On the Performance of Energy Harvesting Dual-Hop Free-Space Optical Communication Systems with Secrecy Analysis
Abstract
1. Introduction
- We derive the probability distribution function (PDF) and the cumulative distribution function (CDF) expressions of the end-to-end (e2e) instantaneous signal-to-noise ratio (SNR) for the proposed SLIPT-based DH FSO communication system.
- By utilizing the derived CDF and PDF expressions, we obtain the OP, ergodic capacity, average BER, and throughput expressions of the proposed communication system.
- To analyze the physical layer security of the communication system, SOP and SPSC expressions are also presented.
- Finally, Monte Carlo simulations are carried out to validate the derived analytical expressions and to analyze different system parameters of the proposed communication system.
2. System and Channel Models
2.1. Channel Model
2.2. Energy Harvesting at the Relay
2.3. Instantaneous SNR Characterization
3. Performance Analysis
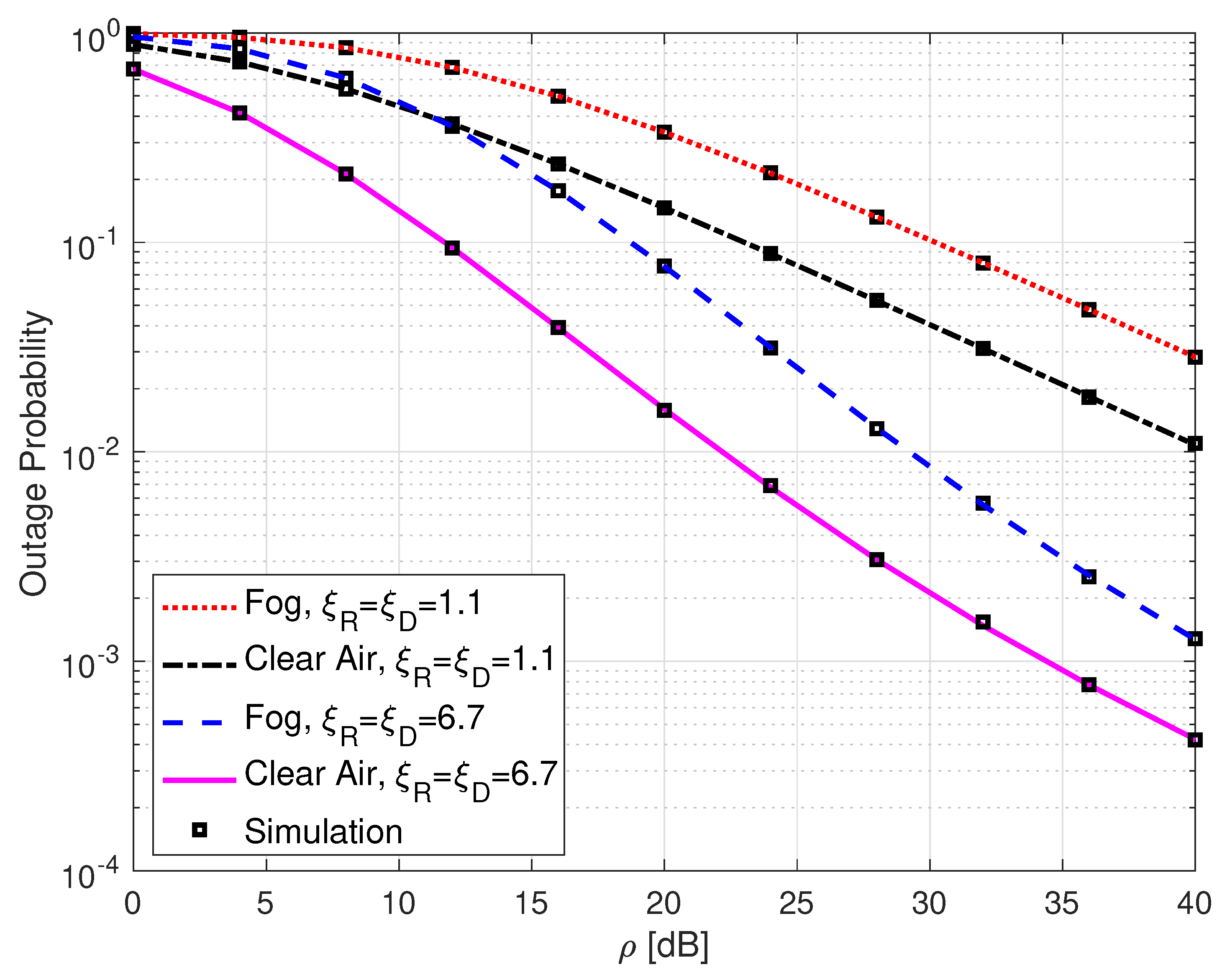
3.1. Outage Probability
3.2. Ergodic Capacity
3.3. Average Bit Error Rate
3.4. Throughput
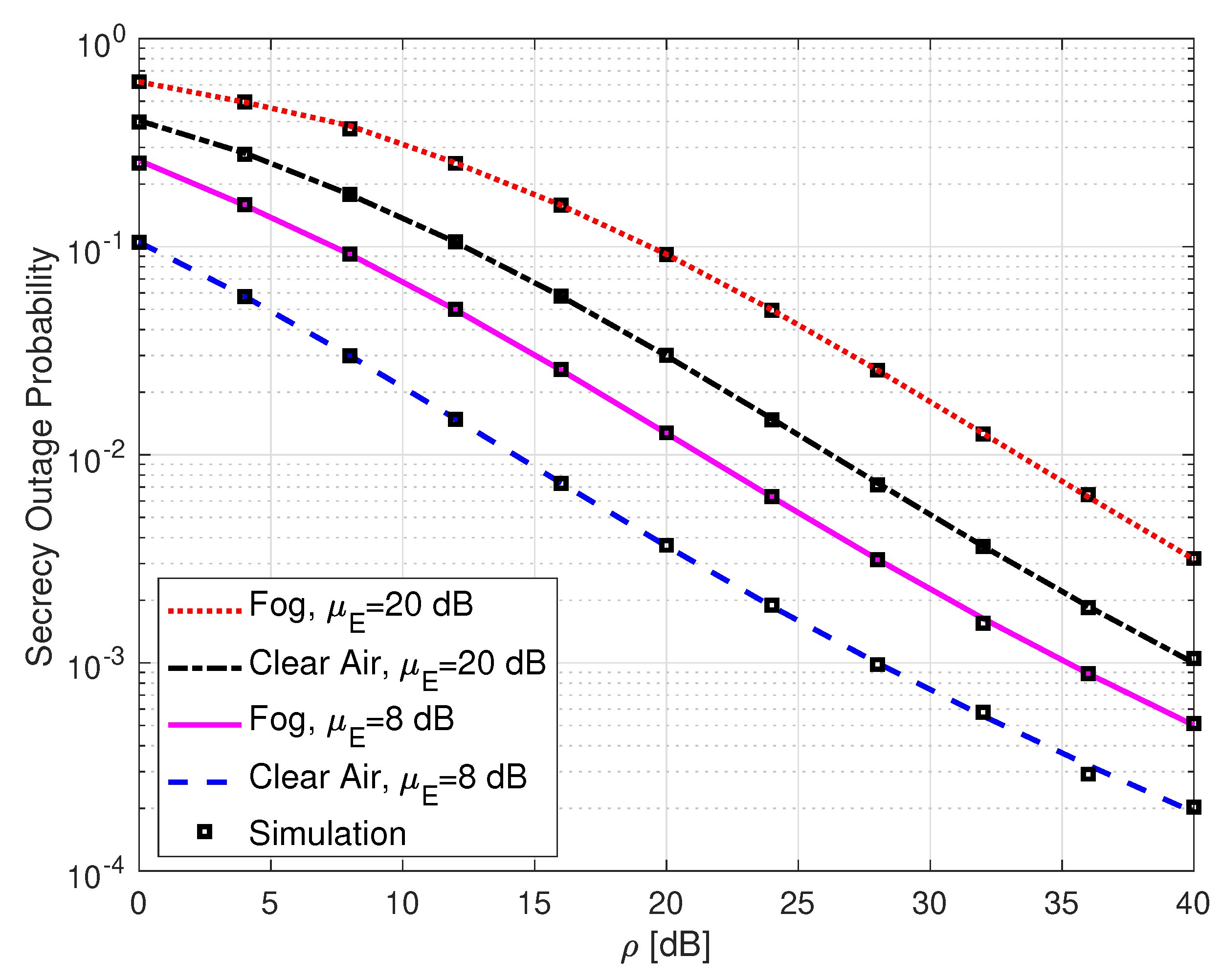
3.5. Secrecy Outage Probability
3.6. Strictly Positive Secrecy Capacity
4. Simulation Results
5. Conclusions
Author Contributions
Funding
Institutional Review Board Statement
Informed Consent Statement
Data Availability Statement
Acknowledgments
Conflicts of Interest
Abbreviations
| AC | Alternating current |
| AF | Amplify-and-forward |
| ASC | Average secrecy capacity |
| AWGN | Additive white Gaussian noise |
| BER | Bit error rate |
| CDF | Cumulative distribution function |
| DC | Direct current |
| DF | Decode-and-forward |
| DH | Dual-hop |
| e2e | End-to-end |
| EH | Energy harvesting |
| FSO | Free-space optical |
| LOS | Line-of-sight |
| OP | Outage probability |
| P-D | Photo-detector |
| Probability distribution function | |
| RF | Radio frequency |
| RV | Random variable |
| SH | Single-hop |
| SLIPT | Simultaneous lightwave information and power transfer |
| SNR | Signal-to-noise ratio |
| SOP | Secrecy outage probability |
| SPSC | Strictly positive secrecy capacity |
