Advanced Beam Detection for Free-Space Optics Operating in the Mid-Infrared Spectra
Abstract
1. Introduction
- Practical verification of beam tracking capability using a quadrant detector (QD) in the mid-infrared spectrum (QD-MWIR),
- Demonstration of the potential of using a QD-MWIR detector for simultaneous beam tracking and data signal reception.
2. Study of PSD Technologies for FSOC Systems
2.1. Quadrant and Lateral Detectors
2.2. Detectors Comparison
2.3. Position-Sensitive Detectors in FSOC
3. Materials
4. Results
4.1. Characterization of the QD-MWIR Detector
4.2. Research on the QD-MWIR Detection Module
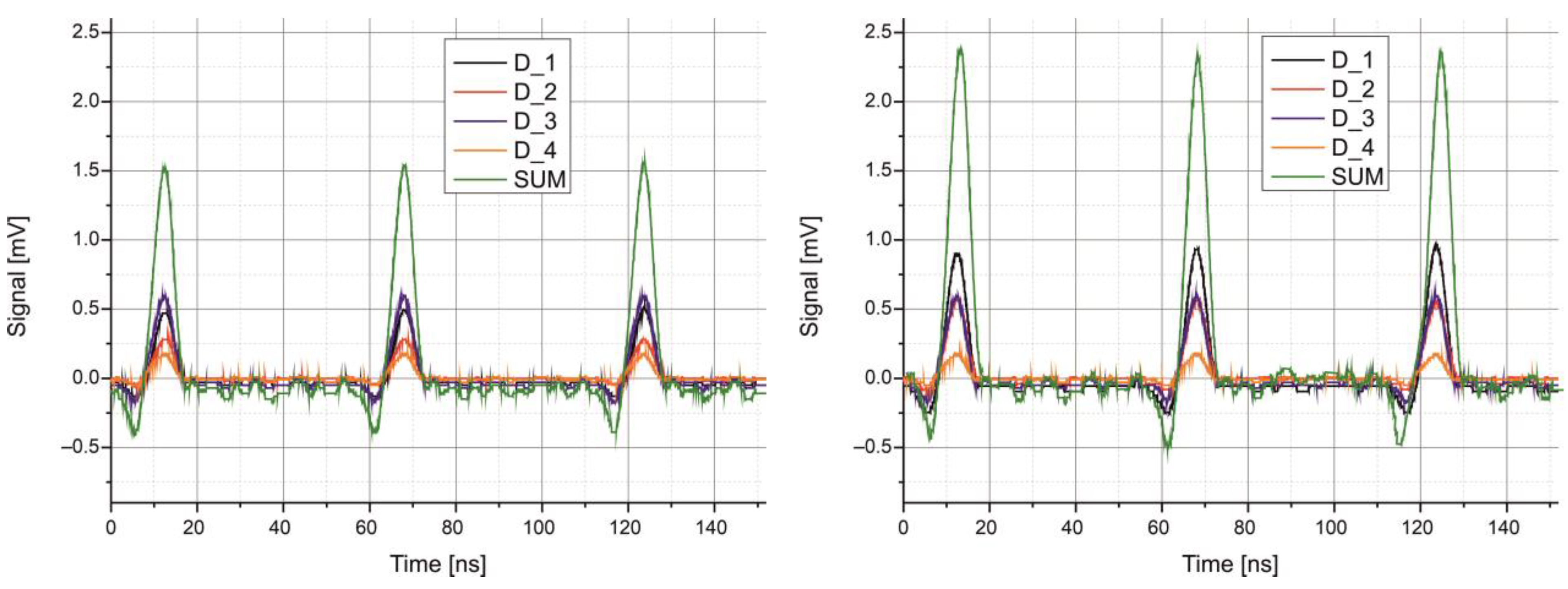
4.3. Beam Tracking Operation
4.4. Data Signal Registration
5. Discussion
Author Contributions
Funding
Data Availability Statement
Acknowledgments
Conflicts of Interest
References
- Rahman, M.T.; Jahid, M.A.; Anha, S.Y.; Rahman, M.S.; Orpy, F.A.; Akibillah, A.S.M. High-Capacity DWDM Transmission System for Free-Space Optical Network. In Proceedings of the 2024 6th International Conference on Electrical, Control and Instrumentation Engineering (ICECIE), Pattaya, Thailand, 23 November 2024. [Google Scholar] [CrossRef]
- Jain, V.; Reddy, B.V.R.; Payal, A. A Comprehensive Review Of Satellite Communication System And RF-FSO Wireless Technologies. J. Opt. 2025, 1–9. [Google Scholar] [CrossRef]
- Maswikaneng, S.P.; Owolawi, P.A.; Ojo, S.O.; Mphahlele, M.I. Atmospheric effects on free space optics wireless communication: Applications and challenges. In Proceedings of the 2018 International Conference on Intelligent and Innovative Computing Applications (ICONIC), Mon Tresor, Mauritius, 6–7 December 2018. [Google Scholar] [CrossRef]
- Kaymak, Y.; Rojas-Cessa, R.; Feng, J.; Ansari, N.; Zhou, M.; Zhang, T. A survey on acquisition, tracking, and pointing mechanisms for mobile free-space optical communications. IEEE Commun. Surv. Tutor. 2018, 20, 1104–1123. [Google Scholar] [CrossRef]
- Dwik, S.; Sasikala, G.; Natarajan, S. Advancements and applications of position-sensitive detector (PSD): A review. Optoelectron. Lett. 2024, 20, 330–338. [Google Scholar] [CrossRef]
- Jakobs, J.P.; Schmidt, C. Image sensor-based pointing, acquisition, and tracking for optical satellite links. In Environmental Effects on Light Propagation and Adaptive Systems VII; SPIE: Edinburgh, UK, 2024; p. 13194. [Google Scholar] [CrossRef]
