Development and Testing of a Rocket-Based Sensor for Atmospheric Sensing Using an Unmanned Aerial System
Abstract
1. Introduction
2. Materials and Methods
2.1. Prototype sUAS Platform, Sensors, and Flight Planning
2.2. sUAS Platforms and Flight Planning
2.3. Meteorology Sensor
2.4. Rocket Arduino Sensor Package
2.5. Arduino-Based Meteorology Sensor
2.6. Data Analysis
2.7. Rocket Flights
3. Results
3.1. Prototype UAS System Results
3.2. UAS Test Flight Results
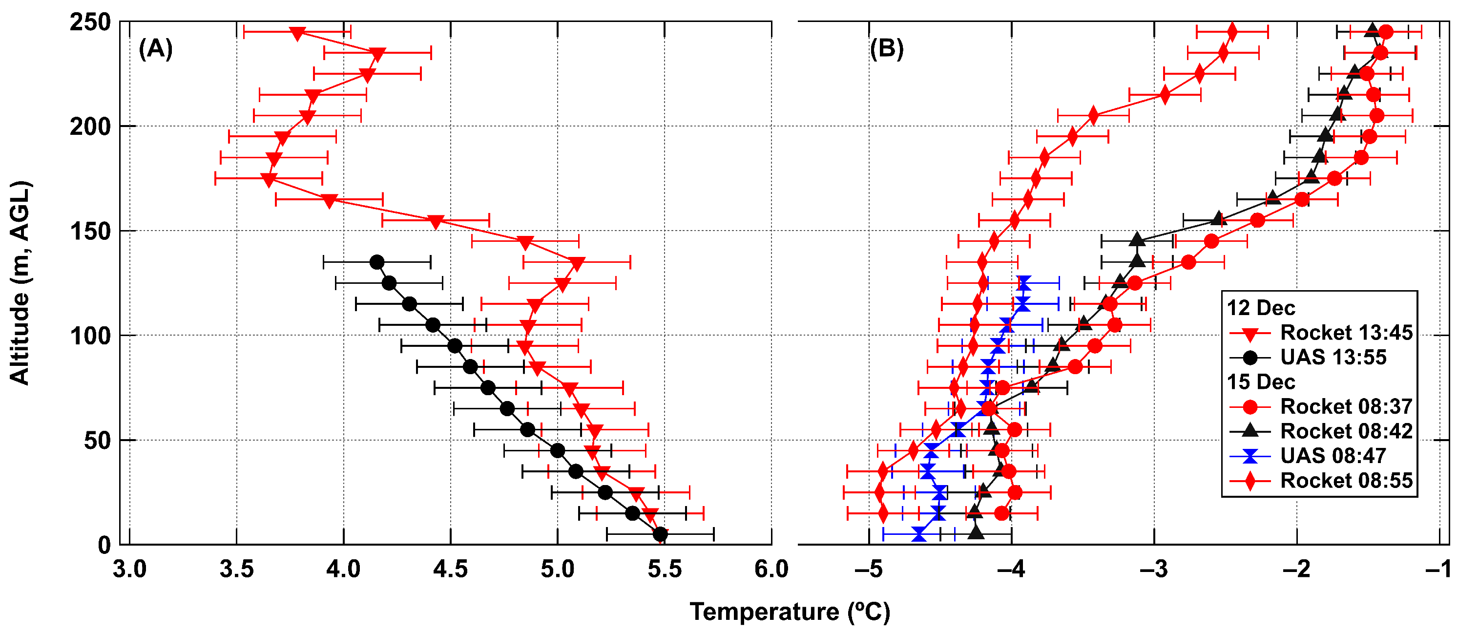
3.3. Rocket Test Flight Results
3.4. Aerosol Measurements
4. Discussion
4.1. Prototype Platform
4.2. Meteorology Sensor Comparison
4.3. Rocket Sensor System
4.4. Particulate Measurements
5. Conclusions
Supplementary Materials
Funding
Institutional Review Board Statement
Informed Consent Statement
Data Availability Statement
Acknowledgments
Conflicts of Interest
Abbreviations
| UAS | Unmanned Aerial System |
| sUAS | small Unmanned Aerial System |
| RH | relative humidity |
| NASA | National Aeronautics and Space Administration |
| RPIC | remote pilot in command |
| FAA | Federal Aviation Administration |
| CFR | Code of Federal Regulation |
| P3S | Phantom 3 Standard (DJI sUAS) |
References
- Pope, C.A.; Dockery, D.W. Health Effects of Fine Particulate Air Pollution: Lines that Connect. J. Air Waste Manag. Assoc. 2006, 56, 709–742. [Google Scholar] [CrossRef]
- Villalobos-Pietrini, R.; Hernández-Mena, L.; Amador-Muñoz, O.; Munive-Colín, Z.; Bravo-Cabrera, J.L.; Gómez-Arroyo, S.; Frías-Villegas, A.; Waliszewski, S.; Ramírez-Pulido, J.; Ortiz-Muñiz, R. Biodirected mutagenic chemical assay of {PM10} extractable organic matter in Southwest Mexico City. Mutat. Res. Toxicol. Environ. Mutagen. 2007, 634, 192–204. [Google Scholar] [CrossRef]
- Lareau, N.P.; Crosman, E.; Whiteman, C.D.; Horel, J.D.; Hoch, S.W.; Brown, W.O.J.; Horst, T.W. The Persistent Cold-Air Pool Study. Bull. Am. Meteorol. Soc. 2013, 94, 51–63. [Google Scholar] [CrossRef]
- Finlayson-Pitts, B.J.; Pitts, J.N. Chapter 2—The Atmospheric System. In Chemistry of the Upper and Lower Atmosphere; Finlayson-Pitts, B.J., Pitts, J.N., Eds.; Academic Press: San Diego, CA, USA, 2000; pp. 15–42. [Google Scholar] [CrossRef]
- Mahrt, L. Boundary Layer. In Encyclopedia of Atmospheric Sciences; Holton, J.R., Ed.; Academic Press: Oxford, UK, 2003; pp. 298–305. [Google Scholar] [CrossRef]
- Malingowski, J.; Atkinson, D.; Fochesatto, J.; Cherry, J.; Stevens, E. An observational study of radiation temperature inversions in Fairbanks, Alaska. Polar Sci. 2014, 8, 24–39. [Google Scholar] [CrossRef]
- Mahmood, R.; Schargorodski, M.; Rappin, E.; Griffin, M.; Collins, P.; Knupp, K.; Quilligan, A.; Wade, R.; Cary, K. The Total Solar Eclipse of 2017: Meteorological Observations from a Statewide Mesonet and Atmospheric Profiling Systems. Bull. Am. Meteorol. Soc. 2020, 101, E720–E737. [Google Scholar] [CrossRef]
