Mechanical Fault Diagnosis Method of Disconnector Based on Parallel Dual-Channel Model of Feature Fusion
Abstract
1. Introduction
2. Time-Series Feature Extraction Method Based on BKA-VMD-GRU
2.1. BKA-VMD
2.1.1. VMD
2.1.2. BKA
- Initialize population parameters: Including population number N and iteration number Iter, etc.
- Fitness function: The envelope entropy serves as the fitness function for optimizing the VMD parameters, with the fitness value of each individual and optimal position of the initial population calculated accordingly.
- Attack behavior: The new solution is explored by randomly disturbing the current solution, and the location of the black-winged kite is updated.
- Migration behavior: Evaluate the fitness value of each black-winged kite, dynamically select the leader, adjust the search direction, and use random changes generated by the Cauchy distribution to update the location.
- Update the population: Update all black-winged kite positions in the population according to the leader position to ensure that the population is concentrated in a better solution domain.
- Steps (2)–(5) are repeated until the termination condition is satisfied.
- The optimal fitness and individual position are calculated, and the optimal K and α are the outputs.
2.2. GRU
- Two inputs, ht−1 and xt, represent the output of the neuron at the previous moment and the output of the neuron in the previous layer, respectively.
- Two doors, namely, the update door zt and the reset door rt. The update gate and reset gate are activated by function σ at time t, which is calculated as follows:
- 3.
- A state, that is, the internal state of the neuron at time t, can be expressed as follows:
- 4.
- An output, which is the final output, can be expressed as follows:
- Determine the kurtosis value for each IMF.
- 2.
- When the kurtosis value exceeds three, the IMF is a fault signal containing more impact components. Therefore, IMFs with kurtosis values greater than three are selected for reconstruction, and the selected IMFs set is as follows:
- 3.
- The reconstructed signal is obtained as follows:
3. Spatial Feature Extraction Method Based on RP-ViT
3.1. RP
- The phase space of the time series xi (i = 1, 2, ···, N) is reconstructed, m and τ are determined by the error nearest neighbor method and autocorrelation function method, respectively, and each phase point Xi in the phase space is calculated as follows:
- 2.
- The distance Li,j between the phase points Xi and Xj is obtained as follows:
- 3.
- According to the difference between the selected threshold ε and Lij, the result is input into the Heaviside function to obtain the value of each point in the recursive matrix.
- 4.
- For each recursive point that satisfies the condition, a black point is marked in the coordinate system and a white point is marked for Rij = 0. Because Rij = Rji and Rij = 1 (i = j), the characteristic of RP is that there is an obvious main diagonal, and the entire graph is symmetrical about this main diagonal.
3.2. ViT
3.2.1. Image Embedding Module
3.2.2. Transformer Encoder
- Multi-head self-attention operation layer
- 2.
- Feed-forward neural network layer
4. Parallel Dual-Channel Model Based on Feature Fusion
4.1. Construction of Model
4.2. Fault Diagnosis Process
- Signal preprocessing and data set division: The collected original vibration signal is denoised. Considering the limited amount of data collected from the mechanical fault data set of the disconnector, the random differentiation of the training set and the test set may lead to an unbalanced sample distribution and an inability to obtain accurate training results. Therefore, the five-fold cross-validation method is selected to train the model. This method divides the data set into five mutually exclusive parts on average. Each iterative training takes four parts in turn as the training set, and the remaining one is used as the test set. After five repetitions, it is ensured that each data has played the role of training set and test set, so as to comprehensively evaluate the model, reduce the errors caused by different divisions, and improve the stability and reliability of evaluation. Finally, the mean of the five training results is obtained as the estimation of the final accuracy of the algorithm.
- Model training: The training data set is entered into the constructed model for feature extraction, and iterative training is conducted by adjusting the model structure, learning rate, and other hyperparameters until the model satisfies the diagnostic accuracy requirements.
- Model evaluation: The trained model receives the test data set as input, and the model evaluation index values are calculated to obtain the final diagnosis result.
