Distributed Fiber Optic Strain Sensing Technology for Monitoring Soil Deformation Induced by Leakage in Buried Water Pipelines: A Model Test Study
Abstract
1. Introduction
2. Basic Principle of Soil Deformation Monitoring Based on the OFDR
3. Model Experimental Design
3.1. Test Equipment and Materials
3.2. Test System Design
3.2.1. Inlet Tank
3.2.2. Model Box
3.2.3. Outlet Tank
3.2.4. Data Acquisition System
3.3. Test Protocol
3.3.1. Control Methods for the Test Influencing Factors
3.3.2. Test Procedures
4. Test Result Analysis
4.1. Experimental Phenomena
4.2. Monitoring Data Analysis
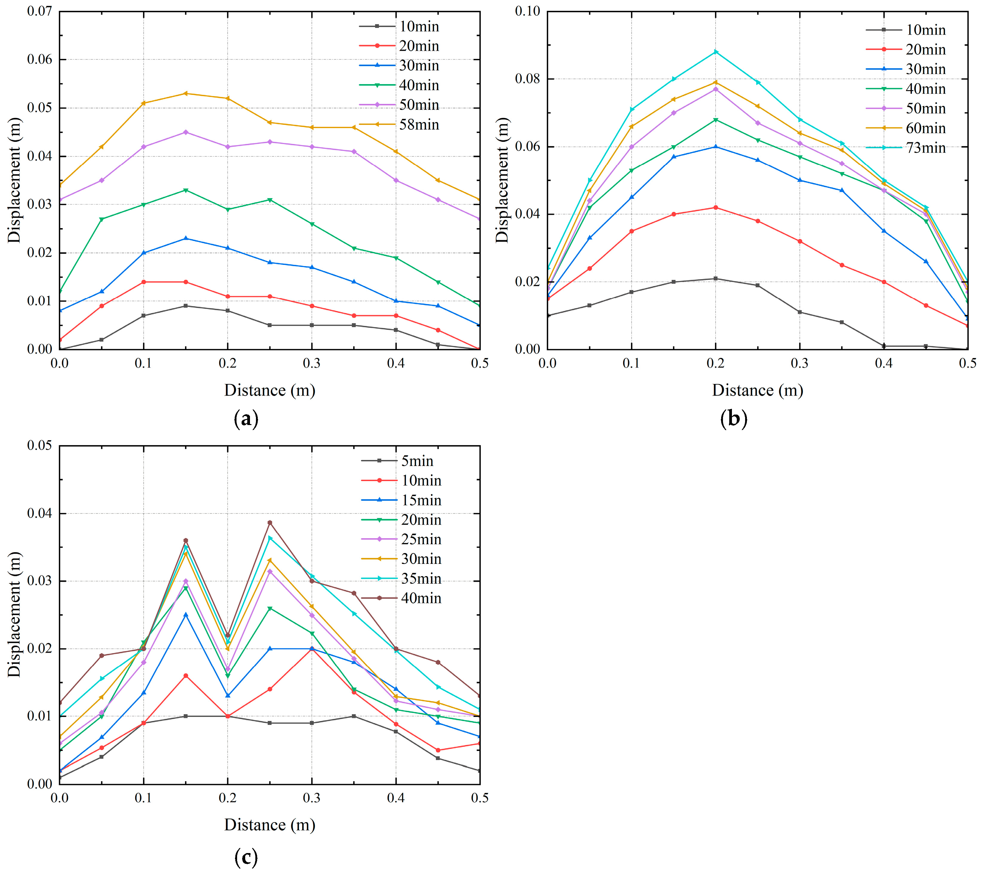
4.2.1. Surface Soil Deformation Analysis
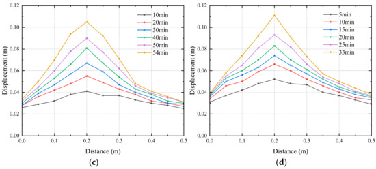
4.2.2. Analysis of the Deformation of the Soil Under the Pipeline
4.2.3. Analysis of Land Subsidence
5. Discussion
5.1. Types of Ground Subsidence
5.2. Coupling Between Fibers and Soil
6. Conclusions
Author Contributions
Funding
Institutional Review Board Statement
Informed Consent Statement
Data Availability Statement
Conflicts of Interest
References
- Hu, Y.H.; Bai, Y.C.; Xu, H.J. Analysis of reasons for urban road collapse and prevention and control countermeasures in recent decade of China. Highway 2016, 61, 130–135. [Google Scholar]
- Wang, S.C. Analysis and Study on Subsidence Mechanisms of Road Caused by Leakage of Urban Underground Pipeline. Master’s Thesis, Zhengzhou University, Zhengzhou, China, 2017. [Google Scholar]
- Guo, S.; Shao, Y.; Zhang, T.Q.; Zhu, D.Z.; Zhang, Y.P. Physical modeling on sand erosion around defective sewer pipes under the influence of groundwater. J. Hydraul. Eng.-ASCE 2013, 139, 1247–1257. [Google Scholar] [CrossRef]
- Sato, M.; Kuwano, R. Influence of location of subsurface structures on development of underground cavities induced by internal erosion. Soils Found. 2015, 55, 829–840. [Google Scholar] [CrossRef]
- Zheng, G.; Dai, X.; Diao, Y.; Zeng, C.F. Experimental and simplified model study of the development of ground settlement under hazards induced by loss of groundwater and sand. Nat. Hazards 2016, 82, 1869–1893. [Google Scholar] [CrossRef]
- Wang, Y.X.; Shi, G.; Tian, X.; Li, C.Y.; Cheng, H.Y. Experimental study on city road collapse under vibrating load. Shock Vib. 2020, 1, 6074658. [Google Scholar] [CrossRef]
- Liu, C.Y.; Chen, B.W.; Luo, H.L.; Ruan, J.C. Experimental study of seepage erosion induced by pipeline damage under full pipe flow condition. Rock Soil Mech. 2020, 41, 1–10. [Google Scholar] [CrossRef]
- Liu, Y.S.; Yu, H.; Zhang, X.; Lan, X.D.; Li, X.H.; Sun, Y.X. Analysis of pipeline leakage in unsaturated stratum: A new seepage-diffusion model. Tunn. Undergr. Space Technol. 2024, 149, 105814. [Google Scholar] [CrossRef]
- Liu, J.C.; Wang, Z.Y.; Tan, Y.; Cao, Y.C. Failure evolution and mechanism of ground collapse due to exfiltration of shallowly buried water pipeline. Eng. Fail. Anal. 2024, 162, 108390. [Google Scholar] [CrossRef]
- Dai, Z.L.; Peng, L.H.; Bao, Y.J. Model test investigation on mechanism of road collapse induced by underground hydraulic pipe leakage. China J. Highw. Transp. 2024, 37, 49–60. [Google Scholar] [CrossRef]
