A 6.7 μW Low-Noise, Compact PLL with an Input MEMS-Based Reference Oscillator Featuring a High-Resolution Dead/Blind Zone-Free PFD
Abstract
1. Introduction
2. MEMS-Based Reference Oscillator
2.1. MEMS Resonator
2.2. TIA Design Methodology and Circuit Description
3. PLL Design
3.1. Loop Filter, VCO, and Divider
3.2. Charge Transfer-Based CP
3.3. Phase-Frequency Detector
4. Proposed PFD Design
4.1. Architecture
4.2. Circuit Design and Operation
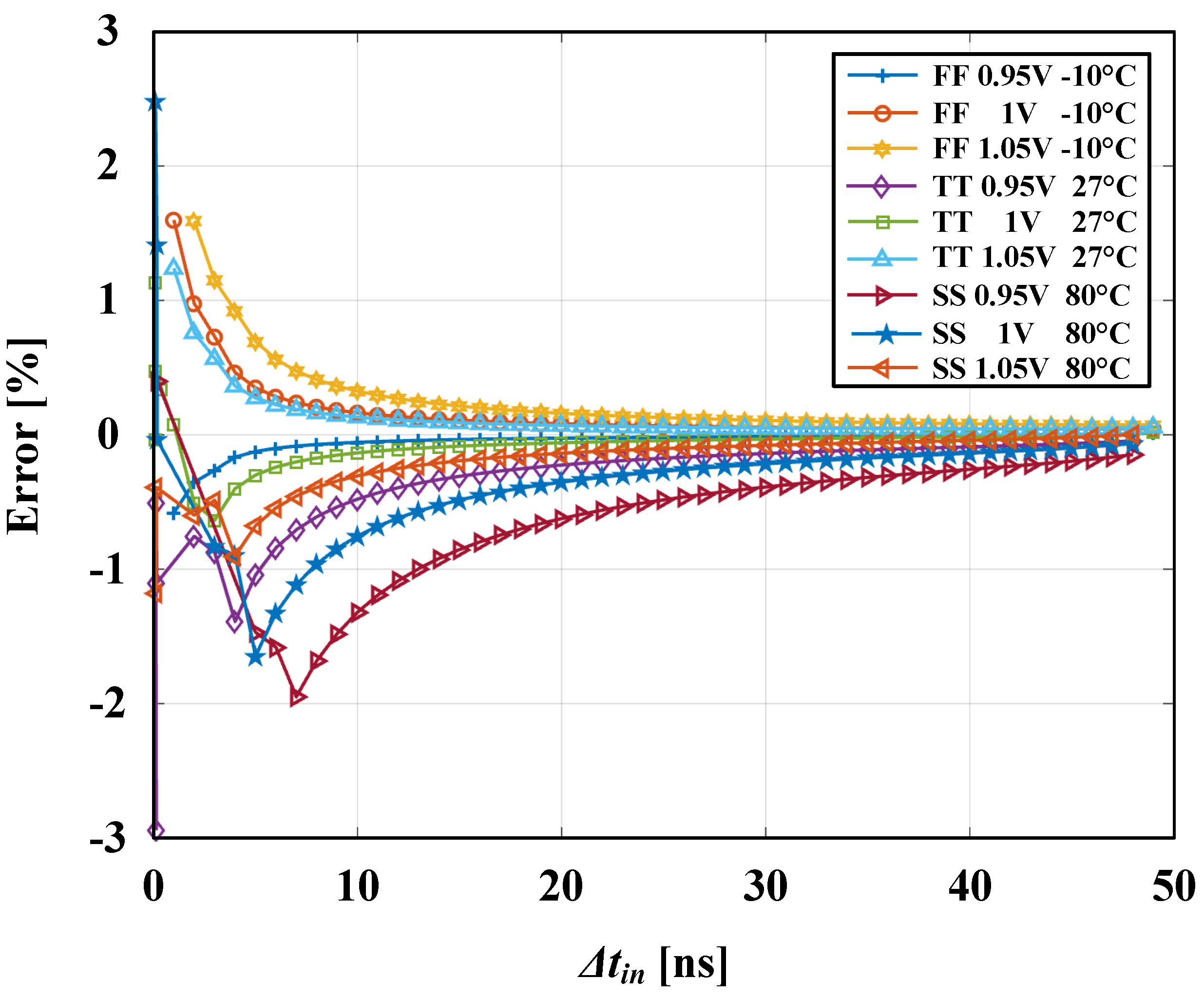
4.3. Performance and Robustness
5. Experimental Validation
5.1. PFD Validation
5.2. Prototype and Overall Closed-Loop System Validation
6. Conclusions
Author Contributions
Funding
Data Availability Statement
Conflicts of Interest
References
- Wu, G.; Xu, J.; Ng, E.J.; Chen, W. MEMS Resonators for Frequency Reference and Timing Applications. J. Microelectromech. Syst. 2020, 29, 1137–1166. [Google Scholar] [CrossRef]
- Nguyen, C.T.C. MEMS Technology for Timing and Frequency Control. IEEE Trans. Ultrason. Ferroelectr. Freq. Control 2007, 54, 251–270. [Google Scholar] [CrossRef] [PubMed]
- Souri, K.; Tabatabaei, S. MEMS Oscillators Revolutionizing the Precision Timing Market. In Biomedical Electronics, Noise Shaping ADCs, and Frequency References: Advances in Analog Circuit Design 2022; Harpe, P., Baschirotto, A., Makinwa, K.A., Eds.; Springer International Publishing: Cham, Switzerland, 2023; pp. 305–318. [Google Scholar] [CrossRef]
- Elsayed, M.Y.; Nabki, F. 18-MHz Silicon Lamé Mode Resonators With Corner and Central Anchor Architectures in a Dual-Wafer SOI Technology. J. Microelectromech. Syst. 2017, 26, 67–74. [Google Scholar] [CrossRef]
- Kaisar, T.; Yousuf, S.M.E.H.; Lee, J.; Qamar, A.; Rais-Zadeh, M.; Mandal, S.; Feng, P.X.L. Five Low-Noise Stable Oscillators Referenced to the Same Multimode AlN/Si MEMS Resonator. IEEE Trans. Ultrason. Ferroelectr. Freq. Control 2023, 70, 1213–1228. [Google Scholar] [CrossRef] [PubMed]
- Naing, T.L.; Rocheleau, T.O.; Alon, E.; Nguyen, C.T.C. Low-Power MEMS-Based Pierce Oscillator Using a 61-MHz Capacitive-Gap Disk Resonator. IEEE Trans. Ultrason. Ferroelectr. Freq. Control 2020, 67, 1377–1391. [Google Scholar] [CrossRef]
- Elsayed, M.Y.; Nabki, F. Piezoelectric Bulk Mode Disk Resonator Post-Processed for Enhanced Quality Factor Performance. J. Microelectromech. Syst. 2017, 26, 75–83. [Google Scholar] [CrossRef]
- Feng, T.; Yuan, Q.; Yu, D.; Wu, B.; Wang, H. The Oven-Controlled MEMS Oscillators in Timing and Sensing Applications: A Review. IEEE Sens. J. 2023, 23, 17854–17867. [Google Scholar] [CrossRef]
