Wide Voltage Swing Potentiostat with Dynamic Analog Ground to Expand Electrochemical Potential Windows in Integrated Microsystems
Abstract
1. Introduction
2. Manifestation of Electrode Potentials and Challenges for Conventional CMOS Potentiostats
2.1. Electrochemical Cell Model and Manifestation of Potentials at Electrodes
2.2. Challenges of Conventional CMOS Potentiostats
3. Design Methodology for CMOS Potentiostats to Support High Voltage Requirements
3.1. Current Conveyor
3.2. Digital Control Unit
4. Results
4.1. Test Setup and Electrochemical Experiments
4.2. Electrochemical Cell Model
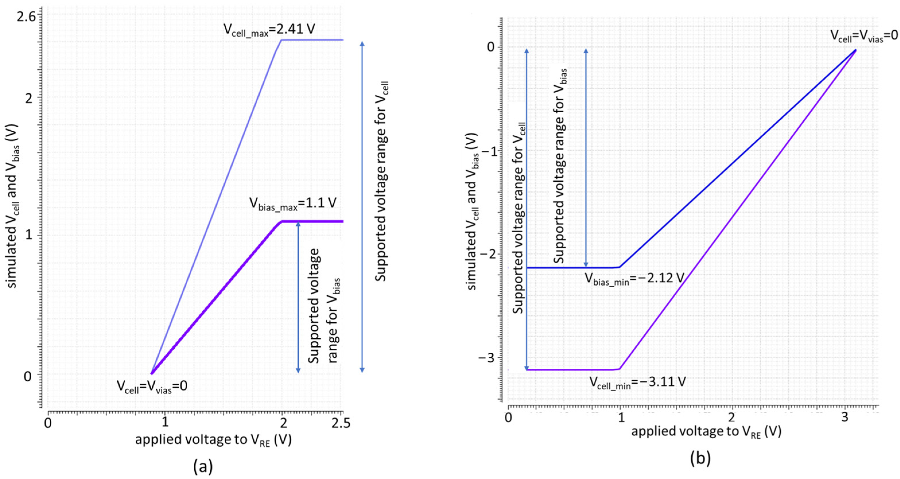
4.3. Simulation Results for the CMOS Potentiostat
5. Conclusions
Author Contributions
Funding
Institutional Review Board Statement
Informed Consent Statement
Data Availability Statement
Conflicts of Interest
References
- Rotariu, L.; Lagarde, F.; Jaffrezic-Renault, N.; Bala, C. Electrochemical biosensors for fast detection of food contaminants–trends and perspective. TrAC Trends Anal. Chem. 2016, 79, 80–87. [Google Scholar] [CrossRef]
- Abdalhai, M.H.; Fernandes, A.M.; Xia, X.; Musa, A.; Ji, J.; Sun, X. Electrochemical Genosensor to Detect Pathogenic Bacteria (Escherichia coli O157:H7) As Applied in Real Food Samples (Fresh Beef) to Improve Food Safety and Quality Control. J. Agric. Food Chem. 2015, 63, 5017–5025. [Google Scholar] [CrossRef]
- Swetha, P.; Balijapalli, U.; Feng, S. Wireless accessing of salivary biomarkers based wearable electrochemical sensors: A mini-review. Electrochem. Commun. 2022, 140, 107314. [Google Scholar] [CrossRef]
- Li, H.; Liu, X.; Li, L.; Mu, X.; Genov, R.; Mason, A.J. CMOS Electrochemical Instrumentation for Biosensor Microsystems: A Review. Sensors 2017, 17, 74. [Google Scholar] [CrossRef]
- Teng, Y.; Singh, C.K.; Sadak, O.; Ahmad, N.; Gunasekaran, S. Electrochemical detection of mobile zinc ions for early diagnosis of prostate cancer. J. Electroanal.Chem. 2019, 833, 269–274. [Google Scholar] [CrossRef]
- Ramaiyan, K.; Mukundan, R. Electrochemical sensors for air quality monitoring. Electrochem. Soc. Interface 2019, 28, 59. [Google Scholar] [CrossRef]
- Li, H.; Mu, X.; Yang, Y.; Mason, A.J. Low power multimode electrochemical gas sensor array system for wearable health and safety monitoring. IEEE Sens. 2014, 14, 3391–3399. [Google Scholar] [CrossRef]
- Jothimuthu, P.; Wilson, R.A.; Herren, J.; Haynes, E.N.; Heineman, W.R.; Papautsky, I. Lab-on-a-chip sensor for detection of highly electronegative heavy metals by anodic stripping voltammetry. Biomed. Microdevices 2011, 13, 695–703. [Google Scholar] [CrossRef]
- Li, S.; Zhang, C.; Wang, S.; Liu, Q.; Feng, H.; Ma, X.; Guo, J. Electrochemical microfluidics techniques for heavy metal ion detection. Analyst 2018, 143, 4230–4246. [Google Scholar] [CrossRef] [PubMed]