5. Experiments and Result Analysis
5.1. Mechanical Fault Experiment of Disconnector
5.1.1. Construction of Experimental Platform
5.1.2. Layout of Vibration Sensor and Faults Setting
5.1.3. Experimental Procedure
5.2. Result Analysis
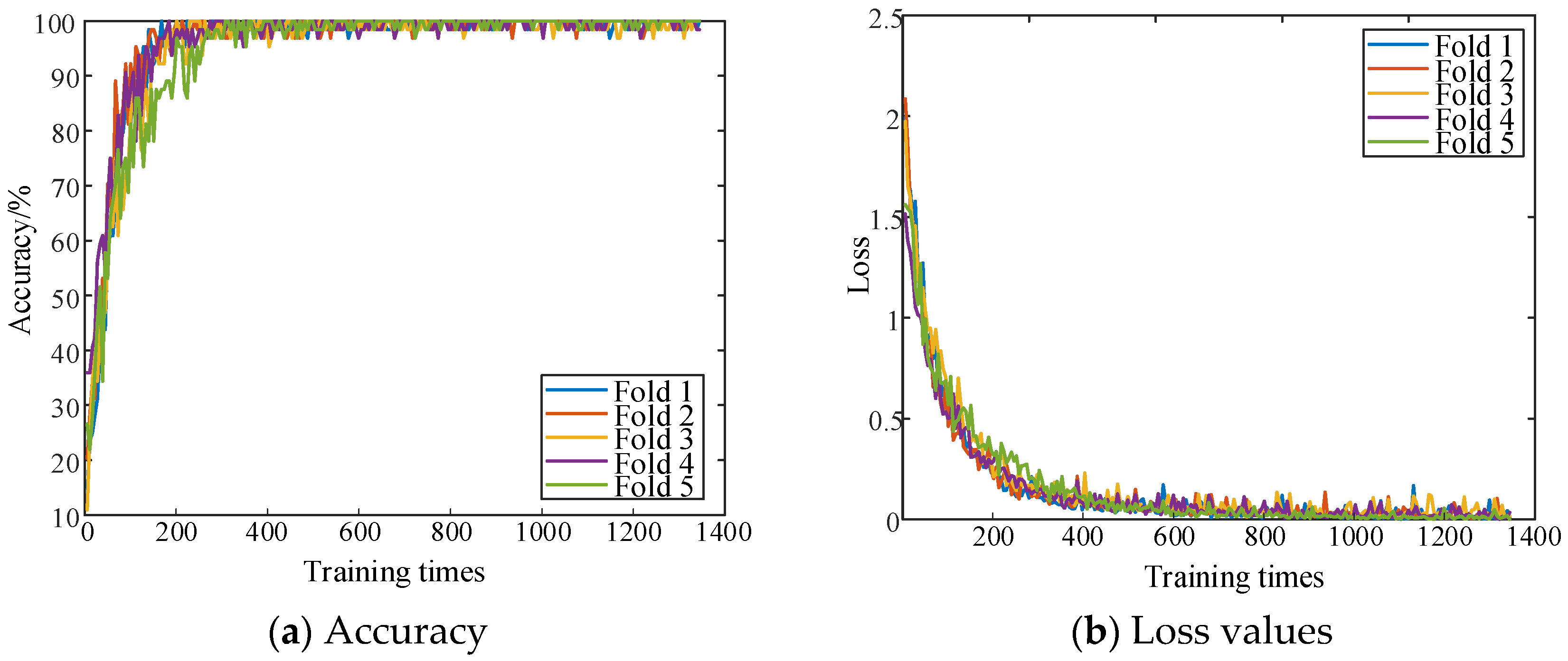
5.2.1. Analysis of Timing Feature Extraction
5.2.2. Analysis of Spatial Feature Extraction
- (1)
- Learning rate
- (2)
- Patch size
- (3)
- Optimizer
5.2.3. Analysis of Fault Diagnosis Results
5.2.4. Comparison with Other Models
5.2.5. Extended Verification of the Proposed Method
6. Conclusions
- The optimal value of parameter [K, α] of the VMD is obtained using BKA. Compared with GWO, GEO, CSA, PSO, SABO, DBO, NGO, GTO, and GA, the convergence effect is clearly better, and the uncertainty of the subjectively defined parameter values is avoided. By using the kurtosis value to screen out IMFs with richer fault information and reconstruct the signal, the transient impact of the fault signal can be precisely captured, thereby offering a more dependable foundation for fault diagnosis. The application of the GRU to extract time-series features mitigates the issue of gradient disappearance in RNN. Compared with LSTM, GRU reduces the information transmission path, improves the sensitivity to failure features, reduces the calculation complexity, and enhances the model’s generalization capability.