Appendix A. Derivation of the e2e SNR’s CDF Expression
References
- Jeon, H.B.; Kim, S.M.; Moon, H.J.; Kwon, D.H.; Lee, J.W.; Chung, J.M.; Han, S.K.; Chae, C.B.; Alouini, M.S. Free-Space Optical Communications for 6G Wireless Networks: Challenges, Opportunities, and Prototype Validation. IEEE Commun. Mag. 2023, 61, 116–121. [Google Scholar] [CrossRef]
- Ibrahim, A.A.; Ata, S.O.; Durak-Ata, L. Performance of FSO Communication Systems Employing Alamouti-Type Space-Time Encoding over Malaga Channels with Pointing Errors. IEEE Photonics J. 2022, 14, 1–8. [Google Scholar] [CrossRef]
- Ibrahim, A.A.; Özgür Ata, S.; Erdoğan, E.; Durak-Ata, L. Performance analysis of free space optical communication systems over imprecise Málaga fading channels. Opt. Commun. 2020, 457, 124694. [Google Scholar] [CrossRef]
- Safari, M.; Uysal, M. Relay-assisted free-space optical communication. IEEE Trans. Wirel. Commun. 2008, 7, 5441–5449. [Google Scholar] [CrossRef]
- Mohd Nor, N.A.; Ghassemlooy, Z.; Zvanovec, S.; Khalighi, M.A.; Bhatnagar, M.R.; Bohata, J.; Komanec, M. Experimental analysis of a triple-hop relay-assisted FSO system with turbulence. Opt. Switch. Netw. 2019, 33, 194–198. [Google Scholar] [CrossRef]
- Xu, G.; Zhang, Q.; Song, Z.; Ai, B. Relay-Assisted Deep Space Optical Communication System over Coronal Fading Channels. IEEE Trans. Aerosp. Electron. Syst. 2023, 59, 8297–8312. [Google Scholar] [CrossRef]
- Wu, Y.; Li, G.; Kong, D. Performance Analysis of Relay-Aided Hybrid FSO/RF Cooperation Communication System over the Generalized Turbulence Channels with Pointing Errors and Nakagami-m Fading Channels. Sensors 2023, 23, 6191. [Google Scholar] [CrossRef]
- Rahman, Z.; Shah, T.N.; Zafaruddin, S.M.; Chaubey, V.K. Performance of Dual-Hop Relaying for OWC System over Foggy Channel with Pointing Errors and Atmospheric Turbulence. IEEE Trans. Veh. Technol. 2022, 71, 3776–3791. [Google Scholar] [CrossRef]
- Zedini, E.; Soury, H.; Alouini, M.S. Dual-Hop FSO Transmission Systems over Gamma–Gamma Turbulence with Pointing Errors. IEEE Trans. Wirel. Commun. 2017, 16, 784–796. [Google Scholar] [CrossRef]