- Bouchami, A.; Elsayed, M.Y.; Nabki, F. A Sub-mW 18-MHz MEMS Oscillator Based on a 98-dBΩ Adjustable Bandwidth Transimpedance Amplifier and a Lamé-Mode Resonator. Sensors 2019, 19, 2680. [Google Scholar] [CrossRef]
- Elsayed, M.Y.; Nabki, F. 870,000 Q-Factor Capacitive Lamé Mode Resonator With Gap Closing Electrodes Enabling 4.4 kΩ Equivalent Resistance at 50 V. IEEE Trans. Ultrason. Ferroelectr. Freq. Control 2019, 66, 717–726. [Google Scholar] [CrossRef]
- Punzet, S.; Eibert, T.F. A MEMS-Based GPS-Disciplined Oscillator for Mobile RF Measurement Applications. In Proceedings of the 2024 Kleinheubach Conference, Miltenberg, Germany, 24–26 September 2024; pp. 1–4. [Google Scholar] [CrossRef]
- Wu, Z.; Rais-Zadeh, M. A Temperature-Stable Piezoelectric MEMS Oscillator Using a CMOS PLL Circuit for Temperature Sensing and Oven Control. J. Microelectromech. Syst. 2015, 24, 1747–1758. [Google Scholar] [CrossRef]
- Wei, X.; Xu, M.; Yang, Q.; Xu, L.; Qi, Y.; Ren, Z.; Ren, J.; Huan, R.; Jiang, Z. MEMS Huygens Clock Based on Synchronized Micromechanical Resonators. Engineering 2024, 36, 124–131. [Google Scholar] [CrossRef]
- Salvia, J.C.; Melamud, R.; Chandorkar, S.A.; Lord, S.F.; Kenny, T.W. Real-Time Temperature Compensation of MEMS Oscillators Using an Integrated Micro-Oven and a Phase-Locked Loop. J. Microelectromech. Syst. 2010, 19, 192–201. [Google Scholar] [CrossRef]
- Perrott, M.H.; Salvia, J.C.; Lee, F.S.; Partridge, A.; Mukherjee, S.; Arft, C.; Kim, J.; Arumugam, N.; Gupta, P.; Tabatabaei, S.; et al. A Temperature-to-Digital Converter for a MEMS-Based Programmable Oscillator with <±0.5-ppm Frequency Stability and <1-ps Integrated Jitter. IEEE J. Solid-State Circuits 2013, 48, 276–291. [Google Scholar] [CrossRef]
- Zaliasl, S.; Salvia, J.C.; Hill, G.C.; Chen, L.; Joo, K.; Palwai, R.; Arumugam, N.; Phadke, M.; Mukherjee, S.; Lee, H.C.; et al. A 3 ppm 1.5 × 0.8 mm2 1.0 μA 32.768 kHz MEMS-Based Oscillator. IEEE J. Solid-State Circuits 2015, 50, 291–302. [Google Scholar] [CrossRef]
- Nabki, F.; Ahmad, F.; Allidina, K.; El-Gamal, M.N. A Compact and Programmable High-Frequency Oscillator Based on a MEMS Resonator. In Proceedings of the 2008 IEEE Custom Integrated Circuits Conference, San Jose, CA, USA, 21–24 September 2008; pp. 337–340. [Google Scholar] [CrossRef]
- Hsu, W.T.; Brown, A.; Cioffi, K. A Programmable MEMS FSK Transmitter. In Proceedings of the 2006 IEEE International Solid State Circuits Conference—Digest of Technical Papers, San Francisco, CA, USA, 31 January–4 February 2016; pp. 1111–1120. [Google Scholar] [CrossRef]
- Ruffieux, D.; Contaldo, M.; Enz, C. MEMS-Based All-Digital Frequency Synthesis for Ultra Low-Power Radio for WBAN and WSN Applications. In Proceedings of the 2011 IEEE International Symposium of Circuits and Systems (ISCAS), Rio de Janeiro, Brazil, 15–18 May 2011; pp. 157–160. [Google Scholar] [CrossRef]