- RP uses the correlation characteristics of time-series data to obtain feature information from its internal structure. Compared with GAF and other image coding algorithms, RP has higher accuracy. Combined with the higher-quality adaptive feature extraction capability of ViT for images, a fault diagnosis of the disconnector is conducted. This performance is superior to that of the traditional CNN.
- By combining temporal and spatial features, the information of different modes can be comprehensively utilized to describe the characteristics of data more comprehensively, which improves the issue of inadequate recognition accuracy resulting from diagnosis only through a single data dimension, and then enhances the model’s stability and reliability. An ablation experiment is conducted in this study, and the proposed model achieves an accuracy of 97.9%, demonstrating superior robustness compared to other related methods.
- Three methods are proposed for setting the mechanical fault of the disconnector and the optimal arrangement of the vibration sensor. Simultaneously, the vibration data of the disconnector is gathered under different operating conditions, and the mechanical fault of the disconnector is diagnosed. The issues of inadequate sample size for mechanical fault data of disconnectors and difficult simulation of mechanical faults of disconnectors are solved to some degree.
Author Contributions
Funding
Institutional Review Board Statement
Informed Consent Statement
Data Availability Statement
Conflicts of Interest
Abbreviations
| VMD | Variational Mode Decomposition |
| BKA | Black-winged Kite Algorithm |
| IMF | Intrinsic Mode Function |
| GRU | Gated Recurrent Unit |
| RP | Recurrence Plot |
| ViT | Vision Transformer |
| EMD | Empirical Mode Decomposition |
| KNN | K-Nearest Neighbor |
| SVM | Support Vector Machine |
| GAF | Gramian Angular Field |
| MTF | Markov Transition Field |
| CNN | Convolutional Neural Network |
| RNN | Recurrent Neural Network |
| LSTM | Long Short-Term Memory |
| ADMM | Alternating Direction Multiplier Method |
| GWO | Grey Wolf Optimizer |
| GEO | Golden Eagle Optimizer |
| CSA | Crow Search Algorithm |
| PSO | Particle Swarm Optimization |
| SABO | Subtraction-Average-Based Optimizer |
| DBO | Dung Beetle Optimizer |
| NGO | Northern Goshawk Optimization |
| GTO | Gorilla Troops Optimizer |
| GA | Genetic Algorithm |
| 2D | Two-Dimensional |
| 3D | Three-Dimensional |
| PE | Permutation Entropy |
| SE | Sample Entropy |
| ELM | Extreme Learning Machine |
References
- Jurgensen, J.H.; Brodersson, A.L.; Nordstrom, L.; Hilber, P. Impact Assessment of Remote Control and Preventive Maintenance on the Failure Rate of a Disconnector Population. IEEE Trans. Power Deliv. 2017, 33, 1501–1509. [Google Scholar] [CrossRef]
- Mardegan, C.S.; Shipp, D.D. Anatomy of a Complex Electrical Failure and its Forensics Analysis. IEEE Trans. Ind. Appl. 2014, 50, 2910–2918. [Google Scholar] [CrossRef]
- Runde, M. Failure Frequencies for High-Voltage Circuit Breakers, Disconnectors, Earthing Switches, Instrument Transformers, and Gas-Insulated Switchgear. IEEE Trans. Power Deliv. 2012, 28, 529–530. [Google Scholar] [CrossRef]
- Wang, Q.; Zhang, K.; Lin, S. Fault Diagnosis Method of Disconnector Based on CNN and D-S Evidence Theory. IEEE Trans. Ind. Appl. 2023, 59, 5691–5704. [Google Scholar] [CrossRef]
