DrSVision: A Machine Learning Tool for Cortical Region-Specific fNIRS Calibration Based on Cadaveric Head MRI
Abstract
1. Introduction
2. Materials and Methods
2.1. Magnetic Resonance Imaging
2.2. Simulations
2.3. Post-Processing
2.4. Machine Learning Predictions and DrSVision Software
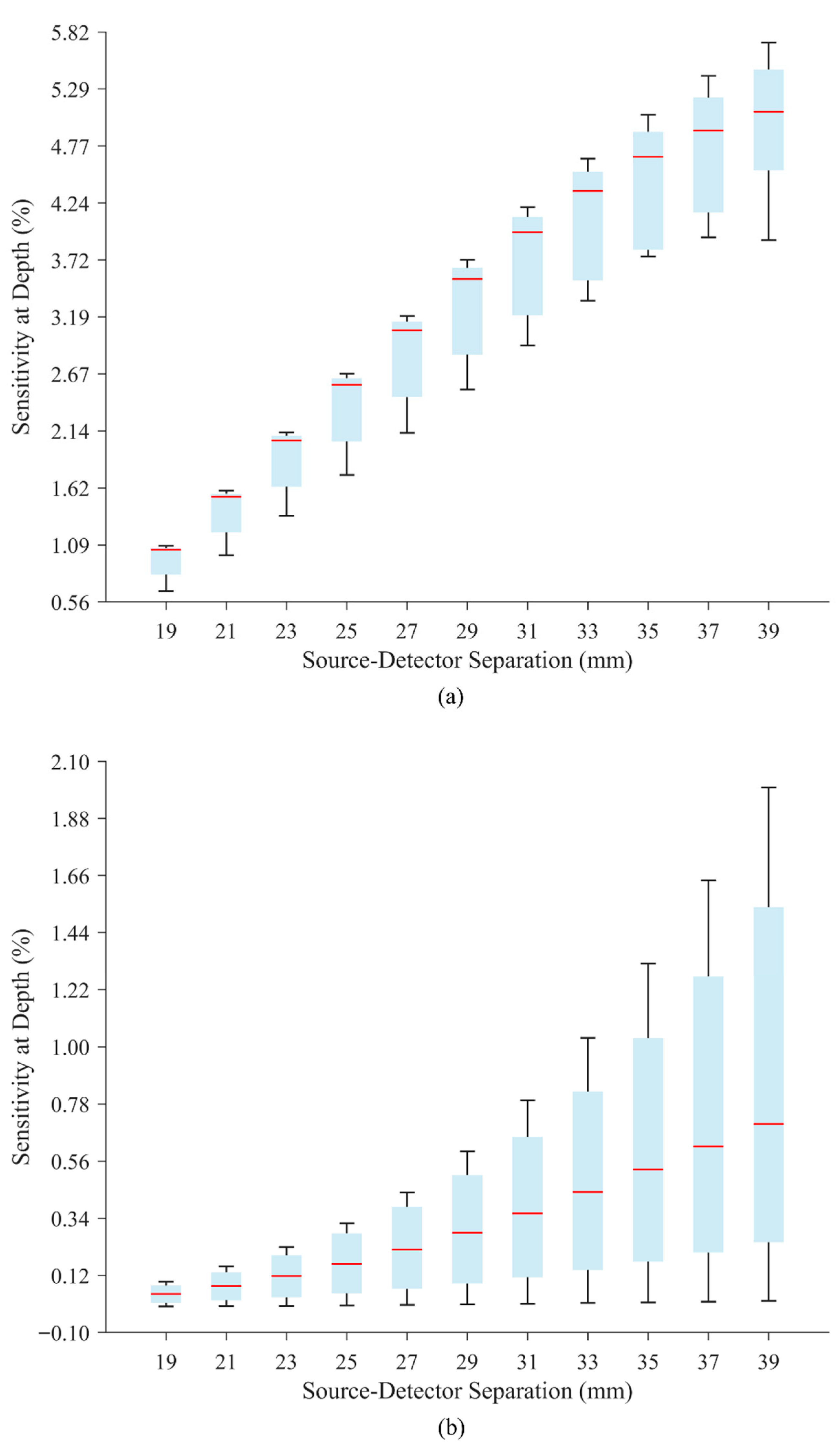
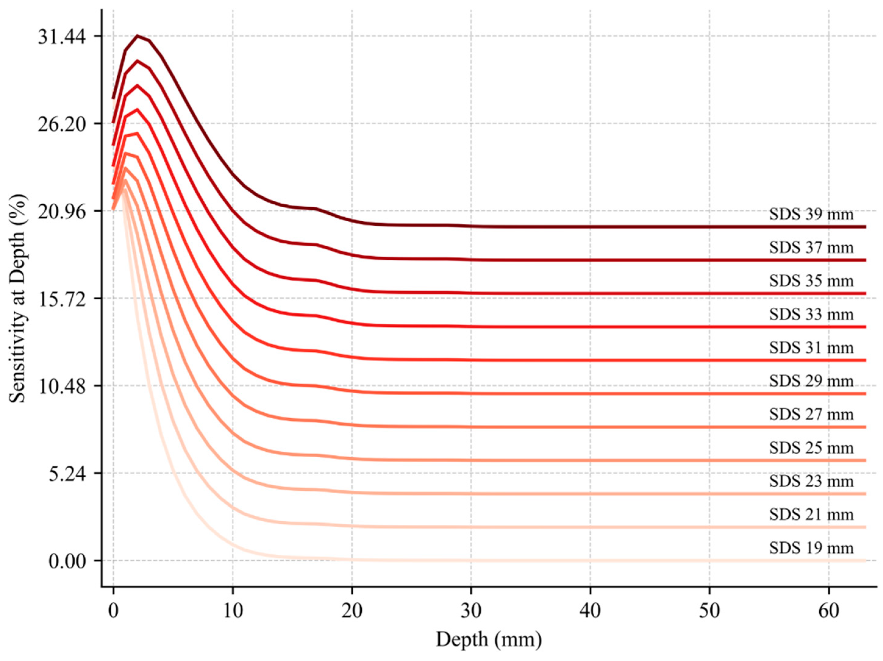
3. Results
4. Discussion
5. Conclusions
Supplementary Materials
Author Contributions
Funding
Institutional Review Board Statement
Informed Consent Statement
Data Availability Statement
Conflicts of Interest
References
- Quaresima, V.; Ferrari, M. Functional Near-Infrared Spectroscopy (fNIRS) for Assessing Cerebral Cortex Function During Human Behavior in Natural/Social Situations: A Concise Review. Organ. Res. Methods 2016, 22, 4382656. [Google Scholar] [CrossRef]
- Chance, B.; Cohen, P.; Jobsis, F.; Schoener, B. Intracellular Oxidation-Reduction States In Vivo: The Microfluorometry of Pyridine Nucleotide Gives a Continuous Measurement of the Oxidation State. Science 1962, 137, 499–508. [Google Scholar] [CrossRef]
- Skau, S.; Helenius, O.; Sundberg, K.; Bunketorp-Kall, L.; Kuhn, H.G. Proactive Cognitive Control, Mathematical Cognition and Functional Activity in The Frontal and Parietal Cortex in Primary School Children: An fNIRS Study. Trends Neurosci. Educ. 2022, 28, 100180. [Google Scholar] [CrossRef]
- Tak, S.; Ye, J.C. Statistical Analysis of fNIRS Data: A Comprehensive Review. Neuroimage 2014, 85, 72–91. [Google Scholar] [CrossRef]
- Gallagher, A.; Wallois, F.; Obrig, H. Functional Near-Infrared Spectroscopy in Pediatric Clinical Research: Different Pathophysiologies and Promising Clinical Applications. Neurophotonics 2023, 10, 023517. [Google Scholar] [CrossRef]
- Ozturk, C.; Ucrak, F.; Izzetoglu, K.; Polat, M.D.; Gur, U.; Sahin, T.; Yoner, S.I.; Inan, N.G.; Aksoy, M.E. The Impact of Minimally Invasive Surgical Modality and Task Complexity on Cognitive Workload: An fNIRS Study. Brain Sci. 2025, 15, 387. [Google Scholar] [CrossRef]
- Shewokis, P.A.; Aksoy, M.E.; Izzetoglu, K.; Utkan, N.Z.; Agrali, A.; Yoner, S.I.; Bishop, A. Comparing Behavioral and Neural Activity Changes During Laparoscopic and Robotic Surgery Trainings. J. Surg. Educ. 2025, 82, 103486. [Google Scholar] [CrossRef]
- Polat, M.D.; Izzetoglu, K.; Aksoy, M.E.; Kitapcioglu, D.; Usseli, T.; Yoner, S.I. Cognitive Load Quantified via Functional Near Infrared Spectroscopy During Immersive Training with VR Based Basic Life Support Learning Modules in Hostile Environment. In Proceedings of the 25th International Conference on Human-Computer Interaction, Copenhagen, Denmark, 23–28 July 2023. [Google Scholar]