- Xereas, G.; Chodavarapu, V.P. Wafer-Level Vacuum-Encapsulated Lamé Mode Resonator with f-Q Product of 2.23 × 1013 Hz. IEEE Electron Device Lett. 2015, 36, 1079–1081. [Google Scholar] [CrossRef]
- Kira, A.; Elsayed, M.; Allidina, K.; Chodavarapu, V.P.; El-Gamal, M.N. A 6.89-MHz 143-nW MEMS Oscillator Based on a 118-dBΩ Tunable Gain and Duty-Cycle CMOS TIA. Electronics 2021, 10, 2646. [Google Scholar] [CrossRef]
- Razavi, B. Design of Integrated Circuits for Optical Communications; Wiley: Hoboken, NJ, USA, 2012. [Google Scholar]
- Lavasani, H.M.; Pan, W.; Harrington, B.; Abdolvand, R.; Ayazi, F. A 76 dBΩ 1.7 GHz 0.18 μm CMOS tunable transimpedance amplifier using broadband current pre-amplifier for high frequency lateral micromechanical oscillators. In Proceedings of the 2010 IEEE International Solid-State Circuits Conference—(ISSCC), San Francisco, CA, USA, 7–11 February 2010; pp. 318–319. [Google Scholar] [CrossRef]
- Seth, S.; Wang, S.; Kenny, T.; Murmann, B. A -131-dBc/Hz, 20-MHz MEMS oscillator with a 6.9-mW, 69-kΩ, gain-tunable CMOS TIA. In Proceedings of the 2012 Proceedings of the ESSCIRC (ESSCIRC), Bordeaux, France, 17–21 September 2012; pp. 249–252. [Google Scholar] [CrossRef]
- Baek, K.; Gim, J.; Kim, H.; Na, K.; Kim, N.; Kim, Y. Analogue circuit design methodology using self-cascode structures. Electron. Lett. 2013, 49, 591–592. [Google Scholar] [CrossRef]
- Hajimiri, A.; Lee, T.H. A general theory of phase noise in electrical oscillators. IEEE J. Solid-State Circuits 1998, 33, 179–194. [Google Scholar] [CrossRef]
- Johansson, H. A Simple Precharged CMOS Phase Frequency Detector. IEEE J. Solid-State Circuits 1998, 33, 295–299. [Google Scholar] [CrossRef]
- Nabki, F.; Allidina, K.; Ahmad, F.; Cicek, P.; El-Gamal, M.N. A Highly Integrated 1.8 GHz Frequency Synthesizer Based on a MEMS Resonator. IEEE J. Solid-State Circuits 2009, 44, 2154–2168. [Google Scholar] [CrossRef]
- Lin, Y.W.; Lee, S.; Li, S.S.; Xie, Y.; Ren, Z.; Nguyen, C.C. Series-Resonant VHF Micromechanical Resonator Reference Oscillators. IEEE J. Solid-State Circuits 2004, 39, 2477–2491. [Google Scholar] [CrossRef]
- Lee, T.; Hajimiri, A. Oscillator phase noise: A tutorial. IEEE J. Solid-State Circuits 2000, 35, 326–336. [Google Scholar] [CrossRef]
- Gardner, F. Phaselock Techniques; John Wiley & Sons: Hoboken, NJ, USA, 2005. [Google Scholar]
- Loh, W.; Yegnanarayanan, S.; Ram, R.J.; Juodawlkis, P.W. Unified Theory of Oscillator Phase Noise I: White Noise. IEEE Trans. Microw. Theory Tech. 2013, 61, 2371–2381. [Google Scholar] [CrossRef]