- Photodetectors. Available online: https://www.osioptoelectronics.com/products/photodetectors (accessed on 2 September 2025).
- Li, D.; Zhang, Y. Research on factors influencing the positioning accuracy of four-quadrant detector. J. Phys.Conf. Ser. 2021, 1983, 012087. [Google Scholar] [CrossRef]
- Guanghui, W.; Shum, P.; Guoliang, X.; Xuping, Z. Position detection improvement of position sensitive detector (psd) by using analog and digital signal processing. In Proceedings of the 2007 6th International Conference on Information, Communications & Signal Processing, Singapore, 10–13 December 2007. [Google Scholar] [CrossRef]
- De-La-Llana-Calvo, Á.; Lázaro-Galilea, J.L.; Alcázar-Fernández, A.; Gardel-Vicente, A.; Bravo-Muñoz, I.; Iamnitchi, A. Accuracy and precision of agents orientation in an indoor positioning system using multiple infrastructure lighting spotlights and a PSD sensor. Sensors 2022, 22, 2882. [Google Scholar] [CrossRef]
- Li, Q.; Xu, S.; Yu, J.; Yan, L.; Huang, Y. An improved method for the position detection of a quadrant detector for free space optical communication. Sensors 2019, 19, 175. [Google Scholar] [CrossRef]
- Luo, Y.; Shen, Y.; Cordero, J.; Zaklit, J. Enhancing measurement accuracy of position sensitive detector (PSD) systems using the Kalman filter and distortion rectifying. In Proceedings of the SENSORS, 2013, Baltimore, MD, USA, 3–6 November 2013; IEEE: Baltimore, MD, USA, 2013. [Google Scholar] [CrossRef]
- Solal, M.C. The origin of duo-lateral position-sensitive detector distortions. In Nuclear Instruments and Methods in Physics Research Section A: Accelerators, Spectrometers, Detectors and Associated Equipment; Elsevier: Amsterdam, The Netherlands, 2007; Volume 572, pp. 1047–1055. [Google Scholar] [CrossRef]
- Position-Sensing Detectors Characteristics. Available online: https://www.osioptoelectronics.com/media/pages/knowledgebase/899d94b819-1730291341/an01-psd-characteristics-202441.pdf (accessed on 2 September 2025).
- Wang, X.; Sun, X.; Zhai, T.; Yang, Q.; Cui, S.; Zhang, J.; Wu, B.; Deng, J.; Xie, Y.; Ruotolo, A. A bias-free, lateral effect position sensor photodetector. Sens. Actuators A Phys. 2021, 330, 112846. [Google Scholar] [CrossRef]
- Position-Sensing Detectors. Available online: https://www.thorlabs.com/newgrouppage9.cfm?objectgroup_id=4400 (accessed on 2 September 2025).
