.; Joseph, P.; Burch, I.; Suendermann, B.; Gamble, G. A Review of Lithium-Ion Battery Fire Suppression. Energies 2020, 13, 5117. [Google Scholar] [CrossRef]
- Michel, J. US Firefighters Adapt to ‘New Hazards’ in Electric Car Blazes. 2022. Available online: https://techxplore.com/news/2022-06-firefighters-hazards-electric-car-blazes.html (accessed on 28 June 2024).
- WapCar. In China, 640 EVs Caught Fire in the First Quarter of 2022, up 32 Percent. 2022. Available online: https://www.wapcar.my/news/in-china-640-evs-caught-fire-in-the-first-quarter-of-2022-up-32-percent-45371 (accessed on 28 June 2024).
- Deloitte. 2020 Global Automotive Consumer Study; Report; Deloitte: London, UK, 2020. [Google Scholar]
- Ouyang, D.; Chen, M.; Huang, Q.; Weng, J.; Wang, Z.; Wang, J. A Review on the Thermal Hazards of the Lithium-Ion Battery and the Corresponding Countermeasures. Appl. Sci. 2019, 9, 2483. [Google Scholar] [CrossRef]
- European Union. Uniform Provisions Concerning the Approval of Vehicles with Regard to Specific Requirements for the Electric Power Train; Regulation; European Union: Brussel, Belgium, 2013. [Google Scholar]
- European Union. Uniform Provisions Concerning the Approval of Vehicles with Regard to Specific Requirements for the Electric Power Train; Regulation; European Union: Brussel, Belgium, 2021. [Google Scholar]
- ISO 6469-1:2019; Electrically Propelled Road Vehicles—Safety Specifications—Part 1: Rechargeable Energy Storage System (RESS). International Organization for Standardization: Geneva, Switzerland, 2019.
- ISO 18243:2017; Electrically Propelled Mopeds and Motorcycles—Test Specifications and Safety Requirements for Lithium-Ion Battery Systems. International Organization for Standardization: Geneva, Switzerland, 2017.
- GB/T 31467.3-2015; Lithium-Ion Traction Battery Pack and System for Electric Vehicles―Part 3: Safety Requirements and Test Methods. Standardization Administration of the People’s Republic of China: Shenzhen, China, 2015.
- GB 38031-2020; Electric Vehicles Traction Battery Safety Requirement. Standardization Administration of the People’s Republic of China: Shenzhen, China, 2020.
- Darnikowski, D.; Mieloszyk, M.; Weryk, M. Fire resistance of construction elements. In Proceedings of the Sensors and Smart Structures Technologies for Civil, Mechanical, and Aerospace Systems 2022, Long Beach, CA, USA, 4–10 April 2022; SPIE: Bellingham, WT, USA, 2022; Volume 12046, pp. 203–218. [Google Scholar]
- Chatris, J.; Quintela, J.; Folch, J.; Planas, E.; Arnaldos, J.; Casal, J. Experimental study of burning rate in hydrocarbon pool fires. Combust. Flame 2001, 126, 1373–1383. [Google Scholar] [CrossRef]
- Darnikowski, D.; Mieloszyk, M. Investigation into the Lithium-Ion Battery Fire Resistance Testing Procedure for Commercial Use. Batteries 2021, 7, 44. [Google Scholar] [CrossRef]
- Jiang, P.; Lu, S.X. Pool fire mass burning rate and flame tilt angle under crosswind in open space. Procedia Eng. 2016, 135, 261–274. [Google Scholar] [CrossRef]
- Beyler, C.L. Fire Hazard Calculations for Large, Open Hydrocarbon Fires. In SFPE Handbook of Fire Protection Engineering; Gottuk, D.T., Hall, J.R., Jr., Harada, K., Kuligowski, E.D., Puchovsky, M., Watts, J.M., Jr., Wieczorek, C.J., Eds.; Springer: Berlin/Heidelberg, Germany, 2015. [Google Scholar]
- Heskestad, G. Fire Plumes, Flame Height, and Air Entrainment. In SFPE Handbook of Fire Protection Engineering; Hurley, M.J., Gottuk, D.T., Hall, J.R., Jr., Harada, K., Kuligowski, E.D., Puchovsky, M., Watts, J.M., Jr., Wieczorek, C.J., Eds.; Springer: Berlin/Heidelberg, Germany, 2015. [Google Scholar]