- Brown, S.S.; Thornton, J.A.; Keene, W.C.; Pszenny, A.A.P.; Sive, B.C.; Dubé, W.P.; Wagner, N.L.; Young, C.J.; Riedel, T.P.; Roberts, J.M.; et al. Nitrogen, Aerosol Composition, and Halogens on a Tall Tower (NACHTT): Overview of a wintertime air chemistry field study in the front range urban corridor of Colorado. J. Geophys. Res. Atmos. 2013, 118, 8067–8085. [Google Scholar] [CrossRef]
- Deng, M.; Volkamer, R.M.; Wang, Z.; Snider, J.R.; Kille, N.; Romero-Alvarez, L.J. Wildfire Smoke Observations in the Western United States from the Airborne Wyoming Cloud Lidar during the BB-FLUX Project. Part II: Vertical Structure and Plume Injection Height. J. Atmos. Ocean. Technol. 2022, 39, 559–572. [Google Scholar] [CrossRef]
- Martin, A.; Weissmann, M.; Reitebuch, O.; Rennie, M.; Geiß, A.; Cress, A. Validation of Aeolus winds using radiosonde observations and numerical weather prediction model equivalents. Atmos. Meas. Tech. 2021, 14, 2167–2183. [Google Scholar] [CrossRef]
- Lorenc, A.; Barker, D.; Bell, R.; Macpherson, B.; Maycock, A. On the use of radiosonde humidity observations in mid-latitude NWP. Meteorol. Atmos. Phys. 1996, 60, 3–17. [Google Scholar] [CrossRef]
- Vázquez B, G.E.; Grejner-Brzezinska, D.A. GPS-PWV estimation and validation with radiosonde data and numerical weather prediction model in Antarctica. Gps Solut. 2013, 17, 29–39. [Google Scholar] [CrossRef]
- Fletcher, S.J. Chapter 14—Observations. In Data Assimilation for the Geosciences (Second Edition), 2nd ed.; Fletcher, S.J., Ed.; Elsevier: Amsterdam, The Netherlands, 2023; pp. 601–629. [Google Scholar] [CrossRef]
- Webb, W.L.; Jenkins, K.R. Application of meteorological rocket systems. J. Geophys. Res. (1896–1977) 1959, 64, 1855–1861. [Google Scholar] [CrossRef]
- Jenkins, K.R.; Webb, W.L.; Clark, G.Q. Rocket Sounding of High Atmosphere Meteorological Parameters. IRE Trans. Mil. Electron. 1960, MIL-4, 238–243. [Google Scholar] [CrossRef]
- Masterson, J.E.; Hubert, W.E.; Carr, T.R. Wind and temperature measurements in the mesosphere by meteorological rockets. J. Geophys. Res. (1896–1977) 1961, 66, 2141–2151. [Google Scholar] [CrossRef]
- Schmidlin, F. Intercomparisons of temperature, density and wind measurements from in situ and satellite techniques. Adv. Space Res. 1984, 4, 101–110. [Google Scholar] [CrossRef]
- Angell, J.K. Stratospheric Temperature Change as a Function of Height and Sunspot Number during 1972–1989 Based on Rocketsonde and Radiosonde Data. J. Clim. 1991, 4, 1170–1180. [Google Scholar] [CrossRef]
- Chen, H.; Li, J.; Xuan, Y.; Huang, X.; Zhu, W.; Zhu, K.; Shao, W. First Rocketsonde Launched from an Unmanned Semi-submersible Vehicle. Adv. Atmos. Sci. 2019, 36, 339–345. [Google Scholar] [CrossRef]