- Cai, L.; Nitta, T.; Yokota, S.; Obata, T.; Okada, E.; Kawaguchi, H. Targeting Brain Regions of Interest in Functional Near-Infrared Spectroscopy Scalp-Cortex Correlation Using Subject-Specific Light Propagation Models. Hum. Brain Mapp. 2021, 42, 1969–1986. [Google Scholar] [CrossRef] [PubMed]
- Wijeakumar, S.; Spencer, J.P.; Bohache, K.; Boas, D.A.; Magnotta, V.A. Validating a New Methodology for Optical Probe Design and Image Registration in fNIRS Studies. NeuroImage 2015, 106, 86–100. [Google Scholar] [CrossRef] [PubMed]
- Morais, G.A.Z.; Balardin, J.B.; Sato, J.R. fNIRS Optodes’ Location Decider (FOLD): A Toolbox for Probe Arrangement Guided by Brain Regions-of-Interest. Sci. Rep. 2018, 8, 3341. [Google Scholar]
- Wu, S.; Silva, J.A.I.R.; Novi, S.L.; de Souza, N.G.S.R.; Forero, E.J.; Mesquita, R.C. Accurate Image-Guided (Re)Placement of NIRS Probes. Comput. Methods Programs Biomed. 2021, 200, 105844. [Google Scholar] [CrossRef]
- Klien, F. Optimizing Spatial Specificity and Signal Quality in fNIRS: An Overview of Potential Challenges and Possible Options for Improving The Reliability of Real-Time Applications. Front. Neuroergon. 2024, 5, 1286586. [Google Scholar] [CrossRef] [PubMed]
- Fang, Q.; Boas, D.A. Monte Carlo Simulation of Photon Migration in 3D Turbid Media Accelerated by Graphics Processing Units. Opt. Express 2009, 17, 20178–20190. [Google Scholar] [CrossRef] [PubMed]
- Waks, E. Advancing fNIRS Neuroimaging Through Synthetic Data Generation and Machine Learning Applications. arXiv 2024, arXiv:2405.11242. [Google Scholar] [CrossRef]
- Krasnikov, I.; Seteikin, A.; Roth, B. Advances in The Simulation of Light-Tissue Interactions in Biomedical Engineering. Biomed. Eng. Lett. 2019, 9, 327–337. [Google Scholar] [CrossRef]
- Zhang, J. Modern Monte Carlo Methods for Efficient Uncertainty Quantification and Propagation: A Survey. arXiv 2020, arXiv:2011.00680v1. [Google Scholar] [CrossRef]
- Giles, M.B. Multilevel Monte Carlo Methods. Acta Numer. 2015, 24, 259–328. [Google Scholar] [CrossRef]
- Miao, G.Q.; Lieberman, I.J.; Binnquist, A.L.; Pluta, A.; Goldstein, B.M.; Dale, R.; Lieberman, M.D. Making New Connections: An fNIRS Machine Learning Classification Study of Neural Synchrony in The Default Mode Network. bioRxiv 2025. [Google Scholar] [CrossRef]