- Loh, W.; Yegnanarayanan, S.; Ram, R.J.; Juodawlkis, P.W. Unified Theory of Oscillator Phase Noise II: Flicker Noise. IEEE Trans. Microw. Theory Tech. 2013, 61, 4130–4144. [Google Scholar] [CrossRef]
- Yang, C.-Y.; Dehng, G.-K.; Hsu, J.-M.; Liu, S.-I. New Dynamic Flip-Flops for High-Speed Dual-Modulus Prescaler. IEEE J. Solid-State Circuits 1998, 33, 1568–1571. [Google Scholar] [CrossRef]
- Elgamel, M.; Darwish, T.; Bayoumi, M. Noise Tolerant Low Power Dynamic TSPCL D Flip-Flops. In Proceedings of the Proceedings IEEE Computer Society Annual Symposium on VLSI. New Paradigms for VLSI Systems Design, ISVLSI 2002, Pittsburgh, PA, USA, 25–26 April 2002; pp. 89–94. [Google Scholar] [CrossRef]
- Schober, S.; Choma, J. A Charge Transfer-Based High Performance, Ultra-Low Power PLL Charge Pump. In Proceedings of the 2015 IEEE 6th Latin American Symposium on Circuits Systems (LASCAS), Montevideo, Uruguay, 24–27 February 2015; pp. 1–4. [Google Scholar] [CrossRef]
- Xu, Z.; Miyahara, M.; Matsuzawa, A. Picosecond Resolution Time-to-Digital Converter Using Gm-C Integrator and SAR-ADC. IEEE Trans. Nucl. Sci. 2014, 61, 852–859. [Google Scholar] [CrossRef]
- Du, L.; Wu, S.; Jiang, M.; Ning, N.; Yu, Q.; Liu, Y. A 10-bit 100MS/s Subrange SAR ADC With Time-Domain Quantization. In Proceedings of the 2014 IEEE International Symposium on Circuits and Systems (ISCAS), Melbourne, Australia, 1–5 June 2014; pp. 301–304. [Google Scholar] [CrossRef]
- Homayoun, A.; Razavi, B. Analysis of Phase Noise in Phase/Frequency Detectors. IEEE Trans. Circuits Syst. I Regul. Pap. 2013, 60, 529–539. [Google Scholar] [CrossRef]
- Zhang, C.; Syrzycki, M. Modifications of a Dynamic-Logic Phase Frequency Detector for Extended Detection Range. In Proceedings of the 2010 53rd IEEE International Midwest Symposium on Circuits and Systems, Seattle, WA, USA, 1–4 August 2010; pp. 105–108. [Google Scholar] [CrossRef]
- Suraparaju, E.R.; Arja, P.V.R.; Ren, S. Simple High-Resolution CMOS Phase Frequency Detector. Electron. Lett. 2015, 51, 1647–1649. [Google Scholar] [CrossRef]
- Lyu, Y.; Feng, J.; Ye, H.; Yu, D. All-Digital Synchronous 2 × Time-Difference Amplifier Based on Time Register. Electron. Lett. 2017, 53, 1102–1104. [Google Scholar] [CrossRef]
- Ismail, N.M.H.; Othman, M. CMOS Phase Frequency Detector for High Speed Applications. In Proceedings of the 2009 International Conference on Microelectronics—ICM, Marrakech, Morocco, 19–22 December 2009; pp. 201–204. [Google Scholar] [CrossRef]
- AN-1205 Electrical Performance of Packages. Rev.A. 2004. Available online: https://www.ti.com/lit/pdf/SNOA405 (accessed on 9 December 2024).