- Ashrafzadeh, B.; Zaimbashi, A.; Soleimani-Nasab, E.; Uysal, M. Unified Performance Analysis of Multi-Hop FSO Systems over Double Generalized Gamma Turbulence Channels with Pointing Errors. IEEE Trans. Wirel. Commun. 2020, 19, 7732–7746. [Google Scholar] [CrossRef]
- Yu, X.; Xu, G.; Zhang, Q.; Song, Z. Dual-Hop Optical Communication Systems over Málaga Turbulence Under Pointing Error Impairments with Decode-and-Forward Protocol. IEEE Photonics J. 2022, 14, 1–15. [Google Scholar] [CrossRef]
- Diamantoulakis, P.D.; Karagiannidis, G.K.; Ding, Z. Simultaneous Lightwave Information and Power Transfer (SLIPT). IEEE Trans. Green Commun. Netw. 2018, 2, 764–773. [Google Scholar] [CrossRef]
- Papanikolaou, V.K.; Tegos, S.A.; Palitharathna, K.W.S.; Diamantoulakis, P.D.; Suraweera, H.A.; Khalighi, M.A.; Karagiannidis, G.K. Simultaneous Lightwave Information and Power Transfer in 6G Networks. IEEE Commun. Mag. 2023, 62, 16–22. [Google Scholar] [CrossRef]
- Naser, S.; Bariah, L.; Muhaidat, S.; Basar, E. Zero-Energy Devices Empowered 6G Networks: Opportunities, Key Technologies, and Challenges. IEEE Internet Things Mag. 2023, 6, 44–50. [Google Scholar] [CrossRef]
- Fakidis, J.; Helmers, H.; Haas, H. Simultaneous Wireless Data and Power Transfer for a 1-Gb/s GaAs VCSEL and Photovoltaic Link. IEEE Photonics Technol. Lett. 2020, 32, 1277–1280. [Google Scholar] [CrossRef]
- Fakidis, J.; Videv, S.; Kucera, S.; Claussen, H.; Haas, H. On the Design of Optical Energy Harvesting and Storage Systems for Outdoor Small Cells. In Proceedings of the ICC 2021-IEEE International Conference on Communications, Montreal, QC, Canada, 14–23 June 2021; pp. 1–6. [Google Scholar] [CrossRef]
- Abou-Rjeily, C.; Kaddoum, G.; Karagiannidis, G.K. Ground-to-air FSO communications: When high data rate communication meets efficient energy harvesting with simple designs. Opt. Express 2019, 27, 34079–34092. [Google Scholar] [CrossRef] [PubMed]
- Chen, J.; Yang, L.; Wang, W.; Yang, H.C.; Liu, Y.; Hasna, M.O.; Alouini, M.S. A Novel Energy Harvesting Scheme for Mixed FSO-RF Relaying Systems. IEEE Trans. Veh. Technol. 2019, 68, 8259–8263. [Google Scholar] [CrossRef]