- Liu, H.; Zhao, C. Wearable electrochemical sensors for noninvasive monitoring of health—A perspective. Curr. Opin. Electrochem. 2020, 23, 42–46. [Google Scholar] [CrossRef]
- Steinberg, M.; Kassal, P.; Kereković, I.; Steinberg, I.M. A wireless potentiostat for mobile chemical sensing and biosensing. Talanta 2015, 143, 178–183. [Google Scholar] [CrossRef]
- Steinberg, M.D.; Kassal, P.; Steinberg, I.M. System Architectures in Wearable Electrochemical Sensors. Electroanalysis 2016, 28, 1149–1169. [Google Scholar] [CrossRef]
- Ashoori, E.; Parsnejad, S.; Mason, A.J. Neurochemical Sensing. In Handbook of Neuroengineering; Springer Nature: Singapore, 2023; pp. 591–621. [Google Scholar] [CrossRef]
- Tsai, J.; Chen, Y.; Liao, Y. A power-efficient bidirectional potentiostat-based readout IC for wide-range electrochemical sensing. In Proceedings of the 2018 IEEE International Symposium on Circuits and Systems (ISCAS), Florence, Italy, 27–30 May 2018. [Google Scholar]
- Tsai, J.; Kuo, C.; Lin, S.; Lin, F.; Liao, Y. A wirelessly powered CMOS electrochemical sensing interface with power-aware RF-DC power management. IEEE Trans. Circuits Syst. I Regul. Pap. 2018, 65, 2810–2820. [Google Scholar] [CrossRef]
- Chen, Y.; Lu, S.; Liao, Y. A microwatt dual-mode electrochemical sensing current readout with current-reducer ramp waveform generation. IEEE Trans. Biomed. Circuits Syst. 2019, 13, 1163–1174. [Google Scholar] [CrossRef]
- Li, P.; Molderez, T.; Villamor, D.; Prévoteau, A.; Verhelst, M. A 96-channel 40 nm CMOS potentiostat for parallel experiments on microbial electrochemical systems. IEEE Trans. Circuits Syst. I Regul. Pap. 2022, 70, 114–127. [Google Scholar] [CrossRef]
- Nam, K.; Choi, G.; Yoo, M.; Kang, S.; Jin, B.; Son, H.; Kim, K.; Ko, H. A low-noise and mismatch-tolerant current-mirror-based potentiostat circuit for glucose monitoring. Microelectron. J. 2023, 132, 105694. [Google Scholar] [CrossRef]
- Ahmad, R.; Joshi, A.M.; Boolchandani, D. Programmable Readout with Integrated Bandgap Reference Potentiostat for Glucose Sensing. IEEE Trans. Instrum. Meas. 2024, 73, 1–11. [Google Scholar] [CrossRef]
- Keeble, L.; Jaccottet, A.; Ma, D.; Rodriguez-Manzano, J.; Georgiou, P. An electroplated Ag/AgCl quasi-reference electrode based on CMOS top-metal for electrochemical sensing. Electrochim. Acta 2024, 477, 143780. [Google Scholar] [CrossRef]
- Horowitz, M.; Alon, E.; Patil, D.; Naffziger, S.; Kumar, R.; Bernstein, K. Scaling, power, and the future of CMOS. In Proceedings of the IEEE International Electron Devices Meeting, IEDM Technical Digest, Washington, DC, USA, 5 December 2005. [Google Scholar] [CrossRef]
- MOSIS Foundry Service. Available online: https://themosisservice.com/foundry-services (accessed on 21 April 2024).