- Wang, Z.Y.; Tan, Y.; Long, Y.Y. Seepage erosion test and its mesoscopic mechanism at different pipeline-leaking locations. J. Zhejiang Univ. Eng. Sci. 2024, 58, 1209–1220. [Google Scholar] [CrossRef]
- Zhu, W.; Zhang, Y.; Liu, Z.K.; Zhu, Q. Pre-and postcollapse ground deformation revealed by SAR interferometry: A case study of foshan (China) ground collapse. J. Sens. 2020, 2020, 8899054. [Google Scholar] [CrossRef]
- Zhao, C.Y.; Zhang, Q.; Ding, X.L.; Peng, J.B.; Yang, C.S. InSAR based evaluation of land subsidence and ground fissure evolution at Xian. J. Eng. Geol. 2009, 17, 389–393. [Google Scholar] [CrossRef]
- Wei, J.; Hu, X.D.; Chen, H.L.; Zhang, L.; Tan, C.W. Monitoring data analysis and subsidence features recognition based on GPS static positioning. Coal Geol. China 2018, 30, 53–58+81. [Google Scholar] [CrossRef]
- Ali, H.; Choi, J.H. A review of underground pipeline leakage and sinkhole monitoring methods based on wireless sensor networking. Sustainability 2019, 11, 4007. [Google Scholar] [CrossRef]
- Cai, Y.S.; He, D.Q.; Shi, F.; Huang, F.K.; Wang, P.; Wang, Y.Q. Study on monitoring and early warning of surface subsidence based on microseismic monitoring technology. China Min. Mag. 2020, 29, 149–154. [Google Scholar] [CrossRef]
- Luo, L.H.; Ma, W.; Zhang, Z.Q.; Zhuang, Y.L.; Yang, J.Q.; Cao, X.C.; Liang, S.T.; Yi, S.H. Integration of terrestrial laser scanning and soil sensors for deformation and hydrothermal monitoring of frost mounds. Measurement 2019, 131, 513–523. [Google Scholar] [CrossRef]
- Stanier, S.A.; Blaber, J.; Take, W.A.; White, D.J. Improved image-based deformation measurement for geotechnical applications. Can. Geotech. J. 2015, 53, 727–739. [Google Scholar] [CrossRef]
- Han, X.B.; Feng, H.L.; He, Q.; Wang, P.Y.; Chen, Z.M.; Lou, Z.P. Digital image measurement technology and its application in tunnel indoor model test. J. Tongji Univ. Nat. Sci. 2023, 51, 1344–1351. [Google Scholar] [CrossRef]
- Hou, G.Y.; Xie, B.B.; Jiang, Y.S.; Yin, S.Y.; Han, Y.C. Theoretical and experimental study of the relationship between optical fiber strain and settlement of roof based on BOTDR technology. Rock Soil Mech. 2017, 38, 1298–1304. [Google Scholar] [CrossRef]
- Chen, H.J.; He, J.P.; Xue, Y.; Zhang, S.H. Experimental study on sinkhole collapse monitoring based on distributed Brillouin optical fiber sensor. Optik 2020, 216, 164825. [Google Scholar] [CrossRef]
- Yan, D.Y.; Li, C.Z.; Hao, H.L.; Wang, P.; Sun, T.F. Intelligent monitoring of slope rock and soil deformation based on distributed optical fiber sensing technology. Autom. Instrum. 2022, 12, 176–180+185. [Google Scholar] [CrossRef]
- Liang, Y.; Gu, K.; Shi, B.; Liu, S.P.; Wu, J.H.; Lu, Y.; Inyang, H.I. Estimation of land subsidence potential via distributed fiber optic sensing. Eng. Geol. 2022, 298, 106540. [Google Scholar] [CrossRef]
- Wu, B.; Zhu, H.H.; Liu, T.X.; Wang, D.Y.; Hu, L.L.; Li, B. Experimental investigation of interfacial behavior of fiber optic cables embedded in frozen soil for in-situ deformation monitoring. Measurement 2023, 215, 112843. [Google Scholar] [CrossRef]