- Wang, X.; Su, X.; Liu, G.; Han, J.; Wang, R. Research on photoelectric signal preprocessing of four-quadrant detector in free space optical communication system. In Proceedings of the IEEE 5th International Conference on Signal and Image Processing (ICSIP), Nanjing, China, 3–5 July 2020. [Google Scholar] [CrossRef]
- Wu, J.; Chen, Y.; Gao, S.; Li, Y.; Wu, Z. Improved measurement accuracy of spot position on an InGaAs quadrant detector. Appl. Opt. 2015, 27, 8049–8054. [Google Scholar] [CrossRef]
- Harris, A.; Sluss, J.J.; Refai, H.H.; LoPresti, P.G. Alignment and tracking of a free-space optical communications link to a UAV. In Proceedings of the 24th Digital Avionics Systems Conference, Washington, DC, USA, 30 October–3 November 2005. [Google Scholar] [CrossRef]
- Trinch, P.V.; Casado, A.C.T.; Okura, H.; Tsuji, D.R.; Kolev, K.; Shiratama, Y.; Munemasa, M. Toyoshima. Experimental channel statistics of drone-to-ground retro-reflected FSOC links with fine-tracking systems. IEEE Access 2021, 9, 137148–137164. [Google Scholar] [CrossRef]
- Quintana, C.; Erry, G.; Gomez, A.; Thueux, Y.; Faulkner, G.E.; O’Brien, D.C. Design of a holographic tracking module for long-range retroreflector free-space systems. Appl. Opt. 2016, 55, 7173–7178. [Google Scholar] [CrossRef]
- Zhang, W.; Guo, W.; Zhang, C.; Zhao, S. An Improved Method for Spot Position Detection of a Laser Tracking and Positioning System Based on a Four-Quadrant Detector. Sensors 2019, 19, 4722. [Google Scholar] [CrossRef]
- Part Description QP50-6-SM. Available online: https://www.mouser.pl/datasheet/2/418/9/First_Sensor_09292017_qp50_6_sm_-3305353.pdf (accessed on 2 September 2025).
- Bekkali, A.; Fujita, H.; Hattori, M.; Hara, Y.; Umezawa, T.; Kanno, A. All-optical Mobile FSO Transceiver with High-Speed Laser Beam Steering and Tracking. In European Conference on Optical Communication (ECOC); IEEE: Basel, Switzerland, 2022. [Google Scholar]
- Bekkali, A.; Fujita, H.; Hattori, M. New Generation Free-Space Optical Communication Systems with Advanced Optical Beam Stabilizer. J. Light. Technol. 2022, 40, 1509–1518. [Google Scholar] [CrossRef]
- Medina, I.; Hernández-Gómez, J.J.; Couder-Castañeda, C. Fine Pointing and Tracking Onboard System for CubeSat Optical Satcom. Int. J. Aeronaut. Space Sci. 2023, 24, 1452–1464. [Google Scholar] [CrossRef]
- Kappala, V.K.; Pradhan, J.; Turuk, A.K.; Silva, V.N.H.; Majhi, S.; Das, S.K. A Point-to-Multi-Point Tracking System for FSO Communication. IEEE Trans. Instrum. Meas. 2021, 70, 5504110. [Google Scholar] [CrossRef]
- Park, S.; Yeo, C.I.; Heo, Y.S.; Ryu, J.H.; Kang, H.S.; Lee, D.-S.; Jang, J.-H. Tracking Efficiency Improvement According to Incident Beam Size in QPD-Based PAT System for Common Path-Based Full-Duplex FSO Terminals. Sensors 2022, 22, 7770. [Google Scholar] [CrossRef] [PubMed]
- Quintana, C.; Wang, Q.; Jakonis, D.; Oberg, O.; Erry, G.; Platt, D.; Thueux, Y.; Faulkner, G.; Chun, H.; Gomez, A.; et al. A High Speed Retro-Reflective Free Space Optics Links with UAV. J. Light. Technol. 2021, 39, 5699–5705. [Google Scholar] [CrossRef]
- Moll, F.; Horwath, J.; Shrestha, A.; Brechtelsbauer, M.; Fuchs, C.; Navajas, L.A.M.; Souto, A.M.L.; Gonzalez, D.D. Demonstration of High-Rate Laser Communications From a Fast Airborne Platform. IEEE J. Sel. Areas Commun. 2015, 33, 1985–1995. [Google Scholar] [CrossRef]