- Barón-Jaimez, J.; Joya, M.R.; Barba-Ortega, J. Bismuth electrodes, an alternative in stripping voltammetry. J. Phys. Conf. Ser. 2013, 466, 012025. [Google Scholar] [CrossRef]
- Xu, K.; Wang, C. Batteries: Widening voltage windows. Nat. Energy 2016, 1, 16161. [Google Scholar] [CrossRef]
- Kumar, S.; Tudu, B.; Bandyopadhyay, R.; Ghosh, A. An equivalent electrical network of an electronic tongue: A case study with tea samples. In Proceedings of the 2017 ISOCS/IEEE International Symposium on Olfaction and Electronic Nose (ISOEN), Montreal, QC, Canada, 28–31 May 2017. [Google Scholar] [CrossRef]
- Bard, A.; Faulkner, L.; White, H. Electrochemical Methods: Fundamentals and Applications, 3rd ed.; John Wiley & Sons: Hoboken, NJ, USA, 2022. [Google Scholar]










| Device | W/L | Fingers | Device | W/L | Fingers |
|---|---|---|---|---|---|
| M1,2 | 4 u/500 n | 1 | M8 | 4 × 2 u/350 n | 1 |
| M3,4 | 8.5 u/500 n | 2 | M9 | 8 u/300 n | 1 |
| M5 | 7.5 u/500 n | 4 | M10 | 4 × 8 u/300 n | 1 |
| M6 | 10 u/500 n | 20 | M11 | 2 u/300 n | 2 |
| Mb | 6 u/500 n | 1 | M12 | 2 u/300 n | 8 |
| Mb_c | 2 u/300 n | 2 | M13 | 2 u/300 n | 4 |
| M7 | 2 u/350 n | 1 | M14 | 2 u/300 n | 16 |
| Supply | Technology | Area | Power | Bandwidth | Slew Rate |
|---|---|---|---|---|---|
| 3.3 V | CMOS 180 nm | 964 µm2 | 435 µW | 32.52 MHz | 28.33 V/µs |
| Supply | Area | Max Power | Max Cell Voltage Support | Load Capacitance |
|---|---|---|---|---|
| 3.3 V | 0.0132 mm2 | 2.047 mW | 3 V | 2.6 µF |
Disclaimer/Publisher’s Note: The statements, opinions and data contained in all publications are solely those of the individual author(s) and contributor(s) and not of MDPI and/or the editor(s). MDPI and/or the editor(s) disclaim responsibility for any injury to people or property resulting from any ideas, methods, instructions or products referred to in the content. |
© 2024 by the authors. Licensee MDPI, Basel, Switzerland. This article is an open access article distributed under the terms and conditions of the Creative Commons Attribution (CC BY) license (https://creativecommons.org/licenses/by/4.0/).
Share and Cite
Ashoori, E.; Goderis, D.; Inohara, A.; Mason, A.J. Wide Voltage Swing Potentiostat with Dynamic Analog Ground to Expand Electrochemical Potential Windows in Integrated Microsystems. Sensors 2024, 24, 2902. https://doi.org/10.3390/s24092902
Ashoori E, Goderis D, Inohara A, Mason AJ. Wide Voltage Swing Potentiostat with Dynamic Analog Ground to Expand Electrochemical Potential Windows in Integrated Microsystems. Sensors. 2024; 24(9):2902. https://doi.org/10.3390/s24092902
Chicago/Turabian StyleAshoori, Ehsan, Derek Goderis, Anna Inohara, and Andrew J. Mason. 2024. "Wide Voltage Swing Potentiostat with Dynamic Analog Ground to Expand Electrochemical Potential Windows in Integrated Microsystems" Sensors 24, no. 9: 2902. https://doi.org/10.3390/s24092902
APA StyleAshoori, E., Goderis, D., Inohara, A., & Mason, A. J. (2024). Wide Voltage Swing Potentiostat with Dynamic Analog Ground to Expand Electrochemical Potential Windows in Integrated Microsystems. Sensors, 24(9), 2902. https://doi.org/10.3390/s24092902