- Wei, C.; Zhu, H.H.; Gao, Y.X.; Wang, J.; Zhang, W.; Shi, B. Model test study of ground collapse using distributed fiber optic sensing. Rock Soil Mech. 2022, 43, 2443–2456. [Google Scholar] [CrossRef]
- Cheng, L.; Pan, P.S.; Sun, Y.K.; Zhang, Y.H.; Cao, Y. A distributed fibre optic monitoring method for ground subsidence induced by water pipeline leakage. Opt. Fiber Technol. 2023, 81, 103495. [Google Scholar] [CrossRef]
- Li, H.J.; Zhu, H.H.; Wu, H.Y.; Zhu, B.; Shi, B. Experimental investigation on pipe-soil interaction due to ground subsidence via high-resolution fiber optic sensing. Tunn. Undergr. Space Technol. 2022, 127, 104586. [Google Scholar] [CrossRef]
- Ding, Z.Y.; Yang, D.; Du, Y.; Liu, K.; Zhou, Y.H.; Zhang, R. Distributed strain and temperature discrimination using two types of fiber in OFDR. IEEE Photonics J. 2016, 8, 1–8. [Google Scholar] [CrossRef]
- Yin, G.L.; Ma, J.M.; Jiang, S.X.; Wang, X.; Zhang, Y.Y.; Zhu, T. Distributed stress measurement for water pressure test of diversion steel branch pipe. Opt. Precis. Eng. 2024, 32, 2635–2644. [Google Scholar] [CrossRef]
- Mao, X.P.; Huang, S.H. Cause analysis of road collapse in Tianjin Municipality and its prevention and control countermeasures. J. Nat. Disasters 2014, 23, 218–226. [Google Scholar] [CrossRef]
- Fenner, R.A. Influence of sewer bedding arrangements on infiltration rates on soil migration. Proc. Inst. Civ. Eng.–Munic. Eng. 1991, 8, 105–117. [Google Scholar]
- Mukunoki, T.; Kumano, N.; Otani, J.; Kuwano, R. Visualization of three dimensional failure in sand due to water inflow and soil drainage from defective underground pipe using X-ray CT. Soils Found. 2009, 49, 959–968. [Google Scholar] [CrossRef]
- Indiketiya, S.; Jegatheesan, P.; Rajeev, P.; Kuwano, R. The influence of pipe embedment material on sinkhole formation due to erosion around defective sewers. Transp. Geotech. 2019, 19, 110–125. [Google Scholar] [CrossRef]
- Kwak, T.Y.; Woo, S.I.; Kim, J.; Chung, C.K. Model test assessment of the generation of underground cavities and ground cave-ins by damaged sewer pipes. Soils Found. 2019, 59, 586–600. [Google Scholar] [CrossRef]
- Kwak, T.Y.; Woo, S.I.; Chung, C.K.; Kim, J. Experimental assessment of the relationship between rainfall intensity and sinkholes caused by damaged sewer pipes. Nat. Hazards Earth Syst. Sci. 2020, 20, 3343–3359. [Google Scholar] [CrossRef]
- Li, X.J.; Chen, R.; Liu, L.L.; Zhou, C.; Bate, B. A non-Darcy flow CFD–DEM method for simulating ground collapse induced by leakage through underground pipeline defect. Comput. Geotech. 2023, 162, 105695. [Google Scholar] [CrossRef]
- Xu, D.S.; Liu, H.B.; Luo, W.L. Evaluation of interface shear behavior of GFRP soil nails with a strain-transfer model and distributed fiber-optic sensors. Comput. Geotech. 2018, 95, 180–190. [Google Scholar] [CrossRef]
- Zhang, C.C.; Zhu, H.H.; Chen, D.D.; Xu, X.Y.; Shi, B.; Chen, X.P. Feasibility study of anchored fiber-optic strain-sensing arrays for monitoring soil deformation beneath model foundation. Geotech. Test. J. 2019, 42, 966–984. [Google Scholar] [CrossRef]