- Chen, L.; Zhu, L.; Du, H.; Wang, X.; Shen, S.; Wang, Y.; Zhao, S.; Wang, X. Pointing Acquisition and Tracking System for Free Space Optical Communication Based on Integrated Optical Phased Array. IEEE Photonics J. 2025, 17, 4. [Google Scholar] [CrossRef]
- Milaševičius, M.; Mačiulis, L. A Review of Mechanical Fine-Pointing Actuators for Free-Space Optical Communication. Aerospace 2024, 11, 5. [Google Scholar] [CrossRef]
- Ferraro, M.S.; Clark, W.R.; Rabinovich, W.S.; Mahon, R.; Murphy, J.L.; Goetz, P.G.; Thomas, L.M.; Burris, H.R.; Moore, C.I.; Waters, W.D.; et al. InAlAs/InGaAs avalanche photodiode arrays for free space optical communication. Appl. Opt. 2015, 54, F182–F188. [Google Scholar] [CrossRef]
- Grillot, F.; Poletti, T.; Pes, S. Progress in mid-infrared optoelectronics for high-speed free-space data throughput. APL Photonics 2025, 10, 010905. [Google Scholar] [CrossRef]
- Sauvage, C.; Robert, C.; Sorrente, B.; Grillot, F.; Erasme, D. Study of short and mid-infrared telecom links performance for different climatic conditions. In Environmental Effects on Light Propagation and Adaptive Systems II; Proc. SPIE: Strasbourg, France, 2019; Volume 11153, p. 111530I. [Google Scholar] [CrossRef]
- Leitgeb, E.; Plank, T.; Awan, M.S. Analysis and evaluation of optimum wavelengths for free-space optical transceivers. In Proceedings of the 2010 12th International Conference on Transparent Optical Networks, Munich, Germany, 27 June–1 July 2010. [Google Scholar] [CrossRef]
- Mikołajczyk, J.; Weih, R.; Motyka, M. Optical Wireless Link Operated at the Wavelength of 4.0 µm with Commercially Available Interband Cascade Laser. Sensors 2021, 21, 4102. [Google Scholar] [CrossRef]
- Flannigan, L.; Yoell, L.; Xu, C. Mid-wave and long-wave infrared transmitters and detectors for optical satellite communications—A review. J. Opt. 2022, 24, 4. [Google Scholar] [CrossRef]
- Pawluczyk, J.; Piotrowski, J.; Pusz, W.; Kozniewski, A.; Orman, Z.; Gawron, W.; Piotrowski, A. Complex Behavior of Time Response of HgCdTe HOT Photodetectors. J. Electron. Mater. 2015, 44, 3163–3173. [Google Scholar] [CrossRef]
- Gawron, W.; Martyniuk, P.; Kębłowski, A.; Kolwas, K.; Stępień, D.; Piotrowski, J.; Madejczyk, P.; Pędzińska, M.; Rogalski, A. Recent progress in MOCVD growth for thermoelectrically cooled HgCdTe medium wavelength infrared photodetectors. Solid-State Electron. 2016, 118, 61–65. [Google Scholar] [CrossRef]
- Madejczyk, P.; Gawron, G.; Kębłowski, A.; Młynarczyk, K.; Stępień, D.; Martyniuk, P.; Rogalski, A.; Rutkowski, J.; Piotrowski, J. Higher Operating Temperature IR Detectors of the MOCVD Grown HgCdTe Heterostructures. J. Electron. Mater. 2020, 49, 6908–6917. [Google Scholar] [CrossRef]
- Ciura, Ł.; Kolek, A.; Gawron, W.; Kowalewski, A.; Stanaszek, D. Measurements of low frequency noise of infrared photodetectors with transimpedance detection system. Metrol. Meas. Syst. 2014, 21, 461–472. [Google Scholar] [CrossRef]
- Ciura, Ł.; Kolek, A.; Wrobel, J.; Gawron, W.; Rogalski, A. 1/f Noise in Mid-Wavelength Infrared Detectors with InAs/GaSb Superlattice Absorber. IEEE Trans. Electron Devices 2015, 62, 2022–2026. [Google Scholar] [CrossRef]
