An Experimental and Theoretical Study of the Effective Length of Embedded Scintillator Materials in End-Constructed Optical Fiber Radiation Sensing Probes
Highlights
- A method for constructing a simpler scintillator optical fiber radiation sensing probe is described.
- The efficiency of coupling scintillator luminescence into the optical fiber was analyzed, yielding the optimal length value for the scintillator sensing probe.
- To provide a base reference for sensor fabrication, thereby further enhancing the performance of fiber-optic radiation probes in terms of spatial resolution, signal-to-noise ratio, and other aspects.
Abstract
1. Introduction
2. Scintillator-Fiber Coupling Model
3. Simulation Design
3.1. Selection of Scintillator Materials and Absorption Coefficient α
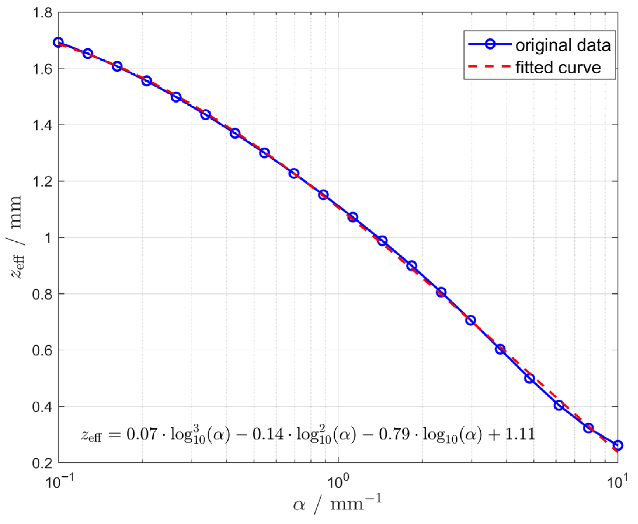
3.2. Simulation Results
4. Experimental Verification
4.1. Fabrication of Optical Fiber Probes and Establishment of Experimental Facilities
4.2. Experimental Test Results
5. Conclusions
Author Contributions
Funding
Institutional Review Board Statement
Informed Consent Statement
Data Availability Statement
Acknowledgments
Conflicts of Interest
References
- Liu, Y.; Chou, B.; Yalamanchili, A.; Lim, S.N.; Dawson, L.A.; Thomas, T.O. Local therapies for hepatocellular carcinoma and role of MRI-Guided adaptive radiation therapy. J. Clin. Med. 2023, 12, 3517. [Google Scholar] [CrossRef]
- Zaki, P.; Chuong, M.D.; Schaub, S.K.; Lo, S.S.; Ibrahim, M.; Apisarnthanarax, S. Proton beam therapy and photon-based magnetic resonance image-guided radiation therapy: The next frontiers of radiation therapy for hepatocellular carcinoma. Technol. Cancer Res. Treat. 2023, 22, 1–14. [Google Scholar] [CrossRef]
- Gonzalez-Montoro, A.; Ullah, M.N.; Levin, C.S. Advances in detector instrumentation for PET. J. Nucl. Med. 2022, 63, 1138–1144. [Google Scholar] [CrossRef] [PubMed]
- Gundacker, S.; Heering, A. The silicon photomultiplier: Fundamentals and applications of a modern solid-state photon detector. Phys. Med. Biol. 2020, 65, 17TR01. [Google Scholar] [CrossRef] [PubMed]
- Johns, P.M.; Nino, J.C. Room temperature semiconductor detectors for nuclear security. J. Appl. Phys. 2019, 126, 040902. [Google Scholar] [CrossRef]
- O’KEeffe, S.; Fitzpatrick, C.; Lewis, E.; Al-Shamma’a, A.I. A review of optical fiber radiation dosimeters. Sens. Rev. 2008, 28, 136–142. [Google Scholar] [CrossRef]
- Jang, K.W.; Cho, D.H.; Shin, S.H.; Yoo, W.J.; Seo, J.K.; Lee, B.; Kim, S.; Moon, J.H.; Cho, Y.-H.; Park, B.G. Characterization of a scintillating fiber-optic dosimeter for photon beam therapy. Opt. Rev. 2009, 16, 383–386. [Google Scholar] [CrossRef]
- Archer, J.; Li, E.; Petasecca, M.; Lerch, M.; Rosenfeld, A.; Carolan, M. High-resolution fiber-optic dosimeters for microbeam radiation therapy. Med. Phys. 2017, 44, 1965–1968. [Google Scholar] [CrossRef]