- Federal Register. Requirements for Amateur Rocket Activities. 2008. Available online: https://www.govinfo.gov/content/pkg/FR-2008-12-04/pdf/E8-28703.pdf (accessed on 18 December 2023).
- Hill, M.; Konrad, T.; Meyer, J.; Rowland, J. A small, radio-controlled aircraft as a platform for meteorological sensors. Appl. Phys. Lab Tech. Dig. 1970, 10, 11–19. [Google Scholar]
- Bell, T.M.; Greene, B.R.; Klein, P.M.; Carney, M.; Chilson, P.B. Confronting the boundary layer data gap: Evaluating new and existing methodologies of probing the lower atmosphere. Atmos. Meas. Tech. 2020, 13, 3855–3872. [Google Scholar] [CrossRef]
- Chilson, P.B.; Bell, T.M.; Brewster, K.A.; Britto Hupsel de Azevedo, G.; Carr, F.H.; Carson, K.; Doyle, W.; Fiebrich, C.A.; Greene, B.R.; Grimsley, J.L.; et al. Moving towards a Network of Autonomous UAS Atmospheric Profiling Stations for Observations in the Earth’s Lower Atmosphere: The 3D Mesonet Concept. Sensors 2019, 19, 2720. [Google Scholar] [CrossRef] [PubMed]
- Bärfuss, K.B.; Schmithüsen, H.; Lampert, A. Drone-based meteorological observations up to the tropopause—A concept study. Atmos. Meas. Tech. 2023, 16, 3739–3765. [Google Scholar] [CrossRef]
- Sun, Y.; Sude, B.; Lin, X.; Geng, B.; Liu, B.; Ji, S.; Jing, J.; Zhu, Z.; Xu, Z.; Liu, S.; et al. Quality evaluation for measurements of wind field and turbulent fluxes from a UAV-based eddy covariance system. Atmos. Meas. Tech. 2023, 16, 5659–5679. [Google Scholar] [CrossRef]
- Lee, S.; Hwang, H.; Lee, J.Y. Vertical measurements of roadside air pollutants using a drone. Atmos. Pollut. Res. 2022, 13, 101609. [Google Scholar] [CrossRef]
- Segales, A.R.; Greene, B.R.; Bell, T.M.; Doyle, W.; Martin, J.J.; Pillar-Little, E.A.; Chilson, P.B. The CopterSonde: An insight into the development of a smart unmanned aircraft system for atmospheric boundary layer research. Atmos. Meas. Tech. 2020, 13, 2833–2848. [Google Scholar] [CrossRef]
- Pinto, J.O.; O’Sullivan, D.; Taylor, S.; Elston, J.; Baker, C.B.; Hotz, D.; Marshall, C.; Jacob, J.; Barfuss, K.; Piguet, B.; et al. The Status and Future of Small Uncrewed Aircraft Systems (UAS) in Operational Meteorology. Bull. Am. Meteorol. Soc. 2021, 102, E2121–E2136. [Google Scholar] [CrossRef]
- Burgués, J.; Marco, S. Environmental chemical sensing using small drones: A review. Sci. Total Environ. 2020, 748, 141172. [Google Scholar] [CrossRef]
- Inoue, J.; Sato, K. Toward sustainable meteorological profiling in polar regions: Case studies using an inexpensive UAS on measuring lower boundary layers with quality of radiosondes. Environ. Res. 2022, 205, 112468. [Google Scholar] [CrossRef] [PubMed]
- Inoue, J.; Sato, K. Challenges in Detecting Clouds in Polar Regions Using a Drone with Onboard Low-Cost Particle Counter. Atmos. Environ. 2023, 314, 120085. [Google Scholar] [CrossRef]