- von Luhmann, A.; Ortega-Martinez, A.; Boas, D.A.; Yucel, M.A. Using The General Linear Model to Improve Performance in fNIRS Single Trial Analysis and Classification: A Perspective. Front. Hum. Neurosci. 2020, 14, 30. [Google Scholar] [CrossRef] [PubMed]
- Benerradi, J.; Clos, J.; Landowska, A.; Valstar, M.F.; Wilson, M.L. Benchmarking Framework for Machine Learning Classification from fNIRS Data. Front. Neuroergon. 2023, 4, 994969. [Google Scholar] [CrossRef]
- Damjanovic, I.G.; Damjanovic, M.M.; Donaldson, E.; Bale, L.S.W. Embalming Cadaveric Upper Limbs After Freezing and Thawing: A Novel Technique for Maximizing Body Donor Usage Through Fresh Frozen and Formalin-Fixed Preservation. Eur. J. Anat. 2024, 28, 215–226. [Google Scholar] [CrossRef]
- Haeussinger, F.B.; Heinzel, S.; Hahn, T.; Schecklmann, M.; Ehlis, A.-C.; Fallgatter, A.J. Simulation of Near-Infrared Light Absorption Considering Individual Head and Prefrontal Cortex Anatomy: Implications for Optical Neuroimaging. PLoS ONE 2011, 6, e26377. [Google Scholar] [CrossRef]
- Moradi, M.; Chen, Y. Monte Carlo Simulation of Diffuse Optical Spectroscopy for 3D Modeling of Dental Tissues. Sensors 2023, 23, 5118. [Google Scholar] [CrossRef] [PubMed]
- Bürmen, M.; Pernuš, F.; Naglic, P. MCDataset: A Public Reference Dataset of Monte Carlo Simulated Quantities for Multilayered and Voxelated Tissues Computed by Massively Parallel PyXOpto Python Package. J. Biomed. Opt. 2022, 27, 083012. [Google Scholar] [CrossRef]
- Mathworks Inc. Matlab®, R2022a 9.12.0; Mathworks Inc.: Natick, MA, USA, 2022. [Google Scholar]
- Das, S.R.; Avants, B.B.; Pluta, J.; Wang, H.; Suh, J.W.; Weiner, M.W.; Mueller, S.G.; Yushkevich, P.A. Measuring Longitudinal Change in the Hippocampal Formation from in Vivo High-Resolution T2-Weighted MRI. Neuroimage 2012, 60, 1266–1279. [Google Scholar] [CrossRef] [PubMed]
- Tong, Y.; Chen, Q.; Nichols, T.E.; Rasetti, R.; Callicott, J.H.; Berman, K.F.; Weinberger, D.R.; Mattay, V.S. Seeking Optimal Region-of-Interest (ROI) Single-Value Summary Measures for fMRI Studies in Imaging Genetics. PLoS ONE 2016, 11, e0151391. [Google Scholar] [CrossRef] [PubMed]
- Awad, M.; Khanna, R. Efficient Learning Machines: Theories, Concepts, and Applications for Engineers and System Designers; Apress: New York, NY, USA, 2015. [Google Scholar]
- Rasmussen, C.E.; Williams, C.K.I. Gaussian Processes for Machine Learning; MIT Press: Cambridge, MA, USA, 2006. [Google Scholar]
- Lu, H.; Li, J.; Zhang, L.; Chan, S.S.M.; Lam, L.C.W. Dynamic Changes of Region-Specific Cortical Features and Scalp-to-Cortex Distance: Implications for Transcranial Current Stimulation Modeling. J. Neuroeng. Rehabil. 2021, 18, 2. [Google Scholar] [CrossRef]