- Girdher, A.; Bansal, A.; Dubey, A. On the Performance of SLIPT-Enabled DF Relay-Aided Hybrid OW/RF Network. IEEE Sys. J. 2022, 16, 5973–5984. [Google Scholar] [CrossRef]
- Girdher, A.; Bansal, A.; Dubey, A. Energy Efficient NOMA for Mixed FSO-RF Communication System with IRS-Aided SLIPT. IEEE Trans. Veh. Technol. 2024, 73, 12873–12889. [Google Scholar] [CrossRef]
- Palitharathna, K.W.S.; Wickramasinghe, N.D.; Vegni, A.M.; Suraweera, H.A. Neural Network-Based Optimization for SLIPT-Enabled Indoor VLC Systems with Energy Constraints. IEEE Trans. Green Commun. Netw. 2024, 8, 839–851. [Google Scholar] [CrossRef]
- Tang, T.; Shi, L.; Li, Q.; Xiong, Z. Sustainability-Driven Resource Allocation for SLIPT-Assisted Hybrid VLC/RF IoT Systems. IEEE Wirel. Commun. Lett. 2024, 13, 1765–1769. [Google Scholar] [CrossRef]
- Uysal, M.; Ghasvarianjahromi, S.; Karbalayghareh, M.; Diamantoulakis, P.D.; Karagiannidis, G.K.; Sait, S.M. SLIPT for Underwater Visible Light Communications: Performance Analysis and Optimization. IEEE Trans. Wirel. Commun. 2021, 20, 6715–6728. [Google Scholar] [CrossRef]
- Lim, H.; Park, Y.; Song, Y. Underwater SLIPT Prototype System with a Combined Solar Panel-Photodiode Receiver: Design, Implementation, and Operation Strategy. IEEE Wirel. Commun. Lett. 2024, 13, 3673–3677. [Google Scholar] [CrossRef]
- Wyner, A.D. The wire-tap channel. Bell Syst. Tech. J. 1975, 54, 1355–1387. [Google Scholar] [CrossRef]
- Kihero, A.B.; Furqan, H.M.; Sahin, M.M.; Arslan, H. 6G and Beyond Wireless Channel Characteristics for Physical Layer Security: Opportunities and Challenges. IEEE Wirel. Commun. 2024, 31, 295–301. [Google Scholar] [CrossRef]
- Lopez-Martinez, F.J.; Gomez, G.; Garrido-Balsells, J.M. Physical-Layer Security in Free-Space Optical Communications. IEEE Photon. J. 2015, 7, 1–14. [Google Scholar] [CrossRef]
- Trinh, P.V.; Carrasco-Casado, A.; Pham, A.T.; Toyoshima, M. Secrecy Analysis of FSO Systems Considering Misalignments and Eavesdropper’s Location. IEEE Trans. Commun. 2020, 68, 7810–7823. [Google Scholar] [CrossRef]
- Chauhan, I.; Bhatnagar, M.R. Information Theoretic Study of Friendly Jammer Abating an Eavesdropper in FSO Communication. IEEE Trans. Commun. 2024, 72, 2106–2123. [Google Scholar] [CrossRef]
