Measurement of Strain and Vibration, at Ambient Conditions, on a Dynamically Pressurised Aircraft Fuel Pump Using Optical Fibre Sensors
Abstract
1. Introduction
2. Sensors and Instrumentation
2.1. Fuel Pump Object
2.2. Sensor Configuration
2.3. Fibre Bragg Grating Sensors (FBGs)
Principles of FBG Sensors
2.4. Instrumented Fuel Pump: Static Test
2.5. Instrumented Fuel Pump: Dynamic Test
3. Fuel Pump Pressure Testing Facilities
3.1. ST Setup
3.2. DT Set Up
4. Experimental Procedures
4.1. ST Experiment
4.2. DT Experiment
4.3. The Conditions for Comparing ST and DT
FE Modelling
5. Results
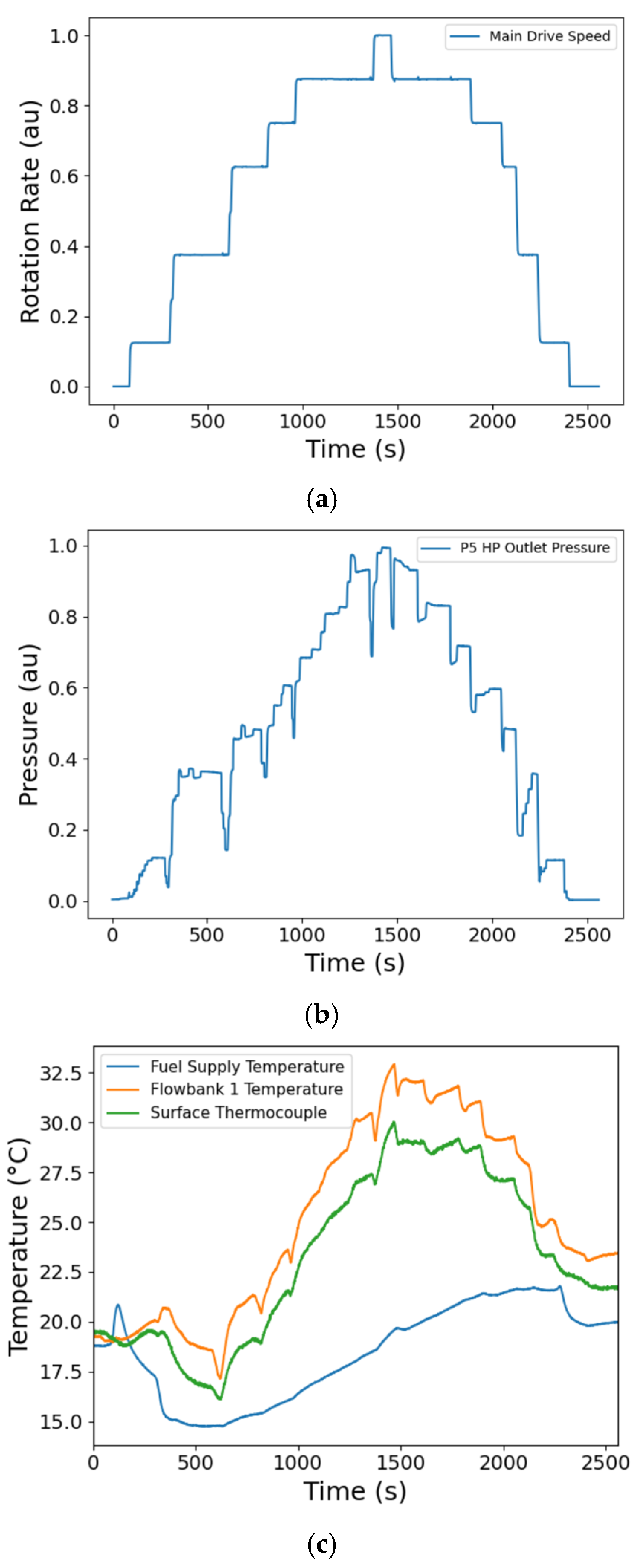
5.1. Data Processing for the DT
5.2. Comparison of DT and ST
5.3. Frequency Response of the Fuel Pump
6. Discussion
7. Conclusions
Author Contributions
Funding
Institutional Review Board Statement
Informed Consent Statement
Data Availability Statement
Conflicts of Interest
References
- Mevissen, F.; Meo, M. A Review of NDT/Structural Health Monitoring Techniques for Hot Gas Components in Gas Turbines. Sensors 2019, 19, 711. [Google Scholar] [CrossRef]
- Davinson, I. The Applications of Fibre Optics in Gas Turbine Engine Instrumentation. SPIE Fibre Optics ’84 1984, 468, 190–200. [Google Scholar]
- Davinson, I. Use of optical sensors and signal processing in gas turbine engines. Proc. SPIE 1991, 1374, 251–265. [Google Scholar]
- Atkins, R.A.; Gardner, J.H.; Gibler, W.N.; Lee, C.E.; Oakland, M.D.; Spears, M.O.; Swenson, V.P.; Taylor, H.F.; McCoy, J.J.; Beshouri, G. Fiber-optic pressure sensors for internal combustion engines. Appl. Opt. 1994, 33, 1315–1320. [Google Scholar] [CrossRef]
- Xia, H.; Byrd, D.; Dekate, S.; Lee, B. High-Density Fiber Optical Sensor and Instrumentation for Gas Turbine Operation Condition Monitoring. J. Sens. 2013, 2013, 206738. [Google Scholar] [CrossRef]
- McCord, R.M. Engine Condition monitoring using Fibre optic Probes. In Proceedings of the ASME 1980 International Gas Turbine Conference and Products Show, New Orleans, LA, USA, 10–13 March 1980. [Google Scholar]
- Fischer, A. Imaging flow velocimetry with laser Mie scattering. Appl. Sci. 2017, 7, 1298. [Google Scholar] [CrossRef]
- James, S.W.; Tatam, R.P.; Elder, R.L. Design considerations for a three dimensional fiber optic laser Doppler velocimeter for turbomachinery applications. Rev. Sci. Instrum. 1997, 68, 3241–3246. [Google Scholar] [CrossRef][Green Version]