- Strangman, G.E.; Li, Z.; Zhang, Q. Depth Sensitivity and Source-Detector Separations for Near Infrared Spectroscopy Based on the Colin27 Brain Template. PLoS ONE 2013, 8, e66319. [Google Scholar] [CrossRef]
- Okada, E.; Firbank, M.; Schweiger, M.; Arridge, S.R.; Cope, M.; Delpy, D.T. Theoretical and Experimental Investigation of Near-Infrared Light Propagation in a Model of The Adult Head. Appl. Opt. 1997, 36, 21–31. [Google Scholar] [CrossRef]
- Okada, E.; Delpy, D.T. Near-Infrared Light Propagation in an Adult Head Model. II. Effect of Superficial Tissue Thickness on The Sensitivity of The Near-Infrared Spectroscopy Signal. Appl. Opt. 2003, 42, 2915–2921. [Google Scholar] [CrossRef]
- Mignucci-Jiménez, G.; Xu, Y.; On, T.J.; Abramov, I.; Houlihan, L.M.; Rahmani, R.; Koskay, G.; Hanalioglu, S.; Meybodi, A.T.; Lawton, M.T.; et al. Toward an Optimal Cadaveric Brain Model for Neurosurgical Education: Assessment of Preservation, Parenchyma, Vascular Injection, and Imaging. Neurosurg. Rev. 2024, 47, 190. [Google Scholar] [CrossRef]
- Larco, J.L.A.; Madhani, S.I.; Liu, Y.; Abbasi, M.; Shahid, A.H.; Mereuta, O.M.; Kadirvel, R.; Cloft, H.J.; Kallmes, D.F.; Brinjikji, W.; et al. Human “Live Cadaver” Neurovascular Model for Proximal and Distal Mechanical Thrombectomy in Stroke. J. Neurointerv. Surg. 2023, 15, 465. [Google Scholar] [CrossRef]
- Krause, W. Contrast Agents I: Magnetic Resonance Imaging; Springer: Berlin/Heidelberg, Germany, 2002. [Google Scholar]
- Zaitsev, M.; Maclaren, J.; Herbst, M. Motion Artefacts in MRI: A Complex Problem with Many Partial Solutions. J. Magn. Reson. Imaging 2015, 42, 887–901. [Google Scholar] [CrossRef] [PubMed]
- Rivera-Rivera, L.A.; Vikner, T.; Tang, C.; Eisenmenger, L.B.; Johnson, S.C.; Johnson, K.M. Simultaneous and Synchronous Characterization of Blood and CSF Flow Dynamics Using Multiple Venc PC MRI. Imaging Neurosci. 2025, 3, imag_a_00521. [Google Scholar] [CrossRef]
- Zhang, C.; Ma, Y. Ensemble Machine Learning: Methods and Applications; Springer: Berlin/Heidelberg, Germany, 2012. [Google Scholar]
- Scholkmann, F. General Equation for The Differential Pathlength Factor of The Frontal Human Head Depending on Wavelength and Age. Biomed. Opt. 2013, 18, 105004. [Google Scholar] [CrossRef]
- Scholkmann, F.; Kleiser, S.; Metz, A.J.; Zimmermann, R.; Pavia, J.M.; Wolf, U.; Wolf, M. A Review on Continuous Wave Functional Near-Infrared Spectroscopy and Imaging Instrumentation and Methodology. Neuroimage 2014, 85, 6–27. [Google Scholar] [CrossRef]