- Heskestad, G. Dynamics of the fire plume. Philos. Trans. R. Soc. Lond. Ser. A Math. Phys. Eng. Sci. 1998, 356, 2815–2833. [Google Scholar] [CrossRef]
- Wassiliadis, N.; Steinsträter, M.; Schreiber, M.; Rosner, P.; Nicoletti, L.; Schmid, F.; Ank, M.; Teichert, O.; Wildfeuer, L.; Schneider, J.; et al. Quantifying the state of the art of electric powertrains in battery electric vehicles: Range, efficiency, and lifetime from component to system level of the Volkswagen ID.3. eTransportation 2022, 12, 100167. [Google Scholar] [CrossRef]
- Chen, B.; Lu, S.X.; Li, C.H.; Kang, Q.S.; Lecoustre, V. Initial fuel temperature effects on burning rate of pool fire. J. Hazard. Mater. 2011, 188, 369–374. [Google Scholar] [CrossRef] [PubMed]
- Sudheer, S.; Prabhu, S. Heat transfer in vertical casks engulfed in open pool fires. J. Fire Sci. 2013, 31, 541–562. [Google Scholar] [CrossRef]
- Siddapureddy, S.; Wehrstedt, K.D.; Prabhu, S. Heat transfer to bodies engulfed in di-tert-butyl peroxide pool fires-Numerical simulations. J. Loss Prev. Process Ind. 2016, 44, 204–211. [Google Scholar] [CrossRef]
- Ojha, M.; Dhiman, A.K.; Guha, K. Simulation of thermally protected cylindrical container engulfed in fire. J. Loss Prev. Process Ind. 2012, 25, 391–399. [Google Scholar] [CrossRef]
- EN 16942:2016+A1:2021; Fuels—Identification of Vehicle Compatibility—Graphical Expression for Consumer Information. European Commitee for Standardization: Brussels, Belgium, 2021.
- ISO 5725-1:2023; Accuracy (Trueness and Precision) of Measurement Methods and Results-Part 1: General Principles and Definitions. International Organization for Standardization: Geneva, Switzerland, 2023.
- ISO 5725-2:2019; Accuracy (Trueness and Precision) of Measurement Methods and Results-Part 2: Basic Method for the Determination of Repeatability and Reproducibility of a Standard Measurement Method. International Organization for Standardization: Geneva, Switzerland, 2019.
- ISO 5725-4:2020; Accuracy (Trueness and Precision) of Measurement Methods and Results-Part 4: Basic Methods for the Determination of the Trueness of a Standard Measurement Method. International Organization for Standardization: Geneva, Switzerland, 2020.
- Runje, B.; Horvatic Novak, A.; Keran, Z. Impact of the quality of measurement results on conformity assessment. In Proceedings of the 29th DAAAM International Symposium, Zadar, Croatia, 24–27 October 2018; Katalinic, B., Ed.; DAAAM International: Viena, Austria, 2018; pp. 51–55. [Google Scholar]
- ISO 21524:2021; Fire-Resistance Tests—Elements of Building Construction. International Organization for Standardization: Geneva, Switzerland, 2021.
- International Maritime Organization. International Code for Application of Fire Test Procedures; International Maritime Organization: London, UK, 2010. [Google Scholar]
- Cetegen, B.M. Entrainment and Flame Geometry of Fire Plumes. Ph.D. Thesis, California Institute of Technology, Pasadena, CA, USA, 1982. [Google Scholar]
- Cetegen, B.; Zukoski, E.; Kubota, T. Entrainment in the near and far field of fire plumes. Combust. Sci. Technol. 1984, 39, 305–331. [Google Scholar] [CrossRef]
- Siddapureddy, S.; Prabhu, S. Experimental and numerical simulation studies on heat transfer to calorimeters engulfed in diesel pool fires. J. Fire Sci. 2017, 35, 156–176. [Google Scholar] [CrossRef]