- McCarthy, D.; O’Keeffe, S.; Lewis, E.; Sporea, D.G.; Sporea, A.; Tiseanu, I.; Woulfe, P.; Cronin, J. Radiation dosimeter using an extrinsic fiber optic sensor. IEEE Sens. J. 2014, 14, 673–685. [Google Scholar] [CrossRef]
- O’KEeffe, S.; Grattan, M.; Hounsell, A.; McCarthy, D.; Woulfe, P.; Cronin, J.; Lewis, E. Radiotherapy dosimetry based on plastic optical fiber sensors. In Proceedings of the Fifth European Workshop on Optical Fiber Sensors, Krakow, Poland, 20 May 2013; p. 879418. [Google Scholar]
- Qin, Z.; Hu, Y.; Ma, Y.; Zhao, W.; Sun, W.; Zhang, D.; Chen, Z.; Elfed, L. Embedded structure fiber-optic radiation dosimeter for radiotherapy applications. Opt. Express 2016, 24, 5172–5185. [Google Scholar] [CrossRef]
- Penner, C.; Hoehr, C.; O’KEeffe, S.; Woulfe, P.; Duzenli, C. Characterization of a Terbium-Activated Gadolinium Oxysulfide Plastic Optical Fiber Sensor in Photons and Protons. IEEE Sens. J. 2018, 18, 1513–1519. [Google Scholar] [CrossRef]
- He, B.; Wang, J.; Chen, Z.; Yang, H.; Feng, Y.; Yang, B.; Shi, Q.; Qian, J.; Lewis, E.; Geng, T.; et al. Optimizing design of inorganic scintillator optical fiber X-ray sensors. Opt. Fiber Technol. 2024, 88, 103989. [Google Scholar] [CrossRef]
- Fitzpatrick, C.; O’Donoghue, C.; Schöbel, J.; Bastiaens, B.; van der Slot, P.; Lewis, E.; Pendrill, D. A large core polymer optical fiber sensor for X-ray dosimetry based on luminescence occurring in the cladding. Meas. Sci. Technol. 2004, 15, 1586–1590. [Google Scholar]
- Kamimura, S.; Furukawa, R. Strain sensing based on radiative emission-absorption mechanism using dye-doped polymer optical fiber. Appl. Phys. Lett. 2017, 111, 063301. [Google Scholar] [CrossRef]
- Tam, A.K.; Boyraz, O.; Unangst, J.; Nazareta, P.; Schreuder, M.; Nilsson, M. Quantum-dot doped polymeric scintillation material for radiation detection. Radiat. Meas. 2018, 111, 27–34. [Google Scholar] [CrossRef]
- Vidalot, J.; Fricano, F.; Morana, A.; Campanella, C.; Lambert, D.; Michalon, J.-Y.; Ouerdane, Y.; Boukenter, A.; Raine, M.; Girard, S.; et al. Mirror-Assisted Radioluminescent Optical Fibers for X-Ray Beam Monitoring. IEEE Trans. Nucl. Sci. 2023, 70, 575–582. [Google Scholar]
- Bélanger-Champagne, C.; Fricano, F.; Morana, A.; Lambert, D.; Penner, C.; Paillet, P.; Trinczek, M.; Usherovich, S.; Girard, S.; Hoehr, C.; et al. Proton Dosimetry Using Radiation-Induced Luminescence in Micrometer-Core Germanosilicate Optical Fibers. IEEE Trans. Nucl. Sci. 2023, 70, 1666–1672. [Google Scholar] [CrossRef]
- Sun, W.; Chen, Z.; Yang, H.; Wang, J.; Hao, W.; Qian, J.; Shi, Q.; He, B.; Feng, Y.; Yang, B.; et al. Mapping dose distribution in small radiation field using dual-generation optical fiber X-ray sensor array technology. Opt. Fiber Technol. 2024, 87, 103887. [Google Scholar]