- Sudor, H.C.; Yoner, S.I.; Izzetoglu, K.; Polat, M.D.; Aksoy, E. Using Fixed Probe Geometries with OBI Systems During Measurements from Subjects with Different Forehead Angulations. In Proceedings of the 11th International Conference on Biomedical Engineering and Systems (ICBES 2024), Barcelona, Spain, 19–21 August 2024. [Google Scholar]
- Couch, L.; Roskosky, M.; Freedman, B.A.; Shuler, M.S. Effect of Skin Pigmentation on Near Infrared Spectroscopy. Am. J. Anal. Chem. 2015, 6, 911–916. [Google Scholar] [CrossRef]
- Gomez, C.A.; Roblyer, D. Effects of Skin Tone and Adipose Thickness on Frequency Domain Near-Infrared Spectroscopy and Diffuse Correlation Spectroscopy. Biophotonics Discov. 2025, 2, 012503. [Google Scholar] [CrossRef]
- D’Ardenne, K.; Eshel, N.; Luka, J.; Lenartowicz, A.; Nystrom, L.E.; Cohen, J.D. Role of Prefrontal Cortex and The Midbrain Dopamine System in Working Memory Updating. Neuroscience 2012, 109, 19900–19909. [Google Scholar] [CrossRef]
- Suzuki, Y.; Tanaka, S.C. Functions of The Ventromedial Prefrontal Cortex in Emotion Regulation Under Stress. Sci. Rep. 2021, 11, 18225. [Google Scholar] [CrossRef] [PubMed]
- Martinez, D.L.; Canessa, N.; Brusoni, S.; Zollo, M.; Hare, T.; Alemanno, F.; Cappa, S.F. Frontopolar Cortex and Decision-Making Efficiency: Comparing Brain Activity of Experts with Different Professional Background During an Exploration-Exploitation Task. Hum. Neurosci. 2014, 7, 927. [Google Scholar] [CrossRef]
- Fuster, J.M. The Prefrontal Cortex, 5th ed.; Academic Press: Cambridge, MA, USA, 2015. [Google Scholar]
- Baker, J.M.; Bruno, J.L.; Gundran, A.; Hosseini, S.M.H.; Reiss, A.L. fNIRS Measurement of Cortical Activation and Functional Connectivity During a Visuospatial Working Memory Task. PLoS ONE 2018, 13, e0203233. [Google Scholar] [CrossRef]
- Bonilauri, A.; Intra, F.S.; Baglio, F.; Baselli, G. Impact of Anatomical Variability on Sensitivity Profile in fNIRS–MRI Integration. Sensors 2023, 23, 2089. [Google Scholar] [CrossRef]
- Sudakou, A.; Wabnitz, H.; Yang, L.; Contini, D.; Spinelli, L.; Torricelli, A.; Liebert, A. Depth Selectivity in Time-Domain fNIRS by Analyzing Moments and Time Windows. In Optical Tomography and Spectroscopy of Tissue XIV; SPIE: Bellingham, WA, USA, 2021; Volume 11639, pp. 103–109. [Google Scholar]
- Mansouri, C.; L’Huillier, J.P.; Kashou, N.H.; Humeau, A. Depth Sensitivity Analysis of Functional Near-Infrared Spectroscopy Measurement Using Three-Dimensional Monte Carlo Modelling-Based Magnetic Resonance Imaging. Lasers Med. Sci. 2010, 25, 431–438. [Google Scholar] [CrossRef]