- Greene, B.R.; Segales, A.R.; Waugh, S.; Duthoit, S.; Chilson, P.B. Considerations for temperature sensor placement on rotary-wing unmanned aircraft systems. Atmos. Meas. Tech. 2018, 11, 5519–5530. [Google Scholar] [CrossRef]
- Greene, B.R.; Segales, A.R.; Bell, T.M.; Pillar-Little, E.A.; Chilson, P.B. Environmental and Sensor Integration Influences on Temperature Measurements by Rotary-Wing Unmanned Aircraft Systems. Sensors 2019, 19, 1470. [Google Scholar] [CrossRef] [PubMed]
- Kimball, S.K.; Montalvo, C.J.; Mulekar, M.S. Evaluating Temperature Measurements of the iMET-XQ, in the Field, under Varying Atmospheric Conditions. Atmosphere 2020, 11, 335. [Google Scholar] [CrossRef]
- Islam, A.; Houston, A.L.; Shankar, A.; Detweiler, C. Design and Evaluation of Sensor Housing for Boundary Layer Profiling Using Multirotors. Sensors 2019, 19, 2481. [Google Scholar] [CrossRef]
- Asher, E.; Hills, A.J.; Hornbrook, R.S.; Shertz, S.; Gabbard, S.; Stephens, B.B.; Helmig, D.; Apel, E.C. Unpiloted Aircraft System Instrument for the Rapid Collection of Whole Air Samples and Measurements for Environmental Monitoring and Air Quality Studies. Environ. Sci. Technol. 2021, 55, 5657–5667. [Google Scholar] [CrossRef]
- Dieu Hien, V.T.; Lin, C.; Thanh, V.C.; Kim Oanh, N.T.; Thanh, B.X.; Weng, C.E.; Yuan, C.S.; Rene, E.R. An overview of the development of vertical sampling technologies for ambient volatile organic compounds (VOCs). J. Environ. Manag. 2019, 247, 401–412. [Google Scholar] [CrossRef] [PubMed]
- Gerhardt, N.; Clothier, R.; Wild, G. Investigating the practicality of hazardous material detection using Unmanned Aerial Systems. In Proceedings of the 2014 IEEE Metrology for Aerospace (MetroAeroSpace), Benevento, Italy, 29–30 May 2014; pp. 133–137. [Google Scholar] [CrossRef]
- Rosser, K.; Pavey, K.; FitzGerald, N.; Fatiaki, A.; Neumann, D.; Carr, D.; Hanlon, B.; Chahl, J. Autonomous Chemical Vapour Detection by Micro UAV. Remote Sens. 2015, 7, 16865–16882. [Google Scholar] [CrossRef]
- Schuyler, T.J.; Guzman, M.I. Unmanned Aerial Systems for Monitoring Trace Tropospheric Gases. Atmosphere 2017, 8, 206. [Google Scholar] [CrossRef]
- Villa, T.F.; Salimi, F.; Morton, K.; Morawska, L.; Gonzalez, F. Development and Validation of a UAV Based System for Air Pollution Measurements. Sensors 2016, 16, 2202. [Google Scholar] [CrossRef] [PubMed]
- Zhou, F.; Gu, J.; Chen, W.; Ni, X. Measurement of SO2 and NO2 in Ship Plumes Using Rotary Unmanned Aerial System. Atmosphere 2019, 10, 657. [Google Scholar] [CrossRef]
- Brady, J.M.; Stokes, M.D.; Bonnardel, J.; Bertram, T.H. Characterization of a Quadrotor Unmanned Aircraft System for Aerosol-Particle-Concentration Measurements. Environ. Sci. Technol. 2016, 50, 1376–1383. [Google Scholar] [CrossRef] [PubMed]