- Ciura, Ł.; Kolek, A.; Keblowski, A.; Stanaszek, D.; Piotrowski, A.; Gawron, W.; Piotrowski, J. Investigation of trap levels in HgCdTe IR detectors through low frequency noise spectroscopy. Semicond. Sci. Technol. 2016, 31, 035004. [Google Scholar] [CrossRef]
- Achtenberg, K.; Gawron, W.; Bielecki, Z. Low-frequency noise and impedance measurements in Auger suppressed LWIR N+p(π)P+n+ HgCdTe detector. Infrared Phys. Technol. 2024, 137, 105110. [Google Scholar] [CrossRef]
- Delga, A.; Leviandier, L. Free-space optical communications with quantum cascade lasers. In Quantum Sensing and Nano Electronics and Photonics XVI; Proc. SPIE: Bellingham, WA, USA, 2019; Volume 10926, p. 1092617. [Google Scholar] [CrossRef]
- Tabirian, A.M.; Stanley, D.P.; Roberts, D.E.; Thompson, A.B. Atmospheric propagation of novel MWIR laser output for emerging free-space applications. In Atmospheric Propagation V; Proc. SPIE: Bellingham, WA, USA, 2008; Volume 6951, p. 69510T. [Google Scholar] [CrossRef]
- Rahm, M.; Kullander, F.; Björck, M.; Sjöqvist, L. Turbulence and transmission effects on laser beam propagation in the SWIR and LWIR bands. In Environmental Effects on Light Propagation and Adaptive Systems VI; Proc. SPIE: Bellingham, WA, USA, 2023; Volume 12731, p. 127310G. [Google Scholar] [CrossRef]
- Trichili, A.; Cox, M.A.; Ooi, B.S.; Alouini, M.-S. Roadmap to free space optics. J. Opt. Soc. Am. B 2020, 37, A184–A201. [Google Scholar] [CrossRef]
- Mikołajczyk, J. A Comparison Study of Data Link with Medium-Wavelength Infrared Pulsed and CW Quantum Cascade Lasers. Photonics 2021, 8, 203. [Google Scholar] [CrossRef]
- Manor, H.; Arnon, S. Performance of an optical wireless communication system as a function of wavelength. In Proceedings of the 22nd Convention on Electrical and Electronics Engineers in Israel, Tel-Aviv, Israel, 1 December 2002. [Google Scholar] [CrossRef]
















| Parameter | L-PSD Detector | QD Detector |
|---|---|---|
| Signal | Continuous | Discrete |
| Resolution | High | Lower |
| Dynamic range | High | Limited |
| Speed | High (real-time) | High (real-time) |
| Signal processing | Advanced | Simple |
| Acuracy | High | Lower |
| Costs | High | Lower |
| Application | High precision tracking, triangulation | Laser pointing, coarse tracking alignment |
| Model | Wavelength Range | Size | Responsivity | Bandwidth (kHz) | Company |
|---|---|---|---|---|---|
| PDP90A L-PSD | 320–1100 nm | 9 × 9 mm | 0.6 A/W at 960 nm | 15 | Thorlabs (Newton, NJ, USA) |
| PDQ80A QD | 400–1050 nm | Ø 7.8 mm | 0.64 A/W @ 900 nm | 150 | Thorlabs (Newton, NJ, USA) |
| S4349 QD | 190–1000 | Ø 3 mm | 0.45 A/W, 720 nm | 20 × 103 | Hamamatsu (Hamamatsu City, Japan) |
| DL2 DL-PSD | 400–1100 | 4 mm2 | 0.4 A/W, 670nm | 14 × 103 | OSI Optoelectronics (Hawthorne, CA, USA) |
| J16PS-P6-S10M-HS L-PSD | 800–1800 | Ø 5 mm | 0.6 A/W | Min. 10 | Judson (Montgomeryville, PA, USA) |
| C30927EH-01 Si APD | 400–1100 | 1.55 mm2 | 62 A/W, 900 nm | 116 × 103 | Excelitas Technologies Corp. (Pittsburgh, PA, USA) |
| QM-5 QD | 3500–6000 | 4 × 0.2 × 0.2 mm | 170 kV/W | Min. 1 × 103 | Vigo Photonics Catalogue (Ozarów Maz. Poland) |