- Han, L.; Wang, Y.; Liu, X.; Li, B. Secrecy Performance of FSO Using HD and IM/DD Detection Technique over F-Distribution Turbulence Channel with Pointing Error. IEEE Wireless Commun. Lett. 2021, 10, 2245–2248. [Google Scholar] [CrossRef]
- Ai, Y.; Mathur, A.; Kong, L.; Cheffena, M. Secure Outage Analysis of FSO Communications over Arbitrarily Correlated Málaga Turbulence Channels. IEEE Trans. Veh. Technol. 2021, 70, 3961–3965. [Google Scholar] [CrossRef]
- Singh, R.; Rawat, M.; Jaiswal, A. On the Performance of Mixed FSO/RF SWIPT Systems with Secrecy Analysis. IEEE Syst. J. 2022, 16, 339–350. [Google Scholar] [CrossRef]
- Shakir, W.M.R.; Alouini, M.S. Secrecy Performance Analysis of Parallel FSO/mm-wave System over Unified Fisher-Snedecor Channels. IEEE Photonics J. 2022, 14, 1–13. [Google Scholar] [CrossRef]
- Rakia, T.; Yang, H.C.; Gebali, F.; Alouini, M.S. Optimal Design of Dual-Hop VLC/RF Communication System with Energy Harvesting. IEEE Commun. Lett. 2016, 20, 1979–1982. [Google Scholar] [CrossRef]
- Hranilovic, S. Wireless Optical Communication Systems; Springer Science & Business Media: Berlin/Heidelberg, Germany, 2006. [Google Scholar]
- Ansari, I.S.; Yilmaz, F.; Alouini, M.S. Performance Analysis of Free-Space Optical Links over Málaga (M) Turbulence Channels with Pointing Errors. IEEE Trans. Wirel. Commun. 2016, 15, 91–102. [Google Scholar] [CrossRef]
- Xu, G.; Song, Z. Performance Analysis for Mixed κ-μ Fading and M-Distribution Dual-Hop Radio Frequency/Free Space Optical Communication Systems. IEEE Trans. Wirel. Commun. 2021, 20, 1517–1528. [Google Scholar] [CrossRef]
- Ashrafzadeh, B.; Soleimani-Nasab, E.; Kamandar, M.; Uysal, M. A Framework on the Performance Analysis of Dual-Hop Mixed FSO-RF Cooperative Systems. IEEE Trans. Commun. 2019, 67, 4939–4954. [Google Scholar] [CrossRef]
- Lapidoth, A.; Moser, S.M.; Wigger, M.A. On the Capacity of Free-Space Optical Intensity Channels. IEEE Trans. Inf. Theory 2009, 55, 4449–4461. [Google Scholar] [CrossRef]
- Wolfram Research. The Mathematical Functions Site—WOLFRAM. Available online: http://functions.wolfram.com (accessed on 15 September 2024).