- García, I.; Beloki, J.; Zubia, J.; Aldabaldetreku, G.; Illarramendi, M.A.; Jiménez, F. An Optical Fiber Bundle Sensor for Tip Clearance and Tip Timing Measurements in a Turbine Rig. Sensors 2013, 13, 7385–7398. [Google Scholar] [CrossRef] [PubMed]
- Vakhtin, A.B.; Che, S.J.; Maasick, S.M. Optical Probe for Monitoring Blade Tip Clearance. In Proceedings of the 47th AIAA Aerospace Sciences Meeting including the New Horizons Forum and Aerospace Exposition, Orlando, FL, USA, 5–8 January 2009; p. 507. [Google Scholar]
- Jenkins, T.P.; Allison, S.W.; Eldridge, J.I. Measuring gas turbine engine component temperatures using thermographic phosphors. SPIE Newsroom 2013, 10, 004769. [Google Scholar] [CrossRef]
- Von Moll, A.; Behbahani, A.R.; Fralick, G.C.; Wrbanek, J.D.; Hunter, G.W. A Review of exhaust gas temperature sensing techniques for modern turbine engine controls. In Proceedings of the 50th AIAA/ASME/SAE/ASEE Joint Propulsion Conference, Cleveland, OH, USA, 28–30 July 2014. AIAA 2014-3977. [Google Scholar]
- Willsch, M.; Bosselmann, T.; Flohr, P.; Kull, R.; Ecke, W.; Latka, I.; Fischer, D.; Thiel, T. Design of fiber optical high temperature sensors for gas turbine monitoring. In Proceedings of the 20th International Conference on Optical Fibre Sensors, Edinburgh, UK, 5–9 October 2009; Volume 7503, p. 75037R. [Google Scholar]
- Gahan, D.; Fasham, S.; Harpin, A. High temperature fiber optic pressure sensors for engine dynamics and health monitoring. In Proceedings of the 2009 IEEE Avionics, Fiber-Optics and Photonics Technology Conference, San Antonio, TX, USA, 22–24 September 2009. [Google Scholar]
- Pulliam, W.J.; Russler, P.M.; Fielder, R.S. 2002 High-temperature high-bandwidth fiber optic MEMS pressure-sensor technology for turbine engine component testing. In Proceedings of the Environmental and Industrial Sensing, Boston, MA, USA, 28–31 October 2001; Volume 4578, pp. 229–238. [Google Scholar]
- Lightweight Fiber Optic Sensors for Real-Time Strain Monitoring, NASA Technology Transfer Program; Bringing NASA Technology Down to Earth. Available online: https://technology.nasa.gov/patent/DRC-TOPS-9 (accessed on 1 September 2025).