| Equipment | OSI-C OFDR Demodulator | Sink | NZS-DSS-C07 Strain Measurement Fiber | Laser Range Finder | Flow Meter |
|---|---|---|---|---|---|
| Diagram | ![]() | ![]() | ![]() | ![]() | ![]() |
| Work Condition Number | Hole Location | Pipeline Burial Depth (mm) | Pipe Flow Velocity (m/s) | Leakage Size (mm) |
|---|---|---|---|---|
| 1-1 | 1 | 120 | 0.257 | 6 |
| 1-2 | 4 | 120 | 0.257 | 6 |
| 1-3 | 7 | 120 | 0.257 | 6 |
| 2-1 | 4 | 60 | 0.257 | 6 |
| 2-2 | 4 | 90 | 0.257 | 6 |
| 2-3 | 4 | 120 | 0.257 | 6 |
| 2-4 | 4 | 150 | 0.257 | 6 |
| 2-5 | 4 | 180 | 0.257 | 6 |
| 3-1 | 4 | 120 | 0.171 | 6 |
| 3-2 | 4 | 120 | 0.257 | 6 |
| 3-3 | 4 | 120 | 0.343 | 6 |
| 3-4 | 4 | 120 | 0.429 | 6 |
| 3-5 | 4 | 120 | 0.514 | 6 |
| 4-1 | 2 | 120 | 0.257 | 2 |
| 4-2 | 3 | 120 | 0.257 | 4 |
| 4-3 | 4 | 120 | 0.257 | 6 |
| 4-4 | 5 | 120 | 0.257 | 8 |
| 4-5 | 6 | 120 | 0.257 | 10 |
| Hole Location | A1 and B1 | A2 and B2 | A3 and B3 |
|---|---|---|---|
| Distance/m | Distance/m | Distance/m | |
| 1 | 8.53 | 11.53 | 24.73 |
| 2 | 7.68 | 12.38 | 23.88 |
| 3 | 6.83 | 13.23 | 23.03 |
| 4 | 5.98 | 14.08 | 22.18 |
| 5 | 5.13 | 14.93 | 21.33 |
| 6 | 4.28 | 15.78 | 20.48 |
| 7 | 3.43 | 16.63 | 19.63 |
Disclaimer/Publisher’s Note: The statements, opinions and data contained in all publications are solely those of the individual author(s) and contributor(s) and not of MDPI and/or the editor(s). MDPI and/or the editor(s) disclaim responsibility for any injury to people or property resulting from any ideas, methods, instructions or products referred to in the content. |
© 2025 by the authors. Licensee MDPI, Basel, Switzerland. This article is an open access article distributed under the terms and conditions of the Creative Commons Attribution (CC BY) license (https://creativecommons.org/licenses/by/4.0/).
Share and Cite
Cheng, L.; Sun, Y.; Wang, Z.; Gao, W.; Li, Z.; Xu, Z.; Hu, J. Distributed Fiber Optic Strain Sensing Technology for Monitoring Soil Deformation Induced by Leakage in Buried Water Pipelines: A Model Test Study. Sensors 2025, 25, 320. https://doi.org/10.3390/s25020320
Cheng L, Sun Y, Wang Z, Gao W, Li Z, Xu Z, Hu J. Distributed Fiber Optic Strain Sensing Technology for Monitoring Soil Deformation Induced by Leakage in Buried Water Pipelines: A Model Test Study. Sensors. 2025; 25(2):320. https://doi.org/10.3390/s25020320
Chicago/Turabian StyleCheng, Lin, Yongkang Sun, Zhaohan Wang, Wenqi Gao, Zhuolin Li, Zengguang Xu, and Jiang Hu. 2025. "Distributed Fiber Optic Strain Sensing Technology for Monitoring Soil Deformation Induced by Leakage in Buried Water Pipelines: A Model Test Study" Sensors 25, no. 2: 320. https://doi.org/10.3390/s25020320
APA StyleCheng, L., Sun, Y., Wang, Z., Gao, W., Li, Z., Xu, Z., & Hu, J. (2025). Distributed Fiber Optic Strain Sensing Technology for Monitoring Soil Deformation Induced by Leakage in Buried Water Pipelines: A Model Test Study. Sensors, 25(2), 320. https://doi.org/10.3390/s25020320