- Spivak, S.M.; Brenner, F.C. Standardization Essentials: Principles and Practice; CRC Press: Boca Raton, FL, USA, 2018. [Google Scholar]
- Jung, H.; Moon, B.; Lee, S.; Bae, J. A Study on Thermal Energy at Fire Resistance Test for REESS. In Proceedings of the 25th International Technical Conference on the Enhanced Safety of Vehicles (ESV) National Highway Traffic Safety Administration, Detroit, MI, USA, 5–8 June 2017. [Google Scholar]
- United Nations. Global Technical Regulation on the Electric Vehicle Safety (EVS); Regulation; United Nations: New York, NY, USA, 2018. [Google Scholar]
- Jung, H.; Moon, B.; Lee, G.G. Development of Experimental Apparatus for Fire Resistance Test of Rechargeable Energy Storage System in x EV. Energies 2020, 13, 465. [Google Scholar] [CrossRef]
- Omar, N.; Daowd, M.; Hegazy, O.; Mulder, G.; Timmermans, J.M.; Coosemans, T.; Van den Bossche, P.; Van Mierlo, J. Standardization Work for BEV and HEV Applications: Critical Appraisal of Recent Traction Battery Documents. Energies 2012, 5, 138–156. [Google Scholar] [CrossRef]
- Baglatzis, M.; Vasilopoulos, K.; Lekakis, I.; Sarris, I. Numerical Simulation of an Isolated N-Heptane Pool Fire. Fire 2024, 7, 398. [Google Scholar] [CrossRef]
- European Commission. New Approach Notified and Designated Organisations Information System; Register; European Commission: Luxembourg, 2024. [Google Scholar]
- Lei, J.; Deng, W.; Liu, Z.; Mao, S.; Saito, K.; Tao, Y.; Wu, H.; Xie, C. Experimental study on burning rates of large-scale hydrocarbon pool fires under controlled wind conditions. Fire Saf. J. 2022, 127, 103517. [Google Scholar] [CrossRef]
- Raza, H.; Li, S. The impact of battery electric bus fire on road tunnel. In Expanding Underground-Knowledge and Passion to Make a Positive Impact on the World; CRC Press: Boca Raton, FL, USA, 2023; pp. 3280–3288. [Google Scholar]
- Mira, J.; Braxtan, N.; Chen, S.E.; Zhao, T.; Harris, L.; Cook, D. Battery train fire risk on a steel warehouse structure. J. Archit. Environ. Struct. Eng. Res. 2021, 4, 9–19. [Google Scholar] [CrossRef]
- Salem, A.M. Use of Monte Carlo Simulation to assess uncertainties in fire consequence calculation. Ocean Eng. 2016, 117, 411–430. [Google Scholar] [CrossRef]




| What Is Your Greatest Concern Regarding All Battery-Powered Electric Vehicles? | ||||||||||||
|---|---|---|---|---|---|---|---|---|---|---|---|---|
| France | Germany | Italy | UK | China | US | |||||||
| 2018 | 2020 | 2018 | 2020 | 2018 | 2022 | 2018 | 2022 | 2018 | 2022 | 2018 | 2022 | |
| Driving range | 31% | 28% | 35% | 33% | 4% | 27% | 26% | 22% | 25% | 22% | 24% | 25% |
| Cost/premium price | 32% | 22% | 22% | 15% | 19% | 13% | 24% | 16% | 9% | 12% | 26% | 18% |
| Lack of EV infrastructure | 16% | 22% | 20% | 25% | 44% | 32% | 22% | 33% | 18% | 20% | 22% | 29% |
| Safety concerns with technology | 4% | 11% | 5% | 10% | 7% | 10% | 6% | 12% | 22% | 31% | 8% | 13% |
| Phase | Description | Duration | Pass Criterion |
|---|---|---|---|
| A | Preheating | 60 s | No explosion i.e., sudden release of energy sufficient to cause pressure waves and/or projectiles that may cause structural and/or physical damage to the surrounding of the Tested-Device. |
| B | Direct exposure to flame | 70 s | |
| C | Indirect exposure to flame (through perforated screen) | 60 s | |
| D | End of the test | Conditional |
| Test No | Ambient Temp., °C | Ambient Humidity, % | Wind Velocity, km/h | Fuel Initial Temp., °C | DUT Length, mm | DUT Width, mm | DUT Surface, m2 | Pool Length, mm | Pool Width, mm | Pool Surface, m2 | Pool Extra Area % |