- Huang, S.; Shang, B.; Song, Y.; Zhang, N.; Wang, S.; Ning, S. Research on Real-Time Disconnector State Evaluation Method Based on Multi-Source Images. IEEE Trans. Instrum. Meas. 2021, 71, 1–15. [Google Scholar] [CrossRef]
- Sun, S.; Zhang, T.; Li, Q.; Wang, J.; Zhang, W.; Wen, Z.; Tang, Y. Fault Diagnosis of Conventional Circuit Breaker Contact System Based on Time–Frequency Analysis and Improved AlexNet. IEEE Trans. Instrum. Meas. 2020, 70, 1–12. [Google Scholar] [CrossRef]
- Sun, W.; Ma, H.; Wang, S. Application of SCNGO-VMD-SVM in Identification of Gas Insulated Switchgear Partial Discharge. IEEE Access 2024, 12, 43838–43848. [Google Scholar] [CrossRef]
- Lin, S.; Zhang, K.; Wang, Q. Fault Diagnosis Method of Disconnector Based on Operating Torque in Closing Process. In Proceedings of the 2021 IEEE 2nd China International Youth Conference on Electrical Engineering (CIYCEE), Chengdu, China, 15–17 December 2021; pp. 1–6. [Google Scholar]
- Xiong, J.; Zhang, Q.; Sun, G.; Zhu, X.; Liu, M.; Li, Z. An Information Fusion Fault Diagnosis Method Based on Dimensionless Indicators With Static Discounting Factor and KNN. IEEE Sens. J. 2015, 16, 2060–2069. [Google Scholar] [CrossRef]
- Yu, J.J.Q.; Hill, D.J.; Lam, A.Y.S.; Gu, J.; Li, V.O.K. Intelligent Time-Adaptive Transient Stability Assessment System. IEEE Trans. Power Syst. 2017, 33, 1049–1058. [Google Scholar] [CrossRef]
- Zhang, J.; Li, G.; Liu, R.; Zhang, J.; Zhang, Y. Compound Fault Transfer Diagnosis of Gearboxes Based on Improved Transformer Network Under Small Datasets and Variable Working Conditions. IEEE Trans. Instrum. Meas. 2025, 74, 1–18. [Google Scholar] [CrossRef]
- Sindi, H.; Nour, M.; Rawa, M.; Öztürk, Ş.; Polat, K. A novel hybrid deep learning approach including combination of 1D power signals and 2D signal images for power quality disturbance classification. Expert Syst. Appl. 2021, 174, 114785. [Google Scholar] [CrossRef]
- Liao, G.-P.; Gao, W.; Yang, G.-J.; Guo, M.-F. Hydroelectric Generating Unit Fault Diagnosis Using 1-D Convolutional Neural Network and Gated Recurrent Unit in Small Hydro. IEEE Sens. J. 2019, 19, 9352–9363. [Google Scholar] [CrossRef]
- Liu, X.; Xia, L.; Shi, J.; Zhang, L.; Bai, L.; Wang, S. A Fault Diagnosis Method of Rolling Bearing Based on Improved Recurrence Plot and Convolutional Neural Network. IEEE Sens. J. 2023, 23, 10767–10775. [Google Scholar] [CrossRef]
- Wen, L.; Li, X.; Gao, L.; Zhang, Y. A New Convolutional Neural Network-Based Data-Driven Fault Diagnosis Method. IEEE Trans. Ind. Electron. 2017, 65, 5990–5998. [Google Scholar] [CrossRef]
- Zhou, C.; Zhang, W. Recurrence Plot Based Damage Detection Method by Integrating Control Chart. Entropy 2015, 17, 2624–2641. [Google Scholar] [CrossRef]
- Wu, R.; Liu, C.; Han, T.; Yao, J.; Jiang, D. A planetary gearbox fault diagnosis method based on time-series imaging feature fusion and a transformer model. Meas. Sci. Technol. 2022, 34, 024006. [Google Scholar] [CrossRef]
- Sindi, H.; Nour, M.; Rawa, M.; Öztürk, Ş.; Polat, K. An adaptive deep learning framework to classify unknown composite power quality event using known single power quality events. Expert Syst. Appl. 2021, 178, 115023. [Google Scholar] [CrossRef]