- Bates, T.S.; Quinn, P.K.; Johnson, J.E.; Corless, A.; Brechtel, F.J.; Stalin, S.E.; Meinig, C.; Burkhart, J.F. Measurements of atmospheric aerosol vertical distributions above Svalbard, Norway, using unmanned aerial systems (UAS). Atmos. Meas. Tech. 2013, 6, 2115–2120. [Google Scholar] [CrossRef]
- Girdwood, J.; Smith, H.; Stanley, W.; Ulanowski, Z.; Stopford, C.; Chemel, C.; Doulgeris, K.M.; Brus, D.; Campbell, D.; Mackenzie, R. Design and field campaign validation of a multi-rotor unmanned aerial vehicle and optical particle counter. Atmos. Meas. Tech. 2020, 13, 6613–6630. [Google Scholar] [CrossRef]
- Wu, C.; Liu, B.; Wu, D.; Yang, H.; Mao, X.; Tan, J.; Liang, Y.; Sun, J.Y.; Xia, R.; Sun, J.; et al. Vertical profiling of black carbon and ozone using a multicopter unmanned aerial vehicle (UAV) in urban Shenzhen of South China. Sci. Total Environ. 2021, 801, 149689. [Google Scholar] [CrossRef]
- Madokoro, H.; Kiguchi, O.; Nagayoshi, T.; Chiba, T.; Inoue, M.; Chiyonobu, S.; Nix, S.; Woo, H.; Sato, K. Development of Drone-Mounted Multiple Sensing System with Advanced Mobility for In Situ Atmospheric Measurement: A Case Study Focusing on PM2.5 Local Distribution. Sensors 2021, 21, 4881. [Google Scholar] [CrossRef] [PubMed]
- Wang, T.; Han, W.; Zhang, M.; Yao, X.; Zhang, L.; Peng, X.; Li, C.; Dan, X. Unmanned Aerial Vehicle-Borne Sensor System for Atmosphere-Particulate-Matter Measurements: Design and Experiments. Sensors 2020, 20, 57. [Google Scholar] [CrossRef] [PubMed]
- Newton, R.; Vaughan, G.; Hintsa, E.; Filus, M.T.; Pan, L.L.; Honomichl, S.; Atlas, E.; Andrews, S.J.; Carpenter, L.J. Observations of ozone-poor air in the tropical tropopause layer. Atmos. Chem. Phys. 2018, 18, 5157–5171. [Google Scholar] [CrossRef]
- Li, X.B.; Peng, Z.R.; Lu, Q.C.; Wang, D.; Hu, X.M.; Wang, D.; Li, B.; Fu, Q.; Xiu, G.; He, H. Evaluation of unmanned aerial system in measuring lower tropospheric ozone and fine aerosol particles using portable monitors. Atmos. Environ. 2020, 222, 117134. [Google Scholar] [CrossRef]
- Inoue, J.; Sato, K. Wind Speed Measurement by an Inexpensive and Lightweight Thermal Anemometer on a Small UAV. Drones 2022, 6, 289. [Google Scholar] [CrossRef]
- Wang, H.; Liu, A.; Zhen, Z.; Yin, Y.; Li, B.; Li, Y.; Chen, K.; Xu, J. Vertical Structures of Meteorological Elements and Black Carbon at Mt. Tianshan Using an Unmanned Aerial Vehicle System. Remote Sens. 2021, 13, 1267. [Google Scholar] [CrossRef]
- Kimball, S.K.; Montalvo, C.J.; Mulekar, M.S. Assessing iMET-XQ Performance and Optimal Placement on a Small Off-the-Shelf, Rotary-Wing UAV, as a Function of Atmospheric Conditions. Atmosphere 2020, 11, 660. [Google Scholar] [CrossRef]
- Bailey, S.C.C.; Sama, M.P.; Canter, C.A.; Pampolini, L.F.; Lippay, Z.S.; Schuyler, T.J.; Hamilton, J.D.; MacPhee, S.B.; Rowe, I.S.; Sanders, C.D.; et al. University of Kentucky measurements of wind, temperature, pressure and humidity in support of LAPSE-RATE using multisite fixed-wing and rotorcraft unmanned aerial systems. Earth Syst. Sci. Data 2020, 12, 1759–1773. [Google Scholar] [CrossRef]