|---|---|---|---|---|---|---|---|---|---|---|---|
| 1 | 18.3 | 68.1 | 1.0 | 18.9 | 1056 | 802 | 0.85 | 1456 | 1096 | 1.60 | 46.9 |
| 2 | 31.2 | 37.1 | 1.1 | 23.4 | 1365 | 808 | 1.10 | 1685 | 1214 | 2.05 | 46.1 |
| 3 | 11.2 | 77.5 | 0.7 | 13.3 | 1688 | 724 | 1.22 | 1950 | 970 | 1.89 | 35.4 |
| 4 | 8.4 | 66.1 | 0.4 | 15.1 | 1051 | 770 | 0.81 | 1480 | 1000 | 1.48 | 45.3 |
| 5 | 16.8 | 42.1 | 0.2 | 24.8 | 1323 | 800 | 1.06 | 1710 | 1205 | 2.06 | 48.6 |
| 6 | 17.3 | 28.2 | 0.9 | 16.4 | 1320 | 793 | 1.05 | 1710 | 1230 | 2.10 | 50.2 |
| 7 | 17.3 | 28.2 | 0.9 | 11.0 | 1208 | 825 | 1.00 | 1460 | 1100 | 1.61 | 37.9 |
| 8 | 27.6 | 20.8 | 0.9 | 26.4 | 534 | 433 | 0.23 | 760 | 760 | 0.58 | 60.0 |
| 9 | 31.6 | 25.9 | 0.5 | 27.1 | 830 | 742 | 0.62 | 1240 | 1000 | 1.24 | 50.3 |
| 10 | 3.9 | 90.0 | 0.5 | 3.9 | 953 | 711 | 0.68 | 1240 | 1000 | 1.24 | 45.4 |
| 11 | 4.5 | 94.5 | 0.3 | 4.5 | 1364 | 555 | 0.76 | 1740 | 1000 | 1.74 | 56.5 |
| 12 | 5.0 | 73.6 | 0.5 | 5.0 | 1331 | 800 | 1.06 | 1710 | 1230 | 2.10 | 49.4 |
| 13 | 3.2 | 69.4 | 0.8 | 3.2 | 1331 | 800 | 1.06 | 1710 | 1230 | 2.10 | 49.4 |
| 14 | 9.4 | 14.3 | 0.8 | 8.4 | 858 | 555 | 0.48 | 1240 | 1000 | 1.24 | 61.6 |
| 15 | 10.1 | 21.7 | 1.2 | 8.4 | 1054 | 769 | 0.81 | 1480 | 1000 | 1.48 | 45.2 |
| 16 | 22.8 | 46.9 | 0.6 | 25.5 | 1323 | 800 | 1.06 | 1720 | 1000 | 1.72 | 38.2 |
| 14.9 | 50.3 | 0.7 | 14.7 | 1162 | 730 | 0.86 | 1518 | 1065 | 1.64 | 47.9 |
| i | CT | CB | RS | LS | FS | BS | ||
|---|---|---|---|---|---|---|---|---|
| Value | ||||||||
| °C | 325.5 | 667.0 | 463.2 | 476.0 | 342.1 | 506.9 | 463.4 | |
| °C | 123.5 | 138.7 | 127.5 | 158.5 | 84.0 | 164.1 | 132.7 | |
| 1.4 | 1.7 | 1.5 | 2.2 | 0.6 | 2.5 | 1.6 | ||
| °C | 360.6 | 740.2 | 536.2 | 574.1 | 442.5 | 586.5 | 540.0 | |
| °C | 45.7 | 28.4 | 43.7 | 49.9 | 33.1 | 47.0 | 41.3 | |
| 0.2 | 0.1 | 0.2 | 0.2 | 0.1 | 0.2 | 0.2 | ||
Disclaimer/Publisher’s Note: The statements, opinions and data contained in all publications are solely those of the individual author(s) and contributor(s) and not of MDPI and/or the editor(s). MDPI and/or the editor(s) disclaim responsibility for any injury to people or property resulting from any ideas, methods, instructions or products referred to in the content. |
© 2025 by the authors. Licensee MDPI, Basel, Switzerland. This article is an open access article distributed under the terms and conditions of the Creative Commons Attribution (CC BY) license (https://creativecommons.org/licenses/by/4.0/).
Share and Cite
Darnikowski, D.; Mieloszyk, M. Experimental Investigations on the Repeatability of the Fire-Resistance Testing of Electric Vehicle Post-Crash Safety Procedures. Sensors 2025, 25, 688. https://doi.org/10.3390/s25030688
Darnikowski D, Mieloszyk M. Experimental Investigations on the Repeatability of the Fire-Resistance Testing of Electric Vehicle Post-Crash Safety Procedures. Sensors. 2025; 25(3):688. https://doi.org/10.3390/s25030688
Chicago/Turabian StyleDarnikowski, Daniel, and Magdalena Mieloszyk. 2025. "Experimental Investigations on the Repeatability of the Fire-Resistance Testing of Electric Vehicle Post-Crash Safety Procedures" Sensors 25, no. 3: 688. https://doi.org/10.3390/s25030688
APA StyleDarnikowski, D., & Mieloszyk, M. (2025). Experimental Investigations on the Repeatability of the Fire-Resistance Testing of Electric Vehicle Post-Crash Safety Procedures. Sensors, 25(3), 688. https://doi.org/10.3390/s25030688

