Intensity Noise Suppression in Photonic Detector Systems for Spectroscopic Applications
Abstract
1. Introduction
2. Methods
2.1. Frequency Stabilization System Based on SAS
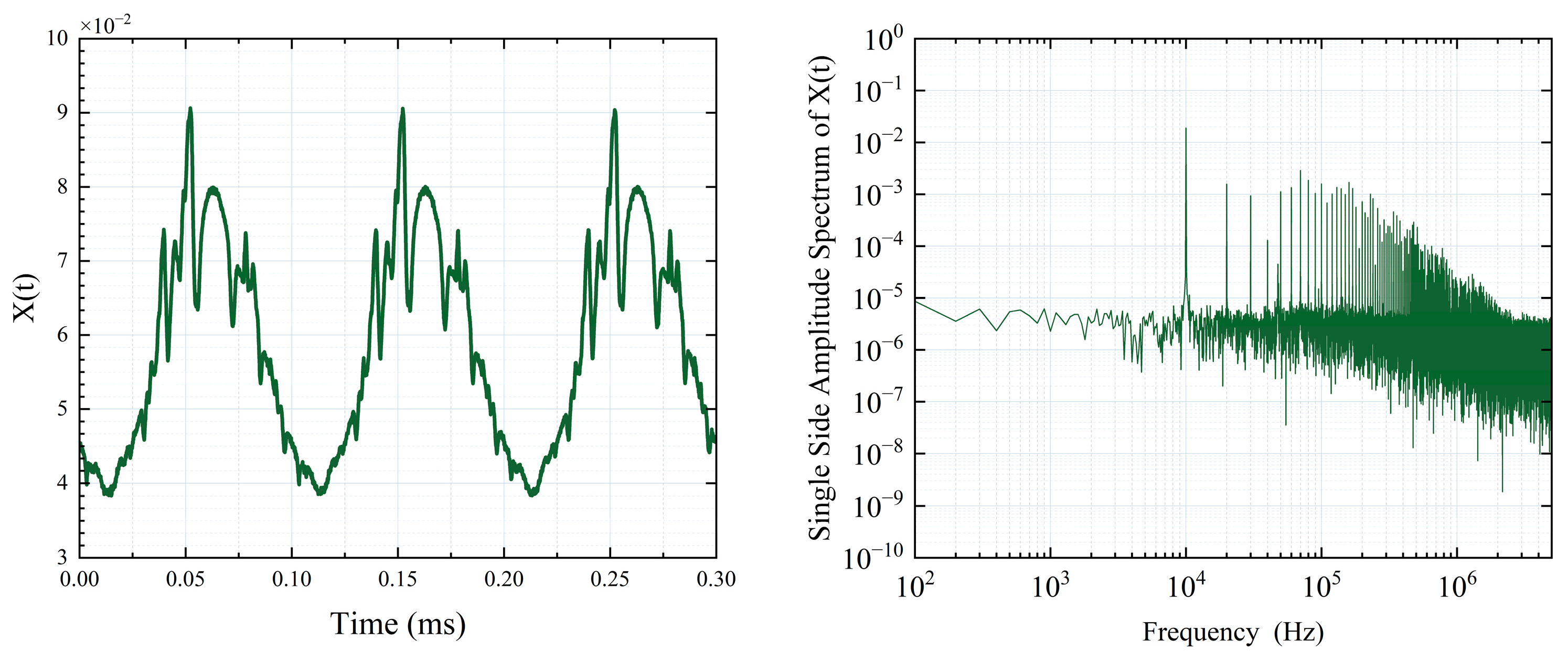
2.1.1. Laser Power Modulation Noise
2.1.2. Laser Modulation Harmonic Noise
2.2. Anti-Interference Algorithm
| Algorithm 1. Anti-interference frequency stabilization algorithm |
| 1 Input: Dual optical power intensity signal Pp, Pr. |
| 2 Preprocessing: Outlier detection, denoising. |
| 3 Initialization: Initialize the operating current, TEC working temperature, and PZT |
| 4 voltage via the host computer. Search the absorption peak position. |
| 5 Convergence condition: The amount of feedback is smaller than the linear region |
| 6 Loop: |
| 7 For time > 0 do |
| 8 Fit out the DC and AC components of Pdet and Pref; |
| 9 Calculate PQcal; |
| 10 Solve the frequency deviation amount through Scom; |
| 11 End |
| 12 Output: Update PZT voltage U = U + δU. |
3. Results
4. Discussions
5. Conclusions
Author Contributions
Funding
Data Availability Statement
Conflicts of Interest
Abbreviations
| BS | Beam Splitter |
| CCC | Current Control Circuit |
| DBR | Distributed Bragg Reflector |
| DFB | Distributed Feedback |
| FOC | Fiber Optical Coupler |
| FPGA | Field Programmable Gate Array |
| FMS | Frequency Modulation Spectroscopy |
| HWP | Half-wave Plate |
| HSR | Harmonic Suppression Ratio |
| MHN | Modulation harmonic noise |
| NICE-OHMS | Noise-Immune Cavity-Enhanced Optical Heterodyne Molecular Spectroscopy |
| Vpp | Peak-to-peak Voltage |
| PD | Photodetector |
| PZT | Piezoelectric Transducer |
| PBS | Polarization Beam Splitter |
| POL | Polarizer |
| PMN | Power Modulation Noise |
| PLC | Programmable Logic Controller |
| PCC | PZT Control Circuit |
| RLI | Ratio of Linear-region Intensity Range |
| RLW | Ratio of Linear-Region Width |
| SAS | Saturated Absorption Spectroscopy |
| SNR | Signal-to-Noise Ratio |
| TCC | Temperature Control Circuit |
| TEC | Thermoelectric Cooler |
References
- Yao, Z.; Mauldin, T.; Xu, Z.; Hefferman, G.; Wei, T. Breaking limitations of fiber identification in traditional OFDR systems via compensation of initial optical frequency instability. Opt. Lett. 2020, 45, 6086–6089. [Google Scholar] [CrossRef] [PubMed]
- Ji, W.; Wang, B.; Hu, Y.; Cui, X.; Xu, P.; Jiang, X.; Dai, H.; Chen, Y. Characterization of the Pound-Drever-Hall Feedback Loop in an Ultra-Stable Laser System. In Proceedings of the CLEO 2024, Charlotte, NC, USA, 5–10 May 2024. [Google Scholar] [CrossRef]
- Matsunaga, S.; Kato, R.; Yoshiki, M.; Akamatsu, D.; Hong, F. Analysis of the interaction-length dependence of frequency stability in an iodine-stabilized Nd:YAG laser. Appl. Opt. 2024, 63, 2078–2085. [Google Scholar] [CrossRef] [PubMed]