- Hu, Y.; Qin, Z.; Ma, Y.; Zhao, W.; Sun, W.; Zhang, D.; Chen, Z.; Wang, B.; Tian, H.; Lewis, E. Characterization of fiber radiation dosimeters with different embedded scintillator materials for radiotherapy applications. Sens. Actuators A-Phys. 2018, 269, 188–195. [Google Scholar]
- He, B.; Xie, T.; Zhang, B.; Qian, J.; Li, H.; Shi, Q.; Hao, W.; Qin, Z.; Lewis, E.; Sun, W. Effect of photons and electrons on the over-response of optical fiber X-ray sensors. Sens. Actuators A-Phys. 2024, 376, 115649. [Google Scholar] [CrossRef]
- Qin, Z.; Chen, Z.; He, B.; Sun, W.; Gao, Y. Characteristics of a Miniature Fiber-Optic Inorganic Scintillator Detector for Electron-Beam Therapy Dosimetry. Sensors 2025, 25, 4243. [Google Scholar] [CrossRef] [PubMed]
- JJF 1606—2016; Program of Pattern Evaluation of Dosimeters with Ionization Chambers as Used in Radiotherapy. General Administration of Quality Supervision, Inspection and Quarantine of the People’s Republic of China: Beijing, China, 2016.













Disclaimer/Publisher’s Note: The statements, opinions and data contained in all publications are solely those of the individual author(s) and contributor(s) and not of MDPI and/or the editor(s). MDPI and/or the editor(s) disclaim responsibility for any injury to people or property resulting from any ideas, methods, instructions or products referred to in the content. |
© 2025 by the authors. Licensee MDPI, Basel, Switzerland. This article is an open access article distributed under the terms and conditions of the Creative Commons Attribution (CC BY) license (https://creativecommons.org/licenses/by/4.0/).
Share and Cite
Li, Y.; Feng, Y.; Wang, J.; He, B.; Chen, Z.; Yang, H.; Shi, Q.; Hao, W.; Qian, J.; Luo, J.; et al. An Experimental and Theoretical Study of the Effective Length of Embedded Scintillator Materials in End-Constructed Optical Fiber Radiation Sensing Probes. Sensors 2025, 25, 6704. https://doi.org/10.3390/s25216704
Li Y, Feng Y, Wang J, He B, Chen Z, Yang H, Shi Q, Hao W, Qian J, Luo J, et al. An Experimental and Theoretical Study of the Effective Length of Embedded Scintillator Materials in End-Constructed Optical Fiber Radiation Sensing Probes. Sensors. 2025; 25(21):6704. https://doi.org/10.3390/s25216704
Chicago/Turabian StyleLi, Yichen, Yong Feng, Jingjing Wang, Bo He, Ziyin Chen, Haojie Yang, Qieming Shi, Wenjing Hao, Jinqian Qian, Jiashun Luo, and et al. 2025. "An Experimental and Theoretical Study of the Effective Length of Embedded Scintillator Materials in End-Constructed Optical Fiber Radiation Sensing Probes" Sensors 25, no. 21: 6704. https://doi.org/10.3390/s25216704
APA StyleLi, Y., Feng, Y., Wang, J., He, B., Chen, Z., Yang, H., Shi, Q., Hao, W., Qian, J., Luo, J., Cui, J., Liu, Y., Geng, T., Lewis, E., & Sun, W. (2025). An Experimental and Theoretical Study of the Effective Length of Embedded Scintillator Materials in End-Constructed Optical Fiber Radiation Sensing Probes. Sensors, 25(21), 6704. https://doi.org/10.3390/s25216704