- Quad Flat No-Lead (QFN) Package Comparison Tables. Available online: https://www.ti.com/pdfs/logic/qfncompare.pdf (accessed on 9 December 2024).
- Bouchami, A.; Elsayed, M.Y.; Nabki, F. A 1.4-mW 14-MHz MEMS Oscillator Based on a Differential Adjustable-Bandwidth Transimpedance Amplifier and Piezoelectric Disk Resonator. IEEE Trans. Circuits Syst. I Regul. Pap. 2018, 65, 3414–3423. [Google Scholar] [CrossRef]
- Wu, G.; Xu, J.; Zhang, X.; Wang, N.; Yan, D.; Lim, J.L.K.; Zhu, Y.; Li, W.; Gu, Y. Wafer-Level Vacuum-Packaged High-Performance AlN-on-SOI Piezoelectric Resonator for Sub-100-MHz Oscillator Applications. IEEE Trans. Ind. Electron. 2018, 65, 3576–3584. [Google Scholar] [CrossRef]
- van Beek, J.T.M.; Puers, R. A Review of MEMS Oscillators for Frequency Reference and Timing Applications. J. Micromech. Microeng. 2011, 22, 013001. [Google Scholar] [CrossRef]
- Liu, H.; Sun, Z.; Huang, H.; Deng, W.; Siriburanon, T.; Pang, J.; Wang, Y.; Wu, R.; Someya, T.; Shirane, A.; et al. 16.1 A 265 μW Fractional-N Digital PLL with Seamless Automatic Switching Subsampling/Sampling Feedback Path and Duty-Cycled Frequency-Locked Loop in 65 nm CMOS. In Proceedings of the 2019 IEEE International Solid- State Circuits Conference—(ISSCC), San Francisco, CA, USA, 17–21 February 2019; pp. 256–258. [Google Scholar] [CrossRef]
- Perrott, M.H.; Pamarti, S.; Hoffman, E.G.; Lee, F.S.; Mukherjee, S.; Lee, C.; Tsinker, V.; Perumal, S.; Soto, B.T.; Arumugam, N.; et al. A Low Area, Switched-Resistor Based Fractional-N Synthesizer Applied to a MEMS-Based Programmable Oscillator. IEEE J. Solid-State Circuits 2010, 45, 2566–2581. [Google Scholar] [CrossRef]
- Schober, S.; Choma, J. A 1.25 mW 0.8–28.2 GHz charge pump PLL with 0.82 ps RMS jitter in all-digital 40 nm CMOS. In Proceedings of the 2015 IEEE International Symposium on Circuits and Systems (ISCAS), Lisbon, Portugal, 24–27 May 2015; pp. 549–552. [Google Scholar] [CrossRef]
- Agarwal, P.; Kim, J.H.; Pande, P.P.; Heo, D. Zero-Power Feed-Forward Spur Cancelation for Supply-Regulated CMOS Ring PLLs. IEEE Trans. Very Large Scale Integr. VLSI Syst. 2018, 26, 653–662. [Google Scholar] [CrossRef]
- Zhu, J.; Choi, W.S.; Hanumolu, P.K. A 0.016 mm2 0.26-μW/MHz 60–240-MHz Digital PLL With Delay-Modulating Clock Buffer in 65 nm CMOS. IEEE J. Solid-State Circuits 2019, 54, 2186–2194. [Google Scholar] [CrossRef]
















| Parameter | Measured Values |
|---|---|
| Process (nm) | 65 |
| Supply (V) | 1 |
| Gain (dB) | 107.9→118.1 |
| Duty Cycle (%) | 23.25→79.03 |
| Power Consumption (nW) | 143 |
| Active CMOS Area (m2) | 150.29 |
| Ref. No. | [41] | [42] | [43] | This Work |
|---|---|---|---|---|
| Process (nm) | 90 | 65 | 180 | 65 |
| Supply (V) | 1.2 | 1.2 | 1.8 | 1 |
| (pW/Hz) | - | 0.62 | 0.132 | 0.106 |
| (GHz) | 6 | 0.1 | 2.5 | 2.5 |
| Dead zone (ns) | Near 0 * | - | Free | Free |