- Jiao, T.; Kou, S.; Ma, L.; Cheong, K.; Ren, W. Extending Sensing Range by Physics Constraints in Multiband-Multiline Absorption Spectroscopy for Flame Measurement. Sensors 2025, 25, 2317. [Google Scholar] [CrossRef] [PubMed]
- Kuang, H.; Zhong, X.; Wei, J.; Xing, F.; Hai, Z. Research on Dynamic Temperature at Outlet of Centrally Staged Combustor Based on TDLAS Technology. Sensors 2025, 25, 2256. [Google Scholar] [CrossRef] [PubMed]
- Moura, R.P.R.; Cruz, B.M.; Lilge, T.S.; Andrade, A.B.; Valerio, M.E.G.; Macedo, Z.S.; Rodrigues, J.J.; Alencar, M.A.R.C. Comparative Analysis of Spectral Broadening Techniques for Optical Temperature Sensing in Yttrium Fluoride (YF3) Doped with Neodymium. Sensors 2025, 25, 2324. [Google Scholar] [CrossRef] [PubMed]
- Ma, Y.; Li, Y.; Feng, J.; Zhang, K. High-power stable continuous-wave single-longitudinal-mode Nd:YVO4 laser at 1342 nm. Opt. Express 2018, 26, 1538–1546. [Google Scholar] [CrossRef] [PubMed]
- Ohtsu, M.; Fukada, H.; Tako, T.; Tsuchida, H. Estimation of the Ultimate Frequency Stability of Semiconductor Lasers. Jpn. J. Appl. Phys. 1983, 22, 1157–1166. [Google Scholar] [CrossRef]
- Ito, M.; Kimura, T. Temperature stabilization in semiconductor laser diodes. IEEE J. Quantum Electron. 1981, 17, 796–798. [Google Scholar] [CrossRef]
- Hanes, G.R.; Dahlstrom, C.E. Iodine hyperfine structure observed in saturated absorption at 633-nm. Appl. Phys. Lett. 1969, 14, 362. [Google Scholar] [CrossRef]
- Träger, F. Springer Handbook of Lasers and Optics, 2nd ed.; Springer: Berlin/Heidelberg, Germany, 2012. [Google Scholar] [CrossRef]
- Hu, J.; Ahola, T.; Ikonen, E.; Riski, K. Frequency shifts of iodine stabilized He-Ne lasers at higher harmonic order stabilization. IEEE Trans. Instrum. Meas. 1997, 46, 186–190. [Google Scholar] [CrossRef]
- Hu, J.; Riski, K.; Chartier, A.; Chartier, J.M.; Picard, S. Comparison of 127I2 stabilized He-Ne lasers at 633 nm between the MIKES and the BIPM. Metrologia 1997, 34, 417. [Google Scholar] [CrossRef]
- Krause, F.; Sterr, U.; Benkler, E.; Noelleke, C.; Leisching, P. Iodine-Stabilized 633 nm Diode Lasers for Metrology and Interferometry. In Proceedings of the Conference on Lasers and Electro-Optics Europe/European Quantum Electronics Conference (CLEO/Europe-EQEC), Munich, Germany, 23–27 June 2019. [Google Scholar] [CrossRef]
- Xie, H.; Xiao, D.; Mao, Z. Rapid Detection of Iron Ore Grades Based on Fractional-Order Derivative Spectroscopy and Machine Learning. IEEE Trans. Instrum. Meas. 2023, 72, 1–10. [Google Scholar] [CrossRef]
- He, W.; You, H.; Lu, Z.; Liu, Y.; Chen, Y.; Liu, Y.; Sun, C. A Novel Overlapping ME Peaks Decomposition Algorithm Based on Iterative Derivative Sharpening. IEEE Trans. Instrum. Meas. 2024, 73, 1–13. [Google Scholar] [CrossRef]