- Nasir, A.A.; Zhou, X.; Durrani, S.; Kennedy, R.A. Wireless-Powered Relays in Cooperative Communications: Time-Switching Relaying Protocols and Throughput Analysis. IEEE Trans. Commun. 2015, 63, 1607–1622. [Google Scholar] [CrossRef]
- Lei, H.; Luo, H.; Park, K.H.; Ansari, I.S.; Lei, W.; Pan, G.; Alouini, M.S. On Secure Mixed RF-FSO Systems with TAS and Imperfect CSI. IEEE Trans. Commun. 2020, 68, 4461–4475. [Google Scholar] [CrossRef]
- Sarker, N.A.; Badrudduza, A.S.M.; Islam, S.M.R.; Islam, S.H.; Kundu, M.K.; Ansari, I.S.; Kwak, K.S. On the Intercept Probability and Secure Outage Analysis of Mixed (α − κ − μ)-Shadowed and Malaga Turbulent Models. IEEE Access 2021, 9, 133849–133860. [Google Scholar] [CrossRef]
- Gradshteyn, I.S.; Ryzhik, I.M. Table of Integrals, Series, and Products; Academic Press: Cambridge, MA, USA, 2014. [Google Scholar]











| Parameter | Value |
|---|---|
| Laser wavelength | 1550 nm |
| FSO link distance | 2 km |
| Diameter of the APD | 20 cm |
| Responsivity | 0.9 |
| Optical-to-electrical conversion | 0.9 |
| coefficient | |
| Thermal voltage | 25 mV |
| Dark saturation current | 10 nA |
| LOS component’s average power | 1.3265 |
| of the optical signal | |
| Total scatter component’s average | |
| power of the optical signal | |
| Amount of scattering power coupled | |
| to the LOS component | |
| Deterministic angles | |
Disclaimer/Publisher’s Note: The statements, opinions and data contained in all publications are solely those of the individual author(s) and contributor(s) and not of MDPI and/or the editor(s). MDPI and/or the editor(s) disclaim responsibility for any injury to people or property resulting from any ideas, methods, instructions or products referred to in the content. |
© 2025 by the authors. Licensee MDPI, Basel, Switzerland. This article is an open access article distributed under the terms and conditions of the Creative Commons Attribution (CC BY) license (https://creativecommons.org/licenses/by/4.0/).
Share and Cite
Ibrahim, A.A.; Ata, S.Ö.; Durak-Ata, L. On the Performance of Energy Harvesting Dual-Hop Free-Space Optical Communication Systems with Secrecy Analysis. Sensors 2025, 25, 319. https://doi.org/10.3390/s25020319
Ibrahim AA, Ata SÖ, Durak-Ata L. On the Performance of Energy Harvesting Dual-Hop Free-Space Optical Communication Systems with Secrecy Analysis. Sensors. 2025; 25(2):319. https://doi.org/10.3390/s25020319
Chicago/Turabian StyleIbrahim, Abdulgani A., Serdar Özgür Ata, and Lütfiye Durak-Ata. 2025. "On the Performance of Energy Harvesting Dual-Hop Free-Space Optical Communication Systems with Secrecy Analysis" Sensors 25, no. 2: 319. https://doi.org/10.3390/s25020319
APA StyleIbrahim, A. A., Ata, S. Ö., & Durak-Ata, L. (2025). On the Performance of Energy Harvesting Dual-Hop Free-Space Optical Communication Systems with Secrecy Analysis. Sensors, 25(2), 319. https://doi.org/10.3390/s25020319