- Deng, Y.; Wang, L.; Jia, H.; Tong, X.; Li, F. A Sequence-to-Sequence Deep Learning Architecture Based on Bidirectional GRU for Type Recognition and Time Location of Combined Power Quality Disturbance. IEEE Trans. Ind. Inform. 2019, 15, 4481–4493. [Google Scholar] [CrossRef]
- An, Y.; Zhang, K.; Liu, Q.; Chai, Y.; Huang, X. Rolling Bearing Fault Diagnosis Method Base on Periodic Sparse Attention and LSTM. IEEE Sens. J. 2022, 22, 12044–12053. [Google Scholar] [CrossRef]
- Sun, W.; Ma, H.; Wang, S. A Novel Fault Diagnosis of GIS Partial Discharge Based on Improved Whale Optimization Algorithm. IEEE Access 2024, 12, 3315–3327. [Google Scholar] [CrossRef]
- Wang, J.; Wang, W.-C.; Hu, X.-X.; Qiu, L.; Zang, H.-F. Black-winged kite algorithm: A nature-inspired meta-heuristic for solving benchmark functions and engineering problems. Artif. Intell. Rev. 2024, 57, 98. [Google Scholar] [CrossRef]
- Zhao, R.; Wang, D.Z.; Yan, R.Q.; Mao, K.Z.; Shen, F.; Wang, J.J. Machine Health Monitoring Using Local Feature-Based Gated Recurrent Unit Networks. IEEE Trans. Ind. Electron. 2018, 65, 1539–1548. [Google Scholar] [CrossRef]
- Yin, S.; Chen, Z. Research on Compound Fault Diagnosis of Bearings Using an Improved DRSN-GRU Dual-Channel Model. IEEE Sens. J. 2024, 24, 35304–35311. [Google Scholar] [CrossRef]
- Nath, A.G.; Udmale, S.S.; Raghuwanshi, D.; Singh, S.K. Improved Structural Rotor Fault Diagnosis Using Multi-Sensor Fuzzy Recurrence Plots and Classifier Fusion. IEEE Sens. J. 2021, 21, 21705–21717. [Google Scholar] [CrossRef]
- Yang, N.; Liu, J.; Zhao, W.-Q.; Tan, Y. Fault Diagnosis of Gear Based on Multichannel Feature Fusion and DropKey-Vision Transformer. IEEE Sens. J. 2023, 24, 4758–4770. [Google Scholar] [CrossRef]
- Wang, B.; Xiong, Y.; Tan, L. A High-Precision Aeroengine Bearing Fault Diagnosis Based on Spatial Enhancement Convolution and Vision Transformer. IEEE Trans. Instrum. Meas. 2024, 74, 1–15. [Google Scholar] [CrossRef]
- Yang, H.; Yang, R.; Li, X.; Zhou, W. Electricity theft detection model based on the CEEMDAN-CNN-ViT. J. Phys. Conf. Ser. 2024, 2846, 012005. [Google Scholar] [CrossRef]
- Huang, X.; Xu, H.; Cui, J. Novel Fault Detection Method for Rolling Bearings Based on Improved Variational Modal Decomposition Method. IEEE Access 2024, 12, 36546–36557. [Google Scholar] [CrossRef]
- Fu, Y.; Zhou, K.; Zhu, G.; Li, Z.; Li, Y.; Meng, P.; Xu, Y.; Lu, L. A Partial Discharge Signal Separation Method Applicable for Various Sensors Based on Time–Frequency Feature Extraction of t-SNE. IEEE Trans. Instrum. Meas. 2023, 73, 1–9. [Google Scholar] [CrossRef]
- Lee, C.-Y.; Lin, W.-C. Induction Motor Fault Classification Based on ROC Curve and t-SNE. IEEE Access 2021, 9, 56330–56343. [Google Scholar] [CrossRef]

























| Method Category | Representative Techniques | Strengths | Limitations |
|---|---|---|---|
| Signal processing + classical classifiers | EMD, VMD + SVM, KNN | Effective for obvious faults; VMD: Addressing the issue of modal aliasing in EMD | Manual feature extraction required; Poor performance for similar early faults |
| Deep learning method on 2D images: signal-to-image conversion | RP, GAF, MTF | RP: Handles nonlinear signals; Works with small samples | GAF, MTF: Lack of ability to process vibration signals |
| Deep learning method on 2D images: spatial feature extraction | CNN, ViT | ViT: Strong global feature extraction; Efficient parallel computation | CNN struggles to process global information |