- Habisreuther, T.; Elsmann, T.; Graf, A.; Schmidt, M.A. High-Temperature Strain Sensing Using Sapphire Fibers with Inscribed First-Order Bragg Gratings. IEEE Photon. J. 2016, 8, 6802608. [Google Scholar] [CrossRef]
- Neumann, M.; Dreier, F.; Günther, P.; Wilke, U.; Fischer, A.; Büttner, L.; Holzinger, F.; Schiffer, H.P.; Czarske, J. A laser-optical sensor system for blade vibration detection of high-speed compressors. Mech. Syst. Signal Process. 2015, 64–65, 337–346. [Google Scholar] [CrossRef]
- Tatam, R.P. Optical fiber modulation techniques for single mode fiber sensors. In Optical Fiber Sensor Technology; Grattan, K.T.V., Meggitt, B.T., Eds.; Springer: Dordrecht, The Netherlands, 1995. [Google Scholar]
- Gopal, V.; Annamdas, M. Review on Developments in Fiber Optical Sensors and Applications. Inter. J. Mater. Eng. 2011, 1, 1–16. [Google Scholar]
- Rajan, G. Optical Fiber Sensors: Advanced Techniques and Applications, 1st ed.; CRC Press: Boca Raton, FL, USA, 2020; ISBN 9780367656058. [Google Scholar]
- Lumens, P.G.E. Fibre-optic sensing for application in oil and gas wells. Ph.D. Thesis, Technische Universiteit Eindhoven, Eindhoven, The Netherlands, April 2014. [Google Scholar]
- Johny, J.; Amos, S.; Prabhu, R. Optical Fibre-Based Sensors for Oil and Gas Applications. Sensors 2021, 21, 6047. [Google Scholar] [CrossRef] [PubMed]
- Rajeev, P.; Kodikara, J.; Chiu, W.K.; Kuen, T. Distributed Optical Fibre Sensors and Their Applications in Pipeline Monitoring. Key Eng. Mater. 2013, 558, 424–434. [Google Scholar]
- Cooperman, A.; Martinez, M. Load Monitoring for Active Control of Wind Turbines. Renew. Sust. Energ. Rev. 2015, 41, 189–201. [Google Scholar] [CrossRef]
- James, S.W.; Kissinger, T.; Weber, S.; Mullaney, K.; Chehura, E.; Pekmezci, H.H.; Barrington, J.H.; E Staines, S.; Charrett, T.O.H.; Lawson, N.J.; et al. Fibre-optic measurement of strain and shape on a helicopter rotor blade during a ground run: 1. Measurement of strain. Smart Mater. Struct. 2022, 31, 075014. [Google Scholar] [CrossRef]
- Wu, T.; Liu, G.; Fu, S.; Xing, F. Recent Progress of Fiber-Optic Sensors for the Structural Health Monitoring of Civil Infrastructure. Sensors 2020, 20, 4517. [Google Scholar] [CrossRef] [PubMed]
- Gary, P.; Kiyoung, C. Challenges to design and demonstrate fiber optic sensors on an aircraft engine. SPIE Fly-By-Light 1994, 2295, 130–141. [Google Scholar]
- Murugan, M.; Walock, M.; Ghoshal, A.; Knapp, R.; Caesley, R. Embedded Temperature Sensor Evaluations for Turbomachinery Component Health Monitoring. Energies 2021, 14, 852. [Google Scholar] [CrossRef]
- Genuchten, E.V.; Alvarez, J.M.; Eesbeek, S. Multi-parameter fibre optic sensing system for remote condition operation monitoring of gearbox bearings in rack and pinion jacking systems. J. Struct. Health Monit. 2017, 2017, 13921. [Google Scholar]