- Abdalmalak, A.; Milej, D.; Norton, L.; Debicki, D.B.; Owen, A.M.; Lawrence, K.S. The Potential Role of fNIRS in Evaluating Levels of Consciousness. Front. Hum. Neurosci. 2021, 15, 703405. [Google Scholar] [CrossRef]
- Yoner, S.I.; Ertas, G. A Performance Indicator for Optimizing Source–Detector Separation in Functional Near-Infrared Spectroscopy. Int. J. Imaging Syst. Technol. 2025, 35, e70113. [Google Scholar] [CrossRef]
- Tran, A.P.; Yan, S.; Fang, Q. Improving Model-Based fNIRS Analysis Using Mesh-Based Anatomical and Light-Transport Models. Neurophotonics 2020, 7, 015008. [Google Scholar] [CrossRef] [PubMed]
- Liebert, A.; Wabnitz, H.; Elster, C. Determination of Absorption Changes from Moments of Distributions of Times of Flight of Photons: Optimization of Measurement Conditions for a Two-Layered Tissue Model. J. Biomed. Opt. 2012, 17, 057005. [Google Scholar] [CrossRef] [PubMed]
- Liu, N.; Yucel, M.A.; Tong, Y.; Minagawa, Y.; Tian, F.; Li, X. fNIRS in Neuroscience and Its Emerging Applications; Frontiers: Lausanne, Switzerland, 2022. [Google Scholar]
- Sheller, M.J.; Edwards, B.; Reina, G.A.; Martin, J.; Pati, S.; Kotrotsou, A.; Milchenko, M.; Xu, W.; Marcus, D.; Colen, R.R.; et al. Federated Learning in Medicine: Facilitating Multi-Institutional Collaborations without Sharing Patient Data. Sci. Rep. 2020, 10, 12598. [Google Scholar] [CrossRef]
- Li, X.; Gu, Y.; Dvornek, N.; Staib, L.H.; Ventola, P.; Duncan, J.S. Multi-Site fMRI Analysis Using Privacy-Preserving Federated Learning and Domain Adaptation: ABIDE Results. Med. Image Anal. 2020, 65, 101765. [Google Scholar] [CrossRef]







| Layers | (mm−1) | (mm−1) | ||
|---|---|---|---|---|
| Void | 0 | 0 | 0 | 1 |
| Scalp-Muscle | 0.016 | 19 | 0.9 | 1.6 |
| Cranium | 0.018 | 16 | 0.9 | 1.56 |
| CSF | 0.004 | 0.3 | 0 | 1.33 |
| Brain | 0.09 | 21.5 | 0.9 | 1.4 |
| Cadaveric Head | Layers | |||
|---|---|---|---|---|
| Scalp-Muscle (mm) | Cranium (mm) | CSF (mm) | Brain (mm) | |
| #1 | 8 | 6.8 | 5.55 | 43.65 |
| #2 | 6.1 | 8.1 | 6.05 | 43.75 |
| #3 | 5.2 | 8 | 16.1 | 34.7 |
| #4 | 4.4 | 6.9 | 6.53 | 46.17 |
| #5 | 4.4 | 8.5 | 0.68 | 50.42 |
| #6 | 4 | 7 | 7.13 | 45.87 |
| #7 | 6 | 7.8 | 4.68 | 45.52 |
| #8 | 7 | 9.4 | 0.6 | 47 |
| Mean ± Std | 5.64 ± 1.4 | 7.81 ± 0.9 | 5.92 ± 4.82 | 44.64 ± 4.54 |
| Source-Detector Separation (mm) | Cadaveric Heads | |||||||
|---|---|---|---|---|---|---|---|---|
| #1 | #2 | #3 | #4 | #5 | #6 | #7 | #8 | |
| 19 | 35,656 | 34,047 | 26,219 | 29,101 | 48,926 | 29,295 | 37,293 | 44,634 |