| Deep learning on 1D sequences | CNN, RNN, LSTM, GRU | GRU: Captures temporal dependencies; Simpler structure | CNN lacks temporal modeling; RNN trains slowly; LSTM structure is complex |
| Population Size | Maximum Iteration Count | Value Range of K | Value Range of α |
|---|---|---|---|
| 30 | 100 | (1, 100) | (10, 3000) |
| Operating Conditions | K | α |
|---|---|---|
| Normal state | 4 | 365 |
| Mechanism jam | 6 | 238 |
| Mechanism looseness | 3 | 1224 |
| Three-phase asynchrony | 5 | 1516 |
| Learning Rate | Accuracy/% |
|---|---|
| 0.01 | 87.1 |
| 0.001 | 92.3 |
| 0.0001 | 98.0 |
| Patch Size | Accuracy/% |
|---|---|
| 8 × 8 | 93.8 |
| 16 × 16 | 96.4 |
| 32 × 32 | 97.2 |
| Optimizer | Accuracy/% |
|---|---|
| SGD | 91.7 |
| Adam | 98.1 |
| Parameter | Value |
|---|---|
| Learning rate | 0.0001 |
| Patch size | 32 × 32 |
| Optimizer | Adam |
| Number of attention heads | 12 |
| Image size | 227 × 227 |
| Multilayer perceptron size | 3072 |
| Tag Type | Precision/% | Recall/% | F1-Score |
|---|---|---|---|
| 1 (Normal state) | 96.8 | 97.6 | 97.2 |
| 2 (Mechanism jam) | 97.6 | 97.6 | 97.6 |
| 3 (Mechanism looseness) | 98.0 | 98.4 | 98.2 |
| 4 (Three-phase asynchrony) | 99.2 | 98.0 | 98.6 |
| No. | Model Types | Accuracy/% |
|---|---|---|
| #1 | RP-ViT+BKA-VMD-GRU | 97.9 |
| #2 | RP-ViT | 94.7 |
| #3 | BKA-VMD-GRU | 93.6 |
| #4 | GAF-ViT+BKA-VMD-GRU | 96.9 |
| #5 | RP-CNN+BKA-VMD-GRU | 95.5 |
| #6 | RP-ViT+BKA-VMD-LSTM | 95.0 |
| #7 | RP-ViT+NGO-VMD-GRU | 96.1 |
| #8 | RP-ViT+PSO-VMD-GRU | 95.8 |
| #9 | EMD-PE-SVM | 88.8 |
| #10 | VMD-SE-ELM | 90.4 |
| Tag Type | Precision/% | Recall/% | F1-Score |
|---|---|---|---|
| 1 (Normal state) | 96.8 | 96.8 | 96.8 |
| 2 (Mechanism jam) | 97.2 | 96.4 | 96.8 |
| 3 (Mechanism looseness) | 97.6 | 97.2 | 97.4 |
| 4 (Three-phase asynchrony) | 97.6 | 98.8 | 98.2 |
Disclaimer/Publisher’s Note: The statements, opinions and data contained in all publications are solely those of the individual author(s) and contributor(s) and not of MDPI and/or the editor(s). MDPI and/or the editor(s) disclaim responsibility for any injury to people or property resulting from any ideas, methods, instructions or products referred to in the content. |
© 2025 by the authors. Licensee MDPI, Basel, Switzerland. This article is an open access article distributed under the terms and conditions of the Creative Commons Attribution (CC BY) license (https://creativecommons.org/licenses/by/4.0/).
Share and Cite
Zhang, C.; Ma, H.; Hu, T. Mechanical Fault Diagnosis Method of Disconnector Based on Parallel Dual-Channel Model of Feature Fusion. Sensors 2025, 25, 6933. https://doi.org/10.3390/s25226933
Zhang C, Ma H, Hu T. Mechanical Fault Diagnosis Method of Disconnector Based on Parallel Dual-Channel Model of Feature Fusion. Sensors. 2025; 25(22):6933. https://doi.org/10.3390/s25226933
Chicago/Turabian StyleZhang, Chi, Hongzhong Ma, and Tianyu Hu. 2025. "Mechanical Fault Diagnosis Method of Disconnector Based on Parallel Dual-Channel Model of Feature Fusion" Sensors 25, no. 22: 6933. https://doi.org/10.3390/s25226933
APA StyleZhang, C., Ma, H., & Hu, T. (2025). Mechanical Fault Diagnosis Method of Disconnector Based on Parallel Dual-Channel Model of Feature Fusion. Sensors, 25(22), 6933. https://doi.org/10.3390/s25226933