| QM-4 QIP | 3000–4500 | 4 × 0.1 × 0.1 mm | 27 kV/W | 110 × 103 | Vigo Photonics * (Ozarów Maz. Poland) |
| No. | Type of Detector | Wavelength (nm) | Parameter | Speed (kHz) | Refs. |
|---|---|---|---|---|---|
| 1. | QD InGaAs PIN G6849 | 1550 | Output voltage noise 167 μV | 1 × 103 | [17] |
| 2. | QD InGaAs Q 3000 | 1550 | Max. position < 0.001 mm | 14.5 × 103 | [18] |
| 3. | L-PSD DL100-7 PCBA | 633 | Gimbal σΘ = 34.91 μrad | 257 | [19] |
| 4. | QD Si | 976 | x | - | [20] |
| 5. | InGaAs Detector Array | 1550 | Tracking accuracies σX = 11 μm, σY = 8 μm | 0.1 | [21] |
| 6. | QD Si QP50-6 | 520 | Tracking speed 2.11 m/s Position error < 4.59 mm (RMS) at a distance of 7.5 m | 8.75 × 103 | [22,23] |
| 7 | IR camera 1920 × 1200 | 940 | Horizontal mobility of 5°/s FOV = 5° | 0.163 | [24] |
| 8 | QD | 1310/1550 | Pointing error ± 0.05 deg | 0.1 | [25] |
| 9 | CCD | 532 | Pointing accuracy of 0.5 deg | 1.2 × 10−3 | [26] |
| 10 | QD Si | 976 | Tracking accuracies < 6 μm and 9 μm | 4 | [20] |
| 11 | Si phototransistor cluster | 635 | x | 5.7 × 103 | [27] |
| 12 | QD | 1590/1530 | x | 5.7 × 103 | [28] |
| 13 | InGaAs camera (Bobcat 640) PDQ30C (Thorlabs) | 1561 | Tracking errors < 8 cm (RMS) at a range of 1.2 km | 0.6 | [29] |
| 14 | Tracking camera | 1550 | Tracking accuracy < 20 μrad (RMS) for the airborne terminal Tracking errors < 60 and 40 μrad for the ground station | x | [30] |
| 15 | QM-4 QIP (Vigo Photonics) | 4050 | Transfer coefficient 320 mV/mrad | 110 × 103 | [*] |
| Type | Composition, x | Thickness, d (μm) |
|---|---|---|
| CdTe | 1 | 3 |
| N+ | 0.4 | 10 |
| N | 0.328 | 0.32 |
| n | 0.317 | 0.8 |
| p | 0.312 | 0.8 |
| P | 0.375 | 0.78 |
| P+ | 0.464 | 1.68 |
| n+ | 0.154 | 1.9 |
Disclaimer/Publisher’s Note: The statements, opinions and data contained in all publications are solely those of the individual author(s) and contributor(s) and not of MDPI and/or the editor(s). MDPI and/or the editor(s) disclaim responsibility for any injury to people or property resulting from any ideas, methods, instructions or products referred to in the content. |
© 2025 by the authors. Licensee MDPI, Basel, Switzerland. This article is an open access article distributed under the terms and conditions of the Creative Commons Attribution (CC BY) license (https://creativecommons.org/licenses/by/4.0/).
Share and Cite
Mikolajczyk, J.; Gawron, W.; Szabra, D.; Prokopiuk, A.; Bielecki, Z. Advanced Beam Detection for Free-Space Optics Operating in the Mid-Infrared Spectra. Sensors 2025, 25, 6112. https://doi.org/10.3390/s25196112
Mikolajczyk J, Gawron W, Szabra D, Prokopiuk A, Bielecki Z. Advanced Beam Detection for Free-Space Optics Operating in the Mid-Infrared Spectra. Sensors. 2025; 25(19):6112. https://doi.org/10.3390/s25196112
Chicago/Turabian StyleMikolajczyk, Janusz, Waldemar Gawron, Dariusz Szabra, Artur Prokopiuk, and Zbigniew Bielecki. 2025. "Advanced Beam Detection for Free-Space Optics Operating in the Mid-Infrared Spectra" Sensors 25, no. 19: 6112. https://doi.org/10.3390/s25196112
APA StyleMikolajczyk, J., Gawron, W., Szabra, D., Prokopiuk, A., & Bielecki, Z. (2025). Advanced Beam Detection for Free-Space Optics Operating in the Mid-Infrared Spectra. Sensors, 25(19), 6112. https://doi.org/10.3390/s25196112