- Ozawa, K.; Itakura, T.; Ono, T. Locally Self-Adjustive Smoothing for Measurement Noise Reduction with Application to Automated Peak Detection. Appl. Spectrosc. 2024, 78, 825–836. [Google Scholar] [CrossRef] [PubMed]
- Wallard, A.J. Frequency stabilization of the helium-neon laser by saturated absorption in iodine vapour. J. Phys. E-Sci. Instrum. 1972, 5, 926. [Google Scholar] [CrossRef]
- Gono, T.; Vavra, L.; Krejci, P.; Jasinski, M.; Stacho, B. Harmonic Filter Design Methodology. In Proceedings of the 2024 24th International Scientific Conference on Electric Power Engineering (EPE), Kouty nad Desnou, Czech Republic, 15–17 May 2024. [Google Scholar] [CrossRef]
- Axner, O.; Ehlers, P.; Foltynowicz, A.; Silander, I.; Wang, J. NICE-OHMS—Frequency Modulation Cavity-Enhanced Spectroscopy—Principles and Performance; Springer: Berlin/Heidelberg, Germany, 2014; pp. 211–251. [Google Scholar] [CrossRef]









| Equipment | Parameter | Brand |
|---|---|---|
| Laser | - | LDPD-INC |
| Constant current source | 89.4 mA | Thorlabs LDC202C |
| Temperature control device | 10 kΩ | Thorlabs TED200C |
| Detector | 20 dB/30 dB * | Thorlabs PDA36A2 |
| Power meter | - | Thorlabs PM400 & S120C |
| Signal generator | - | Moku: pro |
| spectrum analyzer | - | Moku: pro |
| Wavelength meter | - | Bristol |
Disclaimer/Publisher’s Note: The statements, opinions and data contained in all publications are solely those of the individual author(s) and contributor(s) and not of MDPI and/or the editor(s). MDPI and/or the editor(s) disclaim responsibility for any injury to people or property resulting from any ideas, methods, instructions or products referred to in the content. |
© 2025 by the authors. Licensee MDPI, Basel, Switzerland. This article is an open access article distributed under the terms and conditions of the Creative Commons Attribution (CC BY) license (https://creativecommons.org/licenses/by/4.0/).
Share and Cite
Wu, Y.; Ma, K.; Wu, Z.; Zhang, W. Intensity Noise Suppression in Photonic Detector Systems for Spectroscopic Applications. Sensors 2025, 25, 6932. https://doi.org/10.3390/s25226932
Wu Y, Ma K, Wu Z, Zhang W. Intensity Noise Suppression in Photonic Detector Systems for Spectroscopic Applications. Sensors. 2025; 25(22):6932. https://doi.org/10.3390/s25226932
Chicago/Turabian StyleWu, Yupeng, Kai Ma, Zhou Wu, and Wenxi Zhang. 2025. "Intensity Noise Suppression in Photonic Detector Systems for Spectroscopic Applications" Sensors 25, no. 22: 6932. https://doi.org/10.3390/s25226932
APA StyleWu, Y., Ma, K., Wu, Z., & Zhang, W. (2025). Intensity Noise Suppression in Photonic Detector Systems for Spectroscopic Applications. Sensors, 25(22), 6932. https://doi.org/10.3390/s25226932