| Error () | ±15 | ±12 • | - | ±1.6 |
| Ref. No. | [47] • | [49] | [50] • | [51] | [52] | [53] | This Work |
|---|---|---|---|---|---|---|---|
| Process (nm) | 180 | 65 | 180 | 40 | 65 | 65 | 65 |
| PLL Architecture Type | Analog Fractional-N | Digital Fractional-N | Analog Fractional-N | Analog Integer-N | Analog Integer-N | Digital Integer-N | Analog Integer-N |
| Supply Voltage (V) | - | 0.85 ⊗ | 1.5 + | 1 | 1 | 0.8 * | 1 |
| Reference Frequency (MHz) | 27.19 | 10 | 5 | 250 * | 10 | 2 * | 6.89 |
| Output Frequency (MHz) | 75.01 | 2466 | 100 * | 25,000 * | 1000 | 240 * | 110.24 |
| PDC (W) | 7800 | 265 | 3000 $ | 1080 | 320 | 63.5 | 6.709 |
| Power Efficiency (W/MHz) | 103.99 | 0.1075 | 30 | 0.0432 | 0.32 | 0.26 | 0.0609 |
| Core Active CMOS Area (mm2) | 5 ” | 0.25 | 0.36 | 0.0048 | 0.315 | 0.016 | 0.1095 |
| PN|1kHz (dBc/Hz) | −108 | −68 | −84.2907 | −98 ! | −64 ! | −44.34 | −106.21 |
| PN|1MHz (dBc/Hz) | −133.15 | −105 | −134.1 | −121.1 | −73 | −76.48 | −135.36 |
| 1kHz (dB) | −196.58 | −190.07 | −179.52 | −246.29 | −179.05 | −139.97 | −185.32 |
Disclaimer/Publisher’s Note: The statements, opinions and data contained in all publications are solely those of the individual author(s) and contributor(s) and not of MDPI and/or the editor(s). MDPI and/or the editor(s) disclaim responsibility for any injury to people or property resulting from any ideas, methods, instructions or products referred to in the content. |
© 2024 by the authors. Licensee MDPI, Basel, Switzerland. This article is an open access article distributed under the terms and conditions of the Creative Commons Attribution (CC BY) license (https://creativecommons.org/licenses/by/4.0/).
Share and Cite
Kira, A.; Elsayed, M.Y.; Allidina, K.; Chodavarapu, V.P.; El-Gamal, M.N. A 6.7 μW Low-Noise, Compact PLL with an Input MEMS-Based Reference Oscillator Featuring a High-Resolution Dead/Blind Zone-Free PFD. Sensors 2024, 24, 7963. https://doi.org/10.3390/s24247963
Kira A, Elsayed MY, Allidina K, Chodavarapu VP, El-Gamal MN. A 6.7 μW Low-Noise, Compact PLL with an Input MEMS-Based Reference Oscillator Featuring a High-Resolution Dead/Blind Zone-Free PFD. Sensors. 2024; 24(24):7963. https://doi.org/10.3390/s24247963
Chicago/Turabian StyleKira, Ahmed, Mohannad Y. Elsayed, Karim Allidina, Vamsy P. Chodavarapu, and Mourad N. El-Gamal. 2024. "A 6.7 μW Low-Noise, Compact PLL with an Input MEMS-Based Reference Oscillator Featuring a High-Resolution Dead/Blind Zone-Free PFD" Sensors 24, no. 24: 7963. https://doi.org/10.3390/s24247963
APA StyleKira, A., Elsayed, M. Y., Allidina, K., Chodavarapu, V. P., & El-Gamal, M. N. (2024). A 6.7 μW Low-Noise, Compact PLL with an Input MEMS-Based Reference Oscillator Featuring a High-Resolution Dead/Blind Zone-Free PFD. Sensors, 24(24), 7963. https://doi.org/10.3390/s24247963