| 21 | 24,309 | 23,589 | 16,888 | 20,607 | 35,238 | 20,766 | 26,296 | 31,196 |
| 23 | 17,497 | 16,588 | 11,191 | 15,062 | 25,890 | 15,134 | 19,134 | 22,562 |
| 25 | 12,577 | 11,980 | 7715 | 11,769 | 19,333 | 11,989 | 14,196 | 16,536 |
| 27 | 9289 | 9168 | 5501 | 9301 | 14,530 | 9440 | 10,691 | 12,438 |
| 29 | 7246 | 6916 | 4131 | 7720 | 10,986 | 7821 | 8326 | 8865 |
| 31 | 5457 | 5639 | 3069 | 6495 | 8471 | 6544 | 6620 | 6761 |
| 33 | 4424 | 4454 | 2437 | 5553 | 6394 | 5504 | 5374 | 5153 |
| 35 | 3434 | 3643 | 1940 | 4728 | 4878 | 4632 | 4312 | 3737 |
| 37 | 2870 | 2975 | 1670 | 3879 | 3757 | 3986 | 3428 | 2929 |
| 39 | 2348 | 2441 | 1408 | 3387 | 2891 | 3420 | 2933 | 2115 |
| Depth (mm) | Source-Detector Separation (mm) | Sensitivity at Depth (%) |
|---|---|---|
| 14.8 | - | 6 |
| - | 5 | |
| - | 4 | |
| 37.5 | 3 | |
| 32.5 | 2 | |
| 25.6 | 1 |
Disclaimer/Publisher’s Note: The statements, opinions and data contained in all publications are solely those of the individual author(s) and contributor(s) and not of MDPI and/or the editor(s). MDPI and/or the editor(s) disclaim responsibility for any injury to people or property resulting from any ideas, methods, instructions or products referred to in the content. |
© 2025 by the authors. Licensee MDPI, Basel, Switzerland. This article is an open access article distributed under the terms and conditions of the Creative Commons Attribution (CC BY) license (https://creativecommons.org/licenses/by/4.0/).
Share and Cite
Yöner, S.I.; Aksoy, M.E.; Südor, H.C.; İzzetoğlu, K.; Bozkurt, B.; Dinçer, A. DrSVision: A Machine Learning Tool for Cortical Region-Specific fNIRS Calibration Based on Cadaveric Head MRI. Sensors 2025, 25, 6340. https://doi.org/10.3390/s25206340
Yöner SI, Aksoy ME, Südor HC, İzzetoğlu K, Bozkurt B, Dinçer A. DrSVision: A Machine Learning Tool for Cortical Region-Specific fNIRS Calibration Based on Cadaveric Head MRI. Sensors. 2025; 25(20):6340. https://doi.org/10.3390/s25206340
Chicago/Turabian StyleYöner, Serhat Ilgaz, Mehmet Emin Aksoy, Hayrettin Can Südor, Kurtuluş İzzetoğlu, Baran Bozkurt, and Alp Dinçer. 2025. "DrSVision: A Machine Learning Tool for Cortical Region-Specific fNIRS Calibration Based on Cadaveric Head MRI" Sensors 25, no. 20: 6340. https://doi.org/10.3390/s25206340
APA StyleYöner, S. I., Aksoy, M. E., Südor, H. C., İzzetoğlu, K., Bozkurt, B., & Dinçer, A. (2025). DrSVision: A Machine Learning Tool for Cortical Region-Specific fNIRS Calibration Based on Cadaveric Head MRI. Sensors, 25(20), 6340. https://doi.org/10.3390/s25206340