- Varentsov, M.; Stepanenko, V.; Repina, I.; Artamonov, A.; Bogomolov, V.; Kuksova, N.; Marchuk, E.; Pashkin, A.; Varentsov, A. Balloons and Quadcopters: Intercomparison of Two Low-Cost Wind Profiling Methods. Atmosphere 2021, 12, 380. [Google Scholar] [CrossRef]
- Sensiron. SPS30 Datasheet; Sensirion: Stäfa, Switzerland, 2020. [Google Scholar]
- Kuula, J.; Mäkelä, T.; Aurela, M.; Teinilä, K.; Varjonen, S.; González, O.; Timonen, H. Laboratory evaluation of particle-size selectivity of optical low-cost particulate matter sensors. Atmos. Meas. Tech. 2020, 13, 2413–2423. [Google Scholar] [CrossRef]
- Kirešová, S.; Guzan, M.; Galajda, P. Measuring Particulate Matter (PM) using SPS30. In Proceedings of the 2022 32nd International Conference Radioelektronika (RADIOELEKTRONIKA), Virual Online, 21–22 April 2022; pp. 1–6. [Google Scholar] [CrossRef]
- Wallace, J.M.; Hobbs, P.V. 2—The Earth System. In Atmospheric Science, 2nd ed.; Wallace, J.M., Hobbs, P.V., Eds.; Academic Press: San Diego, CA, USA, 2006; pp. 25–61. [Google Scholar] [CrossRef]













| Flight Number | Time of Day (MST) | Location |
|---|---|---|
| 1 | 9:00 | Practice Field |
| 2 | 12:00 | Baseball Field |
| 3 | 13:45 | Baseball Field |
| 4 | 19:45 | Baseball Field |
| 5 | 12:00 (14-October) | Baseball Field |
Disclaimer/Publisher’s Note: The statements, opinions and data contained in all publications are solely those of the individual author(s) and contributor(s) and not of MDPI and/or the editor(s). MDPI and/or the editor(s) disclaim responsibility for any injury to people or property resulting from any ideas, methods, instructions or products referred to in the content. |
© 2024 by the author. Licensee MDPI, Basel, Switzerland. This article is an open access article distributed under the terms and conditions of the Creative Commons Attribution (CC BY) license (https://creativecommons.org/licenses/by/4.0/).
Share and Cite
Thalman, R. Development and Testing of a Rocket-Based Sensor for Atmospheric Sensing Using an Unmanned Aerial System. Sensors 2024, 24, 1768. https://doi.org/10.3390/s24061768
Thalman R. Development and Testing of a Rocket-Based Sensor for Atmospheric Sensing Using an Unmanned Aerial System. Sensors. 2024; 24(6):1768. https://doi.org/10.3390/s24061768
Chicago/Turabian StyleThalman, Ryan. 2024. "Development and Testing of a Rocket-Based Sensor for Atmospheric Sensing Using an Unmanned Aerial System" Sensors 24, no. 6: 1768. https://doi.org/10.3390/s24061768
APA StyleThalman, R. (2024). Development and Testing of a Rocket-Based Sensor for Atmospheric Sensing Using an Unmanned Aerial System. Sensors, 24(6), 1768. https://doi.org/10.3390/s24061768