- Yates, M.K. Positive displacement fuel pumping for aero-engines. In Proceedings of the 11th European Fluid Machinery Congress, Edinburgh, UK, 12–15 September 2011; pp. 69–84. [Google Scholar]
- Chehura, E.; James, S.W.; Staines, S.; Groenendijk, C.; Cartie, D.; Portet, S.; Hugon, M.; Tatam, R.P. Production process monitoring and post-production strain measurement on a full-size carbon-fibre composite aircraft tail cone assembly using embedded optical fibre sensors. Meas. Sci. Technol. 2020, 31, 105204. [Google Scholar] [CrossRef]
- Buggy, S.; James, S.W.; Staines, S.E.; Carroll, R.; Kitson, P.; Farrington, D.; Drewett, L.; Jaiswal, J.; Tatam, R.P. Railway track component condition monitoring using optical fibre Bragg grating sensors. Meas. Sci. Technol. 2016, 27, 055201. [Google Scholar] [CrossRef]
- Lawson, N.J.; Correia, R.N.G.; James, S.W.; Partridge, M.; Staines, S.E.; Gautrey, J.E.; Garry, K.P.; Holt, J.C.; Tatam, R.P. Development and application of optical fibre strain and pressure sensors for in-flight measurements. Meas. Sci. Technol. 2016, 27, 104001. [Google Scholar] [CrossRef]
- Kashyap, R. Fiber Bragg Gratings, 2nd ed.; Academic Press: Salt Lake City, UT, USA, 2009. [Google Scholar]
- Malo, B.; Albert, J.; Hill, K.O.; Bilodeau, F.; Johnson, D.C. Effective index drift from molecular hydrogen diffusion in hydrogen-loaded optical fibres and its effect on Bragg grating fabrication. Electron. Lett. 1994, 30, 442–444. [Google Scholar] [CrossRef]
- Cranch, G.A.; Flockhart, G.M.H.; Kirkendall, C.K. Efficient Large-Scale Multiplexing of Fiber Bragg Grating and Fiber Fabry-Pérot Sensors for Structural Health Monitoring Applications. In Proceedings of the Nondestructive Evaluation for Health Monitoring and Diagnostics, San Diego, CA, USA, 26 February–2 March 2006; Volume 6179, p. 61790. [Google Scholar]
- Rao, Y.-J. In-fibre Bragg grating sensors. Meas. Sci. Technol. 1997, 8, 355–375. [Google Scholar] [CrossRef]
- Adamovsky, G.; Lyuksyutov, S.F.; Mackey, J.R.; Floyd, B.M.; Abeywickrema, U.; Fedin, I.; Rackaitis, M. Peculiarities of thermo-optic coefficient under different temperature regimes in optical fibers containing fiber Bragg gratings. Opt. Comm. 2012, 285, 766–773. [Google Scholar] [CrossRef]
- Spirin, V.V.; Shlyagin, M.G.; Miridonov, S.V.; Marquez, I. Temperature-insensitive strain measurement using differential double Bragg grating technique. Opt. Laser Technol. 2001, 33, 43–46. [Google Scholar] [CrossRef]
- Flockhart, G.M.H.; Maier, R.R.J.; Barton, J.; MacPherson, W.N.; Jones, J.D.C.; Chisholm, K.E.; Zhang, L.; Bennion, I.; Read, I.; Foote, P.D. Quadratic behavior of fiber Bragg grating temperature coefficients. Appl. Opt. 2004, 43, 2744–2751. [Google Scholar] [CrossRef]
- Metals—Temperature Expansion Coefficients. Available online: https://www.engineeringtoolbox.com (accessed on 1 September 2025).
- Available online: https://www.smartfibres.com/products/smartscan (accessed on 1 September 2025).
- Available online: https://www.3m.co.uk/3M/en_GB/p/d/b40067978/ (accessed on 9 October 2025).
- Available online: https://www.artisantg.com/info/Dewetron_DAQP_BRIDGE_B_Manual_2019122115450.pdf (accessed on 9 October 2025).
- Wild, G. Optical Fiber Bragg Grating Sensors Applied to Gas Turbine Engine Instrumentation and Monitoring. In Proceedings of the 2013 IEEE Sensors Applications Symposium, Galveston, TX, USA, 19–21 February 2013; pp. 88–192. [Google Scholar]
- Chehura, E.; James, S.W.; Tatam, R.P. Temperature and strain discrimination using a single tilted fibre Bragg grating. Opt. Comm. 2007, 275, 344–347. [Google Scholar] [CrossRef]
- Stepanov, K.V.; Zhirnov, A.A.; Sazonkin, S.G.; Pnev, A.B.; Bobrov, A.N.; Yagodnikov, D.A. Non-Invasive Acoustic Monitoring of Gas Turbine Units by Fiber Optic Sensors. J. Sens. 2022, 22, 4781. [Google Scholar] [CrossRef] [PubMed]
- Nicchiotti, G.; Page, S.A.; Solinski, K.; Andracher, L.; Paulitsch, N.; Giuliani, F. 2021 Characterisation and validation of an optical pressure sensor for combustion monitoring at low frequency. In Proceedings of the ASME Turbo Expo 2021: Turbomachinery Technical Conference and Exposition, Virtual, 7–11 June 2021. GT2021-59103. [Google Scholar]
- Available online: https://gtr.ukri.org/projects?ref=113095#/tabOverview (accessed on 1 September 2025).




















| Parameter | Specification |
|---|---|
| Gauge length | 3 mm |
| Resistance | 350 ohms ± 0.35% |
| Gauge factor | 2.07 ± 1.0% |
| Temperature coefficient of gauge factor | (101 ± 10) × 10−6/K; for −10 to +45 °C |
| Transverse sensitivity | 0.3% |
| Temperature compensation coefficient (Aluminium) | 23.0 × 10−6/K |
| Maximum operating temperature | 200 °C |
| Test Condition | Pump Speed (%) | HP Outlet Pressure (%) |
|---|---|---|
| 1 | 12.5 | 11.8 |
| 2 | 37.5 | 35.3 |
| 3 | 62.5 | 47.1 |
| 4 | 75 | 58.8 |
| 5 | 87.5 | 70.6 |
| 6 | 87.5 | 82.4 |
| 7 | 87.5 | 94.1 |
| 8 | 100 | 100 |
| 9 | 87.5 | 94.1 |
| 10 | 87.5 | 82.4 |
| 11 | 87.5 | 70.6 |
| 12 | 75 | 58.8 |
| 13 | 62.5 | 47.1 |
| 14 | 37.5 | 35.3 |
| 15 | 12.5 | 11.8 |
| DT Sensors | Sensor Orientation | Comparison | ST Sensors |
|---|---|---|---|
| FBG H3 | Hoop | Direct | FBG1 |
| SG2H | Hoop | Indirect | - |
| FBG H5 | Hoop (groove bottom surface) | Direct | FBG3 |
| SG5H | Hoop (groove bottom surface) | Indirect (adjacent grooves) | |
| FBG R1 | Radial (groove bottom surface) | Direct | FBG2 |
| SG5R | Radial (groove bottom surface) | Indirect (separated by a groove) |
| DT Sensors | Sensor Orientation | Comparison | ST Sensors |
|---|---|---|---|
| FBG H8 | Hoop | Direct | FBG4 |
| SG8H | Hoop (groove bottom surface) | Indirect (adjacent grooves) | FBG6 |
| FBG H5 | Hoop (groove bottom surface) | Indirect (opposite pump sides) | |
| FBG H9 | Hoop | Direct | FBG5 |
| SG6H | Hoop | Indirect (adjacent) |
| Control Parameter | FBG Measurement | Fundamental Vibration Frequency | |
|---|---|---|---|
| Rotation Rate (Hz) | Approximate Dominant Spectrogram Frequency (Hz) | Multiple of Rotation Rate | Frequency from Pump of 14-Tooth Gear (Hz) |
| 16.7 | 235 | 14 | 233.3 |
| 50 | 700 | 14 | 700 |
| 83.3 | 1 170 | 14 | 1166.7 |
| 100 | 1 100 | 11 | 1400 |
| 116.7 | 875 | 7.5 | 1633.3 |
| 133.3 | 630 | 4.7 | 1866.7 |
| 116.7 | 875 | 7.5 | 1633.3 |
| 100 | 1 100 | 11 | 1400 |
| 83.3 | 1 170 | 14 | 1166.7 |
| 50 | 700 | 14 | 700 |
| 16.7 | 235 | 14 | 233.3 |
Disclaimer/Publisher’s Note: The statements, opinions and data contained in all publications are solely those of the individual author(s) and contributor(s) and not of MDPI and/or the editor(s). MDPI and/or the editor(s) disclaim responsibility for any injury to people or property resulting from any ideas, methods, instructions or products referred to in the content. |
© 2025 by the authors. Licensee MDPI, Basel, Switzerland. This article is an open access article distributed under the terms and conditions of the Creative Commons Attribution (CC BY) license (https://creativecommons.org/licenses/by/4.0/).
Share and Cite
Chehura, E.; James, S.W.; Braithwaite, J.; Barrington, J.H.; Staines, S.; Keil, A.; Yates, M.; Lawson, N.J.; Tatam, R.P. Measurement of Strain and Vibration, at Ambient Conditions, on a Dynamically Pressurised Aircraft Fuel Pump Using Optical Fibre Sensors. Sensors 2025, 25, 6407. https://doi.org/10.3390/s25206407
Chehura E, James SW, Braithwaite J, Barrington JH, Staines S, Keil A, Yates M, Lawson NJ, Tatam RP. Measurement of Strain and Vibration, at Ambient Conditions, on a Dynamically Pressurised Aircraft Fuel Pump Using Optical Fibre Sensors. Sensors. 2025; 25(20):6407. https://doi.org/10.3390/s25206407
Chicago/Turabian StyleChehura, Edmond, Stephen W. James, Jarryd Braithwaite, James H. Barrington, Stephen Staines, Andrew Keil, Martin Yates, Nicholas John Lawson, and Ralph P. Tatam. 2025. "Measurement of Strain and Vibration, at Ambient Conditions, on a Dynamically Pressurised Aircraft Fuel Pump Using Optical Fibre Sensors" Sensors 25, no. 20: 6407. https://doi.org/10.3390/s25206407
APA StyleChehura, E., James, S. W., Braithwaite, J., Barrington, J. H., Staines, S., Keil, A., Yates, M., Lawson, N. J., & Tatam, R. P. (2025). Measurement of Strain and Vibration, at Ambient Conditions, on a Dynamically Pressurised Aircraft Fuel Pump Using Optical Fibre Sensors. Sensors, 25(20), 6407. https://doi.org/10.3390/s25206407

